Azulene—A Bright Core for Sensing and Imaging
Abstract
1. Introduction
- Begin fluorescing—a “turn-on” response.
- Stop fluorescing—a “turn-off” response.
- Alter emission wavelength—a ratiometric probe, whereby response is recorded as a ratio of the emission of the product over the emission of starting material.
2. Discussion
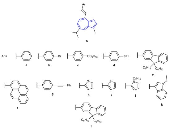
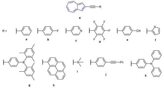
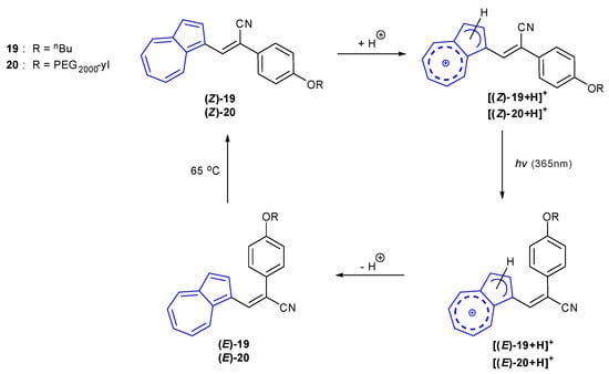
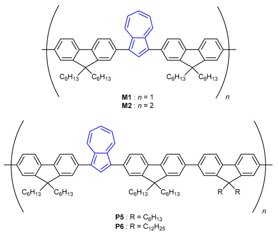
2.1. Turn-On Azulene Fluorescent Sensors
2.2. Fluorescent Azulenes in Biological Contexts
3. Conclusions
Funding
Conflicts of Interest
References
- Liu, R.S.H.; Asato, A.E. Tuning the color and excited state properties of the azulenic chromophore: NIR absorbing pigments and materials. J. Photochem. Photobiol. C 2003, 4, 179–194. [Google Scholar] [CrossRef]
- Beer, M.; Longuet-Higgins, H.C. Anomalous light emission of azulene. J. Chem. Phys. 1955, 23, 1390–1391. [Google Scholar] [CrossRef]
- Turro, N.J.; Ramamurthy, V.; Cherry, W.; Farneth, W. Effect of wavelength on organic photoreactions in solution—reactions from upper excited-states. Chem. Rev. 1978, 78, 125–145. [Google Scholar] [CrossRef]
- Kasha, M. Characterization of electronic transitions in complex molecules. Discuss. Faraday Soc. 1950, 9, 14–19. [Google Scholar] [CrossRef]
- Liu, R.S.H.; Muthyala, R.S.; Wang, X.S.; Asato, A.E.; Wang, P.; Ye, C. Correlation of substituent effects and energy levels of the two lowest excited states of the azulenic chromophore. Org. Lett. 2000, 2, 269–271. [Google Scholar] [CrossRef] [PubMed]
- Liu, R.S.H. Colorful azulene and its equally colorful derivatives. J. Chem. Educ. 2002, 79, 183–185. [Google Scholar] [CrossRef]
- Eber, G.; Gruneis, F.; Schneider, S.; Dorr, F. Dual fluorescence emission of azulene derivatives in solution. Chem. Phys. Lett. 1974, 29, 397–404. [Google Scholar] [CrossRef]
- Itoh, T. Fluorescence and phosphorescence from higher excited states of organic molecules. Chem. Rev. 2012, 112, 4541–4568. [Google Scholar] [CrossRef]
- Wakabayashi, S.; Kato, Y.; Mochizuki, K.; Suzuki, R.; Matsumoto, M.; Sugihara, Y.; Shimizu, M. Pyridylazulenes: Synthesis, color changes, and structure of the colored product. J. Org. Chem. 2007, 72, 744–749. [Google Scholar] [CrossRef]
- Wakabayashi, S.; Uchida, M.; Tanaka, R.; Habata, Y.; Shimizu, M. Synthesis of azulene derivatives that have an azathiacrown ether moiety and their selective color reaction towards silver ions. Asian J. Org. Chem. 2013, 2, 786–791. [Google Scholar] [CrossRef]
- Wakabayashi, S.; Uriu, R.; Asakura, T.; Akamatsu, C.; Suglihara, Y. Synthesis of 1,3-di(2-thiazolyl)azulene and its selective chromogenic response to mercury(II) ion. Heterocycles 2008, 75, 383–390. [Google Scholar] [CrossRef]
- Wakabayashi, S.; Yamaoka, R.; Matsumoto, E.; Nishiguchi, M.; Ishiura, M.; Tsuji, M.; Shimizu, M. Sulfur-containing pyridylazulenes: Synthesis and chromogenic behaviors for heavy metal ions. Heterocycles 2012, 85, 2251–2258. [Google Scholar] [CrossRef]
- Murfin, L.C.; Chiang, K.; Williams, G.T.; Lyall, C.L.; Jenkins, A.T.A.; Wenk, J.; James, T.D.; Lewis, S.E. A colorimetric chemosensor based on a Nozoe azulene that detects fluoride in aqueous/alcoholic media. Front. Chem. 2020, 8. [Google Scholar] [CrossRef] [PubMed]
- Murfin, L.C.; López-Alled, C.M.; Sedgwick, A.C.; Wenk, J.; James, T.D.; Lewis, S.E. A simple, azulene-based colorimetric probe for the detection of nitrite in water. Front. Chem. Sci. Eng. 2020, 14, 90–96. [Google Scholar] [CrossRef]
- López-Alled, C.M.; Sanchez-Fernandez, A.; Edler, K.J.; Sedgwick, A.C.; Bull, S.D.; McMullin, C.L.; Kociok-Köhn, G.; James, T.D.; Wenk, J.; Lewis, S.E. Azulene-boronate esters: Colorimetric indicators for fluoride in drinking water. Chem. Commun. 2017, 53, 12580–12583. [Google Scholar] [CrossRef]
- Razus, A.C.; Birzan, L.; Cristea, M.; Tecuceanu, V.; Hanganu, A.; Enache, C. 4-(Azulen-1-yl) Six-membered heteroaromatics substituted with thiophen-2-yl or furan-2-yl moieties in 2 and 6 positions. J. Heterocycl. Chem. 2011, 48, 1019–1027. [Google Scholar] [CrossRef]
- Birzan, L.; Cristea, M.; Drahici, C.C.; Tecuceanu, V.; Hanganu, A.; Ungureanu, E.-M.; Razus, A.C. 4-(Azulen-1-y1) six-membered heteroaromatics substituted in 2-and 6-positions with 2-(2-furyl)vinyl, 2-(2-thienyl)vinyl or 2-(3-thienyl) vinyl moieties. Tetrahedron 2017, 73, 2488–2500. [Google Scholar] [CrossRef]
- Buica, G.-O.; Ivanov, A.A.; Lazar, I.-G.; Tatu, G.-L.; Omocea, C.; Birzan, L.; Ungureanu, E.-M. Colorimetric and voltammetric sensing of mercury ions using 2,2’- (ethane-1,2-diylbis((2-(azulen-2-ylamino)-2-oxoethyl)azanediyl))diacetic acid. J. Electroanal. Chem. 2019, 849. [Google Scholar] [CrossRef]
- Buica, G.O.; Lazar, I.G.; Birzan, L.; Lete, C.; Prodana, M.; Enachescu, M.; Tecuceanu, V.; Stoian, A.B.; Ungureanu, E.M. Azulene-ethylenediaminetetraacetic acid: A versatile molecule for colorimetric and electrochemical sensors for metal ions. Electrochim. Acta 2018, 263, 382–390. [Google Scholar] [CrossRef]
- Lichosyt, D.; Dydio, P.; Jurczak, J. Azulene-based macrocyclic receptors for recognition and sensing of phosphate anions. Chem. Eur. J. 2016, 22, 17673–17680. [Google Scholar] [CrossRef]
- Lopez-Alled, C.M.; Murfin, L.C.; Kociok-Kohn, G.; James, T.D.; Wenk, J.; Lewis, S.E. Colorimetric detection of Hg2+with an azulene-containing chemodosimeter via dithioacetal hydrolysis. Analyst 2020, 145, 6262–6269. [Google Scholar] [CrossRef] [PubMed]
- Zielinski, T.; Kedziorek, M.; Jurczak, J. The azulene moiety as a chromogenic building block for anion receptors. Tetrahedron Lett. 2005, 46, 6231–6234. [Google Scholar] [CrossRef]
- Gai, L.Z.; Chen, J.Z.; Zhao, Y.; Mack, J.; Lu, H.; Shen, Z. Synthesis and properties of azulene-functionalized BODIPYs. RSC Adv. 2016, 6, 32124–32129. [Google Scholar] [CrossRef]
- Birzan, L.; Cristea, M.; Draghici, C.C.; Tecuceanu, V.; Maganu, M.; Hanganu, A.; Arnold, G.L.; Ungureanu, E.M.; Razus, A.C. 1-Vinylazulenes—potential host molecules in ligands for metal ion detectors. Tetrahedron 2016, 72, 2316–2326. [Google Scholar] [CrossRef]
- Lichosyt, D.; Wasilek, S.; Dydio, P.; Jurczak, J. The Influence of binding site geometry on anion-binding selectivity: A Case study of macrocyclic receptors built on the azulene skeleton. Chem. Eur. J. 2018, 24, 11683–11692. [Google Scholar] [CrossRef]
- Tang, T.; Lin, T.T.; Erden, F.; Wang, F.; He, C.B. Configuration-dependent optical properties and acid susceptibility of azulene compounds. J. Mater. Chem. C 2018, 6, 5153–5160. [Google Scholar] [CrossRef]
- Tao, T.; Fan, Y.T.; Zhao, J.J.; Yu, J.H.; Chen, M.D.; Huang, W. Reversible alteration of spectral properties for azulene decorated multiphenyl-ethylenes by simple acid-base and redox processes. Dyes. Pigm. 2019, 164, 346–354. [Google Scholar] [CrossRef]
- Xin, H.S.; Li, J.; Yang, X.D.; Gao, X.K. Azulene-based BN-heteroaromatics. J. Org. Chem. 2020, 85, 70–78. [Google Scholar] [CrossRef]
- Dunås, P.; Murfin, L.C.; Nilsson, O.J.; Jame, N.; Lewis, S.E.; Kann, N. Azulene functionalization by iron-mediated addition to a cyclohexadiene scaffold. J. Org. Chem. 2020, 85, 13453–13465. [Google Scholar] [CrossRef]
- Webster, S.J.; López-Alled, C.M.; Liang, X.X.; McMullin, C.L.; Kociok-Köhn, G.; Lyall, C.L.; James, T.D.; Wenk, J.; Cameron, P.J.; Lewis, S.E. Azulenes with aryl substituents bearing pentafluorosulfanyl groups: Synthesis, spectroscopic and halochromic properties. New J. Chem. 2019, 43, 992–1000. [Google Scholar] [CrossRef]
- Zhou, Y.Y.; Baryshnikov, G.; Li, X.P.; Zhu, M.J.; Ågren, H.; Zhu, L.L. Anti-Kasha’s rule emissive switching induced by intermolecular H-bonding. Chem. Mater. 2018, 30, 8008–8016. [Google Scholar] [CrossRef]
- Gong, Y.; Zhou, Y.; Yue, B.; Wu, B.; Sun, R.; Qu, S.; Zhu, L. Multiwavelength anti-Kasha’s rule emission on self-assembly of azulene-functionalized persulfurated arene. J. Phys. Chem. C 2019, 123, 22511–22518. [Google Scholar] [CrossRef]
- Chae, M.Y.; Czarnik, A.W. Fluorometric chemodosimetry—mercury(II) and silver(I) indication in water via enhanced fluorescence signaling. J. Am. Chem. Soc. 1992, 114, 9704–9705. [Google Scholar] [CrossRef]
- Kaur, K.; Saini, R.; Kumar, A.; Luxami, V.; Kaur, N.; Singh, P.; Kumar, S. Chemodosimeters: An approach for detection and estimation of biologically and medically relevant metal ions, anions and thiols. Coord. Chem. Rev. 2012, 256, 1992–2028. [Google Scholar] [CrossRef]
- Wu, D.; Sedgwick, A.C.; Gunnlaugsson, T.; Akkaya, E.U.; Yoon, J.; James, T.D. Fluorescent chemosensors: The past, present and future. Chem. Soc. Rev. 2017, 46, 7105–7123. [Google Scholar] [CrossRef] [PubMed]
- Weissleder, R. A clearer vision for in vivo imaging. Nat. Biotechnol. 2001, 19, 316–317. [Google Scholar] [CrossRef] [PubMed]
- Zipfel, W.R.; Williams, R.M.; Christie, R.; Nikitin, A.Y.; Hyman, B.T.; Webb, W.W. Live tissue intrinsic emission microscopy using multiphoton-excited native fluorescence and second harmonic generation. Proc. Natl. Acad. Sci. USA 2003, 100, 7075–7080. [Google Scholar] [CrossRef]
- Hilderbrand, S.A.; Weissleder, R. Near-infrared fluorescence: Application to in vivo molecular imaging. Curr. Opin. Chem. Biol. 2010, 14, 71–79. [Google Scholar] [CrossRef]
- Grellmann, K.H.; Heilbronner, E.; Seiler, P.; Weller, A. Proton dissociation of azulenium cations in the excited state. J. Am. Chem. Soc. 1968, 90, 4238–4242. [Google Scholar] [CrossRef]
- Dubovik, J.; Bredihhin, A. A convenient synthesis of functionalized azulenes via Negishi cross-coupling. Synthesis-Stuttgart 2015, 47, 538–548. [Google Scholar] [CrossRef]
- Cowper, P.; Jin, Y.; Turton, M.D.; Kociok-Kohn, G.; Lewis, S.E. Azulenesulfonium salts: Accessible, stable, and versatile reagents for cross-coupling. Angew. Chem. Int. Ed. 2016, 55, 2564–2568. [Google Scholar] [CrossRef] [PubMed]
- Kurotobi, K.; Miyauchi, M.; Takakura, K.; Murafuji, T.; Sugihara, Y. Direct introduction of a boryl substituent into the 2-position of azulene: Application of the Miyaura and Smith methods to azulene. Eur. J. Org. Chem. 2003, 3663–3665. [Google Scholar] [CrossRef]
- Makosza, M.; Osinski, P.W.; Ostrowski, S. On amination and diazotization of azulene and its derivatives. Pol. J. Chem. 2001, 75, 275–281. [Google Scholar]
- Machiguchi, T.; Hasegawa, T.; Yamabe, S.; Minato, T.; Yamazaki, S.; Nozoe, T. Experimental and theoretical analyses of azulene synthesis from tropones and active methylene compounds: Reaction of 2-methoxytropone and malononitrile. J. Org. Chem. 2012, 77, 5318–5330. [Google Scholar] [CrossRef]
- Zeng, H.N.; Png, Z.M.; Xu, J. Azulene in polymers and their properties. Chem. Asian J. 2020, 15, 1904–1915. [Google Scholar] [CrossRef]
- Wang, X.B.; Ng, J.K.P.; Jia, P.T.; Lin, T.T.; Cho, C.M.; Xu, J.W.; Lu, X.H.; He, C.B. Synthesis, electronic, and emission spectroscopy, and electrochromic characterization of azulene-fluorene conjugated oligomers and polymers. Macromolecules 2009, 42, 5534–5544. [Google Scholar] [CrossRef]
- Amir, E.; Amir, R.J.; Campos, L.M.; Hawker, C.J. Stimuli-responsive azulene-based conjugated oligomers with polyaniline-like properties. J. Am. Chem. Soc. 2011, 133, 10046–10049. [Google Scholar] [CrossRef]
- Amir, E.; Murai, M.; Amir, R.J.; Cowart, J.S., Jr.; Chabinyc, M.L.; Hawker, C.J. Conjugated oligomers incorporating azulene building blocks—seven- vs. five-membered ring connectivity. Chem. Sci. 2014, 5, 4483–4489. [Google Scholar] [CrossRef]
- Koch, M.; Blacque, O.; Venkatesan, K. Syntheses and tunable emission properties of 2-alkynyl azulenes. Org. Lett. 2012, 14, 1580–1583. [Google Scholar] [CrossRef]
- Koch, M.; Blacque, O.; Venkatesan, K. Impact of 2,6-connectivity in azulene: Optical properties and stimuli responsive behavior. J. Mater. Chem. C 2013, 1, 7400–7408. [Google Scholar] [CrossRef]
- Zadeh, E.H.G.; Tang, S.; Woodward, A.W.; Liu, T.; Bondar, M.V.; Belfield, K.D. Chromophoric materials derived from a natural azulene: Syntheses, halochromism and one-photon and two-photon microlithography. J. Mater. Chem. C 2015, 3, 8495–8503. [Google Scholar] [CrossRef]
- Woodward, A.W.; Zadeh, E.H.G.; Bondar, M.V.; Belfield, K.D. Computer aided chemical design: Using quantum chemical calculations to predict properties of a series of halochromic guaiazulene derivatives. R. Soc. Open Sci. 2016, 3. [Google Scholar] [CrossRef]
- Gao, H.L.; Yang, X.D.; Xin, H.S.; Gao, T.Z.; Gong, H.G.; Gao, X.K. Design, synthesis and properties of 2/6-aryl substituted azulene derivatives. Chin. J. Org. Chem. 2018, 38, 2680–2692. [Google Scholar] [CrossRef]
- Shoji, T.; Sugiyama, S.; Kobayashi, Y.; Yamazaki, A.; Ariga, Y.; Katoh, R.; Wakui, H.; Yasunami, M.; Ito, S. Direct synthesis of 2-arylazulenes by 8+2 cycloaddition of 2H-cyclohepta[b]furan-2-ones with silyl enol ethers. Chem. Commun. 2020, 56, 1485–1488. [Google Scholar] [CrossRef] [PubMed]
- Shoji, T.; Araki, T.; Iida, N.; Miura, K.; Ohta, A.; Sekiguchi, R.; Ito, S.; Okujima, T. Synthesis of azulenophthalimides by phosphine-mediated annulation of 1,2-diformylazulenes with maleimides. Org. Chem. Front. 2019, 6, 195–204. [Google Scholar] [CrossRef]
- Shoji, T.; Iida, N.; Yamazaki, A.; Ariga, Y.; Ohta, A.; Sekiguchi, R.; Nagahata, T.; Nagasawa, T.; Ito, S. Synthesis of phthalimides cross-conjugated with an azulene ring, and their structural, optical and electrochemical properties. Org. Biomol. Chem. 2020, 18, 2274–2282. [Google Scholar] [CrossRef] [PubMed]
- Shoji, T.; Miura, K.; Ohta, A.; Sekiguchi, R.; Ito, S.; Endo, Y.; Nagahata, T.; Mori, S.; Okujima, T. Synthesis of azuleno 2,1-b thiophenes by cycloaddition of azulenylalkynes with elemental sulfur and their structural, optical and electrochemical properties. Org. Chem. Front. 2019, 6, 2801–2811. [Google Scholar] [CrossRef]
- Li, H.; Gao, F.; Asato, A.E.; Liu, R.S.H. A comprehensive investigation of the interrelationships between spectroscopy and photochemistry and substituents of some azulenic derivatives. Spectrochim. Acta A 2008, 69, 272–277. [Google Scholar] [CrossRef]
- Jamali, S.; Mousavi, N.A.; Bagherzadeh, M.; Kia, R.; Samouei, H. Stimuli-responsive emissive behavior of 1-and 1,3-connectivities in azulene-based imine ligands: Cycloplatination and Pt-Tl dative bond formation. Dalton Trans. 2017, 46, 11327–11334. [Google Scholar] [CrossRef]
- Salman, H.; Abraham, Y.; Tal, S.; Meltzman, S.; Kapon, M.; Tessler, N.; Speiser, S.; Eichen, Y. 1,3-di(2-pyrrolyl)azulene: An efficient luminescent probe for fluoride. Eur. J. Org. Chem. 2005, 2005, 2207–2212. [Google Scholar] [CrossRef]
- Asato, A.E.; Peng, A.; Hossain, M.Z.; Mirzadegan, T.; Bertram, J.S. Azulenic retinoids—novel nonbenzenoid aromatic retinoids with anticancer activity. J. Med. Chem. 1993, 36, 3137–3147. [Google Scholar] [CrossRef]
- Sekine, T.; Takahashi, J.; Nishishiro, M.; Arai, A.; Wakabayashi, H.; Kurihara, T.; Kobayashi, M.; Hashimoto, K.; Kikuchi, H.; Katayama, T.; et al. Tumor-specificity and type of cell death induced by trihaloacetylazulenes in human tumor cell lines. Anticancer Res. 2007, 27, 133–143. [Google Scholar] [PubMed]
- Ishihara, M.; Wakabayashi, H.; Motohashi, N.; Sakagami, H. Quantitative structure-cytotoxicity relationship of newly synthesised trihaloacetylazulenes determined by a semi-empirical molecular-orbital method (PM5). Anticancer Res. 2011, 31, 515–520. [Google Scholar]
- Peet, J.; Selyutina, A.; Bredihhin, A. Antiretroviral (HIV-1) activity of azulene derivatives. Bioorganic Med. Chem. 2016, 24, 1653–1657. [Google Scholar] [CrossRef]
- Ramadan, M.; Goeters, S.; Watzer, B.; Krause, E.; Lohmann, K.; Bauer, R.; Hempel, B.; Imming, P. Chamazulene carboxylic acid and matricin: A natural profen and its natural prodrug, identified through similarity to synthetic drug substances. J. Nat. Prod. 2006, 69, 1041–1045. [Google Scholar] [CrossRef]
- Rekka, E.; Chrysselis, M.; Siskou, I.; Kourounakis, A. Synthesis of new azulene derivatives and study of their effect on lipid peroxidation and lipoxygenase activity. Chem. Pharm. Bull. 2002, 50, 904–907. [Google Scholar] [CrossRef]
- Loeber, S.; Tschammer, N.; Huebner, H.; Melis, M.R.; Argiolas, A.; Gmeiner, P. The Azulene framework as a novel arene bioisostere: Design of potent dopamine d4 receptor ligands inducing penile erection. ChemMedChem 2009, 4, 325–328. [Google Scholar] [CrossRef]
- Loeber, S.; Huebner, H.; Buschauer, A.; Sanna, F.; Argiolas, A.; Melis, M.R.; Gmeiner, P. Novel azulene derivatives for the treatment of erectile dysfunction. Bioorganic Med. Chem. Lett. 2012, 22, 7151–7154. [Google Scholar] [CrossRef]
- Yanagisawa, T.; Wakabayashi, S.; Tomiyama, T.; Yasunami, M.; Takase, K. synthesis and anti-ulcer activities of sodium alkylazulene sulfonates. Chem. Pharm. Bull. 1988, 36, 641–647. [Google Scholar] [CrossRef]
- Yanagisawa, T.; Kosakai, K.; Tomiyama, T.; Yasunami, M.; Takase, K. Studies on antiulcer agents.2. synthesis and antiulcer activities of 6-isopropylazulene-1-sodium sulfonate derivatives. Chem. Pharm. Bull. 1990, 38, 3355–3358. [Google Scholar] [CrossRef][Green Version]
- Tomiyama, T.; Yokota, M.; Wakabayashi, S.; Kosakai, K.; Yanagisawa, T. Design, synthesis, and pharmacology of 3-substituted sodium azulene-1-sulfonates and related-compounds—nonprostanoid thromboxane A2 receptor antagonists. J. Med. Chem. 1993, 36, 791–800. [Google Scholar] [CrossRef]
- Zhang, L.-Y.; Yang, F.; Shi, W.-Q.; Zhang, P.; Li, Y.; Yin, S.-F. Synthesis and antigastric ulcer activity of novel 5-isopropyl-3,8-dimethylazulene derivatives. Bioorganic Med. Chem. Lett. 2011, 21, 5722–5725. [Google Scholar] [CrossRef]
- Ikegai, K.; Imamura, M.; Suzuki, T.; Nakanishi, K.; Murakami, T.; Kurosaki, E.; Noda, A.; Kobayashi, Y.; Yokota, M.; Koide, T.; et al. Synthesis and biological evaluation of C-glucosides with azulene rings as selective SGLT2 inhibitors for the treatment of type 2 diabetes mellitus: Discovery of YM543. Bioorganic Med. Chem. 2013, 21, 3934–3948. [Google Scholar] [CrossRef]
- Nolting, D.D.; Nickels, M.; Tantawy, M.N.; Yu, J.Y.H.; Xie, J.; Peterson, T.E.; Crews, B.C.; Marnetta, L.; Gore, J.C.; Pham, W. Convergent synthesis and evaluation of 18F-labeled azulenic COX2 probes for cancer imaging. Front. Oncol. 2013, 2. [Google Scholar] [CrossRef]
- Loidl, G.; Musiol, H.J.; Budisa, N.; Huber, R.; Poirot, S.; Fourmy, D.; Moroder, L. Synthesis of β-(1-azulenyl)-L-alanine as a potential blue-colored fluorescent tryptophan analog and its use in peptide synthesis. J. Pept. Sci. 2000, 6, 139–144. [Google Scholar] [CrossRef]
- Venanzi, M.; Valeri, A.; Palleschi, A.; Stella, L.; Moroder, L.; Formaggio, F.; Toniolo, C.; Pispisa, B. Structural properties and photophysical Behavior of conformationally constrained hexapeptides functionalized with a new fluorescent analog of tryptophan and a nitroxide radical quencher. Biopolymers 2004, 75, 128–139. [Google Scholar] [CrossRef]
- Mazzuca, C.; Stella, L.; Venanzi, M.; Formaggio, F.; Toniolo, C.; Pispisa, B. Mechanism of membrane activity of the antibiotic trichogin GA IV: A two-state transition controlled by peptide concentration. Biophys. J. 2005, 88, 3411–3421. [Google Scholar] [CrossRef]
- Koh, C.J.; Lee, M. Fluorescence lifetime imaging microscopy of amyloid aggregates. Bull. Korean Chem. Soc. 2006, 27, 477–478. [Google Scholar]
- Moroz, Y.S.; Binder, W.; Nygren, P.; Caputo, G.A.; Korendovych, I.V. Painting proteins blue: β-(1-azulenyl)-L-alanine as a probe for studying protein-protein interactions. Chem. Commun. 2013, 49, 490–492. [Google Scholar] [CrossRef]
- Gosavi, P.M.; Moroz, Y.S.; Korendovych, I.V. β-(1-Azulenyl)-L-alanine—a functional probe for determination of pKa of histidine residues. Chem. Commun. 2015, 51, 5347–5350. [Google Scholar] [CrossRef]
- Stempel, E.; Kaml, R.F.X.; Budisa, N.; Kalesse, M. Painting argyrins blue: Negishi cross-coupling for synthesis of deep-blue tryptophan analogue β-(1-azulenyl)-L alanine and its incorporation into argyrin C. Bioorganic Med. Chem. 2018, 26, 5259–5269. [Google Scholar] [CrossRef]
- Watkins, E.J.; Almhjell, P.J.; Arnold, F.H. Direct enzymatic synthesis of a deep-blue fluorescent noncanonical amino acid from azulene and serine. ChemBioChem 2020, 21, 80–83. [Google Scholar] [CrossRef]
- Pham, W.; Weissleder, R.; Tung, C.H. An azulene dimer as a near-infrared quencher. Angew. Chem. Int. Ed. 2002, 41, 3659–3662. [Google Scholar] [CrossRef]
- Pham, W.; Weissleder, R.; Tung, C.H. A practical approach for the preparation of monofunctional azulenyl squaraine dye. Tetrahedron Lett. 2003, 44, 3975–3978. [Google Scholar] [CrossRef][Green Version]
- Zhou, Y.Y.; Zhuang, Y.P.; Li, X.; Agren, H.; Yu, L.; Ding, J.D.; Zhu, L.L. selective dual-channel imaging on cyanostyryl-modified azulene systems with unimolecularly tunable visible-near infrared luminescence. Chem. Eur. J. 2017, 23, 7642–7647. [Google Scholar] [CrossRef]
- Zhou, Y.; Zou, Q.; Qiu, J.; Wang, L.; Zhu, L. Rational design of a green-light-mediated unimolecular platform for fast switchable acidic sensing. J. Phys. Chem. Lett. 2018, 9, 550–556. [Google Scholar] [CrossRef]
- Zhou, Y.; Zhu, L. Involving synergy of green light and acidic responses in control of unimolecular multicolor luminescence. Chem. Eur. J. 2018, 24, 10306–10309. [Google Scholar] [CrossRef]
- Dragu, E.A.; Ion, A.E.; Shova, S.; Bala, D.; Mihailciuc, C.; Voicescu, M.; Ionescu, S.; Nica, S. Visible-light triggered photoswitching systems based on fluorescent azulenyl-substituted dithienylcyclopentenes. RSC Adv. 2015, 5, 63282–63286. [Google Scholar] [CrossRef]
- Murfin, L.C.; Weber, M.; Park, S.J.; Kim, W.T.; López-Alled, C.M.; McMullin, C.L.; Pradaux-Caggiano, F.; Lyall, C.L.; Kociok-Köhn, G.; Wenk, J.; et al. Azulene-derived fluorescent probe for bioimaging: Detection of reactive oxygen and nitrogen species by two-photon microscopy. J. Am. Chem. Soc. 2019, 141, 19389–19396. [Google Scholar] [CrossRef]
- Denk, W.; Strickler, J.H.; Webb, W.W. 2-Photon laser scanning fluorescence microscopy. Science 1990, 248, 73–76. [Google Scholar] [CrossRef]
- Zipfel, W.R.; Williams, R.M.; Webb, W.W. Nonlinear magic: Multiphoton microscopy in the biosciences. Nat. Biotechnol. 2003, 21, 1368–1376. [Google Scholar] [CrossRef] [PubMed]
- Kim, H.M.; Cho, B.R. Small-molecule two-photon probes for bioimaging applications. Chem. Rev. 2015, 115, 5014–5055. [Google Scholar] [CrossRef] [PubMed]
- Grimm, J.B.; English, B.P.; Chen, J.J.; Slaughter, J.P.; Zhang, Z.J.; Revyakin, A.; Patel, R.; Macklin, J.J.; Normanno, D.; Singer, R.H.; et al. A general method to improve fluorophores for live-cell and single-molecule microscopy. Nat. Methods 2015, 12, 244–250. [Google Scholar] [CrossRef] [PubMed]




















| Analyte or Imaging Purpose | Author and Reference |
|---|---|
| H+ (Polymers and oligomers) 1 | Xu [46], Hawker [47,48] |
| H+ (Alkynyl azulenes) 1 | Venkatesan [49,50] |
| H+ (Guaiazulene) 1 | Belfield [51] |
| H+ (Fused cyclic azulenes) 1 | Shoji [55,57] |
| H+ (α-Atom protonation) | Shoji [56], Li and Gao [58], Jamali and Bagherzadeh [59] |
| H+ (Misc. small molecule azulene proton probes) 1 | Gao [53], Shoji [54], Lewis and Kann [29], Zhu [86,87] |
| Fluoride (F−) | Eichen [60] |
| Biomarker (Aal) | Moroder [75], Pispisa [76,77], Korendovych [79,80] Kalesse [81] |
| Fluorescence quenching | Koh and Lee [78], Tung [83,84] |
| Cell imaging | Zhu [85], Lewis [89] |
| Reactive oxygen species (e.g., HOO−, ONOO−) | Lewis [89] |
Publisher’s Note: MDPI stays neutral with regard to jurisdictional claims in published maps and institutional affiliations. |
© 2021 by the authors. Licensee MDPI, Basel, Switzerland. This article is an open access article distributed under the terms and conditions of the Creative Commons Attribution (CC BY) license (http://creativecommons.org/licenses/by/4.0/).
Share and Cite
Murfin, L.C.; Lewis, S.E. Azulene—A Bright Core for Sensing and Imaging. Molecules 2021, 26, 353. https://doi.org/10.3390/molecules26020353
Murfin LC, Lewis SE. Azulene—A Bright Core for Sensing and Imaging. Molecules. 2021; 26(2):353. https://doi.org/10.3390/molecules26020353
Chicago/Turabian StyleMurfin, Lloyd C., and Simon E. Lewis. 2021. "Azulene—A Bright Core for Sensing and Imaging" Molecules 26, no. 2: 353. https://doi.org/10.3390/molecules26020353
APA StyleMurfin, L. C., & Lewis, S. E. (2021). Azulene—A Bright Core for Sensing and Imaging. Molecules, 26(2), 353. https://doi.org/10.3390/molecules26020353

