4,5,6,7-Tetrahydroindol-4-Ones as a Valuable Starting Point for the Synthesis of Polyheterocyclic Structures
Abstract
:1. Introduction
2. Synthesis of 4,5,6,7-Tetrahydroindol-4-One Analogs
3. Synthesis of [1,2]-Fused Polyheterocyclic Structures
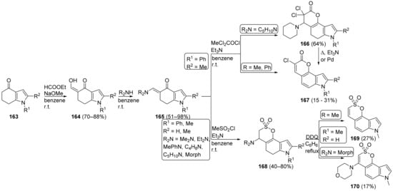
3.1. Five-Membered Rings
3.1.1. Electrophilic Aromatic Substitution
3.1.2. C-H Activation
3.2. Six-Membered Rings
3.2.1. Substitution
3.2.2. C-H Activation
3.3. Seven-Membered Rings
Substitution
4. Synthesis of [2,3]-Fused Polyheterocyclic Structures
4.1. Five-Membered Rings
4.2. Six-Membered Rings
4.2.1. Rearrangement
4.2.2. Electrophilic Aromatic Substitutions
4.2.3. C-H Activation
5. Synthesis of [3,4]-Fused Polyheterocyclic Structures
5.1. Five-Membered Rings
5.2. Six-Membered Rings
5.2.1. Condensation Reactions
5.2.2. C-H Activation
5.3. Seven-Membered Rings
6. Synthesis of [4,5]-Fused Polyheterocyclic Structures
6.1. Five-Membered Rings
6.1.1. Hantsch Thiazole Synthesis
6.1.2. [4 + 1] Paal-Knorr Type Syntheses from 1,4-Diketones
6.1.3. [3 + 2 ] Paal-Knorr Type Syntheses from 1,3-Dicarbonyls
6.1.4. [3,3]-Sigmatropic Rearrangements
6.1.5. 1,3-Dipolar Cycloaddition
6.2. Six-Membered Rings
6.2.1. [4 + 2]-Cycloadditions
6.2.2. Multistep Condensation Reactions
7. Synthesis of Spiro Compounds
8. Miscellaneous
Rearrangements
9. Conclusions
Author Contributions
Funding
Data Availability Statement
Conflicts of Interest
Sample Availability
References
- Colasanti, B.K. Chapter 25 Antipsychotic drugs. In Principles of Medical Biology; Bittar, E., Bittar, N., Eds.; Elsevier: Amsterdam, The Netherlands, 2000; pp. 585–609. ISBN 978-155-938-819-1. [Google Scholar]
- Kamel, A.; Obach, R.S.; Tseng, E.; Sawant, A. Metabolism, pharmacokinetics and excretion of the GABA A receptor partial agonist [ 14 C]CP-409,092 in rats. Xenobiotica 2010, 40, 400–414. [Google Scholar] [CrossRef] [PubMed]
- Zapf, C.W.; Bloom, J.D.; Li, Z.; Dushin, R.G.; Nittoli, T.; Otteng, M.; Nikitenko, A.; Golas, J.M.; Liu, H.; Lucas, J.; et al. Discovery of a stable macrocyclic o-aminobenzamide Hsp90 inhibitor which significantly decreases tumor volume in a mouse xenograft model. Bioorg. Med. Chem. Lett. 2011, 21, 4602–4607. [Google Scholar] [CrossRef]
- Lee, Y.-J.; Kim, S.; Choi, H.; Lee, H.-S.; Lee, J.; Shin, H.; Lee, J. Cytotoxic Furan- and Pyrrole-Containing Scalarane Sesterterpenoids Isolated from the Sponge Scalarispongia sp. Molecules 2019, 24, 840. [Google Scholar] [CrossRef] [Green Version]
- Hofmann, A.; Heim, R.; Brack, A.; Kobel, H.; Frey, A.; Ott, H.; Petrzilka, T.; Troxler, F. Psilocybin und Psilocin, zwei psychotrope Wirkstoffe aus mexikanischen Rauschpilzen. Helv. Chim. Acta 1959, 42, 1557–1572. [Google Scholar] [CrossRef]
- Chadha, N.; Silakari, O. Indoles as therapeutics of interest in medicinal chemistry: Bird’s eye view. Eur. J. Med. Chem. 2017, 134, 159–184. [Google Scholar] [CrossRef] [PubMed]
- Nenitzescu, C.D.; Scortzbanu, V. Derivatives of Bz-tetrahydroindole. II. Some derivatives of 4,5,6,7-tetrahydro-3,6,6-trimethyl-4- ketoindole. Bull. Soc. Chim. Rom. 1928, 10, 134–140. [Google Scholar]
- Knorr, L. Synthese von Pyrrolderivaten. Berichte Der Dtsch. Chem. Ges. 1884, 17, 1635–1642. [Google Scholar] [CrossRef] [Green Version]
- Bhat, S.I.; Trivedi, D.R. A catalyst- and solvent-free three-component reaction for the regioselective one-pot access to polyfunctionalized pyrroles. Tetrahedron Lett. 2013, 54, 5577–5582. [Google Scholar] [CrossRef]
- Bobbitt, J.M.; Dutta, C.P. An intramolecular, aldehyde–enamine condensation. Chem. Commun. 1968, 1429. [Google Scholar] [CrossRef]
- Bobbitt, J.M.; Kulkarni, C.L.; Dutta, C.P.; Kofod, H. Kaolin Ng Chiong Syntheses of indoles and carbolines via aminoacetaldehyde acetals. J. Org. Chem. 1978, 43, 3541–3544. [Google Scholar] [CrossRef]
- Bellur, E.; Langer, P. Synthesis of functionalized pyrroles and 6,7-dihydro-1H-indol-4(5H)-ones by reaction of 1,3-dicarbonyl compounds with 2-azido-1,1-diethoxyethane. Tetrahedron Lett. 2006, 47, 2151–2154. [Google Scholar] [CrossRef]
- Pita, B.; Masaguer, C.F.; Raviña, E. New synthetic approaches to CNS drugs. A straightforward, efficient synthesis of tetrahydroindol-4-ones and tetrahydroquinolin-5-ones via palladium-catalyzed oxidation of hydroxyenaminones. Tetrahedron Lett. 2002, 43, 7929–7932. [Google Scholar] [CrossRef]
- Aoyagi, Y.; Mizusaki, T.; Shishikura, M.; Komine, T.; Yoshinaga, T.; Inaba, H.; Ohta, A.; Takeya, K. Efficient synthesis of pyrroles and 4,5,6,7-tetrahydroindoles via palladium-catalyzed oxidation of hydroxy-enamines. Tetrahedron 2006, 62, 8533–8538. [Google Scholar] [CrossRef]
- Hekmatshoar, R.; Sadjadi, S.; Sadjadi, S.; Heravi, M.M.; Beheshtiha, Y.S.; Bamoharram, F.F. New and General Nitrogen Heterocycle Synthesis: Use of Heteropoly Acids as a Heterogeneous Recyclable Catalyst. Synth. Commun. 2010, 40, 1708–1716. [Google Scholar] [CrossRef]
- Pandey, A.M.; Digrawal, N.K.; Mohanta, N.; Jamdade, A.B.; Chaudhari, M.B.; Bisht, G.S.; Gnanaprakasam, B. Catalytic Acceptorless Dehydrogenation of Amino Alcohols and 2-Hydroxybenzyl Alcohols for Annulation Reaction under Neutral Conditions. J. Org. Chem. 2021, 86, 8805–8828. [Google Scholar] [CrossRef] [PubMed]
- Friary, R.J.; Franck, R.W.; Tobin, J.F. The intramolecular acylation of enamine-acids. J. Chem. Soc. D 1970, 283–284. [Google Scholar] [CrossRef]
- Edstrom, E.D. Synthesis of 4-Hydroxy-3-Substituted Indoles and Indolequinones via an 3-Acetyloxy-4-oxo-4,5,6,7-tetrahydroindole Intermediate. Synlett 1995, 1995, 49–50. [Google Scholar] [CrossRef]
- Stetter, H.; Siehnhold, E. Zur Kenntnis des Kondensationsproduktes aus Dihydroresorcin und Phenacylbromid. Chem. Ber. 1955, 88, 271–274. [Google Scholar] [CrossRef]
- Mori, M.; Hori, K.; Akashi, M.; Hori, M.; Sato, Y.; Nishida, M. Fixation of Atmospheric Nitrogen: Synthesis of Heterocycles with Atmospheric Nitrogen as the Nitrogen Source. Angew. Chem. Int. Ed. 1998, 37, 636–637. [Google Scholar] [CrossRef]
- Hu, L.; Luo, J.; Lu, D.; Tang, Q. Urea decomposition: Efficient synthesis of pyrroles using the deep eutectic solvent choline chloride/urea. Tetrahedron Lett. 2018, 59, 1698–1701. [Google Scholar] [CrossRef]
- Dinne, N.K.R.; Mekala, R.; Reddy, S.P.; Sesha Siva, G.Y.; Kothapalli Bannoath, C. Wang resin-supported sulfonic acid-catalyzed multicomponent reaction in water leading to 4-oxo-4,5,6,7-tetrahydroindole derivatives. Synth. Commun. 2018, 48, 1649–1656. [Google Scholar] [CrossRef]
- Dhananjaya, G.; Rao, A.V.D.; Hossain, K.A.; Anna, V.R.; Pal, M. In silico studies and β-cyclodextrin mediated neutral synthesis of 4-oxo-4,5,6,7-tetrahydroindoles of potential biological interest. Tetrahedron Lett. 2020, 61, 151972. [Google Scholar] [CrossRef]
- Khalafy, J.; Etivand, N.; Dilmaghani, S.; Ezzati, M.; Marjani, A.P. A convenient and mild synthesis of new 2-aryl-3-hydroxy-6,7-dihydro-1H-indol-4(5H)-ones via a one-pot, three-component reaction in water. Tetrahedron Lett. 2014, 55, 3781–3783. [Google Scholar] [CrossRef]
- Montalban, A.G.; Baum, S.M.; Cowell, J.; McKillop, A. Formation of N-substituted 4- and 7-oxo-4,5,6,7-tetrahydroindoles revisited: A mechanistic interpretation and conversion into 4- and 7-oxoindoles. Tetrahedron Lett. 2012, 53, 4276–4279. [Google Scholar] [CrossRef]
- Reis, L.V.; Lobo, A.M.; Prabhakar, S. Enehydroxylamines as versatile compounds in 3,3-sigmatropic rearrangements. Tetrahedron Lett. 1994, 35, 2747–2750. [Google Scholar] [CrossRef]
- Zheng, Z.; Tu, H.; Zhang, L. One-Pot Synthesis of Fused Pyrroles through a Key Gold-Catalysis-Triggered Cascade. Chem. A Eur. J. 2014, 20, 2445–2448. [Google Scholar] [CrossRef] [Green Version]
- Wang, Y.; Bi, X.; Li, D.; Liao, P.; Wang, Y.; Yang, J.; Zhang, Q.; Liu, Q. Iron-catalyzed synthesis of polysubstituted pyrrolesvia [4C+1N] cyclization of 4-acetylenic ketones with primary amines. Chem. Commun. 2011, 47, 809–811. [Google Scholar] [CrossRef] [PubMed] [Green Version]
- Peng, S.; Wang, L.; Huang, J.; Sun, S.; Guo, H.; Wang, J. Palladium-catalyzed oxidative annulation via C-H/N-H functionalization: Access to substituted pyrroles. Adv. Synth. Catal. 2013, 355, 2550–2557. [Google Scholar] [CrossRef]
- Li, W.; Usman, M.; Wu, L.-Y.; Liu, W.-B. Synthesis of 2,3-Ring Fused Pyrroles via Cu-Catalyzed 5- exo -dig Annulation of Alkyne-Tethered Enaminones. J. Org. Chem. 2019, 84, 15754–15763. [Google Scholar] [CrossRef]
- To, Q.H.; Lee, Y.R.; Kim, S.H. One-step synthesis of tetrahydroindoles by ceric(IV) ammonium nitrate-promoted oxidative cycloaddition of enaminones and vinyl ethers. Tetrahedron 2014, 70, 8108–8113. [Google Scholar] [CrossRef]
- Dos Santos Filho, P.F.; Schuchardt, U. Nickel(II)-Catalyzed Synthesis of Pyrroles from 2H-Azirines and Activated Ketones. Angew. Chem. Int. Ed. 1977, 16, 647–648. [Google Scholar] [CrossRef]
- Galenko, E.E.; Galenko, A.V.; Khlebnikov, A.F.; Novikov, M.S. Domino transformation of isoxazoles to 2,4-dicarbonylpyrroles under Fe/Ni relay catalysis. RSC Adv. 2015, 5, 18172–18176. [Google Scholar] [CrossRef]
- Suresh, R.; Muthusubramanian, S.; Nagaraj, M.; Manickam, G. Indium trichloride catalyzed regioselective synthesis of substituted pyrroles in water. Tetrahedron Lett. 2013, 54, 1779–1784. [Google Scholar] [CrossRef]
- Mi, P.; Yuan, H.; Wang, H.; Liao, P.; Zhang, J.; Bi, X. Divergent Reactions between α-Imino Rhodium Carbenoids and 1,3-Diketones: Substrate-Controlled O-H versus C-H Insertion. Eur. J. Org. Chem. 2017, 2017, 1289–1293. [Google Scholar] [CrossRef]
- Sechi, M.; Mura, A.; Sannia, L.; Orecchioni, M.; Paglietti, G. Synthesis of pyrrol-[1,2-a]indole-1,8(5H)-diones as new synthones for developing novel tryciclic compounds of pharmaceutical interest. Arkivoc 2004, 2004, 97. [Google Scholar] [CrossRef] [Green Version]
- Sechi, M.; Derudas, M.; Dallocchio, R.; Dessì, A.; Cosseddu, A.; Paglietti, G. DNA Binders: 1. Evaluation of DNA-Interactive Ability, Design, and Synthesis of Novel Intercalating Agents. Lett. Drug Des. Discov. 2009, 6, 56–62. [Google Scholar] [CrossRef]
- Edstrom, E.D.; Yu, T.; Jones, Z. Regioselective oxidation of 2,3,5,6,7,8-hexahydro-8-oxo-1H-pyrrolo [1,2-α]indoles. Useful intermediates for the synthesis of mitosenes. Tetrahedron Lett. 1995, 36, 7035–7038. [Google Scholar] [CrossRef]
- Edstrom, E.D.; Tao, Y. An efficient synthesis of a fully functionalized 7-aminoaziridinomitosene. Tetrahedron 1997, 53, 4549–4560. [Google Scholar] [CrossRef]
- Zhao, Q.; Gagosz, F. Synthesis of Allenamides and Structurally Related Compounds by a Gold-Catalyzed Hydride Shift Process. Adv. Synth. Catal. 2017, 359, 3108–3113. [Google Scholar] [CrossRef]
- Beck, E.M.; Gaunt, M.J. Pd-Catalyzed C–H Bond Functionalization on the Indole and Pyrrole Nucleus. In C-H Activation Topics in Current Chemistry; Yu, J., Shi, Z., Eds.; Springer: Berlin, Germany, 2009; pp. 85–121. ISBN 978-3-642-12355-9. [Google Scholar]
- Hwang, S.J.; Cho, S.H.; Chang, S. Synthesis of Condensed Pyrroloindoles via Pd-Catalyzed Intramolecular C−H Bond Functionalization of Pyrroles. J. Am. Chem. Soc. 2008, 130, 16158–16159. [Google Scholar] [CrossRef]
- Chen, S.; Han, X.; Wu, J.; Li, Q.; Chen, Y.; Wang, H. Manganese(I)-Catalyzed Regio- and Stereoselective 1,2-Diheteroarylation of Allenes: Combination of C−H Activation and Smiles Rearrangement. Angew. Chem. Int. Ed. 2017, 56, 9939–9943. [Google Scholar] [CrossRef]
- Menes-Arzate, M.; Martínez, R.; Cruz-Almanza, R.; Muchowski, J.M.; Osornio, Y.M.; Miranda, L.D. Efficient, “Tin-Free” Radical Cyclization to Aromatic Systems. Synthesis of 5,6,8,9,10,11- Hexahydroindolo[2,1-a]isoquinolines. J. Org. Chem. 2004, 69, 4001–4004. [Google Scholar] [CrossRef] [PubMed]
- Meijer, L.; Leost, M.; Lozach, O.; Schmitt, S.; Kunick, C. The Paullones: A Family of Pharmacological Inhibitors of Cyclin Dependent Kinases and Glycogen Synthase Kinase 3. In Inhibitors of Protein Kinases and Protein Phosphates. Handbook of Experimental Pharmacology; Pinna, L.A., Cohen, P.T., Eds.; Springer: Berlin, Germany, 2005; Volume 167, pp. 47–64. ISBN 978-3-540-26670-9. [Google Scholar]
- Martínez, R.; Arzate, M.M.; Ramírez-Apan, M.T. Synthesis and cytotoxic activity of new azepino[3′,4′:4,5]pyrrolo[2,1-a]isoquinolin-12-ones. Bioorg. Med. Chem. 2009, 17, 1849–1856. [Google Scholar] [CrossRef] [PubMed]
- Fang, J.; Yan, C.-G. Convenient Synthesis of Functionalized 3,4,10,11-tetrahydroindolo[1,2-a]Quinoxalines Via Three-component Reaction of Dimedone, 3-nitrochromenes and Ammonium Acetate. J. Heterocycl. Chem. 2016, 53, 800–804. [Google Scholar] [CrossRef]
- Vroemans, R.; Dehaen, W. The Chemistry of 3-nitrochromenes. In Targets in Heterocyclic Systems; Attanasi, O.A., Merino, P., Spinelli, D., Eds.; Società Chimica Italiana: Roma, Italy, 2018; Volume 22, pp. 318–355. ISBN 978-88-94952-07-0. [Google Scholar]
- Huang, J.-R.; Zhang, Q.-R.; Qu, C.-H.; Sun, X.-H.; Dong, L.; Chen, Y.-C. Rhodium(III)-Catalyzed Direct Selective C(5)–H Oxidative Annulations of 2-Substituted Imidazoles and Alkynes by Double C–H Activation. Org. Lett. 2013, 15, 1878–1881. [Google Scholar] [CrossRef] [PubMed]
- Ausekle, E.; Ejaz, S.A.; Khan, S.U.; Ehlers, P.; Villinger, A.; Lecka, J.; Sévigny, J.; Iqbal, J.; Langer, P. New one-pot synthesis of N-fused isoquinoline derivatives by palladium-catalyzed C–H arylation: Potent inhibitors of nucleotide pyrophosphatase-1 and -3. Org. Biomol. Chem. 2016, 14, 11402–11414. [Google Scholar] [CrossRef] [PubMed]
- Neubert, T.; Numa, M.; Ernst, J.; Clemens, J.; Krenitsky, P.; Liu, M.; Fleck, B.; Woody, L.; Zuccola, H.; Stamos, D. Discovery of novel oxazepine and diazepine carboxamides as two new classes of heat shock protein 90 inhibitors. Bioorg. Med. Chem. Lett. 2015, 25, 1338–1342. [Google Scholar] [CrossRef]
- Hemmerling, H.-J.; Reiss, G. Partially Saturated Indeno[1,2-b]indole Derivatives via Deoxygenation of Heterocyclic α-Hydroxy-N,O-hemiaminals. Synthesis 2009, 2009, 985–999. [Google Scholar] [CrossRef]
- Hundsdörfer, C.; Hemmerling, H.-J.; Götz, C.; Totzke, F.; Bednarski, P.; Le Borgne, M.; Jose, J. Indeno[1,2-b]indole derivatives as a novel class of potent human protein kinase CK2 inhibitors. Bioorg. Med. Chem. 2012, 20, 2282–2289. [Google Scholar] [CrossRef]
- Jabor Gozzi, G.; Bouaziz, Z.; Winter, E.; Daflon-Yunes, N.; Aichele, D.; Nacereddine, A.; Marminon, C.; Valdameri, G.; Zeinyeh, W.; Bollacke, A.; et al. Converting Potent Indeno[1,2-b]indole Inhibitors of Protein Kinase CK2 into Selective Inhibitors of the Breast Cancer Resistance Protein ABCG2. J. Med. Chem. 2015, 58, 265–277. [Google Scholar] [CrossRef]
- Guragossian, N.; Belhani, B.; Moreno, A.; Nunes, M.T.; Gonzalez-Lobato, L.; Marminon, C.; Berthier, L.; Rocio Andrade Pires, A.D.; Özvegy-Laczka, C.; Sarkadi, B.; et al. Uncompetitive nanomolar dimeric indenoindole inhibitors of the human breast cancer resistance pump ABCG2. Eur. J. Med. Chem. 2021, 211, 113017. [Google Scholar] [CrossRef] [PubMed]
- Kita, D.H.; Guragossian, N.; Zattoni, I.F.; Moure, V.R.; de Moraes Rego, F.G.; Lusvarghi, S.; Moulenat, T.; Belhani, B.; Picheth, G.; Bouacida, S.; et al. Mechanistic basis of breast cancer resistance protein inhibition by new indeno[1,2-b]indoles. Sci. Rep. 2021, 11, 1788. [Google Scholar] [CrossRef] [PubMed]
- Pathak, S.; Das, D.; Kundu, A.; Maity, S.; Guchhait, N.; Pramanik, A. Synthesis of 4-hydroxyindole fused isocoumarin derivatives and their fluorescence “Turn-off” sensing of Cu(II) aand Fe(III) ions. RSC Adv. 2015, 5, 17308–17318. [Google Scholar] [CrossRef]
- Chunchatprasert, L.; Shannon, P.V.R. Anti-tumour heterocycles. Part xiv. A new route to pyrrolo-[3,2-f]indoles and the novel pyrrolo[3,2-f; 4,5-f′]diindole system. J. Chem. Soc. Perkin Trans. 1 1996, 1787–1795. [Google Scholar] [CrossRef]
- Maity, S.; Pathak, S.; Pramanik, A. Substituted Benzo[a]carbazoles and Indoleacetic Acids from Arylglyoxals and Enamines through Domino Condensation, Thermal Cyclization, and Aromatization. Eur. J. Org. Chem. 2014, 2014, 4651–4662. [Google Scholar] [CrossRef]
- Wu, J.-Q.; Yang, Z.; Zhang, S.-S.; Jiang, C.-Y.; Li, Q.; Huang, Z.-S.; Wang, H. From Indoles to Carbazoles: Tandem Cp*Rh(III)-Catalyzed C–H Activation/Brønsted Acid-Catalyzed Cyclization Reactions. ACS Catal. 2015, 5, 6453–6457. [Google Scholar] [CrossRef]
- Zhou, C.-J.; Gao, H.; Huang, S.-L.; Zhang, S.-S.; Wu, J.-Q.; Li, B.; Jiang, X.; Wang, H. Synthesis of Benzofused N -Heterocycles via Rh(III)-Catalyzed Direct Benzannulation with 1,3-Dienes. ACS Catal. 2019, 9, 556–564. [Google Scholar] [CrossRef]
- Mishra, N.K.; Jeon, M.; Oh, Y.; Jo, H.; Park, J.; Han, S.; Sharma, S.; Han, S.H.; Jung, Y.H.; Kim, I.S. Site-selective Cp*Rh(III)-catalyzed C–H amination of indolines with anthranils. Org. Chem. Front. 2017, 4, 241–249. [Google Scholar] [CrossRef]
- Bodunov, V.A.; Galenko, E.E.; Sakharov, P.A.; Novikov, M.S.; Khlebnikov, A.F. Selective Cu-Catalyzed Intramolecular Annulation of 3-Aryl/Heteryl-2-(diazoacetyl)-1 H -pyrroles: Synthesis of Benzo/Furo/Thieno[e]-Fused 1 H -Indol-7-oles and Their Transformations. J. Org. Chem. 2019, 84, 10388–10401. [Google Scholar] [CrossRef]
- Rousseaux, S.; Davi, M.; Sofack-Kreutzer, J.; Pierre, C.; Kefalidis, C.E.; Clot, E.; Fagnou, K.; Baudoin, O. Intramolecular Palladium-Catalyzed Alkane C−H Arylation from Aryl Chlorides. J. Am. Chem. Soc. 2010, 132, 10706–10716. [Google Scholar] [CrossRef]
- Tobinaga, S.; Murase, M.; Hosaka, T. An Easy Synthesis of 4-Alkylthioindoles. Heterocycles 1990, 30, 905. [Google Scholar] [CrossRef]
- Kozikowski, A.P.; Greco, M.N.; Springer, J.P. Synthetic studies in the indole series. Preparation of the unique antibiotic alkaloid chuangxinmycin by a nitro group displacement reaction. J. Am. Chem. Soc. 1982, 104, 7622–7626. [Google Scholar] [CrossRef]
- Remers, W.A.; Roth, R.H.; Weiss, M.J. Synthesis of indoles from 4-oxo-4,5,6,7-tetrahydroindoles. 4. Tricyclic heterocycles. J. Med. Chem. 1971, 14, 860–862. [Google Scholar] [CrossRef]
- Mohareb, R.M.; Abdelaziz, M.A. Substituted 4,5,6,7-tetrahydroindoles and their fused derivatives. Synthesis and cytotoxic activity towards tumor and normal human cell lines. Chem. Heterocycl. Compd. 2013, 49, 1212–1223. [Google Scholar] [CrossRef]
- Kharaneko, O.I. New approach to the synthesis of pyrrolo[3,4-c]pyridines. Russ. J. Org. Chem. 2016, 52, 1593–1599. [Google Scholar] [CrossRef]
- Matsumoto, M.; Watanabe, N. Synthesis of 4-(4-Indolyl)-3-oxobutanoic Acid Derivatives from 5-Halo-4-oxo-4,5,6,7-tetrahydroindoles. Heterocycles 1986, 24, 3149. [Google Scholar] [CrossRef]
- Matsumoto, M.; Watanabe, N.; Kobayashi, H. Metal-catalyzed Intramolecular Cyclization of 2-Diazo-4-(4-indolyl)-3-oxobutanoic Acid Esters. Heterocycles 1987, 26, 1479. [Google Scholar] [CrossRef]
- Rosenberg, M.L.; Aasheim, J.H.F.; Trebbin, M.; Uggerud, E.; Hansen, T. Synthesis of a 1,3,4,5-tetrahydrobenzindole β-ketoester. Tetrahedron Lett. 2009, 50, 6506–6508. [Google Scholar] [CrossRef]
- Murase, M.; Watanabe, K.; Yoshida, T.; Tobinaga, S. A New Concise Synthesis of Arcyriacyanin A and Its Unique Inhibitory Activity against a Panel of Human Cancer Cell Line. Chem. Pharm. Bull. 2000, 48, 81–84. [Google Scholar] [CrossRef] [Green Version]
- Remers, W.A.; Roth, R.H.; Gibs, G.J.; Weiss, M.J. Synthesis of indoles from 4-oxo-4,5,6,7-tetrahydroindoles. II. Introduction of substituents into the 4 and 5 positions. J. Org. Chem. 1971, 36, 1232–1240. [Google Scholar] [CrossRef]
- Martínez, R.; Oloarte, J.S.; Avila, G. 1,3-cyclohexanedione as the precursor of C4X-C6-C4Y systems. Synthesis of pyrrolo[2,3-e]indoles and thieno[2,3-e]indoles. J. Heterocycl. Chem. 1998, 35, 585–589. [Google Scholar] [CrossRef]
- Chacón-García, L.; Martínez, R. Synthesis and in vitro cytotoxic activity of pyrrolo[2,3-e]indole derivatives and a dihydro benzoindole analogue. Eur. J. Med. Chem. 2002, 37, 261–266. [Google Scholar] [CrossRef]
- Spyridonidou, K.; Fousteris, M.; Antonia, M.; Chatzianastasiou, A.; Papapetropoulos, A.; Nikolaropoulos, S. Tricyclic indole and dihydroindole derivatives as new inhibitors of soluble guanylate cyclase. Bioorg. Med. Chem. Lett. 2009, 19, 4810–4813. [Google Scholar] [CrossRef] [PubMed]
- Kasiotis, K.M.; Tzanetou, E.N.; Stagos, D.; Fokialakis, N.; Koutsotheodorou, E.; Kouretas, D.; Haroutounian, S.A. Novel conformationally constrained pyrazole derivatives as potential anti-cancer agents. Z. Naturforsch. B 2015, 70, 677–690. [Google Scholar] [CrossRef]
- Dagher, K.; Terent’ev, P.B.; Kulikov, N.S. Tetracyanoethylation and fischer rearrangement of some 4-oxo-4,5,6,7-tetrahydroindoles. Chem. Heterocycl. Compd. 1986, 22, 172–175. [Google Scholar] [CrossRef]
- Akué-Gédu, R.; Rossignol, E.; Azzaro, S.; Knapp, S.; Filippakopoulos, P.; Bullock, A.N.; Bain, J.; Cohen, P.; Prudhomme, M.; Anizon, F.; et al. Synthesis, Kinase Inhibitory Potencies, and in Vitro Antiproliferative Evaluation of New Pim Kinase Inhibitors. J. Med. Chem. 2009, 52, 6369–6381. [Google Scholar] [CrossRef] [PubMed]
- Pinna, G.A.; Sechi, M.; Paglietti, G.; Pirisi, M.A. Addition Reactions of Acetylenic Esters to 6,7-Dihydrobenzo[b]furan-4(5H)-one, 6,7-Dihydroindol-4(5H)-one, 5,6-Dihydrobenzo[b]furan-7(6H)-one and 5,6-Dihydroindol-7(6H)-one Ketoximes. Formation of Reduced Furo[g]- and Pyrrolo[g]-indoles. J. Chem. Res. 2003, 2003, 117–120. [Google Scholar] [CrossRef]
- Pookkandam Parambil, S.; de Jong, F.; Veys, K.; Huang, J.; Veettil, S.P.; Verhaeghe, D.; Van Meervelt, L.; Escudero, D.; van der Auweraer, M.; Dehaen, W. BOPAHY: A doubly chelated highly fluorescent pyrrole–acyl hydrazone –BF 2 chromophore. Chem. Commun. 2020. [Google Scholar] [CrossRef]
- Yu, C.; Jiao, L.; Zhang, P.; Feng, Z.; Cheng, C.; Wei, Y.; Mu, X.; Hao, E. Highly Fluorescent BF 2 Complexes of Hydrazine–Schiff Base Linked Bispyrrole. Org. Lett. 2014, 16, 3048–3051. [Google Scholar] [CrossRef]
- Horsten, T.; de Jong, F.; Theunissen, D.; van der Auweraer, M.; Dehaen, W. Synthesis and spectroscopic properties of 1,2,3-triazole BOPAHY dyes and their water-soluble triazolium salts. J. Org. Chem. 2021, Submitted. [Google Scholar]
- Thomas, J.; Jana, S.; John, J.; Liekens, S.; Dehaen, W. A general metal-free route towards the synthesis of 1,2,3-triazoles from readily available primary amines and ketones. Chem. Commun. 2016, 52, 2885–2888. [Google Scholar] [CrossRef]
- Jana, S.; Thomas, J.; Dehaen, W. A One-Pot Procedure for the Synthesis of “Click-Ready” Triazoles from Ketones. J. Org. Chem. 2016, 81, 12426–12432. [Google Scholar] [CrossRef]
- Opsomer, T.; Thomas, J.; Dehaen, W. Chemoselectivity in the Synthesis of 1,2,3-Triazoles from Enolizable Ketones, Primary Alkylamines, and 4-Nitrophenyl Azide. Synthesis 2017, 49, 4191–4198. [Google Scholar] [CrossRef] [Green Version]
- Prakash, R.; Opsomer, T.; Dehaen, W. Triazolization of Enolizable Ketones withPrimary Amines: A General Strategytoward Multifunctional 1,2,3-Triazoles. Chem. Rec. 2020, 20, 1–11. [Google Scholar] [CrossRef]
- Opsomer, T.; Dehaen, W. Metal-free syntheses of N -functionalized and NH -1,2,3-triazoles: An update on recent developments. Chem. Commun. 2021. [Google Scholar] [CrossRef]
- Mosti, L.; Schenone, P.; Menozzi, G. Reaction of sulfene and dichloroketene with N,N -disubstituted 5-aminomethylene-1,5,6,7-tetrahydro-2-methyl-1-phenylindol-4-ones. Synthesis of 1,2-oxathiino[6,5- E ] indole and of pyrano[2,3- e ] indole derivatives. J. Heterocycl. Chem. 1979, 16, 913–915. [Google Scholar] [CrossRef]
- Mosti, L.; Schenone, P.; Menozzi, G.; Cafaggi, S. Reaction of sulfene with heterocyclic N,N -disubstituted α-aminomethyleneketones. IX. Synthesis of 1,2-oxathiino[6,5-e]indole derivatives. J. Heterocycl. Chem. 1982, 19, 1031–1034. [Google Scholar] [CrossRef]
- Barraja, P.; Diana, P.; Lauria, A.; Montalbano, A.; Almerico, A.M.; Dattolo, G.; Cirrincione, G.; Viola, G.; Dall’Acqua, F. Pyrrolo[2,3-h]quinolinones: Synthesis and photochemotherapic activity. Bioorg. Med. Chem. Lett. 2003, 13, 2809–2811. [Google Scholar] [CrossRef]
- Alberola, A.; Calvo, L.A.; Ortega, A.G.; Sañudo Ruíz, M.C.; Yustos, P.; Granda, S.G.; García-Rodriguez, E. Regioselective Synthesis of 2(1 H )-Pyridinones from β-Aminoenones and Malononitrile. Reaction Mechanism. J. Org. Chem. 1999, 64, 9493–9498. [Google Scholar] [CrossRef]
- Barraja, P.; Diana, P.; Montalbano, A.; Dattolo, G.; Cirrincione, G.; Viola, G.; Vedaldi, D.; Dall’Acqua, F. Pyrrolo[2,3-h]quinolinones: A new ring system with potent photoantiproliferative activity. Bioorg. Med. Chem. 2006, 14, 8712–8728. [Google Scholar] [CrossRef]
- Barraja, P.; Sciabica, L.; Diana, P.; Lauria, A.; Montalbano, A.; Almerico, A.M.; Dattolo, G.; Cirrincione, G.; Disarò, S.; Basso, G.; et al. Synthesis and photochemotherapeutic activity of thiopyrano[2,3-e]indol-2-ones. Bioorg. Med. Chem. Lett. 2005, 15, 2291–2294. [Google Scholar] [CrossRef]
- Barraja, P.; Diana, P.; Montalbano, A.; Carbone, A.; Cirrincione, G.; Viola, G.; Salvador, A.; Vedaldi, D.; Dall’Acqua, F. Thiopyrano[2,3-e]indol-2-ones: Angelicin heteroanalogues with potent photoantiproliferative activity. Bioorg. Med. Chem. 2008, 16, 9668–9683. [Google Scholar] [CrossRef]
- Batchu, H.; Batra, S. Versatile Synthesis of 2-(Substituted phenyl)-6,7-dihydro-1H-indol-4(5H)-ones from Morita-Baylis-Hillman Acetates of 2-Oxo-2-(substituted phenyl)acetaldehyde. Eur. J. Org. Chem. 2012, 2012, 2935–2944. [Google Scholar] [CrossRef]
- Dandia, A.; Arya, K.; Dhaka, N. Multistep microwave assisted solvent free green chemical synthesis of 2,7-dihydro-3H-pyridazino[3‘,4‘:4,5]indolo[3,2-c]quinoline-3,13(12H)-dione. J. Chem. Res. 2006, 2006, 192–198. [Google Scholar] [CrossRef]
- Yadav, P.P.; Gupta, P.; Chaturvedi, A.K.; Shukla, P.K.; Maurya, R. Synthesis of 4-hydroxy-1-methylindole and benzo[b]thiophen-4-ol based unnatural flavonoids as new class of antimicrobial agents. Bioorg. Med. Chem. 2005, 13, 1497–1505. [Google Scholar] [CrossRef]
- Ravina, E.F.; Masaguer, C.; Fueyo, J. Alkylation of 3-Ethyl-2-methyl-4-oxo-4,5,6,7-tetrahydroindole with Bromoesters: Benzenesulfonyl as Convenient Nitrogen Protecting Group. Heterocycles 1992, 34, 1303. [Google Scholar] [CrossRef]
- Donslund, B.S.; Halskov, K.S.; Leth, L.A.; Paz, B.M.; Jørgensen, K.A. Organocatalytic asymmetric strategies to carbocyclic structures by γ-alkylation-annulation sequences. Chem. Commun. 2014, 50, 13676–13679. [Google Scholar] [CrossRef]
- Cowen, B.J.; Miller, S.J. Enantioselective [3 + 2]-Cycloadditions Catalyzed by a Protected, Multifunctional Phosphine-Containing α-Amino Acid. J. Am. Chem. Soc. 2007, 129, 10988–10989. [Google Scholar] [CrossRef]
- Bardakos, V.; Sucrow, W. Enhydrazine, 22: Lactame aus 1,5,6,7-Tetrahydro-4H-indol-4-onen. Chem. Ber. 1978, 111, 1780–1788. [Google Scholar] [CrossRef]
- Xavier Domínguez-Villa, F.; Ávila-Zárraga, G.; Armenta-Salinas, C. Synthesis of new fused dipyrroloazepinones via a two-step tandem reaction: Comparison of the Schmidt and Beckmann pathways. Tetrahedron Lett. 2020, 61, 151751. [Google Scholar] [CrossRef]
- Domínguez-Villa, F.X.; Durán-Iturbide, N.A.; Ávila-Zárraga, J.G. Synthesis, molecular docking, and in silico ADME/Tox profiling studies of new 1-aryl-5-(3-azidopropyl)indol-4-ones: Potential inhibitors of SARS CoV-2 main protease. Bioorg. Chem. 2021, 106, 104497. [Google Scholar] [CrossRef] [PubMed]
- Maskill, K.G.; Knowles, J.P.; Elliott, L.D.; Alder, R.W.; Booker-Milburn, K.I. Complexity from Simplicity: Tricyclic Aziridines from the Rearrangement of Pyrroles by Batch and Flow Photochemistry. Angew. Chem. Int. Ed. 2013, 125, 1539–1542. [Google Scholar] [CrossRef]
- Knowles, J.P.; Booker-Milburn, K.I. Unusually Facile Thermal Homodienyl-[1,5]-Hydrogen Shift Reactions in Photochemically Generated Vinyl Aziridines. Chem. Eur. J. 2016, 22, 11429–11434. [Google Scholar] [CrossRef] [Green Version]









































Publisher’s Note: MDPI stays neutral with regard to jurisdictional claims in published maps and institutional affiliations. |
© 2021 by the authors. Licensee MDPI, Basel, Switzerland. This article is an open access article distributed under the terms and conditions of the Creative Commons Attribution (CC BY) license (https://creativecommons.org/licenses/by/4.0/).
Share and Cite
Horsten, T.; Dehaen, W. 4,5,6,7-Tetrahydroindol-4-Ones as a Valuable Starting Point for the Synthesis of Polyheterocyclic Structures. Molecules 2021, 26, 4596. https://doi.org/10.3390/molecules26154596
Horsten T, Dehaen W. 4,5,6,7-Tetrahydroindol-4-Ones as a Valuable Starting Point for the Synthesis of Polyheterocyclic Structures. Molecules. 2021; 26(15):4596. https://doi.org/10.3390/molecules26154596
Chicago/Turabian StyleHorsten, Tomas, and Wim Dehaen. 2021. "4,5,6,7-Tetrahydroindol-4-Ones as a Valuable Starting Point for the Synthesis of Polyheterocyclic Structures" Molecules 26, no. 15: 4596. https://doi.org/10.3390/molecules26154596
APA StyleHorsten, T., & Dehaen, W. (2021). 4,5,6,7-Tetrahydroindol-4-Ones as a Valuable Starting Point for the Synthesis of Polyheterocyclic Structures. Molecules, 26(15), 4596. https://doi.org/10.3390/molecules26154596

