Abstract
(1) Background: Two first-in-class racemic dopamine D1 receptor (D1R) positive allosteric modulator (PAM) chemotypes (1 and 2) were identified from a high-throughput screen. In particular, due to its selectivity for the D1R and reported lack of intrinsic activity, compound 2 shows promise as a starting point toward the development of small molecule allosteric modulators to ameliorate the cognitive deficits associated with some neuropsychiatric disease states; (2) Methods: Herein, we describe the enantioenrichment of optical isomers of 2 using chiral auxiliaries derived from (R)- and (S)-3-hydroxy-4,4-dimethyldihydrofuran-2(3H)-one (d- and l-pantolactone, respectively); (3) Results: We confirm both the racemate and enantiomers of 2 are active and selective for the D1R, but that the respective stereoisomers show a significant difference in their affinity and magnitude of positive allosteric cooperativity with dopamine; (4) Conclusions: These data warrant further investigation of asymmetric syntheses of optically pure analogues of 2 for the development of D1R PAMs with superior allosteric properties.
1. Introduction
Schizophrenia (SCZ) is a debilitating neuropsychiatric illness characterised by three distinct symptoms domains [1,2]. Positive symptoms describe manifestations of psychosis such as delusions, whereas negative symptoms are defined as alterations in drive and volition [3]. Cognitive deficits are a central feature of SCZ, and include deficits in working memory, attention, learning, and executive functioning [4]. Numerous studies have demonstrated an association between the severity of cognitive impairment and functional, social, and occupational outcomes in SCZ. Thus, the development of therapeutics that address this symptom domain are desirable [5]. Unfortunately, current clinical antipsychotic drugs (APDs) fail to address these cognitive symptoms [6,7].
Hypodopaminergic function in the dorsolateral prefrontal cortex (dlPFC), an area associated with cognitive control and executive functions including working memory and selective attention [8], is thought to be related to negative symptoms and cognitive deficits [9,10]. Indeed, both dopamine receptor (DR) antagonists and dopamine (DA) depletion in the dlPFC impair cognitive function [11,12,13]. There is mounting evidence to suggest that D1R agonists can reverse these deficits [14,15], although excessive D1R stimulation may impede cognitive function [16,17]. Many orthosteric D1R agonists that compete with DA for the orthosteric binding site display a lack of subtype selectivity (relative to other DRs) as well as poor pharmacokinetic properties. The benzazepine class of D1R agonists have poor bioavailability [18] and has the propensity to lower seizure thresholds [19]. Similarly, the D1R agonist dihydrexidine displays poor oral bioavailability and is rapidly metabolised in vivo [20]. Orthosteric D1R agonists have also been shown to increase incidence of drug-induced hypotension, potentially mediated by D1Rs expressed in the periphery [21], as well as a rapid acquisition of tolerance [22,23]. There is clearly an unmet need for the development of selective, bioavailable small molecule D1R ligands to further interrogate their potential utility to treat cognitive deficits associated with SCZ.
There has been tremendous recent progress in the development of novel D1R positive allosteric modulators (PAMs) [24,25,26,27,28,29] in concert with X-ray crystal [30] and cryo-EM structures [31,32] that have revealed fascinating structural insights into the therapeutic potential of the D1R. This has culminated in the clinical evaluation of the first D1R PAM LY3154207 (Mevidalen) [33] which is currently in phase 2 for the amelioration of cognition associated with Lewy body dementias. PAMs represent an alternative approach to targeting the D1R and act to modulate the affinity and/or efficacy of DA from a topographically distinct but conformationally linked binding site. The engagement of a less conserved allosteric binding site may confer greater subtype selectivity than orthosteric D1R agonists. A D1R PAM that displays positive allosteric cooperativity but lacks intrinsic efficacy which, in its own right, might maintain the temporal and spatial patterns of DA neurotransmission [34,35].
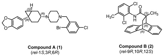
Lewis et al. recently identified two racemic D1R PAM chemotypes (Compound A, (1) and Compound B, (rac-2), Figure 1) [36]. 1 was shown to be a D1R PAM but also acted as an agonist at the D2R and thus was not investigated further. As D2R agonism is known to exacerbate the positive symptoms of SCZ, achieving selectivity for the D1R versus the D2R is paramount for the development of efficacious cognitive-enhancing therapeutics. rac-2 was shown to have superior potency compared to 1 whilst being selective for the human D1R. To our knowledge there is no reported chemical synthesis and biological characterisation of optical isomers of 2. Herein, we report the synthesis and pharmacological characterisation of (rac)-2, and enantioenriched optical isomers of 2 (herein denoted as (S)-2 and (R)-2). These enantioenriched samples were accessed by employing various chiral auxiliaries in an asymmetric Diels Alder (ADA) cycloaddition reaction.
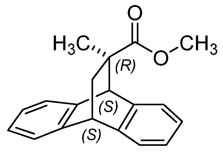
Figure 1.
High-throughput screening hits racemic Compound A [1-((rel-1S,3R,6R)-6-(benzo[d][1,3]dioxol-5-yl)bicyclo [4.1.0]heptan-3-yl)-4-(2-bromo-5-chlorobenzyl)piperazine] (1) and racemic Compound B [rel-(9R,10R,12S)-N-(2,6-dichloro-3-methylphenyl)-12-methyl-9,10-dihydro-9,10-ethanoanthracene-12-carboxamide] (rac-2) reported by Lewis et al. [36].
To characterise their pharmacology, we applied analytical pharmacological methods to determine allosteric ligand affinity for the unoccupied receptor, the strength of modulatory effects upon DA activity as well as the magnitude of allosteric agonism [37]. We demonstrate that enantiomers of 2 can be accessed in moderate enantiopurity in four synthetic steps. Importantly we reveal that these enantiomers display different affinities for the D1R as well as different levels of positive cooperativity with DA. The degree of allosteric cooperativity required for a ‘clinical’ D1R PAM is currently unknown. These data illustrate the importance of characterising optically pure analogues for future structure-activity relationship studies of 2.
2. Results and Discussions
2.1. Chemistry
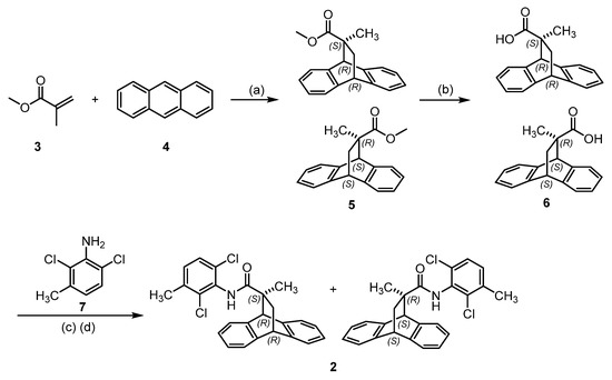
Compound rac-2 was resynthesised in three steps according to Scheme 1 [38]. Firstly, AlCl3-catalysed Diels-Alder [4 + 2]cycloaddition of methyl methacrylate 3 with anthracene 4 afforded the 9,10 bridged ester 5 as a racemic mixture. Ester saponification was achieved under forcing conditions with NaOH in THF/H2O at reflux, affording acid 6. Subsequent treatment with thionyl chloride and DMF, followed by DMAP-catalysed nucleophilic substitution with commercially available 2,6-dichloro-3-methylaniline (7) afforded rac-2. High-performance liquid chromatography (HPLC) using an amylose chiral stationary phase (CSP) verified the presence of two enantiomers (see Supplementary Materials).
Scheme 1.
Chemical synthesis of rac-2. Reagents and conditions: (a) AlCl3, CH2Cl2, r.t. 72 h, 63%; (b) NaOH, 1:1 THF/H2O, reflux 7 days, 98%; (c) SOCl2, DMF(cat.), reflux, 24 h; (d) DMAP(cat.) DIPEA, MeCN, reflux, 24 h, 25%.
It is not clear from the current literature regarding the newly identified D1R PAM scaffold whether a single enantiomer or racemic mixture is responsible for the quoted in vitro activity. This led us to investigate methods to generate optically pure stereoisomers of compound 2. Numerous attempts at chiral resolution of 5 (semi-preparative chiral HPLC) and the chromatographic resolution of derivatives of 5 (diastereomeric amides/esters, diastereomeric salts) using various resolving ligands, e.g., (R)-1-phenylethan-1-amine, (S)-2-amino-2-phenylethan-1-ol, and (1R,2S,5R)-2-isopropyl-5-methylcyclohexan-1-ol ((−)-menthol)), all failed. Therefore, to access enantiopure synthetic precursors, it was necessary to develop and explore the use of chiral auxiliaries in an ADA reaction. The Diels-Alder reaction arises from high regio- and stereoselectivity which also entails the use of various functionalised dienes and dienophiles, and much work has been done in the last three decades to develop ADA reactions, based on both enantiopure dienes and enantiopure dienophiles [39]. Accordingly, the area has been extensively reviewed [40,41,42].
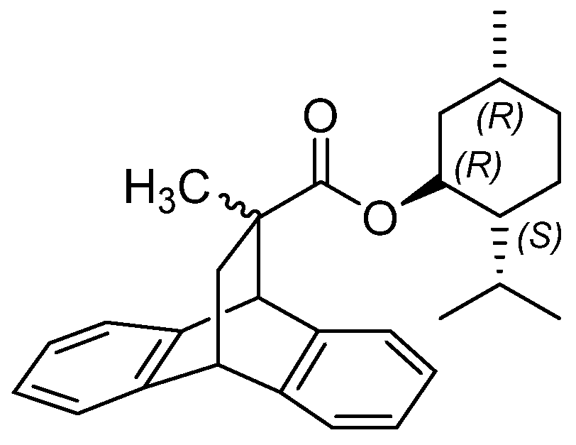
(−)-Menthol 11, a chiral molecule with three stereocentres, was initially selected as a practical chiral auxiliary to probe the diastereoselectivity of the Diels-Alder cycloaddition. A derivative of 11, (−)-8-phenylmenthol, has previously been shown to induce ADA reactions with high distereoselectivity under AlCl3 catalysis [43]. As outlined in Scheme 2, DMAP-catalysed, EDC-mediated Steglich-type [44] esterification of methacrylic acid 12 with 11 furnished the corresponding auxiliary 13. This dienophile was subjected to a TiCl4-catalysed [4 + 2]cycloaddition, affording cycloadduct(s) 14. 1H NMR analysis confirmed that the (1R,2S,5R)-menthol-acrylate chiral auxiliary conferred moderate diastereoselectivity in the cycloaddition as one diastereomer could be identified as the major product (>70% d.e.). Unfortunately, hydrolytic ester cleavage of 14 using LiOH or NaOH in refluxing THF/H2O failed to furnish the acid (6) as no reaction was evident via LC/MS analysis. Alternative conditions for hydrolysis were sourced from work completed by Myers et al., who reported the use of various synthetic examples and reagents and to hydrolyse amides and esters [45]. Such additional methods were explored, including stirring 14 at reflux in the presence H2SO4 and 1,4-dioxane, stirring 14 reflux in 2:1:1 solution of H2O, MeOH and tert-butanol in the presence of NaOH, as well as at reflux in a 4:1 solution of H2O/1,4-dioxane in the presence of the Lewis acid iron(III) chloride hexahydrate. These chemistries all failed to provide the target acid.
Scheme 2.
Chemical synthesis of menthol-derived diastereomers using ADA chemistry. Reagents and conditions: (a) EDCI, DMAP (cat.), anhydrous CH2Cl2, r.t. 48 h, 55%; (b) TiCl4, dry CH2Cl2, r.t. 15 h, 25%; (ci) NaOH, THF/H2O, reflux 7 d; (cii) H2SO4 (conc.), 1,4-dioxane, reflux, 3 h; (ciii) NaOH, 2:1:1 H2O, MeOH, t-butanol, reflux 72 h; (civ) FeCl3·6H2O, 1:4 1,4-dioxane/H2O, reflux.
An additional auxiliary, (R)-2-amino-2-phenylethan-1-ol 15, was investigated for its potential in ADA chemistry. According to Scheme 3, methacrylic acid 12 was subjected to a potassium tert-butoxide mediated direct amidation [46] using 15, yielding the corresponding acrylamide 16. Again, the newly formed acrylamide was directly utilised in a TiCl4-cataysed [4 + 2]cycloaddition to furnish the desired ethanoanthracene derivative(s) 17 as a beige solid. HPLC analysis of the purified material indicated the presence of two diastereomers in an approximate diastereomic ratio (3:1) and this was further confirmed with 1H NMR spectroscopy (~37% d.e.).
Scheme 3.
Chemical synthesis of 2-phenylglycinol ethanoanthracene diastereomers. Reagents and conditions: (a) dry THF, r.t., 2.5 h, 91%; (b) TiCl4, dry DCM, r.t. 7 days, 75%.
The study of ADA induction involving esters derived from achiral acrylic and methacrylic acids, and the chiral auxiliaries (R)- and (S)-3-hydroxy-4,4-dimethyl-1-phenyl-2-pyrrolidinone with different dienes including anthracene (which was of particular interest), catalysed by TiCl4 has been described [39]. These studies reported adducts derived from anthracene and the (R)-pantolactam-acrylate ester could be obtained with high facial-diasteroselectivity where subsequent ester saponification afforded the corresponding enantiopure acid in high optical purity. In addition, the acrylates of (R)-pantolactone have also been extensively studied for their asymmetric capacity to direct cycloadditions with high facial-diastereoselectivity for a number of diene scaffolds under TiCl4 catalysis, including anthracene [47,48,49]. Pantolactones and their use as chiral auxiliaries in ADA chemistry has been extensively reviewed [50], as well as mechanistic models proposed to explain the sense of asymmetric induction in TiCl4-catalysed ADA reactions of pantolactone-acrylate derivatives [51].
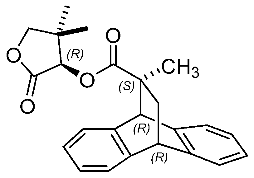
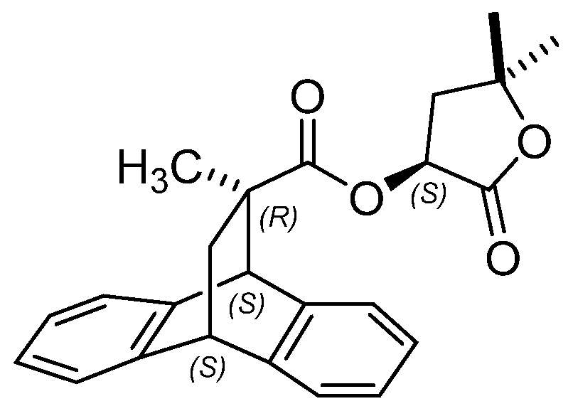
Following an adapted procedure from Camps et al. [39], and as outlined in Scheme 4, commercially available d-pantolactone ((R)-18) was reacted with methacrylic acid 12 under modified Steglich esterification [44] conditions to give the corresponding auxiliary (R)-19 in moderate yield. Subsequent [4 + 2] cycloaddition with anthracene 4 as the diene in the presence of TiCl4 as catalyst, followed by chromatographic purification and recrystallization from EtOH, afforded (S)-20 as a pale white crystalline solid. 1H NMR spectroscopic analysis confirmed high diasteroselectivity (>90% d.e.) for the asymmetric induction. Basic ester saponification using a large excess of NaOH in refluxing THF/H2O was achieved to eventually yield carboxylic acid (S)-21. Although the synthesis of ((S)-21) has been reported in the literature using (R)-3-hydroxy-4,4-dimethyl-1-phenyl-2-pyrrolidinone as a chiral auxiliary [39] our synthesis was performed to examine the asymmetric induction potential of pantolactone chiral auxiliaries. Moreover, ((S)-21) was subsequently required to form the corresponding amide (S)-2, so as it could be evaluated for its in vitro allosteric ligand parameters. The enantiopurity of (S)-21 was characterised using polarimetry [α]D25 = −24.9° (c 1.0, CHCl3) which was in accordance with literature values [39]. Based on approximations from the preceding 1H NMR spectrum of (S)-20, an enantiomeric excess (e.e.) of >90% was likely. Indeed, chiral HPLC (cHPLC) confirmed the presence of predominantly a single enantiomer, supporting the high facial-diastereoselectivity of the pantolactone chiral auxiliary in [4 + 2] cycloadditions, with e.e. calculated to be ~88%. The enantioenriched mixture was successively activated with thionyl chloride and subjected to nucleophilic substitution employing conditions outlined previously, yielding enantioenriched (S)-2. CHPLC analysis of (S)-2 determined the e.e. to be ~90%.
Scheme 4.
Enantioenrichment of optical isomers of 2 using chiral auxiliaries derived from pantolactone. Reagents and conditions: (a) EDCI, DMAP, dry CH2Cl2, r.t. 10 h, 69–87% ((R)-19, (S)-19); (b) TiCl4, dry CH2Cl2, r.t. 15 h, 80–85% ((S)-20, (R)-20); (c) NaOH, THF/H2O, reflux, 72 h, 85–98% ((S)-21, (R)-21); (d) SOCl2 (neat), DMF(cat.) reflux, 24 h, then acyl halide, DMAP(cat.) DIPEA, MeCN, reflux, 24 h, 19–25% ((S)-2, (R)-2).
Interestingly, Camps et al. reported that a racemic N-phenyl pantolactam chiral auxiliary was unable to react with anthracene under AlCl3 catalysis [39]. In addition, the authors did not report on the effectiveness of TiCl4 as catalyst for the cycloaddition reaction between anthracene and their (S)-N-phenyl pantolactam chiral auxiliary, nor its racemic counterpart. Thus, the asymmetric induction potential of using the structurally related (S)-pantolactone acrylate ester ((S)-19) as an alternative chiral auxiliary to access the previously unreported (R)-20 was unknown. This chemistry is illustrated in Scheme 4 commencing with Steglich esterification [44] of 12 with commercially available l-pantolactone (S)-18) using conditions outlined previously to afford (S)-19. Subsequent cycloaddition of the auxiliary (S)-19 with diene 4 gave cycloadduct (R)-20 in good yield, with 1H NMR indicating a slightly lower diastereoselectivity (d.e. ~83%). This apparent reduced asymmetry may have arisen from a failure for (R)-20 to recrystallize, or is mechanistically inherent in the cycloaddition of (S)-19. Hydrolytic cleavage of the auxiliary was achieved using forcing alkaline conditions, eventually affording the free carboxylic acid (R)-21. An assessment of the enantiopurity was again made using polarimetry ([α]D25 = +24.1° (c 1.0, CHCl3)), whereby subsequent chiral HPLC analysis determined the e.e. to be ~82%. Acyl halide formation and nucleophilic displacement with 7 using conditions outlined previously furnished the corresponding enantioenriched (R)-2. CHPLC analysis of (R)-2 determined the e.e. to be ~84%.
2.2. Pharmacology
Previous work by Lewis et al. [36] reported rac-2 as a PAM at the D1R with superior potency (EC50 = 43 nM) and no agonist activity. We tested rac-2 in an assay measuring accumulation of cyclic adenosine monophosphate (cAMP) through activation of the hD1R stably expressed in FlpIn CHO cells using a BRET biosensor [52]. Concentration-response curves of DA were generated in the presence of increasing concentrations of test compound. An operational model of allostery was applied to these data, allowing us to determine estimates of functional affinity for the unoccupied receptor (KB), a composite measure of allosteric cooperativity (αβ) that combines cooperativity with DA affinity (α) and modulatory effect upon DA efficacy (β), as well as the intrinsic efficacy (τB) of the allosteric ligand. Values of αβ > 1 indicate a positive modulatory effect. Functional assessment of rac-2 in our hands showed it exhibited modest affinity for the D1R (KB = 1.6 µM, Figure 2A, Table 1), acting to potentiate the potency of DA 100-fold (αβ = 100) as well as display allosteric agonism (τB = 2.1, Table 1). Lewis and colleagues observed that rac-2 did not display agonism. This difference likely reflects a difference in the cell background (CHO versus HEK293) and/or a higher level of D1R expression in our cell line and/or a greater sensitivity of our cAMP assay [36]. Indeed, such effects have been observed for a PAM of the muscarinic M1 acetylcholine receptor and such observations are consistent with a two-state model of allostery [53]. Consistent with the above differences, the potency of DA in our assay is also greater than that observed by Lewis and coworkers in their experiments. Note that Lewis et al. also determined the value of potency for rac-2 as 40 nM. This value was determined by the measuring the potency with which rac-2 causes a shift in DA potency and cannot be directly compared with the value of KB determined in our analysis that reflects the affinity of the PAM for the unoccupied receptor.
Figure 2.
All compounds display allosteric pharmacology at the D1R in an assay measuring cAMP production using a BRET biosensor. rac-2 (A), the enantioenriched S-isomer (S)-2, (B), and the enantioenriched R-isomer (R)-2, (C) act as an ago-PAMs, potentiating DA potency and exerting allosteric agonism. These data were fitted to an operational model of agonism to derive values of affinity, cooperativity with DA and intrinsic efficacy (see Table 1). Data are presented as mean ± S.D. from at least four separate experiments. (D) All compounds were assessed for their activity at non-hD1R/hD2R expressing FlpIn CHO-cells transfected with the BRET biosensor, demonstrating that compound activity is mediated through the D1/D2Rs. Data are presented as mean ± S.D. from at least four separate experiments.
Table 1.
Functional parameters for PAMs derived from cAMP BRET assay at the hD1R.
Intriguingly, the optical isomers of rac-2 ((S)-2, (R)-2) were shown to display significant differences both in their affinity for the D1R and their degree of positive allosteric cooperativity with DA. The enantioenriched (S)-2 was determined to have comparable functional affinity, efficacy and cooperativity as compared to rac-2 (KB = 1 µM, αβ = 125, τB = 2.5) (Figure 2B, Table 1). Conversely, the enantioenriched (R)-2 displayed 4.8-fold and 7.4-fold lower functional affinity (KB = 7.4 µM αβ = 31) and 3-fold and 4-fold lower cooperativity with DA, relative to rac-2 and (S)-2 respectively (Figure 2C, Table 1). It is interesting to note that the pharmacology of rac-2 is not significantly different from (S)-2. This can be reconciled by the lower levels of affinity and cooperativity with DA that (R)-2 displays. These two factors combined mean that (S)-2 would effectively display a 30-fold greater affinity for the DA occupied receptor as compared to (R)-2 even though their affinities for the unoccupied are a more modest 7-fold different. In the racemate, therefore, (S)-2 would be expected to dominate meaning that the pharmacology of the racemate reflects this enantiomer. We extended our functional characterisation of these compounds to an assay measuring inhibition of forskolin-stimulated cAMP accumulation in hD2LR-expressing FlpIN CHO cells. rac-2 and its respective enantiomers ((R)-2, (S)-2) displayed no activity at the D2R up to a measured concentration of 30 µM. None of the above compounds displayed any off-target response in FlpIn CHO cells transfected with the BRET biosensor, but not expressing either the D1R or the D2R (Figure 2D). Together our data indicate that the distinct structural configuration of the two enantiomers of 2 confer differences in their ability to potentiate DA at the D1R.
3. Experimental
3.1. General
Solvents and fine chemicals were commercially available from standard suppliers and used where described without further purification. Davisil silica gel (40–63 μm) for Flash column chromatography used Davisil silica gel (40–63 μm) and was supplied by Grace Davison Discovery Sciences (Victoria, Australia). Deuterated solvents for NMR spectroscopy were sourced by Novachem Pty. Ltd., Victoria, Australia (a distributor for Cambridge Isotope Laboratories, Inc., Tewksbury, MA, USA). Reactions were monitored by thin layer chromatography on commercially available precoated aluminum-backed plates (Merck Kieselgel 60 F254). Visualization was by inspection under UV light (254 nm/366 nm). Ninhydrin (in EtOH) was used to visualize primary and secondary amines. Anhydrous Na2SO4 was used to dry all organic extracts collected after aqueous workup procedures before gravity/vacuum filtration and evaporation to dryness. Organic solvents were removed under reduced pressure at a water bath temperature of ≤40 °C. 1H NMR and 13C NMR spectra were recorded on a Bruker Avance Nanobay III 400 MHz Ultrashield Plus spectrometer at 400.13 and 100.62 MHz, respectively. Chemical shifts (δ) are recorded in parts per million (ppm) with reference to the chemical shift of the deuterated solvent. Coupling constants (J) are recorded in Hz, and multiplicities described by singlet (s), doublet (d), triplet (t), quadruplet (q), broad (br), multiplet (m), doublet of doublets (dd), and doublet of triplets (dt). All NMR experiments were performed in CDCl3 for comparison of spectra of various analogues. For analogues that displayed reduced solubility in CDCl3 then experiments were performed in CD3OD, DMSO-d6, or acetone-d6. LCMS experiments -System A (default): an Agilent 6100 series single quad coupled to an Agilent 1200 series HPLC instrument using the following buffers: buffer A, 0.1% HCOOH in H2O; buffer B, 0.1% HCOOH in CH3CN. The following gradient was used with a Phenomenex Luna 3 μm C8(2) 15 × 4.6 mm column, flow rate of 0.5 mL/min, total run time of 12 min: 0–4 min 95% buffer A/5% buffer B, 4–7 min 0% buffer A/100% buffer B, 7–12 min 95% buffer A/5% buffer B. Mass spectra were acquired in both negative & positive ion modes with a scan range of 0–1000 m/z at 5 V. UV detection was monitored at 254 nm. System B: an Agilent 6120 series single quad coupled to an Agilent 1260 series HPLC instrument using the following buffers; buffer A, 0.1% HCOOH in H2O; buffer B, 0.1% HCOOH in CH3CN. The following gradient was used with a Poroshell 120 EC-C18 50 × 3.0 mm, 2.7 μm column, flow rate of 0.5 mL/min, total run time of 5 min: 0–1 min 95% buffer A/5% buffer B, 1 to 2.5 min 0% buffer A/100% buffer B, held until 3.8 min, 3.8–4 min 95% buffer A/5% buffer B, held until 5 min. Mass spectra were acquired in both negative & positive ion modes with a scan range of 100–1000 m/z. UV detection was monitored at 214 and 254 nm. All retention times (tR) were quoted in minutes. System C: analytical reverse-phase HPLC was performed, to verify purity, on a Waters HPLC system coupled directly to a photodiode array detector and fitted with a Phenomenex Luna C8 (2) 100 Å column (150 × 4.6 mm, 5 μm). A binary solvent system of buffer A, 0.1% TFA/H2O; buffer B, 0.1% TFA/80% CH3CN/H2O was used. Gradient elution was attained using 100% buffer A to 100% buffer B over 12 min at a flow rate of 1 mL/min. All target compounds subjected to biological testing were >95% pure by HPLC at two wavelengths (214 and 254 nm). Analytical chiral-HPLC were conducted on an Agilent Infinity 1260 system fitted with either one of (a) Lux 5 μm Amylose-2 150 × 4.60 mm, or (b) Lux 5 μm Cellulose-1 150 × 4.60 mm. A binary solvent system was used (solvent A: ethanol; solvent B: petroleum spirits), with UV detection at 254 nm. The method used isocratic elution of 1–20% solvent A and 99–80% solvent B, with a flow rate of 1 mL/min. Mass spectra were acquired in in both negative & positive ion mode with a scan range of 100–1000 m/z. UV detection was monitored at 214 and 254 nm with retention times (tR) expressed in minutes. All screening compounds displayed >95% purity unless otherwise specified in the individual monologue.
3.2. Chemistry
3.2.1. General Procedure A for Steglich Esterification
A mixture of methacrylic acid (1.0 equiv.) alcohol (1.0 equiv.), EDC (1.1 equiv.) and DMAP (5 mol %) in dry DCM was stirred at rt until complete consumption of the starting acid or alcohol. The reaction mixture was washed with sat. aqueous citric acid (3 × 50 mL) and sat. aqueous NaHCO3 (3 × 50 mL), dried (Na2SO4) and concentrated in vacuo. The residue was purified by flash column chromatography (FCC) with an appropriate eluent as indicated.
3.2.2. General Procedure B for TiCl4-Catalysed Diels-Alder Cycloaddition
A solution of TiCl4 (2.0 equiv.) in anhydrous DCM (20 mL) was added to a solution of the appropriate chiral auxiliary/dienophile (1.0 equiv.) in anhydrous DCM (30 mL), and the mixture stirred at rt for 15 min. Then, a solution of the anthracene (1.0 equiv.) in dry CH2Cl2 (20 mL) was added and the mixture stirred at r.t. for 15 h. A small amount of H2O was added to destroy the TiCl4 complexes, the mixture was filtered and the filtrate was dried with anhydrous Na2SO4. The filtrate was concentrated in vacuo and the residue was purified by FCC using an appropriate eluent as indicated.
3.2.3. General Procedure C for Alkaline Ester Hydrolysis
To a solution of ester (1.0 equiv.) in a 1:1 mixture of THF/H2O was added NaOH (3 equiv.), and the mixture stirred at reflux temperature until complete consumption of the starting material was evident. The THF was removed in vacuo and the remaining aqueous phase was washed with Et2O. The aqueous phase was then acidified (pH = 1), and any precipitated carboxylic acid was collected via vacuum filtration and recrystallised from EtOAc/PE. Similarly, the aqueous phase could be extracted with DCM and the organic extracts dried (Na2SO4) to afford the desired carboxylic acid to maximise the yield.
3.2.4. General Procedure D for Acyl Halide Formation and Nucleophilic Substitution
The carboxylic acid (1 equiv.) was taken up in thionyl chloride (5 mL) followed by three drops of DMF and the reaction was stirred at reflux temperature until complete consumption of the starting material. The solvent was removed in vacuo and the residue was taken up in dry MeCN (25 mL). To this solution was added 2,6-dichloro-3-methylaniline (1.1 equiv.), DMAP (0.5 equiv.), DIPEA (2.0 equiv.), and stirred at reflux temperature until complete consumption of the acyl halide was evident. The solvent was evaporated under reduced pressure and the residue was taken up in EtOAc, washed with 1 M aqueous NaOH, H2O, 1 M aqueous HCl, brine, and the organic layer dried (Na2SO4). The solvent was concentrated in vacuo and the residue purified by FCC with an appropriate eluent as indicated.
Methyl (rel-9S,10S,12R)-12-methyl-9,10-dihydro-9,10-ethanoanthracene-12-carboxylate [38] (5)

Methyl methacrylate (3.29 mL, 30.9 mmol, 1.1 eq.) was added to a suspension of AlCl3 (3.74 g, 28.1 mmol, 1.0 eq.) in dry DCM (100 mL), in a three-necked round-bottom flask under a positive pressure of N2. After 1 h of stirring, anthracene (5.00 g, 28.1 mmol, 1.0 eq.) was added portion-wise. The resulting mixture was stirred at room temperature for 72 h or until complete consumption of the anthracene was evident. The mixture was then poured over ice, the organic layer separated, washed with water (40 mL), dried (Na2SO4), and the solvent evaporated. The resulting residue was dissolved in DCM, absorbed onto silica gel and purified by FCC (eluent, 9:1 PE/Et2O) to afford the title compound as a transparent oil which solidified under high vacuum to give a white solid (5.67 g, 72%). LCMS (m/z): 301.1 [M + Na]+. System C HPLC: tR 8.389 min, >95% purity (214 & 254 nm). 1H NMR (CDCl3) δ 7.32–7.28 (m, 1H), 7.26–7.22 (m, 2H), 7.19 (dd, J = 6.9, 1.6 Hz, 1H), 7.13–7.08 (m, 2H), 7.08–7.01 (m, 2H), 4.40 (s, 1H), 4.25 (t, J = 2.7 Hz, 1H), 3.53 (s, 3H) 2.71 (dd, J = 12.7, 3.0 Hz, 1H), 1.39 (dd, J = 12.7, 2.5 Hz, 1H), 1.05 (s, 3H). 13C NMR (CDCl3) δ 177.2, 143.8, 143.2, 141.6, 140.5, 126.4, 126.2, 126.2, 125.7, 125.6, 124.7, 123.6, 123.2, 52.9, 52.1, 44.5, 38.9, 26.7.
rel-(9S,10S,12R)-12-Methyl-9,10-dihydro-9,10-ethanoanthracene-12-carboxylic acid (6)

Synthesised according to general procedure C using LiOH.H2O (2.15 g, 89.8 mmol). After acidification, the precipitated solids were washed with water and recrystallised from EtOAc/PE, affording the compound as white needles (4.75 g, quantitative). LCMS (m/z): 263.1 [M − H]+. System C HPLC: tR 7.181 min, >95% purity (214 & 254 nm). 1H NMR (CDCl3) δ 7.31–7.28 (m, 1H), 7.27–7.23 (m, 3H), 7.23–7.19 (m, 1H), 7.12 (ddd, J = 6.1, 5.6, 3.7 Hz, 2H), 7.08 (dd, J = 7.2, 1.5 Hz, 1H), 7.06–7.01 (m, 1H), 4.37 (s, 1H), 4.26 (t, J = 2.7 Hz, 1H), 2.62 (dd, J = 12.7, 3.0 Hz, 1H), 1.40 (dd, J = 12.7, 2.5 Hz, 1H), 1.07 (s, 3H). 13C NMR (CDCl3) δ 181.7, 143.6, 143.3, 141.3, 140.5, 126.5, 126.3, 126.2, 125.8, 125.7, 125.2, 123.5, 123.3, 52.6, 48.5, 44.5, 38.7, 26.9. Analytical data including 1H NMR and 13C NMR spectra are in accordance with those published [26,39].
rel-(9R,10R,12S)-N-(2,6-Dichloro-3-methylphenyl)-12-methyl-9,10-dihydro-9,10-ethanoanthracene-12-carboxamide (rac-2)

Synthesised according to general procedure D using oxalyl chloride (243 µL, 2.84 mmol), rel-(9S,10S,12R)-12-methyl-9,10-dihydro-9,10-ethanoanthracene-12-carboxylic acid (6) (375 mg, 1.42 mmol), DMAP (4.32 mg, 35.4 mmol), DIPEA (120 µL, 707 µmol) and 2,6-dichloro-3-methylaniline (65.4 mg, 371 µmol). Purification by FCC (eluent, 10:1 PE/EtOAc) afforded the racemic compound as a white solid (75 mg, 50%). LCMS (m/z): 446.1 [M + Na]+, 423.1 [M + H]+. System C HPLC: tR 8.496 min, >95% purity (214 & 254 nm). HRMS (m/z): C25H21Cl2NO: requires 422.1083 [M + H]+; found 422.1073. 1H NMR (CDCl3) δ 7.40–7.37 (m, 1H), 7.34–7.31 (m, 1H), 7.30–7.25 (m, 2H), 7.18–7.11 (m, 3H), 7.08–7.01 (m, 3H), 6.89 (s, 1H), 4.52 (s, 1H), 4.34 (t, J = 2.6 Hz, 1H), 2.64 (dd, J = 12.5, 2.8 Hz, 1H), 2.29 (s, 3H), 1.66 (dd, J = 12.4, 2.7 Hz, 1H), 1.18 (s, 3H). 13C NMR (CDCl3) δ 174.7, 143.3, 143.2, 141.5, 141.4, 136.1, 133.8, 132.2, 130.8, 129.6, 127.4, 126.5, 126.4, 126.2, 125.9, 125.9, 125.7, 123.5, 123.2, 52.7, 49.2, 44.7, 40.3, 28.3, 20.5. Analytical data including 1H NMR and 13C NMR spectra are in accordance with those published [26].
(1R,2S,5R)-2-Isopropyl-5-methylcyclohexyl methacrylate (13)

Synthesised according to general procedure A using methacrylic acid (1.62 mL, 19.2 mmol), (1R,2S,5R)-2-isopropyl-5-methylcyclohexan-1-ol (3.00 g, 19.2 mmol), EDC (4.05 g, 21.2 mmol) and DMAP (117 mg, 960 µmol). Purification by FCC (eluent, DCM) gave the title compound as a transparent oil (3.20 g, 74%). LCMS (m/z): 225.2 [M + H]+. System C HPLC: tR 9.042 min, >95% purity (214 & 254 nm). 1H NMR (CDCl3) δ 6.23–6.20 (m, 1H), 5.81 (dd, J = 2.0, 1.2 Hz, 1H), 3.39 (td, J = 10.4, 4.3 Hz, 1H), 2.16 (dtd, J = 14.0, 7.0, 2.7 Hz, 1H), 1.99 (dt, J = 1.5, 0.9 Hz, 3H), 1.95–1.91 (m, 1H), 1.61 (ddd, J = 16.1, 14.6, 7.9 Hz, 2H), 1.45–1.37 (m, 2H), 1.14–1.05 (m, 1H), 0.96 (dd, J = 12.1, 4.1 Hz, 1H), 0.94–0.88 (m, 6H), 0.80 (dd, J = 7.0, 0.9 Hz, 3H). 13C NMR (CDCl3) δ 163.2, 135.9, 129.1, 71.7, 50.3, 45.2, 34.7, 31.8, 25.9, 23.3, 22.3, 21.1, 16.2. Analytical data in accordance with those published [54].
(1R,2S,5R)-2-Isopropyl-5-methylcyclohexyl-12-methyl-9,10-dihydro-9,10-ethanoanthracene-12-carboxylate (14)

Synthesised according to general procedure B using TiCl4 (4.38 µL, 3.93 mmol), (1R,2S,5R)-2-isopropyl-5-methylcyclohexyl methacrylate (13) (440 mg, 1.96 mmol) and anthracene (350 mg, 1.96 mmol). Purification by FCC (eluent, 10:1 PE/EtOAc] gave the anthracene ester derivative as a light-yellow oil (400 mg, 51%, d.e. >70%). LCMS (m/z): 401.1 [M − H]‒. System C HPLC: tR 2.204 min, >95% purity (214 & 254 nm). 1H NMR (CDCl3) δ 7.30–7.27 (m, 1H), 7.25–7.18 (m, 3H), 7.11–7.07 (m, 2H), 7.07–6.98 (m, 2H, H3), 4.48 (td, J = 10.8, 4.3 Hz, 1H), 4.38 (s, 1H), 4.23 (t, J = 2.6 Hz, 1H), 2.70 (dd, J = 12.7, 3.0 Hz, 1H), 1.86 (tt, J = 11.3, 3.5 Hz, 1H), 1.67–1.57 (m, 3H), 1.41–1.36 (m, 2H), 1.36–1.32 (m, 1H), 1.02 (s, 3H), 0.98 (dd, J = 13.1, 3.2 Hz, 1H), 0.91 (d, J = 7.0 Hz, 3H), 0.88–0.85 (m, 2H), 0.82 (d, J = 6.5 Hz, 3H), 0.68 (d, J = 6.9 Hz, 3H). 13C NMR (CDCl3) δ 176.3, 143.9, 143.4, 141.5, 141.0, 126.3, 126.1, 126.0, 125.5, 125.5, 125.2, 123.4, 123.2, 74.7, 52.9, 47.1, 44.6, 40.6, 38.8, 34.3, 31.4, 27.3, 26.0, 23.2, 22.1, 21.1, 16.1.
(R)-N-(2-Hydroxy-1-phenylethyl)methacrylamide [55] (16)

KOt-Bu (3.27 g, 29.2 mmol) was dissolved in THF (100 mL; technical grade, containing ca. 0.2% H2O) with stirring in air at rt for 1 min. Methyl methacrylate (1.55 mL, 14.6 mmol) and (R)-2-amino-2-phenylethan-1-ol (2.00 g, 14.6 mmol) were added immediately and the mixture was stirred at rt for 1 h. After evaporating the THF under reduced pressure, H2O (75 mL) and DCM (75 mL) were added and the organic layer was separated and dried (Na2SO4). The solvent was evaporated under reduced pressure and residue was purified by FCC (eluent, 1:10 DCM/MeOH) to give the corresponding amide as a yellow/orange solid (2.45 g, 89%). LCMS (m/z): 206.1 [M + H]+. System C HPLC: tR 4.465 min, >95% purity (214 & 254 nm). 1H NMR (CDCl3) δ 7.38–7.33 (m, 2H), 7.32–7.28 (m, 3H), 6.57 (d, J = 5.6 Hz, 1H), 5.75 (s, 1H), 5.37–5.36 (m, 1H), 5.10 (dt, J = 7.0, 5.0 Hz, 1H), 3.89 (d, J = 4.9 Hz, 2H), 2.96 (s, 1H), 1.98–1.97 (m, 3H). 13C NMR (CDCl3) δ 168.9, 139.8, 139.2, 129.0, 128.0, 126.8, 120.3, 66.6, 56.1, 18.8. Analytical data in accordance with those published [55].
N-((R)-2-Hydroxy-1-phenylethyl)-11-methyl-9,10-dihydro-9,10-ethanoanthracene-11-carboxamide (17)

Synthesised according to general procedure B using TiCl4 (1.45 mL, 13.0 mmol), (R)-N-(2-hydroxy-1-phenylethyl)methacrylamide (1.34 g, 6.51 mmol) (16) and anthracene (1.16 g, 6.51 mmol). Residue chromatographed with 5:1 PE/EtOAc to afford a pair of diastereomers (2:1 ratio) as a transparent oil (2.00 g, 80%). LCMS (m/z): 384.2 [M + H]+. System C HPLC: tR 7.254min, >95% purity (214 & 254 nm). 1H NMR (401 MHz, CDCl3) δ 7.36–7.25 (m, 12H), 7.20–7.11 (m, 6H), 7.08–6.99 (m, 4H), 6.04 (s, 0.5H), 5.75 (s, 1H), 4.86 (dt, J = 12.5, 5.8 Hz, 1.7H), 4.34 (d, J = 2.2 Hz, 3H), 3.80 (dd, J = 4.6, 2.4 Hz, 1H), 3.68 (dd, J = 11.3, 5.6 Hz, 1H), 3.59 (dd, J = 11.3, 3.9 Hz, 1H), 2.58 (dd, J = 12.8, 3.0 Hz, 0.7H), 2.38 (dd, J = 13.1, 3.0 Hz, 1H), 1.59 (dd, J = 13.2, 2.5 Hz, 1H), 1.55 (dd, J = 13.4, 3.0 Hz, 0.6H), 1.10 (s, J = 2.6 Hz, 1.4H), 1.09 (s, 3H).
(R)-4,4-Dimethyl-2-oxotetrahydrofuran-3-yl methacrylate ((R)-19)

Synthesised according to general procedure A using methacrylic acid (1.49 g, 17.3 mmol), (R)-3-hydroxy-4,4-dimethyldihydrofuran-2(3H)-one (2.25 g, 17.3 mmol), EDC (3.31 g, 17.3 mmol) and DMAP (106 mg, 864 µmol). Purification by FCC (eluent, DCM) gave the title compound as a transparent oil (3.55 g, 67%). LCMS (m/z): 221.1 [M + Na]+. System C HPLC: tR 6.010 min, >95% purity (214 & 254 nm). 1H NMR (CDCl3) δ 6.26–6.15 (m, 1H), 5.68 (dd, J = 2.6, 1.2 Hz, 1H), 5.41 (d, J = 0.8 Hz, 1H), 4.09–4.01 (m, 2H), 1.98 (dd, J = 1.7, 0.8 Hz, 3H), 1.21 (s, 3H), 1.13 (s, 3H). 13C NMR (CDCl3) δ 172.4, 165.9, 135.1, 127.5, 76.2, 75.2, 23.1, 19.9, 18.2.
(S)-4,4-Dimethyl-2-oxotetrahydrofuran-3-yl methacrylate ((S)-19)

Synthesised according to general procedure A using methacrylic acid (2.32 g, 26.9 mmol), (S)-3-hydroxy-4,4-dimethyldihydrofuran-2(3H)-one (3.50 g, 26.9 mmol), EDC (5.16 g, 26.9 mmol), and DMAP (164 mg, 1.34 mmol). Purification by FCC (eluent, DCM) gave the title compound as a transparent oil (1.05 g, 69%). LCMS (m/z): 221.1 [M + Na]+. System C HPLC: tR 6.010 min, >95% purity (214 & 254 nm). 1H NMR (CDCl3) δ 6.26–6.15 (m, 1H), 5.68 (dd, J = 2.6, 1.2 Hz, 1H), 5.41 (d, J = 0.8 Hz, 1H), 4.09–4.01 (m, 2H), 1.98 (dd, J = 1.7, 0.8 Hz, 3H), 1.21 (s, 3H), 1.13 (s, 3H). 13C NMR (CDCl3) δ 172.4, 165.9, 135.1, 127.5, 76.2, 75.2, 23.1, 19.9, 18.2.
(R)-4,4-Dimethyl-2-oxotetrahydrofuran-3-yl-(S)-12-methyl-9,10-dihydro-9,10-ethanoanthracene-12-carboxylate ((S)-20)

Synthesised according to general procedure B using TiCl4 (2.39 mL, 21.8 mmol), (R)-4,4-dimethyl-2-oxotetrahydrofuran-3-yl methacrylate ((R)-19) (2.06 g, 10.4 mmol) and anthracene (1.85 g, 10.4 mmol). Purification by FCC (eluent, DCM) afforded the title compound as a brown solid. Recrystallization from EtOH gave white crystals (3.25 g, 83%, d.e. ~90%). LCMS (m/z): 399.1 [M+Na]+. System C HPLC: tR 8.320 min, >95% purity (214 & 254 nm). 1H NMR (401 MHz, CDCl3) δ 7.33 (dt, J = 5.4, 3.3 Hz, 1H), 7.30–7.26 (m, 2H), 7.24–7.21 (m, 1H), 7.16–7.10 (m, 2H), 7.10–7.02 (m, 2H), 5.18 (s, 1H), 4.40 (s, 1H), 4.30 (t, J = 2.7 Hz, 1H), 4.04 (d, J = 9.0 Hz, 1H), 3.97 (d, J = 9.0 Hz, 1H), 2.76 (dd, J = 12.8, 3.0 Hz, 1H), 1.50 (dd, J = 12.8, 2.6 Hz, 1H), 1.25 (s, 3H), 1.18 (s, 3H), 1.17 (s, 3H). 13C NMR (CDCl3) δ 175.6, 172.1, 143.7, 143.5, 141.2, 140.4, 126.6, 126.6, 125.7, 125.5, 124.8, 123.9, 123.4, 76.2, 75.5, 52.6, 49.0, 44.4, 39.2, 27.2, 23.0, 20.3.
(S)-4,4-Dimethyl-2-oxotetrahydrofuran-3-yl-(R)-12-methyl-9,10-dihydro-9,10-ethanoanthracene-12-carboxylate ((R)-20)

Synthesised according to general procedure B using TiCl4 (1.61 mL, 14.7 mmol), (S)-4,4-dimethyl-2-oxotetrahydrofuran-3-yl methacrylate ((S)-19) (1.39 g, 7.01 mmol) and anthracene (1.25 g, 7.01 mmol). Purification by FCC (eluent, DCM) afforded the title compound as a beige solid (2.15 g, 82%, d.e. ~83%) LCMS (m/z): 399.1 [M + Na]+. System C HPLC: tR 8.320 min, >95% purity (214 & 254 nm). 1H NMR (CDCl3) δ 7.33 (dt, J = 5.4, 3.3 Hz, 1H), 7.30–7.26 (m, 2H), 7.24–7.21 (m, 1H), 7.16–7.10 (m, 2H), 7.10–7.02 (m, 2H), 5.18 (s, 1H), 4.40 (s, 1H), 4.30 (t, J = 2.7 Hz, 1H), 4.04 (d, J = 9.0 Hz, 1H), 3.97 (d, J = 9.0 Hz, 1H), 2.76 (dd, J = 12.8, 3.0 Hz, 1H), 1.50 (dd, J = 12.8, 2.6 Hz, 1H), 1.25 (s, 3H), 1.18 (s, 3H), 1.17 (s, 3H). 13C NMR (CDCl3) δ 175.6, 172.1, 143.7, 143.5, 141.2, 140.4, 126.6, 126.6, 125.7, 125.5, 124.8, 123.9, 123.4, 76.2, 75.5, 52.6, 49.0, 44.4, 39.2, 27.2, 23.0, 20.3.
(S)-12-Methyl-9,10-dihydro-9,10-ethanoanthracene-12-carboxylic acid ((S)-21)

Synthesised according to general procedure C using (R)-4,4-Dimethyl-2-oxotetrahydrofuran-3-yl-(S)-12-methyl-9,10-dihydro-9,10-ethanoanthracene-12-carboxylate ((S)-20) (3.00 g, 7.97 mmol) and NaOH (956 mg, 23.9 mmol). The aqueous phase was extracted with DCM, and the organic extracts were dried (Na2SO4) and evaporated to dryness to afford the desired acid as a white foam (2.05 g, 95%, e.e. ~88%). [α]D25 = −24.9° (c 1.0, CHCl3), lit[α]D20 = −26.7° (c 1.08, CHCl3) [39], LCMS (m/z): 263.1 [M − H]‒. System C HPLC: tR 7.181 min, >95% purity (214 & 254 nm). Analytical data including 1H NMR and 13C NMR spectra are in accordance with those reported by Camps et al. [39]
(R)-12-Methyl-9,10-dihydro-9,10-ethanoanthracene-12-carboxylic acid ((R)-21)

Synthesised according to general procedure C using (S)-4,4-Dimethyl-2-oxotetrahydrofuran-3-yl-(S)-12-methyl-9,10-dihydro-9,10-ethanoanthracene-12-carboxylate ((R)-20) (1.40 g, 3.72 mmol) and NaOH (446 mg, 11.2 mmol). The aqueous phase was extracted with DCM, and the organic extracts were dried (Na2SO4) and evaporated to dryness to afford the desired acid as a white solid (956 mg, 98%, e.e. ~83%). [α]D25 = +24.1° (c 1.0, CHCl3), LCMS (m/z): 263.1 [M − H]‒. System C HPLC: tR 7.181 min, >95% purity (214 & 254 nm). 1H NMR (CDCl3) δ 7.31–7.28 (m, 1H), 7.27–7.23 (m, 3H), 7.23–7.19 (m, 1H), 7.12 (ddd, J = 6.1, 5.6, 3.7 Hz, 2H), 7.08 (dd, J = 7.2, 1.5 Hz, 1H) 7.06–7.01 (m, 1H), 4.37 (s, 1H), 4.26 (t, J = 2.7 Hz, 1H), 2.62 (dd, J = 12.7, 3.0 Hz, 1H), 1.40 (dd, J = 12.7, 2.5 Hz, 1H), 1.07 (s, 3H). 13C NMR (CDCl3) δ 181.7, 143.6, 143.3, 141.3, 140.5, 126.5, 126.3, 126.2, 125.8, 125.7, 125.2, 123.5, 123.3, 52.6, 48.5, 44.5, 38.7, 26.9.
(9S,10R,12R)-N-(2,6-Dichloro-3-methylphenyl)-12-methyl-9,10-dihydro-9,10-ethanoanthracene-12-carboxamide ((S)-2)

Synthesised according to general procedure D using (S)-12-methyl-9,10-dihydro-9,10-ethanoanthracene-11-carbonyl chloride ((S)-21) (260 mg, 919 µmol), 2,6-dichloro-3-methylaniline (162 mg, 920 µmol), and DMAP (56.2 mg, 460 µmol). Purification by FCC (eluent, 1:10 EtOAc/PE) afforded the title compound as a white solid (75 mg, 19%, e.e. 90%). LCMS (m/z): 446.1 [M + Na]+, 423.1 [M + H]+. System C HPLC: tR 8.496 min, >95% purity (214 & 254 nm). HRMS (m/z): C25H21Cl2NO: requires 422.1083 [M + H]+; found 422.1073. 1H NMR (CDCl3) δ 7.40–7.37 (m, 1H), 7.34–7.31 (m, 1H), 7.30–7.25 (m, 2H), 7.18–7.11 (m, 3H), 7.08–7.01 (m, 3H), 6.89 (s, 1H), 4.52 (s, 1H), 4.34 (t, J = 2.6 Hz, 1H), 2.64 (dd, J = 12.5, 2.8 Hz, 1H), 2.29 (s, 3H), 1.66 (dd, J = 12.4, 2.7 Hz, 1H), 1.18 (s, 3H). 13C NMR (CDCl3) δ 174.7, 143.3, 143.2, 141.5, 141.4, 136.1, 133.8, 132.2, 130.8, 129.6, 127.4, 126.5, 126.4, 126.2, 125.9, 125.9, 125.7, 123.5, 123.2, 52.7, 49.2, 44.7, 40.3, 28.3, 20.5.
(9R,10S,12S)-N-(2,6-Dichloro-3-methylphenyl)-12-methyl-9,10-dihydro-9,10-ethanoanthracene-12-carboxamide ((R)-2)

Synthesised according to general procedure D using (R)-12-methyl-9,10-dihydro-9,10-ethanoanthracene-11-carbonyl chloride ((R)-21) (135 mg, 477 µmol), 2,6-dichloro-3-methylaniline (84. 1 mg, 477 µmol), and DMAP (29.1 mg, 239 µmol). Purification by FCC (eluent, 1:10 EtOAc/PE) afforded the title compound as a white solid (50 mg, 25%, e.e. 84%). LCMS (m/z): 446.1 [M + Na]+, 423.1 [M + H]+. System C HPLC: tR 8.496 min, >95% purity (214 & 254 nm). HRMS (m/z): C25H21Cl2NO: requires 422.1083 [M + H]+; found 422.1073. 1H NMR (CDCl3) δ 7.40–7.37 (m, 1H), 7.34–7.31 (m, 1H), 7.30–7.25 (m, 2H), 7.18–7.11 (m, 3H), 7.08–7.01 (m, 3H), 6.89 (s, 1H), 4.52 (s, 1H), 4.34 (t, J = 2.6 Hz, 1H), 2.64 (dd, J = 12.5, 2.8 Hz, 1H), 2.29 (s, 3H), 1.66 (dd, J = 12.4, 2.7 Hz, 1H), 1.18 (s, 3H). 13C NMR (CDCl3) δ 174.7, 143.3, 143.2, 141.5, 141.4, 136.1, 133.8, 132.2, 130.8, 129.6, 127.4, 126.5, 126.4, 126.2, 125.9, 125.9, 125.7, 123.5, 123.2, 52.7, 49.2, 44.7, 40.3, 28.3, 20.5.
3.3. Pharmacological Characterisation
3.3.1. Materials
Dulbecco’s modified Eagle’s medium, Flp-In CHO cells, and hygromycin B (Invitrogen, Carlsbad, CA, USA). Fetal bovine serum (FBS) (ThermoTrace, Melbourne, VIC, Australia). All other reagents (Sigma Aldrich, St. Louis, MO, USA).
3.3.2. General Cell Culture
FlpIn Chinese Hamster Ovary (CHO) cells (Invitrogen, Carlsbad, CA, USA) were grown in DMEM supplemented with 10% FBS and maintained at 37 °C in a humidified incubator (5% CO2). The Flp-In-CHO cells were transfected with the pOG44 vector encoding Flp recombinase and the pDEST vector encoding the D2LR or the hD1R at a ratio of 9:1 using PEI as transfection reagent. Following transfection (24 h), cells were subcultured and the medium supplemented with 700 mg/mL HygroGold (Invivogen) as selection agent, to obtain cells stably expressing the D1R or D2LR. FlpIn Chinese Hamster Ovary CHO cells stably expressing the hD1R or hD2LR were grown and maintained in Dulbecco’s modified Eagle’s medium (DMEM) supplemented with 10% FBS, and 200 μg/mL of Hygromycin-B, and maintained at 37 °C in a humidified incubator (5% CO2).
Cell Culture and Transfection for cAMP Assay
FlpIn CHO cells stably expressing the hD1R were maintained in DMEM supplemented with 5% fetal calf serum and 0.2 mg/mL hygromycin at 37 °C in a humidified incubator (5% CO2). For transfection, the cells were grown in 10 cm culture dishes until 60% confluent. A mixture of 4 μg plasmid DNA containing BRET-based cAMP (CAMYEL) biosensor construct [52] and 25 μg 20 kDa linear PEI in 500 μL 150 mM NaCl was added into a dish of cells.
3.3.3. cAMP Assay Measurement
Cellular cAMP levels were measured with the CAMYEL BRET-based biosensor for cAMP [52]. One day following transfection, cells were trypsinised and seeded in white 96-well microplates, cultured for an additional day, rinsed (×2) with Hank’s Balanced Salt Solution (HBSS), then incubated in fresh HBSS. For the D1R functional assay, the cells were stimulated with DA together with addition of the modulators. The BRET signals were measured using a BMG Lumistar counter 30 min after stimulation. For the D2R functional assay, cells were stimulated with DA in the presence of 10 μM forskolin (final concentration). DA and modulators were added 15 min prior to stimulation and BRET signals were measured using a BMG Lumistar counter 30 min after stimulation. The BRET signal (BRET ratio) was detected at 445–505 nm and 505–565 nm using a LUMIstar Omega instrument (BMG LabTech, Offenburg, Germany), and quantified by calculating the ratio of light emitted at 535 ± 30 nm (YFP) to light emitted at 475 ± 30 nm (RLuc).
3.3.4. Data Analysis of Allsotery
Simulations, statistical analyses and computerized nonlinear regression were performed using Prism 6.0 (GraphPad Prism 6.0b Software, San Diego, CA, USA).
Analysis of functional data. All concentration-response data were fitted to the following modified four-parameter Hill equation in order to derive potency estimates [56].
where E = the effect of the system; nH = Hill slope; EC50 = [A] (concentration of agonist) that provides the midpoint response between basal and maximal effect of DA or other agonists (Emax), which are the lower and upper asymptotes of the response, respectively.
To determine the mode of interaction of compounds 2, and optical isomers of 2 at the D1R in relation to the agonist DA, all data were analyzed using a complete operational model of allosterism and agonism according to Equation (2) [34]
where Em = maximum possible cellular response, [A] & [B] = concentrations of orthosteric and allosteric ligands, respectively, KA & KB = equilibrium dissociation constants of orthosteric and allosteric ligands, respectively, τA & τB = operational measures of orthosteric and allosteric ligand efficacy (which incorporate both signal efficiency and receptor density), respectively, α = binding cooperativity parameter between orthosteric and allosteric ligand, and β = magnitude of the allosteric effect of modulator on efficacy of orthosteric agonist.
The KA for DA was determined through receptor depletion by phenoxybenzamine alkylation as the proportional relationship of RT to measured τ whilst KA is invariant with receptor depletion. Thus, unique estimates of KA could be measured by direct fitting of the operational model to the family of concentration-response curve for DA [57,58]. A series of cAMP inhibition assays were conducted in cells which were pre-treated with phenoxybenzamine (an alkylating agent which is used to inhibit high affinity orthosteric interactions at the D2R) [59]. The data for DA evaluated in the presence of the alkylating agent were then fit to an operational model of receptor depletion in order to determine values of KA and τA (log KA = −5.78 ± 0.16, log τA = 1.84 ± 0.16). These data were used to constrain values of KA and τA when we fitted the operational model of allostery (Equation (2)) to functional data. The value of the Hill slope (nH) was fixed to unity. The logarithms of affinity and cooperativity values are normally distributed, whereas the absolute values (antilogarithms) are not, and therefore all statistical analyses were performed on the logarithmic values. However, for ease of interpretation, allosteric parameter antilogarithms are highlighted in the main text [60].
4. Conclusions
In this study, we describe the first reported enantioenrichment of optical isomers of rac-2 using chiral auxiliaries derived from enantiomers of 3-hydroxy-4,4-dimethyldihydrofuran-2(3H)-one and their pharmacological characterisation. Interestingly, (R)-2 was shown to display 4-fold lower positive cooperativity with DA as compared to (S)-2 and a 7-fold lower affinity for the D1R. Our findings illustrate the importance of further investigation into asymmetric syntheses of analogues of 2 and/or isolation of optically pure analogues as part of future SAR efforts aimed at developing enhanced D1R PAMs based on this scaffold.
Supplementary Materials
The following are available online. Figure S1: Chiral HPLC chromatogram for Compound 5, Figure S2: Chiral HPLC chromatogram for Compound (S)-21, Figure S3: Chiral HPLC chromatogram for Compound (R)-21, Figures S4–S7: HPLC & chiral HPLC chromatograms, 1H & 13C NMR spectra for 2, Figure S8: HPLC chromatogram (MeOH blank), Figures S9–S12: HPLC & chiral HPLC chromatograms, 1H & 13C NMR spectra for (S)-2, Figures S13–S16: HPLC & chiral HPLC chromatograms, 1H & 13C NMR spectra for (R)-2.
Author Contributions
T.J.F. synthesized the target compounds and carried out their spectroscopic identification. P.J.S. and B.C. contributed to the spectroscopic identification. T.J.F. and J.R.L. performed the in vitro pharmacological evaluation of the synthesized target compounds. J.R.L., P.J.S. and B.C. proposed the work and T.J.F. prepared the manuscript for publication. All authors have read and agreed to the published version of the manuscript.
Funding
This research was supported by a National Health and Medical Research Council (NHMRC) of Australia under project grant no. APP1049564.
Data Availability Statement
Data is contained within the article or Supplementary Materials.
Acknowledgments
The authors would like to thank the Australian government for their support through an Australian Postgraduate Award to T.J.F.
Conflicts of Interest
The authors declare no conflict of interest.
Sample Availability
Samples of the compounds are available from the authors.
References
- Ibrahim, H.M.; Tamminga, C.A. Schizophrenia: Treatment targets beyond monoamine systems. Annu. Rev. Pharmacol. Toxicol. 2011, 51, 189–209. [Google Scholar] [CrossRef]
- Van Os, J.; Kapur, S. Schizophrenia. Lancet 2009, 374, 635–645. [Google Scholar] [CrossRef]
- Rosen, W.G.; Mohs, R.C.; Johns, C.A.; Small, N.S.; Kendler, K.S.; Horvath, T.B.; Davis, K.L. Positive and negative symptoms in schizophrenia. Psychiatry Res. 1984, 13, 277–284. [Google Scholar] [CrossRef]
- Bowie, C.R.; Harvey, P.D. Cognitive deficits and functional outcome in schizophrenia. Neuropsychiatr. Dis. Treat. 2006, 2, 531–536. [Google Scholar] [CrossRef] [PubMed]
- O’Tuathaigh, C.M.P.; Moran, P.M.; Zhen, X.C.; Waddington, J.L. Translating advances in the molecular basis of schizophrenia into novel cognitive treatment strategies. Br. J. Pharmacol. 2017, 174, 3173–3190. [Google Scholar] [CrossRef]
- Leucht, S.; Corves, C.; Arbter, D.; Engel, R.R.; Li, C.; Davis, J.M. Second-generation versus first-generation antipsychotic drugs for schizophrenia: A meta-analysis. Lancet 2009, 373, 31–41. [Google Scholar] [CrossRef]
- Koster, L.S.; Carbon, M.; Correll, C.U. Emerging drugs for schizophrenia: An update. Expert Opin. Emerg. Drugs 2014, 19, 511–531. [Google Scholar] [CrossRef]
- Curtis, C.E.; D’Esposito, M. Persistent activity in the prefrontal cortex during working memory. Trends Cogn. Sci. 2003, 7, 415–423. [Google Scholar] [CrossRef]
- Davis, K.L.; Kahn, R.S.; Ko, G.; Davidson, M. Dopamine in schizophrenia: A review and reconceptualization. Am. J. Psychiatry 1991, 148, 1474–1486. [Google Scholar] [CrossRef]
- Weinberger, D.R. Implications of normal brain development for the pathogenesis of schizophrenia. Arch. Gen. Psychiatry 1987, 44, 660–669. [Google Scholar] [CrossRef]
- Brozoski, T.J.; Brown, R.M.; Rosvold, H.E.; Goldman, P.S. Cognitive deficit caused by regional depletion of dopamine in prefrontal cortex of rhesus monkey. Science 1979, 205, 929–932. [Google Scholar] [CrossRef] [PubMed]
- Sawaguchi, T.; Goldman-Rakic, P.S. The role of D1-dopamine receptor in working memory: Local injections of dopamine antagonists into the prefrontal cortex of rhesus monkeys performing an oculomotor delayed-response task. J. Neurophysiol. 1994, 71, 515–528. [Google Scholar] [CrossRef] [PubMed]
- Sawaguchi, T.; Goldman-Rakic, P.S. D1 dopamine receptors in prefrontal cortex: Involvement in working memory. Science 1991, 251, 947–950. [Google Scholar] [CrossRef]
- Arnsten, A.F.; Cai, J.X.; Murphy, B.L.; Goldman-Rakic, P.S. Dopamine D1 receptor mechanisms in the cognitive performance of young adult and aged monkeys. Psychopharmacology 1994, 116, 143–151. [Google Scholar] [CrossRef] [PubMed]
- Locke, T.M.; Soden, M.E.; Miller, S.M.; Hunker, A.; Knakal, C.; Licholai, J.A.; Dhillon, K.S.; Keene, C.D.; Zweifel, L.S.; Carlson, E.S. Dopamine D1 receptor–Positive neurons in the lateral nucleus of the cerebellum contribute to cognitive behavior. Biol. Psychiatry 2018. [Google Scholar] [CrossRef]
- Abi-Dargham, A.; Moore, H. Prefrontal DA transmission at D1 receptors and the pathology of schizophrenia. Neuroscientist 2003, 9, 404–416. [Google Scholar] [CrossRef] [PubMed]
- Vijayraghavan, S.; Wang, M.; Birnbaum, S.G.; Williams, G.V.; Arnsten, A.F. Inverted-U dopamine D1 receptor actions on prefrontal neurons engaged in working memory. Nat. Neurosci. 2007, 10, 376–384. [Google Scholar] [CrossRef] [PubMed]
- Mailman, R.; Huang, X.; Nichols, D.E. Parkinson’s disease and D1 dopamine receptors. Curr. Opin. Investig. Drugs 2001, 2, 1582–1591. [Google Scholar]
- Starr, M.S.; Starr, B.S. Seizure promotion by D1 agonists does not correlate with other dopaminergic properties. J. Neural Transm. Parkinson’s Dis. Dement. Sect. 1993, 6, 27–34. [Google Scholar] [CrossRef] [PubMed]
- Arnsten, A.F.; Girgis, R.R.; Gray, D.L.; Mailman, R.B. Novel Dopamine Therapeutics for Cognitive Deficits in Schizophrenia. Biol. Psychiatry 2017, 81, 67–77. [Google Scholar] [CrossRef] [PubMed]
- Amenta, F.; Ferrante, F.; Ricci, A. Pharmacological Characterisation and Autoradiographic Localisation of Dopamine Receptor Subtypes in the Cardiovascular System and in the Kidney. Hypertens. Res. 1995, 18, S23–S27. [Google Scholar] [CrossRef]
- Ryman-Rasmussen, J.P.; Griffith, A.; Oloff, S.; Vaidehi, N.; Brown, J.T.; Goddard, W.A., 3rd; Mailman, R.B. Functional selectivity of dopamine D1 receptor agonists in regulating the fate of internalized receptors. Neuropharmacology 2007, 52, 562–575. [Google Scholar] [CrossRef] [PubMed]
- Gulwadi, A.G.; Korpinen, C.D.; Mailman, R.B.; Nichols, D.E.; Sit, S.Y.; Taber, M.T. Dinapsoline: Characterization of a D1 dopamine receptor agonist in a rat model of Parkinson’s disease. J. Pharmacol. Exp. Ther. 2001, 296, 338–344. [Google Scholar]
- Bruns, R.F.; Mitchell, S.N.; Wafford, K.A.; Harper, A.J.; Shanks, E.A.; Carter, G.; O’Neill, M.J.; Murray, T.K.; Eastwood, B.J.; Schaus, J.M.; et al. Preclinical profile of a dopamine D1 potentiator suggests therapeutic utility in neurological and psychiatric disorders. Neuropharmacology 2018, 128, 351–365. [Google Scholar] [CrossRef]
- Svensson, K.A.; Heinz, B.A.; Schaus, J.M.; Beck, J.P.; Hao, J.; Krushinski, J.H.; Reinhard, M.R.; Cohen, M.P.; Hellman, S.L.; Getman, B.G.; et al. An allosteric potentiator of the dopamine D1 receptor increases locomotor activity in human D1 knock-in mice without causing stereotypy or tachyphylaxis. J. Pharmacol. Exp. Ther. 2017, 360, 117–128. [Google Scholar] [CrossRef]
- Luderman, K.D.; Conroy, J.L.; Free, R.B.; Southall, N.; Ferrer, M.; Sanchez-Soto, M.; Moritz, A.E.; Willette, B.K.A.; Fyfe, T.J.; Jain, P.; et al. Identification of positive allosteric modulators of the D1 dopamine receptor that act at diverse binding sites. Mol. Pharmacol. 2018, 94, 1197–1209. [Google Scholar] [CrossRef]
- Hall, A.; Provins, L.; Valade, A. Novel strategies to activate the dopamine D1 receptor: Recent advances in orthosteric agonism and positive allosteric modulation. J. Med. Chem. 2019, 62, 128–140. [Google Scholar] [CrossRef]
- Svensson, K.A.; Hao, J.; Bruns, R.F. Positive allosteric modulators of the dopamine D1 receptor: A new mechanism for the treatment of neuropsychiatric disorders. Adv. Pharmacol. 2019, 86, 273–305. [Google Scholar] [CrossRef]
- Luderman, K.D.; Jain, P.; Free, R.B.; Conroy, J.L.; Aubé, J.; Sibley, D.R.; Frankowski, K.J. Development of pyrimidone D1 dopamine receptor positive allosteric modulators. Bioorg. Med. Chem. Lett. 2021, 31, 127696. [Google Scholar] [CrossRef]
- Sun, B.; Feng, D.; Chu, M.L.H.; Fish, I.; Lovera, S.; Sands, Z.A.; Kelm, S.; Valade, A.; Wood, M.; Ceska, T.; et al. Crystal structure of dopamine D1 receptor in complex with G protein and a non-catechol agonist. Nat. Commun. 2021, 12, 3305. [Google Scholar] [CrossRef]
- Sibley, D.R.; Luderman, K.D.; Free, R.B.; Shi, L. Novel Cryo-EM structures of the D1 dopamine receptor unlock its therapeutic potential. Signal Transduct. Target. Ther. 2021, 6, 205. [Google Scholar] [CrossRef] [PubMed]
- Zhuang, Y.; Xu, P.; Mao, C.; Wang, L.; Krumm, B.; Zhou, X.E.; Huang, S.; Liu, H.; Cheng, X.; Huang, X.P.; et al. Structural insights into the human D1 and D2 dopamine receptor signaling complexes. Cell 2021, 184, 931–942. [Google Scholar] [CrossRef] [PubMed]
- Wilbraham, D.; Biglan, K.M.; Svensson, K.A.; Tsai, M.; Kielbasa, W. Safety, tolerability, and pharmacokinetics of Mevidalen (LY3154207), a centrally acting dopamine D1 receptor-positive allosteric modulator (D1PAM), in healthy subjects. Clin. Pharmacol. Drug Dev. 2021, 10, 393–403. [Google Scholar] [CrossRef]
- Christopoulos, A.; Kenakin, T. G protein-coupled receptor allosterism and complexing. Pharmacol. Rev. 2002, 54, 323–374. [Google Scholar] [CrossRef]
- Wootten, D.; Christopoulos, A.; Sexton, P.M. Emerging paradigms in GPCR allostery: Implications for drug discovery. Nat. Rev. Drug Discov. 2013, 12, 630–644. [Google Scholar] [CrossRef] [PubMed]
- Lewis, M.A.; Hunihan, L.; Watson, J.; Gentles, R.G.; Hu, S.; Huang, Y.; Bronson, J.; Macor, J.E.; Beno, B.R.; Ferrante, M.; et al. Discovery of D1 dopamine receptor positive allosteric modulators: Characterization of pharmacology and identification of residues that regulate species selectivity. J. Pharmacol. Exp. Ther. 2015, 354, 340–349. [Google Scholar] [CrossRef]
- Leach, K.; Sexton, P.M.; Christopoulos, A. Allosteric GPCR modulators: Taking advantage of permissive receptor pharmacology. Trends Pharmacol. Sci. 2007, 28, 382–389. [Google Scholar] [CrossRef]
- Cabellero, A.G.; Croft, A.K.; Nalli, S.M. Remote aromatic stabilization in radical reactions. Tetrahedron Lett. 2008, 49, 3613–3615. [Google Scholar] [CrossRef][Green Version]
- Camps, P.; Font-Bardia, M.; Giménez, S.; Pérez, F.; Solans, X.; Soldevilla, N. (R)- and (S)-3-Hydroxy-4,4-dimethyl-1-phenyl-2-pyrrolidinone as chiral auxiliaries in Diels-Alder reactions. Tetrahedron Asymmetry 1999, 10, 3123–3138. [Google Scholar] [CrossRef]
- Brocksom, T.J.; Nakamura, J.; Ferreira, M.L.; Brocksom, U. The Diels-Alder reaction: An update. J. Braz. Chem. Soc. 2001, 12, 597–622. [Google Scholar] [CrossRef]
- Kagan, H.B.; Riant, O. Catalytic asymmetric Diels Alder reactions. Chem. Rev. 1992, 92, 1007–1019. [Google Scholar] [CrossRef]
- Nicolaou, K.C.; Snyder, S.A.; Montagnon, T.; Vassilikogiannakis, G. The Diels-Alder reaction in total synthesis. Angew. Chem. 2002, 41, 1668–1698. [Google Scholar] [CrossRef]
- Corey, E.J.; Ensley, H.E. Preparation of an optically active prostaglandin intermediate via asymmetric induction. J. Am. Chem. Soc. 1975, 97, 6908–6909. [Google Scholar] [CrossRef] [PubMed]
- Neises, B.; Steglich, W. Simple method for the esterification of carboxylic acids. Angew. Chem. Int. Ed. Engl. 1978, 17, 522–524. [Google Scholar] [CrossRef]
- Myers, A.G.; Yang, B.H.; Chen, H.; McKinstry, L.; Kopecky, D.J.; Gleason, J.L. Pseudoephedrine as a practical chiral auxiliary for the synthesis of highly enantiomerically enriched carboxylic acids, alcohols, aldehydes, and ketones. J. Am. Chem. Soc. 1997, 119, 6496–6511. [Google Scholar] [CrossRef]
- Kim, B.R.; Lee, H.-G.; Kang, S.-B.; Sung, G.H.; Kim, J.-J.; Park, J.K.; Lee, S.-G.; Yoon, Y.-J. tert-Butoxide-assisted amidation of esters under green conditions. Synthesis 2012, 44, 42–50. [Google Scholar] [CrossRef]
- Poll, T.; Sobczak, A.; Hartmann, H.; Helmchen, G. Diastereoface-discriminative metal coordination in asymmetric synthesis: d-pantolactone as practical chiral auxiliary for Lewis acid catalyzed Diels-Alder reactions. Tetrahedron Lett. 1985, 26, 3095–3098. [Google Scholar] [CrossRef]
- Miyaji, K.; Ohara, Y.; Takahashi, Y.; Tsuruda, T.; Arai, K. Synthesis of Corey lactone via highly stereoselective asymmetric Diels-Alder reaction. Tetrahedron Lett. 1991, 32, 4557–4560. [Google Scholar] [CrossRef]
- Helmchen, G.; Ihrig, K.; Schindler, H. EPC-syntheses via asymmetric Diels-Alder reactions/retro Diels-Alder reactions I: (R)- and (S)-matsutake alcohol. (R)- and (S)-sarcomycin methyl ester. Tetrahedron Lett. 1987, 28, 183–186. [Google Scholar] [CrossRef]
- Pelayo, C.; Diego, M.-T. Synthesis and applications of (R)- and (S)-pantolactone as chiral auxiliaries. Curr. Org. Chem. 2004, 8, 1339–1380. [Google Scholar] [CrossRef]
- Manickam, G.; Sundararajan, G. Asymmetric Diels-Alder and ene reactions promoted by a Ti(IV) complex bearing a C2-symmetric tridentate ligand. Tetrahedron Asymmetry 1999, 10, 2913–2925. [Google Scholar] [CrossRef]
- Jiang, L.I.; Collins, J.; Davis, R.; Lin, K.M.; DeCamp, D.; Roach, T.; Hsueh, R.; Rebres, R.A.; Ross, E.M.; Taussig, R.; et al. Use of a cAMP BRET sensor to characterize a novel regulation of cAMP by the sphingosine 1-phosphate/G13 pathway. J. Biol. Chem. 2007, 282, 10576–10584. [Google Scholar] [CrossRef]
- Canals, M.; Lane, J.R.; Wen, A.; Scammells, P.J.; Sexton, P.M.; Christopoulos, A. A Monod-Wyman-Changeux mechanism can explain G protein-coupled receptor (GPCR) allosteric modulation. J. Biol. Chem. 2012, 287, 650–659. [Google Scholar] [CrossRef]
- Rodríguez, J.B.; Markey, S.P.; Ziffer, H. Preparation of 2(R) and 2(S) methyl-2-methylglycerates. Tetrahedron Asymmetry 1993, 4, 101–108. [Google Scholar] [CrossRef]
- Xu, X.; Feng, S.; Zhu, Y.; Li, H.; Shen, X.; Zhang, C.; Bai, J.; Zhang, L. Stereospecific radical polymerization of optically active (S)-N-(2-hydroxy-1-phenylethyl) methacrylamide catalyzed by Lewis acids. Eur. Polym. J. 2013, 49, 3673–3680. [Google Scholar] [CrossRef]
- Motulsky, H.J.C.; Christopoulos, A. Fitting Models to Biological Data Using Linear and Nonlinear Regression: A Practical Guide to Curve Fitting; GraphPad Software, Inc.: San Diego, CA, USA, 2003. [Google Scholar]
- Keov, P.; López, L.; Devine, S.M.; Valant, C.; Lane, J.R.; Scammells, P.J.; Sexton, P.M.; Christopoulos, A. Molecular mechanisms of bitopic ligand engagement with the M(1) muscarinic acetylcholine receptor. J. Biol. Chem. 2014, 289, 23817–23837. [Google Scholar] [CrossRef]
- Black, J.W.; Leff, P.; Shankley, N.P.; Wood, J. An operational model of pharmacological agonism: The effect of E/[A] curve shape on agonist dissociation constant estimation. Br. J. Pharmacol. 1985, 84, 561–571. [Google Scholar] [CrossRef]
- Sibley, D.R.; Creese, I. Regulation of ligand binding to pituitary D-2 dopaminergic receptors. Effects of divalent cations and functional group modification. J. Biol. Chem. 1983, 258, 4957–4965. [Google Scholar] [CrossRef]
- Christopoulos, A. Assessing the distribution of parameters in models of ligand-receptor interaction: To log or not to log. Trends Pharmacol. Sci. 1998, 19, 351–357. [Google Scholar] [CrossRef]
Publisher’s Note: MDPI stays neutral with regard to jurisdictional claims in published maps and institutional affiliations. |
© 2021 by the authors. Licensee MDPI, Basel, Switzerland. This article is an open access article distributed under the terms and conditions of the Creative Commons Attribution (CC BY) license (https://creativecommons.org/licenses/by/4.0/).