Qualitative Analysis and Componential Differences of Chemical Constituents in Taxilli Herba from Different Hosts by UFLC-Triple TOF-MS/MS
Abstract
1. Introduction
2. Results
2.1. Optimization of Extraction Conditions
2.2. Optimization of UFLC-Triple TOF-MS/MS Conditions
2.3. Identification of the Constituents in TH
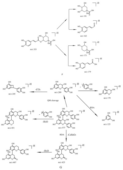
2.3.1. Identification of Flavonoids
2.3.2. Identification of Phenolic Acids
2.3.3. Identification of Phenylpropanoids
2.3.4. Identification of Tannins
2.3.5. Identification of Glycosides
2.4. Analysis of the Differential Constituents of TH from Different Hosts
2.4.1. PLS-DA of the Samples
2.4.2. Identification of the Differential Chemical Constituents
3. Discussion
4. Materials and Methods
4.1. Chemicals and Reagents
4.2. Plant Materials
4.3. UFLC-Triple TOF-MS/MS Analysis of TH
4.3.1. Preparation of Standard and Sample Solutions
4.3.2. UFLC-Triple TOF-MS/MS Conditions
4.3.3. Identification of the Constituents
4.4. Analysis of Differential Constituents in TH from Different Hosts
4.4.1. Chromatographic Processing and Statistical Analysis
4.4.2. Identification of the Differential Chemical Constituents
5. Conclusions
Supplementary Materials
Author Contributions
Funding
Institutional Review Board Statement
Informed Consent Statement
Data Availability Statement
Conflicts of Interest
Sample Availability
References
- National Pharmacopoeia Committee. Pharmacopoeia of the People’s Republic of China. Part I; Chemical Industry Press: Beijing, China, 2020; p. 312. [Google Scholar]
- Zhang, H.; Huang, F.Y.; Su, B.W. Impacts of different host trees on the quality of Taxillus Chinensis. Mod. Trad. Chin. Med. Mat. Sci. Tech. 2016, 18, 1182–1187. [Google Scholar]
- Lv, L.; Zhu, Y.M.; Xu, M.D. Study on flavones from Taxillus Chinensis (DC.) Danser and assay of its quercetin. Chin. Tradit. Pat. Med. 2004, 26, 68–70. [Google Scholar]
- Chen, J.T.; Feng, F. Studies on chemical constituents of Taxillus sutchuenenisis. J. Chin. Med. Mater. 2007, 30, 1393–1395. [Google Scholar]
- Li, M.R.; Li, L.Q.; Ma, X.Y.; Hu, X.B. Studies on chemical constituents of Song-Ji-Sheng isolation and identification of d-catechin and quercitrin from the leaves of Guang-Ji-Sheng (Taxillus Chinensis (DC.) Danser). West China J. Pharm. Sci. 1986, 1, 131–134. [Google Scholar]
- Li, L.Q.; Li, M.R. Isolation and identification of hyperin from the the leaves of Chinensis (DC.) Danser. West China J. Pharm. Sci. 1989, 4, 153–154. [Google Scholar]
- Li, L.Q.; Li, M.R.; Yang, Z.B.; Hu, X.B. Studies on the chemical constituents of Hairy leaf Taxillus (Taxillus nigrans). Chin. Tradit. Herb. Drugs 1995, 26, 118–121. [Google Scholar]
- Huang, F.T.; Liu, R.Y.; Chai, Z.S.; Su, B.W.; Zhu, K.X.; Lu, H.L.; Li, Y.H. Study on aromatic components in essential oils of Taxillus Chinensis from different cold/hot properties hosts by GC-MS. Asia-Pac. Trad. Med. 2019, 15, 61–66. [Google Scholar]
- Li, B.; Jia, N.F.; Zhu, X.Y.; Lv, R.M.; Liao, P.Y. Studies on chemical constituents of essential oils from the two different host’s Taxillus chinensis by SFE-CO2. Lishizhen Med. Mater. Med. Res. 2013, 24, 837–838. [Google Scholar]
- Wang, Y.L.; Zhang, W.L.; Zhou, H.H.; Long, X.Q.; Lou, T.T.; Zhou, C.; Xu, H. Research on the effects of Taxillus sutchuenensis volatile components in different host plants. Chin. J. Ethnomed. Ethnopharm. 2015, 24, 17–32. [Google Scholar]
- Liao, P.Y.; Li, B.; Zhu, X.Y.; Shao, M.M.; Lu, R.M. Volatile constituents from Taxillus chinensis (DC.) Danser extracted by steam distillation and CO2 supercritical fluid extraction. Lishizhen Med. Mater. Med. Res. 2012, 23, 32–34. [Google Scholar]
- Ding, B.; Dai, Y.; Hou, Y.L.; Wu, X.M.; Chen, X.; Yao, X.S. Four new hemiterpenoid derivatives from Taxillus chinensis. Fitoterapia 2013, 86, 1–5. [Google Scholar] [CrossRef]
- Wang, J. Sang parasitic research overview. J. Pract. Trad. Chin. Int. Med. 2018, 32, 74–77. [Google Scholar]
- Li, D.; Li, A.P.; Li, K.; Liu, Y.T.; Qin, X.M. Research on qualitative analysis of chemical composition of traditional Chinese medicine by liqiud chromatography-mass spectrom. Drug. Eval. Res. 2020, 43, 2112–2119. [Google Scholar]
- Wong, K.H.; Razmovski-Naumovski, V.; Li, K.M.; George, Q.L.; Kelvin, C. Differentiating Puerariae Lobatae Radix and Puerariae Thomsonii Radix using HPTLC coupled with multivariate classification analyses. J. Pharm. Biomed. Anal. 2014, 95, 11–19. [Google Scholar] [CrossRef]
- Sun, L.L.; Ren, X.L.; Zhang, H.J.; Wang, M.; Liu, Y.N.; Deng, Y.R.; Qi, A.D. Research on processing of Radix Polygoni Multiflori based on UPLC fingerprints and chemometrics. Chin. J. Tradit. Chin. Med. Pharm. 2017, 32, 2194–2197. [Google Scholar]
- Zhou, X.D.; Tang, L.Y.; Wu, H.W.; Zhou, G.H.; Wang, T.; Kou, Z.Z.; Li, S.X.; Wang, Z.J. Chemometric analyses for the characterization of raw and processed seeds of (Descurainia sophia L.) based on HPLC fingerprints. J. Pharm. Biomed. Anal. 2015, 111, 1–6. [Google Scholar] [CrossRef]
- Zhang, D.K.; Han, X.; Li, R.Y.; Niu, M.; Zhao, Y.L.; Wang, K.B.; Yang, M.; Xiao, X.H. Analysis on characteristic constituents of crude Aconitum carmichaelii in different regions based on UPLC-Q-TOF-MS. China J. Chin. Mater. Med. 2016, 41, 463–469. [Google Scholar]
- Wu, H.G.; Zhong, S.M.; Peng, L.; Wu, W.G.; Li, Z.; Li, W.L. HPLC-ESI-MS/MS analysis of active component differences in Astragalus before and after honey-fried. J. Chin. Mass Spectrom. Soc. 2020, 41, 637–647. [Google Scholar]
- Su, N. Study on Fragmentation Regularity and HPLC/MS Analysis of Carbohydrate. Ph.D. Thesis, Hunan Normal University, Hunan, China, 2010. [Google Scholar]
- Rutherford, D.; Richtmyer, N.K. Primeverulose (6-O-β-D-xylopyranosyl-D-fructose) and some derivatives thereof. Carbohydr. Res. 1969, 11, 41–345. [Google Scholar] [CrossRef]
- Huang, L.P.; Huang, L.Y.; Li, Z.X. Analysis of six nucleosides from Goodyera matsumurana by high performance liquid chromatogrpahy-mass spectrometry. Chin. J. Hosp. Pharm. 2015, 35, 678–682. [Google Scholar]
- Yin, Z.H. Quantum Chemistry Study on ESI-ITMsn Fragmentation of Caffeoylquinin Acids. Ph.D. Thesis, Jiamusi University, Heilongjiang, China, 2017. [Google Scholar]
- Liu, B.M.; Lin, X. Study on the mass spectra of shikimic acid. J. Guangxi Acad. Sci. 2006, 22, 469–470+474. [Google Scholar]
- Mao, Q.P.; He, M.Z.; Huang, X.F.; Du, H.; Luo, D.W.; Zhang, H.Q.; OuYang, H.; Fu, G.Q.; Fei, N.; Zhong, K. Analysis of chemical components of Perilla frutescens based on ultra high performance liquid chromatography-quadrupole/time of flight mass spectrom(UHPLC-Q/TOF MS). Mod. Food Sci. Technol. 2021, 37, 282–291. [Google Scholar]
- Yang, R.R. Quality Control of Caulis Spatholobi and Its Antithrombotic Effect on Zebrafish. Ph.D. Thesis, Beijing University of Chinese Medicine, Beijing, China, 2018. [Google Scholar]
- Yang, J.; Li, Z.L.; Zhou, L.; Zuo, L.H.; Wang, S.; Li, D.L.; Kang, J.; Sun, Z.; Zhang, X.J. Multiple constituents study of Qianliexin Capsule based on UHPLC-Q-Orbitrap HRMS. Chin. Tradit. Herb. Drugs 2019, 50, 3291–3301. [Google Scholar]
- Ma, S.Z.; Qin, H.Y.; Long, F.; Yu, W.; OuYang, H.; Chen, W.; Han, B. Identification and fragmentation regularity of polyphenol compounds from Galla Quercina by UPLC-MS/MS. Chin. Tradit. Herb. Drugs 2017, 48, 4632–4638. [Google Scholar]
- Allen, F.; Greiner, R.; Wishart, D. Competitive fragmentation modeling of ESI-MS/MS spectra for putative metabolite identification. Metabolomics 2015, 11, 98–110. [Google Scholar] [CrossRef]
- Kaneda, M. Lilioside a from Lilium longiflorum: Synthesis and absolute configuration. Phytochemistry 1990, 29, 3559–3564. [Google Scholar] [CrossRef]
- Chen, Y.Q.; Fan, X.S.; Zhu, Z.H.; Peng, G.P.; Duan, J.A. Chenical constituents of shuangshen pingfei granules by UPLC-ESI-Q-TOF-MS/MS. Chin. Tradit. Herb. Drugs 2020, 51, 321–329. [Google Scholar]
- Ishii, H.; Kobayashi, J.I.; Seki, H.; Ishikawa, T. Toddacoumaquinone, a unique coumarin-naphthoquinone dimer, from Toddalia asiatica (L.) lam. (t. aculeata pers.). Chem. Pharm. Bull. 2008, 40, 1358–1359. [Google Scholar] [CrossRef][Green Version]
- Jaing, H.Q.; Rong, R.; Lv, H.Q. Identification of chemical composition in Rhubarb by high performance liquid chromatography with mass spectrometry. Lishizhen Med. Mater. Med. Res. 2011, 22, 1705–1706. [Google Scholar]
- Diao, Y.P. Chemical composition of compound Ziling Capsule by UPLC-ESI-QTOF-MS-MS. Chin. J. Exp. Tradil. Med. Formulae 2011, 17, 64–68. [Google Scholar]
- Wang, Q.; Lu, Z.W.; Liu, Y.H.; Wang, M.L.; Fu, S.; Zhang, Q.Q.; Zhao, H.Z.; Zhang, Z.X.; Xie, Z.Y.; Huang, Z.H.; et al. Rapid analysis on phenolic compounds in Rheum palmatum based on UPLC-Q-TOF/MSE combined with diagnostic ions filter. China J. Chin. Mater. Med. 2017, 42, 1922–1931. [Google Scholar]
- Nomura, T.; Aida, M.; Yamaguchi, N.; Hano, Y. Artonols A, B, C, D, and E, Five New Isoprenylated Phenols from the Bark of Artocarpus communis Forst. Heterocycles 1997, 45, 163–175. [Google Scholar] [CrossRef]
- Ranganathan, K.R.; Seshadri, T.R. A new flavono-lignan from hydnocarpus wightiana. Tetrahedron Lett. 1973, 14, 3481–3482. [Google Scholar] [CrossRef]
- Li, Y.; Wu, Q.; Li, Q.; Li, X.; Dong, Z.J. Quick identification and analysis of chemical constituents in silymarin capsules by UPLC-QTOF/MS. Chin. J. Hosp. Pharm. 2017, 37, 2259–2265. [Google Scholar]
- Zhao, T.T. Studies on the Correlation between Efficacies and Active Ingredients in the Same Origin Herbal Raw Materials, Mori Ramulus and Mori Cortex. Ph.D. Thesis, Shanxi Med University, Shanxi, China, 2017. [Google Scholar]
- Jing, L.; Feng, X.; Zhang, Y.Z.; Huang, S.; Zang, X.Y.; Zhao, X.; Lei, Z.; Shang, M.Y.; Yang, D.H.; Xuan, W. The profiling and identification of the absorbed constituents and metabolites of Paeoniae Radix Rubra decoction in rat plasma and urine by the HPLC-DAD-ESI-IT-TOF-MS(n) technique: A novel strategy for the systematic screening and identification of absorbed. J. Pharm. Biomed. Anal. 2013, 83, 108–121. [Google Scholar]
- Yang, D.X.; Chen, X.J.; Hu, Q.J.; Yang, J.Y.; Xiao, B.K.; Huang, Q.R. LC-MS method for determination of 5 kinds of polyphenols in grape seed extract. Chin. J. Pharm. Anal. 2016, 36, 1330–1337. [Google Scholar]
- Gao, N.Q.; Cao, Y.H.; Tao, G.J. HPLC-MS analysis of cynomorium songaricum rupr. Mod. Chem. Ind. 2010, 30, 91–93. [Google Scholar]
- Ren, Q.L.; Wei, G.H.; Jin, M.C.; Su, B.G.; Huang, M. Determination of oligomeric proanthcyanidins in grape seeds by RP-HPLC/ESI-MS. Food Ferment. Ind. 2006, 32, 79. [Google Scholar]
- Zhang, X.N.; Su, M.S.; Du, J.H.; Zhou, H.J.; Li, X.W.; Li, X.; Ye, Z.W. Comparison of Phytochemical Differences of the Pulp of Different Peach [Prunus persica (L.) Batsch] Cultivars with Alpha-Glucosidase Inhibitory Activity Variations in China Using UPLC-Q-TOF/MS. Molecules 2019, 24, 1968. [Google Scholar] [CrossRef]
- Fabre, N.; Rustan, I.; Hoffmann, E.D.; Quetin-Leclercq, J. Determination of flavone, flavonol, and flavanone aglycones by negative ion liquid chromatography electrospray ion trap mass spectrometry. J. Am. Soc. Mass Spectrom. 2001, 12, 707–715. [Google Scholar] [CrossRef]
- Yang, Y.X.; Liao, S.G.; Wang, Z.; Li, Y.J.; Liang, Y.; Hao, X.Y.; Wang, Y.L. Analysis of water-soluble chemical conatituents of Indigofeare Stachyoidis Radix by UHPLC-DAD-Q-TOF-MS/MS. Chin. J. Exp. Tradil. Med. Formulae 2014, 20, 63–67. [Google Scholar]
- Wang, T.S.; He, C.G.; Wen, Q.H.; Liu, P.M.; Yang, M. Fragmentation study of benzoic acid type small aromatic molecules by ESI-MSn. J. Hainan Norm. Univ. Nat. Sci. 2020, 33, 36–43. [Google Scholar]
- Li, C.M.; An, Y.T.; Wang, T.; Shang, H.H.; Gao, X.M.; Zhang, Y. Isolation and identification of chemical constituents from the flowers of Abelmoschus manihot (L.) Medic (Ⅲ). J. Shenyang Pharm. Univ. 2011, 28, 520–525. [Google Scholar]
- Wang, Y.L.; Zhang, C.; Zhang, F.; Huang, J.; Wang, D.D.; Zhao, Y.F.; Liu, W.; Ge, G.B.; Xu, J.G. Chemical profilinf and tissue distribution study of Jingyin granules in rats using UHPLC-Q-Exactive Orbitrap HR-MS. China J. Chin. Mater. Med. 2020, 45, 5537–5554. [Google Scholar]
- Meng, X.W.; Cai, D.J.; Zhu, Q.; Zhang, H.G.; Wang, M.F.; Liu, Y.; Tang, R.F.; Shao, F.; Chen, L.Y.; Liu, R.H. Rapid identification and analysis of chemical components in heartwood of Dalbergia cochinchinensis by UPLC-Q-TOF-MS/MS. Chin. J. Exp. Tradil. Med. Formulae 2020, 26, 143–156. [Google Scholar]
- Jin, J.Z.; Shen, T.C.; Xu, H.Y.; Zhou, Z.Q. Extraction and identification of dihydroquercetion from Larch Wood. J. Zhejiang. For. Sci. Tech. 2004, 24, 16–18. [Google Scholar]
- Wang, Y.Q.; Li, S.J.; Zhuang, G. The analysis of serum pharmacochemistry of Bidens bipinnata L. based on HPLC-Q-TOF/MS. Chin. Tradit. Pat. Med. 2020, 42, 3074–3078. [Google Scholar]
- Kilic, A.; Kollmannsberger, H.; Nitz, S. Glycosidically bound volatiles and flavor precursors in Laurus nobilis. J. Agr. Food Chem. 2005, 53, 2231. [Google Scholar] [CrossRef]
- Shu, P.; Hong, J.L.; Wu, G.; Yu, B.Y.; Qin, M.J. Analysis of flavonoids and phenolic acids in Iris tectorum by HPLC-DAD-ESI-MSn. Chin. J. Nat. Med. 2010, 8, 202–207. [Google Scholar] [CrossRef]
- Kang, Y.; Mao, Y.N.; Wang, F.F.; Wu, W.Q.; Liu, Y. Analysis of chemical components in leaves of Hippophae rhamnoides by UPLC-LTQ Orbitrap MS. Mod. Chin. Med. 2018, 20, 1340–1346+1366. [Google Scholar]
- Li, W.; Feng, Y.L.; Li, T.E.; Wu, H.; Li, Y.; Zhong, G.Y.; Wu, B.; He, M.Z. Rapid analysis on flavonoids in Glechoma longituba (Nalai) Kupr by UPLC-Q-TOF/MS couple with diagnostic ions. J. Chin. Mass Spectrom. Soc. 2016, 37, 504–516. [Google Scholar]
- Li, X. Quantum Chemistry Study on ESI-ITMSn Cleavage Regularity of Falvonol Compounds. Ph.D. Thesis, Jiamusi University, Heilongjiang, China, 2015. [Google Scholar]
- Yong, P.; Liu, Y.; Lv, L.Y.; Zhang, Z.F.; Luo, H.; Zeng, R. Rapid identification on chemical compounds in roots of Rheum nobile based on UPLC-ESI-HRMSn. Chin. Tradit. Herb. Drugs 2019, 50, 1066–1074. [Google Scholar]
- Liu, G.Q.; Dong, J.; Wang, H.; Wan, L.R.; Duan, Y.S.; Chen, S.Z. ESI dragmentation studies of four tea catechins. Chem. J. Chin. Univ. 2009, 30, 1566–1570. [Google Scholar]
- Ke, Y.M.A. Study on the Mass Spectrometric Analytical Method of Flavonoid Glycosides. Ph.D. Thesis, Peking Union Medical College, Beijing, China, 2006. [Google Scholar]
- Wang, Y.; Gu, W.T.; Ding, Z.H.; Chen, S.Q.; Xiao, S.Y.; Yu, Y.H.; Du, B.F.; Song, Y.T. Identification and analysis of quercetin and its glycosides in Rosa Roxburghii by Ultra High Performance Liqiud Chromatograph-Tandem High Resolution Mass Spectrometry. Chin. J. Anal. Chem. 2020, 48, 955–961. [Google Scholar]
- Zuo, L.H.; Zhou, L.; Li, Z.L.; Wang, Z.H.; Shi, Y.Y.; Jiang, X.F.; Li, X.; Sun, Z.; Zhang, X.J. Study on chemical constituents of Tiandan Tongluo Capsule based on UPLC-Q-Orbitrap HRMS. Chin. Tradit. Herb. Drugs 2018, 49, 1031–1040. [Google Scholar]
- Li, Z.H.; Wei, Y.; Fan, Y.; Zhu, J.; Zhao, T.Z. Analysis of rutin by electrospray iontrao mass spectrometry. Chin. J. Anal. Lab. 2015, 34, 186–189. [Google Scholar]
- Cheng, R.S. Analysis of the Basis of Pharmacodynamics of Mulberry Herbs (Mori Folium, Mori Ramulus, Mori Cortex, Mori Fructus). Ph.D. Thesis, Jiangsu University, Jiangsu, China, 2019. [Google Scholar]
- Xu, W.; Fu, Z.Q.; Lin, J.; Huang, X.C.; Chen, D.; Yu, H.M.; Fan, S.M. Qualitative and quantitative analysis of major constituents in Tetrastigma hemsleyanum by HPLC-Q-TOF-MS and UPLC-QqQ-MS. China J. Chin. Mater. Med. 2014, 39, 4365–4372. [Google Scholar]
- Li, R.R.; Zhao, D.; Li, M.M.; Shu, S.N.; Wang, P.Y.; Li, H.R.; Feng, S.X. Study on the metabolites of Bulbus Fritillariae Thunbergii and Pericarpium Citri Reticulatae in rats based on HPLC-Q Exactive-Orbitrap high-resolution mass spectrometry. Chin. J. Pharm. Anal. 2020, 40, 1413–1424. [Google Scholar]
- Zhao, X.S.; Yang, M.H.; Wu, H.F.; Shu, X.Y. Fragmentation behaviour for Iridiod glucosides and anthraquinones in Morinda officinalis by ESI-Q-TOF- MS/MS in negative mode. J. Chin. Mass Spectrom. 2018, 39, 342–350. [Google Scholar]
- Shao, B.; Xiong, Y.X.; Xie, B.; Chen, F.; Zhu, Y.Y.; Yuan, E.; Li, Y.G. Analysis of chemical components of Sarcandrae Herba based on UPLC-Q-TOF-MS. Chin. J. Pharm. Anal. 2021, 41, 1054–1063. [Google Scholar]
- Xie, J.; Zhang, L.; Zeng, J.X.; Li, M.; Wang, J.; Xie, X.X.; Zhong, G.Y.; Luo, G.M.; Yuan, J.B.; Liang, J. Fast identification of constituents of Logotis brevituba by using UPLC-Q-TOF-MS/MS method. China J. Chin. Mater. Med. 2017, 42, 2123–2130. [Google Scholar]
- Zhao, X.M.; Cheng, Y.X.; Liang, C.X.; Guo, J.; Liu, X.Q.; Feng, W.H.; Zhao, Z.B.; Yan, L.H.; Wang, Z.M. Analysis of chemical constituents in Euodiae fructus by UPLC-Q-TOF-MS/MS. Chin. J. Exp. Tradil. Med. Formulae 2021, 27, 113–126. [Google Scholar]
- Long, H.P.; Li, X.; Wang, T.T.; Wei, J.Y.; Li, D.F.; Zhang, Y.; Tang, C.Y.; Tang, D.F.; Wu, H.W.; Yang, H.J. Study on chemical constituents from Xiaoer Fupi Granules based on UPLC-LTQ-Orbitrap-MS. Chin. Tradit. Herb. Drugs 2018, 49, 5522–5531. [Google Scholar]
- Dong, J.; Wang, H.; Wan, L.R.; Duan, Y.S.; Chen, S.Z. Study on the fragmentation of EGC/GC and EGCG/GCG using ESI-IT-TOF. J. Chin. Mass Spectrom. 2009, 30, 287–294. [Google Scholar]
- Qin, Z.X.; Zhang, Y.; Qi, M.D.; Zhang, Q.; Liu, S.; Li, Y.H.; Liu, Y.G.; Liu, H. Rapid analysis of compounds in leaves of Chinese seabuckthorn and Tibetan seabuckthorn by UPLC/Q -TOF-MS. China J. Chin. Mater. Med. 2016, 41, 1461–1468. [Google Scholar]
- Li, L.Y.; Wang, Y.; Liu, M.J.; Zhang, X.; Li, X.Q.; Dai, Y.J.; Ma, Y.L.; Zhang, C. Analysis of chemical components in Zhizi Jinhua Wan by UPLC-Q-TOF-MS/MS. Chin. J. Exp. Tradil. Med. Formulae 2017, 23, 1–11. [Google Scholar]
- Du, C.S.; Wu, L.Q.; Li, J.G.; Ma, H.Y. Rapid analysis of chemical components in Flos Chrysanthemi by UPLC-Q-TOF-MS. J. Chin. Med. Mat. 2017, 40, 621–623. [Google Scholar]
- Yi, T.; Zhao, Z.X.; Liu, M.Y. Analysis of the chemical constituents of Flavonoids in Corn Stigma by UPLC-Q-TOF-MS. Chin. Pharm. 2019, 22, 1776–1780. [Google Scholar]










| No. | tR /min | Molecular Formula | MS1(m/z) | MS2(m/z) | Error /ppm | Compound | References |
|---|---|---|---|---|---|---|---|
| 1 | 2.24 | C6H12O6 | 179.0561[M−H]− | 161.0457[M−H−H2O]−, 117.0207, 89.0248, 71.0158 | 0.05 | Glucose | [19] |
| 2 | 2.27 | C5H10N2O3 | 145.0633[M−H]− | 128.0539[M−H-NH3]−, 127.0514[M−H-H2O]−, 101.0725[M−H−CO2]−, 99.0560[M−H-HCOOH]− | 0.70 | Glutamine | [20] |
| 3 | 2.54 | C11H20O10 | 311.0991[M−H]− | 233.0654[M−H−C2H3O2−CHOH]−, 173.0446[M−H−C2H3O2−CHOH−C2H4O2] −,131.0341[M−H−C6H11O6]−, 99.0095[M−H−Xyl−C3H6O2]−, 71.0155[M−H−Xyl−C4H8O3]− | 1.93 | Primeverose | [21] |
| 4 * | 2.59 | C10H13N5O5 | 282.0830[M−H]− | 150.0426[M−H−Rib]−, 133.0153[M−H−Rib−H2O]− | 4.90 | Guanosine | [22] |
| 5 | 2.63 | C7H12O6 | 191.0057[M−H]− | 173.0454[M−H−H2O]−, 127.0397[M−H−H2O−HCOOH]−, 59.0160, 71.0161, 85.0304 | 0.05 | Quinic acid | [23] |
| 6 | 2.86 | C7H10O5 | 173.0472[M−H]− | 155.0407[M−H2O]−, 137.0246[M−H−2H2O]−, 129.0189[M−H−CO2]−, 111.0451[M−H−CO2−H2O]− | 1.10 | Shikimic acid | [24] |
| 7 | 3.12 | C4H6O5 | 133.0146[M−H]− | 115.0041[M−H−H2O]−, 71.0160[M−−H−H2O−CO2]− | 2.60 | Malic acid | [25] |
| 8 | 4.96 | C6H8O7 | 191.0206[M−H]− | 173.0101[M−H−H2O]−, 154.9982[M−H−2H2O]−, 129.0187[M−H−H2O−CO2]−, 103.0400[M−H-2CO2]- | 0.00 | Citric acid | [26] |
| 9 * | 7.93 | C7H6O5 | 169.0138[M−H]− | 125.0240[M−H−CO2]−, 107.0141[M−H−CO2−H2O]−, 97.0341[M−H−CO2−CO]−, 69.0374[M−H−CO2−2CO]− | 2.60 | Gallic acid | [27,28] |
| 10 | 8.00 | C19H16O4 | 307.1029[M−H]− | 145.0508, 127.0397 | 2.60 | Bisdemethoxycurcumin | [29] |
| 11 | 8.86 | C13H16O10 | 331.0673[M−H]− | 179.0137[M−H−G]−, 169.0253, 161.024[M−H−G−H2O]− | 1.80 | Glucogallin | [28] |
| 12 | 9.03 | C13H18O8 | 301.0928[M−H]− | 139.0324[M−H−Glc]−, 123.0089[M−H−Glc−O]− | 1.66 | Tachioside | [26] |
| 13 | 9.34 | C11H20O9 | 295.1045[M−H]− | 131.0934[M−H−Glc]−, 113.0252[M−H−Glc−H2O]−, 85.0306, 71.016, 59.0162 | 0.30 | (1S)-2(Acetyloxy)-1-(hydroxymethy)ethyl-β-D-glucopyranoside | [30] |
| 14 | 9.39 | C20H20O11 | 435.1129[M−H]− | 271.0448[M−H−Glc]−, 313.0354, 151.0037, 125.0245 | 2.52 | Homomangiferin | [31] |
| 15 | 9.43 | C24H20O8 | 435.1124[M−H]− | 313.0509, 151.0025, 123.0085 | 0.23 | Isochinomin | [32] |
| 16 | 9.55 | C26H22O10 | 493.1183[M−H]− | 331.0654[M−H−Gal]− | 1.42 | Fluorescein-β-D-galactopyranoside | [29] |
| 17 | 10.16 | C23H18O7 | 405.1031[M−H]− | 169.0134, 71.0154 | 4.93 | Toddacoumaquinone | [32] |
| 18 | 10.31 | C13H16O10 | 331.1061[M−H]− | 169.0134[M−H−Glc]−, 125.0240[M−H−Glc−CO2]− | 0.60 | Gallic acid 3-O-β-D- glucopyranoside | [33,34,35] |
| 19 | 10.77 | C22H16O6 | 375.0927[M−H]− | 285.0437[M−H−Benzyl group]−, 151.0030[1,3A]− | 1.06 | 7-O-Benzyl Luteolin | [27] |
| 20 | 11.12 | C24H20O7 | 419.1177[M−H]− | 271.0421, 151.0033 | 3.50 | Artonol B | [36] |
| 21 | 11.13 | C25H20O9 | 463.0869[M−H]− | 435.0761[M−H−CO]−, 273.0364[M−H−C10H11O3]−, 151.0927[1,3A]− | 0.00 | Hydrocarpin | [37,38] |
| 22 | 11.30 | C26H30O14 | 565.1547[M−H]− | 403.0473[M−H−Glc]−, 241.0241[M−H−2Glc]− | 2.80 | Mulberroside F | [39] |
| 23 * | 11.38 | C7H6O4 | 153.0194[M−H]− | 109.0303[M−H−CO2]−, 101.0314[M−H−CO2−CO]− | 6.90 | Protocatechuic acid | [27] |
| 24 | 11.68 | C12H14O9 | 301.0565[M−H]− | 283.0456[M−H−H2O]−, 125.0241[M−H−Glc UA]−, 107.0144[M−H−Glc UA−H2O]− | 0.00 | 2,6-Dihydroxyphenyl-β-D- glucopyranosiduronic acid | [40] |
| 25 | 12.24 | C9H8O3 | 163.0401[M−H]− | 119.0482[M−H−CO2]−, 93.0316[M−H−CO2−C2H2]− | 0.18 | p-Coumaric acid | [23] |
| 26 | 12.57 | C30H26O12 | 577.1354[M−H]− | 451.0989[M−H−H2O−C6H5O2]−, 425.0835[M−H−C8H8O3]−, 407.0733[M−H−C8H8O3−H2O]−, 289.0685[M−H−TOP]−, 245.0768[M−H−TOP−CO2]−, 179.0733[M−H−TOP−C6H5O2]−, 125.0231[1,4A]− | 0.40 | Procyanidin B2 | [41,42,43] |
| 27 | 13.22 | C30H26O12 | 577.1354[M−H]− | 451.0986[M−H−H2O−C6H5O2]−, 425.0829[M−H−C8H8O3]−, 407.0745[M−H−C8H8O3−H2O]−, 289.0698[M−H−TOP]−, 245.0743[M−H−TOP−CO2]−, 179.0721[M−H−TOP−C6H5O2]−, 125.0228[1,4A]− | 0.30 | Procyanidin B1 | [41,42,43] |
| 28 | 13.54 | C45H38O18 | 865.1952[M−H]− | 739.1671[M−H−C6H5O2−H2O]−, 713.1887[M−C8H803]−, 577.1301[M−H−TOP]−, 407.0782[M−H-TOP−C8H8O3−H2O]−, 289.0712[M−H−2TOP]−, 245.0800[M−H−2TOP−CO2]−, 125.0236[1,4A]− | 3.80 | Procyanidin C1 | [41,42,43] |
| 29 | 13.73 | C21H32O10 | 443.1904[M−H]− | 425.1931[M−H−H2O]−, 281.1394[M−H−Glc]−, 263.1289[M−H−Glc−H2O]− | 1.13 | Cynaroside A | [44] |
| 30 * | 13.96 | C16H14O5 | 285.0620[M−H]− | 151.0184[1,3A]−, 107.0291[1,3A-CO2]− | 3.16 | Isosakuranetin | [45] |
| 31 | 14.15 | C15H20O10 | 359.0967[M−H]− | 197.0515[M−H−Glc]−, 153.0028[M−H−Glc−CO2]−, 127.0245[M−H−Glc-CO2−C2H2]−, 121.0081[M−H−Glc−CO2−OCH3]− | 1.90 | Glucosyringic acid | [46] |
| 32 | 14.32 | C7H6O3 | 137.0224[M−H]− | 93.0334[M−H−CO2]− | 0.30 | 4-Hydroxybenzoic acid | [47] |
| 33 | 14.34 | C13H16O8 | 299.0776[M−H]− | 137.0241[M−H−Glc]−, 93.0351[M−H−Glc−CO2]− | 1.2 | Hydroxybenzoic acid β-D-glucose ester | [48] |
| 34 * | 14.74 | C15H14O6 | 289.0724[M−H]− | 245.0235[M−H−CO2]−, 179.0341[M−H−B ring]−, 167.0339[1,2A]−, 163.0385[M−H-H2O−B ring]−, 149.0234[1,3B]−, 137.0237[1,3A]−, 125.0235[1,4A]−, 109.0289[B ring]− | 0.82 | (+)-catechin | [34,36] |
| 35 | 14.75 | C15H14O6 | 289.0722[M−H]− | 245.0300[M−H−CO2]−, 179.0339[M−H−B ring]−, 167.0340[1,2A]−, 163.0379[M−H−H2O−B ring]−, 149.0246[1,3B]−, 137.0237[1,3A]−, 125.0229[1,4A]−, 109.0199[B ring]− | 0.56 | Epicatechin | [36] |
| 36 | 14.76 | C9H8O4 | 179.0389[M−H]− | 135.0472[M−H−CO2]−, 109.0440[M−H−CO2−CO]−, 89.0413[M−H−CO2−CO−H2O]− | 3.46 | Caffeic acid | [49] |
| 37 | 14.91 | C15H20O9 | 343.1029[M−H]− | 181.0490[M−H−Glc]−, 135.0427[M−H−Glc−CH4O2]-−, 121.0286[M−H−Glc−COOCH]− | 2.04 | Methyl4-(β-D-glucopyranosyloxy)- 3-methoxybenzoate | [48] |
| 38 * | 15.27 | C16H18O9 | 353.0875[M−H]− | 191.0554[M−H−caffeoyl]−, 179.0365[M−H−C7H10O5]− | 0.90 | Chlorogenic acid | [23] |
| 39 | 15.43 | C15H14O7 | 305.0667[M−H]− | 179.03325[M−H−B ring]−, 125.0245[1,4A]− | 0.10 | Epigallocatechin | [48] |
| 40 | 16.13 | C12H22O8 | 293.1245[M−H]− | 131.0710[M−H−Glc]− | 0.70 | Ethyl3-(β-D-glucopyranosyloxy) butanoate | [26] |
| 41 | 16.23 | C15H12O7 | 303.0540[M−H]− | 151.0051[1,3A]−, 152.0502[1,3B]−, 175.0386[M−H−H2O-B ring]− | 2.50 | Taxifolin | [50,51] |
| 42 | 16.28 | C21H20O10 | 431.1181[M−H]− | 269.0453[M−H−Glc]−, 225.0671[M−H−Glc−CO]−, 151.0033[1,3A]-−, 107.01[1,3A−CO2]− | 1.47 | Cosmosiin | [52] |
| 43 | 17.59 | C17H32O10 | 395.1919[M−H]− | 263.0437[M−H−Xyl]−, 101.0242[M−H−Xyl−Glc]− | 0.71 | Hexyl 6-O-β-D-Xylopyranosyl- β-D-glucopyranoside | [53] |
| 44 | 17.89 | C16H22O10 | 373.1128[M−H]− | 193.0511[M−H−Glc]−, 149.0617[M−H−Glc−CO2]−, 123.0743[M−H−Glc−CO2−C2H2]−, 97.0547[M−H−Glc−CO2−2C2H2]− | 0.27 | Swertiamarin | [40] |
| 45 | 18.16 | C37H30O16 | 729.1441[M−H]− | 577.1324[M−H−G]−, 441.0743[M−H−TOP]− | 1.91 | Procyanidin B2 3′-O-gallate | [41,42,43] |
| 46 | 18.71 | C15H20O8 | 327.1085[M−H− | 165.0551[M−H−Glc]−, 147.0446[M−H−Glc−H2O]−, 119.0498[M−H−Glc−H2O−COOH]− | 0.92 | Diyhdromelilotoside | [54] |
| 47 | 18.97 | C15H20O8 | 327.1088[M−H]− | 165.0554[M−H−Glc]−, 147.0447[M−H−Glc−H2O]− | 0.9 | Androsin | [55] |
| 48 | 20.57 | C14H18O9 | 329.0877[M−H]− | 167.0338[M−H−Glc]−, 123.0444[M−H−Glc−CO2]− | 2.33 | Phloracetophenone 4’-O- glucoside | [28] |
| 49 | 20.96 | C27H30O14 | 577.1329[M−H]− | 431.0985[M−H−Rha]−, 285.0244[M−H−2Rha]−, 256.0179[M−H−2Rha−CO]− | 4.33 | Kaempferitrin | [56] |
| 50 | 23.64 | C15H10O7 | 301.1189[M−H]− | 283.1076[M−H−H2O]-− 271.1089[M−H−CO2]−, 161.0470[M−H−B ring−H2O]− | 0.00 | Tricetin | [28] |
| 51 | 24.42 | C22H22O12 | 477.1014[M−H]− | 315.0562[M−H−Glc]−, 300.0131[M−H−Glc−CH3]−, 151.0026[1,3A]− | 1.78 | Brassicin | [55] |
| 52 | 24.81 | C5H10O5 | 269.0647[M−H]− | 241.0466[M−H−CO]−, 226.0396[M−H−C2H2O]−, 197.0431[M−H−CO−CO2]− | 0.706 | Galangin | [57] |
| 53 | 24.84 | C5H10O5 | 269.0650[M−H]− | 241.0507[M−H−CO]−, 225.0538[M−H−CO2]−, 197.0582[M−H−CO2−CO]−, 182.0574[M−H−CO−CO2−CH3]− | 1.67 | Emodin | [58] |
| 54 | 27.32 | C22H18O10 | 441.0817[M−H]− | 289.0713[M−H−G]−, 271.0630[M−H−G−H2O]−, 179.0362[M−H−G−B ring]−, 135.0242[1,3A]−, 125.0247,109.0292[B ring]− | 2.30 | (-)-Epicatechin gallate | [59] |
| 55 | 27.57 | C22H24O12 | 479.1198[M−H]− | 315.0564[M−H−Glc]−, 211.0523[0,4B]−, 165.0558[1,3B]−, 151.0542[1,3A]−, 127.0244[B ring]− | 0.60 | 3 ’- O-methyl-dihydroquercetin- 7-O-β-D-glucoside | [60] |
| 56 * | 28.18 | C28H24O16 | 615.0991[M−H]− | 463.0868[M−H−G]−, 301.3056[M−H−G−Glc/Gal]− | 0.09 | Quercetin-3-O-(6’’-galloyl)-β-galactopyranside/Quercetin-3-O-(6’’-galloyl)-β-glucopyranside | [61] |
| 57 | 29.73 | C21H20O12 | 463.0866[M−H]− | 301.0347[M−H−Rha]−, 151.0022[1,2A−CO]−, 107.0149[1,2A−CO−CO2]− | 3.40 | Myricetrin | [62] |
| 58 | 29.94 | C18H24O10 | 399.1298[M−H]− | 329.0508[M−H−C5H10]−, 169.0150[M−H−C5H10−Glc]−, 151.0072[M−H−C5H10-Glc−H2O]−, 125.0236[M−H−C5H10−Glc−CO2]−, 107.0142[M−H−C5H10−Glc−CO2−H2O]− | 0.50 | Taxilluside A | [12] |
| 59 * | 31.17 | C27H30O16 | 609.1453[M−H]− | 301.0354[M−H−RG]−, 151.0028[M−H−RG−1,3B]− | 1.32 | Rutin | [63] |
| 60 * | 31.30 | C21H20O12 | 463.0864[M−H]− | 301.0341[M−H−Gal]−, 271.0233[M−H−Gal−CHO]−, 151.0025[1,3A]− | 3.40 | Hyperoside | [62] |
| 61 * | 32.06 | C21H18O13 | 477.0655[M−H]− | 301.6332[M−H−Glc UA]−, 283.0230[M−H−Glc UA-H2O]−, 151.0027[1,3A]−, 107.0140[0,4A]− | 4.12 | Quercetin 3-O-β-D-glucuronide | [61] |
| 62 * | 32.46 | C21H20O12 | 463.0872[M−H]− | 301.0346[M−H−Glc]− 151.0034[1,3A]− | 2.2 | Isoquercitrin | [64] |
| 63 * | 34.39 | C20H18O11 | 433.0772[M−H]− | 301.0354[M−H−Ara]−, 151.0037[1,3A]−, 107.0139[0,4A]− | 0.12 | Avicularin | [65] |
| 64 | 34.42 | C21H22O12 | 465.1035[M−H]− | 313.0140[1,3B]−, 303.0570[M−H−Glc]−, 151.0391[1,3A]−, 123.0085[1,4A]− | 0.774 | Taxifolin 3′-O-β-D-glucopyranoside | [54] |
| 65 | 34.99 | C27H30O15 | 593.1501[M−H]− | 285.0405[M−H−RG]− | 1.80 | Kaempferol 3-rutinoside | [58] |
| 66 | 35.11 | C21H20O11 | 447.0935[M−H]− | 285.0393[M−H−Glc]−, 243.0497[M−H−Glc−C2H2O]−, 241.0341[M−H−Glc−CO2]−, 151.0029[1,3A]− | 0.50 | Luteolin-7-O-glucoside | [13] |
| 67 * | 35.38 | C21H20O11 | 447.0921[M−H]− | 301.0354[M−H−Rha]−, 283.0223[M−H−Rha−H2O]−, 151.0024[1,3A]− | 2.7 | Quercitrin | [55] |
| 68 | 36.54 | C23H24O10 | 459.1288[M−H]− | 297.0762[M−H-Glc]−, 191.0342[M−H−Glc−B ring]− | 1.74 | 8-methylretusin-7β-glucoside | [51] |
| 69 | 36.71 | C21H20O11 | 447.0925[M−H]− | 285.0389[M−H−Glc]−, 151.0022[1,3A]− | 1.50 | Astragalin | [65] |
| 70 | 37.07 | C20H20O8 | 387.1141[M−H]− | 341.1081[M−H−CH3-OCH3]−, 218.8840[M−H−OCH3−2OCH3-B ring]−, 119.0350[M−H−C12H11O6−CH3]− | 1.30 | 5-Demethylnobiletin | [66] |
| 71 | 37.09 | C21H22O10 | 433.1131[M−H]− | 311.0641[1,3A]−, 271.0641[M−H-Glc]−, 151.0031[1,3A]−, 119.0511[1,3B]−, 107.0135[B ring]− | 0.02 | Prunin | [28,55] |
| 72 | 37.40 | C21H20O10 | 431.0981[M−H]− | 285.0406[M−H-Rha]−, 227.0352[M−H−Rha−2CO]− | 0.60 | Afzelin | [60,61] |
| 73 * | 39.51 | C15H10O7 | 301.0354[M−H]− | 273.0376[M−H-CO]−, 178.9988[1,2A]−, 151.0030[1,3A]−, 121.0296[1,2B]−, 107.0143[0,4A]− | 0.73 | Quercetin | [61] |
| No. | tR /min | Compound | Molecular Formular | MS1(m/z) | MS2(m/z) | References |
|---|---|---|---|---|---|---|
| 1 | 5.97 | Monotropein | C16H22O11 | 389.1082[M−H]− | 227.0543[M−H−Glc]−, 165.0544[M−H−Glc−COOH]− | [67] |
| 2 * | 12.57 | Procyanidin B2 | C30H26O12 | 577.1321[M−H]− | 451.0989[M−H−H2O−C6H5O2]−, 425.0835[M−H−C8H8O3]−, 407.0733[M−H−C8H8O3−H2O]−, 289.0685[M−H−TOP]−, 245.0768[M−H−TOP−CO2]−, 179.0733[M−H−TOP−C6H5O2]−, 125.0231[1,4A]− | [41,42,43] |
| 3 | 12.85 | Neohesperidin dihydrochalcone | C28H36O15 | 611.1235[M−H]− | 300.9969[M−H−Neo]−, 275.0183 | [29] |
| 4 * | 13.22 | Procyanidin B1 | C30H26O12 | 577.1354[M−H]− | 451.0986[M−H−H2O−C6H5O2]−, 425.0829[M−H−C8H8O3]−, 407.0745[M−H-C8H8O3−H2O]−, 289.0698[M−H−TOP]−, 245.0743[M−H−TOP−CO2]−, 179.0721[M−H−TOP−C6H5O2]−, 125.0228[1,4A]− | [41,42,43] |
| 5 * | 13.96 | Procyanidin C1 | C45H38O18 | 865.1952[M−H]− | 739.1671[M−H−B ring−H2O]−, 713.1887[M−H−1,3B]−, 695.1411[M−H−0,3B]−, 577.1301,407.0782, 289.0712, 245.0800, 125.0236[1,4A]− | [41,42,43] |
| 6 * | 14.77 | (+)-Catechin | C15H14O6 | 289.0724[M−H]− | 245.0235[M−H−CO2]−, 179.0341[M−H−B ring]−, 167.0339[1,2A]−, 163.0385[M−H−H2O−B ring]−, 149.0234[1,3B]−, 137.0237[1,3A]−, 125.0235[1,4A]−, 109.0289[B ring]− | [34,36] |
| 7 | 18.23 | Procyanidin B2 3′-O-gallate | C37J30O16 | 729.1432[M−H]− | 577.1324[M−H−Gallate]−, 441.0743[M−H−top-unit]− | [41,42,43] |
| 8 | 20.93 | kaempferitrin | C27H30O14 | 577.1329[M−H]− | 430.0985[M−H−Rha]−, 283.0244[M−H−2Rha]−, 256.0179[M−H−2Rha−CO2]− | [56] |
| 9 * | 27.26 | (−)-Epicatechin gallate | C22H18O10 | 441.0817[M−H]− | 289.0713[M−H−C7H4O4]−, 271.0630[M−H−C7H4O4−H2O]−, 179.0362[M−H−C7H4O4−B ring]−, 135.0242[1,3A]−, 125.0247, 109.0292[B ring]− | [59] |
| 10 * | 31.39 | Hyperoside | C21H20O12 | 463.0859[M−H]− | 301.0341[M−H−Glc]−, 271.0233,151.0025[1,3A]− | [62] |
| 11 | 31.95 | Astilbin | C21H22O11 | 449.1077[M−H]− | 431.0945[M−H−H2O]−, 303.0478[M−H−Rha]−, 285.0380[M−H−Rha−H2O]-, 178.9977[M−H−Rha−H2O−B ring ]−, 151.0030, 125.0240 | [68] |
| 12 * | 32.24 | Quercetin 3-O-β-D-glucuronide | C21H18O13 | 477.066[M−H]− | 301.6332[M−H−Glc UA]−, 283.0230[M−H−GlcA−H2O]−, 151.0027[1,3A]−, 107.0140[B ring]− | [61] |
| 13 | 32.39 | Acteoside | C29H36O15 | 623.1976[M−H]− | 461.1651[M−H−C9H6O3]−, 315.1087[M−H−C9H6O3−C6H10O4]−, 179.0340, 161.0232, 135.0444 | [69] |
| 14 * | 32.88 | Isoquercitrin | C21H20O12 | 463.0866[M−H]− | 301.0346[M−H−Glc]−, 151.0034[1,3A]− | [64] |
| 15 | 34.48 | Narcissin | C28H32O16 | 623.1975[M−H]− | 461.1654[M−H−Rha]−, 315.1075[M−H−Rha−Glc]− | [70] |
| 16 | 35.19 | Isoastilbin | C21H22O11 | 449.1073[M−H]− | 431.0945[M−H−H2O]−, 303.0478[M−H−Rha]−, 285.0380[M−H−Rha−H2O]−, 178.9977[M−H−Rha−H2O−B ring ]−,151.0030,125.0240 | [68] |
| 17 * | 35.35 | Quercitrin | C21H20O11 | 447.0924[M−H]− | 301.0354[M−H−Rha]−, 283.0223[M−H−Rha−H2O]−, 151.0024[M−H−Rha-1,3B]− | [55] |
| 18 | 35.54 | Isohemiphloin | C21H22O10 | 433.1131[M−H]− | 269.0442[M−H−Glc]−, 178.9977[M−H−Glc−B ring]−, 151.0028[1,3A]− | [71] |
| 19 | 36.48 | (−)-Epiafzelechin 3-O-gallate | C22H18O9 | 425.0874[M−H]− | 273.0478[M−H−C7H4O4]−, 151.0390[1,3A]−, 137.0234, 125.0237[1,4A]− | [72] |
| 20 | 36.83 | Rhamnitrin | C22H22O11 | 461.0713[M−H]− | 312.9958[M−H−Rha]−, 285.0016[M−H-Rha−OCH3]− | [73] |
| 21 | 37.89 | Cascaroside A | C27H32O14 | 579.2082[M−H]− | 371.1496[M−H−Glc−CH2OH]−, 256.1267[M−H−2Glc]−, 228.0413[M−H−2Glc−CO]− | [74] |
| 22 | 38.64 | Apigenin-7-O-rutinoside | C27H30O14 | 577.0974[M−H]− | 415.0855[M−H−Rha]−, 269.0745[M−H−Rha−Glc]−, 225.0675[M−H−Rha-Glc−CO]− | [75] |
| 23 | 38.85 | Apimaysin | C27H28O13 | 559.1580[M−H]− | 397.0178[M−H−Rha]−, 280.4159[M−H−C12H18O8]− | [76] |
| No. | Family | Hosts | Producing Area | Harvest Time |
|---|---|---|---|---|
| S1 | Moraceae | Morus alba L. | Wuzhou Guangxi | 2020.12.28 |
| S2 | Hamamelidaceae | Liquidambar formosana Hance. | Wuzhou Guangxi | 2020.12.28 |
| S3 | Aquifoliaceae | Ilex latifolia Thunb. | Wuzhou Guangxi | 2019.5.19 |
| S4 | Rosaceae | Crataegus pinnatifida Bge. var. major N.E.Br. | Wuzhou Guangxi | 2019.5.19 |
| S5 | Passifloraceae | Passiflora edulia Sims. | Wuzhou Guangxi | 2019.5.20 |
| S6 | Rosaceae | Pyrus pyrifolia (Burm. F.) Nakai. | Wuzhou Guangxi | 2019.5.19 |
| S7 | Lauraceae | Cinnamomum camphora (L.) Presl. | Gongcheng Guangxi | 2020.12.21 |
Publisher’s Note: MDPI stays neutral with regard to jurisdictional claims in published maps and institutional affiliations. |
© 2021 by the authors. Licensee MDPI, Basel, Switzerland. This article is an open access article distributed under the terms and conditions of the Creative Commons Attribution (CC BY) license (https://creativecommons.org/licenses/by/4.0/).
Share and Cite
Yuan, J.; Li, L.; Cai, Z.; Wu, N.; Chen, C.; Yin, S.; Liu, S.; Wang, W.; Mei, Y.; Wei, L.; et al. Qualitative Analysis and Componential Differences of Chemical Constituents in Taxilli Herba from Different Hosts by UFLC-Triple TOF-MS/MS. Molecules 2021, 26, 6373. https://doi.org/10.3390/molecules26216373
Yuan J, Li L, Cai Z, Wu N, Chen C, Yin S, Liu S, Wang W, Mei Y, Wei L, et al. Qualitative Analysis and Componential Differences of Chemical Constituents in Taxilli Herba from Different Hosts by UFLC-Triple TOF-MS/MS. Molecules. 2021; 26(21):6373. https://doi.org/10.3390/molecules26216373
Chicago/Turabian StyleYuan, Jiahuan, Li Li, Zhichen Cai, Nan Wu, Cuihua Chen, Shengxin Yin, Shengjin Liu, Wenxin Wang, Yuqi Mei, Lifang Wei, and et al. 2021. "Qualitative Analysis and Componential Differences of Chemical Constituents in Taxilli Herba from Different Hosts by UFLC-Triple TOF-MS/MS" Molecules 26, no. 21: 6373. https://doi.org/10.3390/molecules26216373
APA StyleYuan, J., Li, L., Cai, Z., Wu, N., Chen, C., Yin, S., Liu, S., Wang, W., Mei, Y., Wei, L., Liu, X., Zou, L., & Chen, H. (2021). Qualitative Analysis and Componential Differences of Chemical Constituents in Taxilli Herba from Different Hosts by UFLC-Triple TOF-MS/MS. Molecules, 26(21), 6373. https://doi.org/10.3390/molecules26216373

