Two New Iridoid Glucosides from the Whole Plant of Patrinia scabiosifolia Link
Abstract
1. Introduction
2. Results and Discussions
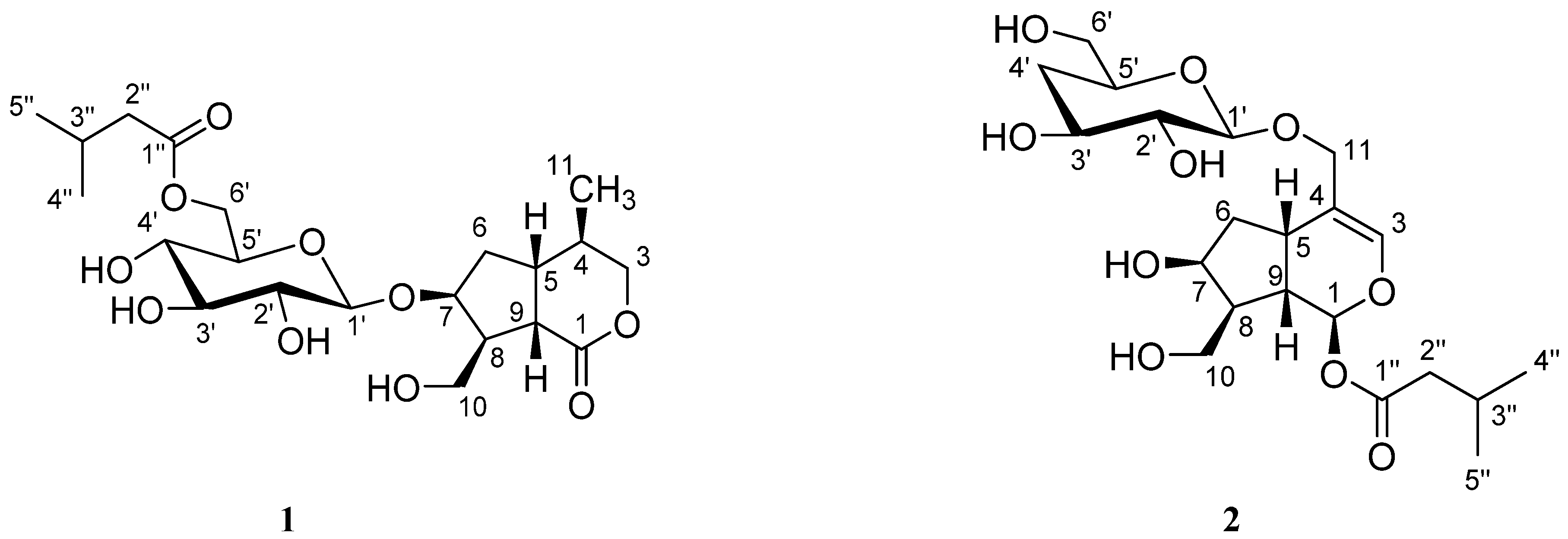
2.1. Chemical Structure of Compound 1
2.2. Chemical Structure of Compound 2
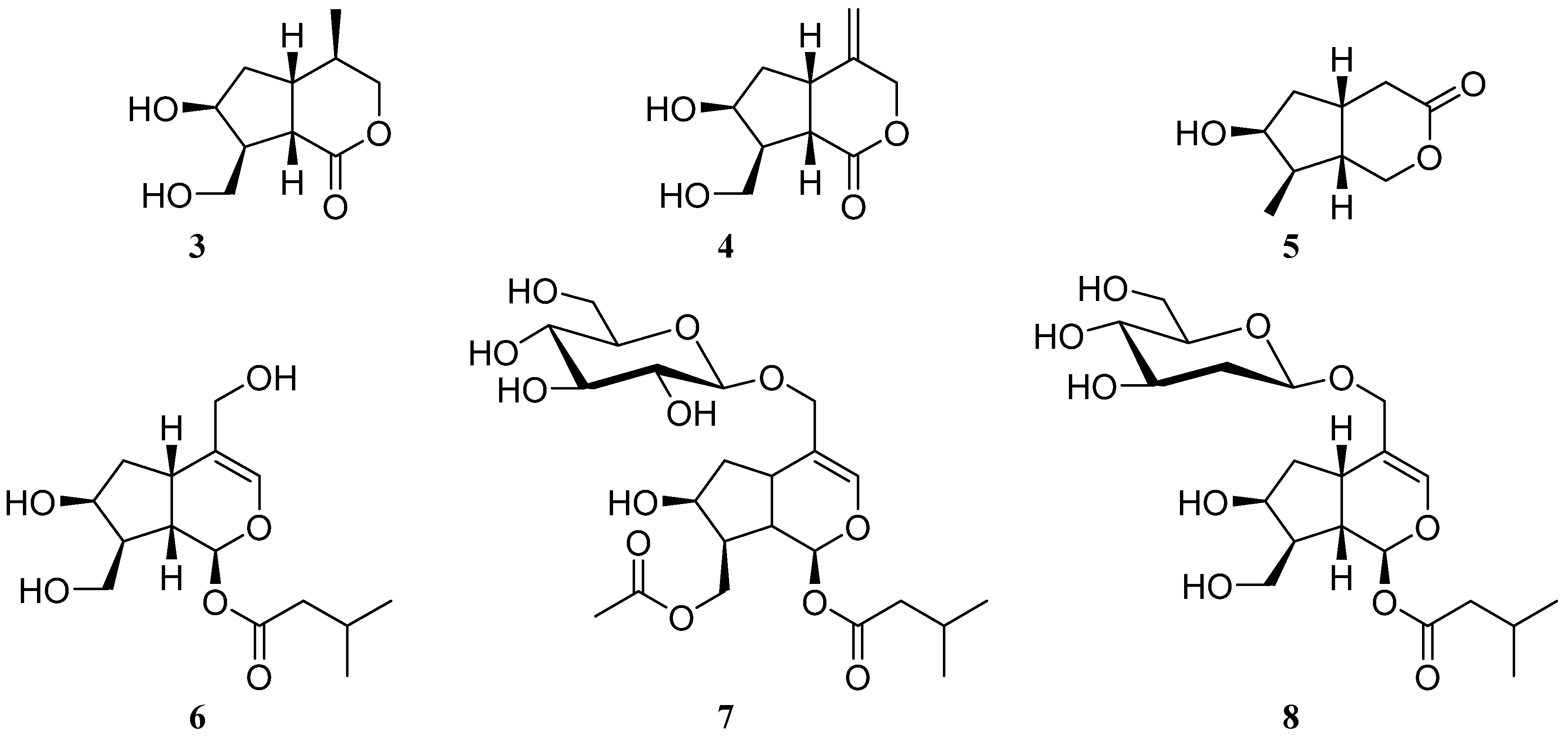
2.3. Chemical Structures of Compounds 3–8
2.4. Biological Activities of Compounds 1–8
3. Materials and Methods
3.1. General
3.2. Plant Material
3.3. Extraction and Isolation
3.4. Spectroscopic Data of Compounds 1 and 2
3.5. Anti-Inflammatory Assay for Compounds 1–8
4. Conclusions
Supplementary Materials
Author Contributions
Funding
Institutional Review Board Statement
Informed Consent Statement
Data Availability Statement
Acknowledgments
Conflicts of Interest
Sample Availability
References
- Pan, M.H.; Chiou, Y.S.; Tsai, M.L.; Ho, C.T. Anti-inflammatory activity of traditional Chinese medicinal herbs. J. Tradit. Complement. Med. 2011, 1, 8–24. [Google Scholar] [CrossRef]
- Craig, R.; Larkin, A.; Mingo, A.M.; Thuerauf, D.J.; Andrews, C.; McDonough, P.M.; Glembotski, C.C. p38 MAPK and NF-κB Collaborate to Induce Interleukin-6 Gene Expression and Release. J. Biol. Chem. 2000, 275, 23814–23824. [Google Scholar] [CrossRef] [PubMed]
- Yuan, J.H.; Cheng, W.P.; Zhang, G.Y.; Ma, Q.J.; Li, X.M.; Zhang, B.; Hu, T.H.; Song, G. Protective effects of iridoid glycosides on acute colitis via inhibition of the inflammatory response mediated by the STAT3/NF-κB pathway. Int. Immunopharmacol. 2020, 81, 106240. [Google Scholar] [CrossRef] [PubMed]
- Shin, J.S.; Kang, S.Y.; Lee, H.H.; Kim, S.Y.; Lee, D.H.; Jang, D.S.; Lee, K.T. Patriscabrin F from the roots of Patrinia scabra attenuates LPS-induced inflammation by downregulating NF-κB, AP-1, IRF3, and STAT1/3 activation in RAW 264.7 macrophages. Phytomedicine 2020, 68, 153167. [Google Scholar] [CrossRef] [PubMed]
- Ma, S.L.; Zhang, C.; Zhang, Z.Y.; Dai, Y.X.; Gu, R.; Jiang, R. Geniposide protects PC12 cells from lipopolysaccharide-evoked inflammatory injury via up-regulation of miR-145-5p. Artif. Cells Nanomed. Biotechnol. 2019, 47, 2875–2881. [Google Scholar] [CrossRef]
- Saidi, I.; Nimbarte, V.D.; Schwalbe, H.; Waffo-Téguo, P.; Harrath, A.H.; Mansour, L.; Alwasel, S.; Jannet, H.B. Anti-tyrosinase, anti-cholinesterase and cytotoxic activities of extracts and phytochemicals from the Tunisian Citharexylum spinosum L.: Molecular docking and SAR analysis. Bioorg. Chem. 2020, 102, 104093. [Google Scholar] [CrossRef] [PubMed]
- Ji, L.L.; Wang, X.; Li, J.J.; Zhong, X.J.; Zhang, B.; Juan, J.; Shang, X.Y. New Iridoid Derivatives from the Fruits of Cornus officinalis and Their Neuroprotective Activities. Molecules 2019, 24, 625. [Google Scholar] [CrossRef]
- Zhang, Y.; Zhou, W.Y.; Song, X.Y.; Yao, G.D.; Song, S.J. Neuroprotective terpenoids from the leaves of Viburnum odoratissimum. Nat. Prod. Res. 2020, 34, 1352–1359. [Google Scholar] [CrossRef] [PubMed]
- Mahran, E.; Morlock, G.E.; Keusgen, M. Guided isolation of new iridoid glucosides from Anarrhinum pubescens by high-performance thin-layer chromatography-acetylcholinesterase assay. J. Chromatogr. A. 2020, 1609, 460438. [Google Scholar] [CrossRef]
- Fu, H.Z.; Ma, Y.Y.; Ma, S.C.; Zhou, Z.Q.; Luo, Y.H. Two new iridoid glycosides from Callicarpa nudiflora. J. Asian Nat. Prod. Res. 2020, 22, 264–270. [Google Scholar] [CrossRef]
- Ye, X.S.; He, J.; Cheng, Y.C.; Zhang, L.; Qiao, H.Y.; Pan, X.G.; Zhang, J.; Liu, S.N.; Zhang, W.K.; Xu, J.K. Cornusides A−O, Bioactive Iridoid Glucoside Dimers from the Fruit of Cornus officinalis. J. Nat. Prod. 2017, 80, 3103–3111. [Google Scholar] [CrossRef] [PubMed]
- The Plant List. 2013. Version 1.1. Available online: http://www.theplantlist.org/ (accessed on 1 January 2021).
- Gong, L.N.; Zou, W.; Zheng, K.Y.; Shi, B.R.; Liu, M.H. The Herba Patriniae (Caprifoliaceae): A Review on Traditional uses, Phytochemistry, Pharmacology and Quality Control. J. Ethnopharmacol. 2021, 265, 113264. [Google Scholar] [CrossRef]
- Woo, W.S.; Choi, J.S.; Seligmann, O.; Wagner, H. Sterol and triterpenoid glycosides from the roots of Patrinia scabiosaefolia. Phytochemistry 1983, 22, 1045–1047. [Google Scholar] [CrossRef]
- Choi, J.S.; Woo, W.S. Triterpenoid Glycosides from the Roots of Patrinia scabiosaefolia. Planta Med. 1987, 62–65. [Google Scholar] [CrossRef] [PubMed]
- Inada, A.; Yamada, M.; Murata, H.; Kobayashi, M.; Toya, H.; Kato, Y.; Nakanishi, T. Phytochemical Studies of Seeds of Medicinal Plants. I. Two Sulfated Triterpenoid Glycosides, Sulfapatrinosides I and II, from Seeds of Patrinia scabiosaefolia Fischer. Chem. Pharm. Bull. 1988, 36, 4269–4274. [Google Scholar] [CrossRef] [PubMed]
- Nakanishi, T.; Tanaka, K.; Murata, H.; Somekawa, M.; Inada, A. Phytochemical Studies of Seeds of Medicinal Plants. III. Ursolic Acid and Oleanolic Acid Glycosides from Seeds of Patrinia scabiosaefolia fischer. Chem. Pharm. Bull. 1993, 41, 183–186. [Google Scholar] [CrossRef]
- Kang, S.S.; Kim, J.S. A Triterpenoid Saponin from Patrinia scabiosaefolia. J. Nat. Prod. 1997, 60, 1060–1062. [Google Scholar] [CrossRef]
- Yang, M.Y.; Choi, Y.H.; Yeo, H.; Kim, J. A new triterpene lactone from the roots of Patrinia scabiosaefolia. Arch. Pharmacal Res. 2001, 24, 416–417. [Google Scholar] [CrossRef]
- Gao, L.; Zhang, L.; Li, N.; Liu, J.-Y.; Cai, P.-L.; Yang, S.-L. New triterpenoid saponins from Patrinia scabiosaefolia. Carbohydr. Res. 2011, 346, 2881–2885. [Google Scholar] [CrossRef]
- Lee, J.Y.; Kim, J.S.; Kim, Y.S.; Kang, S.S. Glycosides from the Aerial Parts of Patrinia villosa. Chem. Pharm. Bull. 2013, 61, 971–978. [Google Scholar] [CrossRef] [PubMed][Green Version]
- Liu, Z.H.; Ma, R.J.; Yang, L.; Li, J.Y.; Hou, B.; Hu, J.M.; Zhou, J. Triterpenoids and iridoids from Patrinia scabiosaefolia. Fitoterapia 2017, 119, 130–135. [Google Scholar] [CrossRef]
- Taguchi, H.; Endo, T. Patrinoside, a New Iridoid Glycoside from Patrinia scabiosaefolia. Chem. Pharm. Bull. 1974, 22, 1935–1937. [Google Scholar] [CrossRef] [PubMed][Green Version]
- Choi, E.J.; Liu, Q.H.; Jin, Q.; Shin, J.E.; Hong, J.; Lee, D.G.; Woo, E.R. New Iridoid Esters from the Roots of Patrinia scabiosaefolia. Bull. Korean Chem. Soc. 2009, 30, 1407–1409. [Google Scholar]
- Liu, Z.H.; Hou, B.; Yang, L.; Ma, R.J.; Li, J.Y.; Hu, J.M.; Zhou, J. Iridoids and bis-iridoids from Patrinia scabiosaefolia. RSC Adv. 2017, 7, 24940–24949. [Google Scholar] [CrossRef]
- Jiang, J.; Yu, X.X.; Fang, Y.C.; Zhang, Y.; Li, N.; Wang, K.J. Chemical Constituents of the Roots of Patrinia scabiosaefolia and the Cytotoxicity of Patrineolignans A and B. Chem. Nat. Compd. 2017, 53, 143–146. [Google Scholar] [CrossRef]
- Jennings, J.P.; Klyne, W.; Scopes, P.M. Optical Rotatory Dispersion. Part XXIV. Lactones. J. Chem. Soc. 1965, 7211–7229. [Google Scholar] [CrossRef]
- Nishiya, K.; Kimura, T.; Takeya, K.; Itokawa, H. Sesquiterpenoids and Iridoid Glycosides from Valeriana Fauriei. Phytochemistry 1992, 31, 3511–3514. [Google Scholar] [CrossRef]
- Gu, J.Q.; Wang, Y.H.; Franzblau, S.G.; Montenegro, G.; Yang, D.Z.; Timmermann, B.N. Antitubercular Constituents of Valeriana laxiflora. Planta Med. 2004, 70, 509–514. [Google Scholar] [CrossRef]
- Zhang, Y.; Lu, Y.; Zhang, L.; Zheng, Q.T.; Xu, L.Z.; Yang, S.L. Terpenoids from the Roots and Rhizomes of Nardostachys chinensis. J. Nat. Prod. 2005, 68, 1131–1133. [Google Scholar] [CrossRef]
- Yang, G.J.; Gu, Z.B.; Liu, W.Y.; Qiu, Y.; Li, T.Z.; Zhang, W.D. Two new iridoids from Patrinia scabra. J. Asian Nat. Prod. Res. 2004, 6, 277–280. [Google Scholar] [CrossRef] [PubMed]
- Gering, B.; Wichtl, M. Phytochemical Investigations on Penstemon hirsutus. J. Nat. Prod. 1987, 50, 1048–1054. [Google Scholar] [CrossRef]
- Pieri, V.; Schwaiger, S.; Ellmerer, E.P.; Stuppner, H. Iridoid Glycosides from the Leaves of Sambucus ebulus. J. Nat. Prod. 2009, 72, 1798–1803. [Google Scholar] [CrossRef]
- Shah, Z.; Ali, F.; Ullah, H.; Shah, A.; Khan, D.; Khan, S.; Khan, R.; Ali, I. Biological Screening and Chemical Constituents of Viburnum grandiflorum. J. Chem. Soc. Pak. 2014, 36, 113–118. [Google Scholar]
- Lee, D.H.; Shin, J.S.; Kang, S.Y.; Lee, S.B.; Lee, J.S.; Ryu, S.M.; Lee, K.T.; Lee, D.; Jang, D.S. Iridoids from the Roots of Patrinia scabra and Their Inhibitory Potential on LPS-Induced Nitric Oxide Production. J. Nat. Prod. 2018, 81, 1468–1473. [Google Scholar] [CrossRef] [PubMed]
- Lee, D.H.; Shin, J.S.; Lee, J.S.; Kang, S.Y.; Han, H.S.; Ryu, S.M.; Lee, K.T.; Lee, D.; Jang, D.S. Non-glycosidic iridoids from the roots of Patrinia scabra and their nitric oxide production inhibitory effects. Arch. Pharm. Res. 2019, 42, 766–772. [Google Scholar] [CrossRef] [PubMed]
- Wu, P.; Song, Z.T.; Li, Y.; Wang, H.M.; Zhang, H.; Bao, J.H.; Li, Y.H.; Cui, J.L.; Jin, D.Q.; Wang, A.J.; et al. Natural Iridoids from Patrinia heterophylla showing anti-inflammatory activities in vitro and in vivo. Bioorg. Chem. 2020, 104, 104331. [Google Scholar] [CrossRef]
- Zhang, H.J.; Deng, A.J.; Zhang, Z.H.; Yu, Z.H.; Liu, Y.; Peng, S.Y.; Wu, L.Q.; Qin, H.L.; Wang, W.J. The protective effect of epicatechin on experimental ulcerative colitis in mice is mediated by increasing antioxidation and by the inhibition of NF-κB pathway. Pharmacol. Rep. 2016, 68, 514–520. [Google Scholar] [CrossRef] [PubMed]





| Compounds | 1 | 2 | ||
|---|---|---|---|---|
| Position | δC | δH | δC | δH |
| 1 | 178.1 | 93.6 | 5.91, d, J = 5.4 Hz | |
| 2 | ||||
| 3 | 74.4 | 4.14, dd, J = 10.7, 3.2 Hz 3.97, t, J = 10.7 Hz | 140.0 | 6.37, s |
| 4 | 37.3 | 1.57, m | 116.5 | |
| 5 | 43.3 | 2.39, m | 34.1 | 3.03, q-like, J = 7.7 Hz |
| 6 | 40.5 | 2.38, m 1.33, m | 40.9 | 2.07, m 1.83, ddd, J = 13.1, 8.0, 4.9 Hz |
| 7 | 83.7 | 4.26, br.t, J = 3.8 Hz | 73.3 | 4.33, td, J = 4.9, 3.0 Hz |
| 8 | 51.3 | 2.44, m | 49.1 | 1.96, m |
| 9 | 42.7 | 2.81, m | 42.7 | 2.18, m |
| 10 | 61.8 | 3.89, dd, J = 11.0, 4.8 Hz 3.82, dd, J = 11.0, 9.0 Hz | 62.2 | 3.82, dd, J = 10.9, 7.5 Hz 3.73, dd, J = 10.9, 5.7 Hz |
| 11 | 15.8 | 0.99, d, J = 6.7 Hz | 69.6 | 4.25, d, J = 11.5 Hz 4.07, d, J = 11.5 Hz |
| saccharide moiety | ||||
| 1′ | 105.2 | 4.39, d, J = 7.8 Hz | 103.8 | 4.23, d, J = 7.8 Hz |
| 2′ | 75.3 | 3.13, dd, J = 9.1, 7.8 Hz | 76.9 | 3.10, dd, J = 8.9, 7.8 Hz |
| 3′ | 77.9 | 3.34, t, J = 9.1 Hz | 72.2 | 3.60, m |
| 4′ | 71.5 | 3.26, dd, J = 9.7, 9.1 Hz | 36.4 | 1.92, m 1.36, m |
| 5′ | 75.4 | 3.44, ddd, J = 9.7, 5.8, 2.1 Hz | 73.9 | 3.53, m |
| 6′ | 64.3 | 4.47, dd, J = 11.8, 2.1 Hz 4.14, dd, J = 11.8, 5.8 Hz | 65.6 | 3.57, m |
| isovaleryl moiety | ||||
| 1″ | 174.5 | 172.3 | ||
| 2″ | 44.3 | 2.24, d, J = 6.8 Hz 2.25, d, J = 7.5 Hz | 44.1 | 2.24, d, J = 6.8 Hz 2.25, d, J = 7.5 Hz |
| 3″ | 27.0 | 2.06, m | 26.8 | 2.09, m |
| 4″ | 22.8 | 0.95, d, J = 6.7 Hz | 22.6 | 0.97, d, J = 6.8 Hz |
| 5″ | 22.8 | 0.95, d, J = 6.7 Hz | 22.6 | 0.97, d, J = 6.8 Hz |
| Compounds | Concentration | Inhibitory Rate * (%) |
|---|---|---|
| JSH-23 | 10 μM | 78.92 |
| 1 | 10 μM | 48.39 |
| 2 | 10 μM | 0.00 |
| 3 | 10 μM | 73.44 |
| 4 | 10 μM | 48.39 |
| 5 | 10 μM | 13.55 |
| 6 | 10 μM | 0.00 |
| 7 | 10 μM | 0.00 |
| 8 | 10 μM | 6.88 |
Publisher’s Note: MDPI stays neutral with regard to jurisdictional claims in published maps and institutional affiliations. |
© 2021 by the authors. Licensee MDPI, Basel, Switzerland. This article is an open access article distributed under the terms and conditions of the Creative Commons Attribution (CC BY) license (https://creativecommons.org/licenses/by/4.0/).
Share and Cite
Sun, S.; Fu, J.; Liu, K.; Dai, M.; Li, Y.; Liu, Y.; Ma, S.; Qu, J. Two New Iridoid Glucosides from the Whole Plant of Patrinia scabiosifolia Link. Molecules 2021, 26, 4201. https://doi.org/10.3390/molecules26144201
Sun S, Fu J, Liu K, Dai M, Li Y, Liu Y, Ma S, Qu J. Two New Iridoid Glucosides from the Whole Plant of Patrinia scabiosifolia Link. Molecules. 2021; 26(14):4201. https://doi.org/10.3390/molecules26144201
Chicago/Turabian StyleSun, Shikai, Jiang Fu, Kaidong Liu, Mingzhu Dai, Yong Li, Yunbao Liu, Shuanggang Ma, and Jing Qu. 2021. "Two New Iridoid Glucosides from the Whole Plant of Patrinia scabiosifolia Link" Molecules 26, no. 14: 4201. https://doi.org/10.3390/molecules26144201
APA StyleSun, S., Fu, J., Liu, K., Dai, M., Li, Y., Liu, Y., Ma, S., & Qu, J. (2021). Two New Iridoid Glucosides from the Whole Plant of Patrinia scabiosifolia Link. Molecules, 26(14), 4201. https://doi.org/10.3390/molecules26144201

