Highly Sensitive and Selective Eco-Toxic 4-Nitrophenol Chemical Sensor Based on Ag-Doped ZnO Nanoflowers Decorated with Nanosheets
Abstract
:1. Introduction
2. Results and Discussion
2.1. Characterizations and Properties of Ag-Doped ZnO Nanoflowers Decorated with Nanosheets
2.2. Electrochemical Activity of Ag-ZnO/GCE Electrode
2.3. Sensing Applications of Ag-Doped ZnO Nanoflowers
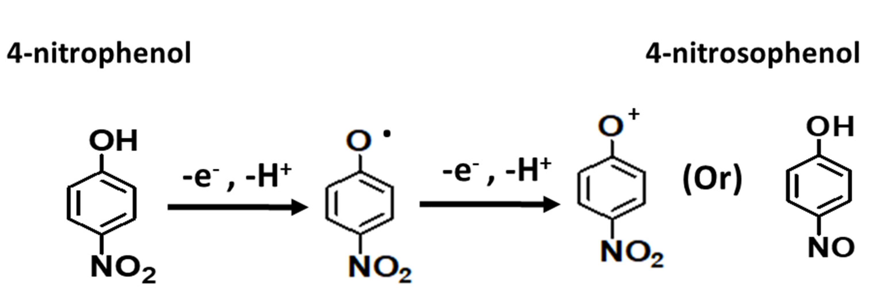
2.4. Linear Sweep Voltammetry (LSV) Analysis of 4-NP
3. Experimental Details
3.1. Materials
3.2. Synthesis of Ag-Doped Zno Nanoflowers Decorated with Nanosheets
3.3. Characterizations of Ag-Doped ZnO Nanoflowers Decorated with Nanosheets
3.4. Electrochemical Sensing Applications of Ag-Doped ZnO Nanoflowers Decorated with Nanosheets
Fabrication of a Ag-Doped ZnO Nanoflowers-Modified Electrode
4. Conclusions
Author Contributions
Funding
Institutional Review Board Statement
Informed Consent Statement
Data Availability Statement
Acknowledgments
Conflicts of Interest
Sample Availability
References
- Aditya, T.; Pal, A.; Pal, T. Nitroarene reduction: A trusted model reaction to test nanoparticle catalysts. Chem. Commun. 2015, 51, 9410–9431. [Google Scholar] [CrossRef]
- Sangili, A.; Annalakshmi, M.; Chen, S.M.; Balasubramanian, P.; Sundrarajan, M. Synthesis of silver nanoparticles decorated on core-shell structured tannic acid-coated iron oxide nanospheres for excellent electrochemical detection and efficient catalytic reduction of hazardous 4-nitrophenol. Compos. Part B Eng. 2019, 162, 33–42. [Google Scholar] [CrossRef]
- Yin, H.; Zhou, Y.; Ai, S.; Liu, X.; Zhu, L.; Lu, L. Electrochemical oxidative determination of 4-nitrophenol based on a glassy carbon electrode modified with a hydroxyapatite nanopowder. Microchim. Acta 2010, 169, 87–92. [Google Scholar] [CrossRef]
- Rahman, M.M.; Wahid, A.; Alam, M.M.; Asiri, A.M. Efficient 4-Nitrophenol sensor development based on facile Ag@ Nd2O3 nanoparticles. Mater. Today Commun. 2018, 16, 307–313. [Google Scholar] [CrossRef]
- Ramu, A.G.; Kumari, M.A.; Elshikh, M.S.; Alkhamis, H.H.; Alrefaei, A.F.; Choi, D. A facile and green synthesis of CuO/NiO nanoparticles and their removal activity of toxic nitro compounds in aqueous medium. Chemosphere 2021, 271, 129475. [Google Scholar] [CrossRef]
- Gopi, S.; Giribabu, K.; Kathiresan, M. Porous organic polymer-derived carbon composite as a bimodal catalyst for oxygen evolution reaction and nitrophenol reduction. ACS Omega 2018, 3, 6251–6258. [Google Scholar] [CrossRef]
- Ramu, A.G.; Salla, S.; Gopi, S.; Silambarasan, P.; Yang, D.J.; Song, M.J.; Ali, H.M.; Salem, M.Z.; Choi, D. Surface-tuned hierarchical ɤ-Fe2O3–N-rGO nanohydrogel for efficient catalytic removal and electrochemical sensing of toxic nitro compounds. Chemosphere 2021, 268, 128853. [Google Scholar] [CrossRef]
- Ramu, A.G.; Salla, S.; Chandrasekaran, S.; Silambarasan, P.; Gopi, S.; Seo, S.Y.; Yun, K.; Choi, D. A facile synthesis of metal ferrites and their catalytic removal of toxic nitro-organic pollutants. Environ. Pollut. 2021, 270, 116063. [Google Scholar] [CrossRef]
- Gopi, S.; Perumal, S.; Al Olayan, E.M.; AlAmri, O.D.; Aloufi, A.S.; Kathiresan, M.; Yun, K. 2D Trimetal-organic framework derived metal carbon hybrid catalyst for urea electro-oxidation and 4-nitrophenol reduction. Chemosphere 2021, 267, 129243. [Google Scholar] [CrossRef]
- Liu, B.; Wang, T.; Yin, C.; Wei, Z. Electrochemical analysis of p-nitrophenol in acidic or alkaline medium using silver nanoparticle decorated multi-walled carbon nanotubes. J. Mater. Sci. 2014, 49, 5398–5405. [Google Scholar] [CrossRef]
- Liu, L.; Chen, R.; Liu, W.; Wu, J.; Gao, D. Catalytic reduction of 4-nitrophenol over Ni-Pd nanodimers supported on nitrogen-doped reduced graphene oxide. J. Hazard. Mater. 2016, 320, 96–104. [Google Scholar] [CrossRef]
- Xiao, N.; Liu, S.G.; Mo, S.; Li, N.; Ju, Y.J.; Ling, Y.; Li, N.B.; Luo, H.Q. Highly selective detection of p-nitrophenol using fluorescence assay based on boron, nitrogen co-doped carbon dots. Talanta 2018, 184, 184–192. [Google Scholar] [CrossRef]
- Yu, H.; Merib, J.; Anderson, J.L. Crosslinked polymeric ionic liquids as solid-phase microextraction sorbent coatings for high performance liquid chromatography. J. Chromatogr. A 2016, 1438, 10–21. [Google Scholar] [CrossRef] [PubMed] [Green Version]
- Padilla-Sánchez, J.A.; Plaza-Bolaños, P.; Romero-González, R.; Garrido-Frenich, A.; Vidal, J.L.M. Application of a quick, easy, cheap, effective, rugged and safe-based method for the simultaneous extraction of chlorophenols, alkylphenols, nitrophenols and cresols in agricultural soils, analyzed by using gas chromatography–triple quadrupole-mass spectrometry/mass spectrometry. J. Chromatogr. A 2010, 1217, 5724–5731. [Google Scholar] [PubMed]
- Guo, X.; Wang, Z.; Zhou, S. The separation and determination of nitrophenol isomers by high-performance capillary zone electrophoresis. Talanta 2004, 64, 135–139. [Google Scholar] [CrossRef] [PubMed]
- Barman, K.; Changmai, B.; Jasimuddin, S. Electrochemical detection of Para-nitrophenol using copper metal nanoparticles modified gold electrode. Electroanalysis 2017, 29, 2780–2787. [Google Scholar] [CrossRef]
- da Silva, P.S.; Gasparini, B.C.; Magosso, H.A.; Spinelli, A. Gold nanoparticles hosted in a water-soluble silsesquioxane polymer applied as a catalytic material onto an electrochemical sensor for detection of nitrophenol isomers. J. Hazard. Mater. 2014, 273, 70–77. [Google Scholar] [CrossRef]
- Theerthagiri, J.; Salla, S.; Senthil, R.A.; Nithyadharseni, P.; Madankumar, A.; Arunachalam, P.; Maiyalagan, T.; Kim, H.S. A review on ZnO nanostructured materials: Energy, environmental and biological applications. Nanotechnology 2019, 30, 392001. [Google Scholar] [CrossRef]
- Arruebo, M.; Fernandez-Pacheco, R.; Irusta, S.; Arbiol, J.; Ibarra, M.R.; Santamaría, J. Sustained release of doxorubicin from zeolite–magnetite nanocomposites prepared by mechanical activation. Nanotechnology 2006, 17, 4057. [Google Scholar] [CrossRef]
- Govindhan, M.; Lafleur, T.; Adhikari, B.R.; Chen, A. Electrochemical sensor based on carbon nanotubes for the simultaneous detection of phenolic pollutants. Electroanalysis 2015, 27, 902–909. [Google Scholar] [CrossRef]
- Wei, Y.; Kong, L.T.; Yang, R.; Wang, L.; Liu, J.H.; Huang, X.J. Single-walled carbon nanotube/pyrenecyclodextrin nanohybrids for ultrahighly sensitive and selective detection of p-nitrophenol. Langmuir 2011, 27, 10295–10301. [Google Scholar] [CrossRef] [PubMed]
- Zhang, X.F.; Liu, Z.G.; Shen, W.; Gurunathan, S. Silver nanoparticles: Synthesis, characterization, properties, applications, and therapeutic approaches. Int. J. Mol. Sci. 2016, 17, 1534. [Google Scholar] [CrossRef] [PubMed]
- Umar, A.; Ibrahim, A.A.; Kumar, R.; Algadi, H.; Albargi, H.; Alsairi, M.A.; Alhmami, M.A.; Zeng, W.; Ahmed, F.; Akbar, S. CdO–ZnO nanorices for enhanced and selective formaldehyde gas sensing applications. Environ. Res. 2021, 111377. [Google Scholar] [CrossRef] [PubMed]
- Cheng, H.; Zhou, Z.; Qin, D.; Huang, W.; Feng, J.; Tang, T.; Hu, G.; Li, L. Electrochemical Sensor Based on Electrospun Three-Dimensional Carbon Nanofibers to Determine Trace Levels of Cu(II). Sci. Adv. Mater. 2020, 12, 693–700. [Google Scholar] [CrossRef]
- Kumar, R.; Umar, A.; Kumar, R.; Chauhan, M.S.; Al-Hadeethi, Y. ZnO–SnO2 nanocubes for fluorescence sensing and dye degradation applications. Ceram. Int. 2021, 47, 6201–6210. [Google Scholar] [CrossRef]
- Hong, C.; Zhou, Q.; Lu, Z.; Umar, A.; Kumar, R.; Wei, Z.; Wu, X.; Xu, L.; Kim, S.H. Ag-doped ZnO nanoellipsoids based highly sensitive gas sensor. Mater. Express 2017, 7, 380–388. [Google Scholar] [CrossRef]
- Al-Hadeethi, Y.; Umar, A.; Ibrahim, A.A.; Al-Heniti, S.H.; Kumar, R.; Baskoutas, S.; Raffah, B.M. Synthesis, characterization and acetone gas sensing applications of Ag-doped ZnO nanoneedles. Ceram. Int. 2017, 43, 6765–6770. [Google Scholar] [CrossRef]
- Kumar, R.; Rana, D.; Umar, A.; Sharma, P.; Chauhan, S.; Chauhan, M.S. Ag-doped ZnO nanoellipsoids: Potential scaffold for photocatalytic and sensing applications. Talanta 2015, 137, 204–213. [Google Scholar] [CrossRef] [PubMed]
- Kumar, M.; Chauhan, M.S.; Akhtar, M.S.; Umar, A. Effect of cerium ions in Ce-Doped ZnO nanostructures on their photocatalytic and picric acid chemical sensing. Ceram. Int. 2021, 47, 3089–3098. [Google Scholar] [CrossRef]
- Patil, S.S.; Mali, M.G.; Tamboli, M.S.; Patil, D.R.; Kulkarni, M.V.; Yoon, H.; Kim, H.; Al-Deyab, S.S.; Yoon, S.S.; Kolekar, S.S.; et al. Green approach for hierarchical nanostructured Ag-ZnO and their photocatalytic performance under sunlight. Catal. Today 2016, 260, 126–134. [Google Scholar] [CrossRef]
- Subhan, M.A.; Awal, M.R.; Ahmed, T.; Younus, M. Photocatalytic and antibacterial activities of Ag/ZnO nanocomposities fabricated by co-precipitation method. Acta Met. Sin. (Engl. Lett.) 2014, 27, 223–232. [Google Scholar] [CrossRef]
- Shin, M.H.; Park, M.S.; Jung, S.H.; Boo, J.H.; Lee, N.E. Effect of doping elements on ZnO etching characteristics with CH4/H2/Ar plasma. Thin Solid Film. 2007, 515, 4950–4954. [Google Scholar] [CrossRef]
- Thomas, M.A.; Sun, W.W.; Cui, J.B. Mechanism of Ag doping in ZnO nanowires by electrodeposition: Experimental and theoretical insights. J. Phys. Chem. C 2012, 116, 6383–6391. [Google Scholar] [CrossRef]
- Wang, Z.G.; Zu, X.T.; Yang, S.Z.; Wang, L.M. Blue luminescence from carbon modified ZnO nanoparticles. J. Mater. Sci. 2006, 41, 3729–3733. [Google Scholar] [CrossRef]
- Armelao, L.; Fabrizio, M.; Gialanella, S.; Zordan, F. Sol–gel synthesis and characterisation of ZnO-based nanosystems. Thin Solid Film. 2001, 394, 89–95. [Google Scholar] [CrossRef]
- Arvinte, A.; Mahosenaho, M.; Pinteala, M.; Sesay, A.M.; Virtanen, V. Electrochemical oxidation of p-nitrophenol using graphene-modified electrodes, and a comparison to the performance of MWNT-based electrodes. Microchim. Acta 2011, 174, 337–343. [Google Scholar] [CrossRef]
- Jiang, P.; Zhou, J.; Zhang, A.; Zhong, Y. Electrochemical degradation of p-nitrophenol with different processes. J. Environ. Sci. 2010, 22, 500–506. [Google Scholar] [CrossRef]
- Perumal, S.; Moon, I.S. Sustainable NO removal and its sensitive monitoring at room temperature by electrogenerated Ni(I) electron mediator. Chemosphere 2021, 265, 129122. [Google Scholar] [CrossRef] [PubMed]
- Silambarasan, P.; Moon, I.S. Real-time monitoring of chlorobenzene gas using an electrochemical gas sensor during mediated electrochemical degradation at room temperature. J. Electroanal. Chem. 2021, 894, 115372. [Google Scholar] [CrossRef]
- Tang, Y.; Huang, R.; Liu, C.; Yang, S.; Lu, Z.; Luo, S. Electrochemical detection of 4-nitrophenol based on a glassy carbon electrode modified with a reduced graphene oxide/Au nanoparticle composite. Anal. Methods. 2013, 5, 5508–5514. [Google Scholar] [CrossRef]
- Zhang, C.; Govindaraju, S.; Giribabu, K.; Huh, Y.S.; Yun, K. AgNWs-PANI nanocomposite based electrochemical sensor for detection of 4-nitrophenol. Sens. Actuators B Chem. 2017, 252, 616–623. [Google Scholar] [CrossRef]
- Gerent, G.G.; Spinelli, A. Magnetite-platinum nanoparticles-modified glassy carbon electrode as electrochemical detector for nitrophenol isomers. J. Hazard. Mater. 2017, 330, 105–115. [Google Scholar] [CrossRef] [PubMed]
- Ikhsan, N.I.; Rameshkumar, P.; Huang, N.M. Controlled synthesis of reduced graphene oxide supported silver nanoparticles for selective and sensitive electrochemical detection of 4-nitrophenol. Electrochim. Acta 2016, 192, 392–399. [Google Scholar] [CrossRef]













| Electrode | Method | Detection Potential (V) | Linear Range (µM) | LOD (µM) | Ref. |
|---|---|---|---|---|---|
| AuNP/RGO | DPV | −0.6 | 0.05–2.0 | 0.01 | 40 |
| Ag NWs-PANI | DPV | −0.77 | 0.6–32 | 0.052 | 41 |
| GCE/Fe3O4-Pt | DPV | −0.73 | 0.1–1.5 | 0.048 | 42 |
| Ag/RGO | SWV | −0.5 | 10–101 | 0.0012 | 43 |
| ɤ-Fe2O3-N-rGO hydrogel | DPV | −0.3, −0.6 | 1–1000 | 0.1 | 7 |
| Ag-ZnO/GCE | LSV | 0.96 | 10–500 | 3 | This work |
Publisher’s Note: MDPI stays neutral with regard to jurisdictional claims in published maps and institutional affiliations. |
© 2021 by the authors. Licensee MDPI, Basel, Switzerland. This article is an open access article distributed under the terms and conditions of the Creative Commons Attribution (CC BY) license (https://creativecommons.org/licenses/by/4.0/).
Share and Cite
Umar, A.; Akhtar, M.S.; Algadi, H.; Ibrahim, A.A.; Alhamami, M.A.M.; Baskoutas, S. Highly Sensitive and Selective Eco-Toxic 4-Nitrophenol Chemical Sensor Based on Ag-Doped ZnO Nanoflowers Decorated with Nanosheets. Molecules 2021, 26, 4619. https://doi.org/10.3390/molecules26154619
Umar A, Akhtar MS, Algadi H, Ibrahim AA, Alhamami MAM, Baskoutas S. Highly Sensitive and Selective Eco-Toxic 4-Nitrophenol Chemical Sensor Based on Ag-Doped ZnO Nanoflowers Decorated with Nanosheets. Molecules. 2021; 26(15):4619. https://doi.org/10.3390/molecules26154619
Chicago/Turabian StyleUmar, Ahmad, M. Shaheer Akhtar, Hassan Algadi, Ahmed A. Ibrahim, Mohsen A. M. Alhamami, and Sotirios Baskoutas. 2021. "Highly Sensitive and Selective Eco-Toxic 4-Nitrophenol Chemical Sensor Based on Ag-Doped ZnO Nanoflowers Decorated with Nanosheets" Molecules 26, no. 15: 4619. https://doi.org/10.3390/molecules26154619
APA StyleUmar, A., Akhtar, M. S., Algadi, H., Ibrahim, A. A., Alhamami, M. A. M., & Baskoutas, S. (2021). Highly Sensitive and Selective Eco-Toxic 4-Nitrophenol Chemical Sensor Based on Ag-Doped ZnO Nanoflowers Decorated with Nanosheets. Molecules, 26(15), 4619. https://doi.org/10.3390/molecules26154619

