Multicomponent Reactions Involving Diazo Reagents: A 5-Year Update
Abstract
:1. Introduction
2. Reactions Based on Generation of Stable Intermediates. Other Components React to Generate a New Substrate First, Followed by Reaction with Diazo Compound
2.1. Generation of Imine/Iminium
2.2. Alkene/Alkyne-Based MCRs
2.3. MCRs Based on Generation of Other Types of Stable Intermediates
3. MCRs Where One of the Reaction Components Is a Reactive Intermediate Generated from Diazo Compound
3.1. Generation of Ylides Followed by Reaction with Carbonyl Compounds
3.2. Generation of Ylides Followed by Reaction with Imine/Iminium
3.3. Generation of Ylides Followed by Conjugate Addition Reaction
3.4. Generation of Ylides Followed by [3+2]-Cycloaddition Reactions
3.5. Generation of Ylides Followed by Other Types of Reactions
3.6. Generation of Ketene/Ketenimine
3.7. Generation of Organic Radical Species
3.8. Generation of Dearomatized Species
4. MCRs Where Reaction of Diazo Compound and One of the Components Generates a New Stable Compound, Which Further Reacts with the Third Component of the MCR
5. MCRs with In Situ Generation of Diazo Compound
6. Miscellaneous Reactions
7. Conclusions
Author Contributions
Funding
Institutional Review Board Statement
Informed Consent Statement
Data Availability Statement
Conflicts of Interest
References
- Ma, X.; Zhi, S.; Zhang, W. Recent Developments on Five-Component Reactions. Molecules 2021, 26, 1986. [Google Scholar] [CrossRef]
- Domling, A.; Wang, W.; Wang, K. Chemistry and biology of multicomponent reactions. Chem. Rev. 2012, 112, 3083–3135. [Google Scholar] [CrossRef] [PubMed] [Green Version]
- Dömling, A.; AlQahtani, A.D. General Introduction to MCRs: Past, Present, and Future. In Multicomponent Reactions in Organic Synthesis, 1st ed.; Zhu, J., Wang, Q., Wang, M., Eds.; Wiley-VCH Verlag GmbH & Co. KGaA: Hoboken, NJ, USA, 2015; pp. 1–12. [Google Scholar]
- Budeev, A.; Kantin, G.; Dar’in, D.; Krasavin, M. Diazocarbonyl and Related Compounds in the Synthesis of Azoles. Molecules 2021, 26, 2530. [Google Scholar] [CrossRef] [PubMed]
- Solovyev, I.; Eremeyeva, M.; Zhukovsky, D.; Dar’in, D.; Krasavin, M. Cyclic diazo compounds in the construction of spirocyclic scaffolds. Tetrahedron Lett. 2021, 62, 152671. [Google Scholar] [CrossRef]
- Padwa, A.; Cheng, B.; Zou, Y. Natural Product Synthesis via the Rhodium Carbenoid-Mediated Cyclization of α-Diazo Carbonyl Compounds. Aust. J. Chem. 2014, 67, 343–353. [Google Scholar] [CrossRef]
- Mix, K.A.; Aronoff, M.R.; Raines, R.T. Diazo Compounds: Versatile Tools for Chemical Biology. ACS Chem. Biol. 2016, 11, 3233–3244. [Google Scholar] [CrossRef] [PubMed] [Green Version]
- Medvedev, J.J.; Nikolaev, V.A. Recent advances in the chemistry of Rh carbenoids: Multicomponent reactions of diazocarbonyl compounds. Russ. Chem. Rev. 2015, 84, 737–757. [Google Scholar] [CrossRef]
- Ollevier, T.; Carreras, V.; Tanbouza, N. The Power of Iron Catalysis in Diazo Chemistry. Synthesis 2020, 53, 79–94. [Google Scholar] [CrossRef]
- Xing, D.; Hu, W. Diazoacetate and Related Metal-Stabilized Carbene Species in MCRs. In Multicomponent Reactions in Organic Synthesis; Wiley: Hoboken, NJ, USA, 2014; pp. 183–206. [Google Scholar]
- Zhang, D.; Hu, W. Asymmetric Multicomponent Reactions Based on Trapping of Active Intermediates. Chem. Rec. 2017, 17, 739–753. [Google Scholar] [CrossRef]
- Guo, X.; Hu, W. Novel multicomponent reactions via trapping of protic onium ylides with electrophiles. Acc. Chem. Res. 2013, 46, 2427–2440. [Google Scholar] [CrossRef]
- Zhou, Y.; Gupta, A.K.; Mukherjee, M.; Zheng, L.; Wulff, W.D. Multicomponent Catalytic Asymmetric Synthesis of trans-Aziridines. J. Org. Chem. 2017, 82, 13121–13140. [Google Scholar] [CrossRef] [PubMed]
- Tan, X.F.; Zhang, F.G.; Ma, J.A. Asymmetric synthesis of CF2-functionalized aziridines by combined strong Bronsted acid catalysis. Beilstein J. Org. Chem. 2020, 16, 638–644. [Google Scholar] [CrossRef] [PubMed]
- Bierschenk, S.M.; Bergman, R.G.; Raymond, K.N.; Toste, F.D. A Nanovessel-Catalyzed Three-Component Aza-Darzens Reaction. J. Am. Chem. Soc. 2020, 142, 733–737. [Google Scholar] [CrossRef] [PubMed]
- Doben, N.; Yan, H.; Kischkewitz, M.; Mao, J.; Studer, A. Intermolecular Acetoxyaminoalkylation of alpha-Diazo Amides with (Diacetoxyiodo)benzene and Amines. Org. Lett. 2018, 20, 7933–7936. [Google Scholar] [CrossRef]
- Ahamad, S.; Kumar, A.; Kant, R.; Mohanan, K. Metal-Free Three-Component Assembly of Fully Substituted 1,2,3-Triazoles. Asian J. Org. Chem. 2018, 7, 1698–1703. [Google Scholar] [CrossRef]
- Yang, Z.; Lin, X.; Wang, L.; Cui, X. Facile synthesis of 1-aminoindoles via Rh(iii)-catalysed intramolecular three-component annulation. Org. Chem. Front. 2017, 4, 2179–2183. [Google Scholar] [CrossRef]
- Tian, M.; Zheng, G.; Fan, X.; Li, X. Rhodium(III)-Catalyzed Redox-Neutral Synthesis of Isoquinolinium Salts via C-H Activation of Imines. J. Org. Chem. 2018, 83, 6477–6488. [Google Scholar] [CrossRef] [PubMed]
- Hoang, G.L.; Zoll, A.J.; Ellman, J.A. Three-Component Coupling of Aldehydes, 2-Aminopyridines, and Diazo Esters via Rhodium(III)-Catalyzed Imidoyl C-H Activation: Synthesis of Pyrido[1,2-a]pyrimidin-4-ones. Org. Lett. 2019, 21, 3886–3890. [Google Scholar] [CrossRef]
- Xiao, T.; Peng, P.; Xie, Y.; Wang, Z.Y.; Zhou, L. Ag(I)-Catalyzed Three-Component Reaction of 2-Alkynylbenzaldehydes, Amines, and Diazo Compounds. Org. Lett. 2015, 17, 4332–4335. [Google Scholar] [CrossRef]
- Huang, J.; Li, L.; Xiao, T.; Mao, Z.-W.; Zhou, L. Redox-Neutral C1 Functionalization of Unprotected Tetrahydroisoquinolines with Diazo Carbonyl Compounds. Asian J. Org. Chem. 2016, 5, 1204–1207. [Google Scholar] [CrossRef]
- Chen, L.; Leslie, D.; Coleman, M.G.; Mack, J. Recyclable heterogeneous metal foil-catalyzed cyclopropenation of alkynes and diazoacetates under solvent-free mechanochemical reaction conditions. Chem. Sci. 2018, 9, 4650–4661. [Google Scholar] [CrossRef] [Green Version]
- Kamal, A.; Sastry, K.N.; Chandrasekhar, D.; Mani, G.S.; Adiyala, P.R.; Nanubolu, J.B.; Singarapu, K.K.; Maurya, R.A. One-pot, three-component approach to the synthesis of 3,4,5-trisubstituted pyrazoles. J. Org. Chem. 2015, 80, 4325–4335. [Google Scholar] [CrossRef] [PubMed]
- Ahamad, S.; Patidar, R.K.; Kumar, A.; Kant, R.; Mohanan, K. Three-Component Synthesis of 3,4-Disubstituted Pyrazoles Using Diazosulfone as a Diazomethane Surrogate. ChemistrySelect 2017, 2, 11995–11998. [Google Scholar] [CrossRef]
- Hao, J.; Xu, Y.; Xu, Z.; Zhang, Z.; Yang, W. Pd-Catalyzed Three-Component Domino Reaction of Vinyl Benzoxazinanones for Regioselective and Stereoselective Synthesis of Allylic Sulfone-Containing Amino Acid Derivatives. Org. Lett. 2018, 20, 7888–7892. [Google Scholar] [CrossRef]
- Qi, C.; Yan, D.; Xiong, W.; Jiang, H. Silver-Catalyzed Three-Component Coupling of Carbon Dioxide, Amines and α-Diazoesters. Chin. J. Chem. 2018, 36, 399–405. [Google Scholar] [CrossRef]
- Cheng, R.; Qi, C.; Wang, L.; Xiong, W.; Liu, H.; Jiang, H. Visible light-promoted synthesis of organic carbamates from carbon dioxide under catalyst- and additive-free conditions. Green Chem. 2020, 22, 4890–4895. [Google Scholar] [CrossRef]
- Li, J.; Xing, D.; Hu, W. Gem-Difunctionalization of alpha-diazoarylketones with diaryldiselenides and N-halosuccinimides: Facile synthesis of alpha-halo-alpha-arylseleno ketones. Mol. Divers. 2020, 25, 2459–2466. [Google Scholar] [CrossRef]
- Ba, D.; Wen, S.; Tian, Q.; Chen, Y.; Lv, W.; Cheng, G. Rhodium(II)-catalyzed multicomponent assembly of alpha,alpha,alpha-trisubstituted esters via formal insertion of O-C(sp(3))-C(sp(2)) into C-C bonds. Nat. Commun. 2020, 11, 4219. [Google Scholar] [CrossRef]
- Qiu, L.; Su, M.; Wen, Z.; Zhu, X.; Duan, Y.; Huang, Y. Semisynthesis of 3-Hydroxyoxindole Rapamycin Analogues through Site- and Stereoselective Trapping of Oxonium Ylides in RhII -Catalyzed Three-Component Reactions. Eur. J. Org. Chem. 2019, 2019, 2914–2918. [Google Scholar] [CrossRef]
- Ma, C.; Chen, J.; Xing, D.; Sheng, Y.; Hu, W. Iron catalyzed efficient synthesis of poly-functional primary amines via the direct use of ammonia. Chem. Commun. 2017, 53, 2854–2857. [Google Scholar] [CrossRef]
- Xi, J.-B.; Ma, M.-L.; Hu, W. Rh2(OAc)4 and InCl3 co-catalyzed diastereoselective trapping of carbamate ammonium ylides with aldehydes for the synthesis of β-hydroxyl-α-amino acid derivatives. Tetrahedron 2016, 72, 579–583. [Google Scholar] [CrossRef]
- Che, J.; Niu, L.; Jia, S.; Xing, D.; Hu, W. Enantioselective three-component aminomethylation of alpha-diazo ketones with alcohols and 1,3,5-triazines. Nat. Commun. 2020, 11, 1511. [Google Scholar] [CrossRef] [PubMed] [Green Version]
- Kang, Z.; Wang, Y.; Zhang, D.; Wu, R.; Xu, X.; Hu, W. Asymmetric Counter-Anion-Directed Aminomethylation: Synthesis of Chiral beta-Amino Acids via Trapping of an Enol Intermediate. J. Am. Chem. Soc. 2019, 141, 1473–1478. [Google Scholar] [CrossRef] [PubMed]
- Yu, J.; Chen, L.; Sun, J. Copper-Catalyzed Oxy-aminomethylation of Diazo Compounds with N, O-Acetals. Org. Lett. 2019, 21, 1664–1667. [Google Scholar] [CrossRef]
- Shi, T.; Jing, C.; Qian, Y.; Xu, X.; Alavala, G.K.R.; Lv, X.; Hu, W. A sustainable catalytic enantioselective synthesis of norstatine derivatives. Org. Biomol. Chem. 2019, 17, 9792–9798. [Google Scholar] [CrossRef]
- Jia, S.-K.; Lei, Y.-B.; Song, L.-L.; Liu, S.-Y.; Hu, W.-H. Enantioselective trapping of oxonium ylide intermediates by N-benzhydryl-α-imino ester: Synthesis of β-tetrasubstituted α-amino acids. Chin. Chem. Lett. 2017, 28, 213–217. [Google Scholar] [CrossRef]
- Ao, C.; Huang, J.; Xu, X.; Jia, S.; Kang, Z.; Hu, W. A Rh-catalyzed three-component reaction for the diastereoselective synthesis of pyrazolone derivatives with contiguous quaternary stereocenters. Org. Biomol. Chem. 2020, 18, 3466–3470. [Google Scholar] [CrossRef]
- Tang, M.; Xing, D.; Huang, H.; Hu, W. Divergent synthesis of chiral heterocycles via sequencing of enantioselective three-component reactions and one-pot subsequent cyclization reactions. Chem. Commun. 2015, 51, 10612–10615. [Google Scholar] [CrossRef]
- Yu, S.; Hua, R.; Fu, X.; Liu, G.; Zhang, D.; Jia, S.; Qiu, H.; Hu, W. Asymmetric Multicomponent Reactions for Efficient Construction of Homopropargyl Amine Carboxylic Esters. Org. Lett. 2019, 21, 5737–5741. [Google Scholar] [CrossRef]
- Li, M.; Zheng, Q.; Jin, W.; Liu, S.; Hu, W. A transformation of cyclopropyl carbene: A highly enantioselective three-component reaction via trapping oxonium ylide by imine. Tetrahedron 2016, 72, 2929–2934. [Google Scholar] [CrossRef]
- Xiao, G.; Ma, C.; Xing, D.; Hu, W. Enantioselective Synthesis of alpha-Mercapto-beta-amino Esters via Rh(II)/Chiral Phosphoric Acid-Cocatalyzed Three-Component Reaction of Diazo Compounds, Thiols, and Imines. Org. Lett. 2016, 18, 6086–6089. [Google Scholar] [CrossRef]
- Zhang, D.; Liu, J.; Kang, Z.; Qiu, H.; Hu, W. A rhodium-catalysed three-component reaction to access C1-substituted tetrahydroisoquinolines. Org. Biomol. Chem. 2019, 17, 9844–9848. [Google Scholar] [CrossRef]
- Li, M.; Guo, X.; Zheng, Q.; Hu, W.; Liu, S. Enantioselective Multicomponent Reaction for Rapid Construction of 1,2,5-Triol Derivatives with Vicinal Chiral Centers. J. Org. Chem. 2017, 82, 5212–5221. [Google Scholar] [CrossRef] [PubMed]
- Xiao, G.; Ma, C.; Wu, X.; Xing, D.; Hu, W. Synthesis of gamma-Sulfur-Substituted Ketones via Rh(II)/Sc(III) a Cocatalyzed Three-Component Reaction of Diazo Compounds with Thiophenols and Enones. J. Org. Chem. 2018, 83, 4786–4791. [Google Scholar] [CrossRef]
- Wei, Q.; Li, Z.; Yang, X.; Chen, J.; Liu, X.; Hu, W.; Liu, S. Rh(I)/Sc(OTf)3-co-catalyzed Michael addition of ammonium ylide to (E)-1,4-enediones: Synthesis of functionalized 1,4-diketones. Mol. Divers. 2019, 23, 997–1010. [Google Scholar] [CrossRef]
- Day, J.; McKeever-Abbas, B.; Dowden, J. Stereoselective Synthesis of Tetrahydroindolizines through the Catalytic Formation of Pyridinium Ylides from Diazo Compounds. Angew. Chem. 2016, 55, 5809–5813. [Google Scholar] [CrossRef]
- Shi, T.; Teng, S.; Wei, Y.; Guo, X.; Hu, W. Synthesis of spiro[2,3-dihydrofuran-3,3′-oxindole] derivatives via a multi-component cascade reaction of α-diazo esters, water, isatins and malononitrile/ethyl cyanoacetate. Green Chem. 2019, 21, 4936–4940. [Google Scholar] [CrossRef]
- Wei, Q.; Ma, X.; Chen, J.; Niu, L.; Yang, X.; Xia, F.; Liu, S. A triple-functionalised metal centre-catalyzed enantioselective multicomponent reaction. Org. Chem. Front. 2018, 5, 2799–2804. [Google Scholar] [CrossRef]
- Lian, X.L.; Meng, J.; Han, Z.Y. Ru(II)/Organo Relay Catalytic Three-Component Reaction of 3-Diazooxindoles, Amines, and Nitroalkene: Formal Synthesis of (-)-Psychotrimine. Org. Lett. 2016, 18, 4270–4273. [Google Scholar] [CrossRef]
- Takahashi, N.; Ito, T.; Matsuda, Y.; Kogure, N.; Kitajima, M.; Takayama, H. Determination of absolute configuration of trimeric indole alkaloid, psychotrimine, by first asymmetric total synthesis. Chem. Commun. 2010, 46, 2501–2503. [Google Scholar] [CrossRef] [PubMed]
- Huo, C.; Xie, H.; Yang, C.; Dong, J.; Wang, Y. Stable radical cation salt initiated N–H insertion and related proton-transfer-delay three-component reaction. Tetrahedron Lett. 2016, 57, 2179–2182. [Google Scholar] [CrossRef]
- Liu, G.; Yu, S.; Hu, W.; Qiu, H. A gold(i)-catalysed three-component reaction via trapping oxonium ylides with allenamides. Chem. Commun. 2019, 55, 12675–12678. [Google Scholar] [CrossRef] [PubMed]
- Yu, S.; Chen, J.; Liu, G.; Lei, J.; Hu, W.; Qiu, H. A gold(i)-catalysed chemoselective three-component reaction between phenols, alpha-diazocarbonyl compounds and allenamides. Chem. Commun. 2020, 56, 1649–1652. [Google Scholar] [CrossRef] [PubMed]
- Douglas, T.; Pordea, A.; Dowden, J. Iron-Catalyzed Indolizine Synthesis from Pyridines, Diazo Compounds, and Alkynes. Org. Lett. 2017, 19, 6396–6399. [Google Scholar] [CrossRef]
- Chen, R.; Zhao, Y.; Sun, H.; Shao, Y.; Xu, Y.; Ma, M.; Ma, L.; Wan, X. In Situ Generation of Quinolinium Ylides from Diazo Compounds: Copper-Catalyzed Synthesis of Indolizine. J. Org. Chem. 2017, 82, 9291–9304. [Google Scholar] [CrossRef] [PubMed]
- Reddy, A.R.; Zhou, C.Y.; Che, C.M. Ruthenium porphyrin catalyzed three-component reaction of diazo compounds, nitrosoarenes, and alkynes: An efficient approach to multifunctionalized aziridines. Org. Lett. 2014, 16, 1048–1051. [Google Scholar] [CrossRef]
- Li, X.; Feng, T.; Li, D.; Chang, H.; Gao, W.; Wei, W. KOAc-Catalyzed One-Pot Three-Component 1,3-Dipolar Cycloaddition of alpha-Diazo Compounds, Nitrosoarenes, and Alkenes: An Approach to Functionalized Isoxazolidines. J. Org. Chem. 2019, 84, 4402–4412. [Google Scholar] [CrossRef]
- Wu, M.Y.; He, W.W.; Liu, X.Y.; Tan, B. Asymmetric Construction of Spirooxindoles by Organocatalytic Multicomponent Reactions Using Diazooxindoles. Angew. Chem. 2015, 54, 9409–9413. [Google Scholar] [CrossRef]
- Gupta, E.; Zaheer, M.K.; Kant, R.; Mohanan, K. Additive-free regio- and diastereoselective construction of fully-substituted isoxazolidines employing diazo compounds. Org. Chem. Front. 2019, 6, 1109–1113. [Google Scholar] [CrossRef]
- Wang, X.D.; Zhu, L.H.; Liu, P.; Wang, X.Y.; Yuan, H.Y.; Zhao, Y.L. Copper-Catalyzed Cascade Cyclization Reactions of Diazo Compounds with tert-Butyl Nitrite and Alkynes: One-Pot Synthesis of Isoxazoles. J. Org. Chem. 2019, 84, 16214–16221. [Google Scholar] [CrossRef]
- Sheng, J.; Chang, H.; Qian, Y.; Ma, M.; Hu, W. A convenient one-pot approach to Paclitaxel (Taxol) side chain via 1,3-dipolar cycloaddition of carbonyl ylides and N-benzoylbenzyl imines. Tetrahedron Lett. 2018, 59, 2141–2144. [Google Scholar] [CrossRef]
- Peng, X.; Zhang, F.G.; Ma, J.A. Cu-Catalysed Three-Component Reaction of Aryldiazonium Salts with Fluorinated Diazo Reagents and Nitriles: Access to Difluoro- and Trifluoromethylated N1-Aryl-1,2,4-triazoles. Adv. Synth. Catal. 2020, 362, 4432–4437. [Google Scholar] [CrossRef]
- Muthusamy, S.; Kumar, S.G. Copper(I) catalyzed diastereoselective multicomponent synthesis of spiroindolo-pyrrolidines/-imidazolidines/-triazolidines from diazoamides via azomethine ylides. Org. Biomol. Chem. 2016, 14, 2228–2240. [Google Scholar] [CrossRef]
- Zhang, J.-Q.; Qi, Z.-H.; Yin, S.-J.; Li, H.-Y.; Wang, Y.; Wang, X.-W. Brønsted or Lewis Acid Initiated Multicomponent Cascade Reaction: Diastereoselective Synthesis of Imidazolidinyl Spirooxindole Derivatives. ChemCatChem 2016, 8, 2797–2807. [Google Scholar] [CrossRef]
- Waldmann, H.; Antonchick, A.; Murarka, S.; Golz, C.; Strohmann, C. Biology-Oriented Synthesis of 3,3-Spiro(2-tetrahydrofuranyl)oxindoles. Synthesis 2016, 49, 87–95. [Google Scholar] [CrossRef]
- Qiu, L.; Wang, D.; Lei, Y.; Gao, L.; Liu, S.; Li, J.; Hu, W. Diastereoselective Three-Component Cascade Reaction to Construct Oxindole-Fused Spirotetrahydro furochroman Scaffolds for Drug Discovery. Eur. J. Org. Chem. 2016, 2016, 2671–2680. [Google Scholar] [CrossRef]
- Dong, S.; Lei, Y.; Jia, S.; Gao, L.; Li, J.; Zhu, T.; Liu, S.; Hu, W. Discovery of core-structurally novel PTP1B inhibitors with specific selectivity containing oxindole-fused spirotetrahydrofurochroman by one-pot reaction. Bioorg. Med. Chem. Lett. 2017, 27, 1105–1108. [Google Scholar] [CrossRef]
- Reddy, B.V.S.; Karthik, G.; Rajasekaran, T.; Sridhar, B. Stereoselective Synthesis of Highly Functionalized Dispirooxindoles through [3+2] Cycloaddition of Carbonyl Ylides with 3-Arylideneoxindoles. Eur. J. Org. Chem. 2015, 2015, 2038–2041. [Google Scholar] [CrossRef]
- Muthusamy, S.; Ramkumar, R. Rhodium(II) catalyzed highly diastereoselective synthesis of conformationally restricted dispiro[1,3-dioxolane]bisoxindoles. Tetrahedron 2014, 70, 5594–5607. [Google Scholar] [CrossRef]
- Han, W.; Yu, J.; Kang, Z.; Song, L.; Pi, R.; Dong, S.; Xiong, Y.; Xia, F.; Li, Z.; Liu, S. Dual Functional Pd-Catalyzed Multicomponent Reaction by Umpolung Chemistry of the Oxygen Atom in Electrophiles. J. Org. Chem. 2021, 86, 6847–6854. [Google Scholar] [CrossRef]
- Yuan, W.; Szabó, K.J. Rhodium-Catalyzed Oxy-Aminofluorination of Diazoketones with Tetrahydrofurans and N-Fluorobenzenesulfonimide. ACS Catal. 2016, 6, 6687–6691. [Google Scholar] [CrossRef] [Green Version]
- Shimomoto, H.; Mori, T.; Itoh, T.; Ihara, E. Poly(β-keto enol ether) Prepared by Three-Component Polycondensation of Bis(diazoketone), Bis(1,3-diketone), and Tetrahydrofuran: Mild Acid-Degradable Polymers To Afford Well-Defined Low Molecular Weight Components. Macromolecules 2019, 52, 5761–5768. [Google Scholar] [CrossRef]
- Lu, L.; Chen, C.; Jiang, H.; Yin, B. Three-Component Ring-Opening Reactions of Cyclic Ethers, alpha-Diazo Esters, and Weak Nucleophiles under Metal-Free Conditions. J. Org. Chem. 2018, 83, 14385–14395. [Google Scholar] [CrossRef] [PubMed]
- He, X.; Yang, C.; Wu, Y.; Xie, M.; Li, R.; Duan, J.; Shang, Y. Synthesis of unsymmetrical urea derivatives via one-pot sequential three-component reactions of cyclic 2-diazo-1,3-diketones, carbodiimides, and 1,2-dihaloethanes. Org. Biomol. Chem. 2020, 18, 4178–4182. [Google Scholar] [CrossRef]
- Pisella, G.; Gagnebin, A.; Waser, J. Copper-Catalyzed Oxyvinylation of Diazo Compounds. Org. Lett. 2020, 22, 3884–3889. [Google Scholar] [CrossRef] [PubMed]
- Pisella, G.; Gagnebin, A.; Waser, J. Three-Component Reaction for the Synthesis of Highly Functionalized Propargyl Ethers. Chemistry 2020, 26, 10199–10204. [Google Scholar] [CrossRef]
- Kang, Z.; Shou, J.; Xing, D.; Hu, W. Rh(II)/Ag(I)-Cocatalyzed Three-Component Reaction via SN1/SN1’-Type Trapping of Oxonium Ylide with the Nicholas Intermediate. J. Org. Chem. 2020, 85, 9850–9862. [Google Scholar] [CrossRef]
- Ma, C.; Zhou, J.Y.; Zhang, Y.Z.; Jiao, Y.; Mei, G.J.; Shi, F. Synergistic-Catalysis-Enabled Reaction of 2-Indolymethanols with Oxonium Ylides for the Construction of 3-Indolyl-3-Alkoxy Oxindole Frameworks. Chem. Asian J. 2018, 13, 2549–2558. [Google Scholar] [CrossRef]
- Basso, A.; Protti, S.; Garbarino, S. Toward a Green Atom Economy: Development of a Sustainable Multicomponent Reaction. Synthesis 2015, 47, 2385–2390. [Google Scholar] [CrossRef]
- Chen, L.; Wang, K.; Shao, Y.; Sun, J. Stereoselective Synthesis of Fully Substituted beta-Lactams via Metal-Organo Relay Catalysis. Org. Lett. 2019, 21, 3804–3807. [Google Scholar] [CrossRef]
- Chen, L.; Zhang, L.; Shao, Y.; Xu, G.; Zhang, X.; Tang, S.; Sun, J. Rhodium-Catalyzed C horizontal lineN Bond Formation through a Rebound Hydrolysis Mechanism and Application in beta-Lactam Synthesis. Org. Lett. 2019, 21, 4124–4127. [Google Scholar] [CrossRef]
- Wu, H.; Li, X.; Yan, Z.; Ma, N.; Song, S.; Zhang, G.; Jiao, N. Cu(I)-Catalyzed [2 + 2 + 1] Cycloaddition of Amines, Alkynes, and Ketenes: An Umpolung and Regioselective Approach to Full-Substituted beta-Pyrrolinones. Org. Lett. 2021, 23, 762–766. [Google Scholar] [CrossRef] [PubMed]
- Synofzik, J.; Dar’in, D.; Novikov, M.S.; Kantin, G.; Bakulina, O.; Krasavin, M. Alpha-Acyl-alpha-diazoacetates in Transition-Metal-Free beta-Lactam Synthesis. J. Org. Chem. 2019, 84, 12101–12110. [Google Scholar] [CrossRef]
- Luo, J.; Chen, G.-S.; Chen, S.-J.; Liu, Y.-L. Catalyst-free formal [4+1]/[4+2] cyclization cascade sequence of isocyanides with two molecules of acylketene formed in situ from thermal-induced Wolff rearrangement of 2-diazo-1,3-diketones. Sci. Bull. 2020, 65, 670–677. [Google Scholar] [CrossRef] [Green Version]
- Perez, F.; Leveille, T.; Bertolotti, M.; Rodriguez, J.; Coquerel, Y. Spirobicyclic and Tetracyclic Pyrazolidinones: Syntheses and Properties. Eur. J. Org. Chem. 2019, 2019, 6034–6043. [Google Scholar] [CrossRef]
- Gu, Z.-Y.; Han, H.; Li, Z.-Y.; Ji, S.-J.; Xia, J.-B. Catalytic synthesis of functionalized amidines via cobalt-carbene radical coupling with isocyanides and amines. Org. Chem. Front. 2021, 8, 1544–1550. [Google Scholar] [CrossRef]
- Wang, N.N.; Hao, W.J.; Zhang, T.S.; Li, G.; Wu, Y.N.; Tu, S.J.; Jiang, B. Metal-free C(sp(3))-H functionalization: Oxidative carbo-oxygenation of alpha-diazo carbonyls via radical dediazotization. Chem. Commun. 2016, 52, 5144–5147. [Google Scholar] [CrossRef] [Green Version]
- Ling, J.; Zhang, J.; Zhao, Y.; Xu, Y.; Wang, H.; Lv, Y.; Ji, M.; Ma, L.; Ma, M.; Wan, X. A Cu-catalyzed four-component cascade reaction to construct beta-ester-gamma-amino ketones. Org. Biomol. Chem. 2016, 14, 5310–5316. [Google Scholar] [CrossRef] [Green Version]
- Li, M.H.; Si, X.J.; Zhang, H.; Yang, D.; Niu, J.L.; Song, M.P. Directed Cobalt-Catalyzed C-H Activation to Form C-C and C-O Bonds in One Pot via Three-Component Coupling. Org. Lett. 2021, 23, 914–919. [Google Scholar] [CrossRef] [PubMed]
- Jiang, L.; Jin, W.; Hu, W. Double C–H Functionalization of Indoles via Three-Component Reactions/CuCl2-Catalyzed Aerobic Dehydrogenative Coupling for the Synthesis of Polyfunctional Cyclopenta[b]indoles. ACS Catal. 2016, 6, 6146–6150. [Google Scholar] [CrossRef]
- He, X.; Zhu, L.; Heng, D.; Liu, F.; Liu, S.; Zhong, K.; Shan, C.; Bai, R.; Lan, Y. Mechanistic insights into the rhodium–copper cascade catalyzed dual C–H annulation of indoles. Org. Chem. Front. 2021, 8, 1739–1746. [Google Scholar] [CrossRef]
- Jia, S.K.; Song, L.L.; Lei, Y.B.; Gopi Krishna Reddy, A.; Xing, D.; Hu, W.H. A Rh(ii)-catalyzed three-component reaction of 3-diazooxindoles with N,N-disubstituted anilines and glyoxylates for the synthesis of 3-aryl-3-substituted oxindoles. Org. Biomol. Chem. 2016, 14, 10157–10160. [Google Scholar] [CrossRef]
- Kang, Z.; Zhang, D.; Xu, X.; Hu, W. Privilege-Structure-Oriented Three-Component Asymmetric Aminomethylation: Assembly of Chiral 3-Aminomethyl Indolones. Org. Lett. 2019, 21, 9878–9883. [Google Scholar] [CrossRef] [PubMed]
- Niu, L.; Pi, R.; Dong, S.; Liu, S. Aromatic C-H Bond Functionalized via Zwitterion Intermediates to Construct Bioxindole Containing Continuous Quaternary Carbons. J. Org. Chem. 2019, 84, 15192–15200. [Google Scholar] [CrossRef]
- Komatsuda, M.; Kato, H.; Muto, K.; Yamaguchi, J. Pd-Catalyzed Dearomative Three-Component Reaction of Bromoarenes with Diazo Compounds and Allylborates. ACS Catal. 2019, 9, 8991–8995. [Google Scholar] [CrossRef]
- Kato, H.; Musha, I.; Komatsuda, M.; Muto, K.; Yamaguchi, J. Catalytic three-component C-C bond forming dearomatization of bromoarenes with malonates and diazo compounds. Chem. Sci. 2020, 11, 8779–8784. [Google Scholar] [CrossRef] [PubMed]
- Lubcke, M.; Bezhan, D.; Szabo, K.J. Trifluoromethylthiolation-arylation of diazocarbonyl compounds by modified Hooz multicomponent coupling. Chem. Sci. 2019, 10, 5990–5995. [Google Scholar] [CrossRef] [PubMed] [Green Version]
- Luan, Y.; Yu, J.; Zhang, X.; Schaus, S.E.; Wang, G. Diastereoselective three-component synthesis of beta-amino carbonyl compounds using diazo compounds, boranes, and acyl imines under catalyst-free conditions. J. Org. Chem. 2014, 79, 4694–4698. [Google Scholar] [CrossRef]
- Panish, R.; Chintala, S.R.; Boruta, D.T.; Fang, Y.; Taylor, M.T.; Fox, J.M. Enantioselective synthesis of cyclobutanes via sequential Rh-catalyzed bicyclobutanation/Cu-catalyzed homoconjugate addition. J. Am. Chem. Soc. 2013, 135, 9283–9286. [Google Scholar] [CrossRef] [Green Version]
- Wu, D.; Wang, Y.; Zhou, J.; Sun, Q.; Zhao, Y.; Xu, X. Functionalization of Diazo Groups by the Nucleophilic Addition of Two Molecules of a Dimethylsulfonium Ylide to alpha-Diazo-beta-ketoesters/ketones: Synthesis of Highly Functionalized Hydrazones. Org. Lett. 2019, 21, 8722–8725. [Google Scholar] [CrossRef]
- Suleman, M.; Xie, J.; Wang, Z.; Lu, P.; Wang, Y. Base Promoted Three-Component Annulation of 4-Diazoisochroman-3-imines with Dimethylsulfonium Ylides: Synthesis of Highly Functionalized Isochromeno[4,3-c]pyridazines. J. Org. Chem. 2021, 86, 455–465. [Google Scholar] [CrossRef] [PubMed]
- Suleman, M.; Li, Z.; Lu, P.; Wang, Y. Copper-Catalyzed Dimerization of Sulfoxonium Ylides with 3-Diazoindolin-2-imines: A Practical and Efficient Approach to Spiro[cyclopropane-1,3′-indolin]-2′-imines. Eur. J. Org. Chem. 2019, 2019, 4447–4456. [Google Scholar] [CrossRef]
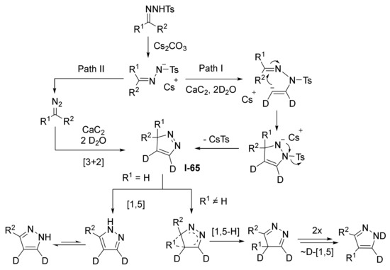
- Yu, Y.; Huang, W.; Chen, Y.; Gao, B.; Wu, W.; Jiang, H. Calcium carbide as the acetylide source: Transition-metal-free synthesis of substituted pyrazoles via [1,5]-sigmatropic rearrangements. Green Chem. 2016, 18, 6445–6449. [Google Scholar] [CrossRef]
- Wu, G.; Deng, Y.; Luo, H.; Li, T.; Zhang, Y.; Wang, J. Palladium-Catalyzed Cascade Reactions ofα-Halo-N-Tosylhydrazones, Indoles, and Aryl Iodides. Asian J. Org. Chem. 2016, 5, 874–877. [Google Scholar] [CrossRef]
- Wu, G.; Deng, Y.; Luo, H.; Zhou, J.; Li, T.; Zhang, Y.; Wang, J. Transition-metal-free cascade reaction of alpha-halo-N-tosylhydrazones, indoles and arylboronic acids. Chem. Commun. 2016, 52, 5266–5268. [Google Scholar] [CrossRef]
- Jung, D.J.; Jeon, H.J.; Lee, J.H.; Lee, S.G. Cu(I)/Rh(II)-Catalyzed Tandem Convergent Multicomponent Reaction for the Regio- and Stereocontrolled Synthesis of gamma-Oxo-beta-amino Esters. Org. Lett. 2015, 17, 3498–3501. [Google Scholar] [CrossRef]
- Bucci, R.; Dapiaggi, F.; Macut, H.; Pieraccini, S.; Sironi, M.; Gelmi, M.L.; Erba, E.; Pellegrino, S. On-resin multicomponent 1,3-dipolar cycloaddition of cyclopentanone-proline enamines and sulfonylazides as an efficient tool for the synthesis of amidino depsipeptide mimics. Amino Acids 2020, 52, 15–24. [Google Scholar] [CrossRef]
- Kajihara, R.; Harada, S.; Ueda, J.; Nemoto, T. Synthesis of functionalized iodoalkenes using a multicomponent reaction triggered by electrophilic iodination of alkenyldiazoacetates. Tetrahedron Lett. 2018, 59, 1906–1908. [Google Scholar] [CrossRef]
- Huang, J.; Li, L.; Chen, H.; Xiao, T.; He, Y.; Zhou, L. Silver-catalyzed geminal aminofluorination of diazoketones with anilines and N-fluorobenzenesulphonimide. Org. Chem. Front. 2017, 4, 529–533. [Google Scholar] [CrossRef]
- Che, J.; Gopi Krishna Reddy, A.; Niu, L.; Xing, D.; Hu, W. Cu(I)-Catalyzed Three-Component Reaction of alpha-Diazo Amide with Terminal Alkyne and Isatin Ketimine via Electrophilic Trapping of Active Alkynoate-Copper Intermediate. Org. Lett. 2019, 21, 4571–4574. [Google Scholar] [CrossRef]
- Wang, C.; Ye, F.; Wu, C.; Zhang, Y.; Wang, J. Construction of All-Carbon Quaternary Centers through Cu-Catalyzed Sequential Carbene Migratory Insertion and Nucleophilic Substitution/Michael Addition. J. Org. Chem. 2015, 80, 8748–8757. [Google Scholar] [CrossRef]
- Tang, Y.; Xu, J.; Yang, J.; Lin, L.; Feng, X.; Liu, X. Asymmetric Three-Component Reaction for the Synthesis of Tetrasubstituted Allenoates via Allenoate-Copper Intermediates. Chem 2018, 4, 1658–1672. [Google Scholar] [CrossRef] [Green Version]
- Lv, X.; Kang, Z.; Xing, D.; Hu, W. Cu(I)-Catalyzed Three-Component Reaction of Diazo Compound with Terminal Alkyne and Nitrosobenzene for the Synthesis of Trifluoromethyl Dihydroisoxazoles. Org. Lett. 2018, 20, 4843–4847. [Google Scholar] [CrossRef] [PubMed]
- Xia, Y.; Feng, S.; Liu, Z.; Zhang, Y.; Wang, J. Rhodium(I)-Catalyzed Sequential C(sp)-C(sp(3)) and C(sp(3))-C(sp(3)) Bond Formation through Migratory Carbene Insertion. Angew. Chem. 2015, 54, 7891–7894. [Google Scholar] [CrossRef] [PubMed]
- Sun, Q.; Li, L.; Liu, L.; Yang, Y.; Zha, Z.; Wang, Z. Copper-catalyzed 1,1-difunctionalization of terminal alkynes: A three-component reaction for the construction of vinyl sulfones. Sci. China Chem. 2019, 62, 904–908. [Google Scholar] [CrossRef]
- Gao, B.; Huang, H. Copper-Catalyzed Difunctionalization of Terminal Alkynes with Diazo Esters and Amines to Construct β-Enamino Esters. Adv. Synth. Catal. 2016, 358, 4075–4084. [Google Scholar] [CrossRef]
- Ruan, S.; Zhong, X.; Chen, Q.; Feng, X.; Liu, X. An asymmetric hydrocyanation/Michael reaction of alpha-diazoacetates via Cu(i)/chiral guanidine catalysis. Chem. Commun. 2020, 56, 2155–2158. [Google Scholar] [CrossRef]
- Kumar, G.S.; Khot, N.P.; Kapur, M. Oxazolinyl-Assisted Ru(II)-Catalyzed C−H Functionalization Based on Carbene Migratory Insertion: A One-Pot Three-Component Cascade Cyclization. Adv. Synth. Catal. 2018, 361, 73–78. [Google Scholar] [CrossRef]
- Zhang, X.; Wang, P.; Zhu, L.; Chen, B. Rhodium(III)-catalyzed chemodivergent annulations between phenyloxazoles and diazos via C–H activation. Chin. Chem. Lett. 2021, 32, 695–699. [Google Scholar] [CrossRef]
- Zhou, C.; Jiang, J.; Wang, J. Three-Component Synthesis of Isoquinoline Derivatives by a Relay Catalysis with a Single Rhodium(III) Catalyst. Org. Lett. 2019, 21, 4971–4975. [Google Scholar] [CrossRef] [PubMed]
- Audic, B.; Cramer, N. Rhodium(III)-Catalyzed Cyclopropane C-H/C-C Activation Sequence Provides Diastereoselective Access to alpha-Alkoxylated gamma-Lactams. Org. Lett. 2020, 22, 5030–5034. [Google Scholar] [CrossRef] [PubMed]
























































































































Publisher’s Note: MDPI stays neutral with regard to jurisdictional claims in published maps and institutional affiliations. |
© 2021 by the authors. Licensee MDPI, Basel, Switzerland. This article is an open access article distributed under the terms and conditions of the Creative Commons Attribution (CC BY) license (https://creativecommons.org/licenses/by/4.0/).
Share and Cite
Bakulina, O.; Inyutina, A.; Dar’in, D.; Krasavin, M. Multicomponent Reactions Involving Diazo Reagents: A 5-Year Update. Molecules 2021, 26, 6563. https://doi.org/10.3390/molecules26216563
Bakulina O, Inyutina A, Dar’in D, Krasavin M. Multicomponent Reactions Involving Diazo Reagents: A 5-Year Update. Molecules. 2021; 26(21):6563. https://doi.org/10.3390/molecules26216563
Chicago/Turabian StyleBakulina, Olga, Anna Inyutina, Dmitry Dar’in, and Mikhail Krasavin. 2021. "Multicomponent Reactions Involving Diazo Reagents: A 5-Year Update" Molecules 26, no. 21: 6563. https://doi.org/10.3390/molecules26216563
APA StyleBakulina, O., Inyutina, A., Dar’in, D., & Krasavin, M. (2021). Multicomponent Reactions Involving Diazo Reagents: A 5-Year Update. Molecules, 26(21), 6563. https://doi.org/10.3390/molecules26216563

