Next Article in Journal
Kinetic Studies on Radical Scavenging Activity of Kaempferol Decreased by Sn(II) Binding
Next Article in Special Issue
Flexibility and Preorganization of Fluorescent Nucleobase-Pyrene Conjugates Control DNA and RNA Recognition
Previous Article in Journal
Tailoring the Properties of Thermo-Compressed Polylactide Films for Food Packaging Applications by Individual and Combined Additions of Lactic Acid Oligomer and Halloysite Nanotubes
Previous Article in Special Issue
Comparison of Molecular Recognition of Trimethyllysine and Trimethylthialysine by Epigenetic Reader Proteins
 
 
Font Type:
Arial Georgia Verdana
Font Size:
Aa Aa Aa
Line Spacing:
Column Width:
Background:
Article

In the Mists of a Fungal Metabolite: An Unexpected Reaction of 2,4,5-Trimethoxyphenylglyoxylic Acid

1
Martin-Luther-University Halle-Wittenberg, Organic Chemistry, Kurt-Mothes-Str. 2, D-06120 Halle (Saale), Germany
2
Otto von Guericke Universität Magdeburg, Chemisches Institut, Universitätsplatz 2, D-39106 Magdeburg, Germany
*
Author to whom correspondence should be addressed.
Molecules 2020, 25(8), 1978; https://doi.org/10.3390/molecules25081978
Submission received: 13 March 2020 / Revised: 9 April 2020 / Accepted: 21 April 2020 / Published: 23 April 2020

Abstract

The reactions of phenylglyoxylic acids during the synthesis and biological evaluation of fungal metabolites led to the discovery of hitherto unknown compounds with a p-quinone methide (p-QM) structure. The formation of these p-QMs using 13C-labelled starting materials revealed a key-step of this reaction being a retro-Friedel–Crafts alkylation.

Graphical Abstract

1. Introduction

While the secondary metabolites of plants have been studied very intensively, the metabolites formed in fungi and especially of lichens came only recently in the focus of increased scientific interest [1,2,3]. Furthermore, structures similar to 1,3,8-trihydroxy-6-methyl-anthracene-9,10-dione (Figure 1, emodine) or 1,8-dihydroxy-3-methyl-anthracene-9,10-dione (chrysophanol) from fungi have also been isolated from lichens [4,5,6]. Many of these compounds are cytotoxic. For example, the latter compound blocks the proliferation of colon cancer cells by inhibiting the EGFR/mTor pathway [7,8,9]. Some compounds are similar to “-rubicin” anticancer agents, such as daunorubicin or doxorubicin [4,5,6].
p-Quinone methides (p-QMs) are highly reactive compounds possessing a broad range of different biologic activities [10]. They have also been discussed as the major decomposition products of catechol estrogen-o-quinones [11,12,13]. They are well known intermediates in the biosynthesis of natural products. Their high reactivity and potential has also been exploited in the total synthesis of some natural products such as the flavonoids rugaurone A–C [14] cherylline [15] and 20-deoxy-elansolid B1 [16]. Furthermore, the reactions of p-QMs have extensively been studied to generate compounds of pharmaceutical interest [17,18,19,20] and quite recently they were used as starting materials for an organo-catalytic asymmetric α-alkylation of aldehydes [21].
During our research on metabolites from fungi and lichens we came across the chemical properties and reactions of phenylglyoxylic acids [22]. Thereby, we encountered several unexpected and unprecedented reactions yielding 3,3-diaryl substituted benzofuranones which undergo retro-Friedel–Crafts alkylation in hydrochloric acid forming the p-QM structure. These molecules are similar to 3,3-diaryloxoindoles and 3,3-substituted oxoindoles that have lately been studied quite extensively yielding pharmacological interesting molecules [23,24,25,26,27,28]; they are also known intermediates from isatines and a prominent motif in natural product products, as for example in azonazine [29]. In contrast to isatines, benzofuran-2,3-diones are widely overlooked [28,30]. This was another reason to provide an access to this rare structural motif.

2. Results and Discussion

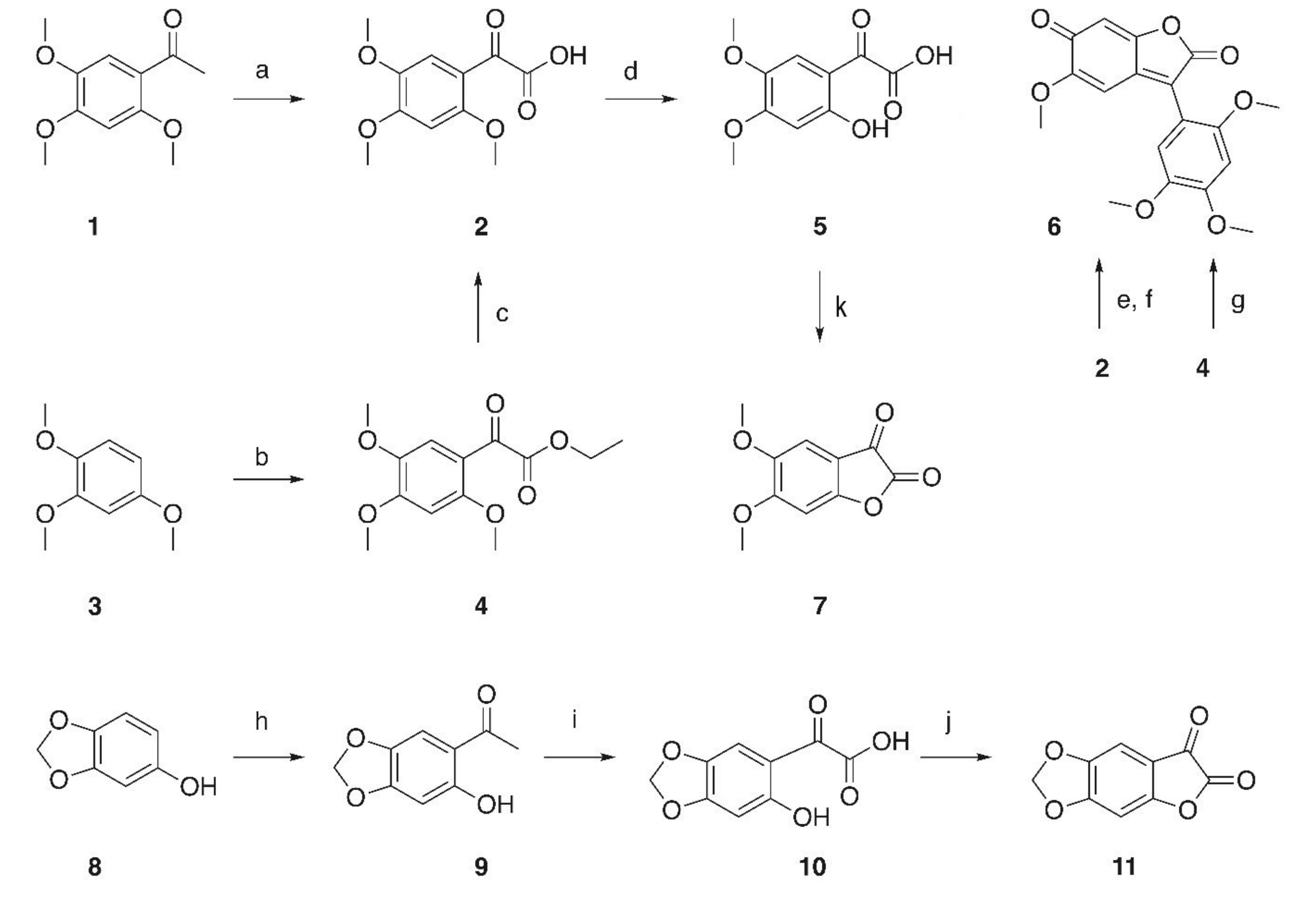
Oxidation of 2,4,5-trimethoxy-acetophenone (1, Scheme 1) with SeO2 [31] gave 2,4,5-trimethoxyphenylglyoxylic acid (2); this compound has previously been isolated from the fungus Polyporus tumulosus Cooke [22,32]. As an alternative, a Friedel–Crafts acylation of 2,4,5-trimethoxybenzene (3) in the presence of TiCl4 gave a 94% yield of ester 4 [33,34,35] whose hydrolysis with methanolic KOH for 2 h resulted in an almost quantitative yield of 2. Partial deprotection of the methoxy-groups with AlCl3 of 2 yielded 5 albeit in low yields, while demethylation with either hydrobromic or hydrochloric acid yielded 6, a red colored solid in almost quantitative yield. A major issue in these reactions is the instability of the α-keto-acids that are readily decarboxylated [22,36]. These findings parallel previous reports for trimethoxy-substituted aromatic compounds [36]. Furthermore, α-keto acids were used for the synthesis of oxadiazolopyrazines—selective antibacterial agents against Haemophilus influenzae [37]. Attempts to cyclize 5 under a variety of different conditions invariably led to the formation of 6 in moderate to excellent yields. The formation of 7 was only observed to a rather minor extend by ESI–MS.
Friedel–Crafts acylation of sesamol (8) with acetic anhydride/BF3 gave 9 [38,39,40,41] in 66% isolated yield whose oxidation with SeO2 in pyridine yielded 10. Treatment of 10 with oxalyl chloride in DCM in the presence of DMF gave a moderate yield of 11 but—interestingly enough - no red-colored by-products (being analogous to 6) were observed during these reactions.
To gain a deeper insight in the structure and formation of 6, 13C-labeling experiments were called for. Thus, trimethoxybenzene (3) was allowed to react with 13C-labeled acetylchloride (Scheme 2) in the presence of TiCl4 and a 97% yield of 13C-labeled 1 (12) was obtained. From its SeO2 oxidation compound 13C-labeled 2 (13) was obtained in 53% yield.
To elucidate the structure of 6, a combination of different analytical techniques had to be applied. An ESI/MS of 6 in MeOH showed a m/z = 345 [M + H]+ corresponding to a molecular composition of C18H16O7 and indicating a “condensation reaction” of 2 having taken place. The 1H-NMR spectra showed the presence of four methoxy groups between δ = 3.81 and 3.97 ppm and four aromatic hydrogens between δ = 6.06 and 7.26 ppm, respectively. The material obtained from the 13C-labeled starting material showed only one labeled carbon in the product as indicated by ESI–MS m/z = 346 for [M + H]+.
Reaction of 2 with AlCl3 or 13 with hydrochloric acid at low temperatures, however, gave access to an intermediate 15 (from 13); upon warming this reaction mixture, 15 could not be detected any longer but 6 (from 2) or 14 (from 13) was formed. For compound 15, different temperatures (−50, −30, 27 and 40 °C) were applied (Figure 2) and the 1H-NMR spectroscopy revealed a change in the spectra. At room temperature (Figure 2, cyan) an extensive line broadening of one of the methoxy groups (δ = 3.62 ppm) was observed. In addition, extensive line broadening was seen in the aromatic region. Integration of the signals suggested the presence of seven methoxy groups. Temperature dependent NMR spectroscopy revealed that the line broadening observed at room temperature is due to the presence of a rotational barrier. Furthermore, the NMR spectra of 15 strongly depend on the used solvent (Figure 3). For example, the aromatic protons in 15 are severely shifted to lower field upon using deuterated toluene as the solvent probably due to an aromatic solvent induced shift behavior. An ESI–MS of 15 showed a quasimolecular ion [M + H]+ m/z = 513 corresponding well to the proposed structure. NMR spectra of the products are depicted in the Supplementary File.
As 6 crystallizes readily from ethyl acetate, crystals suitable for a single crystal X ray analysis could be obtained. The crystal structure of the black orthorhombic prisms (space group P212121) is consistent with the NMR data comprising C18H16O7 molecules. The molecular structure is depicted in Figure 4.
The bond lengths within the benzofurane-derived bicyclic system (C1–C8, O2) cover a wide range of 133.2(3)–150.1(4) pm. C1–C2 (147.4(4) pm), C3–C4 (144.0(4) pm), C3–C8 (142.8(4) pm), C5–C6 (145.8(4) pm), C6-C7 (150.1(4) pm), C1–O2 (140.6(3) pm) and C4–O2 (138.2(3) pm) can be described as single bonds, while C2–C3 (136.0(3) pm), C4–C5 (133.2(3) pm) and C7–C8 (134.2(3) pm) have double bond character. The interconnection between the two ring systems, C2–C10, is a single bond at 147.0(4) pm. The C–C separations within the benzene ring (C10–C15) are in a typical narrow range of 137.3(4)–141.1(3) pm. The molecule is not strictly planar as the two ring systems are twisted around the C2–C10 vector about 41.0(1)°. In the crystal, the molecules are stacked together to a one-dimensional supramolecular array by π interactions (Figure 5), with the closest intermolecular contacts being C13∙∙∙O2 (342.2(4) pm) and C8∙∙∙C15 (344.7(4) pm). The distances between the ring centroids are 356.81(3) pm ((C1–C4, O2)∙∙∙(C10–C15)) and 369.58(3) pm ((C3–C8)∙∙∙(C10–C15)), respectively.
While the reaction of 2 with trifluoroacetic acid (TFA) in dry DCM did not lead to the formation of 6 and with conc. sulfuric or phosphoric acid only low yields (<10%) were observed, the reaction of 2 with HBr (48%) gave 42% of 6 and with conc. HCl (37%) an 56% yield was observed. Reaction of 2 with 37% HCl in the presence of 5 equivalents 1,2,4-trimethoxybenzene finally led to a 96% yield of 6. From these observations as well as from the 13C-labeling experiments (vide supra), a tentative mechanism for this reaction was deduced (as depicted in Scheme 3). In the course of the reaction of 2 with TFA in dry DCM an intermediate 16a was observed. ESI-MS experiments showed the presence of a quasimolecular ions m/z = 211.1 ([M + 2Na]2+) and m/z = 791.2 ([2M + K]+) corresponding to M = 376. Subsequently from 16a intermediate 16b is formed; the latter compound was detected in ESI–MS spectra showing m/z = 549.13 ([M + Na]+) and 1074.73 ([2M + Na]+). Friedel–Crafts reactions are known to be reversible [42,43,44,45,46,47,48] and compound 6 is very insoluble in the reaction mixture thus explaining the very high yield of 6 in these reactions. Previously, a retro Friedel–Crafts alkylation was used to access a fungal pigment from Peniophora sanguinea Bres [13].
To verify these assumptions, to a solution of 6 in dry 2M HCl (in ethyl acetate) 3 was added in 10-fold excess and within several hours of stirring at room temperature, the reaction mixture turned from black to slightly red. ESI–MS investigations of this reaction mixture showed the formation of 15 (m/z = 513, [M + H]+).
Treatment of 6 with Zn/HCl led to the formation of 17. To have a first insight into the scope of this reaction (Scheme 4), 2 was allowed to react with anisole or BOC-aniline in the presence of hydrochloric acid and products 18 and 19 were obtained, respectively. Benzoylation of 19 gave 20. Interestingly enough, reaction of 2 with benzene in the presence of hydrochloric acid furnished a 18% yield of 21.

3. Materials and Methods

NMR spectra were recorded using the Varian spectrometers (Varian GmbH, Darmstadt, Germany) Gemini 2000 or Unity 500 (δ given in ppm, J in Hz; typical experiments: APT, H–H-COSY, HMBC, HSQC, NOESY), MS spectra were taken on a Finnigan MAT LCQ 7000 (electrospray, voltage 4.1 kV, sheath gas nitrogen) instrument. TLC was performed on silica gel (Merck 5554, detection with cerium molybdate reagent); melting points are uncorrected (Leica hot stage microscope, Leica GmbH, Wetzlar, Germany) and elemental analyses were performed on a Foss-Heraeus Vario EL (CHNS, Elementar analysensysteme GmbH, Langenselbold, Germany) unit. IR spectra were recorded on a Perkin Elmer (Perkin Elmer Deutschland, Berlin, Germany) FT-IR spectrometer Spectrum 1000 or on a Perkin-Elmer Spectrum Two (UATR Two Unit). The solvents were dried according to usual procedures. Crystallographic Data were deposited at the Cambridge Crystallographic Data Center with the depository number CCDC 1569146. The data are available free of charge at www.ccdc.cam.ac.uk/products/csd upon request.

4. Experimental

4.1. 2,4,5-Trimethoxyphenylglyoxylic Acid (2)

From1. A suspension of 2,4,5-trimethoxybenzene (1, 840 mg, 4.00 mmol) and selenium dioxide (800 mg, 7.21 mmol) in pyridine (5 mL) was stirred for 4 h at 80 °C. The mixture was poured into NaOH (100 mL, 0.05 m) and extracted with EtOAc (3 × 50 mL). The aqueous phase was acidified with 2 m hydrochloric acid and extracted with EtOAc (3 × 50 mL). The combined organic extracts were washed with brine, dried (MgSO4), the solvent was evaporated and the residue re-crystallized from EtOAc to yield 2 (550 mg, 57%) as a yellow solid.
From4. To a solution of 4 (1.0 g, 3.73 mmol) in methanol (50 mL), powdered KOH (1.5 g, 26.7 mmol) was added and the mixture was stirred for 2 h. Water (100 mL) was added and the aqueous phase was extracted with chloroform (3 × 70 mL). The combined organic phases were dried (MgSO4) and the solvent was removed to afford 2 (886 mg, 99%) as a yellow solid; an analytical sample showed m.p. 182–185 °C (lit.:[49] 186 °C); RF = 0.35 (SiO2, CHCl3/MeOH; 2:1); IR (KBr): ν = 3432br, 1736s, 1610s, 1517s, 1480m, 1423w, 1384w, 1288s, 1288s, 1230s, 1190m, 1142s, 1018s cm−1; UV-Vis (MeOH): λmax (log ε) = 237 (4.22), 279 (4.09), 341 (4.01) nm; 1H-NMR (400 MHz, DMSO-d6): δ = 7.22 (s, 1H, 8-H), 6.82 (s, 1H, 5-H), 3.92 (s, 3H, 9-H), 3.84 (s, 3H, 10-H), 3.76 (s, 3H, 11-H) ppm; 13C-NMR (100 MHz, DMSO-d6): δ = 186.0 (C-2), 167.6 (C-1), 157.2 (C-6), 156.4 (C-4), 143.7 (C-7), 113.1 (C-3), 110.2 (C-8), 98.1 (C-5), 57.1 (C-10), 56.2 (C-9), 55.8 (C-11) ppm; MS (ESI, MeOH): m/z (%) = 238.9 ([M − H], 100), 478.8 ([2M − H], 8), 501.0 ([2M − 2H + Na], 3); analysis calcd for C11H12O6 (240.21): C 55.00, H 5.04; found: C 54.79, H 5.18.

4.2. 2,4,5-Trimethoxyphenyl-glyoxylic Acid Ethyl-ester (4)

To a solution of 1,2,4-trimethoxybenzene (3, 5.0 g, 29.7 mmol) in DCM (200 mL) at −20 °C, TiCl4 (3.6 mL, 32.8 mmol) was added followed by slowly adding ethyl chlorooxoacetate (3.5 mL, 31.3 mmol) and the mixture was stirred for 2 h. Aqueous work-up (2M HCl) followed by extraction with chloroform (3 × 100 mL) and column chromatography (SiO2, hexanes/CHCl3, 1:1) gave 4 (7.48 g, 94%) as pale yellow crystalline solid; m.p. 89–91 °C (lit.:[50] 89.5 °C); RF = 0.78 (SiO2, hexanes/CHCl3); IR (ATR): ν = 3004w, 2991w, 2943w, 2908w, 2840w, 1732m, 1633m, 1599s, 1581m, 1513s, 1482m, 1461m, 1450m, 1440m, 1418m, 1390w, 1371m, 1298s, 1268s, 1259s, 1228s, 1218s, 1191s, 1179s, 1141vs, 1112m, 1038m, 1021s, 1007s, 954m, 862m, 816m, 805m, 770m, 765m, 743m, 710m, 655m cm−1; UV-Vis (methanol): λmax (logε) 237 (3.52), 281 (3.40), 346 (3.34) nm;1H-NMR (400 MHz, CDCl3) δ = 7.38 (s, 1H, 2′-H), 6.46 (s, 1H, 5′-H), 4.36 (q, J = 7.1 Hz, 2H, EtCH2), 3.95 (s, 3H, OMe(6′)), 3.87 (s, 3H, OMe(3′)), 3.84 (s, 3H, OMe(4′)), 1.38 (t, J = 7.1 Hz, 3H, EtCH3) ppm; 13C-NMR (101 MHz, CDCl3) δ = 184.8 (C-2), 166.1 (C-1), 157.3 (C-4‘), 156.5 (C-6‘), 144.2 (C-3‘), 114.2 (C-1‘), 111.0 (C-2‘), 96.5 (C-5‘), 61.6 (C-EtCH2), 56.9 (OMe(C4‘)), 56.3 (OMe(C3‘)), 56.3 (OMe(C2‘)), 14.1 (CEtCH3) ppm; MS (ESI, MeOH): m/z (%) = 269.1 ([M + H]+, 100); analysis calcd for C13H16O6 (268.26): C 58.20, H 6.01; found: C 57.95, H 6.22.

4.3. 2-Hydroxy-4,5-dimethoxyphenyl-glyoxylic Acid (5)

A solution of AlCl3 (166 mg, 1.25 mmol) and 2 (150 mg, 0.62 mmol) in DCM (5 mL) was heated for 3 h under microwave irradiation at 50 °C. Usual aqueous work-up (aq. HCl, 80 mL, 0.125 m) followed by extraction (ethyl acetate, 2 × 50 mL) and re-crystallization from chloroform gave 5 (17 mg, 13%) as yellow solid; m.p. 163–165 °C (lit:[22] 142–144 °C); RF = 0.25 (SiO2, CHCl3/MeOH 2:1); IR (KBr): ν = 3150br, 1713s, 1573s, 1526s, 1482m, 1400m, 1352w, 1308m, 1267s, 1240m, 1205s, 1181m, 1165s, 1035m cm−1; UV-Vis (MeOH): λmax (log ε = 238 (4.07), 283 (3.99), 344 (3.93) nm; 1H-NMR (400 MHz, DMSO-d6): δ = 7.24 (s, 1H, 8-H), 6.61 (s, 1H, 5-H), 3.78 (s, 3H, 10-H), 3.74 (s, 3H, 9-H) ppm; 13C-NMR (101 MHz, DMSO-d6): δ = 185.6 (C-2), 167.8 (C-1), 157.1 (C-6), 155.4 (C-4), 142.8 (C-7), 112.3 (C-3), 111.2 (C-8), 100.7 (C-5), 56.6 (C-10), 56.0 (C-9) ppm; MS (ESI, MeOH): m/z (%) = 224.9 ([M − H], 100), 472.9 ([2M − 2H + Na], 16); analysis calcd for C10H10O6 (226.18): C 53.10, H 4.46; found: C 52.96, H 4.60.

4.4. 5-Methoxy-3-(2,4,5-trimethoxyphenyl)benzofuran-2,6-dione (6)

Method A. Compound 2 (250 mg, 1.04 mmol) was suspended in conc. hydrochloric acid (25 mL) and the mixture was heated to 40 °C for 3 h, diluted with water (25 mL) and extracted with chloroform (3 × 25 mL). The organic extracts were dried (MgSO4), the solvent was removed and the remaining residue was subjected to column chromatography (SiO2, CHCl3/MeOH 9:1) to afford 6 (199 mg, 56%) as a dark red solid.
Method B. Compound 2 (200 mg, 0.83 mmol) and 1,2,4-trimethoxybenzene (0.62 mL, 4.16 mmol) were suspended in conc. hydrochloric acid (25 mL) and the mixture was heated to 40 °C for 4 h, diluted with water (25 mL) and extracted with chloroform (3 × 25 mL). The organic extracts were dried (MgSO4), the solvent was removed and the remaining residue was subjected to column chromatography (SiO2, CHCl3/MeOH 9:1) to afford 6 (274 mg, 96%) as a dark red solid.
Method C. Compound 4 (1.0 g, 3.73 mmol) was suspended in hydrochloric acid (50 mL) and heated to 40 °C for 4 h; workup as described above gave 6 (636 mg, 49%) as dark red solid; m.p. 238–239 °C; RF = 0.68 (SiO2, CHCl3/MeOH 9:1); IR (ATR): ν = 2958w, 2941w, 2841w, 1772s, 1735w, 1643s, 1610m, 1588vs, 1559s, 1527m, 1517m, 1506m, 1461s, 1454s, 1437m, 1416m, 1388m, 1350s, 1316w, 1274s, 1234vs, 1223s, 1209vs, 1192s, 1180vs, 1167vs, 1134s, 1052w, 1040m, 1023s, 1001s, 985s, 934s, 864s, 854s, 844s, 822m, 814m, 778m, 774m, 766m 701m, 696m, 669m cm−1, UV–Vis (MeOH): λmax (log ε = 311 (3.31), 357 (3.08), 498 (3.00) nm; 1H-NMR (400 MHz, CDCl3): δ = 7.09 (s, 1H, 6′-H), 6.61 (s, 1H, 3′-H), 6.36 (s, 1H, 4-H), 6.06 (s, 1H, 7-H), 3.97 (s, 3H, OMe(4′)), 3.88 (s, 3H, OMe(5′), 3.87 (s, 3H, OMe(2′)), 3.82 (s, 3H, OMe(5)) ppm; 13C NMR (101 MHz, CDCl3): δ = 181.3 (C-6), 167.4 (C-2), 160.5 (C-7a), 153.82 (C-2′), 152.78 (C-4′), 152.74 (C-5), 143.74 (C-5′), 138.80 (C-3a), 125.59 (C-3), 114.3 (C-6′), 109.3 (C-1′), 104.2 (C-7), 100.7 (C-4), 97.6 (C-3′), 56.8 + 56.6 (OMe(2′) + OMe (5′)), 56.3 (OMe(4′)), 56.3 (OMe(5)) ppm; MS (ESI, MeOH): m/z (%) = 345.2 ([M + H]+, 100); analysis calcd for C18H16O7 (344.32): C 62.79, H 4.68; found: C 62.55, H 4.83.

4.5. 1-(6-Hydroxybenzo[d][1,3]dioxol-5-yl)ethan-1-one (9)

To a suspension of sesamol (8, 5.52 g, 40.00 mmol) in acetic anhydride (20 mL, 0.21 mol) at 0 °C BF3∙OEt2 (10 mL, 81.03 mmol) was added and the reaction mixture was heated at 85 °C for 1 h. An aqueous solution of sodium acetate sol. (satd., 40 mL) was added and the mixture was extracted with diethylether (3 × 50 mL). The combined organic layers were washed with sat. NaHCO3 sol. (4 × 100 mL), water (3 × 100 mL), brine (1 × 100 mL) and dried (MgSO4). The solvent was removed and recrystallization from ethanol gave 9 (4.74 g, 66%) as an off-white solid; m.p. 111–113 °C (lit.:[51] 114 °C); RF = 0.81 (SiO2, CHCl3/MeOH, 9:1); C; IR (KBr): ν = 3446br, 2919m, 1633s, 1485s, 1425s, 1366m, 1322s, 1257s, 1182s, 1118m, 1037s, 958m, 924s, 856m, 844m, 787m, 773m, 540m cm−1; UV–Vis (CHCl3): λmax (log ε) = 241 (4.16), 278 (3.86), 349 (3.92) nm; 1H-NMR (400 MHz, CDCl3): δ = 7.04 (s, 1H, 6-H), 6.43 (s, 1H, 3-H), 5.97 (s, 2H, 7-H), 2.51 (s, 3H, 9-H) ppm; 13C NMR (100 MHz, CDCl3): δ = 202.0 (C-8), 162.2 (C-2), 154.5 (C-4), 140.6 (C-5), 112.4 (C-1), 107.3 (C-6), 102.0 (C-7), 98.8 (C-3), 26.6 (C-9) ppm; MS (ESI, MeOH): m/z (%) = 181.1 ([M + H]+, 100); analysis calcd for C9H8O4 (344.32): C 62.79, H 4.68; found: C 62.57, H 4.90.

4.6. 2-(6-Hydroxybenzo[d][1,3]dioxol-5-yl)-2-oxoacetic Acid (10)

Compound 9 (2.5 g, 13.88 mmol) and selenium dioxide (3.08 g, 27.75 mmol) were suspended in dry pyridine (45 mL) and stirred at 80 °C for 20 h. Aqueous work-up (400 mL, 1 m), followed by extraction with EtOAc (8 × 100 mL) and evaporation of the solvent gave 10 as a brownish solid (1.96 g, 67%). An analytical sample was obtained by re-dissolving 10 in EtOAc (100 mL), washing with NaOH (100 mL, 0.2 m), separation of the phases, acidification of the aqueous phase with HCl (2 m, 2.5 mL) followed by extraction with EtOAc (2 × 50 mL). The combined organic extracts were washed with brine, dried (MgSO4) and the solvent was removed at room temperature to yield analytically pure 10 (1.27 g, 44%) as an orange solid; m.p. 138–141 °C; RF = 0.22 (SiO2, CHCl3/MeOH, 4:1); IR (KBr): ν = 3422br, 3284m, 2925w, 1765m, 1734w, 1616m, 1593m, 1481m, 1416m, 1376w, 1289m, 1237s, 1176m, 1102w, 1038m cm−1; UV–vis (MeOH): λmax (log ε) = 246 (4.04), 286 (3.80), 358 (8.87) nm; 1H-NMR (400 MHz, DMSO-d6): δ = 7.08 (s,1H, 8-H), 6.53 (s, 1H, 5-H), 6.08 (s, 2H, 9-H) ppm; 13C-NMR (101 MHz, DMSO-d6): δ = 187.9 (C-2), 167,4 (C-1), 159.8 (C-4), 155.3 (C-6), 141.7 (C-7), 111.7 (C-3), 106.6 (C-8), 102.8 (C-9), 98.3 (C-5) ppm; MS (ESI, MeOH): m/z (%) = 209.0 ([M − H], 100), 441.0 ([2M-H + Na], 3); analysis calcd for C9H6O6 (210.14): C 51.44, H 2.88; found: C 51.32, H 3.03.

4.7. [1,3]Dioxolo[4,5-f]benzofuran-6,7-dione (11)

A solution of 10 (4.25 g, 22.12 mmol) was suspended in dry DCM (200 mL) and at 0 °C oxalyl chloride (1.9 mL, 22.00 mmol) and dry DMF (200 µL) were added. The reaction mixture was stirred at r.t. for 14 h. The volatiles were removed under reduced pressure, the residue is re-dissolved in dry THF (50 mL) and evaporated to dryness. Column chromatography (SiO2, DCM) gave 11 (1.55 g, 36%) as slightly orange solid; m.p. 203–205 °C; RF = 0.69 (SiO2, DCM); IR (KBr): v = 3446br, 1818w, 1765m, 1716m, 1616s, 1480s, 1415m, 1299s, 1233s, 1176m, 1095m, 1037m cm–1; UV–vis (CHCl3): λmax (log ε = 260 (3.82), 310 (3.56), 414 (3.33) nm; 1H-NMR (500 MHz, DMSO-d6): δ = 7.24 (s, 1H, 4-H), 7.14 (s, 1H, 7-H), 6.23 (s, 2H, 9-H) ppm; 13C-NMR (126 MHz, DMSO-d6): δ = 174.9 (C-2), 161.8 (C-8), 157.3 (C-1), 156.9 (C-6), 145.2 (C-5), 112.5 (C-3), 103.4 (C-9), 102.7 (C-4), 95.6 (C-7) ppm; MS (ESI, MeOH): m/z (%) = 225.0 ([M + H + MeOH]+, 68), 247.1 ([M + Na + MeOH]+, 100), 356.0 ([3(M + MeOH) + K + H]2+, 18), 467.7 ([4(M + MeOH) + K + H]2+, 30); analysis calcd for C9H4O5 (192.13): C 56.26, H 2.10; found: C 55.97, H 2.27.

4.8. 1-(2,4,5-Trimethoxyphenyl)ethan-1-one-1-13C (12)

To a solution of 1,2,4-trimethoxybenzene (3, 2.0 g, 11.9 mmol) in DCM (50 mL) at −20 °C TiCl4 (1.44 mL, 13.1 mmol) was added followed by adding dropwise 13C-acetylchloride (0.93 mL, 13 mmol). The resulting mixture was stirred for 2 h, poured into 2M hydrochloric acid and extracted with chloroform (3 × 50 mL). The combined organic extracts were washed with brine and dried (MgSO4). Evaporation followed by column chromatography gave 12 (2.4 g, 95%) as a pale yellow crystalline solid.; m.p. 189–192 °C; RF = 0.25 (SiO2, hexanes/ethyl acetate, 1:1); 1H-NMR (400 MHz, CDCl3): δ = 7.42 (d, J = 4.2 Hz, 1H, 6-H), 6.50 (d, J = 1.6 Hz, 1H, 3-H), 3.94 (s, 3H, OMe), 3.91 (s, 3H, OMe), 3.87 (s, 3H, OMe), 2.59 (d, J = 6.2 Hz, 3H, 2′-H) ppm; 13C-NMR (101 MHz, CDCl3): δ = 197.2 (C-1′), 155.6 (d, J = 2.2 Hz, C-4), 153.9 (C-2), 143.0 (d, J = 4.0 Hz, C-5), 119.2 (d, J = 54.5 Hz, C-1), 112.54 (d, J = 1.5 Hz, C-6), 96.42 (d, J = 3.4 Hz, C-3), 56.3 (OMe), 56.1 (OMe), 56.1 (OMe), 32.03 (d, J = 42.7 Hz, C-2′); MS (ESI): m/z (%) = 212.37 ([M + H]+, 100).

4.9. 2-Oxo-2-(2,4,5-trimethoxyphenyl)acetic-2-13C Acid (13)

A suspension of 12 (2.0 g, 9.47 mmol) and selenium dioxide (2.0 g, 18 mmol) in pyridine (20 mL) was stirred for 4 h at 80 °C. Work-up as described above followed by re-crystallization from EtOAc gave 13 (1.20 g, 53%) as yellow solid; m.p. 163–165 °C; RF = 0.35 (SiO2, CHCl3/MeOH, 2:1); 1H-NMR (400 MHz, DMSO-d6): δ = 7.22 (d, J = 4.2 Hz, 1H, 6-H), 6.82 (d, J = 1.8 Hz, 1H, 3-H), 3.92 (s, 3H, OMe), 3.84 (s, 3H, OMe), 3.76 (s, 3H, OMe) ppm; 13C-NMR (101 MHz, DMSO-d6): δ = 186.5 (C-2′), 168.1 (d, J = 74.3 Hz, C-1′), 157.7 (d, J = 2.0 Hz, C-2), 156.9 (d, J = 0.8 Hz, C-4), 144.2 (d, J = 4.3 Hz, C-5), 113.6 (d, J = 59.5 Hz, C-1), 110.6 (d, J = 1.7 Hz, C-6), 98.6 (d, J = 3.0 Hz, C-3), 57.6 (OMe), 56.7 (OMe), 56.3 (OMe) ppm; MS (ESI, MeOH): m/z (%) = 239.8 ([M − H], 100).

4.10. 6-Hydroxy-5-methoxy-3,3-bis(2,4,5-trimethoxyphenyl)benzofuran-2(3H)-one-3-13C (15)

A suspension of 13 (200 mg, 0.83 mmol) in conc. hydrochloric acid (25 mL) was stirred 0 °C for 2 h. The reaction mixture was neutralized with an aqueous sat. soln. of NaHCO3 and extracted with chloroform (3 × 25 mL). The organic extracts were dried (MgSO4), the solvent was removed under diminished pressure and the remaining residue was subjected to column chromatography (SiO2, CHCl3/MeOH, 9:1) to afford 15 as a slightly yellow solid (13 mg, 3%); m.p. 103–105 °C; RF = 0.66 (SiO2, CHCl3/MeOH, 9:1); 1H-NMR (500 MHz, toluene-d8): δ = 7.17–6.83 (m, 2H, 2 × 6′-H), 7.01 (s, 1H, 7-H), 6.70 (d, J = 2.6 Hz, 1H, 4-H 6.28 (s, 2H, 2 × 2′-H), 3.49 – 3.38 (m, 6H, 2 × OMe(2′)), 3.40 (s, 6H, 2 × OMe(5′)), 3.30 (s, 6H, 2 × OMe(4′)), 3.06 (s, 3H, OMe(5)) ppm; 13C-NMR (126 MHz, toluene-d8): δ = 175.91 (d, J = 52.5 Hz, C-2), 148.13 (C-2′), 146.40 (C-4′), 142.8 (C-5), 142.8(C-5′), 137.10 (C-7a), 124.4 (d, J = 57.3 Hz, C-1′), 122.72 (d, J = 45.6 Hz, C-3b), 108.80 (d, J = 1.7 Hz, C-4), 99.8 (C-3′), 97.80 (C-7), 57.41 (C-3), 56.58 (OMe(2′)), 55.65 (OMe(5′)), 55.55 (OMe(4′)), 55.34 (OMe(5)) ppm; MS (ESI, MeOH): m/z (%) = 512.1 ([M − H], 100), 536.1 ([M + Na]+, 100), 782.0 ([3M + Na + H]2+, 33), 791.1 ([3M + K + H]2+, 26).

4.11. 6-Hydroxy-5-methoxy-3-(2,4,5-trimethoxyphenyl)benzofuran-2(3H)-one (17)

Compound 6 (250 mg, 0.73 mmol) was suspended in hydrochloric acid (25 mL) and zinc (250 mg, 3.82 mmol) was added at 0 °C. The reaction was stirred for 4 h at room temperature, diluted with water (20 mL) and extracted with EtOAc (3 × 50mL). The combined organic extracts were washed with brine and dried (MgSO4). Purification by column chromatography (SiO2, hexanes/CHCl3, 1:1) gave 17 (112 mg, 43%) as slightly yellow solid; m.p. 143–147 °C; RF = 0.32 (SiO2, hexanes/CHCl3, 1:1); 1H-NMR (500 MHz, CDCl3): δ = 6.78 (s, 1H, 7-H), 6.68 (s, 1H, 6′-H), 6.56–6.53 (m, 2H, 4-H + 3′-H), 5.78 (s, 1H, OH), 4.86 (s, 1H, 3-H3), 3.88 (s, 3H, OMe(4′)), 3.82 (s, 3H, OMe(2′)), 3.79 (s, 3H, OMe(5)), 3.70 (s, 3H, OMe(5′)) ppm; 13C-NMR (126 MHz, CDCl3): δ = 176.57 (C-2), 151.72 (C-2′), 149.96 (C-4′), 148.03 (C-7a), 146.24 (C-6), 143.61 (C-5), 143.36 (C-5′), 118.20 (C-3a), 116.33(C-1′), 114.11 (C-6‘), 106.85 (C-4), 98.63 (C-3‘), 98.44 (C-7), 56.83 (OMe(5′)), 56.79 (OMe(2′)), 56.62 (OMe(5)), 56.18 (OMe(4′)), 46.19 (C-3) ppm; MS (ESI, MeOH): m/z (%) = 345.6 ([M − H], 100); analysis calcd for C18H18O7 (346.33): C 62.44, H 5.24; found: C 62.26, H 4.98.

4.12. 5-Methoxy-3-(2-methoxyphenyl)benzofuran-2,6-dione (18)

Compound 2 (240 mg, 1.0 mmol) and anisole (440 mg, 4 mmol) were suspended in hydrochloric acid (25 mL) and the mixture was stirred for 4 h at 40 °C, diluted with water (10 mL), extracted with CHCl3 (3 × 25 mL). The combined organic extracts were washed with brine, dried (MgSO4), the solvent was evaporated and the residue re-crystallized from EtOAc to yield 18 (211 mg, 74%) as a red crystalline solid; m.p. 194–196 °C; RF = 0.54 (SiO2, CHCl3); 1H-NMR (500 MHz, CDCl3): δ = 7.52–7.45 (m, 2H, 6′-H + 4‘-H), 7.11 (td, J = 7.6, 1.0 Hz, 1H, 5′-H), 7.05 (dd, J = 8.3, 1.0 Hz, 1H, 3′-H), 6.27 (s, 1H, 4-H), 6.09 (s, 1H, 7-H), 3.89 (s, 3H, OMe(2′)), 3.82 (s, 3H, OMe(5)) ppm; 13C-NMR (126 MHz CDCl3): δ = 181.29 (C6), 160.53 (C2), 157.38 (C2′), 154.42 (C5), 140.69 (C7a), 132.40 (C4‘), 131.67 (C6‘), 126.18 (C3a), 121.29 (C5‘), 117.65 (C1′), 111.88 (C3‘), 104.49 (C7), 99.83 (C4), 56.41 (OMe(2′)), 55.77 (OMe(5′)) ppm; MS (ESI, MeOH): m/z (%) = 285.4 ([M + H]+, 100), 307.3 ([M + Na]+, 38); analysis calcd for C16H12O5 (284.26): C 67.60, H 4.26; found: C 67.41, H 4.39.

4.13. 3-(4-Aminophenyl)-5-methoxybenzofuran-2,6-dione (19)

To a suspension of 2 (500 mg, 2.08 mmol) in hydrochloric acid (25 mL) Boc-aniline (781 mg, 4 mmol) was added and the mixture was stirred for 4 h at 40 °C. Usual aqueous workup followed by column chromatography (SiO2, CHCl3/MeOH, 95:5) and recrystallization from EtOAc gave 19 (243 mg, 43%) as black crystalline solid; m.p. 243–246 °C; RF = 0.14 (SiO2, CHCl3); IR (ATR): ν = 3456w, 3331m, 3219w, 1780m, 1662m, 1643m, 1628m, 1600s, 1575s, 1551s, 1515s, 1506m, 1470w, 1445m, 1439m, 1415s, 1355m, 1331m, 1227s, 1181s, 1157s, 995m, 945m, 850m, 840s, 832s, 821m, 789m, 773m, 687m, 679m, 602m cm−1; UV–Vis (MeOH): λmax (log ε) 251 (3.67), 317 (3.80), 507 (3.92) nm; 1H-NMR (500 MHz, DMSO-d6): δ = 7.71 (d, J = 8.7 Hz, 2H, 2′-H), 6.75 (s, 1H, 4-H), 6.72 (d, J = 8.8 Hz, 1H, 3′-H), 6.26 (s, 2H, NH), 6.12 (s, 1H, 7-H), 3.85 (s, 3H, OMe) ppm; 13C NMR (126 MHz, DMSO-d6): δ = 179.71 (C-6), 167.28 (C-2), 159.86 (C-7a), 153.98 (C-5), 152.18(C-3), 131.58 (C-2′), 130.82 (C-3a), 126.93 (C-1′), 116.23 (C-4′), 114.06 (C-3′), 103.10 (C-7), 99.84 (C-4), 56.03 (OMe) ppm; MS (ESI, MeOH): m/z (%) = 270.2 ([M + H]+, 100), 292.0 ([M + Na]+, 14), 302.1 ([M + H + MeOH]+, 20), 423.5 ([3M + Ca]2+, 18), 560.8 ([2M + Na]+, 90); analysis calcd for C15H11NO4 (269.25): C 66.91, H 4.12, N 5.20; found: C 66.72, H 4.34, N 5.02.

4.14. N-(4-(5-Methoxy-2,6-dioxo-2,6-dihydrobenzofuran-3-yl)phenyl)benzamide (20)

To a solution of 19 (200 mg, 0.74 mmol) in DCM (50 mL) and triethylamine (0.11 mL, 0.8 mmol) at 0 °C benzoylchloride (0.93 mL, 0.8 mmol) was added and the reaction was stirred for 6 h. Usual aqueous workup followed by column chromatography (SiO2, CHCl3/MeOH, 9:1) gave 20 (191 mg, 69%) as a red solid; m.p. 259–264 °C; RF = 0.11 (SiO2, CHCl3); IR (ATR): ν = 3377w, 3021w, 2973w, 2934w, 1811w, 1782m, 1749w, 1669m, 1629s, 1587s, 1572s, 1512s, 1489s, 1452m, 1421m, 1408s, 1351m, 1321s, 1303m, 1250s, 1232s, 1181s, 1158s, 1124m, 1105m, 1079w, 1066w, 1020w, 991m, 934m, 904m, 854m, 847s, 837s, 827s, 799m, 789m, 720s, 699m, 690m, 669m, 625s, 610s, 546s cm−1; UV–Vis (methanol): λmax (log ε) = 229 (3.89), 307 (3.97), 452 (3.92) nm; 1H-NMR (500 MHz, pyridine-d5): δ = 11.36 (s, 1H, NH), 8.37–8.32 (m, 2H, 2 × 2′-H), 8.27–8.21 (m, 2H, 2 × 2′’-H), 8.09–8.05 (m, 2H, 2 × 3′-H), 7.50–7.46 (m, 1H, 4′’-H), 7.45–7.38 (m, 2H, 2 × 3′’-H), 6.71 (s, 1H, 4-H), 6.32 (s, 1H, 7-H), 3.77 (s, 3H, OMe) ppm; 13C-NMR (126 MHz, pyridine-d5): δ = 180.98 (C-6), 167.90 (C=O), 167.75 (C-2), 160.91(C-7a), 156.36 (C-5), 143.12 (C-4′), 138.18 (C-3a), 136.42 (C-1′’), 132.47 (C-4′’), 131.38 (2x C-2′), 129.19 (2x C-3′’), 128.86 (2 × C-2′’), 127.09 (C-3), 125.27 (C-1′), 121.63 (2 × C-3′), 105.16 (C-7), 99.25 (C-4), 56.70 (OMe) ppm; MS (ESI, MeOH): m/z (%) = 374.20 ([M + H]+, 46), 396.07 ([M + Na]+, 18), 406.0 ([M + MeOH + H]+, 100), 428.1 ([M + MeOH + Na]+, 32), 766.7 ([2M + Na]+, 55), 800.7 ([2M + MeOH + Na]+, 70), 832.9 ([2M + 2MeOH + Na]+, 64); analysis calcd for C22H15NO5 (373.36): C 70.77, H 4.05, N 3.75; found: C 70.51, H 4.35, N 3.52.

4.15. 6-Hydroxy-5-methoxy-3-phenyl-3-(2,4,5-trimethoxyphenyl)benzofuran-2(3H)-one (21)

To a solution of 2 (240 mg, 1.0 mmol) and benzene (45 µL, 0.5 mmol) hydrochloric acid (25 mL) was added and the mixture was stirred for 2 h. Usual aqueous work-up followed by column chromatography (SiO2, hexanes/CHCl3, 1:1) gave 21 (74 mg, 18%) as a pale yellow crystalline solid; m.p. 112–117 °C; RF = 0.63 (SiO2, CHCl3); IR (KBr): ν = 3432br, 3081w, 3062w, 3008w, 2961w, 2941w, 2842w, 1763w, 1638s, 1586s, 1527m, 1516m, 1461m, 1427w, 1382w, 1412m, 1388m, 1348s, 1322w, 1233s, 1190s, 1140m, 1043m, 991m, 936m, 852s, 824m, 781m, 689m cm−1; UV-Vis (MeOH): λmax (log ε) = 239 (3.05), 284 (3.01), 331 (3.37) nm1H NMR (500 MHz, CDCl3): δ = 7.45 (d, J = 8.0 Hz, 2H, 2′’Ha + 2′’-Hb), 7.38–7.31 (m, 3H, 3”-Ha + 3′’-Hb + 4′’-H), 6.81 (s, 1H, 7-H), 6.54 (s, 1H, 4-H), 6.50 (s, 1H, 3′-H), 6.41 (s, 1H, 6′-H), 5.85 (s, 1H, OH), 3.86 (s, 3H, OMe(2′)), 3.81 (s, 3H, OMe(5)), 3.62 (s, 3H, OMe(5′)), 3.61 (s, 3H, OMe(4′)) ppm; 13C NMR (126 MHz, CDCl3): δ = 178.27 (C-2), 151.58 (C-2′), 149.83 (C-4), 147.79 (C-7a), 146.46 (C-6), 143.63 (C-5), 143.13 (C-5′), 138.09 (C-1′’), 129.27 (2 × C-2′’), 128.53 (2 × C-3′’), 128.32 (C-4′’), 123.36 (C-1′), 120.65 (C-3b), 114.05 (C-6′), 108.18 (C-4), 99.07 (C-3′), 98.57 (C-7), 57.96 (C-3), 56.9 (OMe(4′)), 56.9 (OMe(5′)), 56.8 (OMe(5)), 56.2 (OMe(2′)) ppm; MS (ESI): m/z (%) = 421.2 ([M − H], 100); analysis calcd for C24H22O7 (422.43): C 68.24, H 5.25; found: C 68.10, H 5.37.

5. Conclusions

The reaction 2 in the presence of hydrochloric acid led to the formation of the highly substituted p-QM 6. The putative mechanism of this reaction was deduced from 13C-NMR labeling experiments as well by the ESI-MS identification of several intermediates. The mechanism for the formation of 6 includes the equilibrium between a Friedel–Crafts alkylation and a retro Friedel–Crafts alkylation.

Supplementary Materials

The following are available online: NMR spectra of compounds (1H and 13C (APT)-NMR).

Author Contributions

I.S., S.S. and R.C. conceived and designed the experiments; I.S., A.L. and S.S. performed the experiments; D.S. performed the NMR measurements; P.L. analyzed the crystal structure; I.S. and R.C. analyzed the data and wrote the paper. All authors have read and agreed to the published version of the manuscript.

Funding

This research was funded by ScienceCampus Halle (W21010249).

Acknowledgments

We like to thank the late R. Kluge for the ESI-MS spectra and the NMR team for numerous NMR spectra. The UV-Vis and the IR spectra were recorded by V. Simon. Elemental analyses were performed by S. Ludwig.

Conflicts of Interest

The authors declare no conflict of interest.

References

  1. Huneck, S. The significance of lichens and their metabolites. Naturwissenschaften 1999, 86, 559–570. [Google Scholar] [CrossRef] [PubMed]
  2. Molnar, K.; Farkas, E. Current Results on Biological Activities of Lichen Secondary Metabolites: A Review. Z. Naturforsch. C 2010, 65, 157–173. [Google Scholar] [CrossRef] [PubMed]
  3. Shukla, V.; Joshi, G.P.; Rawat, M.S.M. Lichens as a potential natural source of bioactive compounds: A review. Phytochem. Rev. 2010, 9, 303–314. [Google Scholar] [CrossRef]
  4. Koyama, M.; Kelly, T.R.; Watanabe, K.A. Novel Type of Potential Anticancer Agents - Derived from Chrysophanol and Emodin - Some Structure Activity Relationship Studies. J. Med. Chem. 1988, 31, 283–284. [Google Scholar] [CrossRef] [PubMed]
  5. Koyama, M.; Takahashi, K.; Chou, T.C.; Darzynkiewicz, Z.; Kapuscinski, J.; Kelly, T.R.; Watanabe, K.A. Intercalating Agents with Covalent Bond Forming Capability—a Novel Type of Potential Anticancer Agents.2. Derivatives of Chrysophanol and Emodin. J. Med. Chem. 1989, 32, 1594–1599. [Google Scholar] [CrossRef] [PubMed]
  6. Wang, W.F.; Bai, Z.D.; Zhang, F.S.; Wang, C.H.; Yuan, Y.F.; Shao, J.W. Synthesis and biological activity, evaluation of emodin quaternary ammonium salt derivatives as potential anticancer agents. Eur. J. Med. Chem. 2012, 56, 320–331. [Google Scholar] [CrossRef]
  7. Sreelakshmi, V.; Raj, N.; Abraham, A. Evaluation of the Drug-like Properties of Kaempferol, Chrysophanol and Emodin and their Interactions with EGFR Tyrosine Kinase—An in silico Approach. Nat. Prod. Commun. 2017, 12, 915–920. [Google Scholar] [CrossRef]
  8. Deitersen, J.; El-Kashef, D.H.; Proksch, P.; Stork, B. Anthraquinones and autophagy—Three rings to rule them all? Bioorgan. Med. Chem. 2019, 27, 115042. [Google Scholar] [CrossRef]
  9. Kamil, M.; Haque, E.; Mir, S.S.; Irfan, S.; Hasan, A.; Sheikh, S.; Alam, S.; Ansari, K.M.; Nazir, A. Hydroxyl Group Difference between Anthraquinone Derivatives Regulate Different Cell Death Pathways via Nucleo-Cytoplasmic Shuttling of p53. Anti-Cancer Agent Me 2019, 19, 184–193. [Google Scholar] [CrossRef]
  10. Thompson, D.C.; Thompson, J.A.; Sugumaran, M.; Moldeus, P. Biological and Toxicological Consequences of Quinone Methide Formation. Chem.-Biol. Interact. 1993, 86, 129–162. [Google Scholar] [CrossRef]
  11. Bolton, J.L.; Shen, L. p-Quinone methides are the major decomposition products of catechol estrogen o-quinones. Carcinogenesis 1996, 17, 925–929. [Google Scholar] [CrossRef][Green Version]
  12. Pina, I.C.; Sanders, M.L.; Crews, P. Puupehenone congeners from an indo-pacific Hyrtios sponge. J. Nat. Prod. 2003, 66, 2–6. [Google Scholar] [CrossRef] [PubMed]
  13. Gripenberg, J. Fungus Pigments.16. Pigments of Peniophora Sanguinea Bres. Acta Chem. Scand. 1965, 19, 2242–2243. [Google Scholar] [CrossRef][Green Version]
  14. Sum, T.J.; Sum, T.H.; Galloway, W.R.J.D.; Spring, D.R. Divergent Total Syntheses of Flavonoid Natural Products Isolated from Rosa rugosa and Citrus unshiu. Synlett 2016, 27, 1725–1727. [Google Scholar]
  15. Hart, D.J.; Cain, P.A.; Evans, D.A. Approaches to Synthesis of Masked Para-Quinone Methides—Applications to Total Synthesis of (+/-)-Cherylline. J. Am. Chem. Soc. 1978, 100, 1548–1557. [Google Scholar] [CrossRef]
  16. Wang, L.L.; Candito, D.; Drager, G.; Herrmann, J.; Muller, R.; Kirschning, A. Harnessing a p-Quinone Methide Intermediate in the Biomimetic Total Synthesis of the Highly Active Antibiotic 20-Deoxy-Elansolid B1. Chem. Eur. J. 2017, 23, 5291–5298. [Google Scholar] [CrossRef]
  17. Mei, G.J.; Xu, S.L.; Zheng, W.Q.; Bian, C.Y.; Shi, F. [4+2] Cyclization of para-Quinone Methide Derivatives with Alkynes. J. Org. Chem. 2018, 83, 1414–1421. [Google Scholar] [CrossRef]
  18. Parra, A.; Tortosa, M. para-Quinone Methide: A New Player in Asymmetric Catalysis. Chemcatchem 2015, 7, 1524–1526. [Google Scholar] [CrossRef]
  19. Yang, C.; Gao, S.; Yao, H.Q.; Lin, A. Rhodium-Catalyzed Hydroacylation of para-Quinone Methides with Salicylaldehydes: An Approach to alpha,alpha-Diaryl-2-Hydroxy Acetophenones. J. Org. Chem. 2016, 81, 11956–11964. [Google Scholar] [CrossRef]
  20. Zhang, Z.P.; Dong, N.; Li, X. Bismuth-catalyzed allylation of para-quinone methides. Chem. Commun. 2017, 53, 1301–1304. [Google Scholar] [CrossRef]
  21. Caruana, L.; Kniep, F.; Johansen, T.K.; Poulsen, P.H.; Jorgensen, K.A. A New Organocatalytic Concept for Asymmetric alpha-Alkylation of Aldehydes. J. Am. Chem. Soc. 2014, 136, 15929–15932. [Google Scholar] [CrossRef] [PubMed]
  22. Ralph, B.J.; Robertson, A. The Chemistry of Fungi.14. 2-4-5-Trihydroxyphenylglyoxylic Acid from Polyporus Tumulosus Cooke. J. Chem. Soc. 1950, 3380–3383. [Google Scholar] [CrossRef]
  23. Gasonoo, M.; Klumpp, D.A. Synthesis of functionalized 2-oxindoles by Friedel-Crafts reactions. Tetrahedron Lett. 2015, 56, 4737–4739. [Google Scholar] [CrossRef]
  24. Kinthada, L.K.; Ghosh, S.; Babu, K.N.; Sharique, M.; Biswas, S.; Bisai, A. Friedel-Crafts alkylations of electron-rich aromatics with 3-hydroxy-2-oxindoles: Scope and limitations. Org. Biomol. Chem. 2014, 12, 8152–8173. [Google Scholar] [CrossRef]
  25. Kleeblatt, D.; Cordes, C.A.; Lebrenz, P.; Hein, M.; Feist, H.; Matin, A.; Raza, R.; Iqbal, J.; Munshi, O.; Rahman, Q.; et al. Synthesis and antiproliferative activity of N-glycosyl-3,3-diaryloxindoles. RSC Adv. 2014, 4, 22828–22839. [Google Scholar] [CrossRef]
  26. Klumpp, D.A.; Yeung, K.Y.; Prakash, G.K.S.; Olah, G.A. Preparation of 3,3-diaryloxindoles by superacid-induced condensations of isatins and aromatics with a combinatorial approach. J. Org. Chem. 1998, 63, 4481–4484. [Google Scholar] [CrossRef]
  27. Liu, T.; Lai, Y.H.; Yu, Y.Q.; Xu, D.Z. A facile and efficient procedure for one-pot four-component synthesis of polysubstituted spiro pyrano[2¨C-c]pyrazole and spiro 1,4-dihydropyridine catalyzed by a Dabco-based ionic liquid under mild conditions. New J. Chem. 2018, 42, 1046–1051. [Google Scholar] [CrossRef]
  28. Liu, Q.; Li, S.; Chen, X.Y.; Rissanen, K.; Enders, D. Asymmetric Synthesis of Spiro-oxindole-epsilon-lactones through N-Heterocyclic Carbene Catalysis. Org. Lett. 2018, 20, 3622–3626. [Google Scholar] [CrossRef]
  29. Wu, Q.X.; Crews, M.S.; Draskovic, M.; Sohn, J.; Johnson, T.A.; Tenney, K.; Valeriote, F.A.; Yao, X.J.; Bjeldanes, L.F.; Crews, P. Azonazine, a Novel Dipeptide from a Hawaiian Marine Sediment-Derived Fungus, Aspergillus insulicola. Org. Lett. 2010, 12, 4458–4461. [Google Scholar] [CrossRef]
  30. Jha, O.P. Synthesis of Abutic Acid (5,6-Dimethoxycoumarone-2,3-Dicarboxylic Acid). Indian J. Chem. 1973, 11, 989–990. [Google Scholar]
  31. Zhuang, J.; Wang, C.Q.; Xie, F.; Zhang, W.B. One-pot efficient synthesis of aryl alpha-keto esters from aryl-ketones. Tetrahedron 2009, 65, 9797–9800. [Google Scholar] [CrossRef]
  32. Crowden, R.K. Biosynthesis of Polyphenolic Acid Metabolites of Polyporus Tumulosus Cooke. Can. J. Microbiol. 1967, 13, 181–197. [Google Scholar] [CrossRef] [PubMed]
  33. Davis, A.L.; Ravel, J.M.; Skinner, C.G.; Shive, W. Synthesis and biological activity of some diamino acid analogs. Arch. Biochem. Biophys. 1958, 76, 139–147. [Google Scholar] [CrossRef]
  34. Hargreaves, K.R.; McGookin, A.; Robertson, A. Polyhydroxyphenylglyoxylic acids. J. Appl. Chem. 1958, 8, 273–285. [Google Scholar] [CrossRef]
  35. Sanchez-Viesca, F.; Flores, J.M. Synthesis of 5-(2,4,5-trimethoxyphenyl)oxazolidine-2,4-dione. Rev. Latinoam. Quim. 1978, 9, 216–218. [Google Scholar]
  36. Burkett, H.; Cassady, J.; Schultz, F. Acid-Catalyzed Decarbonylation of 2,4,6-Trimethoxybenzaldehyde Accompanying Condensation Reactions. J. Org. Chem. 1961, 26, 2072–2075. [Google Scholar] [CrossRef]
  37. Beebe, X.; Nilius, A.M.; Merta, P.J.; Soni, N.B.; Bui, M.H.; Wagner, R.; Beutel, B.A. Synthesis and SAR evaluation of oxadiazolopyrazines as selective Haemophilus influenzae antibacterial agents. Bioorg. Med. Chem. Lett. 2003, 13, 3133–3136. [Google Scholar] [CrossRef]
  38. Joussot, J.; Schoenfelder, A.; Larquetoux, L.; Nicolas, M.; Suffert, J.; Blond, G. Synthesis of 3-Substituted Chromones and Quinolones from Enaminones. Synthesis 2016, 48, 3364–3372. [Google Scholar] [CrossRef]
  39. Sui, G.; Sun, J.; Yang, L.; Zhang, W.; Zhou, K.; Zhang, B.; Li, Y.; Liu, G.; Zhou, W. Synthesis and in vitro antifungal activities of α, β-unsaturated ketones as analogues of Kakuol. Heterocycles 2017, 94, 727–741. [Google Scholar]
  40. Sum, T.H.; Sum, T.J.; Collins, S.; Galloway, W.R.J.D.; Twigg, D.G.; Hollfelder, F.; Spring, D.R. Divergent synthesis of biflavonoids yields novel inhibitors of the aggregation of amyloid β (1-42). Org. Biomol. Chem. 2017, 15, 4554–4570. [Google Scholar] [CrossRef]
  41. Sum, T.J.; Sum, T.H.; Galloway, W.R.J.D.; Twigg, D.G.; Ciardiello, J.J.; Spring, D.R. Synthesis of structurally diverse biflavonoids. Tetrahedron 2018, 74, 5089–5101. [Google Scholar] [CrossRef]
  42. Agranat, I.; Bentor, Y.; Shih, Y.S. Remarkable Reversibility in Aromatic Friedel-Crafts Acylations—Para Reversible Ortho Acyl Rearrangements of Fluorofluorenones in Polyphosphoric Acid. J. Am. Chem. Soc. 1977, 99, 7068–7070. [Google Scholar] [CrossRef]
  43. Agranat, I.; Oded, Y.N.; Mala’bi, T.; Pogodin, S.; Cohen, S. The linkage between reversible Friedel-Crafts acyl rearrangements and the Scholl reaction. Struct. Chem. 2019, 30, 1579–1610. [Google Scholar] [CrossRef]
  44. Agranat, I.; Shih, Y.; Bentor, Y. Incursion of Reversibility in Friedel-Crafts Acylations. J. Am. Chem. Soc. 1974, 96, 1259–1260. [Google Scholar] [CrossRef]
  45. Elliott, M.C.; Wordingham, S.V. Reversibility in Lewis-acid promoted reactions of N-arylcinnamamides. Synlett 2004, 5, 898–900. [Google Scholar] [CrossRef]
  46. Frangopol, M.; Genunche, A.; Negoita, N.; Frangopol, P.T.; Balaban, A.T. A Study of Reversibility of Friedel-Crafts C-Acetylations by Means of 14c-Labelling. Tetrahedron 1967, 23, 841–844. [Google Scholar] [CrossRef]
  47. Levy, L.; Pogodin, S.; Cohen, S.; Agranat, I. Reversible Friedel-Crafts acylations of phenanthrene: Rearrangements of acetylphenanthrenes. Lett. Org. Chem. 2007, 4, 314–318. [Google Scholar] [CrossRef]
  48. Mala’bi, T.; Pogodin, S.; Agranat, I. Reversible Friedel-Crafts Acylations of Anthracene: Rearrangements of Acetylanthracenes. Lett. Org. Chem. 2009, 6, 237–241. [Google Scholar] [CrossRef]
  49. Smith, L.E.; Haller, H.L. Action of acetic acid on 3,4-dimethoxyphenyldiazonium borofluoride. J. Am. Chem. Soc. 1934, 56, 237–239. [Google Scholar] [CrossRef]
  50. Guia, M.; Guerzio, M. Synthesis of coumarandiones with ethyl oxalyl chloride. Gazz. Chim. Ital. 1962, 92, 1474–1477. [Google Scholar]
  51. Romeo, A.; Bargellini, G. Flavonic compounds with the methylenedioxy group in the chromone nucleus. The mechanism of formation of o-hydroxychalcones and flavanones. Ann. Chim. 1952, 42, 361–369. [Google Scholar]
Sample Availability: Samples of all compounds are available from the authors.
Figure 1. Structure emodine, chrysophanol and daunorubicin isolated from fungi or lichens and p-quinone methide (p-QM) derived natural products rugaurones A–C and cherylline.
Figure 1. Structure emodine, chrysophanol and daunorubicin isolated from fungi or lichens and p-quinone methide (p-QM) derived natural products rugaurones A–C and cherylline.
Molecules 25 01978 g001
Scheme 1. Reactions and conditions: (a) SeO2, pyridine, 80 °C, 4 h, 57%; (b) TiCl4, ClC(=O)CO2Et, DCM, −20 °C, 2 h, 94%; (c) KOH, MeOH, H2O, r.t. 99%; (d) AlCl3, DCM, microwave, 50 °C, 3 h, 13%; (e) aq. HCl, 40 °C, 3 h, 56%; (f) 3, HCl, 40 °C, 4 h, 96%; (g) aq. HCl, 40 °C, 4 h, 49%; (h) Ac2O, BF3.Et2O, 85 °C, 1 h, 66%; (i) SeO2, pyridine, 80 °C, 20 h, 44%; (j) DCM, oxalyl chloride, DMF, r.t. 14 h, 36%; (k) DCM, oxalyl chloride, DMF, 0 °C, 2h, traces.
Scheme 1. Reactions and conditions: (a) SeO2, pyridine, 80 °C, 4 h, 57%; (b) TiCl4, ClC(=O)CO2Et, DCM, −20 °C, 2 h, 94%; (c) KOH, MeOH, H2O, r.t. 99%; (d) AlCl3, DCM, microwave, 50 °C, 3 h, 13%; (e) aq. HCl, 40 °C, 3 h, 56%; (f) 3, HCl, 40 °C, 4 h, 96%; (g) aq. HCl, 40 °C, 4 h, 49%; (h) Ac2O, BF3.Et2O, 85 °C, 1 h, 66%; (i) SeO2, pyridine, 80 °C, 20 h, 44%; (j) DCM, oxalyl chloride, DMF, r.t. 14 h, 36%; (k) DCM, oxalyl chloride, DMF, 0 °C, 2h, traces.
Molecules 25 01978 sch001
Scheme 2. Reactions and conditions: (a) AcCl, TiCl4, DCM, −20 °C, 2 h, 95%; b) SeO2, pyridine, 80 °C, 4 h, 53%; (c) aq. HCl, 0 °C, 2 h, 3%; (d) aq. HCl, Δ,2 h, 48%.
Scheme 2. Reactions and conditions: (a) AcCl, TiCl4, DCM, −20 °C, 2 h, 95%; b) SeO2, pyridine, 80 °C, 4 h, 53%; (c) aq. HCl, 0 °C, 2 h, 3%; (d) aq. HCl, Δ,2 h, 48%.
Molecules 25 01978 sch002
Figure 2. 1H-NMR Spectra of the intermediate 15; temperatures: violet, 40 °C; cyan, 27 °C; green, −30 °C; red, −50 °C.
Figure 2. 1H-NMR Spectra of the intermediate 15; temperatures: violet, 40 °C; cyan, 27 °C; green, −30 °C; red, −50 °C.
Molecules 25 01978 g002
Figure 3. NMR Spectra of the intermediate 15 in different solvents; CDCl3 (red), toluene-d8 (green), DMSO-d6 (blue) at room temperature.
Figure 3. NMR Spectra of the intermediate 15 in different solvents; CDCl3 (red), toluene-d8 (green), DMSO-d6 (blue) at room temperature.
Molecules 25 01978 g003
Figure 4. The molecular structure of compound 6 in the crystal. Displacement ellipsoids of C and O atoms drawn at the 50% probability level, H atoms as spheres of arbitrary size.
Figure 4. The molecular structure of compound 6 in the crystal. Displacement ellipsoids of C and O atoms drawn at the 50% probability level, H atoms as spheres of arbitrary size.
Molecules 25 01978 g004
Figure 5. Intermolecular π interactions in compound 6, resulting in a one-dimensional supramolecular structure extending along the crystallographic a axis.
Figure 5. Intermolecular π interactions in compound 6, resulting in a one-dimensional supramolecular structure extending along the crystallographic a axis.
Molecules 25 01978 g005
Scheme 3. Proposed mechanism for the formation of 6 (TMP = 2,4,5-trimethoxyphenyl; TMB = 1,2,4-trimethoxybenzene).
Scheme 3. Proposed mechanism for the formation of 6 (TMP = 2,4,5-trimethoxyphenyl; TMB = 1,2,4-trimethoxybenzene).
Molecules 25 01978 sch003
Scheme 4. Reactions and conditions: (a) anisole, HCl, 40 °C, 4 h, 74%; (b) Boc-aniline, HCl, 40 °C, 4 h, 43%; (c) BzCl, NEt3, DCM, r.t. 6 h, 69%; (d) Zn/HCl, 0 °C, 4 h, 43%; (e) benzene, HCl, 2 h, 18%.
Scheme 4. Reactions and conditions: (a) anisole, HCl, 40 °C, 4 h, 74%; (b) Boc-aniline, HCl, 40 °C, 4 h, 43%; (c) BzCl, NEt3, DCM, r.t. 6 h, 69%; (d) Zn/HCl, 0 °C, 4 h, 43%; (e) benzene, HCl, 2 h, 18%.
Molecules 25 01978 sch004

Share and Cite

MDPI and ACS Style

Serbian, I.; Loesche, A.; Sommerwerk, S.; Liebing, P.; Ströhl, D.; Csuk, R. In the Mists of a Fungal Metabolite: An Unexpected Reaction of 2,4,5-Trimethoxyphenylglyoxylic Acid. Molecules 2020, 25, 1978. https://doi.org/10.3390/molecules25081978

AMA Style

Serbian I, Loesche A, Sommerwerk S, Liebing P, Ströhl D, Csuk R. In the Mists of a Fungal Metabolite: An Unexpected Reaction of 2,4,5-Trimethoxyphenylglyoxylic Acid. Molecules. 2020; 25(8):1978. https://doi.org/10.3390/molecules25081978

Chicago/Turabian Style

Serbian, Immo, Anne Loesche, Sven Sommerwerk, Phil Liebing, Dieter Ströhl, and René Csuk. 2020. "In the Mists of a Fungal Metabolite: An Unexpected Reaction of 2,4,5-Trimethoxyphenylglyoxylic Acid" Molecules 25, no. 8: 1978. https://doi.org/10.3390/molecules25081978

APA Style

Serbian, I., Loesche, A., Sommerwerk, S., Liebing, P., Ströhl, D., & Csuk, R. (2020). In the Mists of a Fungal Metabolite: An Unexpected Reaction of 2,4,5-Trimethoxyphenylglyoxylic Acid. Molecules, 25(8), 1978. https://doi.org/10.3390/molecules25081978

Article Metrics

Back to TopTop