Use of Chènevotte, a Valuable Co-Product of Industrial Hemp Fiber, as Adsorbent for Pollutant Removal. Part I: Chemical, Microscopic, Spectroscopic and Thermogravimetric Characterization of Raw and Modified Samples
Abstract
:1. Introduction
2. Results and Discussion
2.1. Chemical Composition and Analysis
2.2. Hemp Shive Microstructure Analysis
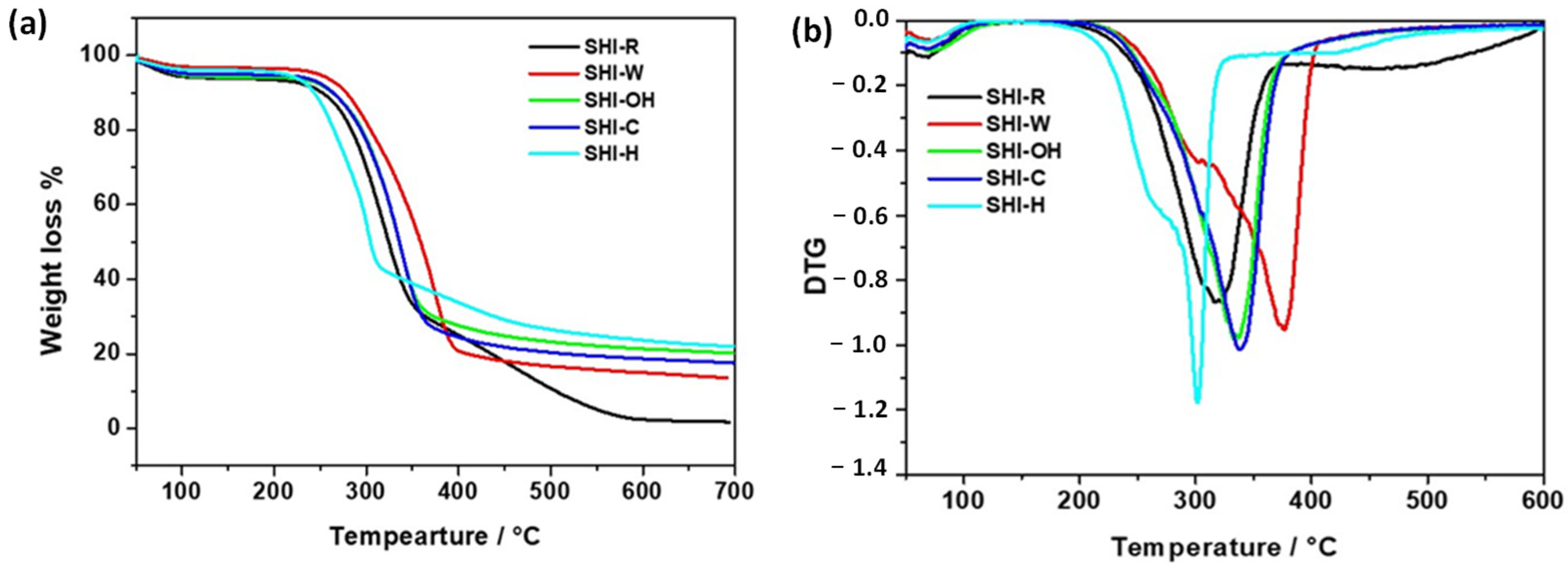
2.3. Spectroscopic and Thermogravimetric Analysis
2.4. Preliminary Biosorption Results
3. Materials and Methods
3.1. Material
3.2. Treatment Procedures
3.3. Sample Characterization
3.3.1. Chemical Composition
3.3.2. Specific Surface Area and Porosity Determination
3.3.3. X-ray Powder Diffraction (XRD) Analysis
3.3.4. Scanning Electron Microscopy (SEM)
3.3.5. Energy-Dispersive X-ray (EDX) Spectroscopy
3.3.6. Computed Nanotomography (Nano-CT) Analysis
3.3.7. Attenuated Total Reflectance–Fourier Transform Infrared (ATR-FTIR) Spectroscopy
3.3.8. Solid-State Nuclear Magnetic Resonance (NMR) Spectroscopy
3.3.9. Thermogravimetric Analysis
4. Conclusions
Author Contributions
Funding
Institutional Review Board Statement
Informed Consent Statement
Data Availability Statement
Acknowledgments
Conflicts of Interest
Sample Availability
References
- Bouloc, P. Hemp: Industrial Production and Uses; CABI: Oxfordshire, UK, 2013; p. 312. [Google Scholar]
- Żuk-Gołaszewska, K.; Gołaszewski, J. Cannabis sativa L.—Cultivation and quality or raw material. J. Elem. 2018, 23, 971–984. [Google Scholar] [CrossRef]
- Kostić, M.; Vukčević, M.; Pejić, B.; Kalijadis, A. Hemp Fibers: Old Fibers—New Applications. In Textiles: History, Properties and Performance and Applications; Ibrahim, M.D., Mondal, M., Eds.; Nova Science Publishers, Inc.: New York, NY, USA, 2014; pp. 399–446. [Google Scholar]
- Kostić, M.; Pejić, B.; Vukčević, M. Cellulose Provenant de Fibres Libériennes et Autres Fibres Textiles—Nouvelles Ap-plications (in French). In Chimie Pour la Transformation Durable de la Ressource Lignocellulosique; Stevanovic, T., Ed.; Bordo Presses Universitaires: Bordeaux, France, 2019; pp. 27–69. [Google Scholar]
- Dunford, N.T. Hemp and Flaxseed Oil: Properties and Applications for Use in Food. In Specialty Oils and Fats in Food and Nutrition: Properties, Processing and Applications; Talbot, G., Ed.; Elsevier: Sawston, UK, 2015; pp. 39–63. [Google Scholar]
- Ingrao, C.; Lo Giudice, A.; Bacenetti, J.; Tricase, C.; Dotelli, G.; Fiala, M.; Siracusa, V.; Mbohwa, C. Energy and envi-ronmental assessment of industrial hemp for building applications: A review. Renew. Sustain. Energy Rev. 2015, 51, 29–42. [Google Scholar] [CrossRef]
- Cherney, J.H.; Small, E. Industrial Hemp in North America: Production, Politics and Potential. Agronomy 2016, 6, 58. [Google Scholar] [CrossRef] [Green Version]
- Fike, J. Industrial Hemp: Renewed Opportunities for an Ancient Crop. Crit. Rev. Plant. Sci. 2016, 35, 406–424. [Google Scholar] [CrossRef]
- Crini, G.; Lichtfouse, E. Green Adsorbents for Pollutant Removal; Innovative Materials. Environmental Chemistry for a Sustainable World; Springer Nature: Cham, Switzerland, 2019. [Google Scholar]
- Crini, G.; Lichtfouse, E. Sustainable Agriculture Reviews 42: Hemp Production and Applications; Springer Nature: Cham, Switzerland, 2020. [Google Scholar]
- Crini, G.; Lichtfouse, E.; Chanet, G.; Morin-Crini, N. Applications of hemp in textiles, paper industry, insulation and building materials, horticulture, animal nutrition, food and beverages, nutraceuticals, cosmetics and hygiene, medicine, agrochemistry, energy production and environment: A review. Environ. Chem. Lett. 2020, 18, 1–26. [Google Scholar] [CrossRef]
- Rupasinghe, H.P.V.; Davis, A.; Kumar, S.K.; Murray, B.; Zheljazkov, V.D. Industrial Hemp (Cannabis sativa subsp. sativa) as an Emerging Source for Value-Added Functional Food Ingredients and Nutraceuticals. Molecules 2020, 25, 4078. [Google Scholar] [CrossRef] [PubMed]
- Morino, M.; Kajiyama, T.; Nishitani, Y. Influence of epoxy resin treatment on the mechanical and tribological properties of hemp-fiber-reinforced plant-erived polyamide 1010 biomass composites. Molecules 2021, 26, 1228. [Google Scholar] [CrossRef] [PubMed]
- Saleem, A.; Medina, L.; Skrifvars, M.; Berglin, L. Hybrid Polymer Composites of Bio-Based Bast Fibers with Glass, Carbon and Basalt Fibers for Automotive Applications—A Review. Molecules 2020, 25, 4933. [Google Scholar] [CrossRef]
- Bono, P.; le Duc, A.; Lozachmeur, M.; Day, A. Materials: New fields of research and development for the valorization of technical plant fibers (flax fiber and hemp). OCL 2015, 22, 1–11. [Google Scholar]
- Terpáková, E.; Kidalová, L.; Eštoková, A.; Čigášová, J.; Števulová, N. Chemical modification of hemp shives and their characterization. Procedia Eng. 2012, 42, 931–941. [Google Scholar] [CrossRef] [Green Version]
- Stevulova, N.; Cigasova, J.; Estokova, A.; Terpakova, E.; Geffert, A.; Kacik, F.; Singovszka, E.; Holub, M. Properties Characterization of Chemically Modified Hemp Hurds. Materials 2014, 7, 8131–8150. [Google Scholar] [CrossRef]
- Paduraru, C.; Tofan, L. Investigations on the possibility of natural hemp fibers use for Zn(II) ions removal from wastewaters. Environ. Eng. Manag. J. 2008, 7, 687–693. [Google Scholar] [CrossRef]
- Pejic, B.; Vukčević, M.; Kostic, M.; Skundric, P. Biosorption of heavy metal ions from aqueous solutions by short hemp fibers: Effect of chemical composition. J. Hazard. Mater. 2009, 164, 146–153. [Google Scholar] [CrossRef]
- Rezic, I. Cellulosic fibers—Biosorptive materials and indicators of heavy metals pollution. Microchem. J. 2013, 107, 63–69. [Google Scholar] [CrossRef]
- Balintova, M.; Holub, M.; Števulová, N.; Čigášová, J.; Tesarcikova, M. Sorption in acidic environment—Biosorbents in comparison with commercial adsorbents. Chem. Eng. Trans. 2014, 39, 625–630. [Google Scholar]
- Kyzas, G.; Terzopoulou, Z.; Nikolaidis, V.; Alexopoulou, E.; Bikiaris, D.N. Low-cost hemp biomaterials for nickel ions removal from aqueous solutions. J. Mol. Liq. 2015, 209, 209–218. [Google Scholar] [CrossRef]
- Bugnet, J.; Morin-Crini, N.; Chanet, G.; Cosentino, C.; Crini, G. Du chanvre pour dépolluer des eaux polycontaminées en métaux (in French). In Eaux Industrielles Contaminées; Morin-Crini, N., Crini, G., Eds.; PUFC: Besançon, France, 2017; Chapter XI; pp. 323–340. [Google Scholar]
- Morin-Crini, N.; LoIacono, S.; Placet, V.; Torri, G.; Bradu, C.; Kostić, M.; Cosentino, C.; Chanet, G.; Martel, B.; Lichtfouse, E.; et al. Hemp-based adsorbents for sequestration of metals: A review. Environ. Chem. Lett. 2019, 17, 393–408. [Google Scholar] [CrossRef]
- Tofan, L.; Paduraru, C.; Teodosiu, C. Hemp Fibers for Wastewater Treatment. Sustain. Agric. Rev. 2020, 42, 295–326. [Google Scholar] [CrossRef]
- Crini, G.; Bradu, C.; Cosentino, C.; Staelens, J.-N.; Martel, B.; Fourmentin, M.; LoIacono, S.; Chanet, G.; Torri, G.; Morin-Crini, N. Simultaneous Removal of Inorganic and Organic Pollutants from Polycontaminated Wastewaters on Modified Hemp-Based Felts. Rev. Chim. 2021, 72, 25–43. [Google Scholar] [CrossRef]
- Vukčević, M.M.; Pejić, B.M.; Pajić-Lijaković, I.S.; Kalijadis, A.M.; Kostić, M.M.; Laušević, Z.V.; Laušević, M.D. Influence of the precursor chemical composition on heavy metal adsorption properties of hemp (Cannabis sativa) fibers based bio-carbon. J. Serb. Chem. Soc. 2017, 82, 1417–1431. [Google Scholar] [CrossRef] [Green Version]
- Dizbay-Onat, M.; Vaidya, U.K.; Balanay, J.A.G.; Lungu, C.T. Preparation and characterization of flax, hemp and sisal fiber-derived mesoporous activated carbon adsorbents. Adsorpt. Sci. Technol. 2018, 36, 441–457. [Google Scholar] [CrossRef]
- Doczekalska, B.; Kuśmierek, K.; Świątkowski, A.; Bartkowiak, M. Adsorption of 2,4-dichlorophenoxyacetic acid and 4-chloro-2-metylphenoxyacetic acid onto activated carbons derived from various lignocellulosic materials. J. Environ. Sci. Heal. Part B 2018, 53, 290–297. [Google Scholar] [CrossRef]
- Rizal, N.F.A.A.; Ibrahim, M.F.; Zakaria, M.R.; Abd-Aziz, S.; Yee, P.L.; Hassan, M.A. Pre-treatment of Oil Palm Biomass for Fermentable Sugars Production. Molecules 2018, 23, 1381. [Google Scholar] [CrossRef] [Green Version]
- Neris, J.B.; Luzardo, F.H.M.; da Silva, E.G.P.; Velasco, F.G. Evaluation of adsorption processes of metal ions in mul-ti-element aqueous systems by lignocellulosic adsorbents applying different isotherms: A critical review. Chem. Eng. J. 2019, 357, 404–420. [Google Scholar] [CrossRef]
- Thomsen, A.B.; Rasmussen, S.K.; Bohn, V.; Nielsen, K.V.; Thygesen, A. Hemp Raw Materials: The Effect of Cultivar, Growth Conditions and Pretreatment on the Chemical Composition of the Fibres; Forskningscenter Risoe: Roskilde, Denmark, 2005. [Google Scholar]
- Ivanovska, A.; Asanovic, K.; Jankoska, M.; Mihajlovski, K.; Pavun, L.; Kostic, M. Multifunctional jute fabrics obtained by different chemical modifications. Cellulose 2020, 27, 8485–8502. [Google Scholar] [CrossRef]
- Ivanovska, A.; Dojcinovic, B.; Maletic, S.; Pavun, L.; Asanovic, K.; Kostic, M. Waste Jute Fabric as a Biosorbent for Heavy Metal Ions from Aqueous Solution. Fibers Polymer 2020, 21, 1992–2002. [Google Scholar] [CrossRef]
- Lazic, B.; Janjic, S.; Rijavec, T.; Kostic, M. Effect of chemical treatments on the chemical composition and properties of flax fibers. J. Serbian Chem. Soc. 2017, 82, 83–97. [Google Scholar] [CrossRef]
- Pejić, B.M.; Kostić, M.M.; Skundric, P.D.; Praskalo, J.Z. The effects of hemicelluloses and lignin removal on water uptake behaviour of hemp fibers. Bioresour. Technol. 2008, 99, 7152–7159. [Google Scholar] [CrossRef] [PubMed]
- Ivanovska, A.; Cerovic, D.; Tadic, N.; Castvan, I.J.; Asanovic, K.; Kostic, M. Sorption and dielectric properties of jute woven fabrics: Effect of chemical composition. Ind. Crop. Prod. 2019, 140, 111632. [Google Scholar] [CrossRef]
- Park, S.; Baker, J.O.; Himmel, M.E.; Parilla, P.A.; Johnson, D.K. Cellulose crystallinity index: Measurement techniques and their impact on interpreting cellulase performance. Biotechnol. Biofuels 2010, 3, 10. [Google Scholar] [CrossRef] [PubMed] [Green Version]
- French, A.D. Idealized powder diffraction patterns for cellulose polymorphs. Cellulose 2013, 21, 885–896. [Google Scholar] [CrossRef]
- Hayashi, J.; Sufoka, A.; Ohkita, J.; Watanabe, S. The confirmation of existences of cellulose IIII, IIIII, IVI, and IVII by the X-ray method. J. Polym. Sci. Part C Polym. Lett. 1975, 13, 23–27. [Google Scholar] [CrossRef]
- Zhang, Y.; Remadevi, R.C.N.; Hinestroza, J.P.; Wang, X.; Naebe, M. Transparent Ultraviolet (UV)-Shielding Films Made from Waste Hemp Hurd and Polyvinyl Alcohol (PVA). Polymer 2020, 12, 1190. [Google Scholar] [CrossRef] [PubMed]
- Wang, H.M.; Postle, R.; Kessler, R.W. Removing pectin and lignin during chemical processing of hemp for textile ap-plications. Text. Res. J. 2003, 73, 664–669. [Google Scholar] [CrossRef]
- Hakamy, A.; Shaikh, F.; Low, I. Effect of calcined nanoclay on microstructural and mechanical properties of chemically treated hemp fabric-reinforced cement nanocomposites. Constr. Build. Mater. 2015, 95, 882–891. [Google Scholar] [CrossRef] [Green Version]
- Sawpan, M.A.; Pickering, K.; Fernyhough, A. Effect of various chemical treatments on the fibre structure and tensile properties of industrial hemp fibres. Compos. Part A Appl. Sci. Manuf. 2011, 42, 888–895. [Google Scholar] [CrossRef] [Green Version]
- Agarwal, U.P.; Ralph, S.A.; Baez, C.; Reiner, R.S.; Verrill, S.P. Effect of sample moisture content on XRD-estimated cel-lulose crystallinity index and crystallite size. Cellulose 2017, 24, 1971–1984. [Google Scholar] [CrossRef]
- Jiang, Y.; Lawrence, M.; Ansell, M.P.; Hussain, A. Cell wall microstructure, pore size distribution and absolute density of hemp shiv. R. Soc. Open Sci. 2018, 5, 171945. [Google Scholar] [CrossRef] [Green Version]
- Hepler, P.K. Calcium: A Central Regulator of Plant Growth and Development. Plant. Cell 2005, 17, 2142–2155. [Google Scholar] [CrossRef]
- Fromm, J. Wood formation of trees in relation to potassium and calcium nutrition. Tree Physiol. 2010, 30, 1140–1147. [Google Scholar] [CrossRef] [Green Version]
- Cosgrove, D.J. Assembly and enlargement of the primary cell wall in plants. Annu. Rev. Cell Dev. Biol. 1997, 13, 171–201. [Google Scholar] [CrossRef] [PubMed] [Green Version]
- Cosgrove, D.J. Growth of the plant cell wall. Nat. Rev. Mol. Cell Biol. 2005, 6, 850–861. [Google Scholar] [CrossRef] [PubMed]
- Carpita, N.; McCann, M. The Cell Wall. In Biochemistry & Molecular Biology of Plants; Gruissem, W., Jones, R., Eds.; American Society of Plant Physiologists: Rockville, MD, USA, 2000; pp. 52–108. [Google Scholar]
- Lerouxel, O.; Cavalier, D.M.; Liepman, A.; Keegstra, K. Biosynthesis of plant cell wall polysaccharides—A complex process. Curr. Opin. Plant. Biol. 2006, 9, 621–630. [Google Scholar] [CrossRef] [PubMed]
- Amaducci, S.; Scordia, D.; Liu, F.; Zhang, Q.; Guo, H.; Testa, G.; Cosentino, S. Key cultivation techniques for hemp in Europe and China. Ind. Crop. Prod. 2015, 68, 2–16. [Google Scholar] [CrossRef]
- Mwaikambo, L.Y.; Ansell, M.P. Chemical modification of hemp, sisal, jute, and kapok fibers by alkalization. J. Appl. Polym. Sci. 2002, 84, 2222–2234. [Google Scholar] [CrossRef]
- Knill, C.J.; Kennedy, J.F. Degradation of cellulose under alkaline conditions. Carbohydr. Polym. 2003, 51, 281–300. [Google Scholar] [CrossRef]
- Zhang, W.S.; Okubayashi, S.; Bechtold, T. Fibrillation of cellulosic fibers—Part 4. Effects of alkali pre-treatment of various cellulosic fibers. Carbohydr. Polym. 2005, 61, 427–433. [Google Scholar] [CrossRef]
- Le Troedec, M.; Sedan, D.; Peyratout, C.; Bonnet, J.P.; Smith, A.; Guinebretiere, R.; Gloaguen, V.; Krausz, P. Influence of various chemical treatments on the composition and structure of hemp fibres. Compos. Part A Appl. Sci. Manuf. 2008, 39, 514–522. [Google Scholar] [CrossRef]
- Qi, B.; Chen, X.; Shen, F.; Su, Y.; Wan, Y. Optimization of Enzymatic Hydrolysis of Wheat Straw Pretreated by Alkaline Peroxide Using Response Surface Methodology. Ind. Eng. Chem. Res. 2009, 48, 7346–7353. [Google Scholar] [CrossRef]
- Putnina, A.; Kukle, S.; Gravitis, J. Extraction of highly purified microfibrils from the renewable resources by using green technology. Energetika 2013, 59, 20–25. [Google Scholar] [CrossRef] [Green Version]
- Mirmohamadsadeghia, S.; Chena, Z.; Wana, C. Reducing biomass recalcitrance via mild sodium carbonate pretreatment. Bioresour. Technol. 2016, 209, 386–390. [Google Scholar] [CrossRef]
- Pejić, B.M.; Kramar, A.D.; Obradović, B.M.; Kuraica, M.M.; Žekić, A.A.; Kostić, M.M. Effect of plasma treatment on chemical composition, structure and sorption properties of lignocellulosic hemp fibers (Cannabis sativa L.). Carbohydr. Polym. 2020, 236, 116000. [Google Scholar] [CrossRef]
- Schwarzová, I. Investigation of Observed Changes in Treated Hemp Hurds. Geosci. Eng. 2016, 62, 22–26. [Google Scholar] [CrossRef] [Green Version]
- Kostic, M.; Pejic, B.; Skundric, P. Quality of chemically modified hemp fibers. Bioresour. Technol. 2008, 99, 94–99. [Google Scholar] [CrossRef] [PubMed]
- Himmelsbach, D.S.; Khalili, S.; Akin, D.E. The use of FT-IR microspectroscopic mapping to study the effects of enzymatic retting of flax (Linum usitatissimum L) stems. J. Sci. Food Agric. 2002, 82, 685–696. [Google Scholar] [CrossRef]
- Oh, S.Y.; Yoo, D.I.; Shin, Y.; Kim, H.C.; Kim, H.Y.; Chung, Y.S.; Park, W.H.; Youk, J.H. Crystalline structure analysis of cellulose treated with sodium hydroxide and carbon dioxide by means of X-ray diffraction and FTIR spectroscopy. Carbohydr. Res. 2005, 340, 2376–2391. [Google Scholar] [CrossRef] [PubMed]
- Dai, D.; Fan, M. Characteristic and performance of elementary hemp fiber. Mater. Sci. Appl. 2010, 1, 336–342. [Google Scholar]
- Richter, U.; Krause, T.; Schemp, W. Alkali treatment of cellulose fibers. I. Changes in order evaluated by IR spec-troscopy and x-ray diffraction. Die. Angew. Makromol. Chem. 1991, 185–186, 155–167. [Google Scholar] [CrossRef]
- Rizzi, V.; Gubitosa, J.; Signorile, R.; Fini, P.; Cecone, C.; Matencio, A.; Trotta, F.; Cosma, P. Cyclodextrin nanosponges as adsorbent material to remove hazardous pollutants from water: The case of ciprofloxacin. Chem. Eng. J. 2021, 411, 128514. [Google Scholar] [CrossRef]
- Stevulova, N.; Estokova, A.; Cigasova, J.; Schwarzova, I.; Kacik, F.; Geffert, A. Thermal degradation of natural and treated hemp hurds under air and nitrogen atmosphere. J. Therm. Anal. Calorim. 2017, 128, 1649–1660. [Google Scholar] [CrossRef] [Green Version]
- Zwawi, M. A Review on Natural Fiber Bio-Composites; Surface Modifications and Applications. Molecules 2021, 26, 404. [Google Scholar] [CrossRef] [PubMed]
- Bilbao, R.; Millera, A.; Arauzo, J. Thermal decomposition of lignocellulosic materials: Influence of the chemical compo-sition. Thermochim. Acta 1989, 143, 149–159. [Google Scholar] [CrossRef]
- Rachini, A.; Le Troedec, M.; Peyratout, C.; Smith, A. Comparison of the thermal degradation of natural, alkali-treated and silane-treated hemp fibers under air and an inert atmosphere. J. Appl. Polym. Sci. 2009, 112, 226–234. [Google Scholar] [CrossRef]
- Sebestyén, Z.; May, Z.; Réczey, K.; Jakab, E. The effect of alkaline pretreatment on the thermal decomposition of hemp. J. Therm. Anal. Calorim. 2010, 105, 1061–1069. [Google Scholar] [CrossRef]
- Garner, W. Textile Laboratory Manual; Heywood Books: London, UK, 1967; Volume 5, pp. 52–113. [Google Scholar]
- Brunauer, S.; Emmett, P.H.; Teller, E. Adsorption of Gases in Multimolecular Layers. J. Am. Chem. Soc. 1938, 60, 309–319. [Google Scholar] [CrossRef]
- Barrett, E.P.; Joyner, L.G.; Halenda, P.P. The Determination of Pore Volume and Area Distributions in Porous Substances. I. Computations from Nitrogen Isotherms. J. Am. Chem. Soc. 1951, 73, 373–380. [Google Scholar] [CrossRef]
- Segal, L.; Creely, J.J.; Martin, A.E., Jr.; Conrad, C.M. An empirical method for estimating the degree of crystallinity of native cellulose using the x-ray diffractometer. Text. Res. J. 1962, 29, 786–794. [Google Scholar] [CrossRef]









| Sample | SHI-R | SHI-W | SHI-OH | SHI-C | SHI-H |
|---|---|---|---|---|---|
| Component (%) | |||||
| α-cellulose | 55.53 | 56.93 | 62.30 | 62.93 | 61.67 |
| Hemicelluloses | 12.48 | 15.42 | 5.08 | 9.58 | 9.26 |
| Klason lignin | 26.54 | 26.70 | 31.62 | 26.59 | 25.78 |
| Pectins | 0.43 | 0.79 | 0.33 | 0.42 | 0.92 |
| Fats and waxes | 0.72 | 0.38 | 0 | 0.04 | 0.09 |
| Water solubles | 4.30 | 1.11 | 0.68 | 0.45 | 2.29 |
| Crystallinity index (%) | 28.1 | 37.0 | 43.5 | 41.5 | 42.6 |
| Moisture sorption (%) | 8.53 | 4.29 | 4.53 | 4.12 | 4.99 |
| % C | 45.86 | 48.59 | 45.14 | 45.38 | 46.90 |
| % N | 0.45 | 0.27 | 0.13 | 0.16 | 0.24 |
| % S | 0.10 | 0.09 | 0.03 | 0.04 | 0.06 |
| SSABET a (m2/g) | 9.3 | 2.7 | 4.7 | 5.5 | 4.9 |
| Pore surface area b (m2/g) | 6.82 | 2.50 | 4.03 | 4.67 | 1.44 |
| Pore volume b (cm3/g) | 0.04 | 0.05 | 0.03 | 0.04 | 0.02 |
| Pore radius b Dv(r) (Å) | 15.65 | 17.04 | 17.03 | 17.04 | 19.04 |
| Wavenumber (cm−1) | Vibration Modes | Assigned Components | ||||
|---|---|---|---|---|---|---|
| SHI-R | SHI-W | SHI-OH | SHI-C | SHI-H | ||
| 3348 | 3354 | 3312, 3338 | 3351 | 3354 | OH stretching | water, cellulose, hemicelluloses |
| 2903 | 2902 | 2901 | 2908 | 2903 | C–H symmetrical stretching | cellulose, hemicelluloses |
| 1734 | 1734 | 1733 | 1733 | C=O stretching vibration C=O unconjugated stretching | pectin, fatty acids hemicelluloses | |
| 1594, 1652 | 1628, 1651 | 1593, 1628 | 1594, 1653 | 1593, 1641 | OH (water) OH bending of absorbed water aromatic skeletal vibrations | water cellulose lignin |
| 1506 | 1507 | 1507 | 1504 | 1505 | C=C aromatic symmetrical stretching | lignin |
| 1422 | 1423, 1456 | 1422, 1459 | 1420, 1456 | 1422, 1456 | HCH and OCH in-plane bending vibration CH2 symmetric bending C=C stretching in aromatic groups | cellulose, hemicelluloses pectin, lignin |
| 1373 | 1372 | 1370 | 1370 | 1371 | in-plane symmetric vibration of –CH3 | lignin |
| 1327 | 1322 | 1323 | 1327 | 1328 | in-plane bending vibrations of O-H C-O stretching | cellulose |
| 1236 | 1234 | 1228, 1264 | 1232 | 1234 | symmetric stretching of C-O of aryl groups | lignin |
| 1157 | 1157 | 1156 | 1156 | 1156 | C-O-C asymmetrical stretching | cellulose, hemicelluloses |
| 1035, 1047 | 1034 | 1028 | 1033 | 1033 | C-C, C-OH, C-H ring and side group vibrations | cellulose, hemicelluloses |
| 899 | 897 | 896 | 896 | 898 | glycosidic bond symmetric ring-stretching mode | polysaccharides |
| Sample | Absorbance Ratio (FTIR Band, cm−1) | ||
|---|---|---|---|
| 1421/893 | 1375/2898 | 1375/660 | |
| SHI-R | 0.60 | 2.54 | 0.40 |
| SHI-W | 0.63 | 2.42 | 0.43 |
| SHI-OH | 0.58 | 1.84 | 0.33 |
| SHI-C | 0.65 | 2.28 | 0.40 |
| SHI-H | 0.56 | 2.25 | 0.40 |
Publisher’s Note: MDPI stays neutral with regard to jurisdictional claims in published maps and institutional affiliations. |
© 2021 by the authors. Licensee MDPI, Basel, Switzerland. This article is an open access article distributed under the terms and conditions of the Creative Commons Attribution (CC BY) license (https://creativecommons.org/licenses/by/4.0/).
Share and Cite
Mongioví, C.; Lacalamita, D.; Morin-Crini, N.; Gabrion, X.; Ivanovska, A.; Sala, F.; Placet, V.; Rizzi, V.; Gubitosa, J.; Mesto, E.; et al. Use of Chènevotte, a Valuable Co-Product of Industrial Hemp Fiber, as Adsorbent for Pollutant Removal. Part I: Chemical, Microscopic, Spectroscopic and Thermogravimetric Characterization of Raw and Modified Samples. Molecules 2021, 26, 4574. https://doi.org/10.3390/molecules26154574
Mongioví C, Lacalamita D, Morin-Crini N, Gabrion X, Ivanovska A, Sala F, Placet V, Rizzi V, Gubitosa J, Mesto E, et al. Use of Chènevotte, a Valuable Co-Product of Industrial Hemp Fiber, as Adsorbent for Pollutant Removal. Part I: Chemical, Microscopic, Spectroscopic and Thermogravimetric Characterization of Raw and Modified Samples. Molecules. 2021; 26(15):4574. https://doi.org/10.3390/molecules26154574
Chicago/Turabian StyleMongioví, Chiara, Dario Lacalamita, Nadia Morin-Crini, Xavier Gabrion, Aleksandra Ivanovska, Federico Sala, Vincent Placet, Vito Rizzi, Jennifer Gubitosa, Ernesto Mesto, and et al. 2021. "Use of Chènevotte, a Valuable Co-Product of Industrial Hemp Fiber, as Adsorbent for Pollutant Removal. Part I: Chemical, Microscopic, Spectroscopic and Thermogravimetric Characterization of Raw and Modified Samples" Molecules 26, no. 15: 4574. https://doi.org/10.3390/molecules26154574
APA StyleMongioví, C., Lacalamita, D., Morin-Crini, N., Gabrion, X., Ivanovska, A., Sala, F., Placet, V., Rizzi, V., Gubitosa, J., Mesto, E., Ribeiro, A. R. L., Fini, P., Vietro, N. D., Schingaro, E., Kostić, M., Cosentino, C., Cosma, P., Bradu, C., Chanet, G., & Crini, G. (2021). Use of Chènevotte, a Valuable Co-Product of Industrial Hemp Fiber, as Adsorbent for Pollutant Removal. Part I: Chemical, Microscopic, Spectroscopic and Thermogravimetric Characterization of Raw and Modified Samples. Molecules, 26(15), 4574. https://doi.org/10.3390/molecules26154574

