Ochraceopyronide, a Rare α-Pyrone-C-lyxofuranoside from a Soil-Derived Fungus Aspergillus ochraceopetaliformis
Abstract
:1. Introduction
2. Results and Discussion
2.1. Isolation and Phylogenetic Identification of ASAI
2.2. Extraction and Purification
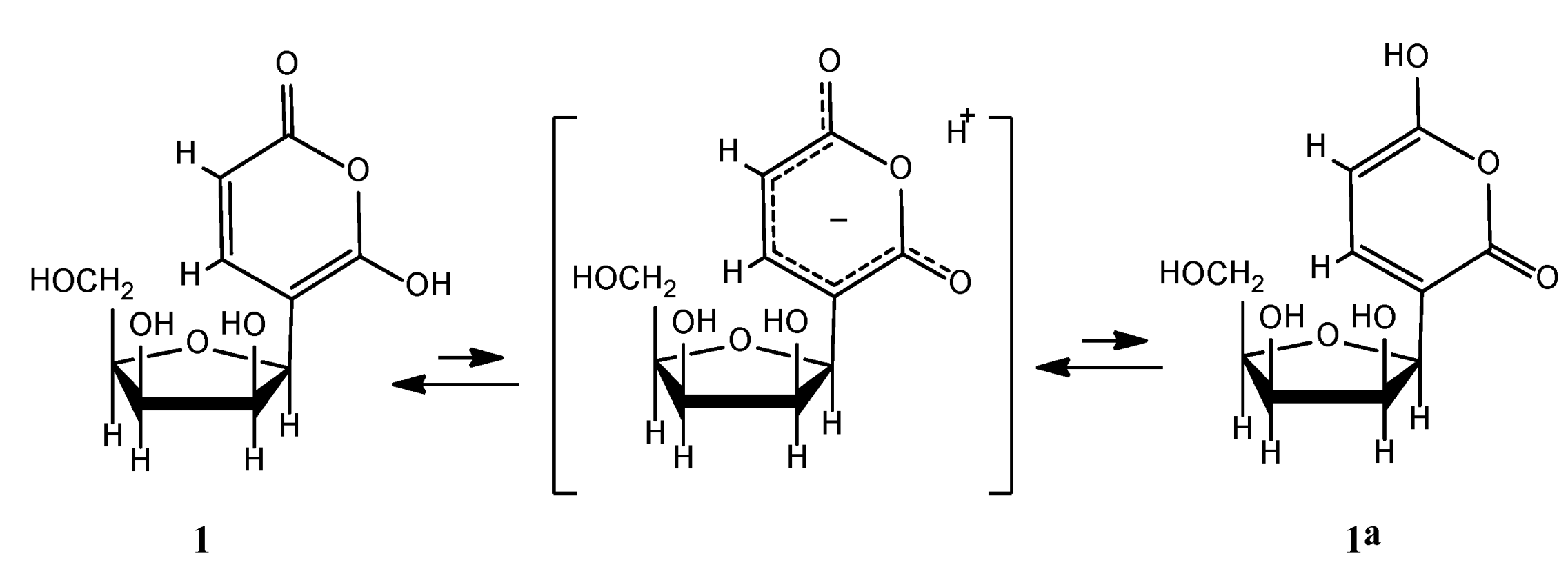
2.3. Structure Elucidation
2.4. Antimicrobial Activity
3. Materials and Methods
3.1. Instrumentation
3.2. Isolation and Identification of the Producing Strain
3.3. Up-Scale Fermentation and Extraction
3.4. Isolation and Purification of Secondary Metabolites
3.5. Antimicrobial Assay Using Agar Diffusion–Dilution Test
3.6. Molecular Dynamic Simulations
4. Conclusions
Supplementary Materials
Author Contributions
Funding
Institutional Review Board Statement
Informed Consent Statement
Data Availability Statement
Acknowledgments
Conflicts of Interest
Sample Availability
References
- Blakwell, M. The Fungi:1,2,3…5.1million species ? Am. J. Bot. 2011, 98, 426–438. [Google Scholar] [CrossRef]
- Hawksworth, D.L.; Lücking, R. Fungal diversity revisited: 2.2 to 3.8 million species. Microbiol. Spectr. 2017. [Google Scholar] [CrossRef]
- Gori, K.; Cantor, M.D.; Jakobsen, M.; Jespersent, L.; Nout, M.J.R.; Aidoo, K.E.; Hartmeier, W.; Reiss, M.; Upadhyay, R.C.; Singh, M. Traditional Food and Beverage Fermentation. In The Mycota, Industrial Applications, 2nd ed.; Esser, K., Hofrichter, M., Eds.; Springer: Berlin/Heidelberg, Germany, 2010; Volume X, pp. 3–97. ISBN 978-3-642-11458-8. [Google Scholar]
- Demain, A.L.; Velasco, J.; Adrio, J.L. Industrial Mycology: Past, Present and Future. In Handbook of Industrial Mycology; An, Z., Ed.; Marcel Dekker: New York, NY, USA, 2004; pp. 1–25. [Google Scholar] [CrossRef]
- Freire, D.C.O.F.; da Rocha, M.E.B. Impact of mycotoxins on human health. In Fungal Metabolites; Mérillon, J.M., Ramawat, K., Eds.; Springer: Cham, Switzerland, 2017; pp. 239–262. [Google Scholar] [CrossRef]
- Bräse, S.; Encinas, A.; Keck, J.; Nising, C.F. Chemistry and Biology of Mycotoxins and Related Fungal Metabolites. Chem. Rev. 2009, 109, 3903–3990. [Google Scholar] [CrossRef]
- Keller, N.P. Fungal secondary metabolism: Regulation, function and drug discovery. Nat. Rev. Microbiol. 2019, 17, 167–180. [Google Scholar] [CrossRef]
- Hanson, J.R. The Chemistry of Fungi; RSC Publishing: Cambridge, UK, 2008. [Google Scholar] [CrossRef] [Green Version]
- Schueffler, A.; Anke, T. Fungal natural products in research and development. Nat. Prod. Rep. 2014, 31, 1425–1448. [Google Scholar] [CrossRef]
- Demain, A.L.; Martens, E. Production of valuable compounds by molds and yeasts. J. Antibiot. 2017, 70, 347–360. [Google Scholar] [CrossRef] [Green Version]
- Bills, G.F.; Gloer, J.B. Biologically Active Secondary Metabolites from the Fungi. In The Fungal Kingdom; Heitman, J.B., Howlett, J., Crous, P.W., Stukenbrock, E.H., James, T.Y., Gow, N.A.R., Eds.; ASM Press: Washington, DC, USA, 2018; Chapter 54; pp. 1087–1121. [Google Scholar] [CrossRef]
- Hussain, H.; Mamadalieva, N.Z.; Ali, I.E.; Green, I.R.; Wang, D.; Zou, L.; Simal-Gandara, J.; Cao, H.; Xiao, J. Fungal glycosides: Structure and biological function. Trends Food Sci. Technol. 2021, 110, 611–651. [Google Scholar] [CrossRef]
- Hussain, H.; Ali, I.E.; Hussein, W.; Mamadalieva, N.Z.; Hussein, A.; Ali, M.; Ahmed, I.; Ullah, I.; Green, I.R. Synthetic Studies towards Fungal glycosides: An Overview. Curr. Org. Chem. 2020, 24, 2865–2901. [Google Scholar] [CrossRef]
- Visagie, C.M.; Varga, J.; Houbraken, J.; Meijer, M.; Kocsubé, S.; Yilmaz, N.; Fotedar, R.; Seifert, K.A.; Frisvad, J.C.; Samson, R.A. Ochratoxin production and taxonomy of the yellow aspergilli (Aspergillus section Circumdati). Stud. Mycol. 2014, 78, 1–61. [Google Scholar] [CrossRef] [Green Version]
- Brasch, J.; Vargas, J.; Jensen, J.-M.; Egberts, F.; Tintelnot, K. Nail infection by Aspergillus ochraceopetaliformis. Med. Mycol. 2009, 47, 658–662. [Google Scholar] [CrossRef] [Green Version]
- Wang, J.; Wei, X.; Qin, X.; Tian, X.; Liao, L.; Li, K.; Zhou, X.; Yang, X.; Wang, F.; Zhang, T.; et al. Antiviral merosesquiterpenoids produced by the Antarctic fungus Aspergillus ochraceopetaliformis SCSI 05702. J. Nat. Prod. 2016, 79, 59–65. [Google Scholar] [CrossRef]
- Wang, J.; He, W.; Kong, F.; Tian, X.; Wang, P.; Zhou, X.; Liu, Y. Ochracenes A−I, Humulane-Derived Sesquiterpenoids from the Antarctic Fungus Aspergillus ochraceopetaliformis. J. Nat. Prod. 2017, 80, 1725–1733. [Google Scholar] [CrossRef]
- Liu, J.-T.; Wu, W.; Cao, M.-J.; Yang, F.; Lin, H.-W. Trienic α-pyrone and ochratoxin derivatives from a sponge-derived fungus Aspergillus ochraceopetaliformis. Nat. Prod. Res. 2018, 32, 1791–1797. [Google Scholar] [CrossRef]
- Hwang, J.-Y.; Lee, J.-H.; Park, S.C.; Lee, J.; Oh, D.-C.; Oh, K.-B.; Shin, J. New Peptides from The Marine-Derived Fungi Aspergillus allahabadii and Aspergillus ochraceopetaliformis. Mar. Drugs 2019, 17, 488. [Google Scholar] [CrossRef] [Green Version]
- Hu, H.-C.; Li, C.-Y.; Tsai, Y.-H.; Yang, D.-Y.; Wu, Y.-C.; Hwang, T.-L.; Chen, S.-L.; Fülöp, F.; Hunyadi, A.; Yen, C.-H.; et al. Secondary Metabolites and Bioactivities of Aspergillus ochraceopetaliformis isolated from Anthurium brownii. ACS Omega 2020, 5, 20991–20999. [Google Scholar] [CrossRef]
- Pattnaik, S.; Ahmed, T.; Ranganathan, S.K.; Ampasala, D.R.V.; Sarmab, V.; Busi, S. Aspergillus ochraceopetaliformis SSP13 modulates quorum sensing regulated virulence and biofilm formation in Pseudomonas aeruginosa PAO1. Biofouling 2018, 34, 410–425. [Google Scholar] [CrossRef]
- Abd El-Rahman, T.M.A.; Tharwat, N.A.; Abo El-Souad, S.M.S.; El-Beih, A.A.; El-Diwany, A.I. Biological activities and variation of symbiotic fungi isolated from Coral reefs collected from Red Sea in Egypt. Mycology 2020, 11, 243–255. [Google Scholar] [CrossRef] [Green Version]
- Michalakea, E.; Graikou, K.; Aligiannis, N.; Panoutsopoulosa, G.; Kalpoutzakis, E.; Roussakis, C.; Chinou, I. Isolation and structure elucidation of secondary metabolites of two Greek endemic Inula species. Biological activities. Phytochem. Lett. 2019, 31, 155–160. [Google Scholar] [CrossRef]
- Du, L.; Zhu, T.; Liu, H.; Fang, Y.; Zhu, W.; Gu, Q. Cytotoxic Polyketides from a Marine-derived Fungus Aspergillus glaucus. J. Nat. Prod. 2008, 71, 1837–1842. [Google Scholar] [CrossRef]
- Wang, W.-L.; Liu, P.-P.; Zhang, Y.-P.; Li, J.; Tao, H.-W.; Gu, Q.-Q.; Zhu, W.-M. 2-Hydroxydiplopterol, A New Cytotoxic Pentacyclic Triterpenoid from the Halotolerant Fungus Aspergillus variecolor B-17. Arch. Pharm. Res. 2009, 32, 1211–1214. [Google Scholar] [CrossRef]
- Gonçalves, R.S.; Silva, E.L.; Hioka, N.; Nakamura, C.V.; Bruschi, M.L.; Caetano, W. An optimized protocol for anthraquinones isolation from Rhamnus frangula L. Nat. Prod. Res. 2018, 32, 366–369. [Google Scholar] [CrossRef]
- Liao, W.-Y.; Shen, C.N.; Lin, L.H.; Yang, Y.L.; Han, H.Y.; Chen, J.W.; Kuo, S.C.; Wu, S.H.; Liaw, C.C. Asperjinone, A Nor-Neolignan, and Terrein, A Suppressor of ABCG2-expressing Breast Cancer Cells, from Thermophilic Aspergillus terreus. J. Nat. Prod. 2012, 75, 630–635. [Google Scholar] [CrossRef] [PubMed]
- Beiera, R.C.; Mundy, B.P.; Strobel, G.A. Assignment of anomeric configuration and identification of carbohydrate residues by 13C NMR. 1. Galacto- and glucopyranosides and furanosides. Can. J. Chem. 1980, 58, 2800–2804. [Google Scholar] [CrossRef]
- Chu, C.K.; El-Kabbani, F.M.; Thompson, B.B. Determination of the Anomeric Configuration of C-Nucleosides by 1H and 13C NMR Spectroscopy. Nucleosides Nucleotides 1984, 3, 1–31. [Google Scholar] [CrossRef]
- Kwok, D.L.; Outten, R.A.; Huhn, R.; Daves, G.D., Jr. 8-Ethyl-l-methoxybenzo[d]naphtho[l,2-b]pyran-6-C-Glycosides by Acid-Catalyzed Glycosyla-tion. J. Org. Chem. 1988, 53, 5359–5361. [Google Scholar] [CrossRef]
- Hosoya, T.; Takashiro, E.; Matsumoto, T.; Suzuki, K. Total Synthesis of the Gilvocarcins. J. Am. Chem. Soc. 1994, 116, 1004–1015. [Google Scholar] [CrossRef]
- Yang, M.-H.; Fang, Y.-S.; Cai, L.; Li, Y.; Dong, J.-W.; Yin, T.-P.; Huang, C.-L.; Ding, Z.-T. A new flavone C-glycoside and a new bibenzyl from Bulbophyllum retusiusculum. Nat. Prod. Res. 2016, 30, 1617–1621. [Google Scholar] [CrossRef]
- Costantino, V.; Fattorusso, E.; Imperatore, C.; Mangoni, A. Glycolipids from Sponges. 20. 3J-Coupling Analysis for Stereochemical Assignments in Furanosides: Structure Elucidation of Vesparioside B, a Glycosphingolipid from the Marine Sponge Spheciospongia vesparia. J. Org. Chem. 2008, 73, 6158–6165. [Google Scholar] [CrossRef]
- Watanadilok, R.; Sonchaeng, P.; Kijjoa, A.; Damas, A.M.; Gales, L.; Silva, A.M.S.; Herz, W. Tetillapyrone and Nortetillapyrone, Two Unusual Hydroxypyran-2-ones from the Marine Sponge Tetilla japonica. J. Nat. Prod. 2001, 64, 1056–1058. [Google Scholar] [CrossRef]
- Wattanadilok, R.; Sawangwong, P.; Rodrigues, C.; Cidade, H.; Pinto, M.; Pinto, E.; Silva, A.; Kijjoa, A. Antifungal Activity Evaluation of the Constituents of Haliclona baeri and Haliclona cymaeformis, Collected from the Gulf of Thailand. Mar. Drugs 2007, 5, 40–51. [Google Scholar] [CrossRef]
- Burns, D.; Reynolds, W.F.; Buchanan, G.R.P.B.; Enriquez, R.G. Assignment of 1H and 13C spectra and investigation of hindered side-chain rotation in lupeol derivatives. Magn. Res. Chem. 2000, 38, 488–493. [Google Scholar] [CrossRef]
- Mutai, C.; Abatis, D.; Vagias, C.; Moreau, D.; Roussakis, C.; Rousi, V. Cytotoxic lupane-type triterpenoids from Acacia mellifera. Phytochemistry 2005, 65, 1159–1164. [Google Scholar] [CrossRef]
- Altona, C.; Sundaralingam, M. Conformational analysis of the sugar ring in Nucleosides and Nucleotides. A New Description using the Concept of Pseudorotation. J. Am. Chem. Soc. 1972, 94, 8205–8212. [Google Scholar] [CrossRef]
- Westhof, E.; Sundaralingam, M. A Method for the Analysis of Puckering Disorder in Five-Membered Rings: The Relative Mobilities of Furanose and Proline Rings and Their Effects on Polynucleotide and Polypeptide Backbone Flexibility. J. Am. Chem. Soc. 1983, 105, 970–976. [Google Scholar] [CrossRef]
- Brakta, M.; Roger, M.; Farr, N.; Chaguir, B.; Massiot, G.; Lavaud, C.; Anderson, W.R., Jr.; Sinou, D.; Daves, G.D., Jr. Assignment of Anomeric Configuration of C-Glycopyranosides and C-Glycofuranosides. A 1H, 13C and NOE Spectrometric Study. J. Org. Chem. 1993, 58, 2992–2998. [Google Scholar] [CrossRef]
- Napolitano, J.G.; Gavin, J.A.; Garcia, C.; Norte, M.; Fernandez, J.J.; Daranas, A.H. On the Configuration of Five-Membered Rings: A Spin–Spin Coupling Constant Approach. Chem. Eur. J. 2011, 17, 6338–6347. [Google Scholar] [CrossRef]
- Kirschner, K.N.; Yongye, A.B.; Tschampel, S.M.; González-Outeiriño, J.; Daniels, C.R.; Lachele Foley, B.; Woods, R.J. GLYCAM06: A generalizable biomolecular force field. J. Comput. Chem. 2008, 29, 622–655. [Google Scholar] [CrossRef] [PubMed] [Green Version]
- Wang, J.; Wolf, R.M.; Caldwell, J.W.; Kollman, P.A.; Case, D.A. Development and testing of a general amber force field. J. Comput. Chem. 2004, 25, 1157–1174. [Google Scholar] [CrossRef]
- Case, D.A.; Ben-Shalom, I.Y.; Brozell, S.R.; Cerutti, D.S.; Cheatham, T.E., III; Cruzeiro, V.W.D.; Darden, T.A.; Duke, R.E.; Ghoreishi, D.; Gilson, M.K.; et al. AMBER 2018; University of California: San Francisco, CA, USA, 2018. [Google Scholar]
- Donders, L.A.; de Leeuw, F.A.A.M.; Altona, C. Relationship Between Proton-Proton NMR Coupling Constants and Substituent Electronegativities IV. An Extended Karplus Equation Accounting for Interactions Between Substituents and its Application to Coupling Constant Data Calculated by the Extended Huckel Method. Magn. Reson. Chem. 1989, 27, 556–563. [Google Scholar] [CrossRef]
- Sung, S.H.; Jung, W.J.; Kim, Y.G.C. A Novel flavonol lyxoside of Orostachys japonicus herb. Nat. Prod. Lett. 2002, 16, 29–32. [Google Scholar] [CrossRef]
- Elshahawi, S.I.; Shaaban, K.A.; Kharel, M.K.; Thorson, J.S. A comprehensive review of glycosylated bacterial natural products. Chem. Soc. Rev. 2015, 44, 7591–7697. [Google Scholar] [CrossRef] [Green Version]
- Cubero, I.I.; Martinez, M.M. Synthesis of 2-C-methyl-d-lyxose and 2-C-methyl-d-xylose. Carbohydr. Res. 1982, 105, 181–188. [Google Scholar] [CrossRef]
- Popsavin, V.; Sanja, G.; Stojanovic, B.; Popsavin, M.; Pejanovic, V.; Miljkovic, D. Conversion of D-xylose to protected D-lyxose derivatives and to D-lyxose, via the corresponding 1,2-anhydride. Carbohydr. Res. 1999, 321, 110–115. [Google Scholar] [CrossRef]
- Perlin, A.S.; Casu, B.; Koch, H.J. Configurational and conformational influences on the carbon-13 chemical shifts of some carbohydrates. Can. J. Chem. 1970, 48, 2596–2606. [Google Scholar] [CrossRef] [Green Version]
- Hricovíni, M.; Gembicky, M.; Hricovíniov, Z.; Moncol, J. The crystal structure and solution behaviour of decyl- and dodecyl a-D-lyxopyranoside: X-ray, NMR, computational and Hirshfeld surface analysis. J. Mol. Struct. 2020, 1202, 127348. [Google Scholar] [CrossRef]
- Verberck, F.; Esmans, E.L. Conformational behaviour of some d-arabino, d-lyxo, d-xylofuranosyl pyridine C-nucleotides. Spectrochim. Acta 1995, 51A, 153–159. [Google Scholar] [CrossRef]
- Kjer, J.; Debbab, A.; Aly, A.H.; Proksch, P. Methods for isolation of marine-derived endophytic fungi and their bioactive secondary products. Nat. Protoc. 2010, 5, 479–490. [Google Scholar] [CrossRef]
- Kumar, V.; Bharti, A.; Gusain, O. An improved method for isolation of genomic DNA from filamentous actinomycete. J. Eng. Technol. Manag. 2010, 2, 10–13. [Google Scholar]
- Saitou, N.; Nei, M. The neighbor-joining method: A new method for reconstructing phylogenetic trees. Mol. Biol. Evol. 1987, 4, 406–425. [Google Scholar] [CrossRef]
- Kumar, S.; Stecher, G.; Li, M.; Knyaz, C.; Tamura, K. MEGA X: Molecular Evolutionary Genetics Analysis across computing platforms. Mol. Biol. Evol. 2018, 35, 1547–1549. [Google Scholar] [CrossRef]
- Bara, R.; Zerfass, I.; Aly, A.H.; Goldbach-Gecke, H.; Vijay, R.; Sass, P.; Mandi, A.; Wray, V.; Polavarapu, P.L.; Pretsch, A.; et al. Atropisomeric dihydroanthracenones as inhibitors of multi-resistant Staphylococcus aureus. J. Med. Chem. 2013, 56, 3257–3272. [Google Scholar] [CrossRef]
- Nasr, H.M.D.; Hawas, U.W.; Mousa, S.A.S.; Alasmaey, M.; Ahmed, E.F. Isolation and identification of Emericella nidulans secondary metabolites. Chem. Res. J. 2018, 3, 114–119. [Google Scholar]
- Baur, A.W.; Kirby, W.M.; Sherris, J.C.; Truck, M. Antibiotic susceptibility testing by a standardized single disk method. Am. J. Clin. Pathol. 1966, 45, 493–496. [Google Scholar] [CrossRef]
- Melliou, E.; Chinou, I. Chemical constituents of selected unifloral Greek bee-honeys with antimicrobial activity. Food Chem. 2011, 129, 284–290. [Google Scholar] [CrossRef] [PubMed]


) and selected key HMBC (
) correlations for Ochraceopyronide.





| Position | 1H (J in Hz) | 13C | COSY | HMBC | NOESY |
|---|---|---|---|---|---|
| 2 | - | 163.4 | - | - | - |
| 3 | 5.55, d (8.1) | 100.0 | H-4 | C-2, C-4 | H-4 |
| 4 | 7.62, d (8.1) | 142.3 | H-3 | C-2, C-3, C-6, C-1′ | H-3, H-1′, H-2′(w), H-3′, H-5a’, H-5b’ |
| 5 | - | n.d | - | - | - |
| 6 | - | 150.5 | - | - | - |
| 6-OH | 11.22, br.s | - | - | - | H-2′, H-3′ |
| 1′ | 6.00, d (4.5) | 85.1 | H-2′ | C-4, C-6, C-2′ | H-4, H 2′, H 3′(w), H-4′ |
| 2′ | 4.00, br.t (3.6) | 75.2 | H-1′, H-3′ | C-1′, C-3′, C-4′ | H-1′, H 3′, H-4′, 2′-OH, 3′-OH, 5′-OH (w) |
| 2′-OH | 5.56, ovlp. | - | H-2′ | - | H-2′, H-3′ |
| 3′ | 3.90, br.t (3.7) | 75.5 | H-2′, H-4′ | C-1′, C-2′, C-4′, C-5′ | H-2′,H-1′,H-4′,H-4, H-5a,b′ 2′-OH, 3′-OH, 5′-OH |
| 3′-OH | 5.43, br.s | - | H-3′ | - | H-2′, H-3′ |
| 4′ | 3.73, br.q (4.6) | 84.7 | H-5′a, H-5′b | C-1′, C-3′, C-5′ | H-1′, H-2′, H-3′, H-5′a,b |
| 5′a 5′b | 3.58, dd (4.6, 11.5)3.62, dd (5.6, 11.5) | 60.7 | H-4′ | C-3′, C-4′ | H-4, H-3′, H-4′ |
| 5′-OH | 5.01, br.s | - | H-5a’,H5b’ | - | H-2′, H-3′ |
| S. aureus | S. epidermidis | P. aeruginosa | K. pneumoniae | E. cloacae | E.coli | C. albicans | C. tropicalis | C. glabrata | |
|---|---|---|---|---|---|---|---|---|---|
| 1 | 9/1.19 | 9/1.22 | na | na | na | na | na | na | na |
| 2 | 16/0.10 | 17/0.09 | 12/0.45 | 13/0.50 | 13/0.47 | 13/0.42 | 11 | 12/0.90 | 13/0.72 |
| 3 | 15/0.23 | 16/0.25 | 12/0.52 | 13/0.61 | 13/0.65 | 13/0.47 | 12/0.87 | 12/0.82 | 12/0.7 8 |
| 4 | 8/1.22 | 9/1.15 | na | na | na | na | na | na | na |
| 5 | 10/1.35 | 9/1.25 | 8/1.62 | na | 8/1.97 | 8/1.90 | 9 | 10 | 10 |
| Netilmicin | 20/0.2 × 10−3 | 26 | 21 | 24 | 21 | 23 | nt | nt | nt |
| Amoxicillin | 22 | 24 | 25 | 23 | 22 | 22 | nt | nt | nt |
| 5-fluocytocin | nt | nt | nt | nt | nt | nt | 22 | 22 | 24 |
| AmphotericinB | nt | nt | nt | nt | nt | nt | 24 | 24 | 25 |
Publisher’s Note: MDPI stays neutral with regard to jurisdictional claims in published maps and institutional affiliations. |
© 2021 by the authors. Licensee MDPI, Basel, Switzerland. This article is an open access article distributed under the terms and conditions of the Creative Commons Attribution (CC BY) license (https://creativecommons.org/licenses/by/4.0/).
Share and Cite
Asmaey, M.A.; Abatis, D.; Abdel-Razek, A.S.; Lambrinidis, G.; Chinou, I.; Fokialakis, N.; Tsafantakis, N.; Shaaban, M.; Aligiannis, N. Ochraceopyronide, a Rare α-Pyrone-C-lyxofuranoside from a Soil-Derived Fungus Aspergillus ochraceopetaliformis. Molecules 2021, 26, 3976. https://doi.org/10.3390/molecules26133976
Asmaey MA, Abatis D, Abdel-Razek AS, Lambrinidis G, Chinou I, Fokialakis N, Tsafantakis N, Shaaban M, Aligiannis N. Ochraceopyronide, a Rare α-Pyrone-C-lyxofuranoside from a Soil-Derived Fungus Aspergillus ochraceopetaliformis. Molecules. 2021; 26(13):3976. https://doi.org/10.3390/molecules26133976
Chicago/Turabian StyleAsmaey, Mostafa A., Dennis Abatis, Ahmed S. Abdel-Razek, George Lambrinidis, Ioanna Chinou, Nikolas Fokialakis, Nikolaos Tsafantakis, Mohamed Shaaban, and Nektarios Aligiannis. 2021. "Ochraceopyronide, a Rare α-Pyrone-C-lyxofuranoside from a Soil-Derived Fungus Aspergillus ochraceopetaliformis" Molecules 26, no. 13: 3976. https://doi.org/10.3390/molecules26133976
APA StyleAsmaey, M. A., Abatis, D., Abdel-Razek, A. S., Lambrinidis, G., Chinou, I., Fokialakis, N., Tsafantakis, N., Shaaban, M., & Aligiannis, N. (2021). Ochraceopyronide, a Rare α-Pyrone-C-lyxofuranoside from a Soil-Derived Fungus Aspergillus ochraceopetaliformis. Molecules, 26(13), 3976. https://doi.org/10.3390/molecules26133976

