Supramolecular Association between γ-Cyclodextrin and Preyssler-Type Polyoxotungstate
Abstract
:1. Introduction
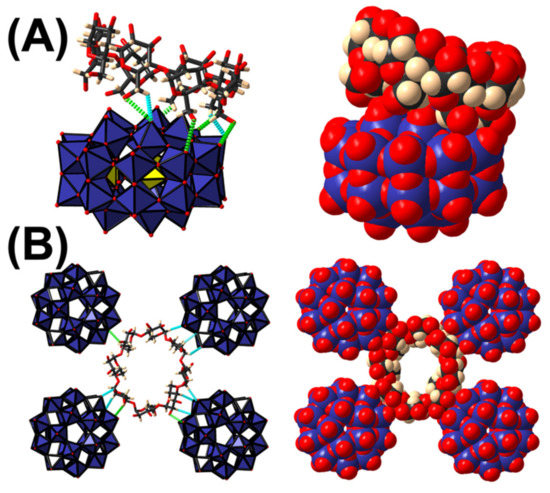
2. Results and Discussion
3. Materials and Methods
3.1. Reagents
3.2. NMR Studies
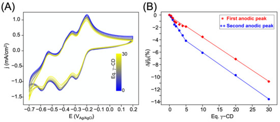
3.3. Electrochemistry
3.4. Single-Crystal X-ray Diffraction Analysis
3.5. Synthesis of K6Na8{[NaP5W30O110]•(C48H80O40)}•23H2O (NaP5W30•1CD)
4. Conclusions
Supplementary Materials
Author Contributions
Funding
Institutional Review Board Statement
Informed Consent Statement
Data Availability Statement
Conflicts of Interest
Sample Availability
References
- Gumerova, N.I.; Rompel, A. Polyoxometalates in Solution: Speciation under Spotlight. Chem. Soc. Rev. 2020, 49, 7568–7601. [Google Scholar] [CrossRef]
- Müller, A.; Gouzerh, P. From Linking of Metal-Oxide Building Blocks in a Dynamic Library to Giant Clusters with Unique Properties and towards Adaptive Chemistry. Chem. Soc. Rev. 2012, 41, 7431–7463. [Google Scholar] [CrossRef]
- Zhong, J.; Perez-Ramirez, J.; Yan, N. Biomass Valorisation over Polyoxometalate-Based Catalysts. Green Chem. 2021, 23. [Google Scholar] [CrossRef]
- Shiddiq, M.; Komijani, D.; Duan, Y.; Gaita-Arino, A.; Coronado, E.; Hill, S. Enhancing Coherence in Molecular Spin Qubits via Atomic Clock Transitions. Nature 2016, 531, 348–351. [Google Scholar] [CrossRef]
- Bijelic, A.; Aureliano, M.; Rompel, A. Polyoxometalates as Potential Next-Generation Metallodrugs in the Combat Against Cancer. Angew. Chem. Int. Ed. 2019, 58, 2980–2999. [Google Scholar] [CrossRef] [Green Version]
- Chen, L.; Chen, W.-L.; Wang, X.-L.; Li, Y.-G.; Su, Z.-M.; Wang, E.-B. Polyoxometalates in Dye-Sensitized Solar Cells. Chem. Soc. Rev. 2019, 48, 260–284. [Google Scholar] [CrossRef] [PubMed]
- Anyushin, A.; Kondinski, A.; Parac-Vogt, T.N. Hybrid Polyoxometalates as Post-Functionalization Platforms: From Fundamentals to Emerging Applications. Chem. Soc. Rev. 2020, 49, 382–432. [Google Scholar] [CrossRef]
- Li, B.; Li, W.; Li, H.; Wu, L. Ionic Complexes of Metal Oxide Clusters for Versatile Self Assemblies. Acc. Chem. Res. 2017, 50, 1391–1399. [Google Scholar] [CrossRef]
- Stuckart, M.; Monakhov, K.Y. Polyoxometalates as Components of Supramolecular Assemblies. Chem. Sci. 2019, 10, 4364–4376. [Google Scholar] [CrossRef] [PubMed] [Green Version]
- Wu, Y.; Shi, R.; Wu, Y.-L.; Holcroft, J.M.; Liu, Z.; Frasconi, M.; Wasielewski, M.R.; Li, H.; Stoddart, J.F. Complexation of Polyoxometalates with Cyclodextrins. J. Am. Chem. Soc. 2015, 137, 4111–4118. [Google Scholar] [CrossRef]
- Prochowicz, D.; Kornowicz, A.; Lewinski, J. Interactions of Native Cyclodextrins with Metal Ions and Inorganic Nanoparticles: Fertile Landscape for Chemistry and Materials Science. Chem. Rev. 2017, 117, 13461–13501. [Google Scholar] [CrossRef]
- Hapiot, F.; Menuel, S.; Ferreira, M.; Leger, B.; Bricout, H.; Tilloy, S.; Monflier, E. Catalysis in Cyclodextrin-Based Unconventional Reaction Media: Recent Developments and Future Opportunities. ACS Sustain. Chem. Eng. 2017, 5, 3598–3606. [Google Scholar] [CrossRef]
- Yang, P.; Zhao, W.; Shkurenko, A.; Belmabkhout, Y.; Eddaoudi, M.; Dong, X.; Alshareef, H.N.; Khashab, N.M. Polyoxometalate-Cyclodextrin Metal-Organic Frameworks: From Tunable Structure to Customized Storage Functionality. J. Am. Chem. Soc. 2019, 141, 1847–1851. [Google Scholar] [CrossRef] [Green Version]
- Pramanik, A.; Karmakar, J.; Grynzspan, F.; Levine, M. Facile Iodine Detection via Fluorescence Quenching of Beta-Cyclodextrin:Bimane-Ditriazole Inclusion Complexes. Isr. J. Chem. 2020. [Google Scholar] [CrossRef]
- Li, X.; Porcino, M.; Martineau-Corcos, C.; Guo, T.; Xiong, T.; Zhu, W.F.; Patriarche, G.; Pechoux, C.; Perronne, B.; Hassan, A.; et al. Efficient Incorporation and Protection of Lansoprazole in Cyclodextrin Metal-Organic Frameworks. Int. J. Pharm. 2020, 585, 11. [Google Scholar] [CrossRef]
- Abramov, P.A.; Ivanov, A.A.; Shestopalov, M.A.; Moussawi, M.A.; Cadot, E.; Floquet, S.; Haouas, M.; Sokolov, M.N. Supramolecular Adduct of Gamma-Cyclodextrin and {Re6Q8}(H2O)62+ (Q = S, Se). J. Clust. Sci. 2018, 29, 9–13. [Google Scholar] [CrossRef] [Green Version]
- Assaf, K.I.; Ural, M.S.; Pan, F.; Georgiev, T.; Simova, S.; Rissanen, K.; Gabel, D.; Nau, W.M. Water Structure Recovery in Chaotropic Anion Recognition: High-Affinity Binding of Dodecaborate Clusters to γ-Cyclodextrin. Angew. Chem. Int. Ed. 2015, 54, 6852–6856. [Google Scholar] [CrossRef] [Green Version]
- Ivanov, A.A.; Falaise, C.; Abramov, P.A.; Shestopalov, M.A.; Kirakci, K.; Lang, K.; Moussawi, M.A.; Sokolov, M.N.; Naumov, N.G.; Floquet, S.; et al. Host-Guest Binding Hierarchy within Redox- and Luminescence-Responsive Supramolecular Self-Assembly Based on Chalcogenide Clusters and Gamma-Cyclodextrin. Chem. Eur. J. 2018, 24, 13467–13478. [Google Scholar] [CrossRef]
- Haouas, M.; Falaise, C.; Martineau-Corcos, C.; Cadot, E. Cyclodextrin-Driven Formation of Double Six-Ring (D6R) Silicate Cage: NMR Spectroscopic Characterization from Solution to Crystals. Crystals 2018, 8, 457. [Google Scholar] [CrossRef] [Green Version]
- Diab, M.; Floquet, S.; Haouas, M.; Abramov, P.A.; Lopez, X.; Landy, D.; Damond, A.; Falaise, C.; Guerineau, V.; Touboul, D.; et al. Encapsulation of Chaotropic Closo-Decahydrodecaborate Clusters Within Cyclodextrins: Synthesis, Solution Studies, and DFT Calculations. Eur. J. Inorg. Chem. 2019, 2019, 3373–3382. [Google Scholar] [CrossRef]
- Noel, S.; Leger, B.; Ponchel, A.; Philippot, K.; Denicourt-Nowicki, A.; Roucoux, A.; Monflier, E. Cyclodextrin-Based Systems for the Stabilization of Metallic(0) Nanoparticles and Their Versatile Applications in Catalysis. Catal. Today 2014, 235, 20–32. [Google Scholar] [CrossRef] [Green Version]
- Moussawi, M.A.; Leclerc-Laronze, N.; Floquet, S.; Abramov, P.A.; Sokolov, M.N.; Cordier, S.; Ponchel, A.; Monflier, E.; Bricout, H.; Landy, D.; et al. Polyoxometalate, Cationic Cluster, and Gamma-Cyclodextrin: From Primary Interactions to Supramolecular Hybrid Materials. J. Am. Chem. Soc. 2017, 139, 12793–12803. [Google Scholar] [CrossRef]
- Yao, S.; Falaise, C.; Ivanov, A.A.; Leclerc, N.; Hohenschutz, M.; Haouas, M.; Landy, D.; Shestopalov, M.A.; Bauduin, P.; Cadot, E. Hofmeister Effect in the Keggin-Type Polyoxotungstate Series. Inorg. Chem. Front. 2021, 8, 12. [Google Scholar] [CrossRef]
- Buchecker, T.; Schmid, P.; Renaudineau, S.; Diat, O.; Proust, A.; Pfitzner, A.; Bauduin, P. Polyoxometalates in the Hofmeister Series. Chem. Commun. 2018, 54, 1833–1836. [Google Scholar] [CrossRef]
- Sole-Daura, A.; Poblet, J.M.; Carbo, J.J. Structure-Activity Relationships for the Affinity of Chaotropic Polyoxometalate Anions towards Proteins. Chem. Eur. J. 2020, 26, 5799–5809. [Google Scholar] [CrossRef]
- Falaise, C.; Moussawi, M.A.; Floquet, S.; Abramov, P.A.; Sokolov, M.N.; Haouas, M.; Cadot, E. Probing Dynamic Library of Metal-Oxo Building Blocks with Gamma-Cyclodextrin. J. Am. Chem. Soc. 2018, 140, 11198–11201. [Google Scholar] [CrossRef] [PubMed]
- Jiang, Z.-G.; Mao, W.-T.; Huang, D.-P.; Wang, Y.; Wang, X.-J.; Zhan, C.-H. A Nonconventional Host-Guest Cubic Assembly Based on Gamma-Cyclodextrin and a Keggin-Type Polyoxometalate. Nanoscale 2020, 12, 10166–10171. [Google Scholar] [CrossRef]
- Moussawi, M.A.; Haouas, M.; Floquet, S.; Shepard, W.E.; Abramov, P.A.; Sokolov, M.N.; Fedin, V.P.; Cordier, S.; Ponchel, A.; Monflier, E.; et al. Nonconventional Three-Component Hierarchical Host-Guest Assembly Based on Mo-Blue Ring-Shaped Giant Anion, Gamma-Cyclodextrin, and Dawson-Type Polyoxometalate. J. Am. Chem. Soc. 2017, 139, 14376–14379. [Google Scholar] [CrossRef]
- Alizadeh, M.; Harmalker, S.; Jeannin, Y.; Martin-frére, J.; Pope, M. A Heteropolyanion with Fivefold Molecular Symmetry that Contains a Nonlabile Encapsulated Sodium-Ion—The Structure and Chemistry of [NaP5W30O110]14−. J. Am. Chem. Soc. 1985, 107, 2662–2669. [Google Scholar] [CrossRef]
- Kim, K.C.; Pope, M.T.; Gama, G.J.; Dickman, M.H. Slow Proton Exchange in Aqueous Solution. Consequences of Protonation and Hydration within the Central Cavity of Preyssler Anion Derivatives, [M(H2O)P5W30O110]n−. J. Am. Chem. Soc. 1999, 121, 11164–11170. [Google Scholar] [CrossRef]
- Creaser, I.; Heckel, M.; Neitz, R.; Pope, M. Rigid Nonlabile Polyoxometalate Cryptates [ZP5W30O110](15−n)− that Exhibit Unprecedented Selectivity for Certain Lanthanide and Other Multivalent Cations. Inorg. Chem. 1993, 32, 1573–1578. [Google Scholar] [CrossRef]
- Huo, Z.; Bonnefont, A.; Liang, Y.; Farha, R.; Goldmann, M.; Saint-Aman, E.; Xu, H.; Bucher, C.; Ruhlmann, L. Photovoltaic Properties of Supramolecular Assemblies Obtained by Incorporation of Preysler’s Type Polyoxometalate in a Polycationic Copolymer of Porphyrin. Electrochim. Acta 2018, 274, 177–191. [Google Scholar] [CrossRef]
- Hirschorn, B.; Orazem, M.E.; Tribollet, B.; Vivier, V.; Frateur, I.; Musiani, M. Determination of Effective Capacitance and Film Thickness from Constant-Phase-Element Parameters. Electrochim. Acta 2010, 55, 6218–6227. [Google Scholar] [CrossRef]
- Nguyen, T.Q.; Breitkopf, C. Determination of Diffusion Coefficients Using Impedance Spectroscopy Data. J. Electrochem. Soc. 2018, 165, E826–E831. [Google Scholar] [CrossRef]
- Komura, T.; Yamaguchi, T.; Noda, K.; Hayashi, S. Inclusion Complexation of (11-Ferrocenylundecyl)Trimethylammonium Bromide by β-Cyclodextrin and Its Effects on Electrochemical Behavior of the Surfactant. Electrochim. Acta 2002, 47, 3315–3325. [Google Scholar] [CrossRef]
- Bollo, S.; Yáñez, C.; Sturm, J.; Núñez-Vergara, L.; Squella, J.A. Cyclic Voltammetric and Scanning Electrochemical Microscopic Study of Thiolated β-Cyclodextrin Adsorbed on a Gold Electrode. Langmuir 2003, 19, 3365–3370. [Google Scholar] [CrossRef]
- Väli, R.; Jänes, A.; Lust, E. Alkali-Metal Insertion Processes on Nanospheric Hard Carbon Electrodes: An Electrochemical Impedance Spectroscopy Study. J. Electrochem. Soc. 2017, 164, E3429–E3437. [Google Scholar] [CrossRef]
- Valente, A.J.M.; Carvalho, R.A.; Söderman, O. Do Cyclodextrins Aggregate in Water? Insights from NMR Experiments. Langmuir 2015, 31, 6314–6320. [Google Scholar] [CrossRef]
- Jeannin, Y.; Martin-Frére, J. In Inorganic Syntheses; John Wiley & Sons, Inc.: New York, NY, USA, 1990; Volume 27, p. 115. [Google Scholar]
- Dolomanov, O.V.; Bourhis, L.J.; Gildea, R.J.; Howard, J.A.K.; Puschmann, H. OLEX2: A Complete Structure Solution, Refinement and Analysis Program. J. Appl. Crystallogr. 2009, 42, 339–341. [Google Scholar] [CrossRef]
- Sheldrick, G.M. SHELXT - Integrated Space-Group and Crystal-Structure Determination. Acta Crystallogr. A Found. Adv. 2015, 71, 3–8. [Google Scholar] [CrossRef] [Green Version]
- Sheldrick, G.M. Crystal Structure Refinement with SHELXL. Acta Crystallogr. Sect. C Struct. Chem. 2015, 71, 3–8. [Google Scholar] [CrossRef] [PubMed]






| Eq. γ-CD | Rs (Ω·cm2) | Cdl (µF·cm−2) | Rct (Ω·cm2) | σw (Ω·cm2) | |
|---|---|---|---|---|---|
| First cathodic peak | 0 | 14.8 | 384.1 | 24.2 | 6.7 |
| 0.5 | 13.7 | 314.5 | 18.3 | 5.0 | |
| 1 | 12.1 | 289.0 | 18.6 | 2.4 | |
| 1.5 | 12.6 | 250.8 | 17.0 | 2.1 | |
| 2 | 13.2 | 251.9 | 15.2 | 1.9 | |
| 3 | 12.9 | 240.8 | 14.7 | 1.9 | |
| 4 | 12.2 | 231.0 | 14.0 | 1.8 | |
| 5 | 11.6 | 222.0 | 13.5 | 1.7 | |
| 10 | 10.9 | 208.9 | 13.2 | 1.7 | |
| 20 | 10.6 | 203.8 | 14.1 | 1.9 | |
| 30 | 10.5 | 197.5 | 14.6 | 2.0 |
| Eq. γ-CD | Rs (Ω·cm2) | Cdl (µF·cm−2) | Rct (Ω·cm2) | σw (Ω·cm2) | |
|---|---|---|---|---|---|
| Second cathodic peak | 0 | 14.7 | 503.4 | 30.5 | 4.4 |
| 0.5 | 13.6 | 442.9 | 26.3 | 3.4 | |
| 1 | 12.0 | 391.8 | 20.8 | 2.7 | |
| 1.5 | 12.6 | 381.0 | 21.2 | 2.6 | |
| 2 | 13.1 | 370.9 | 20.0 | 2.5 | |
| 3 | 12.8 | 374.1 | 21.9 | 2.7 | |
| 4 | 12.2 | 357.2 | 20.7 | 2.7 | |
| 5 | 11.5 | 333.8 | 18.5 | 2.3 | |
| 10 | 10.8 | 306.1 | 16.0 | 2.0 | |
| 20 | 10.4 | 286.9 | 15.7 | 2.0 | |
| 30 | 10.2 | 267.5 | 14.8 | 1.9 |
Publisher’s Note: MDPI stays neutral with regard to jurisdictional claims in published maps and institutional affiliations. |
© 2021 by the authors. Licensee MDPI, Basel, Switzerland. This article is an open access article distributed under the terms and conditions of the Creative Commons Attribution (CC BY) license (https://creativecommons.org/licenses/by/4.0/).
Share and Cite
Leclerc, N.; Haouas, M.; Falaise, C.; Al Bacha, S.; Assaud, L.; Cadot, E. Supramolecular Association between γ-Cyclodextrin and Preyssler-Type Polyoxotungstate. Molecules 2021, 26, 5126. https://doi.org/10.3390/molecules26175126
Leclerc N, Haouas M, Falaise C, Al Bacha S, Assaud L, Cadot E. Supramolecular Association between γ-Cyclodextrin and Preyssler-Type Polyoxotungstate. Molecules. 2021; 26(17):5126. https://doi.org/10.3390/molecules26175126
Chicago/Turabian StyleLeclerc, Nathalie, Mohamed Haouas, Clément Falaise, Serge Al Bacha, Loïc Assaud, and Emmanuel Cadot. 2021. "Supramolecular Association between γ-Cyclodextrin and Preyssler-Type Polyoxotungstate" Molecules 26, no. 17: 5126. https://doi.org/10.3390/molecules26175126
APA StyleLeclerc, N., Haouas, M., Falaise, C., Al Bacha, S., Assaud, L., & Cadot, E. (2021). Supramolecular Association between γ-Cyclodextrin and Preyssler-Type Polyoxotungstate. Molecules, 26(17), 5126. https://doi.org/10.3390/molecules26175126

