HPLC-Analysis, Biological Activities and Characterization of Action Mode of Saudi Marrubium vulgare against Foodborne Diseases Bacteria
Abstract
1. Introduction
2. Results and Discussion
2.1. HPLC Analysis
2.2. Secondary Metabolites Contents
2.3. Antioxidant Activity
2.4. In Vitro Acetylcholinesterase Inhibition
2.5. Antibacterial Activity
2.6. Characterization of Action Mode of Methanolic Extract
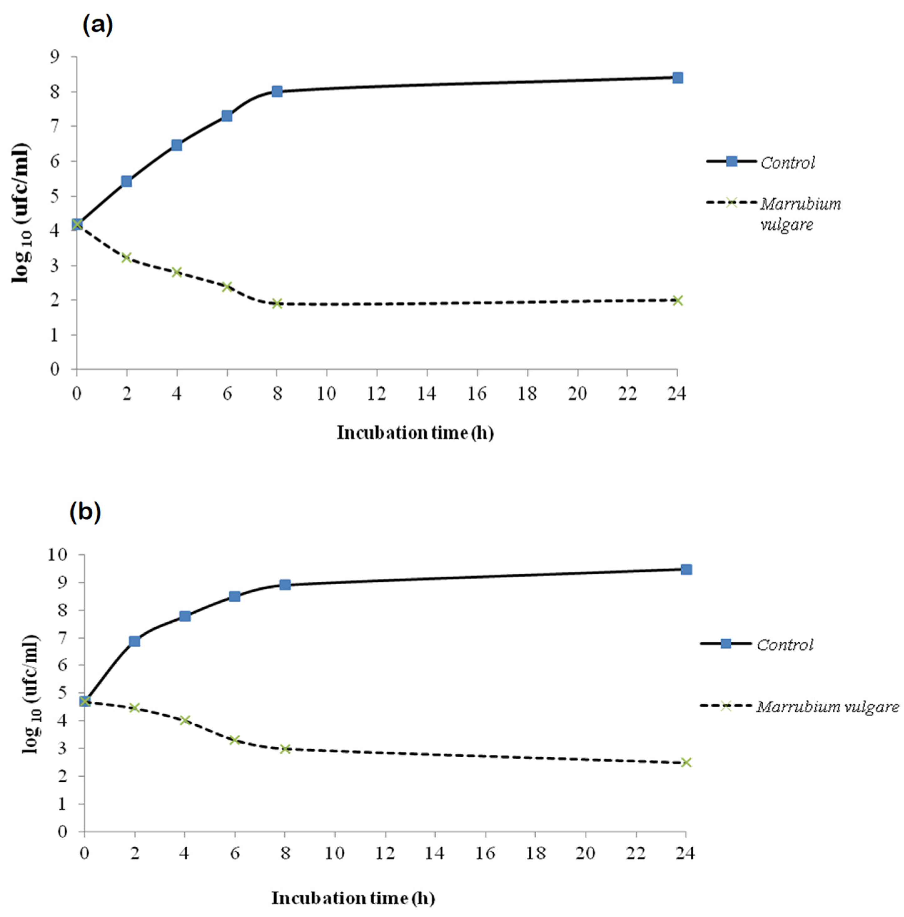
2.6.1. Dynamics Action of Methanolic Extract: Kill–Time Analysis
2.6.2. Determination of the Lytic Action of Methanolic Extract
3. Material and Methods
3.1. Plant Material
3.2. Preparation of Methanolic Extract
3.3. HPLC Analysis
3.4. Secondary Metabolites Content
3.4.1. Determination of Total Phenolic Content
3.4.2. Determination of Total Flavonoid Content
3.5. Antioxidant Activity of Methanolic Extract
3.5.1. Free Radical Scavenging Activity Using DPPH
3.5.2. Free Radical Scavenging Ability Using ABTS Radical Cation
3.6. Acetylcholinesterase Inhibition
3.7. Evaluation of Antimicrobial Activity
3.8. Primary Mode of Action of Methanolic Extract
3.8.1. Time–Kill Studies
3.8.2. Bacteriolysis
3.9. Statistical Analysis
4. Conclusions
Author Contributions
Funding
Institutional Review Board Statement
Informed Consent Statement
Data Availability Statement
Conflicts of Interest
Sample Availability
References
- Celiktas, O.Y.; Hames, K.E.E.; Bedi, E.; Verdar, S.O.; Baser, K.H.C. Antimicrobial activities of methanolic extract and essential oils of Rosmarinus officinalis, depending on location and seasonal variations. Food Chem. 2007, 100, 553–559. [Google Scholar] [CrossRef]
- Bae, J.H. Antimicrobial effect of Pulsatilla koreana extracts on food-borna pathogen. Korean J. Nutr. 2004, 37, 655–661. [Google Scholar]
- Jeon, Y.H.; Sun, X.; Kim, M. Antimicrobial activity of the ethanol extract from Rubus coreanum against microorganism related with foodborne illness. Korean J. Food Cook. Sci. 2012, 28, 9–15. [Google Scholar] [CrossRef][Green Version]
- Lee, J.H.; Kim, I.H. Antimicrobial activity and stability of tetrasodium pyrophosphate peroxidate. Kor. J. Food Sci. Technol. 1998, 30, 1040–1044. [Google Scholar]
- Weel, K.G.C.; Venskutonis, P.R.; Pukalskas, A.; Gruzdiene, D.; Linssen, J.P.H. Antioxidant activity of horehound (Marrubium vulgare L.) grown in Lithuani. Eur. J. Lip. Sci. Technol. 1999, 11, 395–400. [Google Scholar] [CrossRef]
- Bouterfas, K.; Mehdadi, Z.; Maliha Elaoufi, M.; Aouad, L.; Latreche, A.; Benchiha, W. In vitro antibacterial activity of flavonoids extracts from three Algerian horehound (Marrubium vulgare L.) leaves. Orien. Pharm. Experim. Med. 2018, 18, 59–66. [Google Scholar] [CrossRef]
- Amri, B.; Martino, E.; Vitulo, F.; Corana, F.; Kaab, L.B.; Rui, M.; Rossi, D.; Mori, M.; Rossi, S.; Collina, S. Marrubium vulgare L. leave extract: Phytochemical composition, antioxidant and wound healing properties. Molecules 2017, 22, 1851. [Google Scholar] [CrossRef] [PubMed]
- Aouadhi, C.; Ghazghazi, H.; Hasnaoui, B.; Maaroufi, A. Total phenolic content, antioxidant and antibacterial activities of Marrubium vulgare methanolic extract. Tun. J. Med. Plants Nat Prod. 2014, 11, 37–79. [Google Scholar]
- Boudjelal, A.; Henchiri, C.; Siracusa, L.; Sari, M.; Ruberto, G. Compositional analysis and in vivo anti-diabetic activity of wild Algerian Marrubium vulgare L. infusion. Fitote 2012, 83, 286–292. [Google Scholar] [CrossRef] [PubMed]
- Schlemper, V.; Ribas, A.; Nicolau, M.; Cechinel-Filho, V. Antispasmodic effects of hydroalcoolic extract of Marrubium vulgare on isolated tissues. Phytomedicine 1996, 3, 211–216. [Google Scholar] [CrossRef]
- Bardai, S.E.; Lyoussi, B.; Wibo, M.; Morel, N. Pharmacological evidence of hypotensive activity of Marrubium vulgare and Foeniculum vulgare in spontaneously hypertensive rat. Clin. Experim. Hypertens. 2001, 23, 329–343. [Google Scholar] [CrossRef]
- El-Bardai, S.; Morel, N.; Wibo, M.; Fabre, N.; Llabres, G.; Lyoussi, B.; Quetin, L. The vasorelaxant activity of marrubenol and marrubiin from Marrubium vulgare. Planta Med. 2003, 69, 75–77. [Google Scholar] [CrossRef] [PubMed]
- Roman, R.R.; Aharcon, A.F.; Lara, L.A.; Flores, S.J.L. Hypoglycemic effect of plants used in Mexico as antidiabetics. Ar. Med. Res. 1992, 23, 59–64. [Google Scholar]
- Argyropoulou, A.; Samara, P.; Tsitsilonis, O.; Skaltsa, H. Polar constituents of Marrubium thessalum Boiss. & Heldr. (Lamiaceae) and their cytotoxic/cytostatic activity. Phyto. Res. 2012, 26, 1800–1806. [Google Scholar] [CrossRef]
- Yamaguchi, K.; Liggett, J.L.; Kim, N.-C.; Beak, S.J. Anti-proliferative effect of horehound leaf and wild cherry bark extracts on human colorectal cancer cells. Oncolo. Rep. 2006, 15, 275–282. [Google Scholar] [CrossRef][Green Version]
- Kurbatova, N.V.; Muzychkina, R.A.; Mukhitdinov, N.M.; Parshina, G.N. Comparative Phytochemical Investigation of the Composition and Content of Biologically Active Substances in Marrubium vulgare and Marrubium alternidens. Chem. Nat. Compd. 2013, 39, 501–502. [Google Scholar] [CrossRef]
- Bouterfas, K.; Mehdadi, Z.; Benmansour, D.; Khaled, B.M.; Bouterfas, M.; Latreche, A. Optimization of extraction conditions of some phenolic compounds from white horehound (Marrubium vulgare L.) leaves. Int. J. Org. Chem. 2014, 4, 292–308. [Google Scholar] [CrossRef]
- Rezgui, M.; Majdoub, N.; Mabrouk, B.; Baldisserotto, A.; Bino, A.; Kaab, L.B.B. Antioxidant and antifungal activities of marrubiin, extracts and essential oil from Marrubium vulgare L. against pathogenic dermatophyte strains. J. Mycol. Med. 2020, 30, 100927. [Google Scholar] [CrossRef]
- Wojdyłoa, A.; Oszmianski, J.; Czemerys, R. Antioxidant activity and phenolic compounds in 32 selected herbs. Food Chem. 2007, 105, 940–949. [Google Scholar] [CrossRef]
- Kabach, I.; Ben Mridi, R.; Bouchmaa, N.; Bouargalne, Y.; Zyad, A.; Nhiri, M. Phytochemical screening, antioxidant and cytotoxic activities of M. vulgare. Int. J. Pharm. Res. 2019, 11, 338–345. [Google Scholar]
- Okur, M.E.; Karakaş, N.; Karadağ, A.E.; Yılmaz, R.; Demirci, F. In vitro cytotoxicity evaluation of Marrubium vulgare L. methanol extract. J. Res. Pharm. 2019, 23, 711–718. [Google Scholar] [CrossRef]
- Ouchemoukh, N.O.; Madani, K.; Falé, P.L.V.; Serralheiro, M.L.; Araújo, M.E. Antioxidant capacity and phenolic contents of some Mediterranean medicinal plants and their potential role in the inhibition of cyclooxygenase-1 and acetylcholinesterase activities. Ind. Crop. Prod. 2014, 53, 6–15. [Google Scholar] [CrossRef]
- Sengul, M.; Yildiz, H.; Gungor, N.; Cetin, B.; Eser, Z.; Ercisli, S. Total phenolic content, antioxidant and antimicrobial activities of some medicinal plants. Pak. J. Pharm. Sci. 2009, 22, 102–106. [Google Scholar]
- Gülçın, İ.; Oktay, M.; Kıreçcı, E.; Küfrevıoǧlu, Ö.İ. Screening of antioxidant and antimicrobial activities of anise Pimpinella anisum L. seed extracts. Food Chem. 2003, 83, 371–382. [Google Scholar] [CrossRef]
- Bouterfas, K.; Mehdadia, Z.; Elaoufib, M.M.; Latrechea, A.; Benchiha, W. Antioxidant activity and total phenolic and flavonoids content variations of leaves extracts of white Horehound (Marrubium vulgare Linné) from three geographical origins. Ann. Pharm. Fr. 2016, 74, 453–462. [Google Scholar] [CrossRef] [PubMed]
- Verzelloni, E.; Tagliazucchi, D.; Conte, A. Relationship between the antioxidant properties and the phenolic and flavonoid content in traditional balsam vinegar. Food Chem. 2007, 105, 564–571. [Google Scholar] [CrossRef]
- Chouaieb, H.; Ayadi, I.; Zouari, S.; Fakhfakh, N.; Zaidi, S.; Zouari, N. Effect of phenological stage and geographical location on antioxidant activities of Tunisian horehound: Marrubium vul-gare L. (Lamiaceae). J. Biol. Active Prod. Nat. 2012, 2, 232–238. [Google Scholar] [CrossRef]
- El-Bardai, S.; Lyoussi, B.; Wibo, M.; Morel, N. Comparative Study of the antihypertensive activity of Marrubium Vulgare and of the dihydropyridine calcium antagonist amlodipine in spontaneously hypertensive rat. Clin. Experim. Hyper. 2004, 26, 465–474. [Google Scholar] [CrossRef]
- García-Ayllón, M.S.; Small, D.H.; Avila, J.; Sáez-Valer, J. Revisiting the role of acetylcholinesterase in Alzheimer’s disease: Cross-talk with P-tau and ᵦ-amyloid. Front. Mol. Neurosci. 2011, 4, 22. [Google Scholar] [CrossRef]
- Orhan, I.; Sener, B.; Choudhary, M.I.; Khalid, A. Acetylcholinesterase and butyrylcholinesterase inhibitory activity of some Turkish medicinal plants. J. Ethnopharmacol. 2004, 91, 57–60. [Google Scholar] [CrossRef]
- Salaj, N.; Barjaktarovic, J.; Kladar, N.; Gavaric, N.; Bozin, B. Biomedical potential of horehound extract (Marrubium vulgare, Lamiaceae). Med. Pregl. 2018, 71, 21–26. [Google Scholar] [CrossRef]
- Vladimir-Knežević, S.; Blažeković, B.; Kindl, M.; Vladić, J.; Lower-Nedza, A.D.; Brantner, A.H. Acetylcholinesterase inhibitory, antioxidant and phytochemical properties of selected medicinal plants of the Lamiaceae family. Molecules 2014, 19, 767–782. [Google Scholar] [CrossRef] [PubMed]
- Chemsa, A.E.; Zellagui, A.; Öztürk, M.; Erol, E.; Ceylan, O.; Duru, M.E.; Gherraf, N. Antibiofilm formation, antioxidant and anticholinesterase activities of essential oil and methanol extract of Marrubium deserti de Noé. J. Mater. Env. Sci. 2016, 7, 993–1000. [Google Scholar]
- Orhan, I.E.; Belhattab, R.; Şenol, F.S.; Gülpinar, A.R.; Hoşbaş, S.; Kartal, M.U.R.A.T. Profiling of cholinesterase inhibitory and antioxidant activities of Artemisia absinthium, A. herba-alba, A. fragrans, Marrubium vulgare, M. astranicum, Origanum vulgare subsp. glandulossum and essential oil analysis of two Artemisia species. Ind. Crops. Prod. 2010, 32, 566–571. [Google Scholar] [CrossRef]
- Kanyonga, P.M.; Faouzi, M.A.; Meddah, B.; Mpona, M.; Essassi, E.M.; Cherrah, Y. Assessment of methanolic extract of Marrubium vulgare for anti-inflammatory, analgesic and antimicrobiologic activities. J. Chem. Pharm. Res. 2011, 3, 199–204. [Google Scholar]
- Denyer, S.P.; Hugo, W.B. Biocide-induced damage to the bacterial cytoplasmic membrane. In Mechanisms of Action of Chemical Biocides; Denyer, S.P., Hugo, W.B., Eds.; Blackwell Scientific Publications: Oxford, UK, 1991; pp. 171–187. [Google Scholar]
- Hamouda, T.; Baker, J.R. Antimicrobial mechanism of action of surfactant lipid preparations in enteric Gram-negative bacilli. J. Appl. Microbiol. 2000, 89, 397–403. [Google Scholar] [CrossRef]
- Song, M.J.; Kim, N.M. Antimicrobial action of p-hydroxyphenyl acrylate. Int. Biodeterior. Biodegrad. 2003, 52, 107–113. [Google Scholar] [CrossRef]
- Razzaghi-Abyaneh, M.; Ghahfarokhi, M.S.; Kawachi, M.; Eslamifar, A.; Schmidt, O.J.; Schmidt, A.; Abdolamir Allameh, A.; Yoshinari, T. Ultrastructural evidences of growth inhibitory effects of a novelbiocide, Akacids plus, on an aflatoxigenic Aspergillus parasiticus. Toxicon 2006, 48, 1075–1082. [Google Scholar] [CrossRef]
- Horne, D.S.; Holm, M.; Oberg, C.; Chao, S.; Young, D.G. Antimicrobial effects of essential oils on Streptococcus pneumoniae. J. Essent. Oil. Res. 2001, 13, 387–392. [Google Scholar] [CrossRef]
- Reichling, J.; Weseler, A.; Landvatter, U.; Saller, R. Bioactive essential oils used in phytomedicine as anti-infective agents: Australian tea tree oil and manuka oil. Act. Pythoter. 2002, 1, 26–32. [Google Scholar]
- Chaudhary, S.A. Flora of the Kingdom of Saudi; Ministry of Agriculture and Water: Riyadh, Saudi Arabia, 2000; Volume 2, pp. 1–3. [Google Scholar]
- Mau, J.L.; Chao, G.R.; Wu, K.T. Antioxidant properties of methanolic extracts from several ear mushrooms. J. Agri. Food Chem. 2001, 49, 5461–5467. [Google Scholar] [CrossRef]
- Slinkard, K.; Singleton, V. Total phenol analysis: Automation and comparison with manual methods. Am. J. Enol. Viticul. 1977, 28, 49–55. [Google Scholar]
- Djeridane, A.; Yousfi, M.; Nadjemi, B.; Boutassouna, D.; Stocher, P.; Vidal, N. Antioxidant activity of some Algerian medicinal plants extracts containing phenolic compounds. Food Chem. 2006, 97, 654–660. [Google Scholar] [CrossRef]
- Hatano, T.; Kagawa, H.; Yasuhara, T.; Okuda, T. Two new flavonoids and other constituents in licorice root: Their relative astringency and radical scavenging effect. Chem. Pharm. Bull. 1988, 36, 2090–2097. [Google Scholar] [CrossRef]
- Re, R.; Pellegrini, N.; Proteggente, A.; Pannala, A.; Yang, M.; Rice-Evans, C. Antioxidant activity applying in improved ABTS radical cation decolorization assay. Free Radic. Biol. Med. 1999, 26, 1231–1237. [Google Scholar] [CrossRef]
- Khadhri, A.; Mendili, M.; Araújo, M.E.M.; Seaward, M.R.D. Comparative study of secondary metabolites and bioactive properties of the lichen Cladonia foliacea with and without the lichenicolous fungus Heterocephalacria bachmannii. Symbiosis 2019, 79, 25–31. [Google Scholar] [CrossRef]
- NCCLS (National Committee for Clinical Laboratory Standards). Performance Standards for Antimicrobial Disk Susceptibility Test, 6th ed.; Approved Standard M2-A6; NCCLS: Wayne, PA, USA, 1997. [Google Scholar]
- Cosentino, S.; Tuberoso, C.I.G.; Pisano, B.; Mascia, E.; Arzedi, E.; Palmas, F. In-vitro antimicrobial activity and chemical composition of Sardinian Thymus essential oils. Lett. Appl. Microbiol. 1999, 29, 130–135. [Google Scholar] [CrossRef]
- Klepser, M.; Ernst, E.J.; Russell, E.L.; Ernst, M.E.; Pfaller, M.A. Influence of Test Conditions on Antifungal Time-Kill Curves Results: Proposal for Standardized Methods. Ant. Agents Chem. 1998, 42, 1207–1212. [Google Scholar] [CrossRef]
- Viljoen, A.; Van Vuuren, S.; Ernst, E.; Klepser, M.; Demirci, B.; Baser, H.; Van Wyk, B.E. Osmitopsis Asteriscoides (Asteraceae)-The Antimicrobial Activity and Essential Oil Composition of a Cape-Dutch Remedy. J. Ethnopharm. 2003, 88, 137–143. [Google Scholar] [CrossRef]
- Guinoiseau, E.; Luciani, A.; de Rocca Serra, D.; Quilichini, Y.; Berti, L.; Lorenzi, V. Primary Mode of Action of Cistus ladaniferus L. Essential Oil Active Fractions on Staphyloccocus aureus Strain. Adv. Microbiol. 2015, 5, 881–890. [Google Scholar] [CrossRef]
- Carson, C.F.; Mee, B.J.; Riley, T.V. Mechanism of Action of Melaleuca alternifolia (Tea Tree) Oil on Staphylococcus aureus Determined Par Time-Kill, Lysis, Leakage and Salt Tolerance Assays and Electron Microscopy. Ant. Agents Chem. 2002, 46, 1914–1920. [Google Scholar] [CrossRef]



| Retention Time (min) | Compounds | Concentration (mg/g of Dry Weight) |
|---|---|---|
| 4.75 | Gallic acid | 0.74 |
| 5.28 | Marruboside | 1.92 |
| 26.72 | Amentoflavone | 0.61 |
| 26.88 | Cirsimaritin | 1.67 |
| 28.69 | Ferulic acid | 28.90 |
| 29.67 | Luteolin-7-O-d-glucoside | 26.35 |
| 30.47 | Premarrubiin | 28.28 |
| 30.76 | Terniflorin | 11.52 |
| Origins | DPPH (IC50) (mg/mL) | ABTS (IC50) (mg/mL) | Total Polyphenol (mg GAE/g) | References |
|---|---|---|---|---|
| Maroccon | 2.4 | 0.8 | 60.409 | Kabach et al. [20] |
| Germany | 2.08 | 1.33 | 48.97 | Okur et al. [21] |
| Tunisia | 0.035 | 0.025 | 26.8 | Aouadhi et al. [8] |
| Tunisia | 0.038 | NA | 6 | Amri et al. [7] |
| Algeria | 0.083 | NA | 40 | Ouchemoukh et al. [22] |
| Saudi Arabia | 0.032 | 0.021 | 36.8 | Our Study |
| Species | AChE Activity (IC50 mg/mL) | References |
|---|---|---|
| M. vulgare (Serbia) | 2.821 | Salaj et al. [31] |
| M. vulgare (Algeria) | 0.52 | Ouchemoukh et al. [22] |
| Marrubium desertia | 0.277 | Chemsa et al. [33] |
| Indomethacin (control) | 1 | Orhan et al. [30] |
| M. vulgare (Saudi) | 0.4 | Our study |
| Strains a | Inhibition Zone Diameters (mm) b | MIC (mg/mL) | MBC (mg/mL) | |
|---|---|---|---|---|
| Extract | Gentamicin | |||
| Gram-negative bacteria E. coli ATCC 8739 | 16 ± 0.5 | 24 | 12.5 | 25 |
| S. typhimurium NCTC 6017 | 15 ± 1 | 23 | 25 | 50 |
| S. arizona ATCC 25922 | 14 ± 0.7 | 23 | 25 | 50 |
| P. aeruginosa ATCC 27853 | 17 ± 0.8 | 21 | 12.5 | 25 |
| Klebsiella pneumonia | 18 | 20 | 6.25 | 12.5 |
| Gram-positive bacteria L. monocytogenes ATCC 7644 | 13 ± 0.5 | 18 | 25 | 50 |
| B. cereus ATCC1247 | 13 ± 0.5 | 21 | 25 | 50 |
| E. faecalis | 13 ± 0.6 | 19 | 12.5 | 25 |
| S. aureus | 15 ± 0.4 | 20 | 25 | 50 |
Publisher’s Note: MDPI stays neutral with regard to jurisdictional claims in published maps and institutional affiliations. |
© 2021 by the authors. Licensee MDPI, Basel, Switzerland. This article is an open access article distributed under the terms and conditions of the Creative Commons Attribution (CC BY) license (https://creativecommons.org/licenses/by/4.0/).
Share and Cite
Al-Zaban, M.; Naghmouchi, S.; AlHarbi, N.K. HPLC-Analysis, Biological Activities and Characterization of Action Mode of Saudi Marrubium vulgare against Foodborne Diseases Bacteria. Molecules 2021, 26, 5112. https://doi.org/10.3390/molecules26175112
Al-Zaban M, Naghmouchi S, AlHarbi NK. HPLC-Analysis, Biological Activities and Characterization of Action Mode of Saudi Marrubium vulgare against Foodborne Diseases Bacteria. Molecules. 2021; 26(17):5112. https://doi.org/10.3390/molecules26175112
Chicago/Turabian StyleAl-Zaban, Mayasar, Souheila Naghmouchi, and Nada K. AlHarbi. 2021. "HPLC-Analysis, Biological Activities and Characterization of Action Mode of Saudi Marrubium vulgare against Foodborne Diseases Bacteria" Molecules 26, no. 17: 5112. https://doi.org/10.3390/molecules26175112
APA StyleAl-Zaban, M., Naghmouchi, S., & AlHarbi, N. K. (2021). HPLC-Analysis, Biological Activities and Characterization of Action Mode of Saudi Marrubium vulgare against Foodborne Diseases Bacteria. Molecules, 26(17), 5112. https://doi.org/10.3390/molecules26175112

