Next Article in Journal
HPLC-Analysis, Biological Activities and Characterization of Action Mode of Saudi Marrubium vulgare against Foodborne Diseases Bacteria
Next Article in Special Issue
Hybrid Multivalent Jack Bean α-Mannosidase Inhibitors: The First Example of Gold Nanoparticles Decorated with Deoxynojirimycin Inhitopes
Previous Article in Journal
Protein Adducts and Protein Oxidation as Molecular Mechanisms of Flavonoid Bioactivity
Previous Article in Special Issue
Strigolactones, from Plants to Human Health: Achievements and Challenges
 
 
Font Type:
Arial Georgia Verdana
Font Size:
Aa Aa Aa
Line Spacing:
Column Width:
Background:
Article

α,α-Difluorophosphonohydroxamic Acid Derivatives among the Best Antibacterial Fosmidomycin Analogues

Laboratoire de Chimie et Biochimie de Molécules Bioactives, Université de Strasbourg/CNRS, UMR 7177, Institut Le Bel, 4 Rue Blaise Pascal, 67081 Strasbourg, France
*
Author to whom correspondence should be addressed.
Molecules 2021, 26(16), 5111; https://doi.org/10.3390/molecules26165111
Submission received: 28 July 2021 / Revised: 19 August 2021 / Accepted: 22 August 2021 / Published: 23 August 2021
(This article belongs to the Special Issue Women in Bioorganic Chemistry)

Abstract

Three α,α-difluorophosphonate derivatives of fosmidomycin were synthesized from diethyl 1,1-difluorobut-3-enylphosphonate and were evaluated on Escherichia coli. Two of them are among the best 1-deoxy-d-xylulose 5-phosphate reductoisomerase inhibitors, with IC50 in the nM range, much better than fosmidomycin, the reference compound. They also showed an enhanced antimicrobial activity against E. coli on Petri dishes in comparison with the corresponding phosphates and the non-fluorinated phosphonate.

Graphical Abstract

1. Introduction

Antimicrobial resistance affecting anyone in any country is rising to dangerously high levels in all parts of the world and has been recognized as a global health crisis by the United Nations and the World Health Organization (WHO). As a result, the antibiotic treatment of a growing number of infections, e.g., tuberculosis, pneumonia, gonorrhea, and salmonellosis, are becoming less and less effective. In 2017, WHO reported a list of twelve priority pathogens, mostly Gram-negative bacteria belonging to e.g., the Enterobacteriaceae or to other groups (e.g., Acinetobacter baumannii, Pseudomonas aeruginosa…) for which it is urgent to find new treatments [1]. Recently, a study of the European Centre for Disease Prevention and Control (ECDPC) estimated that about 33,000 people died each year from an infection due to antimicrobial-resistant bacteria, frequently while receiving health care i.e., from nosocomial infections [2]. It is therefore crucial and urgent to identify new targets in order to elaborate and develop new drugs. In this respect, the biosynthesis of isopentenyl diphosphate (IPP) and dimethylallyl diphosphate (DMAPP), the two precursors of all isoprenoids, via the 2-C-methyl-derythritol 4-phosphate (MEP) pathway is an attractive prospect. In fact, this pathway is essential and present in many Gram-negative and Gram-positive bacteria as well as protozoans, e.g., Plasmodium species responsible for malaria [3]. As this pathway is absent in humans, each enzyme is a potential target to elaborate new antimicrobial compounds with expected minimal side effects for the patient. Part of our work on the design of new antimicrobials is based on the inhibition of the second enzyme of the MEP pathway, the 1-deoxy-dxylulose 5-phosphate reductoisomerase (DXR), which catalyzes the conversion of 1-deoxy-d-xylulose 5-phosphate (DXP) 1 into MEP 2 in the presence of a divalent metal ion (Mg2+ or Mn2+) and NADPH as cofactors (Scheme 1).
Indeed, fosmidomycin 3a and its N-acetyl homologue, FR-900098 3b, two natural retrohydroxamate phosphonic acids isolated from Streptomyces spp., are selective inhibitors of DXR [4,5]. However, their use in antibiotherapy is limited due to their fast clearance and the rapid emergence of resistance as observed with fosmidomycin [6,7]. In an attempt to improve the efficiency of such inhibitors, numerous analogues of fosmidomycin have been synthesized. From these results, it is clear that neither the retro-hydroxamate chelating moiety nor the phosphonate anchoring group can be replaced without a drastic loss of activity except for the inversion of the retrohydroxamate into a hydroxamate (compounds 4a,b, Scheme 1) [8] and for the replacement of a phosphonate with a phosphate group (compounds 5a,b and 6a,b, Scheme 1) as we previously reported [9].
Even if the phosphate derivatives (compounds 5a,b, Scheme 1) were previously shown to be more potent inhibitors of the Synechocystis DXR than their phosphonate analogues [10], this conclusion is not valid for all DXRs, as we have shown that they are less efficient against the E. coli and Mycobacterium smegmatis DXRs [9]. Although a phosphonate group is considered to be isosteric to a phosphate group, some differences such as the pKa values and the C-O-P/C-C-P bond angles might impact their binding in the enzyme active site. Introduction of fluorine atoms in α position of the phosphonate moiety results in significant changes in biological properties and in metabolic stability as compared with the non-fluorinated compounds [11,12,13]. Van Calenbergh et al. reported the synthesis of FR-900098 and its hydroxamic derivative in which the phosphonate has been replaced with a phosphatase-stable α-monofluoromethylenephosphonate 7 and 8 [14]. The racemic mixtures of these synthetic compounds were evaluated in vitro and in vivo for their antimalarial potentials and were shown to be more effective than the reference compounds 3a,b. The presence of an electron-withdrawing substituent, in particular fluorine, in the α position of the phosphonate moiety, resulted in the decrease of the pKa2 of such compounds (from ca. 7.5 to ca. 6.4), almost identical to that of a phosphate group, which is in the dianionic form at the pH of the enzymatic assay, whereas the phosphonate is predominantly in a singly ionized form. By comparison with the α-monofluoromethylene group, which is isoacidic of a phosphate group [15], the α,α-difluoromethylene is an isopolar mimic of the oxygen component of the P-O-C linkage in phosphate [16] and has been used to prepare non-hydrolyzable phosphate analogues of nucleotides [17], phosphatidylinositol [18], glycerol 3-phosphate [11]. In fact, the presence of fluorine atoms able to form fluorine-hydrogen bonds in the DXR active site could affect the binding properties of the parent compounds and also increase their bioavailability [19]. Moreover, the presence of two fluorine atoms might increase the lipophilic properties of the compounds allowing a better cellular uptake [20]. In this context, the synthesis of the protected gem-difluoro FR-900098 derivative 16b and N-H phosphonohydroxamic acid 10a (Scheme 2) have been recently reported for a herbicide application [21].
Our investigations are presently orientated toward the synthesis of α,α-difluorophosphonate fosmidomycin derivatives 9a and 9b and their analogues 10a and 10b to evaluate and determine their effect against E. coli DXR in order to develop more potent antimicrobials.

2. Results

2.1. Chemistry

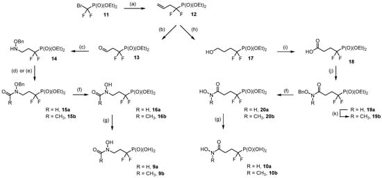
For the introduction of the fluorine atoms into fosmidomycin 3a and its analogues 3b and 4, we followed the procedure of Shibuya [22] to synthesize diethyl 1,1-difluorobut-3-enylphosphonate 12 [22,23], the parent precursor for all described compounds 9 and 10 (Scheme 2). The key precursor 12 has been prepared by a copper(I) catalyzed coupling reaction of [(diethoxyphosphinyl)difluoromethyl]zinc, formed in situ from the commercially available diethyl bromodifluorophosphonate 11 and Zn dust, with allyl bromide. The synthesis of the diethyl α,α-difluorophosphonate 14 was achieved by previously reported methods [21]. Formylation with the mixed acetyl/formyl anhydride generated in situ from a formic acid and acetic anhydride mixture led to the N-formylated compound 15a, which was obtained as a mixture of conformers due to the restricted rotation around the C-N bond [9,24,25,26] and the large dipole moment of the C-F bond [27]. Acetylation with a mixture of acetic anhydride and pyridine gave the N-acetylated analogue 15b as previously described [21].
The protective benzyl group was removed by catalytic hydrogenolysis with palladium over charcoal at atmospheric pressure and room temperature in methanol giving the deprotected hydroxylamines 16a and 16b as a mixture of conformers. Deprotection of the phosphonate group 16 using 10 equivalents of bromotrimethylsilane in DCM following by hydrolysis at room temperature led 9b as a mixture of conformers. In these conditions, 9a could not be obtained but led to a deformylated by-product as previously observed [21].
The key step of the synthesis of the α,α-difluorophosphonates 10 was the coupling reaction of the commercially available hydroxylamine hydrochloride with the carboxylic acid 18. The latter compound was obtained in two steps. Hydroboration-oxidation of the parent precursor 12 in presence of THF complex of BH3 and alkaline hydrogen peroxide gave a mixture of the primary and secondary alcohols in a 7/3 ratio, respectively. After purification by flash chromatography, the primary alcohol 17 was oxidized into the carboxylic acid 18 with 2,2,6,6-tetramethyl-1-piperidinyloxyl (TEMPO) in catalytic proportion in presence of [bis(acetoxy)iodo]benzene [28]. Treatment of the carboxylic acid with O-benzylhydroxylamine hydrochloride in the presence of 1-(3-dimethyl-aminopropyl)-3-ethylcarbodiimide and 1-hydroxybenzotriazole hydrochloride in DCM gave the hydroxamic acid derivative 19a [21] as a mixture of conformers. The methyl group was introduced by reaction of 19a with K2CO3 in acetone under reflux followed by addition of methyl iodide to give 19b as a single conformer. Removal of the protective benzyl groups of 19a and 19b was achieved by catalytic hydrogenolysis with palladium over charcoal at atmospheric pressure and room temperature leading to 20a and 20b as a mixture of conformers. TMSBr-mediated deprotection of the α,α-difluorophosphonate phosphonohydroxamic acid analogues 20 in the same conditions as described for 9b provided the free phosphonate 10. Compounds 10a and 10b were obtained without further purification as a mixture of conformers.
All α,α-difluorophosphonated compounds 9b and 10 were tested against His-tagged DXR enzyme of E. coli and for growth inhibition against a wild type E. coli and fosmidomycin-resistant E. coli strain (FosR E. coli) as described previously [9].

2.2. Biological Activity

2.2.1. Inhibition of E. coli H6-DXR with compounds 9b and 10

The inhibition potency of α,α-difluorophosphonohydroxamic acid derivatives was characterized by their IC50 value that was determined as previously described [8]. Postulating that the α,α-difluorophosphonated analogues act as slow binding inhibitors like fosmidomycin, they were pre-incubated with DXR during 2 min in the presence of NADPH. Residual activity was measured after initiating the enzymatic reaction by addition of DXP. The IC50 values are reported in Table 1.
The inhibitory concentration was determined by measuring the phosphorus content of the solution by the method of Lowry and Lopez [29]. N-methylated α,α-difluorophosphonates 9b and 10b show activity on E. coli DXR in the nanomolar concentration range and appear to be 2.5 to 5 times more efficient inhibitors than the parent compound fosmidomycin 3a (IC50 = 9 nM and 17 nM respectively vs. IC50 = 42 nM) and slightly less potent inhibitors than FR-900098 3b (IC50 = 4 nM). The presence of two fluorine atoms in α,α position of the phosphonate group has clearly a positive effect on the affinity of the enzyme for these compounds.
As we have previously reported, except for fosmidomycin 3a, non-N-methylated derivatives are weaker inhibitors than the N-methylated homologues [9]. In fact, the N-H α,α-difluorophosphonate 10a is 280-fold less efficient (IC50 = 4600 nM) than its N-methylated analogue 10b and therefore, the poorest inhibitor among all compounds of the non-methylated series. Those results indicated that the replacement of the methylene group or the oxygen atom by a difluoromethylene group enhances the inhibition potency of the N-methylated hydroxamic acid derivatives (4b, IC50 = 48 nM and 6b, IC50 = 46 nM vs. 10b, IC50 = 17 nM) but significantly decreased the inhibition by the N-H analogue 10a.

2.2.2. Growth Inhibition of a Wild Type E. coli and Fosmidomycin Resistant E. coli FosR Strain by Compounds 9b, 10a,b

The antimicrobial activity of α,α-difluorophosphonate 9a and 10 was determined using the paper disc diffusion method and was compared with the antimicrobial activity of the non-fluorinated phosphonate and phosphate compounds 3, 4 et 6. The diameters of the inhibition zone are given with respect to the amount of inhibitor deposited on the disc (Table 2).
Fosmidomycin, the most efficient growth inhibitors of E. coli, was used as a positive control reference. Except for the N-H α,α-difluorophosphonate 10a where no inhibition was observed, the N-methylated derivatives 9b and 10b were shown to be quite effective to inhibit bacterial growth (Figure 1A). Similar amounts of 9b and 10b had to be added to observe the same growth inhibition zones as those observed for fosmidomycin. Not only the N-Me α,α-difluorophosphonates 9b and 10b are able to inhibit the DXR in vitro but they are also potent E. coli growth inhibitors. Clearly, the presence of the two fluorine atoms in α position of the phosphonate enhances the antimicrobial efficiency of the N-methylated phosphonohydroxamic acid. Moreover, we observed in the fosmidomycin 3a inhibition zone, colonies of tolerant bacteria, which did not appear with the difluoro compounds 9b and 10b. These persistent bacteria are known to be able to adapt rapidly to the antibiotic stress, although precise mechanisms are not fully understood [30]. Interestingly, α,α-difluoro compounds 9b and 10b eliminated this survival ability of the E. coli population.
All DXR α,α-difluorophosphonate inhibitors were tested on a fosmidomycin resistant strain of E. coli (FosR), but none of the compounds was able to affect bacterial growth (Figure 1B).

3. Discussion

Among a large variety of synthetic analogues of natural phosphono- and phospho- retrohydroxamic acids, e.g., fosmidomycin 3a, FR-900098 3b and fosfoxacin 5a, only the N-H gem-difluoro 10a have been reported and evaluated as herbicide [21]. However, Van Calenbergh and co-workers observed that the racemic monofluoro analogues 7 and 8 were more active than the parent compounds fosmidomycin and 4b against intraerythrocytic forms of Plasmodium falciparum (K1 strain). Interestingly, none of them have been tested against bacteria [14]. Such promising results prompted us to evaluate the efficiency of α,α-difluorophosphonate analogues of FR-900098 and its phosphonohydroxamic acid derivatives 10a and 10b against E. coli. Except for the N-H α,α-difluorophosphononate 10a, the N-methylated CF2-phosphonates 9b and 10b exhibited stronger inhibition activity than that of the reference compound fosmidomycin against E. coli DXR. With an IC50 value of 17 nM, the N-methyl α,α-difluorophosphono hydroxamic acid 10b represents the most powerful inhibitor compared to the non-fluorinated 4b (IC50 = 48 nM) and phosphate 6b (IC50 = 46 nM) analogues. Even if the activity of the CF2-FR-900098 derivative 9b (IC50 = 9 nM) is two-fold less active than the parent compound 3b (IC50 = 4 nM), it remains a better inhibitor of the E. coli DXR than its phosphate derivative 5b (IC50 = 77 nM).
The introduction of the two electron-withdrawing fluorine atoms on the α-methylene group of the phosphonate significantly decreases the pKa2 from 7.6 for the phosphonate to ca. 5.4. The α,α-difluorophosphonates should therefore be in the dianionic form at the pH of the enzyme assay much like a phosphate (pKa2 = 6.4), thereby favoring a more efficient binding than the phosphonate, which is mostly in the singly ionized form. In addition, the dihedral C-CF2-P angle (116.1°), wider than the C-CH2-P (112.1°), closely resembles that of the phosphate C-O-P angle of 118.7° [12]. The α,α-difluorophosphonates were, however, shown to be better inhibitors than the phosphate analogues, resulting in a better setting in the E. coli DXR active site. The performance of the α,α-difluorophosphonate analogues cannot thus be attributed to ionization or geometry and could be mostly due to favorable modifications of the electrostatic and van der Waals interactions, leading to an increase of the affinity for those inhibitors.
Compared to the N-methylated phosphonate and phosphate, the CF2-phosphonates 9b and 10b inhibited efficiently the growth of E. coli at doses similar to those of fosmidomycin and FR-900098, making them powerful promising antimicrobials. It is generally accepted that introduction of fluorine atoms enhances the lipophilicity of the compounds, which might facilitate a passive diffusion across the cell membrane of the α,α-difluorophosphonate inhibitors. However, we recently reported that, except for the phosphonate 4b, all phosphate compounds 5 and 6 penetrated into the bacteria via the same transporters as those involved in the transport of e.g., the glycerol 3-phosphate and the hexose 6-phosphate like fosmidomycin and FR-900098 [9]. No growth inhibition by the α,α-difluoro phosphonates 9b and 10 against fosmidomycin resistant strain E. coli (FosR), in which the GlpT/UhpT transporters are therefore inoperative, was observed implying that these inhibitors penetrate into the bacteria via these transporters (Figure 1B).
In summary, three α,α-difluorophosphonate derivatives of fosmidomycin 3a were synthesized and were shown, except for the N-H difluoro compound 10a, to be powerful inhibitors against E. coli DXR. Among the series of hydroxamic acids derivatives, the inhibitor 10b surpasses the phosphonate and phosphate analogues in the inhibition of DXR enzyme as well as in the antimicrobial activity. For N-Me difluorophosphonate 9b and 10b, there is a direct relation between the capacity to inhibit the DXR and the bacterial growth. An important outcome of this study is that the introduction of two fluorine atoms on the α-methylene group, favors the inhibition on the DXR and enhances the antimicrobial activity in comparison with the phosphates and the non-fluorinated phosphonates.

4. Materials and Methods

4.1. Chemistry

4.1.1. General Methods

All non-aqueous reactions were run in oven-dried glassware under an argon atmosphere, using dry solvents. Commercial grade reagents were purchased from Sigma-Aldrich, Acros Organics or Thermo Fischer Scientific and used without further purification. Petroleum ether (PE) 40–60 °C (Sigma-Aldrich, St-Louis, MO, USA) was used for chromatography. Flash chromatography was performed on silica gel 60 230–400 mesh with the solvent system as indicated. TLC plates were revealed under UV light (254 nm) and/or by spraying with an ethanolic solution of phosphomolybdic acid (20%) or an ethanolic solution of potassium permanganate followed by heating. The NMR spectra (Supplementary Materials) were recorded on a Bruker Avance 300 (1H-NMR: 300 MHz; 13C-NMR, 75.5 MHz; 31P-NMR 121.5 MHz; 19F-NMR 282.4 MHz), a Bruker Avance 400 (1H NMR: 400 MHz; 13C NMR: 100 MHz; 31P NMR: 162 MHz) or a Bruker Avance 500 (1H-NMR: 500 MHz; 13C-NMR, 125.8 MHz). 1H-NMR experiments were performed in CDCl3 with CHCl3 (δ = 7.26 ppm) or CD3OD with CD2HOD (δ = 3.31 ppm) as internal references. 13C-NMR experiments were performed in CDCl3 with CDCl3 (δ = 77.23 ppm) or in CD3OD with CD2HOD (δ = 49.0 ppm) as internal references. For 31P-NMR and 19F-NMR references, the spectrometer had external references, corresponding to 80% phosphoric acid in D2O (δ = 0 ppm) and to 0.05% α,α,α-trifluorotoluene in CDCl3 (δ = −62.75 ppm). Chemical shifts are expressed in ppm and signal multiplicities are described using the following abbreviations: s for singlet, d for doublet, t for triplet, q for quartet, p for quintet and m for multiplet. In the presence of conformers, signals were differentiated by a * sign added to the assignments. Negative or positive-mode electrospray MS were performed on a Bruker Daltonics microTOF spectrometer (Bruker Daltonik GmbH, Bremen, Germany) equipped with an orthogonal electrospray (ESI) interface. Calibration was performed using a solution of 10 mM sodium formate. Sample solutions were introduced into the spectrometer source with a syringe pump (Harvard type 55 1111: Harvard Apparatus Inc., South Natick, MA, USA) with a flow rate of 5 μL min−1.

4.1.2. Synthesis of α,α-Difluorophosphonate Derivatives

Synthesis of the intermediate diethyl 1,1-difluorobut-3-enylphosphonate (12) [31]. A solution of BrZnCF2P(O)(OEt)2 was prepared from diethyl (bromodifluoromethyl)phosphonate (2.67 g, 10 mmol) and Zn dust (0.65 g, 10 mmol) in DMF (18 mL). The reaction was stirred for 3 h at room temperature. CuBr (1.43 g, 10 mmol) was added, and the reaction mixture was stirred for 30 min before the addition of allyl bromide (0.43 mL, 5 mmol). The reaction mixture was stirred overnight, quenched with a 10% aqueous solution of HCl (10 mL), filtered through celite and extracted with Et2O (3 × 15 mL). The organic layers were combined, washed with a saturated solution of NaHCO3 then with brine, dried over anhydrous Na2SO4 and evaporated to dryness. The product is obtained after purification by column chromatography (EtOAc/PE 3:7 to 1:1) as a colorless oil (1.02 g, 89% yield). Rf = 0.54 (EtOAc/PE 1:1); 1H NMR (300 MHz, CDCl3): δ = 1.37 (6H, t, J = 7.1 Hz), 2.73–2.93 (2H, m), 4.26 (4H, dq, JHH = JPH = 7.1 Hz), 5.22–5.31 (2H, m), 5.73–5.92 (1H, m); 13C NMR (75.5 MHz, CDCl3): δ = 16.5 (CH3 × 2, d, JCP = 5.6 Hz), 38.8 (CH2, dt, JCF = 21.5 Hz, JCP = 15.1 Hz), 64.5 (CH2 × 2, d, JCP = 6.8 Hz), 119.7 (CF2, dt, JCF = 260.0 Hz, JCP = 215.1 Hz), 121.4 (CH2), 127.1 (CH, dt, JCF = 11.4 Hz, JCP = 5.6 Hz); 19F NMR (282 MHz, CDCl3): δ = −111.26 (d, JFP = 107.5 Hz); 31P NMR (121 MHz, CDCl3): δ = 6.9 (t, JPF = 107.5 Hz).

4.1.3. Synthesis of the Target Compounds (9)

Diethyl (1,1-difluoro-3-oxopropyl)phosphonate (13) [32]. Ozone was bubbled through a solution of diethyl 1,1-difluorobut-3-enylphosphonate 12 (2.28 g, 10 mmol) in DCM/MeOH (50 mL, 4:1) at −78 °C until the solution turned blue (5 min). Nitrogen was bubbled through the solution until the blue color disappeared (removal of excess ozone). Dimethylsulfide (1.8 mL, 24.5 mmol) was added at −78 °C and the solution was allowed to warm up to room temperature. Solvents and excess of Me2S were removed under reduced pressure, giving 13 as a colorless oil, which was immediately used without further purification for the next reaction. Rf = 0.46 (PE/EtOAc 1:1); 1H NMR (300 MHz, CDCl3): δ = 1.36 (6H, td, JHH = 7.1 Hz, JHP = 0.6 Hz), 3.06 (2H, tdd, JHF = 19.1 Hz, JHP = 7.0 Hz, JHH = 2.5 Hz), 4.27 (4H, dq, JHP = 8.2 Hz, JHH = 7.1 Hz), 9.77 (1H, t, J = 2.5 Hz).
Diethyl (3-((benzyloxy)amino)-1,1-difluoropropyl)phosphonate (14) [21]. Diethyl (1,1-difluoro-3-oxopropyl)phosphonate 13 (2.3 g, 10 mmol) and N-hydroxybenzylamine hydrochloride (1.6 g, 10 mmol) in 8 mL MeOH were stirred for 1 h at room temperature. The solution was diluted with more MeOH (142 mL), and sodium cyanoborohydride (1.89 g, 30 mmol) was added portion wise over 30 min. The reaction mixture was cooled to 0 °C before the dropwise addition of HCl 37% in water (10 mL, 100 mmol) over 40 min. Sodium cyanoborohydride (0.44 g) was then added at room temperature and the mixture left to stir for 2 h. The solution was evaporated and treated with aqueous KOH (10%) to obtain a basic pH. The product was extracted with EtOAc (3 × 70 mL), and the combined organic layers were dried over Na2SO4 and evaporated to dryness under reduced pressure. 14 (1.19 g, 35% yield) was obtained as a transparent oil after purification by chromatography column on silica gel with PE/EtOAc (100:0 to 50:50) as eluent. Rf = 0.54 (EtOAc/PE 7:3); 1H NMR (500 MHz, CDCl3): δ = 1.37 (6H, t, J = 7.1 Hz), 2.36 (2H, tq, JHF = 20.2 Hz, JHH = JHP = 6.6 Hz), 3.18–3.25 (2H, t, J = 7.1 Hz), 4.22–4.31 (4H, m), 4.70 (2H, s), 5.76 (1H, br s), 7.27–7.39 (5H, m); 13C NMR (125 MHz, CDCl3): δ = 16.4 (CH3 × 2, d, JCP = 5.1 Hz), 32.2 (CH2CF2, td, JCF = 20.4 Hz, JCP = 14.4 Hz), 44.4 (CH2N, q, JCF = 5.1 Hz), 64.6 (CH2 × 2, d, JCP = 6.7 Hz), 76.2 (CH2Ph), 120.5 (CF2, td, JCF = 257.8 Hz, JCP = 214.7 Hz), 127.9 (CHar), 128.4 (CHar × 2), 128.4 (CHar × 2), 137.7 (Car); 19F NMR (282 MHz, CDCl3): δ = −111.08 (d, JFP = 107.9 Hz); 31P NMR (121 MHz, CDCl3): δ = 7.00 (t, JPF = 107.3 Hz).
Diethyl (3-(N-(benzyloxy)formamido)-1,1-difluoropropyl)phosphonate (15a). Formic acid (2.8 mL, 74.1 mmol) and acetic anhydride (1.4 mL, 14.8 mmol) were stirred for 30 min at room temperature. The solution was cooled to 0 °C then diethyl (3-((benzyloxy)amino)-1,1-difluoropropyl)phosphonate 14 (500 mg, 1.5 mmol) dissolved in anhydrous THF (1.5 mL) was added dropwise. The reaction mixture was stirred for 10 min at 0 °C and overnight at room temperature. EtOAc (15 mL) was added and the resulting organic layer washed with water (2 × 10 mL) and aqueous KOH (0.1 M, 10 mL), dried over Na2SO4 and evaporated to dryness under reduced pressure. A purification by flash chromatography on silica gel with EtOAc/PE 7:3 as eluent gave 15a as a light yellow oil (450 mg, 83% yield) and as a mixture of two conformers in a 2:8 ratio, respectively. Rf = 0.54 (EtOAc/PE 7:3); 1H NMR (300 MHz, CDCl3): δ = 1.37 (6H, t, J = 7.2 Hz), 2.29–2.52 (2H, m), 3.48–3.70 (2/10 of 2H, s), 3.76–3.94 (8/10 of 2H, s), 4.20–4.33 (4H, m), 4.86 (2H, s), 7.27–7.39 (5H, m), 8.16 (1H, s); 13C NMR (125 MHz, CDCl3): δ = 16.4 (CH3 × 2, d, JCP = 5.4 Hz), 30.6–31.4 (CH2CF2, m), 37.2 (CH2N), 41.8 (CH2N*), 64.72 (CH2 × 2, d, JCP = 6.7 Hz), 77.8 (CH2Ph), 119.6 (CF2, td, JCF = 258.6 Hz, JCP = 215.1 Hz), 128.8 (CHar), 129.2 (CHar*), 129.5 (CHar), 134.1 (Car), 134.6 (Car*), 158.2 (CO*), 163.3 (CO); 19F NMR (282 MHz, CDCl3): δ = −113.0 (d, JFP = 121.2 Hz), −113.4 (d, JFP = 106.2 Hz); 31P NMR (121 MHz, CDCl3): δ = 6.38 (t, JPF = 105.8 Hz); HRMS (ESI+) m/z calcd for C15H22F2NNaO5P [M + Na]+ 388.1096, found 388.1099.
Diethyl (3-(N-(benzyloxy)acetamido)-1,1-difluoropropyl)phosphonate (15b) [21]. Anhydrous pyridine (0.4 mL, 4.4 mmol) was added dropwise to a solution of diethyl (3-((benzyloxy)amino)-1,1-difluoropropyl)phosphonate 14 (500 mg, 1.5 mmol) in acetic anhydride (6 mL, 63.5 mmol). The reaction mixture was stirred overnight at room temperature then evaporated to dryness under reduced pressure. A purification by flash chromatography on silica gel with EtOAc/PE 7:3 as eluent gave 15b as a transparent oil (450 mg, 80% yield) and as a single conformer. Rf = 0.55 (EtOAc/PE 7:3); 1H NMR (300 MHz, CDCl3): δ = 1.37 (6H, t, J = 7.6 H), 2.07 (3H, s), 2.29–2.53 (2H, m), 3.87–3.95 (2H, m), 4.26 (4H, pseudo p, JHH = JHP = 7.2 Hz), 4.83 (2H, s), 7.30–7.43 (5H, m); 13C NMR (125 MHz, CDCl3): δ = 16.4 (CH3 × 2, d, JCP = 5.4 Hz), 20.6 (CH3CO), 30.5–31.1 (CH2CF2, m), 38.5 (CH2N), 64.7 (CH2 × 2, d, JCP = 6.8 Hz), 76.5 (OCH2Ph), 119.8 (CF2, td, JCF = 259.9 Hz, JCP = 216.3 Hz), 128.8 (CHar × 2), 129.1 (CHar), 129.3 (CHar × 2), 134.2 (Car), 172.9 (CO); 19F NMR (282 MHz, CDCl3): δ = −112.33 (d, JFP = 106.7 Hz); 31P NMR (121 MHz, CDCl3): δ = 6.38 (t, JPF = 106.7 Hz).
Diethyl (1,1-difluoro-3-(N-hydroxyformamido)propyl)phosphonate (16a). Diethyl (3-(N-(benzyloxy)formamido)-1,1-difluoropropyl)phosphonate 15a (438 mg, 1.2 mmol) and palladium on charcoal (45 mg, 10%) were introduced in a 2-neck-flask with a three-way tap under a nitrogen atmosphere. After the addition of HPLC grade MeOH (30 mL), the reaction mixture was degassed three times then left to stir for 24 h under hydrogen at atmospheric pressure. The solution was filtered over celite and evaporated to dryness under reduced pressure. A purification by chromatography column with EtOAc as eluent gave 16a as an orange oil (245 mg, 74% yield) and as a mixture of two conformers in a 1:1 ratio. Rf = 0.39 (EtOAc); 1H NMR (500 MHz, CDCl3): δ = 1.38 (6H, t, J = 7.1 Hz), 2.37–2.58 (2H, m), 3.80–3.88 (2H, m), 4.28 (4H, pseudo p, JHH = JHP = 7.4 Hz), 7.91 (1/2 of 1H, s), 8.35 (1/2 of 1H, s); 13C NMR (125 MHz, CDCl3): δ = 16.3 (CH3 × 2, d, JCP = 5.4 Hz), 16.4 (CH3 × 2, d, J = 5.4 Hz), 31.6 (CH2CF2, dt, JCF = 20.7 Hz, JCP = 14.4 Hz), 32.7 (CH2CF2*, dt, JCF = 20.7 Hz, JCP = 14.4 Hz), 41.6 (CH2N, q, JCF = 6.1 Hz), 42.5 (CH2N*, q, JCF = 6.1 Hz), 65.0 (CH2O × 2, d, JCP = 7.0 Hz), 65.6 (CH2O* × 2, d, JCP = 7.0 Hz), 119.6 (CF2, td, JCF = 259.3 Hz, JCP = 211.7 Hz), 119.9 (CF2*, td, JCF = 259.3 Hz, JCP = 211.7 Hz), 156.3 (CO*), 163.1 (CO); 19F NMR (282 MHz, CDCl3): δ = −112.70 (d, JFP = 105.0 Hz), −109.12 (d, JFP = 107.7 Hz); 31P NMR (121 MHz, CDCl3) δ 6.14 (t, JPF = 104.7 Hz), 7.39 (t, JPF = 107.4 Hz); HRMS (ESI+) m/z calcd for C8H16F2NNaO5P [M + Na]+ 298.0626, found 298.0625.
Diethyl (1,1-difluoro-3-(N-hydroxyacetamido)propyl)phosphonate (16b) [21]. Diethyl (3-(N-(benzyloxy)acetamido)-1,1-difluoropropyl)phosphonate 15b (450 mg, 1.2 mmol) and palladium on charcoal (45 mg, 10%) were introduced in a 2-neck-flask with a three-way tap under a nitrogen atmosphere. After the addition of HPLC grade MeOH (30 mL), the reaction mixture was degassed three times then left to stir for 24 h under a hydrogen atmosphere. The solution was filtered over a pad of celite and evaporated to dryness under reduced pressure. A purification by chromatography column with EtOAc as eluent gave 16b as a light yellow oil (280 mg, 80% yield) and as a mixture of two conformers in a 2:8 ratio respectively. Rf = 0.41 (EtOAc); 1H NMR (500 MHz, CDCl3): δ = 1.38 (6H, t, J = 7.1 Hz), 2.13 (3H, s), 2.37–2.55 (2H, m), 3.82–3.90 (8/10 of 2H, t, J = 5.9 Hz), 3.91–3.99 (2/10 of 2H, m), 4.27 (4H, pseudo p, JHH = JHP = 6.8 Hz); 13C NMR (125 MHz, CDCl3): δ = 16.3 (CH3 × 2, d, JCP = 5.5 Hz), 18.3 (CH3CO*), 20.4 (CH3CO), 31.2–31.7 (CH2CF2*, m), 33.3 (CH2CF2, dt, JCF = 22.0 Hz, JCP = 14.7 Hz), 41.9–42.2 (CH2N*, m), 43.3–43.6 (CH2N, m), 64.7–65.0 (CH2O* × 2, m), 65.50 (CH2O × 2, d, JCP = 7.3 Hz), 120.2 (CF2, td, JCF = 258.7 Hz, JCP = 210.7 Hz), 164.8 (CO*), 172.6 (CO); 19F NMR (282 MHz, CDCl3): δ = −113.49 (d, JFP = 105.1 Hz), −108.2 (d, JFP = 108.5 Hz); 31P NMR (121 MHz, CDCl3): δ = 6.17 (t, JPF = 106.1 Hz), 7.57 (t, JPF = 108.1 Hz).
(1,1-Difluoro-3-(N-hydroxyacetamido)propyl)phosphonic acid (9b). A solution of diethyl (1,1-difluoro-3-(N-hydroxyacetamido)propyl)phosphonate 16b (25 mg, 86 µmol) dissolved in DCM (0.32 mL) was cooled to 0 °C. TMSBr (0.11 mL, 0.9 mmol) was added dropwise at 0 °C then the reaction mixture was stirred overnight in the dark at room temperature. DCM and excess of TMSBr were evaporated under reduced pressure and the intermediate orange oil was treated with water (0.5 mL, 27.8 mmol) for 1.5 h. Removal of water under vacuum afforded 9b as an orange oil (20 mg, quant. yield) and as a mixture of conformers. Rf = 0.14 (EtOAc); 1H NMR (400 MHz, CD3OD): δ = 2.02 (5/10 of 3H, s), 2.10 (5/10 of 3H, s), 2.34–2.46 (4/10 of 2H, m), 2.52–2.64 (6/10 of 2H, m), 3.53 (5/10 of 2H, t, J = 7.6 Hz), 3.89 (4/10 of 2H, t, J = 7.6 Hz), 4.10–4.26 (1/10 of 2H, m); 13C NMR (125 MHz, CD3OD): δ = 20.2 (CH3CO*), 20.6 (CH3CO), 29.6 (CH2CF2, td, JCF = 22.3 Hz, JCP = 15.7 Hz), 32.0 (CH2CF2*, td, JCF = 20.2 Hz, JCP = 14.5 Hz), 42.2–42.5 (CH2N*, m), 45.6–45.8 (CH2N, m), 120.6 (CF2, td, JCF = 258.9 Hz, JCP = 210.2 Hz), 173.4 (CO), 173.9 (CO*); 19F NMR (282 MHz, CD3OD): δ = −115.5 (d, JFP = 100.3 Hz), −115.7 (d, JFP = 99.4 Hz), −116.3 (d, JFP = 103.7 Hz); 31P NMR (162 MHz, CD3OD): δ = 5.00 (t, JPF = 103.8 Hz), 3.96 (t, JPF = 100.1 Hz), 3.78 (t, JPF = 99.6 Hz); HRMS (ESI) m/z calcd for C5H10F2NO5P [M − H] 232.0192, found 232.0181.

4.1.4. Synthesis of the Target Compounds (10)

Diethyl 1,1-difluorobutan-4-ol phosphonate (17). A 1 M solution of borane in THF (32 mL, 32 mmol) was added dropwise to a stirred solution of diethyl 1,1-difluorobut-3-enylphosphonate 12 (1.84 g, 8 mmol) in THF (20 mL) at 0 °C. After 30 min, the reaction mixture was allowed to warm up at room temperature for 4 h. More borane solution (16 mL) was added dropwise at 0 °C and the mixture was stirred overnight at room temperature. Then, methanol (10 mL), a 3 M solution of NaOH in water (4 mL) and a 30% aqueous solution of H2O2 (4 mL) were successively added. The mixture was heated at 50 °C for 1 h, quenched with brine (30 mL) and extracted with chloroform (3 × 20 mL). The organic layers were combined, dried over anhydrous Na2SO4 and evaporated to dryness. Purification by column chromatography (PE/EtOAc 3:2 to 100% EtOAc) yielded 17 as a colorless oil (770 mg, 39% yield). Rf = 0.29 (EtOAc/PE 7:3); 1H NMR (300 MHz, CDCl3): δ = 1.37 (6H, td, JHH = 7.1 Hz, JPH = 0.6 Hz), 1.62 (1H, br s, OH), 1.78–1.87 (2H, m), 2.06–2.26 (2H, m), 3.67 (2H, t, J = 6.2 Hz), 4.26 (4H, dq, JPH = 7.9 Hz, JHH = 7.1 Hz); 13C NMR (125 MHz, CDCl3): δ = 16.4 (CH3, d, JCP = 5.5 Hz), 24.0 (CH2, dt, JCF = 4.9 Hz, JCP = 4.4 Hz), 30.5 (CH2, td, JCF = 21.1 Hz, JCP = 14.9 Hz), 61.9 (CH2OH), 64.5 (CH2 × 2, d, JCP = 6.8 Hz), 121.0 (CF2, td, JCF = 259.3 Hz, JCP = 215.7 Hz); 19F NMR (282 MHz, CDCl3): δ = 112.7 (d, JFP = 109.3 Hz); 31P NMR (121 MHz, CDCl3): δ = 7.49 (t, JPF = 109.3 Hz).
Difluoro-4-(diethyl phosphonate) butanoic acid (18) [21]. To a stirred solution of 17 (400 mg, 1.6 mmol) in MeCN (4 mL) were successively added TEMPO (51 mg, 0.3 mmol), BAIB (1.151 g, 3.6 mmol) and water (4 mL). The reaction mixture was stirred overnight then concentrated under reduced pressure. An aqueous saturated solution of NaHCO3 was added to reach a pH > 8. The solution was extracted with DCM (3 × 15 mL) to remove excess of starting materials. A 10% HCl solution was added to the aqueous layer until pH < 5. Then the solution was extracted with DCM (3 × 15mL), the organic layer was dried over anhydrous Na2SO4 and evaporated to dryness. The product was not further purified and obtained as a light yellow oil (420 mg, 99% yield). Rf = 0.26 (EtOAc/PE 7:3); 1H NMR (500 MHz, CDCl3): δ = 1.38 (6H, t, J = 7.1 Hz), 2.35–2.51 (2H, m), 2.63–2.70 (2H, m), 4.28–4.31 (4H, pseudo p, JHH = JPH = 7.2 Hz), 9.61 (1H, br s); 13C NMR (125 MHz, CDCl3): δ = 16.5 (CH3 × 2, d, JCP = 5.5 Hz), 25.8 (CH2CF2, q, JCP = 5.4 Hz), 29.1 (CH2CO, dt, JCF = 21.2 Hz, JCP = 15.9 Hz), 64.8 (CH2 × 2, d, JCP = 6.9 Hz), 119.8 (CF2, dt, JCF = 259.8 Hz, JCP = 217.2 Hz), 176.5 (CO); 19F NMR (282 MHz, CDCl3): δ = −112.75 (d, JFP = 107.6 Hz); 31P NMR (121 MHz, CDCl3): δ = 6.48 (t, JPF = 107.5 Hz.
Diethyl 4-(N-benzyloxy)-amino-1,1-difluoro-4-oxobutyl phosphonate (19a) [21]. CDI (0.528 g, 3.2 mmol) and BnONH2.HCl (0.567 g, 3.5 mmol) were added to a solution of 4,4-difluoro-4-(diethylphosphonate)butanoic acid 18 (0.770 g, 2.9 mmol) in DCM (60 mL). The mixture was stirred overnight at room temperature. The reaction was quenched with a saturated aqueous solution of NH4Cl (60 mL), and the resulting mixture was extracted with DCM (3 × 20 mL). The organic layers were combined, washed with brine (60 mL), dried over anhydrous Na2SO4 and evaporated to dryness under reduced pressure. The product was purified by flash chromatography (EtOAc/PE 7:3) and obtained as a colorless oil (995 mg, 92% yield) as a mixture of two conformers in a 7:3 ratio respectively. Rf = 0.35 (EtOAc/PE 7:3); 1H NMR (300 MHz, CDCl3): δ = 1.37 (6H, t, J = 7.1 Hz), 2.27–2.55 (7/10 of 4H, m), 2.59–2.76 (3/10 of 4H, m), 4.23–4.31 (4H, pseudo p, JHH = JPH = 7.2 Hz), 4.90 (2H, s), 7.35–7.39 (5H, m), 8.03 (3/10 of 1H, br s, NH), 8.73 (7/10 of 1H, br s, NH); 13C NMR (125 MHz, CDCl3): δ = 16.4 (CH3 × 2, d, JCP = 5.5 Hz), 23.3–23.7 (CH2CF2*, m), 24.7–25.3 (CH2CF2, m), 28.0–28.7 (CH2CO*, m), 29.7 (CH2CO, dt, JCF = 19.5 Hz, JCP = 14.4 Hz), 64.3–65.0 (CH2 × 2, m), 78.2 (CH2Ph), 79.4 (CH2Ph*), 120.3 (CF2, dt, JCF = 260.3 Hz, JCP = 214.6 Hz), 128.6 (CHar × 2), 128.7 (CHar), 129.1 (CHar × 2), 135.3 (Car), 168.9 (CO), 175.1 (CO*); 19F NMR (282 MHz, CDCl3): δ = −112.52 (d, JFP = 109.0 Hz), −111.34 (d, JFP = 107.4 Hz); 31P NMR (121 MHz, CDCl3): δ = 6.37 (t, JPF = 107.1 Hz), 6.65 (t, JPF = 106.5 Hz.
Diethyl 4-(N,N-benzyloxy-methyl)-amino-1,1-difluoro-4-oxobutyl phosphonate (19b). To a stirred solution of diethyl 4-(N-benzyloxy)-amino-1,1-difluoro-4-oxobutyl phosphonate 18 (167 mg, 0.5 mmol) in anhydrous acetone (18 mL) was added anhydrous K2CO3 (82 mg, 0.6 mmol). The reaction was stirred under reflux for 30 min. Then, MeI (324 mg, 2.3 mmol) was added at room temperature and the solution was stirred overnight under reflux. The solution was filtered and evaporated to dryness under reduced pressure. The product was chromatographed on silica gel with gradient elution by EtOAc/PE 7:3 to 100% EtOAc to give 19b as a yellow oil (165 mg, 94% yield) and as a single conformer. Rf = 0.55 (EtOAc); 1H NMR (500 MHz, CDCl3): δ = 1.36 (6H, t, J = 7.1 Hz), 2.32–2.44 (2H, m), 2.67–2.70 (2H, m), 3.20 (3H, s), 4.23–4.31 (4H, m), 4.84 (2H, s), 7.36–7.40 (5H, m); 13C NMR (125 MHz, CDCl3): δ = 16.4 (CH3 × 2, d, JCP = 5.5 Hz), 24.0 (CH2CO), 28.9 (CH2CF2, dt, JCF = 20.9 Hz, JCP = 15.0 Hz), 33.75 (CH3N), 64.5 (CH2 × 2, d, JCP = 6.7 Hz), 76.4 (CH2Ph), 120.4 (CF2, dt, JCF = 257.7 Hz, JCP = 215.2 Hz), 128.8 (CHar × 2), 129.1 (CHar), 129.4 (CHar × 2), 134.2 (Car), 173.1 (CO); 19F NMR (282 MHz, CDCl3): δ = −113.39 (d, JFP = 108.1 Hz); 31P NMR (121 MHz, CDCl3): δ = 7.07 (t, JPF = 107.7 Hz); HRMS (ESI+) m/z calcd for C16H25F2NO5P [M + H]+ 380.1433, found 380.1445.
Diethyl 4-(N-hydroxyl)-amino-1,1-difluoro-4-oxobutyl phosphonate (20a) [21]. To a stirred solution of diethyl 4-(N-benzyloxy)-amino-1,1-difluoro-4-oxobutyl phosphonate 19a (217 mg, 0.6 mmol) in MeOH (15 mL) was added 10% w/w Pd on activated carbon (22 mg, 0.02 mmol). The reaction flask was then connected to a balloon of H2 at atmospheric pressure. Every 20 min, a slight vacuum was applied to the reaction flask, which was then backfilled with H2. When all starting material was consumed, the reaction was filtered over a pad of celite and evaporated to dryness under reduced pressure. The product was obtained pure in a quantitative yield (165 mg) as a colorless oil and as a mixture of two conformers Z and E in a 55:45 ratio respectively. Rf = 0.23 (EtOAc); 1H NMR (500 MHz, CDCl3): δ = 1.37 (6H, t, J = 7.0 Hz), 2.28–2.88 (4H, m), 4.28 (4H, pseudo p, JHH = JPH = 7.1 Hz), 5.65 (45/100 of 1H, br s, OH), 5.78 (55/100 of 1H, br s, OH), 8.04 (45/100 of 1H, br s, NH), 9.30 (55/100 of 1H, br s, NH); 13C NMR (125 MHz, CDCl3): δ = 16.4 (CH3 × 2, d, JCP = 5.5 Hz), 24.7–24.9 (CH2CF2*, m), 27.2 (CH2CF2, q, JCF = 4.8 Hz), 29.7 (CH2CO, dt, JCF = 21.3 Hz, JCP = 16.2 Hz), 29.9 (CH2CO*, dt, JCF = 21.3 Hz, JCP = 16.2 Hz), 64.7 (CH2* × 2, d, JCP = 6.9 Hz), 65.0 (CH2 × 2, d, JCP = 7.0 Hz), 120.2 (CF2, JCF = 257.5 Hz, JCP = 216.0 Hz), 169.0 (CO*), 173.3 (CO); 19F NMR (282 MHz, CDCl3): δ = −111.22 (d, JFP = 107.3 Hz), −112.69 (d, JFP = 107.7 Hz); 31P NMR (121 MHz, CDCl3): δ = 6.31 (t, JPF = 107.2 Hz), 6.52 (t, JPF = 107.7 Hz).
Diethyl 4-(N,N-hydroxyl-methyl)-amino-1,1-difluoro-4-oxobutyl phosphonate (20b). To a stirred solution of diethyl 4-(N,N-benzyloxy-methyl)-amino-1,1-difluoro-4-oxobutyl phosphonate 19b (120 mg, 0.3 mmol) in MeOH (8 mL) and water (2.4 mL) was added 10% w/w Pd on activated carbon (12 mg, 0.01 mmol). The reaction flask was then connected to a balloon of H2 (1 atm). Every 20 min, a slight vacuum was applied to the reaction flask, which was then backfilled with H2. When all starting material was consumed, the reaction was filtered over celite and evaporated to dryness under reduced pressure. The pure product was obtained as a light yellow oil (90 mg, quantitative yield) and as a mixture of conformers in a 6:4 ratio. Rf = 0.33 (EtOAc); 1H NMR (500 MHz, CDCl3): δ = 1.38 (6H, t, J = 7.0 Hz), 2.29–2.51 (2H, m), 2.57–2.70 (4/10 of 2H, m), 2.70–2.86 (6/10 of 2H, m), 3.25 (6/10 of 3H, br s), 3.36 (4/10 of 3H, br s), 4.19–4.35 (4H, pseudo p, JHH = JPH = 7.3 Hz); 13C NMR (125 MHz, CDCl3): δ = 16.4 (CH3 × 2, d, JCP = 4.7 Hz), 22.8 (CH2CO*), 24.0 (CH2CO), 27.8–28.1 (CH2CF2*, m), 29.0–30.3 (CH2CF2, m), 35.7 (CH3N*), 36.1 (CH3N), 64.7 (CH2 × 2, d, JCP = 6.7 Hz), 65.0 (CH2* × 2, d, JCP = 6.7 Hz), 119.9 (CF2*, dt, JCF = 261.0 Hz, JCP = 220.3 Hz), 120.3 (CF2, dt, JCF = 261.0 Hz, JCP = 220.3 Hz), 165.2 (CO*), 171.5 (CO*), 172.2 (CO), 173.6 (CO*); 19F NMR (282 MHz, CDCl3): δ = −110.9 (d, JFP = 109.3 Hz), −112.4 (d, JFP = 108.0 Hz), −113.4 (d, JFP = 105.9 Hz), −113.6 (d, JFP = 107.5 Hz); 31P NMR (121 MHz, CDCl3): δ = 6.61 (t, JPF = 108.3 Hz), 6.75 (t, JPF = 107.7 Hz); HRMS (ESI+) m/z calcd for C9H18F2NNaO5P [M + Na]+ 312.0783, found 312.0794.
(1,1-Difluoro-4-(hydroxyamino)-4-oxobutyl)phosphonic acid (10a). A solution of diethyl 4-(N-hydroxyl)-amino-1,1-difluoro-4-oxobutyl phosphonate 20a (25 mg, 90.8 µmol) dissolved in DCM (0.34 mL) was cooled to 0 °C. TMSBr (0.12 mL, 0.9 mmol) was added dropwise at 0 °C then the reaction mixture was stirred overnight in the dark at room temperature. DCM and excess of TMSBr were evaporated under reduced pressure and the intermediate orange oil was treated with water (0.5 mL, 27.8 mmol) for 1.5 h. Removal of water under vacuum affords 10a as a light orange solid (20 mg, quantitative yield) and as a mixture of conformers. Rf = 0.4 (EtOAc); 1H NMR (400 MHz, CD3OD): δ = 2.33–2.45 (2H, m), 2.50–2.53 (4/10 of 2H, m), 2.60 (6/10 of 2H, t, J = 7.5 Hz); 13C NMR (125 MHz, CD3OD): δ = 26.9–27.1 (CH2CF2, m), 28.0–28.1 (CH2CF2*, m), 30.3 (CH2CO, dt, JCF = 21.5 Hz, JCP = 15.8 Hz), 30.6–31.1 (CH2CO*, m), 121.5 (CF2, dt, JCF = 257.8 Hz, JCP = 210.8 Hz), 174.2 (CO), 177.2 (CO*); 19F NMR (282 MHz, CD3OD): δ = −116.6 (d, JFP = 104.6 Hz), −116.8 (d, JFP = 104.4 Hz), −116.8 (d, JFP = 104.1 Hz); 31P NMR (162 MHz, CD3OD): δ = 5.12 (t, JPF = 104.0 Hz), 5.21 (t, JPF = 104.4 Hz), 5.32 (t, JPF = 104.9 Hz); HRMS (ESI+) m/z calcd for C4H9F2NO5P [M + H]+ 220.0181, found 220.0192.
(1,1-Difluoro-4-(hydroxy(methyl)amino)-4-oxobutyl)phosphonic acid (10b). A solution of diethyl 4-(N,N-hydroxyl-methyl)-amino-1,1-difluoro-4-oxobutyl phosphonate 20b (20 mg, 69.2 µmol) dissolved in DCM (0.26 mL) was cooled to 0 °C. TMSBr (0.10 mL, 0.7 mmol) was added dropwise at 0 °C then the reaction mixture was stirred overnight in the dark at room temperature. DCM and excess of TMSBr were evaporated under reduced pressure and the intermediate orange oil was treated with water (0.5 mL, 27.8 mmol) for 1.5 h. Removal of water under vacuum affords 10b as an orange oil (16 mg, quant. yield) and as a mixture of conformers. Rf = 0.1 (EtOAc); 1H NMR (400 MHz, CD3OD): δ = 2.28–2.47 (2H, m), 2.56–2.63 (4/10 of 2H, m), 2.74–2.78 (6/10 of 2H, m), 2.95 (6/10 of 3H, s), 3.21 (4/10 of 3H, s); 13C NMR (125 MHz, CD3OD): δ = 25.0–25.2 (CH2CF2*, m), 26.8–27.0 (CH2CF2, m), 30.2 (CH2CO*, dt, JCF = 19.9 Hz, JCP = 15.7 Hz), 30.3 (CH2CO, dt, JCF = 21.2 Hz, JCP = 15.7 Hz), 36.4 (CH3N*), 38.1 (CH3N), 121.7 (CF2, td, JCF = 258.4 Hz, JCP = 212.1 Hz), 174.0 (CO*), 174.2 (CO); 19F NMR (282 MHz, CD3OD): δ = −118.1 (d, JFP = 104.1 Hz), −118.4 (d, JFP = 104.1 Hz); 31P NMR (162MHz, CD3OD: δ = 5.21 (t, JPF = 103.7 Hz), 5.33 (t, JPF = 105.3 Hz), 5.48 (t, JPF = 105.8 Hz); HRMS (ESI) m/z calcd for C5H10F2NO5P [M − H] 232.0192, found 232.0206.

4.2. Biological Activity

4.2.1. His-Tagged DXR Activity

The assays were performed at 37 °C in a 50 mM Tris/HCl buffer pH 7.5 containing 3 mM MgCl2 and 2 mM DTT. The concentrations of DXP and NADPH were 480 µM and 160 µM respectively. The decrease of absorbance at 340 nm due to NADPH oxidation was monitored to determine the initial rates. The retained values were the average of at least two measurements. The relative average deviation must be lower than 4%.

4.2.2. Inhibition of His-Tagged DXR

Fosmidomycin was purchased from Fujisawa Pharmaceutical. Inhibitor concentrations in the stock solutions were verified by spectrophotometric phosphorus determination [28]. The study compounds 9b and 10a, 10b were tested against E. coli DXR using a photometric assay that was described earlier [8]. H-DXR was pre-incubated during 2 min in the presence of the inhibitors 9b, 10a and 10b at different concentrations and NADPH. DXP was then added to measure the residual activity. The inhibitory potential of the tested compounds was quantified by determining the IC50 values. They were obtained by plotting the percentage of residual activity versus the Log of inhibitor concentration.

4.2.3. Bacterial Growth Inhibition

The antimicrobial activity of hydroxamic acids 9b, 10a and 10b against E. coli XL1 Blue [8] and fosmidomycin-resistant strain E. coli FosR [7], was determined using the paper disc diffusion method. LB agar plates (9 cm diameter) were inoculated with a suspension of bacteria (200 μL, mid-exponential phase). Paper discs (Durieux no. 268, diameter 6 mm) impregnated with a volume ≤8 μL of fosmidomycin derivatives were placed on Petri dishes. Growth inhibition was examined after 24 h incubation at 37 °C.

Supplementary Materials

The following are available online.1H-NMR, 13C-NMR, 19F-NMR and 31P-NMR spectra of compounds 520 are included.

Author Contributions

A.D., F.S.K., C.N. and M.M. are first coauthors contributing equally to the experiments. D.T. performed biological assays; Methodology, D.L.; Conceptualization, M.R., C.G.-B.; writing—original draft preparation, C.G.-B.; supervision, C.G.-B.; writing—review and editing, D.L., M.R., C.G.-B. All authors have read and agreed to the published version of the manuscript.

Funding

This research received no external funding.

Institutional Review Board Statement

Not applicable.

Informed Consent Statement

Not applicable.

Data Availability Statement

The data presented in this study are contained within the article and are also available in the Supplementary Materials.

Acknowledgments

M.M. and F.K. acknowledge financial support from the ‘Ministère de la Recherche’ and M.M. in addition a partial support from the Foundation “Frontier Research in Chemistry” (Strasbourg, France). The authors express their gratitude to L. Allouche, B. Vincent and M. Coppe for NMR measurements.

Conflicts of Interest

The authors declare no conflict of interest.

Sample Availability

Not available.

References

  1. Word Health Organisation. News Released 27 February 2017. Available online: https://www.who.int/news-room/detail/27-02-2017-who-publishes-list-of-bacteria-for-which-new-antibiotics-are-urgently-needed (accessed on 10 May 2020).
  2. European Centre for Disease Prevention and Control. 15 November 2018. Available online: https://www.ecdc.europa.eu/en/publications-data/infographic-antibiotic-resistance-increasing-threat-human-health (accessed on 10 May 2020).
  3. Rohmer, M.; Grosdemange-Billiard, C.; Seemann, M.; Tritsch, D. Isoprenoid biosynthesis as a novel target for antibacterial and antiparasitic drugs. Curr. Opin. Investig. Drugs 2004, 5, 154–162. [Google Scholar]
  4. Okuhara, M.; Kuroda, Y.; Goto, T.; Okamoto, M.; Terano, H.; Kohsaka, M.; Aoki, H.; Imanaka, H. Studies on new phosphonic acid antibiotics. I. FR-900098, isolation and characterization. J. Antibiot. 1980, 33, 13–17. [Google Scholar] [CrossRef] [PubMed]
  5. Okuhara, M.; Kuroda, Y.; Goto, T.; Okamoto, M.; Terano, H.; Kohsaka, M.; Aoki, H.; Imanaka, H. Studies on new phosphonic acid antibiotics. III., isolation and characterization of FR-31564, FR-32863 and FR-33289. J. Antibiot. 1980, 33, 24–28. [Google Scholar] [CrossRef]
  6. Lanaspa, M.; Moraleda, C.; Machevo, S.; González, R.; Serrano, B.; Macete, E.; Cisteró, P.; Mayor, A.; Hutchinson, D.; Kremsner, P.G.; et al. Inadequate efficacy of a new formulation of fosmidomycin-clindamycin combination in Mozambican children less than three years old with uncomplicated Plasmodium falciparum malaria. Antimicrob. Agents Chemother. 2012, 56, 2923–2928. [Google Scholar] [CrossRef]
  7. Hemmerlin, A.; Tritsch, D.; Hammann, P.; Rohmer, M.; Bach, T.J. Profiling of defense responses in Escherichia coli treated with fosmidomycin. Biochimie 2014, 99, 54–62. [Google Scholar] [CrossRef] [PubMed]
  8. Kuntz, L.; Tritsch, D.; Grosdemange-Billiard, C.; Hemmerlin, A.; Willem, A.; Bach, T.J.; Rohmer, M. Isoprenoid biosynthesis as a target for antibacterial and antiparasitic drugs: Phosphonohydroxamic acids as inhibitors of deoxyxylulose phosphate reducto-isomerase. Biochem. J. 2005, 386, 127–135. [Google Scholar] [CrossRef]
  9. Munier, M.; Tritsch, D.; Krebs, F.; Esque, J.; Hemmerlin, A.; Rohmer, M.; Stote, R.H.; Grosdemange-Billiard, C. Synthesis and biological evaluation of phosphate isosters of fosmidomycin and analogs as inhibitors of Escherichia coli and Mycobacterium smegmatis 1-deoxyxylulose 5-phosphate reductoisomerases. Bioorg. Med. Chem. 2017, 25, 684–689. [Google Scholar] [CrossRef]
  10. Woo, Y.-H.; Fernandes, R.P.M.; Proteau, P.J. Evaluation of fosmidomycin analogs as inhibitors of the Synechocystis sp. PCC6803 1-deoxy-dxylulose 5-phosphate reductoisomerase. Bioorg. Med. Chem. 2006, 14, 2375–2385. [Google Scholar] [CrossRef] [PubMed]
  11. Nieschalk, J.; O’Hagan, D. Monofluorophosphonates as phosphate mimics in bioorganic chemistry: A comparative study of CH2-, CHF- and CF2-phosphonate analogues of sn-glycerol-3-phosphate as substrates for sn-glycerol-3-phosphate dehydrogenase. J. Chem. Soc. Chem. Commun. 1995, 7, 719–720. [Google Scholar] [CrossRef]
  12. Nieschalk, J.; Batsanov, A.S.; O’Hagan, D.; Howard, J. Synthesis of monofluoro- and difluoro-methylenephosphonate analogues of sn-glycerol-3-phosphate as substrates for glycerol-3-phosphate dehydrogenase and the X-ray structure of the fluoromethylenephosphonate moiety. Tetrahedron 1996, 52, 165–176. [Google Scholar] [CrossRef]
  13. Romanenko, V.D.; Kukhar, V.P. Fluorinated phosphonates:  Synthesis and biomedical application. Chem. Rev. 2006, 106, 3868–3935. [Google Scholar] [CrossRef] [PubMed]
  14. Verbrugghen, T.; Cos, P.; Maes, L.; Van Calenbergh, S. Synthesis and evaluation of -halogenated analogues of 3-(acetylhydroxyamino)propylphosphonic acid (FR-900098) as antimalarials. J. Med. Chem. 2010, 53, 5342–5346. [Google Scholar] [CrossRef][Green Version]
  15. Berkowitz, D.B.; Bose, M. (α-Monofluoroalkyl)phosphonates: A class of isoacidic and “tunable” mimics of biological phosphates. J. Fluor. Chem. 2001, 112, 13–33. [Google Scholar] [CrossRef]
  16. Blackburn, G.M.; England, D.A.; Kolkmann, F. Monofluoro- and difluoro-methylenebisphosphonic acids: Isopolar analogues of pyrophosphoric acid. J. Chem. Soc. Chem. Commun. 1981, 17, 930–932. [Google Scholar] [CrossRef]
  17. Blackburn, G.M.; Kolkmann, F. The synthesis and metal binding characteristics of novel, isopolar phosphonate analogues of nucleotides. J. Chem. Soc. Perkin Trans. 1984, 1, 1119–1125. [Google Scholar] [CrossRef]
  18. Berkowitz, D.B.; Eggen, M.J.; Shen, Q.; Shoemaker, R.K. Ready access to fluorinated phosphonate mimics of secondary phosphates. Synthesis of the (α,α-difluoroalkyl)phosphonate analogues of L-phosphoserine, L-phosphoallothreonine, and L-phosphothreonine. J. Org. Chem. 1996, 61, 4666–4675. [Google Scholar] [CrossRef]
  19. Gillis, E.P.; Eastman, K.J.; Hill, M.D.; Donnelly, D.J.; Meanwell, N.A. Applications of fluorine in medicinal chemistry. J. Med. Chem. 2015, 58, 8315–8359. [Google Scholar] [CrossRef]
  20. Shah, P.; Westwell, A.D. The role of fluorine in medicinal chemistry. J. Enzyme Inhib. Med. Chem. 2007, 22, 527–540. [Google Scholar] [CrossRef] [PubMed]
  21. Volle, J.-N.; Midrier, C.; Blanchard, V.; Braun, R.; Haaf, K.; Willms, L.; Pirat, J.-L.; Virieux, D. Preparation of gem-difluorinated retrohydroxamic-fosmidomycin. ARKIVOC-Online J. Org. Chem. 2015, 2015, 117–126. [Google Scholar] [CrossRef]
  22. Yokomatsu, T.; Suemune, K.; Murano, T.; Shibuya, S. Synthesis of (α,α-difluoroallyl)phosphonates from alkenyl halides or acetylenes. J. Org. Chem. 1996, 61, 7207–7211. [Google Scholar] [CrossRef]
  23. Chambers, R.D.; Jaouharl, R.; O’Hagan, D. Fluorine in enzyme chemistry part 2. The preparation of difluoromethylenephosphonate analogues of glycolytic phosphates. Approaching an isosteric and isoelectronic phosphate mimic. Tetrahedron 1989, 45, 5101–5108. [Google Scholar] [CrossRef]
  24. Brown, D.A.; Glass, W.K.; Mageswaran, R.; Girmay, B. cis-trans Isomerism in monoalkylhydroxamic acids by 1H, 13C and 15N NMR spectroscopy. Magn. Reson. Chem. 1988, 26, 970–973. [Google Scholar] [CrossRef]
  25. Brown, D.A.; Glass, W.K.; Mageswaran, R.; Mohammed, S.A. 1H and 13C NMR studies of isomerism in hydroxamic acids. Magn. Reson. Chem. 1991, 29, 40–45. [Google Scholar] [CrossRef]
  26. O’Hagan, D. Understanding organofluorine chemistry. An introduction to the C-F bond. Chem. Soc. Rev. 2008, 37, 308–319. [Google Scholar] [CrossRef] [PubMed]
  27. Zinglé, C.; Kuntz, L.; Tritsch, D.; Grosdemange-Billiard, C.; Rohmer, M. Isoprenoid biosynthesis via the methylerythritol phosphate pathway: Structural variations around phosphonate anchor and spacer of fosmidomycin, a potent inhibitor of deoxyxylulose phosphate reductoisomerase. J. Org. Chem. 2010, 75, 3203–3207. [Google Scholar] [CrossRef]
  28. van den Bos, L.J.; Codée, J.D.C.; van der Toorn, J.C.; Boltje, T.J.; van Boom, J.H.; Overkleeft, H.S.; van der Marel, G. Thioglycuronides:  Synthesis and application in the assembly of acidic oligosaccharides. Org. Lett. 2004, 6, 2165–2168. [Google Scholar] [CrossRef]
  29. Lowry, O.H.; Lopez, J.A. The determination of inorganic phosphate in the presence of labile phosphate esters. J. Biol. Chem. 1946, 162, 421–428. [Google Scholar] [CrossRef]
  30. Massey, R.C.; Buckling, A.; Peacock, S.J. Phenotypic switching of antibiotic resistance circumvents permanent costs in Staphylococcus aureus. Curr. Biol. 2001, 11, 1810–1814. [Google Scholar] [CrossRef]
  31. Hikishima, S.; Hashimoto, M.; Magnowska, L.; Bzowska, A.; Yokomatsu, T. Structural-based design and synthesis of novel 9-deazaguanine derivatives having a phosphate mimic as multi-substrate analogue inhibitors for mammalian PNPs. Bioorg. Med. Chem. 2010, 18, 2275–2284. [Google Scholar] [CrossRef]
  32. Chambers, R.D.; Jaouhari, R.; O’Hagan, D. Fluorine in enzyme chemistry: Part 1. Synthesis of difluoromethylene- phosphonate derivatives as phosphate mimics. J. Fluor. Chem. 1989, 44, 275–284. [Google Scholar] [CrossRef]
Scheme 1. The 1-deoxyxylulose 5-phosphate reductoisomerase (DXR) and its inhibitors.
Scheme 1. The 1-deoxyxylulose 5-phosphate reductoisomerase (DXR) and its inhibitors.
Molecules 26 05111 sch001
Scheme 2. Synthesis of the α,α-difluorophosphonated fosmidomycin derivatives 9 and 10. Reagents and conditions: (a) Zn, CuBr, then allyl bromide, DMF(89%); (b) (i) O3, MeOH, CH2Cl2, −78 °C; (ii) Me2S, (quantitative); (c) BnONH2.HCl, NaBH3CN, HCl conc, MeOH (35%); (d) HCOOH/Ac2O, THF, rt, 15a, (83%); (d) Ac2O, pyridine, rt, 15b, (80%); (f) H2, Pd/C, MeOH, rt, 16a (74 %), 16b (80 %), 20a (41%), 20b (65%); (g) TMSBr, DCM, 0 °C, then H2O, 9b (quantitative), 10a (quantitative), 10b (quantitative); (h,i) BH3-THF complex (ii) 3M NaOH, H2O2 (39%); (i) TEMPO, BAIB, MeCN, H2O, (86%); (j) CDI, DCM, 1 h, rt, then BnONH2.HCl, Et3N, DCM, (77%); (k) MeI, K2CO3, acetone, 30 min reflux (73%).
Scheme 2. Synthesis of the α,α-difluorophosphonated fosmidomycin derivatives 9 and 10. Reagents and conditions: (a) Zn, CuBr, then allyl bromide, DMF(89%); (b) (i) O3, MeOH, CH2Cl2, −78 °C; (ii) Me2S, (quantitative); (c) BnONH2.HCl, NaBH3CN, HCl conc, MeOH (35%); (d) HCOOH/Ac2O, THF, rt, 15a, (83%); (d) Ac2O, pyridine, rt, 15b, (80%); (f) H2, Pd/C, MeOH, rt, 16a (74 %), 16b (80 %), 20a (41%), 20b (65%); (g) TMSBr, DCM, 0 °C, then H2O, 9b (quantitative), 10a (quantitative), 10b (quantitative); (h,i) BH3-THF complex (ii) 3M NaOH, H2O2 (39%); (i) TEMPO, BAIB, MeCN, H2O, (86%); (j) CDI, DCM, 1 h, rt, then BnONH2.HCl, Et3N, DCM, (77%); (k) MeI, K2CO3, acetone, 30 min reflux (73%).
Molecules 26 05111 sch002
Figure 1. Antimicrobial activity of hydroxamic acids (9b, 2 nM), (10a, 3 nM) and (10b, 1.5 nM) compared to fosmidomycin (3a, 2 nM): (A) against E. coli XL1 Blue; (B) against fosmidomycin-resistant strain E. coli FosR.
Figure 1. Antimicrobial activity of hydroxamic acids (9b, 2 nM), (10a, 3 nM) and (10b, 1.5 nM) compared to fosmidomycin (3a, 2 nM): (A) against E. coli XL1 Blue; (B) against fosmidomycin-resistant strain E. coli FosR.
Molecules 26 05111 g001
Table 1. Inhibition of E. coli H6-DXR.
Table 1. Inhibition of E. coli H6-DXR.
CompoundsIC50 (nM)
fosmidomycin, 3a42
FR-900098, 3b4
4a180 **
4b48 **
fosfoxacin, 5a342 *
5b77 *
6a2600 *
6b46 *
9a-
9b9
10a4600
10b17
Mean from at least 2 different assays. Errors were <5%. * and ** values obtained from references [9] and [8] respectively.
Table 2. E. coli XL1 Blue growth inhibition on LB solid medium.
Table 2. E. coli XL1 Blue growth inhibition on LB solid medium.
Compoundsnmoles/Disc Growth Inhibition Zone (mm)
fosmidomycin, 3a235
FR-900098, 3b2 *32 *
4a400 **12 **
4b80 **30 **
6a400 *<10 *
6b160 *20 *
9b215
10a3-
10b1.520
* and ** values obtained from references [9] and [8] respectively.
Publisher’s Note: MDPI stays neutral with regard to jurisdictional claims in published maps and institutional affiliations.

Share and Cite

MDPI and ACS Style

Dreneau, A.; Krebs, F.S.; Munier, M.; Ngov, C.; Tritsch, D.; Lièvremont, D.; Rohmer, M.; Grosdemange-Billiard, C. α,α-Difluorophosphonohydroxamic Acid Derivatives among the Best Antibacterial Fosmidomycin Analogues. Molecules 2021, 26, 5111. https://doi.org/10.3390/molecules26165111

AMA Style

Dreneau A, Krebs FS, Munier M, Ngov C, Tritsch D, Lièvremont D, Rohmer M, Grosdemange-Billiard C. α,α-Difluorophosphonohydroxamic Acid Derivatives among the Best Antibacterial Fosmidomycin Analogues. Molecules. 2021; 26(16):5111. https://doi.org/10.3390/molecules26165111

Chicago/Turabian Style

Dreneau, Aurore, Fanny S. Krebs, Mathilde Munier, Chheng Ngov, Denis Tritsch, Didier Lièvremont, Michel Rohmer, and Catherine Grosdemange-Billiard. 2021. "α,α-Difluorophosphonohydroxamic Acid Derivatives among the Best Antibacterial Fosmidomycin Analogues" Molecules 26, no. 16: 5111. https://doi.org/10.3390/molecules26165111

APA Style

Dreneau, A., Krebs, F. S., Munier, M., Ngov, C., Tritsch, D., Lièvremont, D., Rohmer, M., & Grosdemange-Billiard, C. (2021). α,α-Difluorophosphonohydroxamic Acid Derivatives among the Best Antibacterial Fosmidomycin Analogues. Molecules, 26(16), 5111. https://doi.org/10.3390/molecules26165111

Article Metrics

Back to TopTop