Effect of Modification on the Fluid Diffusion Coefficient in Silica Nanochannels
Abstract
1. Introduction
2. Nanoflow Model
2.1. Modeling
2.2. Force Field Analysis
2.3. Simulation Details
3. Results and Analysis
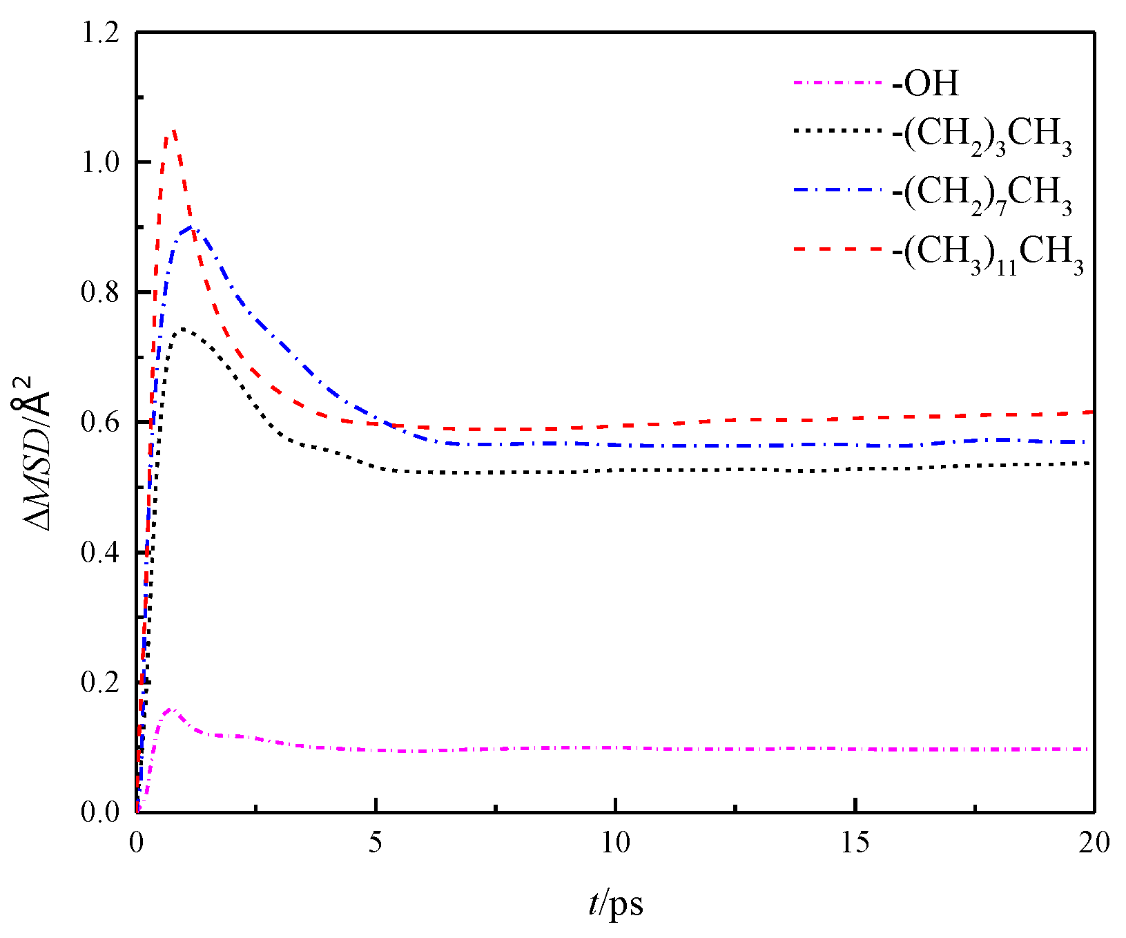
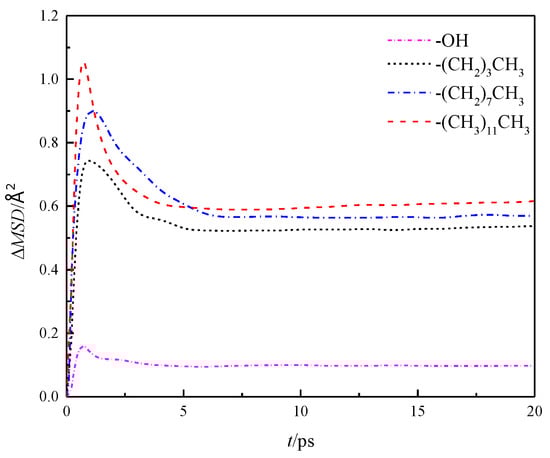
3.1. Simulation of Diffusion Coefficients of Fluids in Nanochannels
3.2. The Radial Distribution Function and the Velocity Distribution of the Fluid
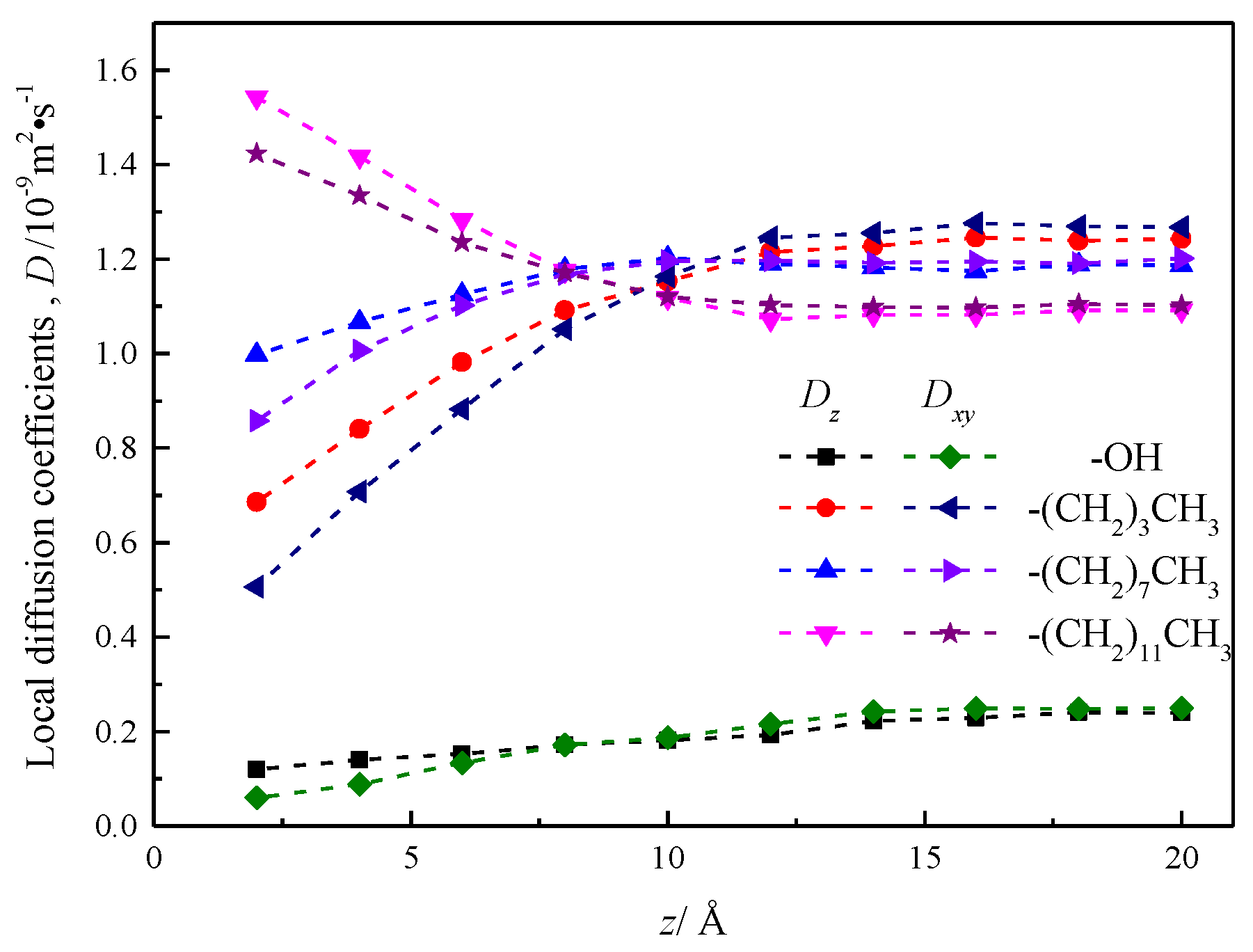
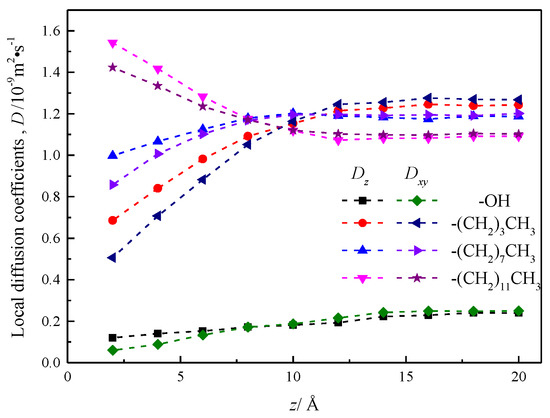
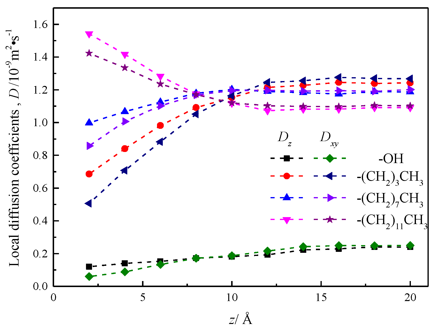
3.3. Simulation of Local Diffusion Coefficients of Fluids in Nanochannels
4. Conclusions
Author Contributions
Funding
Institutional Review Board Statement
Informed Consent Statement
Data Availability Statement
Acknowledgments
Conflicts of Interest
Sample Availability
References
- Wei, M.J.; Lu, L.; Zhu, Y.; Guo, X.; Lu, X. Improving diffusion of water molecules in slits of titanium dioxide: Molecular dynamics simulation. CIESC J. 2013, 64, 365–373. (In Chinese) [Google Scholar]
- Hummer, G.; Rasaiah, J.C.; Noworyta, J.P. Water conduction through the hydrophobic channel of a carbon nanotube. Nature 2001, 414, 188–190. [Google Scholar] [CrossRef] [PubMed]
- Szwaba, R.; Ochrymiuk, T.; Lewandowski, T.; Czerwinska, J. Experimental investigation of the microscale effects in perforated plateaerodynamics. J. Fluids Eng. 2013, 135, 121104. [Google Scholar] [CrossRef]
- Zhang, X.; Fan, Y. Preparation of spherical silica particles in reverse micro emulsions using silicon tetrachloride as precursor. J. Non-Cryst. Solids 2012, 358, 337–341. [Google Scholar] [CrossRef]
- Bianco, A.; Kostarelos, K.; Prato, M. Applications of carbon nanotubes in drug delivery. Curr. Opin. Chem. Biol. 2005, 9, 674–679. [Google Scholar] [CrossRef]
- Suciu, C.V.; Iwatsubo, T.; Deki, S. Investigation of a colloidal damper. J. Colloid. Interface Sci. 2003, 259, 62–80. [Google Scholar] [CrossRef]
- Magda, J.J.; Tirrell, M.; Davis, H.T. Molecular dynamics of narrow, liquid-filled pores. J. Chem. Phys. 1985, 83, 1888–1901. [Google Scholar] [CrossRef]
- Bourg, I.C.; Steefel, C.I. Molecular Dynamics Simulations of Water Structure and Diffusion in Silica Nanopores. J. Phys. Chem. C 2012, 116, 11556–11564. [Google Scholar] [CrossRef]
- Fasano, M.; Chiavazzo, E.; Asinari, P. Water transport control in carbon nanotube arrays. Nanoscale Res. Lett. 2014, 9, 559. [Google Scholar] [CrossRef] [PubMed][Green Version]
- Liu, Y.; Wang, Q.; Lu, L.; Zhang, L. Structural and Diffusion Properties of Water in Hydrophobic Micropores by Molecular Simulation. Acta Phys. Chim. Sin. 2005, 21, 63–68. (In Chinese) [Google Scholar]
- Zhao, M.-Y.; Yang, X.-P.; Yang, X.-L. Molecular Dynamics Simulation of Water Molecules in Confined Slit Pores of Graphene. Acta Phys. Chim. Sin. 2015, 31, 1489–1498. (In Chinese) [Google Scholar] [CrossRef]
- Fasano, M.; Humplik, T.; Bevilacqua, A.; Tsapatsis, M.; Chiavazzo, E.; Wang, E.N.; Asinari, P. Interplay between hydrophilicity and surface barriers on water transport in zeolite membranes. Nat. Commun. 2016, 7, 12762. [Google Scholar] [CrossRef]
- Allen, M.P.; Tildesley, D.J. Computer Simulation of Liquids; Clarendon Press: Wotton-under-Edge, UK, 1989. [Google Scholar]
- Gong, Z.; Zhou, C.; Chen, G. Research on wettability of silica gel nano-channel with modification. Chin. J. Appl. Mech. 2016, 33, 553–559+732. (In Chinese) [Google Scholar]
- Abascal, J.L.F.; Vega, C. A general purpose model for the condensed phases of water: TIP4P/2005. J. Chem. Phys. 2005, 123, 234505. [Google Scholar] [CrossRef] [PubMed]
- Rizzi, F.; Jones, R.E.; Debusschere, B.J.; Knio, O.M. Uncertainty quantification in MD simulations of concentration driven ionic flow through a silica nanopore. I. Sensitivity to physical parameters of the pore. J. Chem. Phys. 2013, 138, 194104. [Google Scholar] [CrossRef] [PubMed]
- Lopes, P.E.M.; Murashov, V.; Tazi, M.; Demchuk, E.; MacKerell, A.D. Development of an empirical force field for silica. Application to the quartz-water interface. J. Phys. Chem. B 2006, 110, 2782–2792. [Google Scholar] [CrossRef] [PubMed]
- Siu, S.W.I.; Pluhackova, K.; Böckmann, R.A. Optimization of the OPLS-AA force field for long hydrocarbons. J. Chem. Theory Comput. 2012, 8, 1459–1470. [Google Scholar] [CrossRef]
- Mannfors, B.; Palmo, K.; Krimm, S. A new electrostatic model for molecular mechanics force fields. J. Mol. Struct. 2000, 556, 1–21. [Google Scholar] [CrossRef]
- Thompson, P.A.; Robbins, M.O. Shear flow near solids: Epitaxial order and flow boundary conditions. Phys. Rev. A 1990, 41, 6830–6837. [Google Scholar] [CrossRef]
- Atkins, P.W.; de Paula, J. Physical Chemistry, 7th ed.; Oxford University Press: Oxford, UK, 2002. [Google Scholar]
- Chai, J.C.; Liu, S.Y.; Yang, X.N. Molecular dynamics simulation of wetting on modified amorphous silica surface. Appl. Surf. Sci. 2009, 255, 9078–9084. [Google Scholar] [CrossRef]
- Guo, Z.; Zhao, T.S.; Shi, Y. Generalized hydrodynamic model for fluid flows: From nanoscale to macroscale. Phys. Fluids 2006, 18, 2451–2466. [Google Scholar] [CrossRef]
- Zeng, H.; Wu, K.; Cui, X.; Chen, Z. Wettability effect on nanoconfined water flow: Insights and perspectives. Nano Today 2017, 16, 7–8. [Google Scholar] [CrossRef]
- Zhu, H.; Wang, Y.; Fan, Y.; Xu, J.; Yang, C. Structure and Transport Properties of Water and Hydrated Ions in Nano-Confined Channels. Adv. Theory Simul. 2019, 2, 1900016. [Google Scholar] [CrossRef]
- Sonnenschein, R.; Heinzinger, K. A molecular dynamics study of water between Lennard-Jones walls. Chem. Phys. Lett. 1983, 102, 550–554. [Google Scholar] [CrossRef]
- Kerisit, S.; Cooke, D.J.; Spagnoli, D.; Parker, S.C. Molecular dynamics simulations of the interactions between water and inorganic solids. J. Mater. Chem. 2005, 15, 1454–1463. [Google Scholar] [CrossRef]












| Composition of Multiphase System | Atomic Type | ε/eV | σ/Å | |e| |
|---|---|---|---|---|
| water | Hw | 0.0 | 0.0 | 0.5564 |
| Ow | 0.00803105 | 3.1589 | −1.1128 | |
| hydroxyl | Ohy | 0.006595682 | 3.1538 | −0.51 |
| Hhy | 0.001994750 | 0.4 | 0.32 | |
| silica | OSiO2 | 0.006595682 | 3.1538 | −0.70 |
| Si | 0.02602000 | 3.91996 | bond incrementally | |
| alky chain | Cch2 | 0.002862039 | 3.5 | −0.148 |
| Cch3 | 0.002862039 | 3.5 | −0.222 | |
| Hch2 | 0.001140073 | 2.5 | 0.074 | |
| Hch3 | 0.001300927 | 2.5 | 0.074 |
| Nanochannel Type | –OH | –(CH2)3CH3 | –(CH2)7CH3 | –(CH2)11CH3 | |
|---|---|---|---|---|---|
| Diffusion coefficient (10−9 m2·s−1) | x | 0.20 | 1.15 | 1.23 | 1.24 |
| y | 0.19 | 1.06 | 1.17 | 1.21 | |
| z | 0.15 | 0.75 | 0.93 | 1.15 | |
| DMSD | 0.18 | 0.99 | 1.11 | 1.20 | |
| DVACF | 0.17 | 0.92 | 1.04 | 1.17 | |
Publisher’s Note: MDPI stays neutral with regard to jurisdictional claims in published maps and institutional affiliations. |
© 2021 by the authors. Licensee MDPI, Basel, Switzerland. This article is an open access article distributed under the terms and conditions of the Creative Commons Attribution (CC BY) license (https://creativecommons.org/licenses/by/4.0/).
Share and Cite
Chen, G.; Liu, Z. Effect of Modification on the Fluid Diffusion Coefficient in Silica Nanochannels. Molecules 2021, 26, 4030. https://doi.org/10.3390/molecules26134030
Chen G, Liu Z. Effect of Modification on the Fluid Diffusion Coefficient in Silica Nanochannels. Molecules. 2021; 26(13):4030. https://doi.org/10.3390/molecules26134030
Chicago/Turabian StyleChen, Gengbiao, and Zhiwen Liu. 2021. "Effect of Modification on the Fluid Diffusion Coefficient in Silica Nanochannels" Molecules 26, no. 13: 4030. https://doi.org/10.3390/molecules26134030
APA StyleChen, G., & Liu, Z. (2021). Effect of Modification on the Fluid Diffusion Coefficient in Silica Nanochannels. Molecules, 26(13), 4030. https://doi.org/10.3390/molecules26134030

