Abstract
Natural oligonucleotides have many rotatable single bonds, and thus their structures are inherently flexible. Structural flexibility leads to an entropic loss when unwound oligonucleotides form a duplex with single-stranded DNA or RNA. An effective approach to reduce such entropic loss in the duplex-formation is the conformational restriction of the flexible phosphodiester linkage and/or sugar moiety. We here report the synthesis and biophysical properties of a novel artificial nucleic acid bearing an oxanorbornane scaffold (OxNorNA), where the adamant oxanorbornane was expected to rigidify the structures of both the linkage and sugar parts of nucleic acid. OxNorNA phosphoramidite with a uracil (U) nucleobase was successfully synthesized over 15 steps from a known sugar-derived cyclopentene. Thereafter, the given phosphoramidite was incorporated into the designed oligonucleotides. Thermal denaturation experiments revealed that oligonucleotides modified with the conformationally restricted OxNorNA-U properly form a duplex with the complementally DNA or RNA strands, although the Tm values of OxNorNA-U-modified oligonucleotides were lower than those of the corresponding natural oligonucleotides. As we had designed, entropic loss during the duplex-formation was reduced by the OxNorNA modification. Moreover, the OxNorNA-U-modified oligonucleotide was confirmed to have extremely high stability against 3′-exonuclease activity, and its stability was even higher than those of the phosphorothioate-modified counterparts (Sp and Rp). With the overall biophysical properties of OxNorNA-U, we expect that OxNorNA could be used for specialized applications, such as conformational fixation and/or bio-stability enhancement of therapeutic oligonucleotides (e.g., aptamers).
1. Introduction
The structural flexibility of natural oligonucleotides contributes to the formation of various higher-order structures. However, when unwound oligonucleotides form a specific structure (e.g., duplex), a large entropic loss generally arises. Thus, chemical modifications that restrict the structures of flexible phosphodiester linkages and/or sugar moieties to those seen in A-form DNA·RNA duplexes have a useful role in producing high-affinity (i.e., potent) antisense oligonucleotides [1,2,3]. In our laboratory, a number of conformationally restricted artificial nucleic acids, for which a representative example is 2′,4′-bridged nucleic acid (2′,4′-BNA, commonly called locked nucleic acid (LNA)) (Figure 1), have been developed [4,5,6,7,8]. 2′,4′-BNA/LNA has an N-type sugar pucker commonly seen in the A-form duplex, and thus the 2′,4′-BNA/LNA-modified oligonucleotides exhibit a high duplex-forming ability toward single-stranded RNA (ssRNA). Leumann and co-workers have demonstrated that oligonucleotides modified with tricyclo-DNA, in which a fused ring system rigidifies the torsion angles γ and δ, exhibit increased ssRNA affinity relative to the natural oligonucleotides [9,10,11,12]. More recently, Henessian and co-workers have successfully achieved restrictions of both the sugar ring and the torsion angle γ by designing α-l-triNA 1 [13]. Oligonucleotides containing α-l-triNA 1 are known to have a high binding affinity toward ssRNA.
Figure 1.
Conformational restrictions of natural oligonucleotides.
Throughout our research on conformational restrictions of nucleic acids, we newly designed an artificial nucleic acid bearing an oxanorbornane scaffold (OxNorNA) (Figure 2). Oxanorbornane, 2-oxabicyclo[2,2,1]heptane, has a rigid structure, and thus the relative position of the phosphodiester linkage and nucleobase parts of OxNorNA can be strictly fixed. The linkage part of OxNorNA is considered a 4′–2′ system based on the position of nucleobase. This type of linkage system is rarely seen in the other artificial nucleic acids, although the effects of 5′–2′ and 3′–2′ linkage systems (isoDNA and TNA, respectively) on the duplex-forming ability and antisense potency have been intensely investigated [14,15,16,17]. Herein, we report a robust synthetic route for OxNorNA phosphoramite with a uracil (U) nucleobase and the biophysical properties (duplex-forming ability, mismatch discrimination, and nuclease resistance) of OxNorNA-U-modified oligonucleotides.
Figure 2.
Structures of artificial nucleic acid bearing an oxanorbornane scaffold (OxNorNA), isoDNA, and TNA.
2. Results and Discussion
2.1. Synthesis of OxNorNA-U Phosphoramidite
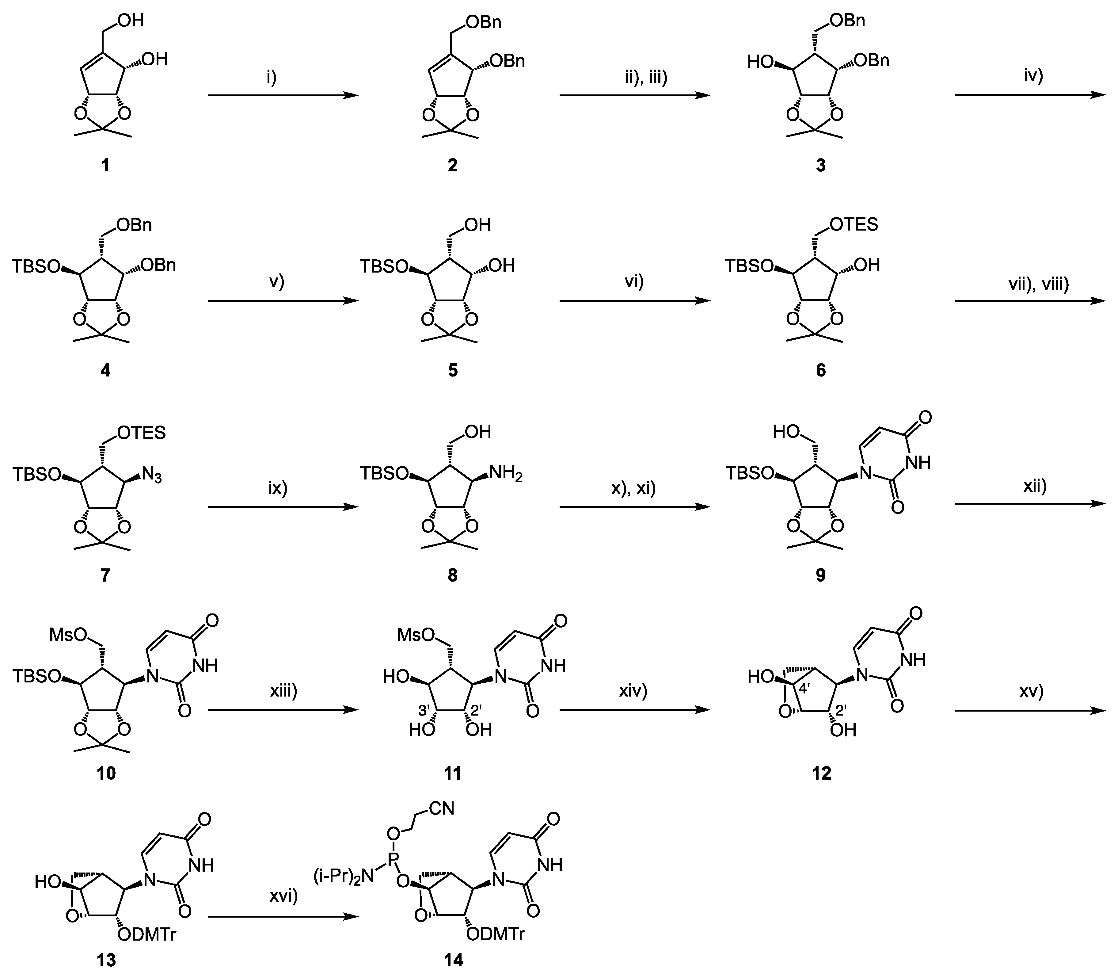
Synthesis of OxNorNA-U phosphoramidite was started from cyclopentene 1, derived over eight steps from commercially available d-ribose [18,19,20] (Scheme 1). At first, two hydroxyl groups of 1 were protected by a benzyl group, and the given compound 2 was subjected to a hydroboration reaction to produce the desired cyclopentanol 3 in a regio- and diastereoselective manner. Silylation was followed by hydrogenation using Pd/C afforded diol 5. The primary alcohol of compound 5 was then selectively protected, and the remaining secondary alcohol was converted into a leaving group (OTf). Subsequent treatment of sodium azide afforded compound 7 at a 71% yield over two steps. The reduction of the azide group, using ammonium formate with Pd/C, underwent the removal of the TES group. A uracil ring was successively formed by a reaction with 3-methoxyacryloyl isocyanate, following the reported procedure [21,22,23]. The direct incorporation of the uracil nucleobase to the triflated compound of 6 was unsuccessful. The hydroxyl group of 9 was then mesylated, and the acetonide and TBS group were removed under mildly acidic conditions (CeCl3·7H2O, oxalic acid, MeCN, and rt) to afford triol 11. Intramolecular cyclization of 11 by aqueous (aq.) NaOH regio-selectively afforded the desired oxanorbornane 12 at a 72% yield. The regioselectivity is explained by the difference in the uracil nucleobase steric repulsion of the two possible products. That is, 12 obtained from the SN2 reaction of the 3′-hydroxyl group of 11 has the uracil nucleobase at a less hindered position than the other product that can be produced from the SN2 reaction of the 2′-hydroxyl group. The structure of 12 was confirmed by NMR (For 1H, 13C, 1H–1H COSY, DEPT, HMQC, and HMBC NMR spectra, see Supplementary Material) and X-ray crystal structure (Figure 3). The less hindered 2′-hydroxyl group of 12 was then protected by the dimethoxytrityl (DMTr) group, and the remaining alcohol was phosphytilated to afford 14, a suitable building block for the reverse (3′-to-5′) oligonucleotide synthesis. We note that tritylation of 12 by using DMTrCl in pyridine resulted in no reaction, but DMTrOTf generated from a reaction of DMTrCl and AgOTf in CH2Cl2 successfully afforded compound 13 in 93% [16,24].
Scheme 1.
Synthesis of OxNorNA-uracil (U) phosphoramidite 14. Reagents and conditions: (i) NaH, BnBr, DMF, 0 °C, 92%; (ii) thexylborane, THF, 0 °C to rt; (iii) NaBO3·H2O, H2O, 0 °C to rt, 90% over 2 steps; (iv) tert-butyldimethylchlorosilane (TBSCl), imidazole, DMF, rt, 74%; (v) HCOONH4, Pd/C, EtOH, reflux, 91%; (vi) triethylchlorosilane (TESCl), 2,6-lutidine, CH2Cl2, –78 °C, 86%; (vii) trifluoromethanesulfonic anhydride (Tf2O), pyridine, CH2Cl2, 0 °C; (viii) NaN3, DMF, rt, 71% over 2 steps; (ix) HCOONH4, Pd/C, THF, rt, 98%; (x) 3-methoxyacryloyl isocyanate, THF, –40 °C to rt; (xi) NH4OH, EtOH, 120 °C (sealed tube), 48% over 2 steps; (xii) methanesulfonyl chloride (MsCl), Et3N, CH2Cl2, 0 °C, 77%; (xiii) CeCl3·7H2O, oxalic acid, MeCN, rt, 66%; (xiv) aq. NaOH, 1,4-dioxane, rt, 72%; (xv) 4,4′-dimethoxytrityl trifluoromethanesulfonate (DMTrOTf), CH2Cl2, pyridine, 2,6-lutidine, 0 °C to rt, 93%; (xvi) 2-cyanoethyl N,N-diisopropylchlorophosphoramidite, N,N-diisopropylethylamine (DIPEA), 1-methylimidazole, MeCN, 0 °C to rt, 56%.
Figure 3.
ORTEP drawing of the X-ray crystal structure of 12 (thermal ellipsoids at the 50% probability level).
2.2. Oligonucleotide Synthesis
Following the conventional phosphoramidite protocol, the given amidite 14 was successfully incorporated into the designed sequences (Table 1). The coupling time for the incorporation of the synthesized phosphoramidite 14 was prolonged to 12.5 min. In addition, the detritylation time of all reverse phosphoramidites was performed in 2 min. The above conditions afforded OxNorNA-U-modified oligonucleotides ON1–ON3 in 22–47% yields (for high-performance liquid chromatography (HPLC) charts of purified oligonucleotides, see Supplementary Material).
Table 1.
Isolated yields of OxNorNA-U-modified oligonucleotides, together with matrix-assisted laser desorption/ionization-time of flight mass spectra (MALDI-TOF MS) data.
2.3. Duplex-forming Ability and Thermodynamic Parameters
The thermal stabilities of the duplexes formed by the OxNorNA-U-modified oligonucleotides (ON1 and ON2) with the complementary single-stranded DNA (ssDNA) or ssRNA were then evaluated by ultraviolet (UV) melting experiments. The given melting temperatures (Tm values) and thermodynamic parameters are summarized in Table 2 and Table 3 (for van’t Hoff plots, see Figures S1 and S2 in Supplementary Material). As for the ssDNA complement (sequence: 5′-d(AGCAAAAAACGC)-3′) (Table 2), ON1 with a single OxNorNA modification was found to properly form a duplex. However, the ON1·ssDNA duplex furnished a Tm value of 45.4 °C, which was 4.5 °C lower Tm than that obtained for the corresponding ON4·ssDNA duplex (Tm = 49.9 °C). Further modification to ON1 with OxNorNA resulted in a very low affinity for ssDNA (21.0 °C for ON2) as compared to the natural oligonucleotide (48.4 °C for ON5). Toward the ssRNA complement (sequence: 5′-r(AGCAAAAAACGC)-3′) (Table 3), OxNorNA-modified ON1 and ON2 denoted similar tends, but they were found to prefer ssRNA rather than ssDNA (see their ΔTm/mod. values).
Table 2.
Tm values and thermodynamic parameters of duplexes formed between oligonucleotides and the complementary single-stranded DNA (ssDNA) a.
Table 3.
Tm values and thermodynamic parameters of duplexes formed between oligonucleotides and the complementary single-stranded RNA (ssRNA) a.
The low Tm values of the OxNorNA-modified oligonucleotides might be explained by an unusual 4′–2′ linkage system that was changed from the general 5′–3′ linkage system found in the natural oligonucleotides. The linkage shift may lead the nucleobase of OxNorNA to an unfavorable direction for the duplex formations (for the structure comparison between OxNorNA-U and 2′,4′-BNA/LNA-U nucleosides, see reference [25]). Thermodynamic data obtained by van’t Hoff plots indicated that duplex formations by the OxNorNA-modified oligonucleotides were enthalpically unfavored (e.g., base stacking), and entropy factors (e.g., structural restriction) had no compensatory effects on the duplex formations.
2.4. Mismatch Discrimination
We also evaluated mismatch discrimination of the OxNorNA-U-modified oligonucleotide. As shown in Table 4 and Table 5, OxNorNA-U-modified ON1 exhibited much lower Tm values toward the one-base-mismatched sequences (N = G, C, T, and U) than toward the fully matched sequence (N = A). The base discrimination patterns of OxNorNA-U-modified ON1 were similar to the natural counterpart (ON4). This result indicated that a single modification with the adamant OxNorNA does not interfere with the common base-pairing rules, even the linkage moiety shifts from the natural nucleic acid.
Table 4.
Mismatch discrimination of natural and OxNorNA-modified oligonucleotides toward ssDNA a.
Table 5.
Mismatch discrimination of natural and OxNorNA-modified oligonucleotides toward ssRNA a.
2.5. Circular Dichroism Analysis
To analyze the structure of OxNorNA-U-modified oligonucleotide in a single-stranded or duplex form, circular dichroism (CD) spectra were recorded at 10 °C in the same buffer as that used for the UV melting experiments (Figure 4). As a result, ON1 with one OxNorNA modification showed similar CD spectra to the natural ON4 (Figure 4a,b); thus, ON1 and ON4 have similar secondary structures in the presence or absence of complementary strands (ssDNA and ssRNA). From the CD spectra in Figure 4b, ON1·ssRNA and ON4·ssRNA duplexes were found to form a typical A-form duplex (positive cotton band at 260 nm and negative cotton band at 210 nm). In contrast to the results in Figure 4a,b, ON2·ssDNA and ON2·ssRNA duplexes with multiple OxNorNA modifications displayed much weaker cotton effects than the corresponding ON5·ssDNA and ON5·ssRNA duplexes (Figure 4c,d). These results probably indicated disrupted base stacking in ON2·ssDNA and ON2·ssRNA duplexes and thus resulted in duplex destabilizations (low Tm values).
Figure 4.
Circular dichroism (CD) spectra of OxNorNA-modified oligonucleotides (ON1 and ON2) and their natural counterparts (ON4 and ON5) in the presence or absence of a complementary strand (ssDNA or ssRNA). (a) ON1 and ON4 in the presence or absence of ssDNA; (b) ON1 and ON4 in the presence or absence of ssRNA; (c) ON2 and ON5 in the presence or absence of ssDNA; (d) ON2 and ON5 in the presence or absence of ssRNA. Conditions: 10 mM sodium phosphate buffer (pH 7.2) containing 100 mM NaCl and 4 μM of each oligonucleotide at 10 °C. The sequences of the target ssDNA and ssRNA are 5′-d(AGCAAAAAACGC)-3′ and 5′-r(AGCAAAAAACGC)-3′, respectively.
2.6. Stability Against Nuclease Digestion
We next investigated the effect of OxNorNA modification on the stability of oligonucleotides against enzymatic degradation. Oligonucleotides with 3′-terminal modifications (sequence: 5′-d(TTT TTT TTT X)-3′, X = OxNorNA-U (ON3); X = 5′-(R)-phosphorothioate (PS)-modified thymidine (ON6); X = 5′-(S)-PS-modified thymidine (ON7); X = locked nucleic acid (LNA) (ON8)) were prepared, incubated with 0.133 ug/mL 3′-exonuclease (snake venom phosphodiesterase, svPDE) at 37 °C, and the percentage of the remaining intact oligonucleotides was monitored by HPLC (Figure 5). Under the conditions we tested, the oligonucleotide modified with LNA (ON8) was digested within 20 min. Commonly used phosphorothioate (PS) modifications were found to be effective for improving the oligonucleotide stability against nuclease, but more than 30% of ON6 (Sp) and ON7 (Rp) were cleaved at 80 min. Conversely, over 80% of OxNorNA-modified ON3 was still intact after 80 min. It was expected that OxNorNA had successfully escaped from the nuclease recognition since it had an altered scaffold from the natural nucleoside and an unusual 4′–2′ linkage system.
Figure 5.
Enzymatic stability of the OxNorNA-modified oligonucleotide. Conditions: 0.133 ug/mL snake venom phosphodiesterase (svPDE), 10 mM MgCl2, 50 mM Tris-HCl (pH 8.0), and 2 μM each oligonucleotide at 37 °C. The sequence of the oligonucleotides used was 5′-d(TTT TTT TTT X)-3′. X = OxNorNA-U (red diamond, ON3), X = 5′-(S)-phosphorothioate (PS)-modified thymidine (orange square, ON6), X = 5′-(R)-PS-modified thymidine (gray triangle, ON7), and X = locked nucleic acid (LNA)-T (blue cross, ON 8).
3. Materials and Methods
3.1. General Information
Reagents and solvents were purchased from commercial suppliers and used without purification unless otherwise specified. All experiments involving air and/or moisture-sensitive compounds were carried out under an Ar atmosphere. All reactions were monitored with analytical thin-layer chromatography (TLC; silica gel coated with fluorescent indicator F254; Merck, Darmstadt, Germany). Flash column chromatography was carried out using EPCLC–W–Prep 2XY (Yamazen, Osaka, Japan). NMR spectra were recorded on JNM-ECA-500, JNM-ECS-400, and JNM-ECS-300 spectrometers (JEOL, Akishima, Japan) using CDCl3 or DMSO–d6 as the solvent with tetramethylsilane (TMS) as an internal standard. For 31P NMR, 5% H3PO4 in D2O (0.00 ppm) was used as an external standard. Infrared (IR) spectra were recorded on an FT/IR–4200 spectrophotometer (JASCO, Hachioji, Japan). Optical rotations were recorded on a P–2200 instrument (JASCO). Mass spectra of all new compounds were measured on a SpiralTOF JMS-S3000 (for electrospray ionization, ESI) or a JMS-700 instrument (JEOL) (for fast atom bombardment, FAB). Solid-phase oligonucleotide synthesis was performed using an nS–8 Oligonucleotide Synthesizer (GeneDesign, Ibaraki, Japan). Matrix-assisted laser desorption/ionization-time of flight (MALDI-TOF) mass spectra were recorded on an ultrafleXtreme or an Autoflex II mass spectrometer (Bruker Daltonics, Billerica, MA, USA). For HPLC, Shimadzu DGU-20A3R, LC-20AD, CBM-20A, CTO-20AC, SPD-20A, and FRC-10A were utilized. For UV absorbance measurements, a UV-1800 spectrometer (Shimadzu, Kyoto, Japan) was utilized. UV melting experiments were performed using a UV–1650 or UV-1800 UV–Vis spectrophotometer equipped with a TMSPC–8 Tm analysis accessory (Shimadzu).
3.2. Synthesis of Compound 2
Compound 1 (3.0 g, 16.1 mmol) was dissolved in dry DMF (160 mL), and the solution was cooled in an ice bath. Sodium hydride (50% w/w in mineral oil, 2.30 g) was carefully added to the solution, and the resulting mixture was stirred for 30 min. Benzylbromide (5.7 mL, 48.3 mmol) was then added dropwise, and the mixture was further stirred for 2 h at 0 °C. After the reaction was finished, the mixture was partitioned between CH2Cl2 and H2O. The separated organic layer was washed with brine, dried over Na2SO4, and concentrated in vacuo. The residue was purified by silica gel column chromatography, eluted with hexane/AcOEt (7:1), to give compound 2 as a colorless oil (5.4 g, 92%). IR (KBr): νmax 3031, 2985, 2933, 2858, 1605, 1496, 1454 cm−1; [α]D23 −98.3 (c 1.00, MeOH); 1H-NMR (500 MHz, CDCl3): δ 7.40–7.25 (10H, m), 5.88–5.86 (1H, m), 4.94 (1H, dd, J = 5.7, 1.2 Hz), 4.85 (1H, d, J = 12.0 Hz), 4.77 (1H, dd, J = 5.7, 5.2 Hz), 4.59 (1H, d, J = 12.0 Hz), 4.54 (1H, d, J = 11.5 Hz), 4.48 (1H, d, J = 11.5 Hz), 4.33–4.35 (1H, m), 4.15 (2H, s), 1.46 (3H, s), 1.40 (3H, s); 13C-NMR (125 MHz, CDCl3): δ 144.4, 138.4, 138.0, 128.3, 128.2, 127.9, 127.8, 127.6, 127.6, 127.5, 112.1, 82.3, 79.7, 77.6, 72.8, 71.9, 66.5, 27.7, 26.7; MS (FAB) m/z 389 [M + Na]+; HRMS (FAB) Calcd. for C23H26O4Na [M + Na]+: 389.1729; found: 389.1731.
3.3. Synthesis of Compound 3
Compound 2 (6.9 g, 18.9 mmol) was dissolved in dry THF (189 mL), and the solution was cooled in an ice bath. Thexylborane (0.5 M in THF, 120 mL) was added dropwise to the solution, and the resulting mixture was stirred for 3 h at room temperature. After TLC indicated the consumption of the starting material, the mixture was cooled in an ice bath and was added to NaBO3·4H2O (14.6 g, 95 mmol) and H2O (60 mL). The mixture was stirred for 1 h at room temperature, diluted with AcOEt, and washed with H2O. The organic layer was further washed with brine, dried over Na2SO4, and concentrated in vacuo. The residue was purified by silica gel column chromatography, eluted with hexane/AcOEt (3:1), to give compound 3 as a colorless oil (6.5 g, 90%). IR (KBr): νmax 3449, 3063, 3031, 2984, 2928, 2917, 2867, 1497, 1454 cm−1; [α]D25 −65.5 (c 1.00, MeOH); 1H-NMR (500 MHz, CDCl3): δ 7.35–7.25 (10H, m), 4.78 (1H, d, J = 12.6 Hz), 4.64 (1H, dd, J = 7.5, 4.6 Hz), 4.46–4.53 (3H, m), 4.44 (1H, dd, J = 6.9, 2.3 Hz), 4.26–4.30 (1H, m), 3.98 (1H, dd, J = 5.2, 4.6 Hz), 3.73–3.76 (2H, m), 2.43 (1H, d, J = 2.3 Hz), 2.24–2.32 (1H, m), 1.43 (3H, s), 1.31 (3H, s); 13C-NMR (125 MHz, CDCl3): δ 138.4, 138.0, 128.4, 128.2, 127.8, 127.7, 127.6, 127.5, 113.0, 86.1, 80.0, 78.0, 77.7, 73.4, 72.8, 68.4, 50.1, 25.9, 24.5; MS (FAB) m/z 385 [M + H]+; HRMS (FAB) Calcd. for C23H29O5 [M + H]+: 385.2015; found: 385.2016.
3.4. Synthesis of Compound 4
Compound 3 (3.00 g, 7.81 mmol) was dissolved in dry DMF (80 mL), and imidazole (1.60 g, 23.4 mmol) and tert-butyldimethylchlorosilane (2.36 g, 15.6 mmol) were added. The resulting mixture was stirred for 1 h at room temperature. After the reaction was finished, the mixture was diluted with AcOEt and washed with saturated aq. NaHCO3. The organic layer was washed with brine, dried over Na2SO4, and concentrated in vacuo. The residue was purified by silica gel column chromatography, eluted with hexane/AcOEt (8:1), to give compound 4 as a colorless oil (2.9 g, 74%). IR (KBr): νmax 3088, 3064, 3031, 2979, 2951, 2928, 2856, 1633, 1605, 1471, 1462, 1532 cm−1; [α]D25 −37.2 (c 1.00, MeOH); 1H-NMR (500 MHz, CDCl3): δ 7.23–7.36 (10H, m), 4.68–4.72 (1H, m), 4.51–4.64 (2H, m), 4.52 (1H, d, J = 12.1 Hz), 4.44 (1H, d, J = 12.1 Hz), 4.29–4.31 (1H, m), 4.11–4.13 (1H, m), 4.05–4.09 (1H, m), 3.77 (1H, dd, J = 9.2, 6.3 Hz), 3.62 (1H, dd, J = 9.2, 8.6 Hz), 2.30–2.38 (1H, m), 1.41 (3H, s), 1.28 (3H, s), 0.85 (9H, s), 0.08 (3H, s), 0.06 (3H, s); 13C-NMR (125 MHz, CDCl3): δ 138.7, 138.4, 128.3, 127.9, 127.6, 127.6, 127.4, 112.0, 86.4, 79.5, 77.8, 76.9, 76.6, 73.0, 72.6, 67.2, 50.6, 25.8, 25.7, 25.6, 24.0, 17.9, −4.8, −5.0; MS (FAB) m/z 499 [M + H]+; HRMS (FAB) Calcd. for C29H43O5Si [M + H]+: 499.2880; found: 499.2884.
3.5. Synthesis of Compound 5
Compound 4 (2.87 g, 5.75 mmol) was dissolved in EtOH (60 mL), and ammonium formate (1.60 g, 25.4 mmol) and 20% Pd(OH)2/C (500 mg) were added. The resulting suspension was refluxed for 3 h. The reaction mixture was cooled to room temperature and filtrated through a Celite pad. The filtrate was concentrated in vacuo, and the resulting residue was purified by silica gel column chromatography, eluted with hexane/AcOEt (1:4), to give compound 5 as a colorless oil (1.7 g, 91%). IR (KBr): νmax 3427, 2954, 2932, 2858, 1633, 1605, 1472, 1463 cm−1; [α]D26 −44.0 (c 1.00, MeOH); 1H-NMR (500 MHz, CDCl3): δ 4.56 (1H, dd, J = 7.5, 5.2 Hz), 4.41 (1H, dd, J = 7.5, 3.4 Hz), 4.28 (1H, dd, J = 9.2, 3.5 Hz), 4.18–4.23 (1H, m), 3.81–3.93 (2H, m), 2.71–2.75 (1H, m), 1.97–2.03 (1H, m), 1.51 (3H, s), 1.34 (3H, s), 0.89 (9H, s), 0.11 (3H, s), 0.10 (3H, s); 13C-NMR (125 MHz, CDCl3): δ 113.6, 87.1, 78.3, 71.4, 60.3, 53.0, 26.0, 25.7, 24.6, 17.9, −4.7, −5.2; MS (FAB) m/z 319 [M + H]+; HRMS (FAB) Calcd. for C15H31O5Si [M + H]+: 319.1941; found: 319.1950.
3.6. Synthesis of Compound 6
Compound 5 (2.90 g, 9.09 mmol) was dissolved in dry CH2Cl2 (90 mL), and 2,6-lutidine (3.2 mL, 27.3 mmol) was added. The mixture was cooled to −78 °C, and then chlorotriethylsilane (1.68 mL, 10.0 mmol) was added dropwise. The resulting mixture was stirred for 1 h at −78 °C. The reaction was quenched with an addition of MeOH and diluted with CH2Cl2. The mixture was partitioned between CH2Cl2 and saturated aq. NaHCO3. The organic layer was concentrated in vacuo, and the resulting residue was purified by silica gel column chromatography, eluted with hexane/AcOEt (8:1), to give compound 6 as a colorless oil (3.39 g, 86%). IR (KBr): νmax 3530, 2954, 2877, 2856 cm−1; [α]D22 −32.6 (c 1.00, MeOH); 1H-NMR (500 MHz, CDCl3): δ 4.57 (1H, dd, J = 7.5, 5.2 Hz), 4.36 (1H, dd, J = 6.9, 2.3 Hz), 4.22 (1H, dd, J = 8.6, 4.6 Hz), 3.92–4.00 (2H, m), 3.69 (1H, dd, J = 9.8, 5.7 Hz), 2.66–2.68 (1H, m), 2.08–2.16 (1H, m), 1.50 (3H, s), 1.32 (3H, s), 0.96 (9H, t, J = 8.0 Hz), 0.88 (9H, s), 0.60 (6H, q, J = 8.0 Hz), 0.08 (3H, s), 0.05 (3H, s); 13C-NMR (125 MHz, CDCl3): δ 112.9, 86.9, 79.0, 69.8, 59.7, 54.2, 25.9, 25.7, 24.3, 17.9, 6.7, 4.3, −4.7, −5.1; MS (FAB) m/z 433 [M + H]+; HRMS (FAB) Calcd. for C21H44O5Si2 [M + H]+: 433.2806; found: 433.2804.
3.7. Synthesis of Compound 7
Compound 6 (3.20 g, 7.37 mmol) was dissolved in dry pyridine (74 mL), and the solution was cooled in an ice bath. Trifluoromethanesulfonic anhydride (1.5 mL) in dry CH2Cl2 (20 mL) was added dropwise, and the reaction mixture was stirred for 1 h at 0 °C. After the addition of water, the resulting mixture was extracted with CH2Cl2. The organic layer was washed with brine, dried over Na2SO4, and concentrated in vacuo. The crude product was co-evaporated with toluene three times and then used immediately for the next reaction without further purification. The triflate was dissolved in dry DMF (74 mL), and sodium azide (1.44 g, 22.1 mmol) was added. The resulting mixture was stirred for 8 h at room temperature. After the addition of water, the resulting mixture was extracted with AcOEt. The organic layer was washed with brine, dried over Na2SO4, and concentrated in vacuo. The resulting residue was purified by silica gel column chromatography, eluted with hexane/AcOEt (12:1), to give compound 7 as a colorless oil (2.40 g, 71% in 2 steps). IR (KBr): νmax 2879, 2103 cm−1; [α]D24 −27.1 (c 1.00, MeOH); 1H-NMR (500 MHz, CDCl3): δ 4.38 (1H, dd, J = 8.0, 5.2 Hz), 4.27 (1H, dd, J = 7.5, 3.4 Hz), 3.95 (1H, dd, J = 9.2, 4.0 Hz), 3.63 (1H, dd, J = 5.2, 10.3 Hz), 3.61–3.59 (2H, m), 1.87–1.81 (1H, m), 1.38 (3H, s), 1.21 (3H, s), 0.89 (9H, t, J = 8.0 Hz), 0.81 (9H, s), 0.53 (6H, q, J = 8.0 Hz), 0.03 (3H, s), 0.00 (3H, s); 13C-NMR (125 MHz, CDCl3): δ 112.9, 85.9, 83.1, 75.3, 64.6, 57.7, 53.8, 27.1, 25.7, 25.2, 17.9, 6.75, 4.33, −4.59, −5.19; MS (FAB) m/z 480 [M + Na]+; HRMS (FAB) Calcd. for C21H43N3O4Si2Na [M + Na]+: 480.2690; found: 480.2701.
3.8. Synthesis of Compound 8
Compound 7 (10.1 g, 22.1 mmol) was dissolved in EtOH (220 mL), and ammonium formate (6.97 g, 111 mmol) and 20% Pd(OH)2/C (2.00 g) were added. The suspension was vigorously stirred for 3 h at room temperature and then filtrated through a Celite pad. The filtrate was concentrated in vacuo, and the resulting residue was purified by silica gel column chromatography, eluted with CHCl3/MeOH (8:2), to give compound 8 as a white solid (6.9 g, 98%). IR (KBr): νmax 3184, 2926, 2858, 1596 cm−1; [α]D23 −13.4 (c 1.00, MeOH); 1H-NMR (500 MHz, DMSO-d6): δ 8.33 (1H, s), 5.80 (2H, brs), 4.41 (1H, dd, J = 4.6, 7.5 Hz), 4.30 (1H, dd, J = 4.6, 7.5 Hz), 3.88 (1H, dd, J = 5.2, 9.7 Hz), 3.60 (1H, dd, J = 3.5, 11.5 Hz), 3.38 (1H, dd, J = 4.0, 11.5 Hz), 3.09 (1H, dd, J = 4.6, 10.3 Hz), 1.86–1.78 (1H, m), 1.38 (3H, s), 1.21 (3H, s); 13C-NMR (125 MHz, DMSO-d6): δ 165.7, 112.0, 85.3, 82.7, 75.8, 56.1, 54.3, 53.4, 27.0, 25.7, 25.0, 17.7, −4.6, −5.0; MS (FAB) m/z 318 [M + H]+; HRMS (FAB) Calcd. for C15H32NO4Si [M + H]+: 318.2101; found: 318.2104.
3.9. Synthesis of Compound 9
An amount of 3-methoxyacryloyl chloride (8.52 g, 70.8 mmol) was added to a suspension of silver cyanate (10.6 g, 70.8 mmol) in dry benzene (300 mL), and the mixture was refluxed for 30 min and cooled to room temperature. The resulting supernatant was slowly added over 15 min to a solution of compound 8 (7.5 g, 23.6 mmol) in dry THF (300 mL) at −40 °C. The mixture was allowed to gradually warm to room temperature and was stirred for 16 h. After the solvents were removed in vacuo, the residue was purified by silica gel column chromatography, eluted with hexane/AcOEt (1:2), to give a white solid. The given solid was dissolved in EtOH (60 mL) and treated with ammonium hydride (60 mL, 28% in water) in a sealed tube at 120 °C for 4 h. The resulting mixture was cooled at room temperature. After concentrated in vacuo, the residue was purified by silica gel column chromatography, eluted with hexane/AcOEt (1:2), to give compound 9 as a white solid (4.6 g, 48% in 2 steps). IR (KBr): νmax 3156, 2931, 2890, 2858, 1715, 1472 cm−1; [α]D23 −16.2 (c 1.00, MeOH); 1H-NMR (500 MHz, CDCl3): δ 9.60 (1H, brs), 7.32 (1H, d, J = 8.0 Hz), 5.72 (1H, d, J = 8.0 Hz), 4.82 (1H, dd, J = 7.4, 5.2 Hz), 4.53 (1H, dd, J = 10.3, 4.6 Hz), 4.47 (1H, dd, J = 7.5, 4.1 Hz), 4.05 (1H, dd, J = 8.6, 4.0 Hz), 3.57–3.72 (2H, m), 2.64 (1H, brs), 2.34–2.44 (1H, m), 1.51 (3H, s), 1.28 (3H, s), 0.89 (9H, s), 0.14 (3H, s), 0.10 (3H, s); 13C-NMR (125 MHz, CDCl3): δ 163.4, 151.3, 142.9, 113.2, 113.2, 102.8, 85.6, 80.7, 62.9, 58.8, 52.6, 27.1, 25.7, 25.6, 25.0, 17.9, −4.6, −5.2; MS (FAB) m/z 413 [M + H]+; HRMS (FAB) Calcd. for C19H33N2O6Si [M + H]+: 413.2108; found: 413.2102.
3.10. Synthesis of Compound 10
Compound 9 (4.60 g, 11.2 mmol) was dissolved in dry CH2Cl2 (110 mL), and Et3N (4.68 mL, 33.6 mmol) was added. The mixture was cooled to 0 °C, and methanesulfonyl chloride (952 µL, 12.3 mmol) was added dropwise. The resulting mixture was stirred for 1 h at 0 °C. The reaction was quenched with an addition of MeOH and diluted with CH2Cl2. The mixture was then partitioned between CH2Cl2 and saturated aq. NaHCO3. The organic layer was concentrated in vacuo and the resulting residue was purified by silica gel column chromatography, eluted with hexane/AcOEt (1:2), to give compound 10 as a white solid (4.2 g, 77%). IR (KBr): νmax 3173, 2989, 2931, 2886, 2858, 1714, 1472 cm−1; [α]D23 −24.1 (c 1.00, MeOH); 1H-NMR (500 MHz, DMSO-d6): δ 11.34 (1H, brs), 7.81 (1H, d, J = 8.0 Hz), 5.61 (1H, dd, J = 8.0, 2.3 Hz), 4.75 (1H, dd, J = 7.5, 5.2 Hz), 4.49–4.57 (1H, m), 4.47 (1H, dd, J = 8.1, 5.2 Hz), 4.12–4.22 (2H, m), 3.88 (1H, dd, J = 10.4, 5.8 Hz), 3.12 (3H, s), 2.67–2.79 (1H, m), 1.43 (3H, s), 1.22 (3H, s), 0.87 (9H, s), 0.11 (3H, s), 0.08 (3H, s); 13C-NMR (125 MHz, DMSO-d6): δ 163.2, 151.1, 112.7, 102.1, 84.1,79.6, 75.6, 66.3, 48.1, 36.2, 27.1, 25.6, 25.1, 17.6, 17.6, −4.6, −5.2; MS (FAB) m/z 491 [M + H]+; HRMS (FAB) Calcd. for C20H34N2O8Si [M + Na]+: 491.1883; found: 491.1881.
3.11. Synthesis of Compound 11
Compound 10 (4.20 g, 8.57 mmol) was dissolved in MeCN (86 mL), and oxalic acid (77 mg, 0.86 mmol) and CeCl3·7H2O (9.58 g, 25.7 mmol) were added. The resulting mixture was stirred for 3 d at room temperature and then filtrated through a Celite pad. The filtrate was concentrated in vacuo, and the resulting residue was purified by silica gel column chromatography, eluted with CHCl3/MeOH (7:3), to give compound 11 as a white solid (1.9 g, 66%). IR (KBr): νmax 3343, 2931, 1690, 1349, 1173 cm−1; [α]D25 −75.5 (c 1.00, MeOH); 1H-NMR (500 MHz, DMSO-d6): δ 11.2 (1H, s), 7.60 (1H, d, J = 8.1 Hz), 5.62 (1H, dd, J = 8.1, 2.3 Hz), 5.34 (1H, brs), 4.93 (1H, brs), 4.47–4.42 (1H, m), 4.26–4.13 (3H, m), 3.72 (1H, dd, J = 5.2, 2.9 Hz), 3.58 (1H, dd, J = 5.2, 3.5 Hz), 3.12 (3H, s), 2.19–2.11 (1H, m); 13C-NMR (125 MHz, DMSO-d6): δ 163.3, 151.4, 143.0, 101.8, 75.5, 74.5, 72.6, 69.8, 62.2, 46.6, 36.4; MS (FAB) m/z 337 [M + H]+; HRMS (FAB) Calcd. for C11H17N2O8BS [M + H]+: 337.0706; found: 337.0700.
3.12. Synthesis of Compound 12
Compound 11 (1.90 g, 5.65mmol) was dissolved in 1,4-dioxane (57 mL), and 2N aq. NaOH (12 mL) was added. The resulting mixture was stirred for 2 h at room temperature. The mixture was concentrated in vacuo, and the resulting residue was purified by silica gel column chromatography, eluted with CHCl3/MeOH (8:2), and by crystallization with AcOEt/MeOH (1:1) to give compound 12 as colorless crystals (980 mg, 72%). IR (KBr): νmax 3387, 1685 cm−1; [α]D22 −170.2 (c 1.00, MeOH); 1H-NMR (500 MHz, DMSO-d6): δ 11.28 (1H, brs), 8.05 (1H, d, J = 13.8 Hz), 5.87 (1H, s), 5.54 (1H, d, J = 13.0 Hz), 5.02 (1H, d, J = 10.7 Hz), 4.54–4.43 (1H, m), 4.32–4.19 (2H, m), 3.87 (1H, dd, J = 3.8, 12.2 Hz), 3.76 (1H, s), 3.64–3.53 (1H, m), 2.33 (1H, s); 13C-NMR (125 MHz, DMSO-d6): δ 163.2, 151.9, 143.7, 100.0, 79.1, 78.2, 75.6, 71.4, 65.5, 45.8; MS (FAB) m/z 241 [M + H]+; HRMS (FAB) Calcd. for C10H13N2O5 [M + H]+: 241.0824; found: 241.0826.
3.13. Synthesis of Compound 13
Silver triflate (241 mg, 0.938 mmol) was added portion wise to a solution of 4,4′-dimethoxytrityl chloride (337 mg, 0.995 mmol) in dry CH2Cl2 (1.5 mL). After stirring for 2 h at room temperature, the mixture left to stand for 1 h to precipitate AgCl. The supernatant (375 μL) containing DMTrOTf was added to a solution of compound 12 (30.0 mg, 0.125 mmol) in dry pyridine (370 μL) and dry 2,6-lutidine (370 μL) at 0 °C, and the resulting mixture was stirred for 4 h at room temperature. The reaction was quenched with additions of saturated aq. NaHCO3 and saturated aq. CuSO4. The mixture was then filtrated through a Celite pad, and the filtrate was partitioned between AcOEt and saturated aq. NaHCO3. The organic layer was then concentrated in vacuo, and the resulting residue was purified by silica gel column chromatography, eluted with CHCl3/MeOH (9:1), to give compound 13 as a white solid (63 mg, 93%). IR (KBr): νmax 3405, 3063, 2941, 2843, 1687, 1507, 1613, 1466 cm−1; [α]D28 −1.97 (c 1.00, MeOH); 1H-NMR (300 MHz, DMSO-d6): δ 11.3 (1H, d, J = 1.8 Hz), 7.82 (1H, d, J = 8.3 Hz), 5.44–5.48 (2H, dd, J = 9.6, 4.8 Hz), 7.26–7.34 (7H, m), 6.85–6.92 (4H,m), 5.96 (1H, d, J = 3.2 Hz), 5.46 (1H, dd, J = 3.2, 1.6 Hz), 4.86 (1H, d, J = 4.1Hz), 4.50 (1H,d, J = 4.6 Hz), 4.11 (1H, s), 3.89 (1H, dd, J = 4.6, 2.3 Hz), 3.78 (6H, d, J = 4.1 Hz), 3.73–3.78 (1H, m), 2.69 (1H, s), 2.22 (1H, s); 13C-NMR (75 MHz, DMSO-d6): δ 163.5, 168.6, 152.2, 145.9, 143.8, 136.4, 130.2, 128.3, 128.0, 127.2, 113.7, 101.1, 86.5, 81.8, 78.1, 75.8, 72.5, 63.8, 55.5, 46.1, 31.4; MS (FAB) m/z 543 [M + H]+; HRMS (FAB) Calcd. for C31H31N2O7 [M + H]+: 543.2131; found: 543.2129.
3.14. Synthesis of Compound 14
N,N-Diisopropylethylamine (40 μL, 0.231 mmol), 1-methylimidazole (9.2 μL, 0.116 mmol), and 2-cyanoethyl N,N-diisopropylchlorophosphoramidite (26 μL, 0.116 mmol) were added to a degassed solution of compound 13 (21 mg, 0.0387 mmol) in dry MeCN (385 μL) at 0 °C. The resulting mixture was stirred for 14 h at room temperature. The reaction was quenched with an addition of saturated aq. NaHCO3. The mixture was concentrated in vacuo, and the resulting residue was purified by silica gel column chromatography, eluted with hexane/AcOEt (7:1), and reprecipitation to give compound 14 as a white solid (16 mg, 56%). IR (KBr): νmax 3469, 3064, 2964, 2925, 1690, 1507, 1615, 1460 cm−1; 1H-NMR (400 MHz, CDCl3): δ 8.53 (1H, s), 7.28–7.50 (8H, m), 7.17–7.26 (2H, m), 6.76–6.82 (4H, m), 5.46 (1/2H, d, J = 8.2 Hz), 5.40 (1/2H, d, J = 8.2 Hz), 4.88 (1/2H, d, J = 3.7 Hz), 4.80 (1/2H, d, J = 3.7 Hz), 4.59 (1/2H, d, J = 4.1 Hz), 4.54 (1/2H, d, J = 4.1 Hz), 4.29 (1H, d, J = 8.7 Hz), 3.99–4.00 (1H, m), 3.77 (3H, d, J = 3.2 Hz), 3.76 (3H, d, J = 2.3 Hz), 3.60–3.68 (2H, m), 3.42–3.50 (2H, m), 3.32 (1/2H, s), 3.08 (1/2H, s), 2.40–2.55 (1H, m), 2.29–2.30 (1H, m), 1.28–1.29 (2H, m), 1.16 (3H, s), 1.14 (3H, s), 1.04 (3H, d, J = 3.7 Hz), 1.03 (3H, d, J = 3.7 Hz); 13C-NMR (100 MHz, CDCl3): δ 158.6, 145.1, 143.2, 136.1, 136.0, 130.1, 130.0, 128.0, 127.9, 126.9, 117.1, 113.3 100.7, 87.0, 79.3, 72.0, 71.8, 64.9, 58.4, 58.2, 55.2, 46.0, 45.9, 43.3, 43.1, 43.0, 31.9, 31.6, 29.7, 29.6, 24.6, 24.5, 22.6, 20.0, 19.9, 14.1; 31P-NMR (162 MHz, CDCl3): δ 150.3, 149.2; MS (FAB) m/z 743 [M + H]+; HRMS (FAB) Calcd. for C40H48N4O8P [M + H]+: 743.3210; found: 743.3217.
3.15. Energy Minimized Structure (Spartan 16)
The molecular structure run out multi-step stabilized. At first, stable conformers were calculated by using conformer distribution (MMFF). The given conformers were further calculated using HF/3-21G (equilibrium geometry) and then ωB97X-D/6-31G* to eliminate high-energy and duplicate conformers. Finally, the most stable structures were searched by ωB97X-V/6-3111+G(2df, 2p) density functional model.
3.16. X-ray Crystal Structure
A suitable crystal of compound 12 was carefully selected under an optical microscope and glued to thin glass fibers and mounted on the goniometer in a liquid nitrogen flow. X-ray diffraction data were collected on a Rigaku R-AXIS RAPID diffractometer employing graphite-monochromated CuKα radiation. The structure was solved by the direct method with the SIR-88 program [26] and refined with the SHELXL program [27]. The structural model was drawn with the ORTEP-3 program [28]. Further information on the crystal structure determinations has been deposited with the Cambridge Crystallographic Data Center (1989958). The data can be obtained free of charge via http://www.ccdc.cam.ac.uk/conts/retrieving.html (or from the CCDC, 12 Union Road, Cambridge CB2 1EZ, UK; Fax: +44 1223 336033; E-mail: deposit@ccdc.cam.ac.uk).
3.17. Oligonucleotide Synthesis
Oligonucleotides modified with OxNorNA-U (ON1–ON3) were synthesized by the reverse DNA synthesis using an nS–8 Oligonucleotide Synthesizer (GeneDesign) and a universal CPG solid support (0.2 µmol scale, Glen Research). The coupling time for OxNorNA phosphoramidite was extended to 12.5 min, and 5-[3,5-bis(trifluoromethyl)phenyl]-1H-tetrazole was used as an activator. The detritylation time of all reverse phosphoramidites was prolonged to 2 min (from 20 s), and 3 w/v% trichloroacetic acid/dichloromethane solution was used for the detritylation. The other synthetic procedures involved the standard phosphoramidite protocols. Cleavage from the solid support and removal of protecting groups was accomplished by mild conditions (tert-butylamine/water (1:3 v/v), 24 h at room temperature, and then 12 h at 60 °C). The resulting oligonucleotides were briefly purified using reverse-phase HPLC (Waters XTerra® MS C18 2.5 µm, 10 × 50 mm column, eluent A (0.1 M triethylammonium acetate (TEAA) in water), eluent B (MeCN), gradient: 5–9% or 6–15% of eluent B, flow rate = 5.0 mL/min). The resulting oligonucleotides were further purified with Sep-Pak® Plus C18 cartridges, where the DMTr group was removed by 2% TFA in water, and by reverse-phase HPLC (Waters XTerra® MS C18 2.5 µm, 10 × 50 mm column, eluent A (0.1 M triethylammonium acetate (TEAA) in water), eluent B (MeCN), gradient: 5–9% or 6–15% of eluent B, flow rate = 5.0 mL/min). The purified oligonucleotides were analyzed using reverse-phase HPLC (Waters XTerra® MS C18 2.5 µm, 4.6 × 50 mm column), and their compositions were confirmed by MALDI-TOF MS analysis (matrix: 3-hydroxypicorinic acid, additive: diammonium hydrogen citrate).
3.18. UV Melting Experiment
The UV melting experiments were performed on Shimadzu UV-1650B and UV-1800 spectrometers equipped with a Tm analysis accessory. Samples containing oligonucleotide (4 µM), the target DNA or RNA (4 µM), and 100 mM NaCl in a 10 mM phosphate buffer (pH 7.2) were annealed at 100 °C and then cooled slowly to room temperature. The melting profile was recorded from 5 to 90 °C at a scan rate of 0.5 °C/min with detection at 260 nm. The Tm value was obtained from the temperature for half-dissociation of the formed duplexes based on the first derivative of the melting curve. For van’t Hoff plots, Tm values were determined at several oligonucleotide concentrations (0.90, 1.48, 2.44, 4.00, 6.52, and 13.6 μM) (see Figures S1 and S2 in Supplementary Material). The values of ΔH°, ΔS°, and ΔG° were calculated according to the equations shown below (R is an ideal gas constant, and Ct indicates oligonucleotide concentration):
1/Tm = (R/ΔH°)·ln(Ct/4) + ΔS°/ΔH°
ΔG° = ΔH° − TΔS°
3.19. CD Spectral Analysis
CD spectra were measured at 10 °C in a quartz cuvette with a 1-cm optical path length by using a J-720W spectrophotometer (JASCO). The sample solutions (360 μL) were prepared by dissolving oligonucleotide (4 μM) and NaCl (100 mM) in the phosphate buffer (10 mM, pH 7.2). The molar ellipticity was calculated from the equation [θ] = θ/cl, where θ is the relative intensity, c is the sample concentration, and l is the cell path length in centimeters.
3.20. Enzymatic Stability Analysis
Samples (each sample volume: 130 μL) containing MgCl2 (10 mM), oligonucleotide (2 μM), and snake venom phosphodiesterase (svPDE, 0.133 μg/mL) in the Tris-HCl buffer (50 mM, pH 8.0) were incubated at 37 °C. Portions of the samples (20 μL) were taken at respective time points, and svPDE was immediately deactivated by heating the sample at 90 °C for 2.5 min. The percentage of the remaining intact oligonucleotides was determined by reverse-phase HPLC (2.5 μm, 4.6 × 50 mm) and plotted against their reaction time.
4. Conclusions
We synthesized and evaluated structurally restricted OxNorNA-U-modified oligonucleotides. Although OxNorNA-U-modified oligonucleotides showed a lower duplex-forming ability as compared to the natural counterparts, the base discrimination ability of those was similar to that obtained for the natural oligonucleotides. Since OxNorNA has a rigid structure and exhibits extremely high enzymatic stability, we expect that OxNorNA could be useful for the point modifications of aptamers.
Supplementary Materials
The following are available online, Figure S1: van’t Hoff plots of the duplexes formed between oligonucleotides (ON1, ON2, ON4, and ON5) and complementary ssDNA, Figure S2: van’t Hoff plots of the duplexes formed between oligonucleotides (ON1, ON2, ON4, and ON5) and complementary ssRNA, Table S1: Tm values of duplexes formed between oligonucleotides (ON1, ON2, ON4, and ON5) and complementary ssDNA, Table S2: Tm values of duplexes formed between oligonucleotides (ON1, ON2, ON4, and ON5) and complementary ssRNA. Copies of the NMR spectra of all new compounds. Copies of the HPLC and MALDI-TOF MS charts of the synthesized oligonucleotides.
Author Contributions
K.M., Y.K., T.Y., and S.O. designed the experiments; H.K., S.M., K.M., K.I., and T.O. conducted the synthesis of OxNorNA-U phosphoramidite and OxNorNA-U-modified oligonucleotides, and the evaluation of the biophysical properties of OxNorNA-U-modified oligonucleotides; H.A. performed the X-ray crystal structure analysis; and T.Y. wrote the manuscript. All authors have read and agreed to the published version of the manuscript.
Funding
This work was supported in part by Japan Agency for Medical Research and Development (AMED) under grant number JP19am0101084, JP18am0301004, and JP19am0401003.
Conflicts of Interest
The authors declare no conflict of interest.
References
- Papargyri, N.; Pontoppidan, M.; Andersen, M.R.; Koch, T.; Hagedorn, P.H. Chemical diversity of locked nucleic acid-modified antisense oligonucleotides allows optimization of pharmaceutical properties. Mol. Ther. Nucleic Acids 2020, 19, 706–717. [Google Scholar] [CrossRef]
- Yamamoto, T.; Nakatani, M.; Narukawa, K.; Obika, S. Antisense drug discovery and development. Future Med. Chem. 2011, 3, 339–365. [Google Scholar] [CrossRef]
- Veedu, R.N.; Wengel, J. Locked nucleic acids: Promising nucleic acid analogs for therapeutic applications. Chem. Biodivers. 2010, 7, 536–542. [Google Scholar] [CrossRef]
- Morihiro, K.; Kasahara, Y.; Obika, S. Biological applications of xeno nucleic acids. Mol. BioSyst. 2017, 13, 235–245. [Google Scholar] [CrossRef] [PubMed]
- Yahara, A.; Shrestha, A.R.; Yamamoto, T.; Hari, Y.; Osawa, T.; Yamaguchi, M.; Nishida, M.; Kodama, T.; Obika, S. Amido-bridged nucleic acids (AmNAs): Synthesis, duplex stability, nuclease resistance, and in vitro antisense potency. ChemBioChem 2012, 13, 2513–2516. [Google Scholar] [CrossRef] [PubMed]
- Shrestha, A.R.; Kotobuki, Y.; Hari, Y.; Obika, S. Guanidine bridged nucleic acid (GuNA): An effect of a cationic bridged nucleic acid on DNA binding affinity. Chem. Commun. 2014, 50, 575–577. [Google Scholar] [CrossRef]
- Yamaguchi, T.; Horiba, M.; Obika, S. Synthesis and properties of 2′-O,4′-C-spirocyclopropylene bridged nucleic acid (scpBNA), an analogue of 2′,4′-BNA/LNA bearing a cyclopropane ring. Chem. Commun. 2015, 51, 9737–9740. [Google Scholar] [CrossRef]
- Morihiro, K.; Okamoto, A. A highly constrained nucleic acid analog based on α-L-threosamine. Nucleos. Nucleot. Nucl. 2020, in press. [Google Scholar] [CrossRef] [PubMed]
- Steffens, R.; Leumann, C.J. Tricyclo-DNA: A phosphodiester-backbone based DNA analog exhibiting strong complementary base-pairing properties. J. Am. Chem. Soc. 1997, 119, 11548–11549. [Google Scholar] [CrossRef]
- Steffens, R.; Leumann, C.J. Synthesis and thermodynamic and biophysical properties of tricyclo-DNA. J. Am. Chem. Soc. 1999, 121, 3249–3255. [Google Scholar] [CrossRef]
- Renneberg, D.; Leumann, C.J. Watson-Crick base-pairing properties of tricyclo-DNA. J. Am. Chem. Soc. 2002, 124, 5993–6002. [Google Scholar] [CrossRef] [PubMed]
- Renneberg, D.; Bouliong, E.; Reber, U.; Schümperli, D.; Leumann, C.J. Antisense properties of tricyclo-DNA. Nucleic Acids Res. 2002, 30, 2751–2757. [Google Scholar] [CrossRef]
- Hanessian, S.; Schroeder, B.R.; Giacometti, R.D.; Merner, B.L.; Østergaard, M.E.; Swayze, E.E.; Seth, P.P. Structure-based design of a highly constrained nucleic acid analogue: Improved duplex stabilization by restricting sugar pucker and torsion angle γ. Angew. Chem. Int. Ed. 2012, 51, 11242–11245. [Google Scholar] [CrossRef] [PubMed]
- Sheppard, T.L.; Breslow, R.C. Selective Binding of RNA, but Not DNA, by Complementary 2′,5′-Linked DNA. J. Am. Chem. Soc. 1996, 118, 9810–9811. [Google Scholar] [CrossRef]
- Bhan, P.; Bhan, A.; Hong, M.; Hartwell, J.G.; Saunders, J.M.; Hoke, G.D. 2′,5′-Linked oligo-3′-deoxyribonucleoside phosphorothioate chimeras: Thermal stability and antisense inhibition of gene expression. Nucleic Acids Res. 1997, 25, 3310–3317. [Google Scholar] [CrossRef]
- Schöning, K.-U.; Scholz, P.; Guntha, S.; Wu, X.; Krishnamurthy, R.; Eschenmoser, A. Chemical etiology of nucleic acid structure: The α-threofuranosyl-(3′–>2′) oligonucleotide system. Science 2000, 290, 1347–1351. [Google Scholar] [CrossRef]
- Liu, L.S.; Leung, H.M.; Tam, D.Y.; Lo, T.W.; Wong, S.W.; Lo, P.K. α-l-Threose nucleic acids as biocompatible antisense oligonucleotides for suppressing gene expression in living cells. ACS Appl. Mater. Interfaces 2018, 10, 9736–9743. [Google Scholar] [CrossRef]
- van Boggelen, M.P.; van Dommelen, B.F.G.A.; Jiang, S.; Singh, G. Methyl iodide mediated cleavage of the nitrogen-oxygen bond of isoxazolidines. Tetrahedron 1997, 53, 16897–16910. [Google Scholar] [CrossRef]
- Choi, W.J.; Park, J.G.; Yoo, S.J.; Kim, H.O.; Moon, H.R.; Chun, M.W.; Jung, Y.H.; Jeong, L.S. Syntheses of d- and l-cyclopentenone derivatives using ring-closing metathesis: Versatile intermediates for the synthesis of d- and l-carbocyclic nucleosides. J. Org. Chem. 2001, 66, 6490–6494. [Google Scholar] [CrossRef]
- Comin, M.J.; Vu, B.C.; Boyer, P.L.; Liao, C.; Hughes, S.H.; Marquez, V.E. D-(+)-iso-Methanocarbathymidine: A high affinity substrate for herpes simplex virus 1 thymidine kinase. ChemMedChem 2008, 3, 1129–1134. [Google Scholar] [CrossRef]
- Umemiya, H.; Kagechika, H.; Hashimoto, Y.; Shudo, K. Synthesis of oligopeptides as polynucleotide analogs. Nucleoside Nucleotides 1996, 15, 465–475. [Google Scholar] [CrossRef]
- Rao, J.R.; Jha, A.K.; Rawal, R.K.; Sharon, A.; Day, C.W.; Barnard, D.L.; Smee, D.F.; Chu, C.K. (–)-Carbodine: Enantiomeric synthesis and in vitro antiviral activity against various strains of influenza virus including H5N1 (avian influenza) and novel 2009 H1N1 (swine flu). Bioorg. Med. Chem. Lett. 2010, 20, 2601–2604. [Google Scholar] [CrossRef] [PubMed]
- Akabane-Nakata, M.; Kumar, P.; Das, R.S.; Erande, N.D.; Matsuda, S.; Egli, M.; Manoharan, M. Synthesis and biophysical characterization of RNAs containing 2′-fluorinated northern methanocarbacyclic nucleotides. Org. Lett. 2019, 21, 1963–1967. [Google Scholar] [CrossRef] [PubMed]
- Evéquoz, D.; Leumann, C.J. Probing the backbone topology of DNA: Synthesis and properties of 7′,5′-bicyclo-DNA. Chem. Eur. J. 2017, 23, 7953–7968. [Google Scholar] [CrossRef]
- Obika, S.; Nanbu, D.; Hari, Y.; Morio, K.; In, Y.; Ishida, T.; Imanishi, T. Synthesis of 2′-O,4′-C-methyleneuridine and -cytidine. Novel bicyclic nucleosides having a fixed C3′-endo sugar puckering. Tetrahedron Lett. 1997, 38, 8735–8738. [Google Scholar] [CrossRef]
- Burla, M.C.; Camalli, M.; Cascarano, G.; Giacovazzo, C.; Polidori, G.; Spagna, R.; Viterbo, D. SIR88—A direct-methods program for the automatic solution of crystal structures. J. Appl. Cryst. 1989, 22, 389–394. [Google Scholar] [CrossRef]
- Sheldrick, G.M. A Short History of SHELX. Acta Cryst. 2008, A64, 112–122. [Google Scholar] [CrossRef] [PubMed]
- Farrugia, L.J. ORTEP-3 for Windows - a version of ORTEP-III with a Graphical User Interface (GUI). J. Appl. Cryst. 1997, 30, 565. [Google Scholar] [CrossRef]
Sample Availability: Not available. |
© 2020 by the authors. Licensee MDPI, Basel, Switzerland. This article is an open access article distributed under the terms and conditions of the Creative Commons Attribution (CC BY) license (http://creativecommons.org/licenses/by/4.0/).





