Wine Storage at Cellar vs. Room Conditions: Changes in the Aroma Composition of Riesling Wine
Abstract
1. Introduction
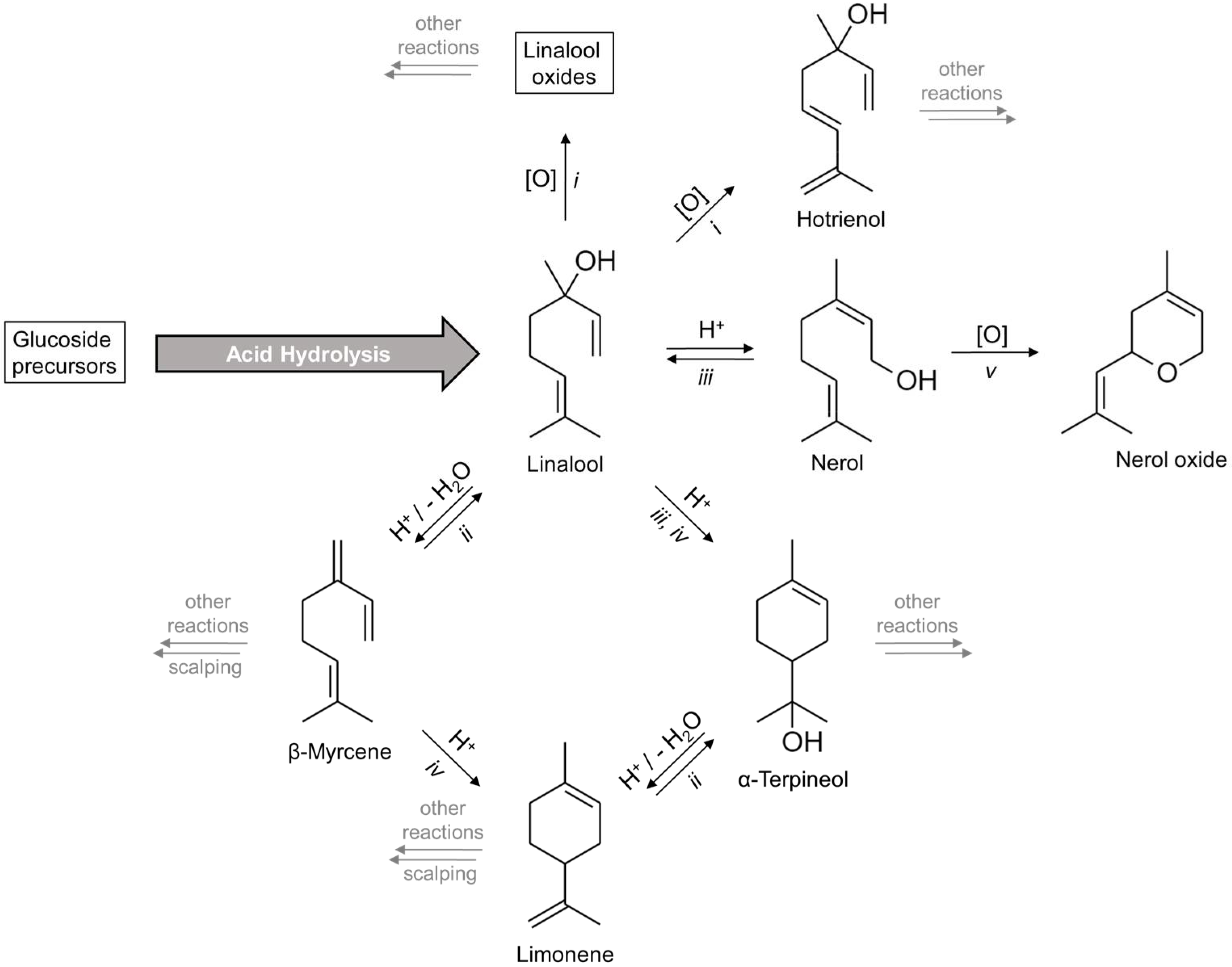
- Oxygen dissolved in wine, which causes the oxidation reactions of aroma compounds, phenolics and other wine substances [13]. It was demonstrated that oxidation reactions in wine are catalyzed by copper and iron ions [14]. These metals induce the formation of a hydroperoxyl radical, which launches the cascade of oxidation processes via formation of quinones, hydrogen peroxide and following intermediates. These processes describe non-enzymatic oxidation, which occurs in the bottled wine. The addition of SO2 to a wine aims to chemically reduce H2O2 and quinones in order to protect wine aromas and phenolic compounds [13].
- Low wine pH, which firstly facilitates non-oxidative intra-molecular rearrangements, that are typical for certain primary aroma compounds, especially terpenes and C13-norisoprenoids. However, their mechanisms are not yet completely studied. Second, low wine pH induces hydrolysis processes in wine, which are relevant for secondary aroma esters and some primary aroma compounds with ester fragments, e.g., polyfunctional thiol 3-sulfanylhexyl acetate (3-SHA) [9,13]. In addition, non-enzymatic hydrolysis of certain precursors leads to a release of varietal aroma compounds during bottle aging [15].
- What is the impact of the SO2 level on wine development, including wine aroma?
- How efficiently can wine freshness be preserved in the variants with a low SO2 level (sensory evaluation)?
- What is the role of oxygen and SO2 in the chemical transformations of wine aromas, specifically monoterpenes/monoterpenoids and C13-norisoprenoids?
- How do bottling and storage conditions (cool and warm) affect varietal and secondary aromas in wine, as well as low molecular weight sulfur compounds (LMWSCs)?
- Does the type of studied bottle stoppers affect the wine parameters after two years of aging?
2. Materials and Methods
2.1. Wine Bottling and Experiment Design
- High SO2/no CO2/cool;
- High SO2/no CO2/warm;
- High SO2/CO2/cool;
- High SO2/CO2/warm;
- Medium SO2/CO2/cool;
- Medium SO2/CO2/warm;
- Low SO2/CO2/cool;
- Low SO2/CO2/warm.
2.2. Analysis of Oxygen in the Bottles’ Headspace and Oxygen Dissolved in Wine
2.3. General Wine Analysis
2.3.1. FTIR Analysis
2.3.2. Analysis of Acetaldehyde
2.3.3. Color Measurement
2.4. Analysis of Monoterpenes, Monoterpenoids and C13-Norisoprenoids
2.5. Analysis of Secondary Wine Aromas
2.6. Analysis of Low Molecular Weight Sulfur Compounds (LMWSCs)
2.7. Sensory Analysis
2.8. Processing of the Data
3. Results and Discussion
3.1. Oxygen Content Inside the Bottles
3.2. General Wine Analysis
3.3. C13-Norisoprenoids
3.4. Monoterpenes and Monoterpenoids
3.5. Secondary Wine Aromas
3.6. Low Molecular Weight Sulfur Compounds (LMWSCs)
3.7. Sensory Analysis
4. Conclusions
Supplementary Materials
Author Contributions
Funding
Institutional Review Board Statement
Informed Consent Statement
Acknowledgments
Conflicts of Interest
Sample Availability
References
- Charters, S.; Pettigrew, S. Is Wine Consumption an Aesthetic Experience? J. Wine Res. 2005, 16, 121–136. [Google Scholar] [CrossRef]
- De Giuffrida Esteban, M.L.; Ubeda, C.; Heredia, F.J.; Catania, A.A.; Assof, M.V.; Fanzone, M.L.; Jofre, V.P. Impact of Closure Type and Storage Temperature on Chemical and Sensory Composition of Malbec Wines (Mendoza, Argentina) during Aging in Bottle. Food Res. Int. 2019, 125, 108553. [Google Scholar] [CrossRef] [PubMed]
- Cejudo-Bastante, M.J.; Hermosín-Gutiérrez, I.; Pérez-Coello, M.S. Accelerated Aging against Conventional Storage: Effects on the Volatile Composition of Chardonnay White Wines. J. Food Sci. 2013, 78, C507–C513. [Google Scholar] [CrossRef] [PubMed]
- Caro, A.D.; Piombino, P.; Genovese, A.; Moio, L.; Fanara, C.; Piga, A. Effect of Bottle Storage on Colour, Phenolics and Volatile Composition of Malvasia and Moscato White Wines. S. Afr. J. Enol. Vitic. 2014, 35, 128–138. [Google Scholar] [CrossRef]
- Kanavouras, A.; Coutelieris, F.; Karanika, E.; Kotseridis, Y.; Kallithraka, S. Color Change of Bottled White Wines as a Quality Indicator. OENO One 2020, 54, 543–551. [Google Scholar] [CrossRef]
- Sumby, K.M.; Grbin, P.R.; Jiranek, V. Microbial Modulation of Aromatic Esters in Wine: Current Knowledge and Future Prospects. Food Chem. 2010, 121, 1–16. [Google Scholar] [CrossRef]
- Swiegers, J.H.; Bartowsky, E.J.; Henschke, P.A.; Pretorius, I.S. Yeast and Bacterial Modulation of Wine Aroma and Flavour. Aust. J. Grape Wine Res. 2005, 11, 139–173. [Google Scholar] [CrossRef]
- Garofolo, A.; Piracci, A. Evolution of esters and fatty acids in the wine préservation. Equilibrium constants and activation energies. Bull OIV 1994, 757–758, 225–245. [Google Scholar]
- Makhotkina, O.; Pineau, B.; Kilmartin, P.A. Effect of Storage Temperature on the Chemical Composition and Sensory Profile of Sauvignon Blanc Wines. Aust. J. Grape Wine Res. 2012, 18, 91–99. [Google Scholar] [CrossRef]
- Pérez-Coello, M.S.; González-Viñas, M.A.; García-Romero, E.; Díaz-Maroto, M.C.; Cabezudo, M.D. Influence of Storage Temperature on the Volatile Compounds of Young White Wines. Food Control. 2003, 14, 301–306. [Google Scholar] [CrossRef]
- Ferreira, V.; Lopez, R. The Actual and Potential Aroma of Winemaking Grapes. Biomolecules 2019, 9, 818. [Google Scholar] [CrossRef] [PubMed]
- Slaghenaufi, D.; Ugliano, M. Norisoprenoids, Sesquiterpenes and Terpenoids Content of Valpolicella Wines During Aging: Investigating Aroma Potential in Relationship to Evolution of Tobacco and Balsamic Aroma in Aged Wine. Front. Chem. 2018, 6, 66. [Google Scholar] [CrossRef] [PubMed]
- Ugliano, M. Oxygen Contribution to Wine Aroma Evolution during Bottle Aging. J. Agric. Food Chem. 2013, 61, 6125–6136. [Google Scholar] [CrossRef] [PubMed]
- Danilewicz, J.C. Review of Oxidative Processes in Wine and Value of Reduction Potentials in Enology. Am. J. Enol. Vitic. 2012, 63, 1–10. [Google Scholar] [CrossRef]
- Black, C.A.; Parker, M.; Siebert, T.E.; Capone, D.L.; Francis, I.L. Terpenoids and Their Role in Wine Flavour: Recent Advances. Aust. J. Grape Wine Res. 2015, 21, 582–600. [Google Scholar] [CrossRef]
- Blake, A.; Kotseridis, Y.; Brindle, I.D.; Inglis, D.; Sears, M.; Pickering, G.J. Effect of Closure and Packaging Type on 3-Alkyl-2-Methoxypyrazines and Other Impact Odorants of Riesling and Cabernet Franc Wines. J. Agric. Food Chem. 2009, 57, 4680–4690. [Google Scholar] [CrossRef] [PubMed]
- Blake, A.; Kotseridis, Y.; Brindle, I.D.; Inglis, D.; Pickering, G.J. Effect of Light and Temperature on 3-Alkyl-2-Methoxypyrazine Concentration and Other Impact Odourants of Riesling and Cabernet Franc Wine during Bottle Ageing. Food Chem. 2010, 119, 935–944. [Google Scholar] [CrossRef]
- Ugliano, M.; Kwiatkowski, M.; Vidal, S.; Capone, D.; Siebert, T.; Dieval, J.-B.; Aagaard, O.; Waters, E.J. Evolution of 3-Mercaptohexanol, Hydrogen Sulfide, and Methyl Mercaptan during Bottle Storage of Sauvignon Blanc Wines. Effect of Glutathione, Copper, Oxygen Exposure, and Closure-Derived Oxygen. J. Agric. Food Chem. 2011, 59, 2564–2572. [Google Scholar] [CrossRef] [PubMed]
- Rapp, A.; Güntert, M.; Ullemeyer, H. Über Veränderungen der Aromastoffe während der Flaschenlagerung von Weißweinen der Rebsorte Riesling. Z. Lebensm. Unters. 1985, 180, 109–116. [Google Scholar] [CrossRef]
- Diéval, J.-B.; Vidal, S.; Aagaard, O. Measurement of the Oxygen Transmission Rate of Co-Extruded Wine Bottle Closures Using a Luminescence-Based Technique. Packag. Technol. Sci. 2011, 24, 375–385. [Google Scholar] [CrossRef]
- Dimkou, E.; Ugliano, M.; Dieval, J.B.; Vidal, S.; Aagaard, O.; Rauhut, D.; Jung, R. Impact of Headspace Oxygen and Closure on Sulfur Dioxide, Color, and Hydrogen Sulfide Levels in a Riesling Wine. Am. J. Enol. Vitic. 2011, 62, 261–269. [Google Scholar] [CrossRef]
- Patz, C.-D.; David, A.; Thente, K.; Kürbel, P.; Dietrich, H. Wine Analysis with FTIR Spectrometry. Vitic. Enol. Sci. 1999, 54, 80–87. [Google Scholar]
- Jung, R.; Kumar, K.; Patz, C.; Rauhut, D.; Tarasov, A.; Schüßler, C. Influence of Transport Temperature Profiles on Wine Quality. Food Packag. Shelf Life 2021, 29, 100706. [Google Scholar] [CrossRef]
- Patz, C.-D.; Blieke, A.; Ristow, R.; Dietrich, H. Application of FT-MIR Spectrometry in Wine Analysis. Anal. Chim. Acta 2004, 513, 81–89. [Google Scholar] [CrossRef]
- Megazyme Acetaldehyde. Assay Procedure. K-ACHYD, 20 January 2020. Available online: https://www.megazyme.com/documents/Assay_Protocol/K-ACHYD_DATA.pdf (accessed on 14 October 2021).
- Câmara, J.S.; Alves, M.A.; Marques, J.C. Development of Headspace Solid-Phase Microextraction-Gas Chromatography–Mass Spectrometry Methodology for Analysis of Terpenoids in Madeira Wines. Anal. Chim. Acta 2006, 555, 191–200. [Google Scholar] [CrossRef]
- Brandt, M.; Scheidweiler, M.; Patz, C.-D.; Rauhut, D.; Zorn, D.; Stoll, M. HEAT BERRY: The Influence of Abiotic Factors on the Composition of Berries, Must and Wine in Vitis Vinifera L. Cv. Riesling; Giesco 2019, Zaragoza, Spain, 2018. Available online: https://ives-openscience.eu/4171/ (accessed on 14 October 2021).
- Belda, I.; Ruiz, J.; Esteban-Fernández, A.; Navascués, E.; Marquina, D.; Santos, A.; Moreno-Arribas, M.V. Microbial Contribution to Wine Aroma and Its Intended Use for Wine Quality Improvement. Molecules 2017, 22, 189. [Google Scholar] [CrossRef] [PubMed]
- Rapp, A.; Yavas, I.; Hastrich, U.H. Einfache Und Schnelle Anreicherung (Kaltronmethode) von Aromastoffen Des Weines Und Deren Quantitative Bestimmung Mittels Kapillargaschromatographie. Dtsch. Lebensm.-Rundsch 1994, 90, 171–174. [Google Scholar]
- Fritsch, S.; Brezina, S.; Rauhut, D. Standard Operating Procedure (SOP) for the Analysis of Aroma Compounds Relating to the Fermentation Bouquet; Department of Microbiology and Biochemistry, Hochschule Geisenheim University (HGU): Geisenheim, Germany, 2020. [Google Scholar]
- Lawless, H.T.; Heymann, H. Sensory Evaluation of Food: Principles and Practices, Food Science Text Series, 2nd ed.; Springer: New York, NY, USA, 2010; ISBN 978-1-4419-6487-8. [Google Scholar]
- R Core Team. R: A Language and Environment for Statistical Computing; R Foundation for Statistical Computing: Vienna, Austria, 2021. [Google Scholar]
- Rcmdr: R Commander; Version 2.7-1, R Package, John Fox. 2020.
- Lê, S.; Josse, J.; Husson, F. FactoMineR: An R Package for Multivariate Analysis. J. Stat. Softw. 2008, 25, 1–18. [Google Scholar] [CrossRef]
- JASP. Version 0.14.1, Computer Software; JASP Team: Amsterdam, The Netherlands, 2020. [Google Scholar]
- Chevalier, V.; Pons, A.; Loisel, C. Impact de l’obturateur Sur Le Vieillissement Des Vins En Bouteille. Partie 1/3—Caractérisation Des Transferts d’oxygène de Bouchons En Liège. Rev. Des. Oenologues 2019, 170, 40–43. [Google Scholar]
- Danilewicz, J.C.; Standing, M.J. Reaction Mechanisms of Oxygen and Sulfite in Red Wine. Am. J. Enol. Vitic. 2018, 69, 189–195. [Google Scholar] [CrossRef]
- Carrascón, V.; Bueno, M.; Fernandez-Zurbano, P.; Ferreira, V. Oxygen and SO2 Consumption Rates in White and Rosé Wines: Relationship with and Effects on Wine Chemical Composition. J. Agric. Food Chem. 2017, 65, 9488–9495. [Google Scholar] [CrossRef] [PubMed]
- Waterhouse, A.L.; Frost, S.; Ugliano, M.; Cantu, A.R.; Currie, B.L.; Anderson, M.; Chassy, A.W.; Vidal, S.; Diéval, J.-B.; Aagaard, O.; et al. Sulfur Dioxide–Oxygen Consumption Ratio Reveals Differences in Bottled Wine Oxidation. Am. J. Enol. Vitic. 2016, 67, 449–459. [Google Scholar] [CrossRef]
- Panero, L.; Motta, S.; Petrozziello, M.; Guaita, M.; Bosso, A. Effect of SO2, Reduced Glutathione and Ellagitannins on the Shelf Life of Bottled White Wines. Eur. Food Res. Technol. 2015, 240, 345–356. [Google Scholar] [CrossRef]
- Marais, J. Factors Affecting the Development of 1,1,6-Trimethyl-1,2-Dihydronaphthalene in Vitis Vinifera L. Cv. Weisser Riesling Grapes and Wine. Ph.D. Thesis, Stellenbosch University, Stellenbosch, South Africa, 1992. [Google Scholar]
- Marais, J.; van Wyk, C.J.; Rapp, A. Effect of Storage Time, Temperature and Region on the Levels of 1,l,6-Trimethyl-1,2-Dihydronaphthalene and Other Volatiles, and on Quality of Weisser Riesling Wines. S. Afr. J. Enol. Vitic. 1992, 13, 33–44. [Google Scholar] [CrossRef][Green Version]
- Capone, D.; Sefton, M.; Pretorius, I.; Hoj, P. Flavour “scalping” by Wine Bottle Closures—The “Winemaking” Continues Post Vineyard and Winery. Aust. N. Z. Wine Ind. J. 2003, 18, 16–20. [Google Scholar]
- Skouroumounis, G.K.; Kwiatkowski, M.J.; Francis, I.L.; Oakey, H.; Capone, D.L.; Peng, Z.; Duncan, B.; Sefton, M.A.; Waters, E.J. The Influence of Ascorbic Acid on the Composition, Colour and Flavour Properties of a Riesling and a Wooded Chardonnay Wine during Five Years’ Storage. Aust. J. Grape Wine Res. 2005, 11, 355–368. [Google Scholar] [CrossRef]
- Scrimgeour, N. VINOLOK (VINOSEAL) Closure Evaluation Stage 1: Fundamental Performance Assessment, AWRI Report, Australia. 2014. Available online: https://vinoseal.us/wp-content/uploads/2019/09/awri-report.pdf (accessed on 14 October 2021).
- Tarasov, A.; Giuliani, N.; Dobrydnev, A.; Müller, N.; Volovenko, Y.; Rauhut, D.; Jung, R. Absorption of 1,1,6-Trimethyl-1,2-Dihydronaphthalene (TDN) from Wine by Bottle Closures. Eur. Food Res. Technol. 2019, 245, 2343–2351. [Google Scholar] [CrossRef]
- Silva Ferreira, A.C.; Guedes de Pinho, P. Nor-Isoprenoids Profile during Port Wine Ageing—Influence of Some Technological Parameters. Anal. Chim. Acta 2004, 513, 169–176. [Google Scholar] [CrossRef]
- Tarasov, A.; Giuliani, N.; Dobrydnev, A.; Schuessler, C.; Volovenko, Y.; Rauhut, D.; Jung, R. 1,1,6-Trimethyl-1,2-Dihydronaphthalene (TDN) Sensory Thresholds in Riesling Wine. Foods 2020, 9, 606. [Google Scholar] [CrossRef] [PubMed]
- Ziegler, M.; Gök, R.; Bechtloff, P.; Winterhalter, P.; Schmarr, H.G.; Fischer, U. Impact of Matrix Variables and Expertise of Panelists on Sensory Thresholds of 1,1,6-Trimethyl-1,2-Dihydronaphthalene Known as Petrol off-Flavor Compound in Riesling Wines. Food Qual. Prefer. 2019, 78, 103735. [Google Scholar] [CrossRef]
- Robinson, A.L.; Mueller, M.; Heymann, H.; Ebeler, S.E.; Boss, P.K.; Solomon, P.S.; Trengove, R.D. Effect of Simulated Shipping Conditions on Sensory Attributes and Volatile Composition of Commercial White and Red Wines. Am. J. Enol. Vitic. 2010, 61, 337–347. [Google Scholar]
- Daniel, M.A.; Elsey, G.M.; Capone, D.L.; Perkins, M.V.; Sefton, M.A. Fate of Damascenone in Wine: The Role of SO2. J. Agric. Food Chem. 2004, 52, 8127–8131. [Google Scholar] [CrossRef] [PubMed]
- Pineau, B.; Barbe, J.-C.; Van Leeuwen, C.; Dubourdieu, D. Which Impact for β-Damascenone on Red Wines Aroma? J. Agric. Food Chem. 2007, 55, 4103–4108. [Google Scholar] [CrossRef] [PubMed]
- Oliveira, J.M.; Oliveira, P.; Baumes, R.L.; Maia, O. Changes in Aromatic Characteristics of Loureiro and Alvarinho Wines during Maturation. J. Food Compos. Anal. 2008, 21, 695–707. [Google Scholar] [CrossRef]
- Pripis-Nicolau, L.; de Revel, G.; Bertrand, A.; Maujean, A. Formation of Flavor Components by the Reaction of Amino Acid and Carbonyl Compounds in Mild Conditions. J. Agric. Food Chem. 2000, 48, 3761–3766. [Google Scholar] [CrossRef] [PubMed]
- Lopes, P.; Silva, M.A.; Pons, A.; Tominaga, T.; Lavigne, V.; Saucier, C.; Darriet, P.; Teissedre, P.-L.; Dubourdieu, D. Impact of Oxygen Dissolved at Bottling and Transmitted through Closures on the Composition and Sensory Properties of a Sauvignon Blanc Wine during Bottle Storage. J. Agric. Food Chem. 2009, 57, 10261–10270. [Google Scholar] [CrossRef] [PubMed]
- Nikolantonaki, M.; Waterhouse, A.L. A Method To Quantify Quinone Reaction Rates with Wine Relevant Nucleophiles: A Key to the Understanding of Oxidative Loss of Varietal Thiols. J. Agric. Food Chem. 2012, 60, 8484–8491. [Google Scholar] [CrossRef] [PubMed]
- Müller, N.; Rauhut, D. Recent Developments on the Origin and Nature of Reductive Sulfurous Off-Odours in Wine. Fermentation 2018, 4, 62. [Google Scholar] [CrossRef]
- Ugliano, M.; Dieval, J.-B.; Siebert, T.E.; Kwiatkowski, M.; Aagaard, O.; Vidal, S.; Waters, E.J. Oxygen Consumption and Development of Volatile Sulfur Compounds during Bottle Aging of Two Shiraz Wines. Influence of Pre- and Postbottling Controlled Oxygen Exposure. J. Agric. Food Chem. 2012, 60, 8561–8570. [Google Scholar] [CrossRef]
- Siebert, T.E.; Bramley, B.; Solomon, M.R. Hydrogen Sulfide: Aroma Detection Threshold Study in White and Red Wine. AWRI Tech. Rev. 2009, 183, 14–16. [Google Scholar]
- Silva Ferreira, A.C.; Guedes de Pinho, P.; Rodrigues, P.; Hogg, T. Kinetics of Oxidative Degradation of White Wines and How They Are Affected by Selected Technological Parameters. J. Agric. Food Chem. 2002, 50, 5919–5924. [Google Scholar] [CrossRef] [PubMed]
- Escudero, A.; Asensio, E.; Cacho, J.; Ferreira, V. Sensory and Chemical Changes of Young White Wines Stored under Oxygen. An Assessment of the Role Played by Aldehydes and Some Other Important Odorants. Food Chem. 2002, 77, 325–331. [Google Scholar] [CrossRef]
















Publisher’s Note: MDPI stays neutral with regard to jurisdictional claims in published maps and institutional affiliations. |
© 2021 by the authors. Licensee MDPI, Basel, Switzerland. This article is an open access article distributed under the terms and conditions of the Creative Commons Attribution (CC BY) license (https://creativecommons.org/licenses/by/4.0/).
Share and Cite
Tarasov, A.; Garzelli, F.; Schuessler, C.; Fritsch, S.; Loisel, C.; Pons, A.; Patz, C.-D.; Rauhut, D.; Jung, R. Wine Storage at Cellar vs. Room Conditions: Changes in the Aroma Composition of Riesling Wine. Molecules 2021, 26, 6256. https://doi.org/10.3390/molecules26206256
Tarasov A, Garzelli F, Schuessler C, Fritsch S, Loisel C, Pons A, Patz C-D, Rauhut D, Jung R. Wine Storage at Cellar vs. Room Conditions: Changes in the Aroma Composition of Riesling Wine. Molecules. 2021; 26(20):6256. https://doi.org/10.3390/molecules26206256
Chicago/Turabian StyleTarasov, Andrii, Federico Garzelli, Christoph Schuessler, Stefanie Fritsch, Christophe Loisel, Alexandre Pons, Claus-Dieter Patz, Doris Rauhut, and Rainer Jung. 2021. "Wine Storage at Cellar vs. Room Conditions: Changes in the Aroma Composition of Riesling Wine" Molecules 26, no. 20: 6256. https://doi.org/10.3390/molecules26206256
APA StyleTarasov, A., Garzelli, F., Schuessler, C., Fritsch, S., Loisel, C., Pons, A., Patz, C.-D., Rauhut, D., & Jung, R. (2021). Wine Storage at Cellar vs. Room Conditions: Changes in the Aroma Composition of Riesling Wine. Molecules, 26(20), 6256. https://doi.org/10.3390/molecules26206256

