Closed-Loop Recycling Dual-Mode Counter-Current Chromatography with Specified Sample Loading Durations: Modeling of Preparative and Industrial-Scale Separations
Abstract
:1. Introduction
2. Preparative and Industrial-Scale Closed-Loop Recycling Dual-Mode Counter-Current Chromatography Separations
3. Theory of Closed-Loop Recycling Dual-Mode Counter-Current Chromatography Separations with Specified Sample Loading Durations
3.1. First Stage of Closed-Loop Recycling Dual-Mode Counter-Current Chromatography with Specified Sample Loading Durations
3.1.1. Equations Used to Simulate the First Stage of the Closed-Loop Recycling Dual-Mode Counter-Current Chromatography Separations with Specified Sample Loading Duration Based on the Ideal Recycling Model
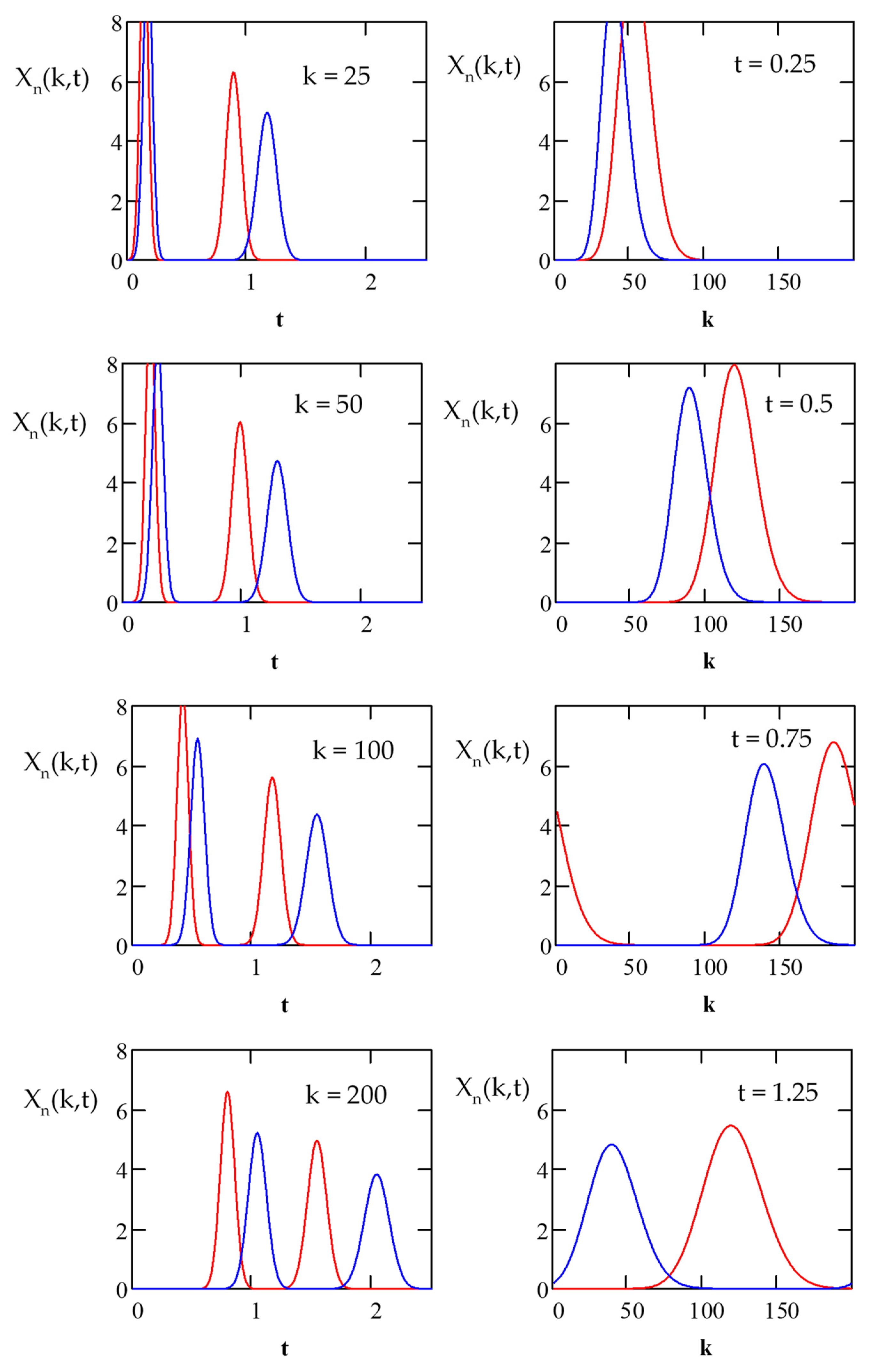
3.1.2. Equations Used to Simulate the First Separation Stage of the Closed-Loop Recycling Dual-Mode Counter-Current Chromatography with Specified Sample Loading Durations Based on the Non-Ideal Recycling Model
3.2. Equations to Simulate the Second Stage of Closed-Loop Recycling Dual-Mode Counter-Current Chromatography Separations with Specified Sample Loading Durations
4. Separation of Complex Mixtures Containing Compounds with Lower and Higher Partition Coefficients Using Closed-Loop Recycling Dual-Mode Counter-Current Chromatography with Specified Sample Loading Durations
5. Conclusions
Supplementary Materials
Author Contributions
Funding
Institutional Review Board Statement
Informed Consent Statement
Conflicts of Interest
References
- Ito, Y. Golden rules and pitfalls in selecting optimum conditions for high-speed counter-current chromatography. J. Chromatogr. A 2005, 1065, 145–168. [Google Scholar] [CrossRef]
- Jerz, G.; Winterhalter, P. The 10th international conference on countercurrent chromatography held at Technische Universität Braunschweig, Braunschweig, Germany, August 1–3, 2018. J. Chromatogr. A 2020, 1617, 460698. [Google Scholar] [CrossRef]
- Friesen, J.B.; McAlpine, J.B.; Chen, S.-N.; Pauli, G.F. The 9th International Countercurrent Chromatography Conference held at Dominican University, Chicago, USA, August 1–3, 2016. J. Chromatogr. A 2017, 1520, 1–8. [Google Scholar] [CrossRef]
- Ignatova, S.; Sutherland, I. The 8th International Conference on Counter-current Chromatography held at Brunel University, London, UK, July 23–25, 2014. J. Chromatogr. A 2015, 1425, 1–7. [Google Scholar] [CrossRef]
- Morley, R.; Minceva, M. Operating mode and parameter selection in liquid–liquid chromatography. J. Chromatogr. A 2020, 1617, 460479. [Google Scholar] [CrossRef]
- Kostanyan, A.E.; Belova, V.V. Closed-loop recycling dual-mode counter-current chromatography. A theoretical study. J. Chromatogr. A 2019, 1588, 174–179. [Google Scholar] [CrossRef]
- Kostanyan, A.E.; Galieva, Z.N. Modeling of closed-loop recycling dual-mode counter-current chromatography based on non-ideal recycling model. J. Chromatogr. A 2019, 1603, 240–250. [Google Scholar] [CrossRef] [PubMed]
- Zhang, S.; Chen, H.; Deng, X.; Chen, H.; Guo, C.; Wan, L.; Peng, A.; Chen, L. Advantages of rectangular horizontal tubing in the semi-preparative counter-current chromatography bobbin. J. Chromatogr. A 2021, 1657, 462583. [Google Scholar] [CrossRef]
- Kostanyan, A.E.; Erastov, A.A. Theoretical study of closed-loop recycling liquid-liquid chromatography and experimental verification of the theory. J. Chromatogr. A 2016, 1462, 55–62. [Google Scholar] [CrossRef] [PubMed]
- Friesen, J.B.; McAlpine, J.B.; Chen, S.-N.; Pauli, G.F. Countercurrent separation of natural products: An update. J. Nat. Prod. 2015, 78, 1765–1796. [Google Scholar] [CrossRef] [PubMed] [Green Version]
- Kostanyan, A.; Martynova, M.; Erastov, A.; Belova, V. Simultaneous concentration and separation of target compounds from multicomponent mixtures by closed-loop recycling countercurrent chromatography. J. Chromatogr. A 2018, 1560, 26–34. [Google Scholar] [CrossRef]
- Mokhodoeva, O.; Rudik, I.; Shkinev, V.; Maryutina, T. Countercurrent chromatography approach to palladium and platinum separation using aqueous biphasic system. J. Chromatogr. A 2021, 1657, 462581. [Google Scholar] [CrossRef]
- Goll, J.; Minceva, M. Continuous fractionation of multicomponent mixtures with sequential centrifugal partition chromatography. AIChE J. 2017, 63, 1659–1673. [Google Scholar] [CrossRef]
- Peng, A.; Hewitson, P.; Sutherland, I.; Chen, L.; Ignatova, S. How changes in column geometry and packing ratio can increase sample load and throughput by a factor of fifty in counter-current chromatography. J. Chromatogr. A 2018, 1580, 120–125. [Google Scholar] [CrossRef] [PubMed]
- Wang, Y.; Zhang, L.; Zhou, H.; Guo, X.; Wu, S. K-targeted strategy for isolation of phenolic alkaloids of Nelumbo nucifera Gaertn by counter-current chromatography using lysine as a pH regulator. J. Chromatogr. A 2017, 1490, 115–125. [Google Scholar] [CrossRef] [PubMed]
- Wang, C.; Sun, W.; Wang, X.; Jin, Y.; Zhao, S.; Luo, M.; Tong, S. Large-scale separation of baicalin and wogonoside from Scutellaria baicalensis Georgi by the combination of pH-zone-refining and conventional counter-current chromatography. J. Chromatogr. A 2019, 1601, 266–273. [Google Scholar] [CrossRef] [PubMed]
- Roehrer, S.; Minceva, M. Evaluation of interapparatus separation method transferability in countercurrent chromatography and centrifugal partition chromatography. Separations 2019, 6, 36. [Google Scholar] [CrossRef] [Green Version]
- Kostanyan, A.E.; Belova, V.V. Theoretical study of industrial scale closed-loop recycling counter-current chromatography separations. J. Chromatogr. A 2020, 1633, 461630. [Google Scholar] [CrossRef]
- Goll, J.; Morley, R.; Minceva, M. Trapping multiple dual mode centrifugal partition chromatography for the separation of intermediately-eluting compo- nents: Operating parameter selection. J. Chromatogr. A 2017, 1496, 68–79. [Google Scholar] [CrossRef]
- Ignatova, S.; Hewitson, P.; Mathews, B.; Sutherland, I. Evaluation of dual flow counter-current chromatography and intermittent counter-current extraction. J. Chromatogr. A 2011, 1218, 6102–6106. [Google Scholar] [CrossRef] [PubMed]
- Kotland, A.; Chollet, S.; Diard, C.; Autret, J.-M.; Meucci, J.; Renault, J.H.; Marchal, L. Industrial case study on alkaloids purification by pH-zone refining centrifugal partition chromatography. J. Chromatogr. A 2016, 1474, 59–70. [Google Scholar] [CrossRef] [PubMed]
- Costa, F.D.N.; Vieira, M.N.; Garrard, I.; Hewitson, P.; Jerz, G.; Leitão, G.G.; Ignatova, S. Schinus terebinthifolius countercurrent chromatography (Part II): Intra-apparatus scale-up and inter-apparatus method transfer. J. Chromatogr. A 2016, 1466, 76–83. [Google Scholar] [CrossRef] [PubMed] [Green Version]
- Delannay, E.; Toribio, A.; Boudesocque, L.; Nuzillard, J.-M.; Zeches-Hanrot, M.; Dardennes, E.; Le Dour, G.; Sapi, J.; Renault, J.-H. Multiple dual-mode centrifugal partition chromatography, a semi-continuous development mode for routine laboratory-scale purifications. J. Chromatogr. A 2006, 1127, 45–51. [Google Scholar] [CrossRef] [PubMed]
- Kostanyan, A.E.; Voshkin, A.A. Support-free pulsed liquid-liquid chromatography. J. Chromatogr. A 2009, 1216, 7761–7776. [Google Scholar] [CrossRef] [PubMed]
- Kostanyan, A.E.; Voshkin, A.A.; Kodin, N.V. Controlled-cycle pulsed liquid–liquid chromatography. A modified version of Craig’s counter-current distribution. J. Chromatogr. A 2011, 1218, 6135–6143. [Google Scholar] [CrossRef] [PubMed]
- Jeon, J.S.; Park, C.L.; Syed, A.S.; Kim, Y.M.; Cho, I.J.; Kim, C.Y. Preparative separation of sesamin and sesamolin from defatted sesame meal via centrifugal partition chromatography with consecutive sample injection. J. Chromatogr. B 2016, 1011, 108–113. [Google Scholar] [CrossRef]
- Müller, M.; Wasmer, K.; Vetter, W. Multiple injection mode with or without repeated sample injections: Strategies to enhance productivity in countercurrent chromatography. J. Chromatogr. A 2018, 1556, 88–96. [Google Scholar] [CrossRef] [PubMed]
- Kostanyan, A.E.; Erastov, A.A. Steady state preparative multiple dual mode counter-current chromatography: Productivity and selectivity. Theory and experimental verification. J. Chromatogr. A 2015, 1406, 118–128. [Google Scholar] [CrossRef] [PubMed]
- Kostanyan, A.E. Modeling of preparative closed-loop recycling liquid–liquid chromatography with specified duration of sample loading. J. Chromatogr. A 2016, 1471, 94–101. [Google Scholar] [CrossRef] [PubMed]
- Kostanyan, A.; Martynova, M. Modeling of two semi-continuous methods in liquid–liquid chromatography: Comparing conventional and closed-loop recycling modes. J. Chromatogr. A 2020, 1614, 460735. [Google Scholar] [CrossRef] [PubMed]
- Huang, X.Y.; Tian, M.; Pei, D.; Liu, J.F.; Di, D.L. Development of overlapping repeated separation of steviol glycosides with counter current chromatography and a comparison with a conventional repeated separation method. J. Sep. Sci. 2018, 41, 3163–3169. [Google Scholar] [CrossRef] [PubMed]
- Kostanyan, A.E.; Voshkin, A.A. Analysis of new counter-current chromatography operating modes. J. Chromatogr. A 2007, 1151, 126–130. [Google Scholar] [CrossRef] [PubMed]
- Hewitson, P.; Sutherland, I.; Kostanyan, A.; Voshkin, A.; Ignatova, S. Intermittent counter-current extraction-Equilibrium cell model, scaling and an improved bobbin design. J. Chromatogr. A 2013, 1303, 18–27. [Google Scholar] [CrossRef] [PubMed]
- Kostanyan, A.; Voshkin, A.; Belova, V. Analytical, Preparative, and Industrial-Scale Separation of Substances by Methods of Countercurrent Liquid-Liquid Chromatography. Molecules 2020, 25, 6020. [Google Scholar] [CrossRef] [PubMed]





Publisher’s Note: MDPI stays neutral with regard to jurisdictional claims in published maps and institutional affiliations. |
© 2021 by the authors. Licensee MDPI, Basel, Switzerland. This article is an open access article distributed under the terms and conditions of the Creative Commons Attribution (CC BY) license (https://creativecommons.org/licenses/by/4.0/).
Share and Cite
Kostanyan, A.E.; Voshkin, A.A. Closed-Loop Recycling Dual-Mode Counter-Current Chromatography with Specified Sample Loading Durations: Modeling of Preparative and Industrial-Scale Separations. Molecules 2021, 26, 6561. https://doi.org/10.3390/molecules26216561
Kostanyan AE, Voshkin AA. Closed-Loop Recycling Dual-Mode Counter-Current Chromatography with Specified Sample Loading Durations: Modeling of Preparative and Industrial-Scale Separations. Molecules. 2021; 26(21):6561. https://doi.org/10.3390/molecules26216561
Chicago/Turabian StyleKostanyan, Artak E., and Andrey A. Voshkin. 2021. "Closed-Loop Recycling Dual-Mode Counter-Current Chromatography with Specified Sample Loading Durations: Modeling of Preparative and Industrial-Scale Separations" Molecules 26, no. 21: 6561. https://doi.org/10.3390/molecules26216561
APA StyleKostanyan, A. E., & Voshkin, A. A. (2021). Closed-Loop Recycling Dual-Mode Counter-Current Chromatography with Specified Sample Loading Durations: Modeling of Preparative and Industrial-Scale Separations. Molecules, 26(21), 6561. https://doi.org/10.3390/molecules26216561

