Next Article in Journal
The Microglial Activation Inhibitor Minocycline, Used Alone and in Combination with Duloxetine, Attenuates Pain Caused by Oxaliplatin in Mice
Previous Article in Journal
Stoichiometric Analysis of Shifting in Subcellular Compartmentalization of HSP70 within Ischemic Penumbra
Previous Article in Special Issue
Enhancement of the Antioxidant and Skin Permeation Properties of Betulin and Its Derivatives
 
 
Font Type:
Arial Georgia Verdana
Font Size:
Aa Aa Aa
Line Spacing:
Column Width:
Background:
Article

Isobornylchalcones as Scaffold for the Synthesis of Diarylpyrazolines with Antioxidant Activity

by
Svetlana A. Popova
1,*,
Evgenia V. Pavlova
1,
Oksana G. Shevchenko
2,
Irina Yu. Chukicheva
1 and
Aleksandr V. Kutchin
1
1
Institute of Chemistry, Komi Science Centre, Ural Branch, Russian Academy of Sciences, 48 Pervomayskaya, 167000 Syktyvkar, Russia
2
Institute of Biology, Komi Science Centre, Ural Branch, Russian Academy of Sciences, 28 Kommunisticheskaya, 167982 Syktyvkar, Russia
*
Author to whom correspondence should be addressed.
Molecules 2021, 26(12), 3579; https://doi.org/10.3390/molecules26123579
Submission received: 26 May 2021 / Revised: 7 June 2021 / Accepted: 8 June 2021 / Published: 11 June 2021

Abstract

The pyrazoline ring is defined as a “privileged structure” in medicinal chemistry. A variety of pharmacological properties of pyrazolines is associated with the nature and position of various substituents, which is especially evident in diarylpyrazolines. Compounds with a chalcone fragment show a wide range of biological properties as well as high reactivity which is primarily due to the presence of an α, β-unsaturated carbonyl system. At the same time, bicyclic monoterpenoids deserve special attention as a source of a key structural block or as one of the pharmacophore components of biologically active molecules. A series of new diarylpyrazoline derivatives based on isobornylchalcones with different substitutes (MeO, Hal, NO2, N(Me)2) was synthesized. Antioxidant properties of the obtained compounds were comparatively evaluated using in vitro model Fe2+/ascorbate-initiated lipid peroxidation in the substrate containing brain lipids of laboratory mice. It was demonstrated that the combination of the electron-donating group in the para-position of ring B and OH-group in the ring A in the structure of chalcone fragment provides significant antioxidant activity of synthesized diarylpyrazoline derivatives.

1. Introduction

Lipid peroxidation (LPO) is a process initiated by free radicals attacking phospholipids or polyunsaturated fatty acids, which leads to the formation of various types of toxic oxidation products [1]. These highly reactive products, through interaction with cellular components, can initiate the mechanisms of several disorders and diseases, such as cardiovascular, neurodegenerative diseases, cancer and aging [2]. Thus, the design and development of new antioxidants for the prevention and treatment of the above-mentioned diseases are becoming increasingly important.
Chalcones (1,3-diphenyl-2-propen-1-ones) are a subclass of open-chain flavonoids that are present in many plants [3]. Structurally, chalcones consist of two aromatic rings (A and B) linked by a three-carbon α-β unsaturated carbonyl moiety (Figure 1). The chalcone skeleton is considered a privileged scaffold in medicinal chemistry and is widely used as an effective template for drug discovery [4]. Compounds with a chalcone fragment exhibit various types of biological activity such as antibacterial, antifungal, anti-inflammatory, anti-cancer, etc. [5,6,7,8,9,10].
It was demonstrated that synthetic chalcone derivative 2-hydroxy-4′-methoxychalcone (AN07) potentially has anti-atherosclerosis effects, as well as antioxidant, anti-inflammatory, and neuroprotective effects [11]. Some prenylchalcones are isolated from hops and beer and exhibit antioxidant effects, modulate metabolism of carcinogens by inhibition of distinct phase 1 metabolic enzymes and activation of phase 2 detoxifying enzymes, and display anti-inflammatory properties [12]. Xanthohumol, the main prenylchalcone of hops and beer, showed a high antioxidant activity (AOA) of inhibiting the oxidation of low density lipoproteins (LDL), greater than α-tocopherol and isoflavone genistein, but less than flavonol quercetin (Figure 1) [13]. Chalcones are highly reactive due to the presence of two active electrophilic centers, the carbonyl group and the double bond conjugated to it, and can react as ambident electrophiles due to the delocalization of the electron density in the three-carbon α-β unsaturated carbonyl system. In addition, these compounds are of great interest as available starting reagents for reactions involving binucleophiles, leading to a wide variety of 5-, 6-, and 7-membered carbo- and heterocyclic compounds, such as benzodiazepines, dihydropyrimidines, pyrazolines, etc. [14,15,16,17].
Amongst these heterocyclic ring-containing scaffolds, pyrazolines as a class of electron-rich nitrogen heterocyclic compounds play an important role due to their extensive use as pharmacophore and synthon. Interestingly, 2-pyrazoline derivatives synthesized from chalcones have shown a variety of biological activities, such as antibacterial, antitumor, antifungal, anti-inflammatory, antioxidant, and antimalarial [18,19,20,21,22,23,24]. Previously it has been reported that 3-(3,5-di-tert-butyl-4-hydroxyphenyl)-5-(multi-substituted-4-hydroxyphenyl)-2-pyrazolines showed significant human LDL-antioxidant activities (Figure 1) [25]. These results demonstrated that bulky di-tert-butyl groups contribute to higher activity by creating steric and electronic factors to stabilize the phenoxy radical formed from the phenolic hydroxy group, which could affect the antioxidant activity of human low-density lipoproteins.
At the same time, the hybridization of biologically active molecules, based on the combination of pharmacophore groups of two or more known biologically active compounds, is a powerful strategy for drug development. It leads to the development of new hybrid compounds that preserve the pre-selected characteristics of the original templates. Previously, it was demonstrated that the introduction of a terpene fragment into the 4-methylcoumarin scaffold increased the antioxidant, antiradical, and membrane-protective activity of the coumarin derivatives [26]. The 3,4-dihydro-2Hbenz[e][1,3]oxazine derivative of 2-hydroxy-3-isobornyl-5-methylbenzaldehyde showed high membrane-protective activity on the model H2O2-induced hemolysis towards mammalian red blood cells [27]. From this point of view, the synthesis of heterocyclic compounds based on the transformations of isobornylphenols and the study of their antioxidant activity is an interesting subject of research.
Heterogeneous systems, particularly oil–water emulsions, are often used to study antioxidant activity [28,29,30,31,32,33]. The interfacial properties of derivatives affected by the type of substituting group is the predominant factor to exert antioxidant activity in this model [31,32]. A suitable and affordable source of easily oxidized lipids for preparation of model emulsions is the brain of laboratory animals. Brain homogenate is a substrate widely used as an oxidative stress model [34,35,36,37,38]. The brain is extremely vulnerable to oxidative stress, in part because it is highly enriched with non-heme iron, which is catalytically involved in the production of oxygen free radicals. In addition, the brain contains a relatively high degree of polyunsaturated fatty acids that are particularly good substrates for peroxidation reactions [39,40]. This approach is common for studies of antioxidant activity of food products, plant extracts, and chemical compounds promising for pharmacology. We regularly use this method to assess the antioxidant activity of compounds of various structures [26,27,41,42].
This work describes the synthesis of diarylpyrazoline derivatives with an isobornyl substituent and a study of their antioxidant activity using the model of Fe2+/ascorbate-initiated LPO in substrate obtained from mice brain homogenate. Quercetin and resveratrol were used as a standard.

2. Results and Discussion

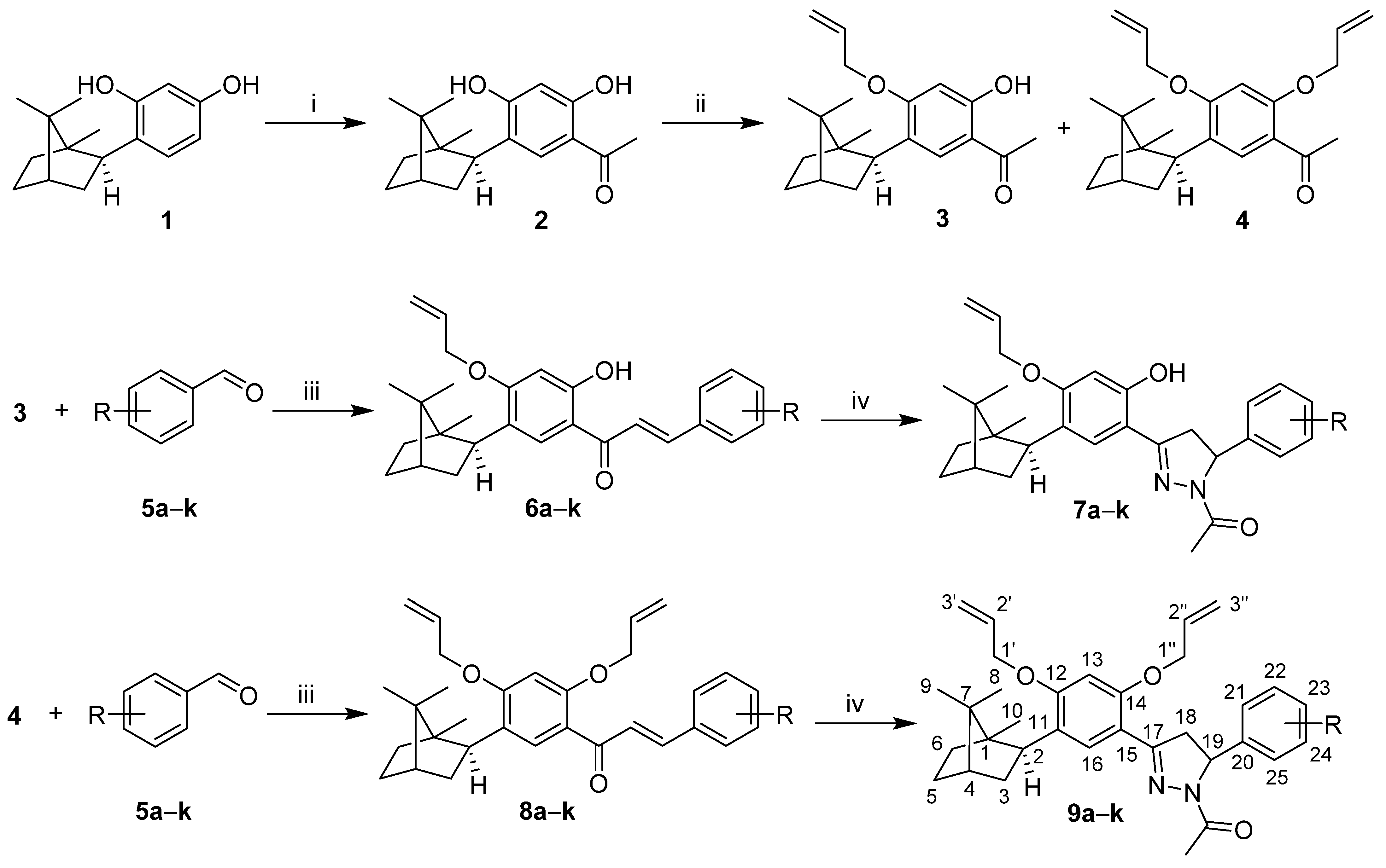
The initial racemic 1,3-dihydroxy-4-isobornylbenzene 1 was synthesized via the alkylation of resorcinol with camphene according to the known method [43] (Scheme 1). Acetophenones 3 and 4 were obtained by acetylation of compound 1 with acetic anhydride in BF3 Et2O followed by O-allylation of the resulting product 2 [44].
Claisen–Schmidt condensation of isobornylacetophenone derivatives 3 and 4 with appropriately substituted benzaldehydes was carried out in order to synthesize a set of chalcone derivatives with dimethylamino, chloro, bromo, methoxy, and nitro B-ring substituents (Scheme 1). The synthesis of chalcones 6ak and 8ak has been previously described [44,45]. Chalcones 6ad and 8ad were synthesized by KOH/MeOH condensation of compounds 3 and 4 with appropriate benzaldehydes, methoxychalcones 6ek, 8ek by condensation of compounds 3 and 4 with methoxy-substituted benzaldehydes 5ek in the presence of sodium hydride in dimethylformamide. The reaction of chalcones 6ak, 8ak with hydrazine in acetic acid under reflux condition produced the corresponding pyrazoline derivatives 7ak, 9ak (Scheme 1, Table 1).
The structure of new substituted diarylpyrazolines with an isobornyl moiety was established on the basis of 1H and 13C NMR spectroscopy and mass spectrometry. In the 1H NMR spectra of compounds 7ak and 9ak, there are no signals of the vinyl protons of the unsaturated α-β bond in the region of δH 7.41–8.39 ppm, but there is a signal of the CH3 group of the N-acyl fragment in the region of δH 2.28–2.46 ppm. Signals of the methylene (in the range of 3.08–3.33 and 3.84–3.99 ppm) and methine (5.49–5.96 ppm) groups of the pyrazoline ring are also observed. The integrated intensity of the aromatic proton signals corresponds to the declared structures. The 13C NMR spectra contain signals of the CH3 carbon atom of the N-acyl group at 21–22 ppm and signals of the methine (57 ppm) and methylene (42 ppm) groups are observed, the signal of the C=O group carbon atom is present in the weak field region of 210 ppm. Copies of 1H and 13C NMR spectra of compounds 7a,b,i,j and 9a,b,i,k are provided in Supplementary Materials. Mass spectral data are in accordance with the proposed structures.
Figure 2 shows the results of a comparative assessment of the antioxidant activity of 44 chalcones and diarylpyrazolines. The AOA of compounds was evaluated as inhibition of accumulation of secondary LPO products (TBA-RS) in substrates. In general, pyrazoline derivatives (Figure 2b) exhibit greater activity compared to the corresponding chalcones (Figure 2a) containing an α-β-unsaturated carbonyl system, which indicates the leading role of 4,5-dihydro-1H-pyrazole scaffold in the manifestation of antioxidant function of the compounds under consideration. At the same time, for both chalcones and arylpyrazolinesa significant dependence of the activity on the structure, number and position of substituents in both phenyl cores (A and B) was observed.
Thus, in this model system, no AOA was detected for chalcones containing nitro group (6a and 8a) or halogen atoms (6b,c and 8b,c) in the aromatic ring B. The presence of donor methoxy groups in this ring promotes antioxidant activity, and not only their number but also their position is essential. In addition to methoxy groups, the antioxidant activity of chalcones can also be impacted by the dimethylamine group at the C-4 position of the B ring. Interestingly, in such a structure, high activity was detected only in chalcone 8d, but not in chalcone 6d, which differ in substituents in ring A. The influence of the A-ring substituents’ structure on the AOA of chalcones is also noted for the above-mentioned compounds. The presence of two allyl substituents (8ek) had a greater effect than the combination of allyl and hydroxyl substituents (6ek) with other matching structures.
Among the diarylpyrazolines, the compounds containing the halogen atom (7b,c and 9b,c) in the B ring were also the least active. Diarylpyrazolines with a nitro group in ring B (7a and 9a) turned out to be more active than the corresponding chalcones (6a and 8a). As with chalcones, the antioxidant activity of diarylpyrazolines is associated with the presence of electron-donating substituent in the para-position of this ring. For instance, high AOA was also found in diarylpyrazolines with a dimethylamine group at position C-4 of ring B (7d and 9d). Among mono methoxy pyrazolines, the most active were compounds with a substituent in the para-position of ring B, while the ortho- and meta-isomers showed similar results of activity. Moreover, the structure of the substituents in ring A is also important here. In all cases, compounds with a hydroxyl group in the C-2 position of ring A turned out to be more active than the corresponding derivatives with two allyloxy substituents. For diarylpyrazolines with two methoxy groups in ring B, the compounds with the catechol moiety 7i and 9i were predictably most active. It should be noted that these compounds are leaders in antioxidant activity among all studied compounds and showed significant ability to inhibit LPO at the level of values for standards. The patterns revealed above were also valid for diarylpyrazolines with three methoxy groups (7j,k and 9j,k). In contrast to the first three compounds (7g,k and 9k), which showed high AOA, compound 9j, combining two allyloxy substituents in ring A and 2,4,6-trimethoxy substituents in ring B, inhibited LPO to a small extent.
The decrease in Fe2+-induced lipid peroxidation in substrate obtained from mouse brain homogenate in the presence of pyrazolines could be the result of their ability to chelate Fe2+ and/or radical scavenging activity. Compound 7i was the most effective antioxidant. These results strongly suggest that the presence of hydroxyl group at 2′-position in ring A (compare 7ak to 9ak) and the catechol moiety in ring B (7i and 9i) are essential for inhibiting Fe2+/ascorbate-mediated LPO in this model system.

3. Materials and Methods

3.1. Chemistry

The 1H- and 13C-NMR spectra were recorded on a Avance II 300 instrument (300 MHz and 75 MHz, (Bruker CorporationGermany) in CDCl3. The assignment of the atoms’ signals of synthesized compounds was carried out using the 1H and J-modulated 13C NMR spectra, as well as using the HSQC, HMBC, NOESY, COSY techniques. The melting points were measured on a Gallenkamp MPD 350 instrument (Sanyo, Moriguchi, Japan) and were not corrected. Mass spectra were recorded on a Thermo Finnigan LCQ Fleet instrument (Thermo Fisher Scientific, Waltham, MA, USA). The reaction progress was monitored by thin layer chromatography (TLC) on Sorbfil plates. Column chromatography was carried out on silica gel Alfa Aesar 70/230 μ (Alfa Aesar, Ward Hill, MA, USA).
The spectral data were partially obtained using the equipment of the Center of Collective Usage Chemistry (Institute of Chemistry, Komi Scientific Centre, Ural Branch of the RAS, Syktyvkar, Russia).
Synthesis and spectral characteristics of compounds 14, 6ak, and 8ak have been described previously [43,44].

General Procedure for the Synthesis of Pyrazolines

A mixture of chalcone (1 mmol), hydrazine monohydrate (5 mmol), and acetic acid (6 mL) were refluxed for 1–2.5 h. The progress of the reaction was monitored by TLC. The resulting mixture was poured into ice-cold water andallowed to stand. The precipitate that formed was separated by filtration and washed with cold water. In cases where no precipitate was formed, the mixture was extracted with ethyl acetate (3 × 10 mL). The organic extracts were dried over anhydrous sodium sulphate, filtrated, and evaporated under vacuum. Additional purification of the reaction product was carried out by column chromatography on silica gel.
1-(5-(3-Nitrophenyl)-3-(4′-allyloxy-2′-hydroxy-5′-isobornylphenyl)-4,5-dihydro-(1H)-pyrazole-1-yl)etanone (7a). Yellow oil; 78% yield. IR (KBr), ν/cm−1 3415 (OH), 1668 (C=O), 1625 (C=N), 1348 (N−O) 1261 (=C−O), 1247 (C−N). 1H NMR (CDCl3, δ ppm, J/Hz): 0.71 (s, 3H, 10-CH3); 0.85 (s, 3H, 8-CH3); 0.86 (s, 3H, 9-CH3); 1.29−1.46 (m, 2H, 5-CH2, 6-CH2); 1.57−1.61 (m, 2H, 3-CH2, 6-CH2); 1.82−1.84 (m, 2H, 5-CH2, 4-CH); 2.06−2.11 (m, 1H, 3-CH2); 2.43 (s, 3H, N-COCH3); 3.26−3.33 (m, 2H, 18-CH2, 2-CH); 3.89−3.99 (m, 1H, 18-CH2); 4.59 (d, J = 5 Hz, 2H, 1′-CH2); 5.36 (d, J = 11 Hz, 1H, 3′-CH2(Hcis)); 5.50−5.53 (d, J = 17 Hz, 1H, 3′-CH2(Htrans)); 5.62−5.68 (m, 1H, 19-CH); 6.07−6.13 (m, 1H, 2′-CH); 6.57 (s, 1H, 13-CH); 7.11 (s, 1H, 16-CH); 7.53−7.64 (m, 2H, 24-CH, 25-CH); 7.48−7.51 (m, 2H, 21-CH, 23-CH); 10.17 (s, 1H, C(14)-OH). 13C NMR (CDCl3, δ ppm): 12.2 (10-CH3); 20.1 (8-CH3); 21.5 (9-CH3); 21.9 (N-COCH3); 27.4 (5-CH2); 34.1 (3-CH2); 39.4 (6-CH2); 42.7 (18-CH2); 44.1 (2-CH); 45.5 (4-CH); 48.1 (7-C); 49.6 (1-C); 57.6 (19-CH-N); 68.9 (1′-CH2); 99.9 (13-CH); 106.5 (11-C); 117.6 (3′-CH2); 120.9 (21-CH); 122.9 (25-CH); 124.5 (15-C); 127.5 (16-CH); 130.1 (24-CH); 131.9 (23-CH); 132.6 (2′-CH); 143.5 (20-C); 146.3 (22-C); 156.5 (17-C=N); 160.2 and 167.9 (12-C) and (14-C); 211.1 (C=O). ESI-MS m/z: found 518.71 [M + H]+, calcd. for C30H36N3O5 518.62.
1-(5-(4-Chlorophenyl)-3-(4′-allyloxy-2′-hydroxy-5′-isobornylphenyl)-4,5-dihydro-(1H)-pyrazole-1-yl)etanone (7b). Yellow oil; 70% yield. IR (KBr), ν/cm−1 3431 (OH), 1662 (C=O), 1627 (C=N), 1263 (=C−O), 1257 (C−N), 1022 (Ar−Cl). 1H NMR (CDCl3, δ ppm, J/Hz): 0.74 (s, 3H, 10-CH3); 0.83 (s, 3H, 8-CH3); 0.84 (s, 3H, 9-CH3); 1.29−1.39 (m, 2H, 5-CH2, 6-CH2); 1.48−1.58 (m, 2H, 3-CH2, 6-CH2); 1.61−1.83 (m, 2H, 5-CH2, 4-CH); 2.01−2.11 (m, 1H, 3-CH2); 2.39 (s, 3H, N-COCH3); 3.12−3.19 (m, 1H, 18-CH2); 3.28 (t, J = 9.0 Hz, 1H, 2-CH); 3.84−3.94 (m, 1H, 18-CH2); 4.59 (d, J = 4.9 Hz, 2H, 1′-CH2); 5.37 (d, J = 10.9 Hz, 1H, 3′-CH2(Hcis); 5.49−5.56 (m, 2H, 3′-CH2(Htrans), 19-CH); 6.07−6.13 (m, 1H, 2′-CH); 6.56 (s, 1H, 13-CH); 7.11 (s, 1H, 16-CH); 7.23 (d, J = 8 Hz, 2H, 21-CH, 25-CH); 7.31 (d, J = 8.3 Hz, 2H, 22-CH, 24-CH); 10.25 (s, 1H, C(14)-OH). 13C NMR (CDCl3, δ ppm): 12.4 (10-CH3); 20.3 (8-CH3); 21.5 (9-CH3); 22.1 (N-COCH3); 27.4 (5-CH2); 34.3 (3-CH2); 39.6 (6-CH2); 42.7 (18-CH2); 44.3 (2-CH); 45.6 (4-CH); 48.1 (7-C); 49.5 (1-C); 57.7 (19-CH-N); 68.8 (1′-CH2); 99.9 (13-CH); 106.9 (11-C); 117.5 (3′-CH2); 124.5 (15-C); 127.2 (21-CH, 25-CH); 127.6 (16-CH); 129.2 (22-CH, 24-CH); 132.1 (2′-CH); 132.6 (20-C); 139.9 (23-C); 156.6 (17-C=N); 160.1 and 167.8 (12-C) and (14-C); 211.3 (C=O). ESI-MS m/z: found 507.95 [M + H]+, calcd. for C30H36ClN2O3 508.06.
1-(5-(4-Bromophenyl)-3-(4′-allyloxy-2′-hydroxy-5′-isobornylphenyl)-4,5-dihydro-(1H)-pyrazole-1-yl)etanone (7c). Gray-yellow powder; 91% yield; m.p. 73–74 °C. IR (KBr), ν/cm−1 3421 (OH), 1668 (C=O), 1625 (C=N), 1261 (=C−O), 1245 (C−N). 1H NMR (CDCl3, δ ppm, J/Hz): 0.73 (s, 3H, 10-CH3,); 0.82 (s, 3H, 8-CH3,); 0.92 (s, 3H, 9-CH3,); 1.29−1.47 (m, 2H, 5-CH2, 6-CH2); 1.52−1.61 (m, 2H, 3-CH2, 6-CH2); 1.68−1.83 (m, 2H, 5-CH2, 4-CH); 2.02−2.06 (m, 1H, 3-CH2); 2.39 (s, 3H, N-COCH3); 3.12−3.28 (m, 2H, 18-CH2, 2-CH); 3.84−3.95 (m, 1H, 18-CH2); 4.60 (d, J = 4.8 Hz, 2H, 1′-CH2); 5.37 (d, J = 11 Hz, 1H, 3′-CH2(Hcis)); 5.50−5.55 (m, 2H, 3′-CH2(Htrans), 19-CH); 6.07−6.13 (m, 1H, 2′-CH); 6.55 (s, 1H, 13-CH); 7.11 (s, 1H, 16-CH); 7.14−7.19 (m, 2H, 21-CH, 25-CH); 7.48−7.51 (m, 2H, 22-CH, 24-CH); 10.25 (s, 1H, C(14)-OH). 13C NMR (CDCl3, δ ppm): 12.4 (10-CH3); 20.1 (8-CH3); 21.5 (9-CH3); 22.1 (N-COCH3); 27.4 (5-CH2); 34.2 (3-CH2); 39.6 (6-CH2); 42.7 (18-CH2); 44.2 (2-CH); 44.3 (4-CH); 45.5 (7-C); 48.8 (1-C); 57.7 (19-CH-N); 68.8 (1′-CH2); 99.9 (13-CH); 106.9 (11-C); 117.5 (3′-CH2); 124.5 (15-C); 127.5 (21-CH, 25-CH); 127.6 (16-CH); 132.1 (22-CH, 24-CH); 132.7 (2′-CH); 132.6 (20-C); 140.5 (23-C); 156.8 (17-C=N); 16.1 and 168.8 (12-C) and (14-C); 210.8 (C=O). ESI-MS m/z: found 552.35 [M + H]+, calcd. for C30H36BrN2O3 552.51.
1-(5-(4-Dimethylaminophenyl)-3-(4′-allyloxy-2′-hydroxy-5′-isobornylphenyl)-4,5-dihydro-(1H)-pyrazole-1-yl)etanone (7d). Yellow oil; 71% yield. IR (KBr), ν/cm−1 3396 (OH), 1664 (C=O), 1624 (C=N), 1261 (=C−O), 1226 (C−N). 1H NMR (CDCl3, δ ppm, J/Hz): 0.71 (s, 3H, 10-CH3); 0.85 (s, 3H, 8-CH3); 0.92 (s, 3H, 9-CH3); 1.27−1.46 (m, 2H, 5-CH2, 6-CH2); 1.52−1.61 (m, 2H, 3-CH2, 6-CH2); 1.67−1.83 (m, 2H, 5-CH2, 4-CH); 2.01−2.11 (m, 1H, 3-CH2); 2.37 (s, 3H, N-COCH3); 2.94 (s, 6H, C(23)-N(CH3)2); 3.28−3.34 (m, 2H, 18-CH2, 2-CH); 3.77−3.83 (m, 1H, 18-CH2); 4.59 (d, J = 4.8 Hz, 2H, 1′-CH2); 5.36 (d, J = 10.8 Hz, 1H, 3′-CH2(Hcis)); 5.47−5.56 (m, 2H, 3′-CH2(Htrans), 19-CH); 6.06−6.13 (m, 1H, 2′-CH); 6.55 (s, 1H, 13-CH); 6.69−6.73 (m, 2H, 21-CH, 25-CH); 7.14−7.19 (m, 3H, 22-CH, 24-CH, 16-CH); 10.39 (s, 1H, C(14)-OH). 13C NMR (CDCl3, δ ppm): 12.3 (10-CH3); 20.1 (8-CH3); 21.5 (9-CH3); 22.1 (N-COCH3); 27.4 (5-CH2); 34.1 (3-CH2); 39.6 (6-CH2); 40.5 (C(23)-N(CH3)2); 42.8 (18-CH2); 44.2 (2-CH); 44.3 (4-CH); 49.1 (7-C); 51.1 (1-C); 57.9 (19-CH-N); 68.8 (1′-CH2); 99.8 (13-CH); 107.3 (11-C); 112.7 (22-CH, 24-CH); 117.5 (3-CH2′); 124.1 (15-C); 126.7 (21-CH, 25-CH); 127.6 (16-CH); 129.1 (20-C); 132.8 (2′-CH); 150.13 (23-C); 156.8 (17-C=N); 160.7 and 167.3 (12-C) and (14-C); 199.8 (C=O). ESI-MS m/z: found 516.81 [M + H]+, calcd. for C32H42N3O3 516.69.
1-(5-(2-Methoxyphenyl)-3-(4′-allyloxy-2′-hydroxy-5′-isobornylphenyl)-4,5-dihydro-(1H)-pyrazole-1-yl)etanone (7e). Gray-yellow powder; 96% yield; m.p. 70–71 °C. IR (KBr), ν/cm−1 3427 (OH), 1668 (C=O), 1625 (C=N), 1259 (=C−O), 1239 (C−N), 1188 (O−CH3). 1H NMR (CDCl3, δ ppm, J/Hz): 0.71 (s, 3H, 10-CH3); 0.86 (s, 3H, 8-CH3); 0.93 (s, 3H, 9-CH3); 1.21−1.29 (m, 2H, 5-CH2, 6-CH2); 1.56−1.65 (m, 2H, 3-CH2, 6-CH2); 1.72−1.85 (m, 2H, 5-CH2, 4-CH); 2.05−2.15 (m, 1H, 3-CH2); 2.43 (s, 3H, N-COCH3); 3.05−3.18 (m, 1H, 18-CH2); 3.27 (t, J = 8.9 Hz, 1H, 2-CH); 3.72−3.98 (br.s, 4H, 18-CH2, C(21)-OCH3); 4.59 (d, J = 4.8 Hz, 2H, 1′-CH2); 5.35 (d, J = 11 Hz, 1H, 3′-CH2(Hcis)); 5.52 (d, J = 16.8 Hz, 1H, 3′-CH2(Htrans)); 5.76−5.81 (m, 1H, 19-CH); 6.07−6.12 (m, 1H, 2′-CH); 6.54 (s, 1H, 13-CH); 6.93 (d, J = 9 Hz, 2H, 22-CH, 25-CH); 7.06−7.09 (m, 2H, 24-CH, 16-CH); 7.27−7.29 (m, 1H, 23-CH); 10.44 (s, 1H, C(14)-OH). 13C NMR (CDCl3, δ ppm): 12.3 (10-CH3); 20.3 (8-CH3); 21.5 (9-CH3); 22.2 (N-COCH3); 27.4 (5-CH2); 34.2 (3-CH2); 39.3 (6-CH2); 41.7 (18-CH2); 44.3 (2-CH); 45.6 (4-CH); 48.1 (7-C); 49.5 (1-C); 54.1 (19-CH-N); 57.9 (C(21)-OCH3); 68.8 (1′-CH2); 99.8 (13-CH); 107.3 (11-C); 111.1 (22-CH, 25-CH); 117.5 (3′-CH2); 120.8 (24-CH); 122.2 (15-C); 124.2 (16-CH); 127.5 (20-C); 127.8 (23-CH); 132.8 (2′-CH); 156.1 (21-C); 156.3 (17-C=N); 157.5 and 160.6 (12-C) and (14-C); 199.8 (C=O). ESI-MS m/z: found 503.71, [M + H]+, calcd. for C31H39N2O4 503.64.
1-(5-(3-Methoxyphenyl)-3-(4′-allyloxy-2′-hydroxy-5′-isobornylphenyl)-4,5-dihydro-(1H)-pyrazole-1-yl)etanone (7f). Gray-yellow powder; 91% yield; m.p. 64–65 °C. IR (KBr), ν/cm−1 3429 (OH), 1668 (C=O), 1625 (C=N), 1259 (=C−O), 1247 (C−N), 1189 (O−CH3). 1H NMR (CDCl3, δ ppm, J/Hz): 0.71 (s, 3H, 10-CH3); 0.85 (s, 3H, 8-CH3); 0.92 (s, 3H, 9-CH3); 1.21−1.38 (m, 2H, 5-CH2, 6-CH2); 1.52−1.64 (m, 2H, 3-CH2, 6-CH2); 1.73−1.86 (m, 2H, 5-CH2, 4-CH); 2.03−2.12 (m, 1H, 3-CH2); 2.40 (s, 3H, N-COCH3); 3.25−3.31 (m, 2H, 18-CH2, 2-CH); 3.72−3.96 (br.s, 4H, 18-CH2, C(22)-OCH3); 4.59 (d, J = 4.7 Hz, 2H, 1′-CH2); 5.36 (d, J = 10.9 Hz, 1H, 3′-CH2(Hcis)); 5.50−5.55 (m, 2H, 3′-CH2(Htrans), 19-CH); 6.06−6.11 (m, 1H, 2′-CH); 6.55 (s, 1H, 13-CH); 6.82−6.86 (m, 3H, 23-CH, 24-CH, 25-CH); 7.10 (s, 1H, 16-CH); 7.29 (s, 1H, 21-CH); 10.31 (s, 1H,C(14)-OH). 13C NMR (CDCl3, δ ppm): 12.3 (10-CH3); 20.1 (8-CH3); 21.4 (9-CH3); 22.1 (N-COCH3); 27.4 (5-CH2); 33.9 (3-CH2); 39.6 (6-CH2); 42.6 (18-CH2); 44.2 (2-CH); 45.6 (4-CH); 48.1 (7-C); 49.7 (1-C); 54.2 (C(22)-OCH3); 58.1 (19-CH-N); 68.8 (1′-CH2); 99.9 (13-CH); 106.8 (11-C); 111.8 (24-CH); 112.9 (25-CH); 117.7 (3′-CH2); 117.9 (23-CH); 119.8 (15-C); 127.6 (16-CH); 130.13 (21-CH); 132.7 (2′-CH); 133.1 (20-C); 143.1 (22-C); 154.2 (17-C=N); 157.4 and 160.1 (12-C) и (14-C); 199.8 (C=O). ESI-MS m/z: found 503.66, [M + H]+, calcd. for C31H39N2O4 503.64.
1-(5-(4-Methoxyphenyl)-3-(4′-allyloxy-2′-hydroxy-5′-isobornylphenyl)-4,5-dihydro-(1H)-pyrazole-1-yl)etanone (7g). Gray-yellow powder; 90% yield; m.p. 61–62 °C. IR (KBr), ν/cm−1 3415 (OH), 1667 (C=O), 1626 (C=N), 1255 (=C−O), 1240 (C−N), 1184 (O−CH3). 1H NMR (CDCl3, δ ppm, J/Hz): 0.72 (s, 3H, 10-CH3); 0.85 (s, 3H, 8-CH3); 0.92 (s, 3H, 9-CH3); 1.29−1.48 (m, 2H, 5-CH2, 6-CH2); 1.51−1.61 (m, 2H, 3-CH2, 6-CH2); 1.72−1.83 (m, 2H, 5-CH2, 4-CH); 2.04−2.11 (m, 1H, 3-CH2); 2.38 (s, 3H, N-COCH3); 3.19−3.39 (m, 2H, 18-CH2, 2-CH); 3.72−3.91 (br.s, 4H, 18-CH2, C(23)-OCH3); 4.60 (d, J = 4.8 Hz, 2H, 1′-CH2); 5.35 (d, J = 10.8 Hz, 1H, 3′-CH2(Hcis)); 5.50−5.55 (m, 2H, 3′-CH2(Htrans), 19-CH); 6.07−6.13 (m, 1H, 2′-CH); 6.56 (s, 1H, 13-CH); 6.69−6.71 (m, 2H, 22-CH, 24-CH); 7.13 (s, 1H, 16-CH); 7.19−7.21 (m, 2H, 25-CH, 21-CH,); 10.33 (s, 1H, C(14)-OH). 13C NMR (CDCl3, δ ppm): 12.3 (10-CH3); 20.1 (8-CH3); 21.5 (9-CH3); 22.1 (N-COCH3); 27.4 (5-CH2); 34.1 (3-CH2); 39.6 (6-CH2); 42.7 (18-CH2); 44.3 (2-CH); 45.6 (4-CH); 48.1 (7-C); 49.5 (1-C); 54.3 (C(23)-OCH3); 57.8 (19-CH-N); 68.8 (1′-CH2); 99.9 (13-CH); 107.1 (11-C); 114.4 (22-CH, 24-CH); 117.5 (3′-CH2); 120.5 (15-C); 127 (21-CH, 25-CH); 127.5 (16-CH); 132.7 (2′-CH); 133.7 (20-C); 139.4 (23-C); 157.4 (17-C=N); 163.2 and 167.5 (12-C) and (14-C); 200.1 (C=O). ESI-MS m/z: found 503.62, [M + H]+, calcd. for C31H39N2O4 503.64.
1-(5-(2,3-Dimethoxyphenyl)-3-(4′-allyloxy-2′-hydroxy-5′-isobornylphenyl)-4,5-dihydro-(1H)-pyrazole-1-yl)etanone (7h). Gray-yellow powder; 90% yield; m.p. 63–64 °C. IR (KBr), ν/cm−1 3433 (OH), 1668 (C=O), 1627 (C=N), 1265 (=C−O), 1226 (C−N), 1188 (O−CH3). 1H NMR (CDCl3, δ ppm, J/Hz): 0.67 (s, 3H, 10-CH3); 0.80 (s, 3H, 8-CH3); 0.88 (s, 3H, 9-CH3); 1.16−1.25 (m, 2H, 5-CH2, 6-CH2); 1.31−1.34 (m, 2H, 3-CH2, 6-CH2); 1.43−1.71 (m, 2H, 5-CH2, 4-CH); 1.98−2.10 (m, 1H, 3-CH2); 2.37 (s, 3H, N-COCH3); 3.02−3.33 (m, 2H, 18-CH2, 2-CH); 3.72−3.98 (m, 7H, 18-CH2, C(21)-OCH3, C(22)-OCH3); 4.55 (d, J = 4.9 Hz, 2H, 1′-CH2); 5.31 (d, J = 11.2 Hz, 1H, 3′-CH2(Hcis)); 5.49 (d, J = 16.4 Hz, 1H, 3′-CH2(Htrans)); 5.68−5.72 (m, 1H, 19-CH); 6.05−6.09 (m, 1H, 2′-CH); 6.50 (s, 1H, 13-CH); 6.68−6.77 (m, 1H, 23-CH); 6.81−6.92 (m, 1H, 24-CH); 6.93−7.04 (m, 1H, 25-CH); 7.06 (s, 1H, 16-CH); 10.36 (s, 1H, C(14)-OH). 13C NMR (CDCl3, δ ppm): 12.3 (10-CH3); 20.5 (8-CH3); 21.4 (9-CH3); 22.1 (N-COCH3); 27.4 (5-CH2); 34.3 (3-CH2); 39.5 (6-CH2); 42.3 (18-CH2); 44.3 (2-CH); 45.5 (4-CH); 48.1 (7-C); 49.5 (1-C); 54.3 (19-CH-N); 55.8 (C(22)-OCH3); 60.4 (C(21)-OCH3); 68.8 (1′-CH2); 99.8 (13-CH); 107.2 (11-C); 111.9 (24-CH); 117.5 (3′-CH2); 118.3 (23-CH); 124.4 (15-C); 124.9 (25-CH); 127.7 (16-CH); 132.8 (2′-CH); 135.2 (20-C); 152.9 (22-C); 157.3 (21-C); 157.4 (17-C=N); 160.7 and 167.5 (12-C) and (14-C); 198.6 (C=O). ESI-MS m/z: found 533.60, [M + H]+, calcd. for C32H41N2O5 533.67.
1-(5-(3,4-Dimethoxyphenyl)-3-(4′-allyloxy-2′-hydroxy-5′-isobornylphenyl)-4,5-dihydro-(1H)-pyrazole-1-yl)etanone (7i). Gray-yellow powder; 99% yield; m.p. 71–72 °C. IR (KBr), ν/cm−1 3431 (OH), 1669 (C=O), 1626 (C=N), 1265 (=C−O), 1221 (C−N), 1186 (O−CH3). 1H NMR (CDCl3, δ ppm, J/Hz): 0.72 (s, 3H, 10-CH3); 0.83 (s, 3H, 8-CH3); 0.92 (s, 3H, 9-CH3); 1.19−1.57 (m, 2H, 5-CH2, 6-CH2); 1.61−1.72 (m, 2H, 3-CH2, 6-CH2); 1.79−1.92 (m, 2H, 5-CH2, 4-CH); 2.01−2.16 (m, 1H, 3-CH2); 2.40 (s, 3H, N-COCH3); 3.18−3.37 (m, 2H, 18-CH2, 2-CH); 3.79−4.02 (m, 7H, 18-CH2, C(22)-OCH3, C(23)-OCH3); 4.59 (d, J = 4.7 Hz, 2H, 1′-CH2); 5.31 (d, J = 11 Hz, 1H, 3′-CH2(Hcis)); 5.48−5.55 (m, 2H, 3′-CH2(Htrans), 19-CH); 6.05−6.16 (m, 1H, 2′-CH); 6.55 (s, 1H, 13-CH); 6.61−6.85 (m, 3H, 21-CH, 24-CH, 25-CH); 7.13 (s, 1H, 16-CH); 10.34 (s, 1H, C(14)-OH). 13C NMR (CDCl3, δ ppm): 12.3 (10-CH3); 20.1 (8-CH3); 21.5 (9-CH3); 22.1 (N-COCH3); 27.4 (5-CH2); 34.2 (3-CH2); 39.5 (6-CH2); 42.8 (18-CH2); 44.2 (2-CH); 45.6 (4-CH); 48.1 (7-C); 49.5 (1-C); 55.9 (C(22)-OCH3, C(23)-OCH3); 58.1 (19-CH-N); 68.8 (1′-CH2); 99.9 (13-CH); 107.1 (11-C); 109.3 (24-CH); 111. (25-CH); 117.5 (3′-CH2); 117.9 (21-CH); 125.3 (15-C); 127.6 (16-CH); 132.7 (2′-CH); 134.1 (20-C); 148.7 (23-C); 149.1 (22-C); 156.8 (17-C=N); 160.8 and 167.6 (12-C) and (14-C); 199.7 (C=O). ESI-MS m/z: found 533.73, [M + H]+, calcd. for C32H41N2O5 533.67.
1-(5-(2,4,6-Trimethoxyphenyl)-3-(4′-allyloxy-2′-hydroxy-5′-isobornylphenyl)-4,5-dihydro-(1H)-pyrazole-1-yl)etanone (7j). Yellow oil; 75% yield. IR (KBr), ν/cm−1 3427 (OH), 1658 (C=O), 1600 (C=N), 1261 (=C−O), 1232 (C−N), 1199 (O−CH3). 1H NMR (CDCl3, δ ppm, J/Hz): 0.72 (s, 3H, 10-CH3); 0.83 (s, 3H, 8-CH3); 0.92 (s, 3H, 9-CH3); 1.29−1.58 (m, 2H, 5-CH2, 6-CH2); 1.62−1.74 (m, 2H, 3-CH2, 6-CH2); 1.79−1.86 (m, 2H, 5-CH2, 4-CH); 2.01−2.13 (m, 1H, 3-CH2); 2.28 (s, 3H, N-COCH3); 3.21−3.29 (m, 2H, 18-CH2, 2-CH); 3.57−4.01 (m, 10H,18-CH2, C(21)-OCH3, C(23)-OCH3, C(25)-OCH3); 4.59 (d, J = 4.8 Hz, 2H, 1′-CH2); 5.35 (d, J = 10.9 Hz, 1H, 3′-CH2(Hcis)); 5.53 (d, J = 15.7 Hz, 1H, 3′-CH2(Htrans)); 5.59−6.16 (m, 4H, 2′-CH, 19-CH, 24-CH, 22-CH); 6.56 (s, 1H, 13-CH); 7.15 (s, 1H, 16-CH); 10.58 (s, 1H, C(14)-OH). 13C NMR (CDCl3, δ ppm): 12.3 (10-CH3); 20.1 (8-CH3); 21.5 (9-CH3); 22.1 (N-COCH3); 27.4 (5-CH2); 34.2 (3-CH2); 39.5 (6-CH2); 40.3 (18-CH2); 44.2 (2-CH); 45.6 (4-CH); 47.9 (7-C); 49.3 (19-CH-N); 49.5 (1-C); 55.3 (C(21)-OCH3, C(23)-OCH3, C(25)-OCH3); 68.7 (1′-CH2); 91.3 (22-CH, 24-CH); 99.7 (13-CH); 107.6 (11-C); 117.3 (3′-CH2); 125.6 (15-C); 127.4 (16-CH); 132.9 (2′-CH); 140.1 (20-C); 149.2 (23-C); 156.9 (25-C); 157.1 (21-C); 159.1 (17-C=N); 160.9 and 167.1 (12-C) and (14-C); 200.1 (C=O). ESI-MS m/z: found 563.81, [M + H]+, calcd. for C33H43N2O6 563.70.
1-(5-(3,4,5-Trimethoxyphenyl)-3-(4′-allyloxy-2′-hydroxy-5′-isobornylphenyl)-4,5-dihydro-(1H)-pyrazole-1-yl)etanone (7k). Gray-yellow powder; 98% yield; m.p. 73–74 °C. IR (KBr), ν/cm−1 3431 (OH), 1670 (C=O), 1593 (C=N), 1261 (=C−O), 1238 (C−N), 1188 (O−CH3). 1H NMR (CDCl3, δ ppm, J/Hz): 0.71 (s, 3H, 10-CH3); 0.84 (s, 3H, 8-CH3); 0.92 (s, 3H, 9-CH3); 1.29−1.48 (m, 2H, 5-CH2, 6-CH2); 1.59−1.71 (m, 2H, 3-CH2, 6-CH2); 1.79−1.91 (m, 2H, 5-CH2, 4-CH); 2.01−2.17 (m, 1H, 3-CH2); 2.42 (s, 3H, N-COCH3); 3.25−3.31 (m, 2H, 18-CH2, 2-CH); 3.79−4.01 (m, 10H, 18-CH2, C(22)-OCH3, C(23)-OCH3, C(24)-OCH3); 4.59 (d, J = 4.7 Hz, 2H, 1′-CH2); 5.35 (d, J = 10.8 Hz, 1H, 3′-CH2(Hcis)); 5.47−5.55 (m, 2H, 3′-CH2(Htrans), 19-CH); 6.07−6.13 (m, 1H, 2′-CH); 6.46 (s, 1H, 25-CH); 6.49 (s, 1H, 21-CH); 6.56 (s, 1H, 13-CH); 7.12 (s, 1H, 16-CH); 10.31 (s, 1H, C(14)-OH). 13C NMR (CDCl3, δ ppm): 12.2 (10-CH3); 20.1 (8-CH3); 21.5 (9-CH3); 22.1 (N-COCH3); 27.4 (5-CH2); 34.2 (3-CH2); 39.5 (6-CH2); 42.8 (18-CH2); 44.2 (2-CH); 45.6 (4-CH); 48 (7-C); 49.5 (1-C); 56.22 (C(24)-OCH3, C(22)-OCH3); 58.2 (19-CH-N); 60.8 (C(23)-OCH3); 68.8 (1′-CH2); 99.9 (13-CH); 102.55 (25-CH); 102.8 (21-CH); 107.1 (11-C); 117.5 (3′-CH2); 123.6 (15-C); 127.5 (16-CH); 132.7 (2′-CH); 137.2 (20-C); 153.8 (22-C, 23-C, 24-C); 156.8 (17-C=N); 160.9 and 167.7 (12-C) and (14-C); 199.7 (C=O). ESI-MS m/z: found 563.68, [M + H]+, calcd. for C33H43N2O6 563.70.
1-(5-(3-Nitrophenyl)-3-(2′,4′-diallyloxy-5′-isobornylphenyl)-4,5-dihydro-(1H)-pyrazole-1-yl)etanone (9a). Gray-yellow powder; 85% yield; m.p. 58–60 °C. IR (KBr), ν/cm−1 1660 (C=O), 1610 (C=N), 1350 (N−O), 1259 (=C−O), 1220 (C−N). 1H NMR (CDCl3, δ ppm, J/Hz): 0.75 (s, 3H, 10-CH3); 0.89 (s, 3H, 8-CH3); 0.97 (s, 3H, 9-CH3) 1.29−1.56 (m, 2H, 5-CH2, 6-CH2); 1.61−1.72 (m, 2H, 3-CH2, 6-CH2); 1.79−1.95 (m, 2H, 5-CH2, 4-CH); 2.19−2.31 (m, 1H, 3-CH2); 2.44 (s, 3H, N-COCH3); 3.26−3.48 (m, 2H, 18-CH2 2-CH); 3.89−3.98 (m, 1H, 18-CH2); 4.53−4.67 (m, 4H, 1′-CH2, 1′′-CH2); 5.22−5.43 (m, 3H, 3′-CH2(Hcis), 3′′-CH2(Hcis), 19-CH); 5.49−5.69 (m, 2H, 3′-CH2(Htrans), 3′′-CH2(Htrans)); 6.02−6.12 (m, 2H, 2′-CH, 2′′-CH); 6.44 (s, 1H, 13-CH); 7.49−7.56 (m, 1H, 24-CH); 7.61−7.65 (m, 1H, 25-CH); 7.94 (d, J = 16.5 Hz, 1H, 16-CH); 8.12−8.20 (m, 2H, 21-CH, 23-CH). 13C NMR (CDCl3, δ ppm): 12.4 (10-CH3); 20.2 (8-CH3); 21.6 (9-CH3); 21.9 (N-COCH3); 27.5 (5-CH2); 34.3 (3-CH2); 40.3 (6-CH2); 44.4 (2-CH); 45.4 (4-CH); 45.7 (18-CH2); 48.1 (7-C); 49.6 (1-C); 59.2 (19-CH-N); 68.8 (1′-CH2); 69.8 (1′′-CH2); 97.1 (13-CH); 111.9 (11-C); 117.4 (3′-CH2); 118.3 (3′′-CH2); 121 (23-CH); 122.5 (21-CH); 125.7 (15-C); 128.7 (16-CH); 129.7 (24-CH, 25-CH); 132.8 (2′-CH, 2′′-CH); 144.4 (20-C); 148.6 (22-C); 154.1 (17-C=N); 160.5 and 168.9 (12-C) and (14-C); 210.1 (C=O). ESI-MS m/z: found 558.67 [M + H]+, calcd. for C33H40N3O5 558.68.
1-(5-(4-Clorophenyl)-3-(2′,4′-diallyloxy-5′-isobornylphenyl)-4,5-dihydro-(1H)-pyrazole-1-yl)etanone (9b). Gray-yellow powder; 76% yield; m.p. 64–65 °C. IR (KBr), ν/cm−1 1662 (C=O), 1610 (C=N), 1259 (=C−O), 1219 (C−N), 1016 (Ar−Cl). 1H NMR (CDCl3, δ ppm, J/Hz): 0.75 (s, 3H, 10-CH3); 0.88 (s, 3H, 8-CH3); 0.96 (s, 3H, 9-CH3); 1.29−1.58 (m, 2H, 5-CH2, 6-CH2); 1.49−1.64 (m, 2H, 3-CH2, 6-CH2); 1.82−1.96 (m, 2H, 5-CH2, 4-CH2); 2.19−2.29 (m, 1H, 3-CH2); 2.4 (s, 3H, N-COCH3); 3.25−3.41 (m, 2H, 18-CH2, 2-CH); 3.81−3.90 (m, 1H, 18-CH2); 4.51−4.68 (m, 4H, 1′-CH2, 1′′-CH2); 5.32−5.38 (m, 3H, 3′-CH2(Hcis), 3′′-CH2(Hcis), 19-CH); 5.52 (d, J = 17 Hz, 2H, 3′-CH2(Htrans), 3′′-CH2(Htrans)); 6.03−6.10 (m, 2H, 2′-CH, 2′′-CH); 6.43 (s, 1H, 13-CH); 7.21 (d, J = 8.1 Hz, 2H, 21-CH, 25-CH); 7.28 (d, J = 8 Hz, 2H, 22-CH, 24-CH); 7.98 (d, J = 16.5 Hz, 1H, 16-CH). 13C NMR (CDCl3, δ ppm): 12.4 (10-CH3); 20.1 (8-CH3); 21.5 (9-CH3); 21.9 (N-COCH3); 27.5 (5-CH2); 34.2 (3-CH2); 39.6 (6-CH2); 44.4 (2-CH); 45.5 (18-CH2); 45.6 (4-CH); 48.1 (7-C); 49.6 (1-C); 59.2 (19-CH-N); 68.8 (1′-CH2); 69.9 (1′′-CH2); 97.1 (13-CH); 111.3 (11-C); 117.4 (3′-CH2); 118.3 (3′′-CH2); 125.5 (15-C); 127.2 (21-CH, 25-CH) 128.5 (16-CH, 22-CH, 24-CH); 132.9 (2′-CH, 2′′-CH); 133.1 (20-C); 140.9 (23-C); 154.2 (17-C=N); 160.4 and 168.7 (12-C) and (14-C); 209.6 (C=O). ESI-MS m/z: found 548.18 [M + H]+, calcd. for C33H40ClN2O3 548.14.
1-(5-(4-Bromophenyl)-3-(2′,4′-diallyloxy-5′-isobornylphenyl)-4,5-dihydro-(1H)-pyrazole-1-yl)etanone (9c). Yellow powder; 91% yield; m.p. 60–61 °C. IR (KBr), ν/cm−1 1662 (C=O), 1608 (C=N), 1259 (=C−O), 1220 (C−N). 1H NMR (CDCl3, δ ppm, J/Hz): 0.75 (s, 3H, 10-CH3); 0.88 (s, 3H, 8-CH3); 0.96 (s, 3H, 9-CH3); 1.29−1.49 (m, 2H, 5-CH2, 6-CH2); 1.60−1.64 (m, 2H, 3-CH2, 6-CH2); 1.72−1.96 (m, 2H, 5-CH2, 4-CH); 2.12−2.33 (m, 1H, 3-CH2); 2.42 (s, 3H, N-COCH3); 3.19−3.42 (m, 2H, 18-CH2, 2-CH); 3.76−4.01 (m, 1H, 18-CH2); 4.50−4.65 (m, 4H, 1′-CH2, 1′′-CH2); 5.28−5.40 (m, 3H, 3′-CH2(Hcis), 3′′-CH2(Hcis), 19-CH); 5.52 (d, J = 16.8 Hz, 2H, 3′-CH2(Htrans), 3′′-CH2(Htrans)); 6.06−6.10 (m, 2H, 2′-CH, 2′′-CH); 6.43 (s, 1H, 13-CH); 7.15 (d, J = 8.3 Hz, 2H, 21-CH, 25-CH); 7.45 (d, J = 8.3 Hz, 2H, 22-CH, 24-CH); 7.11 (d, J = 16.5 Hz, 1H, 16-CH). 13C NMR (CDCl3, δ ppm): 12.5 (10-CH3); 20.1 (8-CH3); 21.6 (9-CH3); 22.5 (N-COCH3); 27.5 (5-CH2); 34.2 (3-CH2); 39.6 (6-CH2); 44.3 (2-CH); 44.4 (4-CH); 45.5 (18-CH2); 48.1 (7-C); 49.6 (1-C); 59.3 (19-CH-N); 68.8 (1′-CH2); 69.8 (1′′-CH2); 97.1 (13-CH); 111.2 (11-C); 117.4 (3′-CH2); 118.3 (3′′-CH2); 127.4 (15-C); 127.7 (21-CH, 25-CH); 131.8 (16-CH, 22-CH, 24-CH); 132.9 (2′-CH,2′′-CH); 136.5 (20-C); 141.2 (23-C); 157.1 (17-C=N); 164.1 and 168.5 (12-C) and (14-C); 203.2 (C=O). ESI-MS m/z: found 592.28 [M + H]+, calcd. for C33H40BrN2O3 592.58.
1-(5-(4-Dimethylaminophenyl)-3-(2′,4′-diallyloxy-5′-isobornylphenyl)-4,5-dihydro-(1H)-pyrazole-1-yl)etanone (9d). Yellow oil; 68% yield. IR (KBr), ν/cm−1 1658 (C=O), 1612 (C=N), 1259 (=C−O), 1219 (C−N). 1H NMR (CDCl3, δ ppm, J/Hz): 0.75 (s, 3H, 10-CH3); 0.87(s, 3H, 8-CH3); 0.97 (s, 3H, 9-CH3); 1.29−1.55 (m, 2H, 5-CH2, 6-CH2); 1.60−1.69 (m, 2H, 3-CH2, 6-CH2); 1.72−1.95 (m, 2H, 5-CH2, 4-CH); 2.15−2.34 (m, 1H, 3-CH2); 2.39 (s, 3H, N-COCH3); 2.93 (s, 6H, C(23)-N(CH3)2); 3.28−3.44 (m, 2H, 18-CH2, 2-CH); 3.73−3.91 (m, 1H, 18-CH2); 4.57 (d, J = 4.9 Hz, 4H, 1′-CH2, 1′′-CH2); 5.28−5.55 (m, 5H, 3′-CH2(Hcis), 3′′-CH2(Hcis), 19-CH, 3′-CH2(Htrans), 3′′-CH2(Htrans)); 6.07−6.10 (m, 2H, 2′-CH, 2′′-CH); 6.44 (s, 1H, 13-CH); 6.71 (d, J = 8.1 Hz, 2H, 21-CH, 25-CH); 7.17−7.20 (m, 2H, 22-CH, 24-CH); 7.95 (d, J = 16.5 Hz, 1H, 16-CH). 13C NMR (CDCl3, δ ppm): 12.4 (10-CH3); 20.2 (8-CH3); 21.6 (9-CH3); 22.1 (N-COCH3); 27.5 (5-CH2); 34.2 (3-CH2); 39.6 (6-CH2); 40.7 (C(23)-N(CH3)2); 44.4 (2-CH); 44.6 (4-CH); 45.4 (18-CH2); 48.1 (7-C); 49.6 (1-C); 59.3 (19-CH-N); 68.8 (1′-CH2); 69.8 (1′′-CH2); 97.2 (13-CH); 111.1 (11-C); 112.8 (22-CH, 24-CH); 117.3 (3′-CH2); 118.1 (3′′-CH2); 125.4 (15-C); 126.9 (21-CH, 25-CH); 128.5 (16-CH); 130.4 (20-C); 133 (2′-CH, 2′′-CH); 137.5 (23-C); 150 (17-C=N); 154.3 and 160.1 (12-C) and (14-C); 197.5 (C=O). ESI-MS m/z: found 556.77 [M + H]+, calcd. for C35H46N3O3 556.75.
1-(5-(2-Methoxyhenyl)-3-(2′,4′-diallyloxy-5′-isobornylphenyl)-4,5-dihydro-(1H)-pyrazole-1-yl)etanone (9e). Yellow powder; 93% yield; m.p. 55–56 °C. IR (KBr), ν/cm−1 1658 (C=O), 1608 (C=N), 1247 (=C−O), 1219 (C−N), 1192 (O−CH3). 1H NMR (CDCl3, δ ppm, J/Hz): 0.76 (s, 3H, 10-CH3); 0.89 (s, 3H, 8-CH3); 0.96 (s, 3H, 9-CH3); 1.30−1.49 (m, 2H, 5-CH2, 6-CH2); 1.64−1.68 (m, 2H, 3-CH2, 6-CH2); 1.69−1.89 (m, 2H, 5-CH2, 4-CH); 2.20−2.39 (m, 1H, 3-CH2); 2.46 (s, 3H, N-COCH3); 3.13−3.32 (m, 2H, 18-CH2, 2-CH); 3.71−4.09 (br.s, 4H, 18-CH2, C(21)-OCH3); 4.55 (d, J = 4.8 Hz, 4H, 1′-CH2, 1′′-CH2); 5.30−5.41 (m, 3H, 3′-CH2(Hcis), 3′′-CH2(Hcis), 3′-CH2(Htrans)); 5.52 (d, J = 16.7 Hz, 1H, 3′′-CH2(Htrans)); 5.80 (d, J = 11 Hz, 1H, 19-CH); 6.04−6.10 (m, 2H, 2′-CH, 2′′-CH); 6.42 (s, 1H, 13-CH); 6.85−7.01 (m, 2H, 22-CH, 24-CH); 7.05−7.11 (m, 1H, 23-CH); 7.21−7.29 (m, 1H, 25-CH); 7.95 (d, J = 16.5 Hz, 1H, 16-CH). 13C NMR (CDCl3, δ ppm): 12.4 (10-CH3); 20.2 (8-CH3); 21.6 (9-CH3); 22 (N-COCH3); 27.5 (5-CH2); 34.2 (3-CH2); 39.6 (6-CH2); 44.3 (2-CH); 44.7 (18-CH2); 45.7 (4-CH); 48.1 (7-C); 49.6 (1-C); 55.4 (19-CH-N, C(22)-OCH3); 68.7 (1′-CH2); 69.9 (1′′-CH2); 97.2 (13-CH); 110.8 (24-CH); 111.8 (11-C); 117.3 (3′-CH2); 117.8 (3′′-CH2); 120.6 (22-CH); 125.3 (15-C); 125.8 (23-CH); 128.3 (16-CH, 25-CH); 129.8 (20-C); 133 (2′-CH, 2′′-CH); 154.9 (21-C); 156.2 (17-C=N); 160.1 and 168.6 (12-C) and (14-C); 200.3 (C=O). ESI-MS m/z: found 543.68, [M + H]+, calcd. for C34H43N2O4 543.71.
1-(5-(3-Methoxyhenyl)-3-(2′,4′-diallyloxy-5′-isobornylphenyl)-4,5-dihydro-(1H)-pyrazole-1-yl)etanone (9f). Yellow-brown powder; 77% yield; m.p. 50–51 °C. IR (KBr), ν/cm−1 1662 (C=O), 1609 (C=N), 1261 (=C−O), 1217 (C−N), 1192 (O−CH3). 1H NMR (CDCl3, δ ppm, J/Hz): 0.75 (s, 3H, 10-CH3); 0.88 (s, 3H, 8-CH3); 0.96 (s, 3H, 9-CH3); 1.29−1.57 (m, 2H, 5-CH2, 6-CH2); 1.60−1.68 (m, 2H, 3-CH2, 6-CH2); 1.81−1.89 (m, 2H, 5-CH2, 4-CH); 2.20−2.34 (m, 1H, 3-CH2); 2.43 (s, 3H, N-COCH3); 3.26−3.40 (m, 2H, 18-CH2, 2-CH); 3.75−4.01 (br.s, 4H, 18-CH2, C(22)-OCH3); 4.56 (d, J = 4.9 Hz, 4H, 1′-CH2, 1′′-CH2,); 5.33−5.55 (m, 5H, 3′-CH2(Hcis), 3′′-CH2(Hcis), 19-CH, 3′-CH2(Htrans), 3′′-CH2(Htrans)); 6.06−6.12 (m, 2H, 2′-CH, 2′′-CH); 6.43 (s, 1H, 13-CH); 6.78−6.89 (m, 3H, 21-CH, 23-CH, 25-CH); 7.24 (t, J = 8 Hz, 1H, 24-CH); 7.95 (d, J = 16.4 Hz, 1H, 16-CH). 13C NMR (CDCl3, δ ppm): 12.4 (10-CH3); 20.2 (8-CH3); 21.6 (9-CH3); 21.9 (N-COCH3); 27.5 (5-CH2); 34.2 (3-CH2); 39.6 (6-CH2); 44.4 (2-CH); 45.6 (4-CH); 45.7 (18-CH2); 48.1 (7-C); 49.6 (1-C); 55.2 (C(22)-OCH3); 59.7 (19-CH-N); 68.8 (1′-CH2); 69.8 (1′′-CH2); 97.2 (13-CH); 111.4 (25-CH); 111.6 (11-C); 112.8 (23-CH); 117.4 (3′-CH2); 117.9 (3′′-CH2); 118.1 (21-CH); 125.5 (15-C); 128.5 (16-CH); 129.8 (24-CH); 132.9 (2′-CH, 2′′-CH); 141.5 (20-C); 143.9 (22-C); 154.3 (17-C=N); 160.2 and 168.7 (12-C) and (14-C); 200.5 (C=O). ESI-MS m/z: found 543.79, [M + H]+, calcd. for C34H43N2O4 543.71.
1-(5-(4-Methoxyhenyl)-3-(2′,4′-diallyloxy-5′-isobornylphenyl)-4,5-dihydro-(1H)-pyrazole-1-yl)etanone (9g). Yellow oil; 82% yield. IR (KBr), ν/cm−1 1659 (C=O), 1610 (C=N), 1249 (=C−O), 1220 (C−N), 1184 (O−CH3). 1H NMR (CDCl3, δ ppm, J/Hz): 0.75 (s, 3H, 10-CH3); 0.88 (s, 3H, 8-CH3); 0.97 (s, 3H, 9-CH3); 1.29−1.46 (m, 2H, 5-CH2, 6-CH2); 1.60−1.67 (m, 2H, 3-CH2, 6-CH2); 1.89−1.95 (m, 2H, 5-CH2, 4-CH); 2.15−2.32 (m, 1H, 3-CH2); 2.42 (s, 3H, N-COCH3); 3.29−3.44 (m, 2H, 18-CH2, 2-CH); 3.75−4.01 (br.s, 4H, 18-CH2, C(23)-OCH3); 4.56 (d, J = 4.8 Hz, 4H, 1′-CH2, 1′′-CH2); 5.31−5.55 (m, 5H, 3′-CH2(Hcis), 3′′-CH2(Hcis), 19-CH, 3′-CH2(Htrans), 3′′-CH2(Htrans); 6.07−6.11 (m, 2H, 2′-CH, 2′′-CH); 6.44 (s, 1H, 13-CH); 6.87 (d, J = 8 Hz, 2H, 22-CH, 24-CH); 7.24 (d, J = 8.1 Hz, 2H, 21-CH, 25-CH); 7.95 (d, J = 16.5 Hz, 1H, 16-CH). 13C NMR (CDCl3, δ ppm): 12.4 (10-CH3); 20.2 (8-CH3); 21.6 (9-CH3); 21.8 (N-COCH3); 27.5 (5-CH2); 34.2 (3-CH2); 39.6 (6-CH2); 44.3 (2-CH); 44.5 (4-CH); 45.5 (18-CH2); 48.1 (7-C); 49.6 (1-C); 55.27 (C(23)-OCH3); 59.3 (19-CH-N); 68.8 (1′-CH2); 69.9 (1′′-CH2); 97.2 (13-CH); 110.7 (11-C); 114.1 (22-CH, 24-CH); 116.9 (3′-CH2); 118.2 (3′′-CH2); 125.5 (15-C); 127.2 (21-CH, 25-CH); 128.5 (16-CH); 132.9 (2′-CH, 2′′-CH); 134.5 (20-C); 154.6 (23-C); 156.4 (17-C=N); 165.1 and 168.8 (12-C) and (14-C); 201.3 (C=O). ESI-MS m/z: found 543.74, [M + H]+, calcd. for C34H43N2O4 543.71.
1-(5-(2,3-Dimethoxyhenyl)-3-(2′,4′-diallyloxy-5′-isobornylphenyl)-4,5-dihydro-(1H)-pyrazole-1-yl)etanone (9h). White powder; 92% yield; m.p. 52–53 °C. IR (KBr), ν/cm−1 1658 (C=O), 1608 (C=N), 1267 (=C−O), 1219 (C−N), 1190 (O−CH3). 1H NMR (CDCl3, δ ppm, J/Hz): 0.76 (s, 3H, 10-CH3); 0.89 (s, 3H, 8-CH3); 0.96 (s, 3H, 9-CH3); 1.29−1.41 (m, 2H, 5-CH2, 6-CH2); 1.60−1.67 (m, 2H, 3-CH2, 6-CH2); 1.79−1.96 (m, 2H, 5-CH2, 4-CH); 2.28−2.31 (m, 1H, 3-CH2); 2.42 (s, 3H, N-COCH3); 3.15−3.30 (m, 2H, 18-CH2, 2-CH); 3.81−4.05 (m, 7H, 18-CH2, C(21)-OCH3, C(22)-OCH3); 4.55 (d, J = 4.7 Hz, 4H, 1′-CH2, 1′′-CH2); 5.25−5.39 (m, 3H, 3′-CH2(Hcis), 3′′-CH2(Hcis), 3′-CH2(Htrans)); 5.57 (d, J = 16.8 Hz, 1H, 3′′-CH2(Htrans)); 5.71−5.80 (m, 1H, 19-CH); 5.96−6.13 (m, 2H, 2′-CH, 2′′-CH); 6.41 (s, 1H, 13-CH); 6.72−6.81 (m, 2H, 23-CH, 25-CH); 7.01 (t, J = 8.1 Hz, 1H, 24-CH); 7.97 (d, J = 16.6 Hz, 1H, 16-CH). 13C NMR (CDCl3, δ ppm): 12.4 (10-CH3); 20.2 (8-CH3); 21.6 (9-CH3); 21.9 (N-COCH3); 27.5 (5-CH2); 34.2 (3-CH2); 39.7 (6-CH2); 44.4 (2-CH); 45.3 (18-CH2); 45.7 (4-CH); 48.1 (7-C); 49.6 (1-C); 55.2 (C(22)-OCH3); 55.3 (19-CH-N); 60.3 (C(21)-OCH3); 68.8 (1′-CH2); 69.8 (1′′-CH2); 97.2 (13-CH); 111.5 (23-CH); 112.4 (11-C); 117.3 (3′-CH2); 118.2 (3′′-CH2); 118.7 (25-CH); 124.2 (24-CH); 125.3 (15-C); 128.5 (16-CH); 133 (2′-CH, 2′′-CH); 136.3 (20-C); 154.7 (22-C); 154.8 (21-C); 156.4 (17-C=N); 160.1 and 168.5 (12-C) and (14-C); 200.1 (C=O). ESI-MS m/z: found 573.74, [M + H]+, calcd. for C35H45N2O5 573.73.
1-(5-(3,4-Dimethoxyhenyl)-3-(2′,4′-diallyloxy-5′-isobornylphenyl)-4,5-dihydro-(1H)-pyrazole-1-yl)etanone (9i). Yellow-brown powder; 99% yield; m.p. 50–51 °C. IR (KBr), ν/cm−1 1658 (C=O), 1609 (C=N), 1259 (=C−O), 1235 (C−N), 1192 (O−CH3). 1H NMR (CDCl3, δ ppm, J/Hz): 0.76 (s, 3H, 10-CH3); 0.87 (s, 3H, 8-CH3); 0.95 (s, 3H, 9-CH3); 1.29−1.52 (m, 2H, 5-CH2, 6-CH2); 1.60−1.71 (m, 2H, 3-CH2, 6-CH2); 1.79−1.96 (m, 2H, 5-CH2, 4-CH); 2.19−2.31 (m, 1H, 3-CH2); 2.42 (s, 3H, N-COCH3); 3.25−3.43 (m, 2H, 18-CH2, 2-CH); 3.79−4.01 (m, 7H, 18-CH2, C(22)-OCH3, C(23)-OCH3); 4.56 (d, J = 4.9 Hz, 4H, 1′-CH2, 1′′-CH2); 5.27−5.54 (m, 5H, 3′-CH2(Hcis), 3′′-CH2(Hcis), 19-CH, 3′-CH2(Htrans), 3′′-CH2(Htrans)); 5.96−6.13 (m, 2H, 2′-CH, 2′′-CH); 6.44 (s, 1H, 13-CH); 6.82 (br.s, 3H, 21-CH, 24-CH, 25-CH); 7.95 (d, J = 16.7 Hz, 1H, 16-CH). 13C NMR (CDCl3, δ ppm): 12.4 (10-CH3); 20.1 (8-CH3); 21.5 (9-CH3); 21.9 (N-COCH3); 27.5 (5-CH2); 34.2 (3-CH2); 39.7 (6-CH2); 44.4 (2-CH); 45.6 (18-CH2); 45.7 (4-CH); 48.1 (7-C); 49.6 (1-C); 55.8 (C(22)-OCH3, C(23)-OCH3); 59.6 (19-CH-N); 68.8 (1′-CH2); 69.8 (1′′-CH2); 97.1 (13-CH); 109.2 (24-CH); 111.4 (25-CH); 112.2 (11-C); 117.3 (3′-CH2); 117.9 (21-CH); 118.2 (3′′-CH2); 125.4 (15-C); 128.5 (16-CH); 132.9 (2′-CH, 2′′-CH); 135.1 (20-C); 148.3 (23-C); 149.1 (22-C); 154.4 (17-C=N); 160.2 and 168.7 (12-C) and (14-C); 201.6 (C=O). ESI-MS m/z: found 573.59, [M + H]+, calcd. for C35H45N2O5 573.73.
1-(5-(2,4,6-Trimethoxyhenyl)-3-(2′,4′-diallyloxy-5′-isobornylphenyl)-4,5-dihydro-(1H)-pyrazole-1-yl)etanone (9j). Yellow oil; 56% yield. IR (KBr), ν/cm−1 1653 (C=O), 1610 (C=N), 1263 (=C−O), 1246 (C−N), 1199 (O−CH3). 1H NMR (CDCl3, δ ppm, J/Hz): 0.76 (s, 3H, 10-CH3); 0.87 (s, 3H, 8-CH3); 0.98 (s, 3H, 9-CH3); 1.29−1.63 (m, 2H, 5-CH2, 6-CH2); 1.61−1.72 (m, 2H, 3-CH2, 6-CH2); 1.81−1.96 (m, 2H, 5-CH2, 4-CH); 2.21−2.36 (m, 4H, 3-CH2, N-COCH3); 3.18−3.31 (m, 2H, 18-CH2, 2-CH); 3.58−4.05 (m, 10H, 18-CH2, C(21)-OCH3, C(23)-OCH3, C(25)-OCH3); 4.59 (d, J = 5 Hz, 4H, 1′-CH2, 1′′-CH2); 5.28 (d, J = 10 Hz, 1H, 3′-CH2(Hcis)); 5.31 (d, J = 10.5 Hz, 1H, 3′′-CH2(Hcis)); 5.41 (d, J = 16.3 Hz, 1H, 3′-CH2(Htrans)); 5.52 (d, J = 16.7 Hz, 1H, 3′′-C(Htrans)); 6.01−6.15 (m, 5H, 2′-CH, 2′′-CH, 19-CH, 24-CH, 22-CH); 6.45 (s, 1H, 13-CH); 7.96 (s, 1H, 16-CH). 13C NMR (CDCl3, δ ppm): 12.4 (10-CH3); 20.1 (8-CH3); 21.5 (9-CH3); 21.9 (N-COCH3); 27.7 (5-CH2); 34.2 (3-CH2); 39.7 (6-CH2); 42.9 (18-CH2); 44.4 (2-CH); 45.7 (4-CH); 49.7 (7-C); 49.9 (1-C); 50.6 (19-CH-N); 55.26 (C(21)-OCH3, C(23)-OCH3, C(25)-OCH3); 68.8 (1′-CH2); 69.9 (1′′-CH2); 91.4 (22-CH, 24-CH); 99.7 (13-CH); 111.3 (11-C); 117.2 (3′-CH2); 117.8 (3′′-CH2); 125.1 (15-C); 128.7 (16-CH); 133.2 (2′-CH, 2′′-CH); 141.2 (20-C); 154.3 (23-C); 156.2 (25-C, 21-C); 159.6 (17-C=N); 160.4 and 168.1 (12-C) and (14-C); 202.3 (C=O). ESI-MS m/z: found 603.52, [M + H]+, calcd. for C36H47N2O6 603.76.
1-(5-(3,4,5-Trimethoxyhenyl)-3-(2′,4′-diallyloxy-5′-isobornylphenyl)-4,5-dihydro-(1H)-pyrazole-1-yl)etanone (9k). Yellow powder; 96% yield; m.p. 51–52 °C. IR (KBr), ν/cm−1 1660 (C=O), 1608 (C=N), 1259 (=C−O), 1243 (C−N), 1190 (O−CH3). 1H NMR (CDCl3, δ ppm, J/Hz): 0.72 (s, 3H, 10-CH3); 0.85 (s, 3H, 8-CH3); 0.93 (s, 3H, 9-CH3); 1.29−1.49 (m, 2H, 5-CH2, 6-CH2); 1.60−1.68 (m, 2H, 3-CH2, 6-CH2); 1.79−1.98 (m, 2H, 5-CH2, 4-CH); 2.19−2.31 (m, 1H, 3-CH2); 2.44 (s, 3H, N-COCH3); 3.25−3.42 (m, 2H, 18-CH2, 2-CH); 3.76−4.03 (m, 10H, 18-CH2, C(22)-OCH3, C(23)-OCH3, C(24)-OCH3); 4.57 (d, J = 4.7 Hz, 4H, 1′-CH2, 1′′-CH2); 5.28−5.54 (m, 5H, 3′-CH2(Hcis), 3′′-CH2(Hcis), 19-CH, 3′-CH2(Htrans), 3′′-CH2(Htrans)); 6.04−6.13 (m, 2H, 2′-CH, 2′′-CH); 6.47 (m, 3H, 13-CH, 21-CH, 25-CH); 7.88 (d, J = 16.6 Hz, 1H, 16-CH). 13C NMR (CDCl3, δ ppm): 12.3 (10-CH3); 20 (8-CH3); 21.4 (9-CH3); 21.9 (N-COCH3); 27.5 (5-CH2); 34.2 (3-CH2); 39.7 (6-CH2); 44.4 (2-CH); 45.6 (4-CH); 45.8 (18-CH2); 48.1 (7-C); 49.6 (1-C); 56.1 (C(23)-OCH3); 60.1 (19-CH-N); 60.7 (C(22)-OCH3, C(24)-OCH3); 68.8 (1′-CH2); 69.9 (1′′-CH2); 97.2 (13-CH); 102.6 (25-CH); 102.7 (21-CH); 111.2 (11-C); 117.4 (3′-CH2); 118.1 (3′′-CH2); 125.4 (15-C); 128.5 (16-CH); 132.9 (2′-CH, 2′′-CH); 138.1 (20-C); 153.5 (22-C, 23-C, 24-C); 154.5 (17-C=N); 160.3 and 168.9 (12-C) and (14-C); 202.3 (C=O). ESI-MS m/z: found 603.81, [M + H]+, calcd. for C36H47N2O6 603.76.

3.2. Antioxidant Activity

The antioxidant activity of pyrazoline derivatives was evaluated in vitro as inhibition of accumulation of secondary lipid peroxidation (LPO) products in substrates obtained from mouse brain homogenates (oil–water emulsion). The brain was homogenized in physiological saline (pH 7.4) (10% v/v) and centrifuged at 3000 rpm for 10 min. The low-speed supernatant was separated. The test compounds were added to the supernatant at final concentrations of 0.1 mM; then after 30 min, LPO was initiated by adding a freshly prepared solution of FeSO4 and ascorbic acid. Resveratrol and quercetin were taken as the most suitable reference compounds. Incubation of substrate was carried out in thermostated Biosan ES-20 shaker for 1 h at 37 °C. The concentration of secondary LPO products reacting with TBA (TBA reactive substances, TBA-RS) was determined at λ 532 nm using the extinction coefficient of 1.56 × 105 M−1·cm−1 [37,46,47]. Absorption was measured using a Thermo Spectronic Genesys 20 instrument. Each experiment was repeated 4–8 times. Statistical analysis was assessed by applying Microsoft Office Excel 2010 software packages. Experimental data are presented as arithmetic mean values with indication of standard error of mean (SEM).
The assays were performed using the equipment of the Centre of Collective Usage Molecular Biology, Institute of Biology, Komi Scientific Centre, Ural Branch of the RAS.

4. Conclusions

In this work, derivatives of 3,5-diarylpyrazoline with various substituents (MeO, Hal, NO2, N(Me)2) were synthesized by the reaction of isobornylchalcones and hydrazine hydrate. All compounds were evaluated using an in vitro model of Fe2+/ascorbate-initiated lipid peroxidation in a substrate containing laboratory mouse brain lipids. According to in vitro studies, pyrazoline 7i containing a hydroxyl group in the 2′-position in ring A and a catechol fragment in ring B was the most active antioxidant.

Supplementary Materials

The following are available online. Figure S1: 1H NMR (CDCl3) spectrum of compound 7a. Figure S2: 13C NMR (CDCl3) spectrum of compound 7a. Figure S3: 1H NMR (CDCl3) spectrum of compound 7b. Figure S4: 13C NMR (CDCl3) spectrum of compound 7b. Figure S5: 1H NMR (CDCl3) spectrum of compound 7i. Figure S6: 13C NMR (CDCl3) spectrum of compound 7i. Figure S7: 1H NMR (CDCl3) spectrum of compound 7j. Figure S8: 13C NMR (CDCl3) spectrum of compound 7j. Figure S9: 1H NMR (CDCl3) spectrum of compound 9a. Figure S10: 13C NMR (CDCl3) spectrum of compound 9a. Figure S11: 1H NMR (CDCl3) spectrum of compound 9b. Figure S12: 13C NMR (CDCl3) spectrum of compound 9b. Figure S13: 1H NMR (CDCl3) spectrum of compound 9i. Figure S14: 13C NMR (CDCl3) spectrum of compound 9i. Figure S15: 1H NMR (CDCl3) spectrum of compound 9k. Figure S16: 13C NMR (CDCl3) spectrum of compound 9k.

Author Contributions

S.A.P.: design, project coordination, writing—original draft preparation. E.V.P.: syntheses. O.G.S.: antioxidant assay and writing. I.Y.C.: writing—review and editing, project administration. A.V.K.: project administration and funding acquisition. All authors have read and agreed to the published version of the manuscript.

Funding

This work was financially supported by the Russian Science Foundation (Project No. 21-73-20091). The study of antioxidant activity of the compounds was conducted with the financial support of the state assignment (project no. AAAA-A18-118011120004-5).

Institutional Review Board Statement

When studying the AOA of the compounds, no animal experiments were performed; the analyzes were carried out exclusively in vitro. For these purposes, we used the brain tissue of intact laboratory mice obtained from the scientific collection of experimental animals at the Institute of Biology, Komi Scientific Centre, Ural Branch of the RAS, and registered as a unique scientific installation of the scientific and technological infrastructure of the Russian Federation (http://www.ckp-rf.ru/usu/471933/, accessed on 10 June 2021). The animals were handled in accordance with the ‘Regulations on the Vivarium of Experimental Animals’ (protocol No. 1 dated 24 January 2017), taking into account sanitary, hygienic, and bioethical aspects. The permission of the Ethical Committee was not necessary.

Informed Consent Statement

Not applicable.

Data Availability Statement

Not applicable.

Conflicts of Interest

The authors declare no conflict of interest. The funders had no role in the design of the study; in the analysis, or interpretation of the data; in the writing of the manuscript; or in the decision to publish the results.

Sample Availability

Samples of the compounds 6ak, 7ak, 8ak, 9ak are available from the authors.

References

  1. Saxena, R. Arthritis as a Disease of Aging and Changes in Antioxidant Status. In Aging: Oxidative Stress and Dietary AntioxIdants; Preedy, V.R., Ed.; Academic Press: London, UK, 2014. [Google Scholar] [CrossRef]
  2. Pisoschi, A.M.; Pop, A. The role of antioxidants in the chemistry of oxidative stress: A review. Eur. J. Med. Chem. 2015, 97, 55–74. [Google Scholar] [CrossRef]
  3. Adelusi, T.I.; Akinbolaji, G.R.; Yin, X.; Ayinde, K.S.; Olaoba, O.T. Neurotrophic, anti-neuroinflammatory, and redox balance mechanisms of chalcones. Eur. J. Pharm. 2021, 891, 173695. [Google Scholar] [CrossRef]
  4. Zhuang, C.; Zhang, W.; Sheng, C.; Zhang, W.; Xing, C.; Miao, Z. Chalcone: A privileged structure in medicinal chemistry. Chem. Rev. 2017, 117, 7762–7810. [Google Scholar] [CrossRef]
  5. Thapa, P.; Upadhyay, S.P.; Suo, W.Z.; Singh, V.; Gurung, P.; Lee, E.S.; Sharma, R.; Sharma, M. Chalcone and its analogs: Therapeutic and diagnostic applications in Alzheimer’s disease. Bioorg. Chem. 2021, 108, 104681. [Google Scholar] [CrossRef]
  6. Gaur, R.; Gupta, V.K.; Pal, A.; Darokar, M.P.; Bhakuni, R.S.; Kumar, B. In vitro and in vivo synergistic interaction of substituted chalcone derivatives with norfloxacin against methicillin resistant Staphylococcus aureus. RSC Adv. 2015, 5, 5830–5845. [Google Scholar] [CrossRef]
  7. Liu, Z.; Lee, W.; Kim, S.-N.; Yoon, G.; Cheon, S.H. Design, synthesis, and evaluation of bromo-retrochalcone derivatives as protein tyrosine phosphatase 1B inhibitors. Bioorg. Med. Chem. Lett. 2011, 21, 3755–3758. [Google Scholar] [CrossRef]
  8. Gomes, M.N.; Muratov, E.N.; Pereira, M.; Peixoto, J.C.; Rosseto, L.P.; Cravo, P.V.L.; Andrade, C.H.; Neves, B.J. Chalcone Derivatives: Promising Starting Points for Drug Design. Molecules 2017, 22, 1210. [Google Scholar] [CrossRef]
  9. Mahapatra, D.K.; Bharti, S.K. Therapeutic potential of chalcones as cardiovascular agents. Life Sci. 2016, 148, 154–172. [Google Scholar] [CrossRef] [PubMed]
  10. Mahapatra, D.K.; Bharti, S.K.; Asati, V. Anti-cancer chalcones: Structural and molecular target perspectives. Eur. J. Med. Chem. 2015, 98, 69–114. [Google Scholar] [CrossRef] [PubMed]
  11. Chen, Y.-F.; Wu, S.-N.; Gao, J.-M.; Liao, Z.-Y.; Tseng, Y.-T.; Fülöp, F.; Chang, F.-R.; Lo, Y.-C. The Antioxidant, Anti-Inflammatory, and Neuroprotective Properties of the Synthetic Chalcone Derivative AN07. Molecules 2020, 25, 2907. [Google Scholar] [CrossRef] [PubMed]
  12. Venturelli, S.; Burkard, M.; Biendl, M.; Lauer, U.M.; Frank, J.; Busch, C. Prenylated chalcones and flavonoids for the prevention and treatment of cancer. Nutrition 2016, 32, 1171–1178. [Google Scholar] [CrossRef] [PubMed]
  13. Miranda, C.L.; Stevens, J.F.; Ivanov, V.; McCall, M.; Frei, B.; Deinzer, M.L.; Buhler, D.R. Antioxidant and prooxidant actions of prenylated and nonprenylated chalcones and flavanones in vitro. J. Agric. Food Chem. 2000, 48, 3876–3884. [Google Scholar] [CrossRef] [PubMed]
  14. Kaur, N.; Kishore, D. Application of chalcones in heterocycles synthesis: Synthesis of 2-(isoxazolo, pyrazolo and pyrimido) substituted analogues of 1,4-benzodiazepin-5-carboxamides linked through an oxyphenyl bridge. J. Chem. Sci. 2013, 125, 555–560. [Google Scholar] [CrossRef]
  15. Verma, R.; Bhatia, R.; Singh, G.; Kumar, B.; Mehan, S.; Monga, V. Design, synthesis and neuropharmacological evaluation of new 2,4-disubstituted-1,5-benzodiazepines as CNS active agents. Bioorg. Chem. 2020, 101, 104010. [Google Scholar] [CrossRef]
  16. Kamal, M. El-Gaml, Application of Chalcone in Synthesis of New Heterocycles Containing 1,5-Benzodiazepine Derivatives. Am. J. Org. Chem. 2014, 4, 14–19. [Google Scholar] [CrossRef]
  17. Sanad, S.M.H.; Ahmed, A.A.M.; Mekky, A.E.M. Efficient synthesis and molecular docking of novel antibacterial pyrimidines and their related fused heterocyclic derivatives. J. Heterocyc. Chem. 2020, 57, 590–605. [Google Scholar] [CrossRef]
  18. Nehra, B.; Rulhania, S.; Jaswal, S.; Kumar, B.; Singh, G.; Monga, V. Recent advancements in the development of bioactive pyrazoline derivatives. Eur. J. Med. Chem. 2020, 205, 112666. [Google Scholar] [CrossRef] [PubMed]
  19. Lv, P.-C.; Sun, J.; Luo, Y.; Yang, Y.; Zhu, H.-L. Design, synthesis, and structure–activity relationships of pyrazole derivatives as potential FabH inhibitors. Bioorg. Med. Chem. Lett. 2010, 20, 4657–4660. [Google Scholar] [CrossRef] [PubMed]
  20. Özdemir, A.; Sever, B.; Altıntop, M.D.; Kaya Tilki, E.; Dikmen, M. Design, Synthesis, and Neuroprotective Effects of a Series of Pyrazolines against 6-Hydroxydopamine-Induced Oxidative Stress. Molecules 2018, 23, 2151. [Google Scholar] [CrossRef]
  21. Silva, V.L.M.; Elguero, J.; Silva, A.M.S. Current progress on antioxidants incorporating the pyrazole core. Eur. J. Med. Chem. 2018, 156, 394–429. [Google Scholar] [CrossRef]
  22. Stepanić, V.; Matijašić, M.; Horvat, T.; Verbanac, D.; Kučerová-Chlupáčová, M.; Saso, L.; Žarković, N. Antioxidant Activities of Alkyl Substituted Pyrazine Derivatives of Chalcones—In Vitro and In Silico Study. Antioxidants 2019, 8, 90. [Google Scholar] [CrossRef]
  23. Khalil, N.A.; Ahmed, E.M.; El-Nassan, H.B.; Ahmed, O.K.; Al-Abd, A.M. Synthesis and biological evaluation of novel pyrazoline derivatives as anti-inflammatory and antioxidant agents. Arch. Pharm. Res. 2012, 35, 995–1002. [Google Scholar] [CrossRef]
  24. ElBordiny, H.S.; El-Miligy, M.M.; Kassab, S.E.; Daabees, H.; Ali, W.A.M.; El-Hawash, S.A.M. Design, synthesis, biological evaluation and docking studies of new 3-(4,5-dihydro-1H-pyrazol/isoxazol-5-yl)-2-phenyl-1H-indole derivatives as potent antioxidants and 15-lipoxygenase inhibitors. Eur. J. Med. Chem. 2018, 145, 594–605. [Google Scholar] [CrossRef]
  25. Jeong, T.-S.; Kim, K.S.; Kim, J.-R.; Cho, K.-H.; Lee, S.; Lee, W.S. Novel 3,5-diarylpyrazolines and pyrazole as low-density lipoprotein (LDL) oxidation inhibitor. Bioorg. Med. Chem. Lett. 2004, 14, 2719–2723. [Google Scholar] [CrossRef]
  26. Popova, S.A.; Shevchenko, O.G.; Chukicheva, I.Y.; Kutchin, A.V. Synthesis and biological evaluation of novel coumarins with tert-butyl and terpene substituents. CB 2019, 16, e1800317. [Google Scholar] [CrossRef]
  27. Buravlev, E.V.; Shevchenko, O.G. 2-Hydroxy-3-isobornyl-5-methylbenzaldehyde derivatives: Synthesis and antioxidant activity in vitro. Russ. Chem. Bull. Int. Ed. 2019, 68, 79–85. [Google Scholar] [CrossRef]
  28. Fagali, N.; Catalá, A. The antioxidant behaviour of melatonin and structural analogues during lipid peroxidation depends not only on their functional groups but also on the assay system. Biochem. Biophys. Res. Commun. 2012, 423, 873–877. [Google Scholar] [CrossRef]
  29. Mateos, R.; Madrona, A.; Pereira-Caro, G.; Domínguez, V.; Cert, R.M.; Parrado, J.; Sarriá, B.; Bravo, L.; Espartero, J.L. Synthesis and antioxidant evaluation of isochroman-derivatives of hydroxytyrosol: Structure–activity relationship. Food Chem. 2015, 173, 313–320. [Google Scholar] [CrossRef] [PubMed]
  30. Laguerre, M.; Bayrasy, C.; Panya, A.; Weiss, J.; McClements, D.J.; Lecomte, J.; Decker, E.A.; Villeneuve, P. What makes good antioxidants in lipid-based systems? The next theories beyond the polar paradox. Crit. Rev. Food Sci. Nutr. 2015, 55, 183–201. [Google Scholar] [CrossRef] [PubMed]
  31. Farhoosh, R.; Johnny, S.; Asnaashari, M.; Molaahmadibahraseman, N.; Sharif, A. Structure—Antioxidant activity relationships of o-hydroxyl, o-methoxy, and alkyl ester derivatives of p-hydroxybenzoic acid. Food Chem. 2016, 194, 128–134. [Google Scholar] [CrossRef] [PubMed]
  32. Elder, A.S.; Coupland, J.N.; Elias, R.J. Effect of alkyl chain length on the antioxidant activity of alkylresorcinol homologues in bulk oils and oil-in-water emulsions. Food Chem. 2021, 346, 128885. [Google Scholar] [CrossRef] [PubMed]
  33. Hyatt, J.R.; Zhang, S.; Akoh, C.C. Comparison of antioxidant activities of selected phenolic compounds in O/W emulsions and bulk oil. Food Chem. 2021, 349, 129037. [Google Scholar] [CrossRef] [PubMed]
  34. Acker, C.I.; Brandão, R.; Rosário, A.R.; Nogueira, C.W. Antioxidant effect of alkynylselenoalcohol compounds on liver and brain of rats in vitro. Environ. Toxicol. Pharmacol. 2009, 28, 280–287. [Google Scholar] [CrossRef]
  35. Costa, P.; Gonçalves, S.; Andrade, P.B.; Valentão, P.; Romano, A. Inhibitory effect of Lavandula viridis on Fe2+-induced lipid peroxidation, antioxidant and anti-cholinesterase properties. Food Chem. 2011, 126, 1779–1786. [Google Scholar] [CrossRef] [PubMed]
  36. Kim, J.-S. Preliminary evaluation for comparative antioxidant activity in the water and ethanol extracts of dried Citrus Fruit (Citrus unshiu) peel using chemical and biochemical in vitro assays. Food Nutr. Sci. 2013, 4, 177–188. [Google Scholar] [CrossRef]
  37. Stefanello, S.T.; Prestes, A.S.; Ogunmoyole, T.; Salman, S.M.; Schwab, R.S.; Brender, C.R.; Dornelles, L.; Rocha, J.B.T.; Soares, F.A.A. Evaluation of in vitro antioxidant effect of new mono and diselenides. Toxicol. Vitr. 2013, 27, 1433–1439. [Google Scholar] [CrossRef]
  38. Oboh, G.; Akinyemi, A.J.; Ademiluyi, A.O. Antioxidant and inhibitory effect of red ginger (Zingiber officinale var. Rubra) and white ginger (Zingiber officinale Roscoe) on Fe2+ induced lipid peroxidation in rat brain in vitro. Exp. Toxicol. Pathol. 2012, 64, 31–36. [Google Scholar] [CrossRef]
  39. Halliwell, B. Reactive oxygen species and the central nervous system. J. Neurochem. 1992, 59, 1609–1623. [Google Scholar] [CrossRef]
  40. Halliwell, B.; Gutteridge, J.M. Oxygen free radicals and iron in relation to biology and medicine: Some problems and concepts. Arch. Biochem. Biophys. 1986, 246, 501–504. [Google Scholar] [CrossRef]
  41. Buravlev, E.V.; Shevchenko, O.G.; Chukicheva, I.Y.; Kutchin, A.V. Synthesis and memrane-protective activity of aminomethylated derivatives of quercetin at the C-8 position. Chem. Pap. 2018, 72, 201–208. [Google Scholar] [CrossRef]
  42. Samet, A.V.; Shevchenko, O.G.; Rusak, V.V.; Chartov, E.M.; Myshlyavtsev, A.; Rusanov, D.; Semenova, M.N.; Semenov, V.V. Antioxidant activity of natural allylpolyalkoxybenzene plant essential oil constituents. J. Nat. Prod. 2019, 82, 1451–1458. [Google Scholar] [CrossRef] [PubMed]
  43. Chukicheva, I.Y.; Fedorova, I.V.; Buravlev, E.V.; Kuchin, A.V.; Suponitskii, K.Y. Alkylation of resorcinol with camphene in the presence of aluminum phenolate and aluminum isopropoxide. Russ. J. Gen. Chem. 2012, 82, 1425–1431. [Google Scholar] [CrossRef]
  44. Popova, S.A.; Pavlova, E.V.; Chukicheva, I.Y. Synthesis of substituted chalcones based on 1,3-dihydroxy-4-isobornylbenzene. Russ. Chem. Bull. 2020, 69, 2198–2204. [Google Scholar] [CrossRef]
  45. Popova, S.A.; Pavlova, E.V.; Chukicheva, I.Y. Synthesis of methoxy chalcone derivatives with isobornyl substituent. ARKIVOC 2021. [Google Scholar] [CrossRef]
  46. Asakawa, T.; Matsushita, S. Coloring conditions of thiobarbituric acid test for detecting lipid hydroperoxides. Lipids 1980, 15, 137–140. [Google Scholar] [CrossRef]
  47. Buege, J.A.; Aust, S.D. Microsomal Lipid Peroxidation. In Methods in Enzymology; Fleischer, S., Packer, L., Eds.; Academic Press: San Diego, CA, USA, 1978; Volume 52. [Google Scholar] [CrossRef]
Figure 1. Chemical structures of some biologically active compounds.
Figure 1. Chemical structures of some biologically active compounds.
Molecules 26 03579 g001
Scheme 1. Synthesis of pyrazoline derivatives 7ak and 9ak. Reagents and conditions: (i) Ac2O, BF3·Et2O, 60 °C, 3 h, 76%; (ii) (CH3)2CO, AllylBr, K2CO3/KI, heat; (iii) for 6ad, 8ad 40% (w/v) sodium hydroxide, methanol, rt; for 6ek, 8ek NaH, DMF, 0–25 °C; (iv) hydrazine hydrate, CH3COOH, rf.
Scheme 1. Synthesis of pyrazoline derivatives 7ak and 9ak. Reagents and conditions: (i) Ac2O, BF3·Et2O, 60 °C, 3 h, 76%; (ii) (CH3)2CO, AllylBr, K2CO3/KI, heat; (iii) for 6ad, 8ad 40% (w/v) sodium hydroxide, methanol, rt; for 6ek, 8ek NaH, DMF, 0–25 °C; (iv) hydrazine hydrate, CH3COOH, rf.
Molecules 26 03579 sch001
Figure 2. Antioxidant activity of chalcones and pyrazolines: (a) Chalcones 6ak and 8ak; (b) Pyrazolines 7ak and 9ak. C—control; I-intact; RV—resveratrol; QC—quercetin.
Figure 2. Antioxidant activity of chalcones and pyrazolines: (a) Chalcones 6ak and 8ak; (b) Pyrazolines 7ak and 9ak. C—control; I-intact; RV—resveratrol; QC—quercetin.
Molecules 26 03579 g002
Table 1. Yields of pyrazolines.
Table 1. Yields of pyrazolines.
CompoundRYield, %CompoundRYield, %
7a3-NO2789a3-NO285
7b4-Cl709b4-Cl76
7c4-Br919c4-Br91
7d4-NMe2719d4-NMe268
7e2-OMe969e2-OMe93
7f3-OMe919f3-OMe77
7g4-OMe909g4-OMe82
7h2,3-OMe909h2,3-OMe92
7i3,4-OMe999i3,4-OMe99
7j2,4,6-OMe759j2,4,6-OMe56
7k3,4,5-OMe989k3,4,5-OMe96
Publisher’s Note: MDPI stays neutral with regard to jurisdictional claims in published maps and institutional affiliations.

Share and Cite

MDPI and ACS Style

Popova, S.A.; Pavlova, E.V.; Shevchenko, O.G.; Chukicheva, I.Y.; Kutchin, A.V. Isobornylchalcones as Scaffold for the Synthesis of Diarylpyrazolines with Antioxidant Activity. Molecules 2021, 26, 3579. https://doi.org/10.3390/molecules26123579

AMA Style

Popova SA, Pavlova EV, Shevchenko OG, Chukicheva IY, Kutchin AV. Isobornylchalcones as Scaffold for the Synthesis of Diarylpyrazolines with Antioxidant Activity. Molecules. 2021; 26(12):3579. https://doi.org/10.3390/molecules26123579

Chicago/Turabian Style

Popova, Svetlana A., Evgenia V. Pavlova, Oksana G. Shevchenko, Irina Yu. Chukicheva, and Aleksandr V. Kutchin. 2021. "Isobornylchalcones as Scaffold for the Synthesis of Diarylpyrazolines with Antioxidant Activity" Molecules 26, no. 12: 3579. https://doi.org/10.3390/molecules26123579

APA Style

Popova, S. A., Pavlova, E. V., Shevchenko, O. G., Chukicheva, I. Y., & Kutchin, A. V. (2021). Isobornylchalcones as Scaffold for the Synthesis of Diarylpyrazolines with Antioxidant Activity. Molecules, 26(12), 3579. https://doi.org/10.3390/molecules26123579

Article Metrics

Back to TopTop