Next Article in Journal
Beneficial Effect of Quercetin on Erythrocyte Properties in Type 2 Diabetic Rats
Next Article in Special Issue
Chemical and Mechanical Characterization of Licorice Root and Palm Leaf Waste Incorporated into Poly(urethane-acrylate) (PUA)
Previous Article in Journal
Adsorbing Volatile Organic Chemicals by Soluble Triazine-Based Dendrimers under Ambient Conditions with the Adsorption Capacity of Pyridine up to 946.2 mg/g
Previous Article in Special Issue
Lignin as a Partial Polyol Replacement in Polyurethane Flexible Foam
 
 
Font Type:
Arial Georgia Verdana
Font Size:
Aa Aa Aa
Line Spacing:
Column Width:
Background:
Article

Chemical Characterization of Kraft Lignin Prepared from Mixed Hardwoods

1
Department of Carbon Materials and Fiber Engineering, Jeonbuk National University, Jeonju 54896, Korea
2
Department of Wood Science and Technology, Jeonbuk National University, Jeonju 54896, Korea
*
Author to whom correspondence should be addressed.
Molecules 2021, 26(16), 4861; https://doi.org/10.3390/molecules26164861
Submission received: 20 July 2021 / Revised: 6 August 2021 / Accepted: 7 August 2021 / Published: 11 August 2021
(This article belongs to the Special Issue Lignin: From Nature to Advanced Materials)

Abstract

:
Chemical characterization of kraft lignin (KL) from mixed hardwoods (Acacia spp. from Vietnam and mixed hardwoods (mainly Quercus spp.) from Korea) was conducted for its future applications. To compare the structural changes that occurred in KL, two milled wood lignins (MWLs) were prepared from the same hardwood samples used in the production of KL. Elemental analysis showed that the MWL from acacia (MWL-aca) and mixed hardwood (MWL-mhw) had almost similar carbon content, methoxyl content, and C9 formula. KL had high carbon content but low oxygen and methoxyl contents compared to MWLs. The C9 formula of KL was determined to be C9H7.29O2.26N0.07S0.12(OCH3)1.24. The Mw of KL and MWLs was about 3000 Da and 12,000–13,000 Da, respectively. The structural features of KL and MWLs were investigated by Fourier transform infrared spectroscopy (FT-IR) and nuclear magnetic resonance spectrometry (1H, 13C NMR). The analyses indicated that KL underwent severe structural modifications, such as γ-carbon cleavage, demethylation, and polycondensation reactions during kraft pulping, which resulted in increased aromatic content and decreased aliphatic content. The main linkages in lignin, β-O-4 moieties, were hardly detected in the analysis as these linkages were extensively cleaved by nucleophilic attack of SH- and OH- during pulping.

1. Introduction

Lignin is the second-most abundant organic carbon source after cellulose. The amount of lignin discharged is about 50–70 million tons annually [1,2]; however, it has been estimated that only a small amount (ca. 1–2%) is used in specialty products [3]. Lignin can be obtained by pulping and kraft pulping accounts for about 85% of the total lignin production [4]. The lignin recovered from the black liquor after kraft pulping is called kraft lignin. The majority of KLs are directly burned in pulp mills to generate energy and to recover the remaining pulping chemicals, while some KLs are used as rubber additives and phenolic resin adhesives [5,6]. Limitations on the utilization of KLs are due to their heterogeneity, modified structure, presence of sulfur from sodium sulfide, and the poor quality of the final product [7,8].
Along with KL, lignosulfonates (LS) are commercially available lignins that have been used for a long time in the production of vanillin, dispersant, coagulant, etc. [9]. Although KL is less utilized than LS, KL is still an attractive resource for researchers and pulping companies since it is cheap, renewable, and available in large amounts. Therefore, converting KL into a high value-added material is one major research goal, even though the use of KL is currently limited. Studies on the application of KL as bioadhesives [10], supercapacitors [11], fuel for fuel cells [12], polyurethane foams [13], and carbon fibers [14] have been conducted recently. However, few applications were commercially profitable [8], and further studies are needed for the mass consumption of KL. In addition, converting lignin into value-added products is one way to unleash its potential [7]. Particularly, in the near future, massive amounts of lignin will be derived as a by-product since many researchers are trying to use lignocellulosic biomass for the production of bioethanol or biosugar. If a beneficial way to use KL is developed, the utilization of less structurally modified lignins from bioethanol and biosugar production will become easier as well.
Since KL is an underutilized resource, the purpose of this study was to investigate the chemical characteristics of KL from mixed hardwoods to proceed to further applications involving new value-added lignin-based products, such as carbon materials, fine chemicals, and dyestuffs. Most studies on the characterization of KL focused on softwood KL rather than hardwood KL. Hence, this study reports the characterization of KL from mixed hardwoods. Moreover, little emphasis was given to the comparison of hardwood KL and MWLs with respect to the structural changes that occurred in lignin. Therefore, in this study, KL was compared to MWLs prepared from the same hardwood samples used for kraft pulping.

2. Results and Discussion

2.1. Chemical Composition of Acacia and Mixed Hardwood

The results of alcohol-benzene extract and total lignin contents of acacia and mixed hardwood are shown in Table 1. The alcohol-benzene extract contents were 1.51% for acacia and 1.60% for mixed hardwood, showing slightly comparable values. The total lignin content of acacia was 26.90% which was slightly higher than mixed hardwood (24.76%). In general, it is known that the lignin content of tropical hardwoods is comparable to that of temperate softwoods [9]. As acacia species are grown in tropical or subtropical regions like Vietnam, the total lignin content of acacia was higher.

2.2. Elemental Composition of KL and MWLs

The C, H, O, N, S, and OCH3 content of KL and MWLs are summarized in Table 2. The methoxyl content was estimated using the integration ratio of protons derived from the aromatic and the methoxyl groups in the 1H NMR as described by Abreu [15]. KL was not only chemically modified during kraft pulping, but new elements were introduced. Considerable amounts of sulfur were present in KL unlike in the MWLs, as kraft pulping chemical (Na2S) was directly involved in lignin depolymerization which generated sulfide ions during pulping. In addition, as shown in Table 2, KL had higher carbon content, and lower oxygen and methoxyl contents compared to MWLs.
The C9 molecular formula, C9 molecular weight, and double bond equivalent (DBE) of KL and MWLs are listed in Table 3. The DBE approximates the number of double bonds and the presence of cyclic structures together with the frequency of interunit linkages in a phenylpropane (C9) unit [16,17]. The calculated DBE values revealed that in comparison to MWLs, KL contained a high degree of unsaturation as a consequence of the transformation of lignin moieties (i.e., β-O-4, β-β, β-1, β-5, 5-5, and 4-O-5) into their condensed forms with newly incorporated double bonds. Table 3 also shows that KL had a lower C9 MW than MWLs. These outcomes suggest that the original lignin was depolymerized into lignin fragments which were condensed and contained high degree of unsaturation. These results are also in agreement with well-established reactions of model lignin compounds.
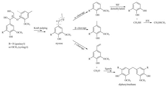
Studies on structural modifications during kraft pulping indicated that β-O-4 structures, with hydroxyl or carbonyl groups attached at the α or γ positions, underwent β-ether cleavage, resulting in styrene-like compounds, which then further degraded leading to side chain cleavage at the α, β, or γ-carbon positions as shown in Figure 1 [18,19]. The splitting of the side chain from the C9 unit caused a reduced C9 MW for KL. Also, linkages involving side chain cleavage at the γ-carbon position produced formaldehyde which eventually reacted with other lignols to form condensed products like diphenylmethane [20]. These condensed products increased the carbon content of KL. The demethylation reaction caused by the attack of sulfide ions to the methoxyl group at C-3 or C-5 resulted in the formation of methylmercaptan (CH3SH) and then further oxidation produced dimethyldisulfide (CH3SSCH3) [21]. The demethylation caused reduced methoxyl content for KL compared to MWLs.

2.3. MW Distribution, Average MW, and Polydispersity

The weight-average (Mw) and number-average (Mn) MW, and polydispersity index (PDI) of acetylated KL (Ac-KL) and acetylated MWLs (Ac-MWLs) were determined by gel permeation chromatography (GPC). The MW distribution of Ac-KL and Ac-MWLs are shown in Figure 2 while the Mw, Mn, and PDI are given in Table 4. As shown in Figure 2, the MW distributions of KL and MWL were very different. In the case of KL, the low MW (less than 10,000) fractions were predominant, and in particular, two peaks were observed at a MW of 1000 or less. On the other hand, the MW distribution of the two types of MWLs had no remarkable difference.
As shown in Table 4, the Mw of KL and MWLs was about 3000 Da and 12,000–13,000 Da, respectively. These MWs were similar to those of the previously reported hardwood KL and MWL [22]. KL had a Mw of about 1/4 and a Mn of 1/3–1/4 with respect to MWLs. Moreover, KL had lower PDI than MWLs. The result indicates that molecules in the original lignin were highly degraded during kraft pulping.

2.4. FT-IR Analysis

The FT-IR spectra of KL and MWLs are shown in Figure 3 and the assignments, according to Faix [23], are given in Table 5. The overall FT-IR spectral pattern of KL was similar to MWL. However, absorption bands around 1720–1730 cm−1, corresponding to ester bonds, were not observed which indicates that the ester bonds were severely cleaved by NaOH and Na2S in highly alkaline conditions during kraft pulping. In general, the basic aromatic nucleus structure of hardwood lignin consists of guaiacyl (G) units and syringyl (S) units. In the case of MWL, a distinct absorption band was observed at 1020–1330 cm−1, indicating the presence of these units. Specifically, the absorption bands related to the S units appeared around 1325, 1220 and 1120 cm−1, and 1275 and 1030 cm−1 for the G units. However, for KL, a shoulder appeared at 1275 cm−1 and a weak absorption band was observed at 1030 cm−1. These results suggest that G and S units were present in KL but might have been significantly degraded or modified compared to MWL. The methoxyl content in KL was low similar to the result of EA. From the FT-IR analysis, it was confirmed that the side chains and aromatic nuclei of KL were chemically modified during kraft pulping.

2.5. 1H NMR Analysis

The 1H NMR spectra of Ac-KL were compared to Ac-MWLs from acacia and mixed hardwood (Figure 4). The aromatic region (7.20–6.25 ppm) revealed the presence of G and S phenylpropane (C9) units. Structural changes were shown in the methoxyl (4.00–3.48 ppm), acetyl (2.50–1.60 ppm), and hydrocarbon regions (1.40–0.70 ppm). Table 6 shows the assignments of signal in the 1H NMR spectra of Ac-lignins based on literature data [24,25]. The distribution of protons per C9 structural unit of Ac-lignins was estimated via integration ratios and their C9 molecular formulas [26]. The methoxyl content in the C9 molecular formula for KL was 1.24, multiplied by 3 to obtain 3.72, the total number of protons (H) in the methoxyl groups. Integration values of other structural components were made relative to the methoxyl protons in one C9 unit. However, some quantitative conclusions could not be confirmed due to overlapping signals, carbohydrate inclusions, and uncertainties in range assignments.
The arylglycerol β-O-4 aryl ether linkage (6.25–5.75 ppm, 4.90–4.30 ppm) is the main intermonomeric linkage found in native lignin [24] and is estimated to be about 60–70% of hardwoods. The resonances of the Hα and Hβ in acetylated β-O-4 structures at the specified range were hardly detected in Ac-KL as severe β-O-4 bond hydrolysis occurred during kraft pulping wherein the β-O-4 structures were transformed to styrene-like structures [18]. Further reactions caused bond cleavage at the γ-carbon position, releasing formaldehyde and forming condensation products, such as diphenylmethanes [20].
The aromatic protons per C9 unit for Ac-KL were 0.52 for S units and 0.37 for G units, while for Ac-MWL-mhw the aromatic protons per C9 unit were 0.84 for S units and 0.57 for G units. Comparing the integration values of Ac-KL to Ac-MWLs, the decreased number of aromatic protons indicated a highly condensed structural motif in KL. The integration values were converted to their molar counterparts to estimate the S to G molar ratio. As shown in Table 7, the S/G molar ratio of Ac-KL was almost similar to Ac-MWL-mhw. A further step of calculation showed the S and G composition in terms of percentage composition. In the case of KL, the % S units were derived from the formula: 3.37/(2.98 + 3.37) × 100, which yielded 53.1%.
The methoxyl protons of Ac-KL (3.72) were 20% less than Ac-MWLs (4.65). The lower amount of methoxyl groups in KL was attributed to demethylation reactions during kraft pulping [21]. The nucleophilic attack of hydrosulfide ions (SH-) to aryl methyl ether produced catechol and methylmercaptan. Further oxidation of methylmercaptan produced dimethyldisulfide, which gave KL its characteristic odor.
The number of aliphatic and phenolic hydroxyl groups per C9 unit was determined from the corresponding acetyl group signals (2.50–1.60 ppm). For KL, the OAc/OCH3 mole ratio = (2.54 + 2.22)/3.72 = 1.28. Thus, the total OAc/C9 ratio = (1.24 OCH3) × (1.28 OAc/1 OCH3) = 1.59, i.e., the number of aliphatic OAc/CH3 = (1.24 OCH3/C9) × (2.22 OAc/3.72 OCH3) = 0.74 and the number of phenolic OAc/CH3 = (1.24) × (2.54/3.72) = 0.85. Therefore, the number of aliphatic and phenolic hydroxyl groups per 100 C9 units of KL was estimated to be 74 and 85, respectively; 178 and 22 for MWL-aca; 181 and 28 for MWL-mhw. As such, the aliphatic hydroxyl group of KL significantly decreased and the aromatic hydroxyl group significantly increased compared to MWL. It was proposed that new phenolic hydroxyl groups were generated as the methoxyl groups were cleaved during kraft pulping.
The presence of increased hydrocarbons, the majority of which were methylene groups, in Ac-KL (0.76) compared to Ac-MWLs (0.31 and 0.19 for acacia and mixed hardwood, respectively) indicated exposure of the methine (–CH–) or methylene (–CH2–) groups after ring opening of β-β pinoresinol moieties and β-5 phenylcoumaran moieties and their condensed derivatives.
The main structural change for KL was evident in the acetyl region, wherein Ac-KL contained more aromatic acetyl protons than Ac-MWLs. Meanwhile, Ac-KL contained significantly less aliphatic acetyl protons compared to Ac-MWLs. The high aromatic and low aliphatic contents of KL could be explained by the kraft pulping reactions, such as the β-O-4 bond hydrolysis and bond cleavage at the β- and γ-carbon position as shown in Figure 1. A decrease in methoxyl content in Ac-KL was due to demethylation reactions during kraft pulping.

2.6. 13C NMR Analysis

The 13C NMR spectrum of KL are shown in Figure 5 along with the 13C NMR spectra of MWLs from acacia and mixed hardwood which were used as references. The chemical shifts and intensities are listed in Table 8 along with their assignments based on Lüdemann and Nimz [27] and Chen and Robert [28]. Since the 13C NMR spectra were recorded under conditions that did not allow quantification, this analysis provided qualitative information only. The 13C NMR spectra for MWL-aca and MWL-mhw at the aliphatic and aromatic regions were analogous; however, the 13C NMR spectrum for KL showed diminished aliphatic content and elevated aromatic content. This phenomenon was typical for KL since severe structural modifications occurred in the aliphatic and aromatic moieties of lignin during kraft pulping. In addition, demethylation of methoxyl groups and cleavage of γ-carbon leading to polycondensation resulted in distinctive difference between KL and native lignin.
In MWLs, the presence of carboxyl groups from aliphatic esters (primary alcohols) and p-hydroxybenzoate were confirmed at 171.5 and 162.5 ppm, respectively, but these peaks were not found in KL since the strongly alkaline environment in kraft pulping easily hydrolyzed the ester bonds.
The aromatic ring resonated in the range of 100 to 160 ppm. The most intense peaks in this region for hardwood MWLs were evident at 103.8–104.9 and 153.4 ppm, which represented the C-2/C-6 and C-3/C-5 of etherified syringyl nuclei. These peaks are specific to hardwood guaiacyl-syringyl (GS) lignins [29]. The peak at 153.4 ppm was weak in KL, suggesting decreased methoxyl content due to demethylation or demethoxylation reactions during kraft pulping. In addition, the C-1/C-4 peak of etherified syringyl nuclei at 138.5 ppm was absent in KL, suggesting a high degree of splitting at the α-carbon position.
On the other hand, the peak at 148.2 ppm was very strong for KL. This peak corresponds to C-3/C-5 of non-etherified S units overlapping with the C-3 of etherified and non-etherified G units. The C-3 of etherified biphenyl (5-5) was also assigned to this peak. Another strong peak from KL at 133.6 ppm was designated to the C-1 of non-etherified p-hydroxyphenyl (H), guaiacyl (G), and syringyl (S) nuclei.
The aliphatic groups were situated in the range of 60 to 90 ppm. The moderately strong peaks in this region for hardwood MWLs, other than the β-O-4 structures, were shown at 73.3 and 63.6 ppm. The peak at 73.3 ppm corresponded to the Cα of β-β structures 13, 14. The peak at 63.6 ppm indicated Cγ of coniferyl alcohol structures 8, β-O-1 structures 11, β-5 structures 12, and β-O-4 structures with α-carbonyl groups 15. These peaks were too weak in KL, suggesting loss of these dimeric moieties in KL. The numbered assignments enclosed in a parenthesis in Table 8 denotes the lignin substructures and lignin side chains, which can be found in Figure 6.
In MWLs, the medium to strong peaks at 86.3, 73.3, and 61.2 ppm were assigned to the Cβ, Cα, and Cγ of the β-O-4 structure, respectively. However, these remarkable peaks in MWLs were almost undetectable in KL due to severe cleavage at the α-, β-, and γ-carbons. The cleaved byproducts, such as catechol- or styrene-like structures reacted with the released γ-hydroxymethyl units derived from γ-carbon scission to form highly condensed lignin structures.

3. Materials and Methods

3.1. Materials

The KL used in this study was kindly provided by Moorim P&P Co., Ltd. (Ulsan, Korea), the only kraft pulp manufacturer in Korea. The wood chips used in kraft pulping were also provided by the same company. Two types of wood chips, namely, from Acacia spp. imported from Vietnam and mixed hardwood locally available in Korea (50% Quercus spp. + 50% other hardwoods), were ground and wood meals which passed through 40-mesh screen were prepared.
The reagents used were ethanol (HPLC grade), benzene (EP), and acetic anhydride (EP) from Duksan Pure Chemical (Ansan, Korea), 1,2-dichloroethane (GR) from Duksan Pharmaceutical (Ansan, Korea), anhydrous ethyl ether (EP) and acetic acid (EP) from Samchun Chemical (Pyeongtaek, Korea), 1,4-dioxane (HPLC grade) from Wako Chemical (Osaka, Japan), pyridine (GR) from Kanto Chemical (Tokyo, Japan), and toluene (HPLC grade) from Fisher-Scientific Korea (Seoul, Korea). The deuterated solvents used were D2O (Merck, Darmstadt, Germany), CDCl3 (Eurisotop, Saint-Aubin, France), and acetone-d6 (Cambridge Isotope Laboratories, Andover, MA, USA). All reagents were used without further purification.

3.2. Kraft Pulping and Purification of KL

KL was obtained from kraft pulping spent liquor, which was discharged from Moorim P&P’s chemical pulping mill facility. Pulping conditions and lignin manufacturing processes for KL were provided by Moorim P&P. The mixed wood chips contained 50% acacia and 50% mixed hardwood. Kraft pulping conditions involved 21–23% active alkali (as Na2O), 23% sulfidity, and a pulping temperature of 160–165 °C. Lignin was separated and purified from the black liquor obtained under these pulping conditions by acid precipitation method. Sulfuric acid was added to the black liquor so that the final pH of the mixture reached 9.0. Thereafter, after stirring at 70 °C for 1 h, lignin was recovered by centrifugal dehydration. The recovered lignin was washed sequentially with 1.5% dilute sulfuric acid and distilled water (liquid ratio 1:10, 70 °C, 1 h), and was subsequently dried and pulverized into a powdered form. The yield of KL obtained from the black liquor (33% solid content) was 9.7%.

3.3. Chemical Composition of Wood Meal

For the determination of the chemical composition and the preparation of MWL, 40 g each of wood meal prepared from acacia and mixed hardwood chips was extracted with 95% alcohol-benzene (1:2) solvent using a large scale Soxhlet apparatus. The wood meal was extracted with a total of 2 L solvent at 70–80 °C for 6 h. After extraction, the solvent was removed in vacuo at 60 °C. The extract was dried overnight in a convection oven at 105 °C. The yield of alcohol-benzene extract was calculated using the equation:
%   alcohol benzene   extract   = W A B W 0 × 100  
where WAB = weight of alcohol-benzene extract (g) and W0 = weight of wood meal (g, oven dry weight).
The extractive-free wood meals were air-dried overnight in a fume hood. The wood meals were kept in plastic containers. For MWL preparation, part of the wood meals was thoroughly dried in vacuo in the presence of P2O5. The lignin content was determined by measuring acid-insoluble lignin (Klason lignin) [30] and acid-soluble lignin [31] in accordance to the TAPPI test method. The total lignin content (TLC) was defined as the sum of acid-insoluble and acid-soluble lignin.

3.4. Preparation of MWL

The thoroughly dried extractive-free wood meals were used for preparing MWLs. Briefly, 6 g of wood meal was placed in a 500-mL stainless-steel jar in the presence of toluene. The jar containing the sample was mounted on a vibratory ball mill and treated for 100 h. After milling, the MWLs were prepared according to the Björkman method [32]. The yield of pure MWL was based on the total lignin content and was calculated using the equation:
%   pure   MWL   on   lignin =   W p u r e T L C   i n   W 0   × 100  
where Wpure = weight of pure MWL (g) and TLC in W0 = total lignin content in wood meal (g).
The yields of MWL-aca and MWL-mhw, based on total lignin, were 14.17% and 19.22%, respectively.

3.5. Acetylation of Lignin

Briefly, 1 g of the thoroughly dried KL and 20 mL of anhydrous pyridine were added into a 100-mL Erlenmeyer flask. The flask was sonicated for 90 s to disperse the mixture. Afterwards, 20 mL of acetic anhydride was added and the mixture was stirred using a magnetic stirrer (SR-306, Advantec, Tokyo, Japan) at room temperature for 48 h. The reaction was quenched by spraying the mixture using a tapered pipette onto an ice bath, containing 350 g of crushed ice and 400 g of deionized water (DI-water) in a 1-L beaker, with vigorous stirring using a magnetic stirrer (RCN-7, Eyela, Tokyo, Japan) for 1 h at room temperature. The Ac-KL was collected by filtration using a nylon 66 membrane filter (47 mm diameter, 0.45 µm pore size, Alltech, Lexington, KY, USA). The Ac-KL on the filter was washed with sufficient DI-water and then dried in vacuo for 3 days in the presence of P2O5.
For the acetylation of MWLs, 50 mg of MWL was dissolved in 1 mL of pyridine and then 1 mL of acetic anhydride was added dropwise. For MWL precipitation, 17–18 g of crushed ice and 20 g of DI-water were used. The filtering, washing, and drying were carried out in the same manner as for Ac-KL.

3.6. Elemental Analysis

C, H, N, and S analysis was performed on moisture-free KL and MWL samples (MWL-aca and MWL-mhw) using an Elemental Analyzer (IT/Flash 2000, Thermo Fisher Scientific, Waltham, MA, USA) at the Center for University-wide Research Facility, Jeonbuk National University (CURF, JBNU). The oxygen composition was calculated as 100 − (C + H + N + S).

3.7. Determination of Molecular Weight (MW)

The average MW of lignins was determined by gel permeation chromatography (GPC). A 2 mg of Ac-lignin was dissolved in 1 mL of THF in a 10-mL conical beaker. The beaker was sonicated for 5 s and then filtered through a 0.45 μm PTFE syringe filter (Chemco Scientific, Cheongju, Korea). The filtrate was transferred into a 2-mL vial and diluted 10 times with THF. The GPC (Waters, Milford, MA, USA) was conducted at CURF under conditions shown in Table 9.

3.8. FT-IR Analysis

FT-IR analysis was performed on KL and MWL samples using the attenuated total reflection (ATR) method (4000–500 cm−1) with an FT-IR spectrophotometer (Frontier, Perkin Elmer, Shelton, CT, USA) at the CURF, JBNU.

3.9. 1H NMR Analysis

A 15 mg of the Ac-KL sample was dissolved in 0.4 mL of CDCl3 in a 10-mL conical beaker. The beaker was sonicated for 1–2 min to dissolve the sample. The mixture was filtered through a fine glass wool suspended inside a Pasteur pipette, which was directly connected to a clean NMR tube. The conical beaker was rinsed with additional 0.3 mL of CDCl3 and the contents were transferred as described in previous filtration method. An amount of 10 mg of sample was used for Ac-MWL, and the dissolution and filtration were carried out in the same manner as for the Ac-KL sample. The measurement was conducted using the NMR spectrometer (500 MHz FT-NMR, JNM-ECZ500R, JEOL, Tokyo, Japan) at the CURF, JBNU.

3.10. 13C NMR Analysis

For KL and MWL-mhw, 100 mg of sample was dissolved in 0.7 mL acetone-d6 and D2O (9:1) while for MWL-aca, a different solvent ratio, i.e., 8:2, was used. The filtration was carried out in the same manner as for 1H NMR samples. The measurement was conducted using the NMR spectrometer (500 MHz FT-NMR, JNM-ECZ500R, JEOL, Tokyo, Japan) at CURF, JBNU, and a minimum of 10,000 scans were collected.

4. Conclusions

KL had higher carbon content but lower oxygen and methoxyl contents than MWLs. The two MWLs, namely, MWL-aca and MWL-mhw, had almost similar elemental composition, methoxyl content, and C9 formula. KL had a Mw of about 1/4 and a Mn of 1/3–1/4 than that of Ac-MWLs. From the results of the elemental analysis, GPC, FT-IR, 1H NMR, and 13C NMR, it was confirmed that the aromatic nuclei and side chains of KL underwent severe structural modifications, such as γ-carbon cleavage, demethylation, and polycondensation reactions during kraft pulping. Aromatic content increased and aliphatic content decreased in KL. β-O-4 moieties were hardly detected since this linkage was extensively cleaved by nucleophilic attack of SH and OH during pulping. Therefore, these results could be the basis for future applications of KL produced in Korea.

Author Contributions

Investigation, formal analysis, writing—original draft preparation, J.-S.M.; investigation, formal analysis, writing—review and editing, J.A.P.; conceptualization, investigation, writing-review and editing, supervision, funding acquisition, S.-P.M. All authors have read and agreed to the published version of the manuscript.

Funding

This research was supported by the National Research Foundation of Korea (NRF) grant funded by the Korean government (MSIT) (No. 2020R1A2C2012356).

Institutional Review Board Statement

Not applicable.

Informed Consent Statement

Not applicable.

Data Availability Statement

Most of the data used during the preparation of the manuscript are included in the Results and Discussion sections.

Acknowledgments

The authors would like to acknowledge Moorim P&P Co., Ltd. for providing KL and wood chips. The authors would like to appreciate the technical assistance provided by the CURF, JBNU.

Conflicts of Interest

The authors declare no competing interest.

Sample Availability

Samples of the compounds are not available from the authors.

References

  1. Meister, J.J. Modification of lignin. J. Macromol. Sci. Polym. Rev. 2002, 42, 235–289. [Google Scholar] [CrossRef]
  2. Norgren, M.; Edlund, H. Lignin: Recent advances and emerging applications. Curr. Opin. Colloid Interface Sci. 2014, 19, 409–416. [Google Scholar] [CrossRef]
  3. Lora, J.H.; Glasser, W.G. Recent industrial applications of lignins; A sustainable alternative to non-renewable materials. J. Polym. Environ. 2002, 10, 39–48. [Google Scholar] [CrossRef]
  4. Tejado, A.; Pena, C.; Labidi, J.; Echeverria, J.M.; Mondragon, I. Physico-chemical characterization of lignins from different sources for use in phenol-formaldehyde resin synthesis. Bioresour. Technol. 2007, 98, 1655–1663. [Google Scholar] [CrossRef] [PubMed]
  5. Mancera, C.; Ferrando, F.; Salvadó, J.; El Mansouri, N.E. Kraft lignin behavior during reaction in an alkaline medium. Biomass Bioenergy 2011, 35, 2072–2079. [Google Scholar] [CrossRef]
  6. Mun, S.P. Utilization of lignin: Past, present, future. In Proceedings of the KTAPPI, Chuncheon, Korea, 24–25 October 2013; p. 34. [Google Scholar]
  7. Vishtal, A.; Kraslawski, A. Challenges in industrial applications of technical lignins. BioResources 2011, 6, 3547–3568. [Google Scholar] [CrossRef]
  8. Jardim, J.M.; Hart, P.W.; Lucia, L.; Jameel, H. Insights into the potential of hardwood kraft lignin to be a green platform material for emergence of the biorefinery. Polymers 2020, 12, 1795. [Google Scholar] [CrossRef]
  9. Fengel, D.; Wegner, G. Wood—Chemistry, Ultrastructure, Reactions, 1st ed.; Walter de Gruyter: Berlin, Germany, 1984; pp. 543–555. [Google Scholar]
  10. Hemmila, V.; Adamopoulos, S.; Karlsson, O.; Kumar, A. Development of sustainable bio-adhesives for engineered wood panels—A Review. RSC Adv. 2017, 7, 38604–38630. [Google Scholar] [CrossRef]
  11. Chang, Z.Z.; Yu, B.J.; Wang, C.Y. Lignin-derived hierarchical porous carbon for high-performance supercapacitors. J. Solid State Electrochem. 2016, 20, 1405–1412. [Google Scholar] [CrossRef]
  12. Che, C.; Vagin, M.; Wijeratne, K.; Zhao, D.; Warczak, M.; Jonsson, M.P.; Crispin, X. Conducting polymer electrocatalysts for proton coupled-electron transfer reactions: Toward organic fuel cells. Adv. Sustain. Syst. 2018, 2, 1800021. [Google Scholar] [CrossRef]
  13. Alinejad, M.; Henry, C.; Nikafshar, S.; Gondaliya, A.; Bagheri, S.; Chen, N.; Singh, S.K.; Hodge, D.B.; Nejad, M. Lignin-based polyurethanes: Opportunities for bio-based foams, elastomers, coatings and adhesives. Polymers 2019, 11, 1202. [Google Scholar] [CrossRef] [PubMed] [Green Version]
  14. Bengtsson, A.; Hecht, P.; Sommertune, J.; Ek, M.; Sedin, M.; Sjöholm, E. Carbon fibers from lignin-cellulose precursors: Effect of carbonization conditions. ACS Sustain. Chem. Eng. 2020, 8, 6826–6833. [Google Scholar] [CrossRef]
  15. Abreu, H.D.S.; Freire, M.D.F.I. Methoxyl content determination of lignins by 1H NMR. An. Acad. Bras. Ciênc. 1995, 67, 379–382. [Google Scholar]
  16. Robert, D.R.; Bardet, M.; Gellerstedt, G.; Lindfors, E.L. Structural changes in lignin during kraft cooking Part 3. On the structure of dissolved lignins. J. Wood Chem. Technol. 1984, 4, 239–263. [Google Scholar] [CrossRef]
  17. Sameni, J.; Krigstin, S.; Sain, M. Characterization of lignins isolated from industrial residues and their beneficial uses. BioResources 2016, 11, 8435–8456. [Google Scholar] [CrossRef] [Green Version]
  18. Gierer, J.; Lenz, B.; Wallin, N. The reactions of lignin during sulphate cooking. Part, V. Model experiments on the splitting of aryl-alkyl ether linkages by 2N sodium hydroxide and by white liquor. Acta Chem. Scand. 1964, 18, 1469–1476. [Google Scholar] [CrossRef]
  19. Santos, R.B.; Hart, P.W.; Jameel, H. Wood based lignin reactions important to the biorefinery and pulp and paper industries. BioResources 2013, 8, 1456–1477. [Google Scholar] [CrossRef] [Green Version]
  20. Johansson, B.; Miksche, G.E. Über das verhalten des lignins bei der alkalikochung. IV. Der alkalische abbau von arylglycerin-β-arlyätherstrukturen versuche am isoeugenolglykol-β-(2-methoxyphenyl)-äther. Acta Chem. Scand. 1969, 23, 924–930. [Google Scholar] [CrossRef]
  21. Sarkanen, K.V.; Chirkin, G.; Hrutfiord, B.F. Base-catalyzed hydrolysis of aromatic ether linkages in lignin: 1. The rate of hydrolysis of methoxyl groups by sodium hydroxide. TAPPI J. 1963, 46, 375. [Google Scholar]
  22. Tolbert, A.; Akinosho, H.; Khunsupat, R. Characterization and analysis of the molecular weight of lignin for biorefining studies. Biofuel Bioprod. Biorefin. 2014, 8, 836–856. [Google Scholar] [CrossRef]
  23. Faix, O. Classification of lignins from different botanical origins by FT-IR spectroscopy. Holzforschung 1991, 45, 21–27. [Google Scholar] [CrossRef]
  24. Lundquist, K. NMR studies on lignin. 2. Interpretation of the 1H NMR spectrum of acetylated birch lignin. Acta Chem. Scand. B 1979, 33, 27–30. [Google Scholar] [CrossRef]
  25. Lundquist, K. NMR studies on lignin. 4. Investigation of spruce lignin by 1H NMR spectroscopy. Acta Chem. Scand. B 1980, 34, 21–26. [Google Scholar] [CrossRef]
  26. Jahan, M.S.; Mun, S.P. Characteristics of dioxane lignins isolated at different ages of nalita wood (Trema orientalis). J. Wood Chem. Technol. 2007, 27, 83–98. [Google Scholar] [CrossRef]
  27. Lüdemann, H.-D.; Nimz, H. Carbon-13 nuclear magnetic resonance spectra of lignins. Biochem. Biophys. Res. Commun. 1973, 52, 1162–1169. [Google Scholar] [CrossRef]
  28. Chen, C.L.; Robert, D. Characterization of lignin by 1H and 13C NMR spectroscopy. In Methods in Enzymology, Biomass, Part B: Lignin, Pectin, and Chitin, 1st ed.; Wood, W., Kellogg, S., Eds.; Academic Press: New York, NY, USA, 1988; Volume 161, pp. 137–158. [Google Scholar]
  29. Nimz, H.H.; Robert, D.; Faix, O.; Nemr, M. 13C NMR spectra of lignins, 8. Structural differences between lignins of hardwoods, softwoods, grasses and compression wood. Holzforschung 1981, 35, 16–26. [Google Scholar] [CrossRef]
  30. TAPPC. TAPPI T 222 om-02, Acid-Insoluble Lignin in Wood and Pulp, TAPPI Test Methods. 2006. Available online: http://tappi.org/content/SARG/T222.pdf (accessed on 15 March 2021).
  31. TAPPC. TAPPI UM 250, Acid-soluble lignin in wood and pulp. In TAPPI Useful Methods; TAPPI Press: Atlanta, GA, USA, 1991. [Google Scholar]
  32. Björkman, A. Isolation of lignin from finely divided wood with neutral solvents. Nature 1954, 174, 1057–1058. [Google Scholar] [CrossRef]
Figure 1. Behavior of β-O-4 linkages during kraft pulping.
Figure 1. Behavior of β-O-4 linkages during kraft pulping.
Molecules 26 04861 g001
Figure 2. MW distribution of Ac-KL and Ac-MWLs.
Figure 2. MW distribution of Ac-KL and Ac-MWLs.
Molecules 26 04861 g002
Figure 3. FT-IR ATR spectra of KL and MWLs.
Figure 3. FT-IR ATR spectra of KL and MWLs.
Molecules 26 04861 g003
Figure 4. 1H NMR spectra of Ac-lignins.
Figure 4. 1H NMR spectra of Ac-lignins.
Molecules 26 04861 g004
Figure 5. 13C NMR spectra of KL and MWLs.
Figure 5. 13C NMR spectra of KL and MWLs.
Molecules 26 04861 g005
Figure 6. Lignin substructures (15) and side chains (615) corresponding to 13C NMR assignments.
Figure 6. Lignin substructures (15) and side chains (615) corresponding to 13C NMR assignments.
Molecules 26 04861 g006
Table 1. Chemical composition of wood meals used in MWL preparation.
Table 1. Chemical composition of wood meals used in MWL preparation.
Acacia spp.Mixed Hardwood
Alcohol-benzene extract (%)1.511.60
Lignin (%)
Klason24.69 ± 0.1121.23 ± 0.25
Acid-soluble2.21 ± 0.013.53 ± 0.09
Total26.90 ± 0.1124.76 ± 0.25
Table 2. Elemental analyses and methoxyl contents of KL and MWLs.
Table 2. Elemental analyses and methoxyl contents of KL and MWLs.
Lignin
Type
Elemental Analyses (%)
CHONSOCH3
KL 63.125.6728.780.481.9619.80
MWL-aca57.345.6237.04--21.92
MWL-mhw57.385.7536.710.16-21.75
Methoxyl content was calculated by the integrations of the aromatic and methoxyl signals in 1H NMR spectrum [15].
Table 3. C9 formula, C9 MW, and DBE of KL and MWLs.
Table 3. C9 formula, C9 MW, and DBE of KL and MWLs.
Lignin TypeC9 FormulaC9 MW (Da)DBE *
KLC9H7.29O2.26N0.07S0.12(OCH3)1.24194.95.74
MWL-acaC9H7.61O3.56(OCH3)1.56221.25.42
MWL-mhwC9H7.93O3.52N0.03(OCH3)1.55220.95.26
* DBE: double bond equivalent.
Table 4. Average MW and PDI of Ac-KL and Ac-MWL.
Table 4. Average MW and PDI of Ac-KL and Ac-MWL.
Mw (Da)Mn (Da)PDI
Ac-KL304116511.8
Ac-MWL-aca11,89844162.7
Ac-MWL-mhw13,31456572.4
Table 5. Assignment of FT-IR spectra of KL and MWLs.
Table 5. Assignment of FT-IR spectra of KL and MWLs.
Peak Range, cm−1AssignmentKLMWL-acaMWL-mhw
3412–3460O–H stretching
2842–3000C–H stretching in methyl, methylene, and methine groups2916–28492938–28442939–2844
1709–1738C=O stretching in unconjugated ketone and ester group1731, 170717231721
1655–1675C=O stretching in conjugated p-substituted aryl ketone-16631660
1593–1605Aromatic skeleton vibration plus C=O stretching; S > G: Gcondensed > Getherified160315921592
1505–1515Aromatic skeleton vibration (G > S)151315051505
1460–1470C–H deformations (asymm in –CH3 and –CH2–)145714621457
1422–1430Aromatic skeleton vibration combined with C-H in plane deformations142214201421
1365–1370Aliphatic C–H stretching in CH3 and phenolic OH-13691367
1325–1330Condensed S and G ring (G ring bound via position 5)132013281327
1266–1270G ring plus C + O stretching (G-methoxyl C–O)126712661265
1221–1230C–C + C–O + C=O stretching (Gcondensed > Getherified)121012211223
1116Typical for HGS lignins; C=O in ester groups (conj.)111011231120
1086C–O deformation in sec-alcohols and aliphatic ether-10891084
1030–1035Aromatic C–H in-plane deformation (G > S) + C-O deformation in primary alcohols + C–H stretching (unconjugated)103410291029
915–925C–H out of plane (aromatic ring)914-920
834–835C–H out of plane in positions (2 and 6 of S units)-834-
817–832C–H out of plane in positions (2, 5, and 6 of G units)827-832
Table 6. 1H NMR assignments and distribution of protons per C9 structural unit of acetylated lignins.
Table 6. 1H NMR assignments and distribution of protons per C9 structural unit of acetylated lignins.
Range, ppmMain AssignmentsProtons per C9 Units
Ac-KLAc-MWL-acaAc-MWL-mhw
7.20–6.80 *Aromatic proton in G units0.370.840.57
6.80–6.25Aromatic proton in S units0.520.720.84
6.25–5.75Hα of β-O-4 and β-1 structures-0.310.33
4.90–4.30Hα & Hβ of β-O-4 structures0.171.091.09
4.30–4.00Hα of β-β structures, H of xylan residues0.250.850.83
4.00–3.48H of methoxyl groups3.724.684.65
2.50–2.22H of phenolic acetates2.540.650.83
2.22–1.60H of aliphatic acetates2.225.335.42
1.40–0.70Hydrocarbon 0.760.310.19
* From reference it was 7.25–6.80 but CDCl3 solvent peak was detected at 7.24, thus the range was shifted.
Table 7. Estimation of S units, G units, and S/G ratio in terms of moles and percentage.
Table 7. Estimation of S units, G units, and S/G ratio in terms of moles and percentage.
C9 UnitsIn molIn %
Ac-KLAc-MWL-acaAc-MWL-mhwAc-KLAc-MWL-acaAc-MWL-mhw
G2.986.774.5946.959.245.5
S3.374.675.4553.140.854.5
S/G1.130.691.19
Table 8. 13C NMR assignment of KL and MWLs.
Table 8. 13C NMR assignment of KL and MWLs.
Peak, ppmIntensityAssignment
KLMWL-acaMWL-mhw
195.7vwvwvwCγHO (7), Cα (15)
192.6vwvwvwCαHO (9)
171.5-wmAcetyl C=O in alcohols/phenols
162.5-mmC-4 in p-hydroxybenzoate
153.4wsvsC-3/C-5 (3b)
150.2-wwC-4 (2b), C-3 (2d)
148.2vsmmC-3 (2a,2b,2e,2f), C-3/C-5 (3a), C-3 (5)
146.3wwwC-4 (2a), Cα (6)
144.6wwwC-4 (4)
138.5-mmC-1/C-4 (3b)
135.4-mmC-1 (2b), C4 (3a)
133.6swwC-1 (1a,2a,3a)
132.5swwCβ (7)
129.9mvwvwC-1 (2e,4)
129.0wvwvwC-2/C-6 (1), Cβ (8)
126.6m--C-6 (2d)
120.3mmmC-6 (2a,2b)
115.5smmC-5 (2a,2b), C-3/C-5 (1)
111.9wmmC-2 (2a,2b)
109.9w--C-6 (2a,2b)
107.0wwwC-2/C-6 (3c,3d)
104.9–103.8smsC-2/C-6 (3a,3b)
88.1-wwCα (12)
86.6-wmCα (13), Cβ (10)
86.3-wmCβ (10)
83.4–81.0-wwCβ (15)
75.0wwwCα (11)
73.3wssCα (10, 13, 15)
63.6wssCβ (11), Cγ (8,11,12,15)
61.2-ssCγ (10)
56.4vsvsvsOCH3
20.8vwwmCH3 in acetyl
Table 9. Analysis conditions for GPC.
Table 9. Analysis conditions for GPC.
GPC ConfigurationWaters (Acquity APC) System, Milford, MA, USA
ColumnsAcquity APC 2.5 µm XT 125 (4.6 × 150 mm, Waters, Dublin, Ireland),
Acquity APC 1.7 µm XT 45 (4.6 × 150 mm, Waters, Dublin, Ireland)
Flow rate0.6 mL/min
Sample injection volume10 μL
EluentTHF
Column oven temperature30 °C
DetectorUV (254 nm: polystyrene standards; 280 nm: samples)
Analysis time10 min
MW polystyrene standardsBlue: 66,000—15,700—3470—474 Da
White: 35,500—9130—2280—266 Da
Publisher’s Note: MDPI stays neutral with regard to jurisdictional claims in published maps and institutional affiliations.

Share and Cite

MDPI and ACS Style

Mun, J.-S.; Pe, J.A., III; Mun, S.-P. Chemical Characterization of Kraft Lignin Prepared from Mixed Hardwoods. Molecules 2021, 26, 4861. https://doi.org/10.3390/molecules26164861

AMA Style

Mun J-S, Pe JA III, Mun S-P. Chemical Characterization of Kraft Lignin Prepared from Mixed Hardwoods. Molecules. 2021; 26(16):4861. https://doi.org/10.3390/molecules26164861

Chicago/Turabian Style

Mun, Ji-Sun, Justin Alfred Pe, III, and Sung-Phil Mun. 2021. "Chemical Characterization of Kraft Lignin Prepared from Mixed Hardwoods" Molecules 26, no. 16: 4861. https://doi.org/10.3390/molecules26164861

APA Style

Mun, J.-S., Pe, J. A., III, & Mun, S.-P. (2021). Chemical Characterization of Kraft Lignin Prepared from Mixed Hardwoods. Molecules, 26(16), 4861. https://doi.org/10.3390/molecules26164861

Article Metrics

Back to TopTop