Abstract
Pd-catalyzed regioselective C–H arylation is a useful tool for the chemical modification of aromatic heterocycles and 2-arylbenzofuran derivatives are of interest as biologically active substances. Herein, the reaction of triarylantimony difluorides with benzofurans under aerobic conditions in 1,2-DCE, using 5 mol% Pd (OAc)2 and 2 eq. of CuCl2 at 80 °C, produced a variety of 2-arylbenzofurans in moderate-to-high yields. The reaction is sensitive to the electronic nature of the substituents on the benzene ring of the triarylantimony difluorides: an electron-donating group showed higher reactivity than an electron-withdrawing group. Single crystal X-ray analysis of tri(p-methylphenyl) antimony difluoride revealed that the central antimony atom exhibits trigonal bipyramidal geometry.
1. Introduction
Benzo[b]furans are important heterocycles because they are key skeletons in many natural products, bioactive compounds, and organic materials [1,2,3,4,5,6]. 2-Arylbenzofuran derivatives in particular have attracted significant interest because of their potential as biological and pharmaceutical therapeutic agents [7]. For example, saprisartan (I) [8,9] acts as an angiotensin II receptor antagonist and renin-angiotensin system inhibitor, compound II displays potent hepatoprotective and antioxidant activities [10], compound III shows antitumor activity on a panel of human cancer cell lines [11], and compound IV has promotive activity on estrogen biosynthesis [12] (Figure 1).
Figure 1.
Biologically active 2-arylbenzofuran derivatives.
Many methods have been developed for the synthesis of 2-arylbenzofurans. Pd-catalyzed direct C–H arylation of 5-membered heteroaromatic compounds is one of the most powerful tools for the synthesis of arylated heterocycles [13,14]. 2-Arylbenzofurans have been prepared in this way using various aryl group donors. In 1990, Ohta et al. reported that the C–H arylation of benzofuran using arylbromides in the presence of catalytic Pd(PPh3)4 and excess amount of potassium acetate gave 2-phenylbenzofuran in 23% yield [15]. Since then, the reaction conditions using aryl halides have been improved in order to obtain 2-arylbenzofurans more efficiently [16,17,18,19,20]. Reactions using other aryl donors to replaces the aryl halides have also been developed (Scheme 1). Shi et al. demonstrated the coupling of benzofuran with phenylboronic acid and Cu(OAc)2 using a Pd(OAc)2 catalyst in trifluoroacetic acid [21]. Wu and Huang found that the reaction of benzofuran and aryl N-methyliminodiacetic acid (MIDA) boronates proceeds in the presence Pd-alkoxy catalysts and benzoquinone under acidic conditions [22]. Correia et al. proved that Pd(OAc)2 catalyzes the arylation of benzofuran with aryldiazonium tetrafluoroborates [23]. Doucet et al. reported the reaction of benzofurans and aryl sulfonyl chlorides in the presence of Li2CO3 [24,25]. Glorius et al. revealed that 2-arylation of benzofuran with diphenyliodonium tetrafluoroborate progresses using a heterogeneous Pd–C catalyst [26]. In addition, McGlacken and Wan independently reported the use of PdO-Fe3O4 and a solid-based Pd catalyst for the reaction of benzofuran and diaryliodonium salts [27,28]. Tang et al. demonstrated the C–2 arylation of benzofurans using N’-acyl arylhydrazines in the presence of a PdCl2(MeCN)2 catalyst and the 2,2,6,6-tetramethylpiperidine 1-oxyl radical (TEMPO) [29]. These procedures could be used complementarily; however, each reaction has several drawbacks in substrate scope and efficiency. Therefore, the development of an effective novel aryl donor and the elucidation of its reactivity for the C–H arylation of benzofuran derivatives are required. Pentavalent organoantimony compounds such as triarylantimony diacetates [Ar3Sb(OAc)2] and tetraphenylantimony acetate [Ph4Sb(OAc)] could be used as pseudo-halides for Pd-catalyzed C–C(Ar) bond formation in Heck- [30,31,32], Stille- [33], Hiyama- [34], Suzuki- [35,36] and Sonogashira-type reactions [37]. We also recently reported that triarylantimony difluorides (Ar3SbF2) serve as an arylating reagent for the Pd-catalyzed β-selective C–H arylation of thiophenes [38]. Ar3SbF2 is an easy-to-handle compound that can be stored under air and is known to have low toxicity [39,40]. Inspired by the aforementioned reports and a continuation of our studies on the C–H arylation of aromatic heterocycles, this paper presents the Pd-catalyzed regioselective arylation of benzofurans with Ar3SbF2 for the synthesis of 2-arylbenzofurans.
Scheme 1.
Pd-catalyzed coupling reaction of benzofuran with aryl donors.
2. Results and Discussion
2.1. Pd-Catalyzed C–H Arylation of Benzofurans with Triarylantimony Difluorides
We previously reported the Pd-catalyzed β-selective C–H arylation of benzothiophene with Ar3SbF2 in the presence of 5 mol% Pd(OAc)2 and 2 eq. CuCl2 in 1,2-DCE at 80 °C under aerobic conditions [38]. In order to suitably investigate the reactive arylating agent, various pentavalent organoantimony compounds 2a–12 (0.5 mmol) were reacted with benzofuran 1a (0.5 mmol) under the above optimal experimental conditions. The results are summarized in Table 1. Ph3SbF2 2a and Ph3SbCl2 3 gave 2-phenylbenzofuran 13a in over 80% yields (entries 1, 2). Ph3SbF2 2a was found to be the best arylating agent for the reaction in terms of the yield and reaction time (entry 1). It is also noteworthy that 2a has the advantage of not producing biphenyl as a by-product. Moreover, this reaction afforded only 2-phenylbenzofuran 13a, and 3-phenylbenzofuran could not detect using gas chromatography (GC). The reaction of 1a and 2a was carried out in a 3:1 ratio because 2a has three phenyl groups. However, the yield was low (28%), which showed that only one of the three phenyl groups on antimony reacts in the C–H arylation. Aryl donors such as previously known aryl halides, [15,16,17,18,19,20] arylboron reagents, [21,22] and aryl sulfonyl chlorides [24,25] often require bases, ligands for Pd catalyst, oxidants, high temperature, inert atomosphere, and/or acidic conditions. In contrast, Ph3SbF2 is similar to arylhydrazines [29] and much more stable than the aryldiazonium salt [23], and the reaction proceeds smoothly only by adding an oxidant under mild conditions. However, Ph3SbF2 has a low atom economy similar to the hypervalent iodine reagents, [26,27,28] and only one of the three aryls can be used in the reaction.
Table 1.
Pd-catalyzed reaction of benzofuran 1a with pentavalent organoantimony compounds 2a–12 a.
To demonstrate the efficiency and generality of this C–H arylation, the reactions of various benzofurans 1 (0.5 mmol) and Ar3SbF2 2 (0.5 mmol) were investigated under aerobic conditions in 1,2-DCE using Pd(OAc)2 (5 mol%) as a catalyst at 80 °C. The results are summarized in Table 2. Antimony compounds 2b–j used for the reactions were easily synthesized by the oxidative fluorination of triarylstibanes (Ar3Sb) with nitrosyl tetrafluoroborate using our method [40]. The reactions of benzofuran 1a with Ar3SbF2 2b–h proceeded selectively at the α-position to give coupling products 13b–g in 19–91% yields, with the exception of nitrile derivative 13h. In the case of 2b having methoxy group, the disappearance of starting materials was observed within a short time (1 h), but there was a low yield of the corresponding 13b (19%). When the reaction was carried out at 40 °C, 13b was obtained in 60% yield. The use of compounds 2g and 2h, which have trifluoromethyl and cyano groups, respectively, resulted in low yield or did not react. These results suggest that this reaction is affected by the electronic nature of the substituent on the phenyl ring of Ar3SbF2, and that electron-donating groups have superior reactivity. In addition, sterically hindered ortho-substituted Ar3SbF2 2i gave coupling product 13i without difficulty. There are few reports of the Pd-catalyzed C–H arylation of benzofuran bearing an electron-donating or electron-withdrawing substituent at the 5-position [19,20,29]. The reactions of various benzofurans 1 with Ph3SbF2 2a afforded the corresponding 2-phenylbenzofurans 13j–n in moderate-to-excellent yields. 5-Methoxybenzofuran 1b bearing an electron-donating group showed a slightly lower reactivity in these reactions. However, unlike substituted on the phenyl ring of Ar3SbF2, the difference in the electronic nature of the substituents in 5-substituted benzofurans 1 was not virtually reflected in the reaction time and yields. Double C–H arylation of benzofuran 1a was attempted using 2 eq. of Ph3SbF2, but the corresponding 2,3-diphenylbenzofuran 13o was not obtained, and 2-phenylbenzofuran 13a was isolated in 99% yield. 13o was not obtained even in the reaction of 2-phenylbenzofuran 13a with 2a. Finally, benzoheteroles containing other chalcogen elements such as selenium and tellurium were reacted with 2a, but the reaction did not proceed and the corresponding α- or β-arylated products 13p and 13q were not produced.
Table 2.
Pd-catalyzed reaction of benzofurans with Ar3SbF2 a,b.
At present, the reaction mechanism is unclear. We consider that the mechanism would be similar to that of the C–H arylation of benzofuran with MIDA boronates and benzenesulfonyl chlorides proposed by Wu and Doucet et al., respectively, for the synthesis of 2-arylbenzofurans [22,24]. Additionally, Gushchin et al. reported the Heck-type C- arylation of methyl acrylate and alkenes with pentavalent organoantimony compounds such as Ar3Sb(OAc)2 and Ph4SbOAc [31,32]. Possible mechanisms for the C–H arylation of Ar3SbF2 with benzofurans are depicted in Figure 2. The initial step is the transmetalation of Pd(II) with Ar3SbF2 2 to afford Ar-Pd-X A with liberation of Ar2SbF2X [31]. Coordination of benzofuran to complex A leads to the generation of complex B, which undergoes arylpalladation of the benzofuran to give intermediate C (Figure 2a). β-Hydride elimination and reductive elimination form coupling product 13 and HX, and generate a Pd(0) species. The Pd(0) species is oxidized by the copper regent, and Pd(II) is regenerated. An alternative pathway would involve the oxidative addition of Ar3SbF2 to the Pd(0) species to give ArPdSb complex D, which is then transformed to complex A and Ar2SbF [31]. By-products such as Ar2SbF and Ar2SbF2X that would be released in this reaction have not been confirmed or isolated at this point. An alternative pathway is also under consideration (Figure 2b); electrophilic aromatic substitution and/or concerted metalation-deprotonation proceeding from intermediate B and benzofuran to form complex E are also conceivable. Intermediate E undergoes reductive elimination to afford coupling product 13.
Figure 2.
Possible mechanisms.
2.2. X-ray Crystal Structure of Triarylantimony Difluoride
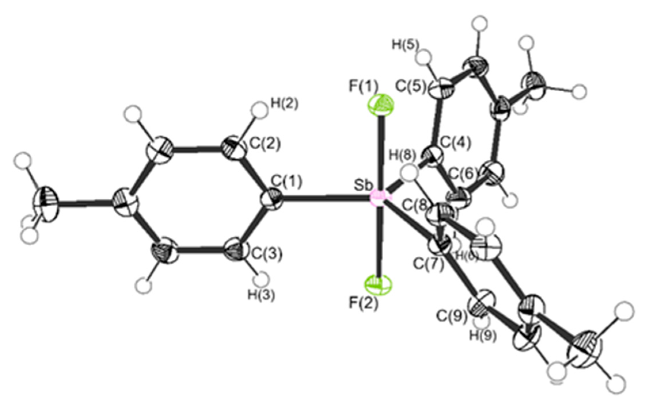
The molecular structure of p-Tol3SbF2 2c was determined by single crystal X-ray diffractometry. The structure is depicted in Figure 3, and selected geometrical parameters are shown in Table 3. The hydrogen atoms were placed according to the electron density in calculated positions and were included in the refinement. The central antimony atom of 2c adopted a trigonal bipyramidal structure. The three carbon atoms on the phenyl ring [C(1), C(4), and C(7)] lie in the equatorial plane; fluorine atoms F(1) and F(2) occupy the axial positions in the trigonal bipyramidal structure. The sum of the angles in the equatorial plane [C(1)–Sb–C(4), C(1)–Sb–C(7), and C(4)–Sb–C(7)] is 360°, and axial angle [F(1)–Sb–F(2)] is 178.93°. Moreover, the angles of F(1)–Sb–C and F(2)–Sb–C are almost 90°: 89.19–90.83°. Notably, intramolecular hydrogen bonds of the type C–H∙∙∙F involving the six hydrogens at the ortho positions of the three tolyl groups are observed. The atomic distances of H∙∙∙F {2.28(3)–2.50(2)} are significantly smaller than the sum of the van-der-Waals radii of hydrogen and fluorine (2.55 Å) [41]. The result of these intermolecular interactions is that the three benzene rings have sterically strained conformations that are close to the eclipsed conformation with the axial Sb–F bonds; the dihedral angles of F-Sb(7)–C(ipso)–C(Ar) in compound 2c are remarkably small and narrow range (6.71° to 25.99°).
Figure 3.
ORTEP drawing of p-Tol3SbF2 2c with 50% probability.
Table 3.
Selected bond lengths (Å) and bond angles (°) for p-Tol3SbF2 2c.
3. Materials and Methods
3.1. General
Melting points were measured on a Yanagimoto micro melting point hot stage apparatus (Yanaco, Kyoto, Japan) and are uncorrected. 1H-NMR (400 MHz, CHCl3: δ: 7.26 ppm as an internal standard), 13C-NMR (100 MHz, CDCl3: δ: 77.00 ppm as an internal standard) and 19F-NMR (376 MHz, PhCF3: δ: −64.0 ppm as an external standard) spectra were recorded on ECZ-400S spectrometer (JEOL, Tokyo, Japan) in CDCl3. IR spectra were recorded on a FTIR-8400S spectrophotometer (Shimadzu, Kyoto, Japan) and reported in terms of frequency of absorption (cm−1). Only selected IR bands are reported. Mass spectra were obtained on a JEOL JMP-DX300 instrument (70 eV, 300 mA). Column chromatography was performed on Silica Gel 60N (Kanto Chemical Co., Inc. (Tokyo, Japan)). Reagents were purchased from Wako Pure Chemical Industries, Ltd. (Osaka, Japan), Tokyo Kasei Kogyo Co., LTD (Tokyo, Japan) and SIGMA-ALDRICH Japan K.K. (Tokyo, Japan) and used without further purification.
3.2. General Procedure for the C–H Arylation
Ar3SbF2 (2) (0.5 mmol), Pd(OAc)2 (0.025 mmol), CuCl2 (1.0 mmol) and benzofuran derivative (1) (0.5 mmol) were added to 1,2-dichloroethane (3.0 mL) in a round-bottom flask. After stirring at 80 °C for 3–72 h, the mixture was cooled to room temperature and filtered through a short plug of Celite. The Celite plug was flushed with CH2Cl2, and the filtrate was evaporated to dryness under reduced pressure. The crude product was purified on a silica gel column chromatography to give the desired product 13a–n (13a–c, i, k: [19], 13d, g, j: [20], 13e, l: [29], 13f: [42], 13m: [22] 13n: [43]). See Supplementary Materials for copies of NMR spectra.
3.2.1. 2-Phenylbenzofuran (13a)
Colorless plates (87.3 mg, 90%). mp 111–113 °C (from hexane). 1H-NMR δ: 7.88 (d, J = 7.8 Hz, 2H, Ar-H), 7.60 (d, J = 7.3 Hz, 1H, Ar-H), 7.54 (d, J = 8.2 Hz, 1H, Ar-H), 7.46 (t, J = 7.3 Hz, 2H, Ar-H), 7.36 (t, J = 7.8 Hz, 1H, Ar-H), 7.30 (td, J = 7.3, 1.4 Hz, 1H, Ar-H), 7.24 (t, J = 7.3 Hz, 1H, Ar-H), 7.04 (s, 1H, Ar-H). 13C-NMR δ: 156.0 (C), 155.0 (C), 130.6 (C), 129.3 (C), 128.9 (CH), 128.7 (CH), 125.0 (CH), 124.4 (CH), 123.0 (CH), 121.0 (CH), 111.3 (CH), 101.4 (CH). LRMS (EI) m/z: 194 ([M]+, 100%), 165 (50%), 130 (5%).
3.2.2. 2-(4-Methoxyphenyl) Benzofuran (13b)
Colorless plates (67.2 mg, 60%). mp 146–148 °C (from hexane). 1H-NMR δ: 7.80 (dt, J = 9.6, 2.7 Hz, 2H, Ar-H), 7.55 (dd, J = 7.3, 1.8 Hz, 1H, Ar-H), 7.50 (d, J = 7.8 Hz, 1H, Ar-H), 7.27–7.19 (m, 2H, Ar-H), 6.98 (dt, J = 9.6, 2.7 Hz, 2H, Ar-H), 6.89 (s, 1H, Ar-H), 3.87 (s, 3H, OCH3). 13C-NMR δ: 160.1 (C), 156.1 (C), 154.8 (C), 129.6 (C), 126.5 (CH), 123.8 (CH), 123.4 (C), 122.9 (CH), 120.7 (CH), 114.3 (CH), 111.1 (CH), 99.8 (CH), 55.5 (OCH3). LRMS (EI) m/z: 224 ([M]+, 100%), 181 (38%), 152 (22%), 112 (7%).
3.2.3. 2-(p-Tolyl) Benzofuran (13c)
Colorless plates (77.0 mg, 74%). mp 128–130 °C (from hexane). 1H-NMR δ: 7.76 (d, J = 8.2 Hz, 2H, Ar-H), 7.57 (dd, J = 6.4, 0.9 Hz, 1H, Ar-H), 7.51 (dd, J = 8.2, 0.9 Hz, 1H, Ar-H), 7.29–7.20 (m, 4H, Ar-H), 6.97 (s, 1H, Ar-H), 2.40 (s, 3H, CH3). 13C-NMR δ: 156.2 (C), 154.7 (C), 138.6 (C), 129.5 (CH), 129.3 (C), 127.7 (C), 124.9 (CH), 124.0 (CH), 122.8 (CH), 120.7 (CH), 111.1 (CH), 100.5 (CH), 21.4 (CH3). LRMS (EI) m/z: 208 ([M]+, 100%), 178 (18%), 152 (7%), 115 (4%), 89 (9%), 63 (4%).
3.2.4. 2-(4-Chlorophenyl) Benzofuran (13d)
Colorless plates (92.6 mg, 81%). mp 142–144 °C (from hexane). 1H-NMR δ: 7.78 (dt, J = 9.1, 2.7 Hz, 2H, Ar-H), 7.58 (d, J = 7.3 Hz, 1H, Ar-H), 7.51 (d, J = 8.2 Hz, 1H, Ar-H), 7.41 (dt, J = 9.1, 2.7 Hz, 2H, Ar-H), 7.29 (td, J = 7.3, 1.4 Hz, 1H, Ar-H), 7.25–7.21 (m, 1H, Ar-H), 7.00 (d, J = 0.9 Hz, 1H, Ar-H). 13C-NMR δ: 155.0 (C), 154.9 (C), 134.4 (C), 129.13 (CH), 129.06 (C), 126.2 (CH), 124.7 (CH), 123.2 (CH), 121.1 (CH), 111.3 (CH), 101.8 (CH). LRMS (EI) m/z: 228 ([M]+, 100%), 199 (6%), 165 (37%), 139 (4%), 114 (8%), 82 (7%).
3.2.5. 2-(4-Bromophenyl) Benzofuran (13e)
Colorless plates (124.3 mg, 91%). mp 162–164 °C (from hexane). 1H-NMR δ: 7.73 (dt, J = 9.1, 2.3 Hz, 2H, Ar-H), 7.60–7.56 (m, 3H, Ar-H), 7.52 (d, J = 8.2 Hz, 1H, Ar-H), 7.30 (td, J = 7.3, 1.4 Hz, 1H, Ar-H), 7.24 (td, J = 7.8, 1.4 Hz, 1H, Ar-H), 7.03 (d, J = 0.9 Hz, 1H, Ar-H). 13C-NMR δ: 154.9 (C), 154.7 (C), 131.9 (CH), 129.4 (C), 129.0 (C), 126.3 (CH), 124.6 (CH), 123.1 (CH), 122.5 (C), 121.0 (CH), 111.2 (CH), 101.8 (CH). LRMS (EI) m/z: 272 ([M]+, 100%), 165 (68%), 137 (11%), 115 (5%), 83 (15%), 63 (6%).
3.2.6. Ethyl 4-(benzofuran-2-yl) Benzoate (13f)
Colorless plates (71.6 mg, 53%). mp 142–144 °C (from hexane). 1H-NMR δ: 8.12 (dt, J = 8.7, 1.8 Hz, 2H, Ar-H), 7.92 (dt, J = 8.7, 1.8 Hz, 2H, Ar-H), 7.61 (dd, J = 8.2, 0.9 Hz, 1H, Ar-H), 7.54 (d, J = 8.2 Hz, 1H, Ar-H), 7.33 (td, J = 7.3, 1.4 Hz, 1H, Ar-H), 7.25 (td, J = 5.9, 0.9 Hz, 1H, Ar-H), 7.15 (s, 1H, Ar-H), 4.41 (q, J = 7.3 Hz, 2H, CH2), 1.42 (t, J = 7.3 Hz, 3H, CH3). 13C-NMR δ: 166.2 (C), 155.1 (C), 154.6 (C), 134.3 (C), 130.1 (CH), 130.0 (C), 128.9 (C), 125.0 (CH), 124.5 (CH), 123.2 (CH), 121.2 (CH), 111.3 (CH), 103.3 (CH), 61.1 (CH2), 14.3 (CH3). LRMS (EI) m/z: 266 ([M]+, 100%), 221 (67%), 193 (12%), 165 (52%), 139 (10%), 111 (7%), 83 (10%). IR (KBr): 2976, 1709, 1611, 1273, 1099, 748 cm−1.
3.2.7. 2-[4-(Trifluoromethyl)phenyl] Benzofuran (13g)
Colorless needles (48.5 mg, 37%). mp 161–163 °C (from hexane). 1H-NMR δ: 7.97 (d, J = 7.8 Hz, 2H, Ar-H), 7.70 (d, J = 8.2 Hz, 2H, Ar-H), 7.62 (dd, J = 6.9, 0.9 Hz, 1H, Ar-H), 7.54 (dd, J = 7.3, 0.9 Hz, 1H, Ar-H), 7.34 (td, J = 7.3, 1.4 Hz, 1H, Ar-H), 7.26 (td, J = 7.8, 1.4 Hz, 1H, Ar-H), 7.15 (s, 1H, Ar-H). 13C-NMR δ: 155.2 (C), 154.3 (C), 133.8 (C), 130.2 (q, 2JC,F = 33 Hz, C), 128.9 (C), 125.9 (q, 3JC,F = 2.9 Hz, CH), 125.2 (CH), 125.0 (CH), 124.2 (q, 1JC,F = 276 Hz, C), 123.4 (CH), 121.4 (CH), 111.5 (CH), 103.3 (CH). 19F-NMR δ: −62.5. LRMS (EI) m/z: 262 ([M]+, 100%), 233 (12%), 183 (6%), 165 (30%), 131 (4%), 106 (8%).
3.2.8. 2-(o-Tolyl) Benzofuran (13i)
Pale yellow oil (63.5 mg, 61%). 1H-NMR δ: 7.88–7.85 (m, 1H, Ar-H), 7.62 (dd, J = 7.3, 1.4 Hz, 1H, Ar-H), 7.54 (dd, J = 8.2, 0.9 Hz, 1H, Ar-H), 7.33–7.29 (m, 4H, Ar-H), 7.25 (td, J = 7.8, 1.4 Hz, 1H, Ar-H), 6.91 (s, 1H, Ar-H), 2.60 (s, 3 H, CH3). 13C-NMR δ: 155.7 (C), 154.5 (C), 135.9 (C), 131.4 (CH), 130.0 (C), 129.3 (C), 128.6 (CH), 128.2 (CH), 126.2 (CH), 124.3 (CH), 122.9 (CH), 121.0 (CH), 111.2 (CH), 105.2 (CH), 22.1 (CH3). LRMS (EI) m/z: 208 ([M]+, 100%), 178 (33%), 165 (14%), 152 (12%), 115 (14%), 89 (19%).
3.2.9. 5-Methoxy-2-phenylbanzofuran (13j)
Colorless needles (62.8 mg, 56%). mp 128–130 °C (from hexane). 1H-NMR δ: 7.84–7.81 (m, 2H, Ar-H), 7.45–7.39 (m, 3H, Ar-H), 7.35–7.31 (m, 1H, Ar-H), 7.02 (d, J = 2.7 Hz, 1H, Ar-H), 6.94 (d, J = 0.9 Hz, 1H, Ar-H), 6.88 (dd, J = 9.1, 2.7 Hz, 1H, Ar-H), 3.84 (s, 3H, OCH3). 13C-NMR δ: 156.8 (C), 156.1 (C), 150.0 (C), 130.6 (C), 129.9 (C), 128.9 (CH), 128.6 (CH), 124.9 (CH), 113.1 (CH), 111.7 (CH), 103.4 (CH), 56.0 (OCH3). LRMS (EI) m/z: 224 ([M]+, 100%), 181 (18%), 152 (33%), 127 (7%).
3.2.10. 5-Methyl-2-phenylbanzofuran (13k)
Colorless needles (79.1 mg, 76%). mp 128–130 °C (from hexane). 1H-NMR δ: 7.85–7.83 (m, 2H, Ar-H), 7.44–7.38 (m, 3H, Ar-H), 7.34–7.30 (m, 2H, Ar-H), 7.07 (dd, J = 8.2, 1.4 Hz, 1H, Ar-H), 6.92 (d, J = 0.9 Hz, 1H, Ar-H), 2.43 (s, 3H, CH3). 13C-NMR δ: 156.1 (C), 153.4 (C), 132.4 (C), 130.7 (C), 129.4 (C), 128.9 (CH), 128.5 (CH), 125.7 (CH), 125.0 (CH), 120.9 (CH), 110.8 (CH), 101.2 (CH), 21.5 (CH3). LRMS (EI) m/z: 208 ([M]+, 100%), 178 (20%), 152 (7%), 104 (9%), 76 (7%).
3.2.11. 5-Chloro-2-phenylbanzofuran (13l)
Colorless plates (112.0 mg, 98%). mp 154–156 °C (from hexane). 1H-NMR δ: 7.84 (dt, J = 8.2, 1.4 Hz, 2H, Ar-H), 7.53 (d, J = 2.3 Hz, 1H, Ar-H), 7.47–7.41 (m, 3H, Ar-H), 7.39–7.35 (m, 1H, Ar-H), 7.22 (dd, J = 8.7, 1.8 Hz, 1H, Ar-H), 6.95 (s, 1H, Ar-H). 13C-NMR δ: 157.5 (C), 153.3 (C), 130.7 (C), 130.0 (C), 129.1 (CH), 129.0 (CH), 128.6 (C), 125.1 (CH), 124.5 (CH), 120.5 (CH), 112.2 (CH), 100.9 (CH). LRMS (EI) m/z: 228 ([M]+, 100%), 165 (40%), 139 (9%), 114 (9%), 82 (10%).
3.2.12. 5-Bromo-2-phenylbanzofuran (13m)
Colorless needles (112.2 mg, 82%). mp 159–162 °C (from hexane). 1H-NMR δ: 7.85–7.82 (m, 2H, Ar-H), 7.69 (dd, J = 1.8, 0.9 Hz, 1H, Ar-H), 7.47–7.42 (m, 2H, Ar-H), 7.40–7.34 (m, 3H, Ar-H), 6.94 (s, 1H, Ar-H). 13C-NMR δ: 157.3 (C), 153.7 (C), 131.3 (C), 130.0 (C), 129.1 (CH), 129.0 (CH), 127.2 (CH), 125.2 (CH), 123.6 (CH), 116.1 (C), 112.7 (CH), 100.7 (CH). LRMS (EI) m/z: 272 ([M]+, 100%), 193 (10%), 165 (50%), 139 (21%), 115 (6%), 82 (18%), 63 (7%).
3.2.13. 2-Phenylbanzofuran-5-carbonitrile (13n)
Colorless needles (86.6 mg, 79%). mp 143–145 °C (from hexane). 1H-NMR δ: 7.91 (d, J = 0.9 Hz, 1H, Ar-H), 7.87–7.84 (m, 2H, Ar-H), 7.59 (d, J = 8.2 Hz, 1H, Ar-H), 7.55 (dd, J = 8.2, 1.4 Hz, 1H, Ar-H), 7.50–7.46 (m, 2H, Ar-H), 7.43–7.39 (m, 1H, Ar-H), 7.05 (d, J = 0.9 Hz, 1H, Ar-H). 13C-NMR δ: 158.4 (C), 156.5 (C), 130.0 (C), 129.7 (CH), 129.3 (C), 129.1 (CH), 128.0 (CH), 125.8 (CH), 125.3 (CH), 119.6 (C), 112.4 (CH), 106.9 (C), 100.8 (CH). LRMS (EI) m/z: 219 ([M]+, 100%), 190 (36%), 164 (7%), 110 (7%), 82 (20%). FTIR (KBr): 2226, 1792, 1541, 826, 419 cm−1.
3.3. Crystal Structure Determination
Single crystals were obtained from dichloromethane/hexane. A suitable crystal was selected on a XtaLAB Synergy, Dualflex, HyPix diffractometer (Rigaku, Tokyo, Japan). The crystal was kept at 100 K during data collection. Using Olex2 [44], the structure was solved with the ShelXT [45] structure solution program using Intrinsic Phasing and refined with the ShelXL [46] refinement package using Least Squares minimisation.
Crystal Data for 2c
C21H21F2Sb (M = 433.13 g/mol): monoclinic, space group C2/c (No. 15), a = 26.6218(3) Å, b = 10.43710(10) Å, c = 21.8927(2) Å, β = 113.3610(10)°, V = 5584.33(10) Å3, Z = 12, T = 100 K, μ(CuKα) = 11.904 mm−1, Dcalc = 1.546 g/cm3, 36,807 reflections measured (7.234° ≤ 2Θ ≤ 153.916°), 5816 unique (Rint = 0.0305, Rsigma = 0.0193) which were used in all calculations. The final R1 was 0.0179 (I > 2σ(I)) and wR2 was 0.0458 (all data). CCDC #2036952.
4. Conclusions
Pd-catalyzed regioselective C–H arylation of benzofurans with Ar3SbF2 proceeded under aerobic conditions to afford 2-arylbenzofuran derivatives. The reaction of Ar3SbF2 bearing various functional groups afforded the corresponding coupling products under mild conditions, with the exception of electron-withdrawing groups, such as nitrile, on the phenyl ring. Furthermore, the reaction of 5-substituted benzofurans with Ph3SbF2 also proceeded smoothly. X-ray crystallography of p-Tol3SbF2 revealed that antimony is the central atom of a trigonal bipyramidal structure, and intramolecular hydrogen bonds of the C–H∙∙∙F type exist between the fluorines and the hydrogens at the ortho positions on the phenyl rings. Detailed mechanistic studies of this cross-coupling and the reactions of Ar3SbF2 with other coupling partners are underway.
Supplementary Materials
The following are available online, Figures S1–S13: 1H-NMR and 13C-NMR spectra of the products. Cif files are also provided as supplementary.
Author Contributions
All authors contributed to the writing and gave approval to the final version of the manuscript. Y.K. and S.Y. designed chemical synthesis, analyzed results, and wrote the manuscript. Y.K., Y.M. and M.I. performed chemical synthesis experiments. M.M. performed single-crystal X-ray diffraction analysis and wrote the manuscript. All authors have read and agreed to the published version of the manuscript.
Funding
This research was supported by Nagai Memorial Research Scholarship from the Pharmaceutical Society of Japan (Y.K.), and JSPS KAKENHI (Grant Number JP19K07005, S.Y.).
Conflicts of Interest
The authors declare no conflict of interest.
Sample Availability
Samples of the organoantimony compounds are available from the authors.
References and Note
- Miao, Y.; Hu, Y.; Yang, J.; Liu, T.; Sun, J.; Wang, X. Natural source, bioactivity and synthesis of benzofuran derivatives. RSC Adv. 2019, 9, 27510–27540. [Google Scholar] [CrossRef]
- Heravi, M.M.; Zadsirjan, V.; Hamidi, H.; Amiri, P.H.T. Total synthesis of natural products containing benzofuran rings. RSC Adv. 2017, 7, 24470–24521. [Google Scholar] [CrossRef]
- Xu, Z.; Zhao, S.; Lv, Z.; Feng, L.; Wang, Y.; Zhang, F.; Bai, L.; Deng, J. Benzofuran derivatives and their anti-tubercular, anti-bacterial activities. Eur. J. Med. Chem. 2019, 162, 266–276. [Google Scholar] [CrossRef] [PubMed]
- Goyal, D.; Kaur, A.; Goyal, B. Benzofuran and indole: Promising scaffolds for drug development in alzheimer’s disease. ChemMedChem 2018, 13, 1275–1299. [Google Scholar] [CrossRef] [PubMed]
- Hiremathad, A.; Patil, M.R.; Chethana, R.K.; Chand, K.; Santos, M.A.; Keri, R.S. Benzofuran: An emerging scaffold for antimicrobial agents. RSC Adv. 2015, 5, 96809–96828. [Google Scholar] [CrossRef]
- Tsuji, H.; Nakamura, E. Design and functions of semiconducting fused polycyclic furans for optoelectronic applications. Acc. Chem. Res. 2017, 50, 396–406. [Google Scholar] [CrossRef] [PubMed]
- Chand, K.; Rajeshwari; Hiremathad, A.; Singh, M.; Santos, M.A.; Keri, R.S. A review on antioxidant potential of bioactive heterocycle benzofuran: Natural and synthetic derivatives. Pharmacol. Rep. 2017, 69, 281–295. [Google Scholar] [CrossRef]
- Hilditch, A.; Prior, H.M.; Drew, G.M. Further investigations into the mechanism of the antihypertensive activity of the angiotensin AT1 receptor antagonist, GR138950. Br. J. Pharmacol. 1996, 118, 711–719. [Google Scholar] [CrossRef]
- Forhead, A.J.; Whybrew, K.; Hughes, P.; Pipkin, F.B.; Sutherland, M.; Fowden, A.L. Comparison of angiotensin II type 1 receptor blockade and angiotensin-converting enzyme inhibition in pregnant sheep during late gestation. Br. J. Pharmacol. 1996, 119, 393–401. [Google Scholar] [CrossRef]
- Kapche, G.D.W.F.; Amadou, D.; Waffo-Teguo, P.; Donfack, J.H.; Fozing, C.D.; Harakat, D.; Tchana, A.N.; Mérillon, J.M.; Moundipa, P.F.; Ngadjui, B.T.; et al. Hepatoprotective and antioxidant arylbenzofurans and flavonoids from the twigs of morus mesozygia. Planta Med. 2011, 77, 1044–1047. [Google Scholar] [CrossRef]
- Salomé, C.; Narbonne, V.; Ribeiro, N.; Thuaud, F.; Serova, M.; de Gramont, A.; Faivre, S.; Raymond, E.; Désaubry, L. Benzofuran derivatives as a novel class of inhibitors of mTOR signaling. Eur. J. Med. Chem. 2014, 74, 41–49. [Google Scholar] [CrossRef] [PubMed]
- Pu, W.; Yuan, Y.; Lu, D.; Wang, X.; Liu, H.; Wang, C.; Wang, F.; Zhang, G. 2-Phenylbenzo[b]furans: Synthesis and promoting activity on estrogen biosynthesis. Bioorg. Med. Chem. Lett. 2016, 26, 5497–5500. [Google Scholar] [CrossRef] [PubMed]
- Bheeter, C.B.; Chen, L.; Soulé, J.-F.; Doucet, H. Regioselectivity in palladium-catalysed direct arylation of 5-membered ring heteroaromatics. Catal. Sci. Technol. 2016, 6, 2005–2049. [Google Scholar] [CrossRef]
- Choy, P.Y.; Wong, S.M.; Kapdi, A.; Kwong, F.Y. Recent developments in palladium-catalysed non-directed coupling of (hetero)arene C–H bonds with C–Z (Z = B, Si, Sn, S, N, C, H) bonds in bi(hetero)aryl synthesis. Org. Chem. Front. 2018, 5, 288–321. [Google Scholar] [CrossRef]
- Ohta, A.; Akita, Y.; Ohkuwa, T.; Chiba, M.; Fukunaga, R.; Miyafuji, A.; Nakata, T.; Tani, N.; Aoyagi, Y. Palladium-catalyze arylation of furan, thiophene, benzo[b]furan and benzo[b]thiophene. Heterocycles 1990, 31, 1951–1958. [Google Scholar] [CrossRef]
- Nandurkar, N.S.; Bhanushali, M.J.; Bhor, M.D.; Bhanage, B.M. Palladium bis(2,2,6,6-tetramethyl-3,5-heptanedionate): An efficient catalyst for regioselective C-2 arylation of heterocycles. Tetrahedron Lett. 2008, 49, 1045–1048. [Google Scholar] [CrossRef]
- Yanagisawa, S.; Itami, K. Palladium/2,2′-bipyridyl/Ag2CO3 catalyst for C–H bond arylation of heteroarenes with haloarenes. Tetrahedron 2011, 67, 4425–4430. [Google Scholar] [CrossRef]
- Dao-Huy, T.; Haider, M.; Glatz, F.; Schnürch, M.; Mihovilovic, M.D. Direct arylation of benzo[b]furan and other benzo-fused heterocycles. Eur. J. Org. Chem. 2014, 2014, 8119–8125. [Google Scholar] [CrossRef]
- Yin, S.-C.; Zhou, Q.; Zhao, X.-Y.; Shao, L.-X. N-heterocyclic carbene-palladium(II)-1-methylimdazole complex catalyzed direct C–H bond arylation of benzo[b]furans with aryl chlorides. J. Org. Chem. 2015, 80, 8916–8921. [Google Scholar] [CrossRef]
- Xu, Z.; Xu, Y.; Lu, H.; Yang, T.; Lin, X.; Shao, L.; Ren, F. Efficient and C2-selective arylation of indoles, benzofurans, and benzothiophenes with iodobenzenes in water at room temperature. Tetrahedron 2015, 71, 2616–2621. [Google Scholar] [CrossRef]
- Yang, S.-D.; Sun, C.-L.; Fang, Z.; Li, B.-J.; Li, Y.-Z.; Shi, Z.-J. Palladium-Catalyzed Direct Arylation of (Hetero)Arenes with Aryl Boronic Acids. Angew. Chem. Int. Ed. 2008, 47, 1473–1476. [Google Scholar] [CrossRef] [PubMed]
- Wang, Z.; Li, Y.; Yan, B.; Huang, M.; Wu, Y. Palladium-catalyzed phosphine-free direct C–H arylation of benzothiophenes and benzofurans involving MIDA boronates. Synlett 2015, 26, 531–536. [Google Scholar] [CrossRef]
- Biajoli, A.F.P.; da Penha, E.T.; Correia, C.R.D. Palladium catalysed regioselective arylation of indoles, benzofuran and benzothiophene with aryldiazonium salts. RSC Adv. 2012, 2, 11930–11935. [Google Scholar] [CrossRef][Green Version]
- Loukotova, L.; Yuan, K.; Doucet, H. Regiocontroled Palladium-Catalysed Direct Arylation at Carbon C2 of Benzofurans using Benzenesulfonyl Chlorides as the Coupling Partners. ChemCatChem 2014, 6, 1303–1309. [Google Scholar] [CrossRef]
- Li, H.; Roisnel, T.; Soulé, J.-F.; Doucet, H. Regiocontrolled palladium-catalyzed direct C2-arylations of Methoxalen using benzenesulfonyl chlorides and C2,C3-diarylations using aryl bromides as the aryl sources. Tetrahedron Lett. 2020, 61, 151342. [Google Scholar] [CrossRef]
- Tang, D.-T.D.; Collins, K.D.; Ernst, J.B.; Glorius, F. Pd/C as a catalyst for completely regioselective C–H functionalization of thiophenes under mild conditions. Angew. Chem. Int. Ed. 2014, 53, 1809–1813. [Google Scholar] [CrossRef]
- Cano, R.; Pérez, J.M.; Ramón, D.J.; McGlacken, G.P. Impregnated palladium on magnetite as catalyst for direct arylation of heterocycles. Tetrahedron 2016, 72, 1043–1050. [Google Scholar] [CrossRef]
- Duan, L.; Fu, R.; Zhang, B.; Shi, W.; Chen, S.; Wan, Y. An efficient reusable mesoporous solid-based Pd catalyst for selective C2 arylation of indoles in water. ACS Catal. 2016, 6, 1062–1074. [Google Scholar] [CrossRef]
- Cao, J.; Chen, Z.-L.; Li, S.-M.; Zhu, G.-F.; Yang, Y.-Y.; Wang, C.; Chen, W.-Z.; Wang, J.-T.; Zhang, J.-Q.; Tang, L. Palladium-catalyzed regioselective C-2 arylation of benzofurans with N′-acyl arylhydrazines. Eur. J. Org. Chem. 2018, 2774–2779. [Google Scholar] [CrossRef]
- Gushchin, A.V.; Moiseev, D.V.; Dodonov, V.A. Catalytic C-phenylation of methyl acrylate with triphenylantimony(v) dicarboxylates. Russ. Chem. Bull. Int. Ed. 2001, 50, 1291–1294. [Google Scholar] [CrossRef]
- Moiseev, D.V.; Gushchin, A.V.; Shavirin, A.S.; Kursky, Y.A.; Dodonov, V.A. Pd-catalyzed C-arylation of unsaturated compounds with pentavalent triarylantimony dicarboxylates. J. Organomet. Chem. 2003, 667, 176–184. [Google Scholar] [CrossRef]
- Moiseev, D.V.; Morugova, V.A.; Gushchin, A.V.; Shavirin, A.S.; Kursky, Y.A.; Dodonov, V.A. Tetraphenylantimony carboxylates in the cascade Pd-catalyzed C-phenylation reaction of methyl acrylate in the presence of peroxide. J. Organomet. Chem. 2004, 689, 731–737. [Google Scholar] [CrossRef]
- Kang, S.-K.; Ryu, H.-C.; Lee, S.-W. Preparation of triarylantimony(V) diacetates and palladium-catalyzed cross-coupling and carbonylative cross-coupling of triarylantimony(V) diacetates and dichlorides with organostannanes. J. Organomet. Chem. 2000, 610, 38–41. [Google Scholar] [CrossRef]
- Kang, S.-K.; Ryu, H.-C.; Hong, Y.-T. Pd(0)–Cu(I)-catalyzed cross-coupling of alkynylsilanes with triarylantimony(V) diacetates. J. Chem. Soc. Perkin Trans. 2001, 1, 736–739. [Google Scholar] [CrossRef]
- Yasuike, S.; Qin, W.; Sugawara, Y.; Kurita, J. Suzuki-type cross-coupling reaction of pentavalent triarylantimony diacetates with arylboronic acids without a base. Tetrahedron Lett. 2007, 48, 721–724. [Google Scholar] [CrossRef]
- Qin, W.; Yasuike, S.; Kakusawa, N.; Sugawara, Y.; Kawahata, M.; Yamaguchi, K.; Kurita, J. Triarylantimony dicarboxylates as pseudo-halides for palladium-catalyzed cross-coupling reaction with arylboronic acids and triarylbismuthanes without any base. J. Organomet. Chem. 2008, 693, 109–116. [Google Scholar] [CrossRef]
- Wang, X.; Qin, W.; Kakusawa, N.; Yasuike, S.; Kurita, J. Copper- and base-free Sonogashira-type cross-coupling reaction of triarylantimony dicarboxylates with terminal alkynes under an aerobic condition. Tetrahedron Lett. 2009, 50, 6293–6297. [Google Scholar] [CrossRef]
- Kitamura, Y.; Murata, Y.; Oguri, A.; Matsumura, M.; Kakusawa, N.; Naka, H.; Yasuike, S. Pd-Catalyzed β-Selective C−H Arylation of Thiophenes with Triarylantimony Difluorides. Asian J. Org. Chem. 2019, 8, 138–143. [Google Scholar] [CrossRef]
- Hara, T.; Nakano, S.; Kitamura, Y.; Yamamoto, C.; Yasuike, S.; Kaji, T. Intracellular accumulation-independent cytotoxicity of pentavalent organoantimony compounds in cultured vascular endothelial cells. J. Toxic. Sci. 2019, 44, 845–848. [Google Scholar] [CrossRef] As note: Ar3SbF2 does not exhibit cytotoxicity at 25 µM and less in cultured vascular endothelial cells. Ph3SbF2 was undetectable within the cells even after treatment at 10 µM for 24 h. The cells are a cell type that cover the luminal surface of blood vessels in a monolayer and directly contact with blood. The concentration of 25 µM and more is virtually impossible conditions as the blood concentration in human.
- Kitamura, Y.; Matsumura, M.; Murata, Y.; Yamada, M.; Kakusawa, N.; Tanaka, M.; Okabe, H.; Naka, H.; Obata, T.; Yasuike, S. A versatile synthesis of triarylantimony difluorides by fluorination of triarylstibanes with nitrosyl tetrafluoroborate and their antitumor activity. J. Fluor. Chem. 2017, 199, 1–6. [Google Scholar] [CrossRef]
- Emsley, J. The Elements, 3rd ed.; Oxford University Press: New York, NY, USA, 1997. [Google Scholar]
- Dániel, L.; Ádám, M.; Zoltán, N.; Gergely, L.T. Catalytic activation of trimethylsilylacetylenes: A one-pot route to unsymmetrical acetylenes and heterocycles. J. Org. Chem. 2018, 83, 8281–8291. [Google Scholar]
- Bosiak, M.J. A convenient synthesis of 2-arylbenzo[b]furan from aryl halides and 2-halophenols by catalytic one-pot cascade method. ACS Catal. 2016, 6, 2429–2434. [Google Scholar] [CrossRef]
- Dolomanov, O.V.; Bourhis, L.J.; Gildea, R.J.; Howard, J.A.K.; Puschmann, H. The program OLEX2 provides tools for the determination, visualization and analysis of molecular crystal structures. J. Appl. Cryst. 2009, 42, 339–341. [Google Scholar] [CrossRef]
- Sheldrick, G.M. SHELXT—Integrated space-group and crystal-structure determination. Acta Cryst. 2015, A71, 3–8. [Google Scholar] [CrossRef] [PubMed]
- Sheldrick, G.M. Crystal structure refinement with SHELXL. Acta Cryst. 2015, C71, 3–8. [Google Scholar]
Publisher’s Note: MDPI stays neutral with regard to jurisdictional claims in published maps and institutional affiliations. |
© 2020 by the authors. Licensee MDPI, Basel, Switzerland. This article is an open access article distributed under the terms and conditions of the Creative Commons Attribution (CC BY) license (http://creativecommons.org/licenses/by/4.0/).




















