Next Article in Journal
Metal Organic Frameworks: Synthesis and Application
Next Article in Special Issue
Synthesis of Polyoxygenated Heterocycles by Diastereoselective Functionalization of a Bio-Based Chiral Aldehyde Exploiting the Passerini Reaction
Previous Article in Journal
One- and Two-Electron Oxidations of β-Amyloid25-35 by Carbonate Radical Anion (CO3•−) and Peroxymonocarbonate (HCO4): Role of Sulfur in Radical Reactions and Peptide Aggregation
Previous Article in Special Issue
Organocatalytic Asymmetric Aldol Reaction of Arylglyoxals and Hydroxyacetone: Enantioselective Synthesis of 2,3-Dihydroxy-1,4-diones
 
 
Font Type:
Arial Georgia Verdana
Font Size:
Aa Aa Aa
Line Spacing:
Column Width:
Background:
Review

Unsymmetrical 1,1-Bisboryl Species: Valuable Building Blocks in Synthesis

Institute of Chemistry, The Hebrew University of Jerusalem, Edmond J. Safra Campus, Jerusalem 9190401, Israel
*
Author to whom correspondence should be addressed.
These authors contributed equally.
Molecules 2020, 25(4), 959; https://doi.org/10.3390/molecules25040959
Submission received: 11 January 2020 / Revised: 16 February 2020 / Accepted: 18 February 2020 / Published: 20 February 2020
(This article belongs to the Special Issue New Insights in Diversity Oriented Synthesis)

Abstract

Unsymmetrical 1,1-bis(boryl)alkanes and alkenes are organo-bismetallic equivalents, which are synthetically important because they allow for sequential selective transformations of C–B bonds. We reviewed the synthesis and chemical reactivity of 1,1-bis(boryl)alkanes and alkenes to provide information for the synthetic community. In the first part of this review, we disclose the synthesis and chemical reactivity of unsymmetrical 1,1-bisborylalkanes. In the second part, we describe the synthesis and chemical reactivity of unsymmetrical 1,1-bis(boryl)alkenes.

1. Introduction

Over the last 70 years, organoboron compounds have dramatically changed the landscape of organic chemistry through a wide range of valuable and indispensable synthetic applications, e.g., cross-coupling chemistry, photochemistry, and alkylboration, which has led to new constructions of C–C and C–heteroatom bonds [1,2,3,4,5,6]. Additionally, boron functionality is dispersed in natural products and synthetic drugs. Natural products include the antibiotics aplasmomycin, boromycin, and tartolon B, in which boron functionality appears as a borate complex [7,8,9,10,11]. Drugs such as Tavaborole and Bortezomib also incorporate boron functionality [12,13,14]. In terms of these aspects, multiborylated compounds, e.g., I, are even more attractive due to their synthetic versatility and chemical stability, which allow for the selective synthesis of multifunctionalized molecules (Scheme 1) [15,16,17,18,19,20]. Recently, our group [16,17] and other research groups have mainly reviewed the new class of symmetrical 1,1-diboranes, I (bis-metallated reagents) (Scheme 1A,C), their preparation, and their application in organic synthesis for forming organoboranes and bifunctionalized products [15,16,17,18,19,20]. In contrast, the unsymmetrical 1,1-bis(boranes), II, have rarely been reviewed, despite their importance in the chemo- and stereoselective building of C–C and C–X bonds. These classes of compounds mainly include 1,1-bis(boron) (III) and alkenyldiboronates (IV) (Scheme 1B). These compounds offer two distinct boron substituents for ideal sites as well as stereoselective synthetic strategies to obtain stereo-controlled alkanes [16,17] and multisubstituted olefins, which are of major importance in organic synthesis [21,22,23,24,25,26]. Most importantly, 1,1-bis(boryl)alkenes have been utilized in the synthesis of the anticancer agent tamoxifen [27].
However, unsymmetrical 1,1-bis(boryl)alkanes (III) and -alkenes (IV) represent a unique class of boron compounds with a tunable reactivity for boron site-selective functionalization. This review will cover synthetic approaches for forming unsymmetrical 1,1-bis(boron) species as well as for deriving chemo- and stereoselective transformations for the synthesis of complex molecular structures. It is hoped that this review will provide useful knowledge for scientists seeking to discover new things about unsymmetrical 1,1-bis(boryl)alkanes and -alkenes in organic synthesis. The synthesis of these unsymmetrical 1,1-bisboryls includes mainly the hydroboration of alkynes and alkenes. Unsymmetrical 1,1-bis(boryl)alkanes and -alkenes are mainly utilized in chemo- and stereoselective (sequential) cross-coupling reactions and other chemoselective transformations. In order to simplify things for the readers, we classified this review article into two categories based on the hybridization of the carbon attached to the 1,1-bis(boron) functionalities:
(i)
Unsymmetrical sp3-centered type-III; and
(ii)
Unsymmetrical sp2-centered type-IV.
In both cases, we discuss the synthesis and utility of the unsymmetrical 1,1-bis(boron) species in organic chemistry.
Before going into the discussion, let us first introduce the characteristics of the C–boron bond in terms of reactivity, on the basis of their substitution pattern. It is well known that the organoboron groups (see Scheme 1F) [28] have different reactivities due to the steric and electronic properties of the Lewis acidic boron moiety, which can be easily tuned just by changing the substitution around the organoboron group, which allows for diverse reactivity as a stoichiometric reagent and as a catalyst. For example, boron reagents behave like nucleophilic component is a Suzuki–Miyaura (SM) cross-coupling reaction; therefore, their reactivity depends on their nucleophilicity. Nucleophilicity scale of organoborons (Scheme 1G) shows that organoboronic acids and organo-trifluoroborates have greater nucleophilicity than do MIDA-boronates (MIDA = N-methyliminodiacetic acid), (1,8-diaminonaphthyl boronamide, and boronic esters (as described in Scheme 1G) [28]; thus, MIDA-boronates have less reactivity toward the SM cross-coupling reaction [3]. Therefore, the two different organoboron groups in 1,1-bis(boron) species tend to show two different reactivities and perform in a chemoselective manner.

2. Unsymmetrical sp3-Centered 1,1-Bis(boryl) Compounds: Synthesis and Applications

In 2011, Hall and coworkers elegantly reported the first preparation of optically enriched unsymmetrical 1,1-bis(boryl) compounds (2) with excellent enantioselectivity via a copper-catalyzed asymmetric conjugate borylation of β -boronylacrylates (1) with pinacolatodiborane (Scheme 2A) [29]. The obtained enriched unsymmetrical 1,1-bis(boryl) compound (2) was then treated with KHF2, forming the corresponding trifluoroborate salt 3. Of note, the Bpin (Bpin = B-pinacolato) group in 2 selectively underwent a trifluorination reaction over Bdan (Bdan = B-1,8-diaminonaphthalene) functionality, most likely due to the higher Lewis acidity available for activation of the p-orbital of the boron in Bpin compared to the lower Lewis acidity of the p-orbital of the boron in Bdan, which is aromatically busy (Scheme 2) [30]. An X-ray crystallographic analysis confirmed the conjugate borylation product of 2a (R = Me); this provided us with a better understanding of the physical properties of these compounds.
In addition, the trifluoroborate salt 3 was stereo-specifically cross-coupled with aryl bromide in the presence of palladium catalyst and XPhos (2-dicyclohexylphosphino-2′,4′,6′-triisopropylbiphenyl) as a ligand: these salts formed the corresponding arylated product 4 in high yield and with good-to-excellent enantioselectivity (88–99% ee). The coordination of the carbonyl oxygen with the boron atom (see 5) and the stabilization provided by the second boronyl unit in the α-B–Pd(II) complex are thought to facilitate the transmetallation process and the cross-coupling reaction. Interestingly, in this cross-coupling reaction, an inversion of the stereochemistry was observed. The rationale for this inversion was presented through a transmetallation reaction that took place via transition state 5, which was responsible for inverting the stereochemistry (Scheme 2B) [29].
In 2015, this group expanded its investigations into palladium (Pd(dba)2) and the XPhos-catalyzed cross-coupling reactions of optically enriched unsymmetrical 1,1-bisboron compound (6), using aryl bromides in a chemo- and stereoselective manner for the synthesis of the benzylic secondary alkyl boronates 7ah, which had a stereochemistry inversion [31]. They also noted an important observation: by increasing the Lewis basicity of a carbonyl group from an ester to a Weinreb amide, the cross-coupling reaction was more feasible. The coordination of the carbonyl oxygen with the boron atom, together with the stability of the second boron unit in the α-B-Pd(II) intermediate, helped to overcome a difficulty at the transmetallation step. This reaction showed tolerance to a wide range of aryl coupling partners, with excellent chemoselectivity over the Bdan functionality (Scheme 3).
These enantioenriched cross-coupled products were subjected to various synthetic transformations, as presented in Scheme 4. The Bdan motif was treated with acid, affording the hydrolyzed product, which further underwent esterification with pinacol, yielding compound 8. Next, 8 was converted into its corresponding potassium trifluoroboronate salt, 9; finally, it underwent a cross-coupling reaction with aryl bromide, affording compound 10 (with an inversion in its stereochemistry). The sequence of two cross-couplings, from 6 to 10, was followed by double inversions of stereochemistry. Finally, amide 10 was transformed into ketone 11 upon a reaction with ethylmagnesium bromide (Scheme 4) [31].
Yun and coworkers reported the use of copper-catalyzed hydroboration of borylalkenes to synthesize unsymmetrical 1,1-bis(boryl)alkanes in a high regioselective and enantioselective version [32]. Various alkene substitutions, such as aryl, primary, and secondary alkyls, were well tolerated in this reaction and provided excellent regioselectivity (Scheme 5).
Initially, the reaction mechanism involved the reaction of copper tert-butoxide with pinacolatoborane, affording LCu-H species 16, which then underwent a regio- and enantioselective addition reaction into borylalkene 12, yielding the chiral organocopper intermediate 17. Next, this intermediate 17 underwent stereoretentive transmetallation with one more equivalents of pinacolatoborane, finally yielding the desired product 14 and regenerating the catalyst (LCu-H) 16 for another catalytic cycle (Scheme 5).
These chiral unsymmetrical 1,1-bis(boryl)alkanes were then transformed into allenylboronate 18 in a homologation reaction with 3-chloro-3-methylbut-1-ynyllithium, with almost no erosion of its enantioselectivity. Similarly, the Suzuki–Miyaura cross-coupling (SMCC) of 19 afforded the corresponding arylated product 20 in a low yield and with little loss of its enantioselectivity (but with retention of its configuration) (Scheme 6) [32].
In 2015, Fernandez’s research group reported a transition metal-free approach for the synthesis of unsymmetrical 1,1-bis(boron) compounds from diazo compounds, 23, which were obtained in situ from aldehydes as well as from cyclic and noncyclic ketones (21) via in situ-generated sodium salts of tosylhydrazones followed by treatment with sodium hydride (Scheme 7) [33]. This method also provides a wide range of unsymmetrical 1,1-bis(borane) compounds from aldehydes and ketones, with good isolated yields. However, it is strictly limited to aliphatic carbonyls.
In their work, they provided a rationalized mechanism for this method via transition state 26 (based on DFT-Density Functional Theory calculations). The reaction involved the heterolytic cleavage of the mixed diboron reagent 25 and the formation of geminal C–Bpin and C–Bdan bonds via a concerted–asynchronous mechanism, as shown in Scheme 7.
To explore the diastereoselective 1,1-diboration of diazo compounds, Fernandez’s group substituted cyclohexanones for in situ-formed diazo-compounds and promoted insertion into the pinB–Bdan bond (Scheme 8) [33]. When they carried out a reaction with 4-substituted cyclohexanones (28a) under optimized reaction conditions, they observed reasonable diastereo-selectivity. An X-ray analysis of 29a showed that the Bdan and CF3 groups were situated at the 1,4-diequitorial (trans) positions, as shown in Scheme 8. Under optimized conditions, the 3-Ph-cyclohexanone 28b afforded the 1,3-diequitorial (cis)-substituted isomer as the major diastereomer 29f (64%). Interestingly, under a similar reaction condition, the 2-Me-cyclohexanone 31 afforded excellent diastereo-selectivity (32a/32b), favoring the Bdan and Me groups with a 1,2-diequitorial (trans) configuration. This high diastereo-selectivity was expected because the 2-position substituent can directly influence the reaction center.
The origin of diastereo-selectivity was explained through DFT analysis by taking the example of the 4-(trifluoromethyl)cyclohexanone 28a, as shown in Scheme 9. After the reaction of hydrazide and NaH with compound 28a, Fernandez’s group considered in situ-generating two possible chair conformations (28aNeq and 28aNax) that were different in terms of their CF3 substituent arrangement: the equatorial conformer (28aNeq) was 1.7 kcal/mol lower than the axial conformer (28aNax). Each confirmation could attack the pinB–Bdan substrate through its two diastereo-faces. When the conformer 28aNeq attacked pinB–Bdan through its two diastereomeric faces, the observed computed free energy barriers for the Bdan equatorial and Bdan axial positions were 33.9 and 38.9 kcal/mol, respectively (Scheme 9, left side). Thus, the lowest energy path led to a major diastereomer with Bdan and a CF3 substituent in the 1,4-diequitorial (trans) of each 29a. The high energy (~5.0 kcal/mol) in the Bdan axial approach was due to destabilized interactions between 1,3-diaxial and cyclohexane. Similarly, the conformer 28aNax also exhibited a low energy barrier in the case of the Bdan equatorial approach, as opposed to the Bdan axial approach (Scheme 9, right side).
The energy difference between the two Bdan equatorial approaches was not too large in the two conformers (28aNeq and 28aNax), with the expected non-negligible formation of conformer 30a with an observed diastereomeric ratio of 70/30 for 29a/30a [33].
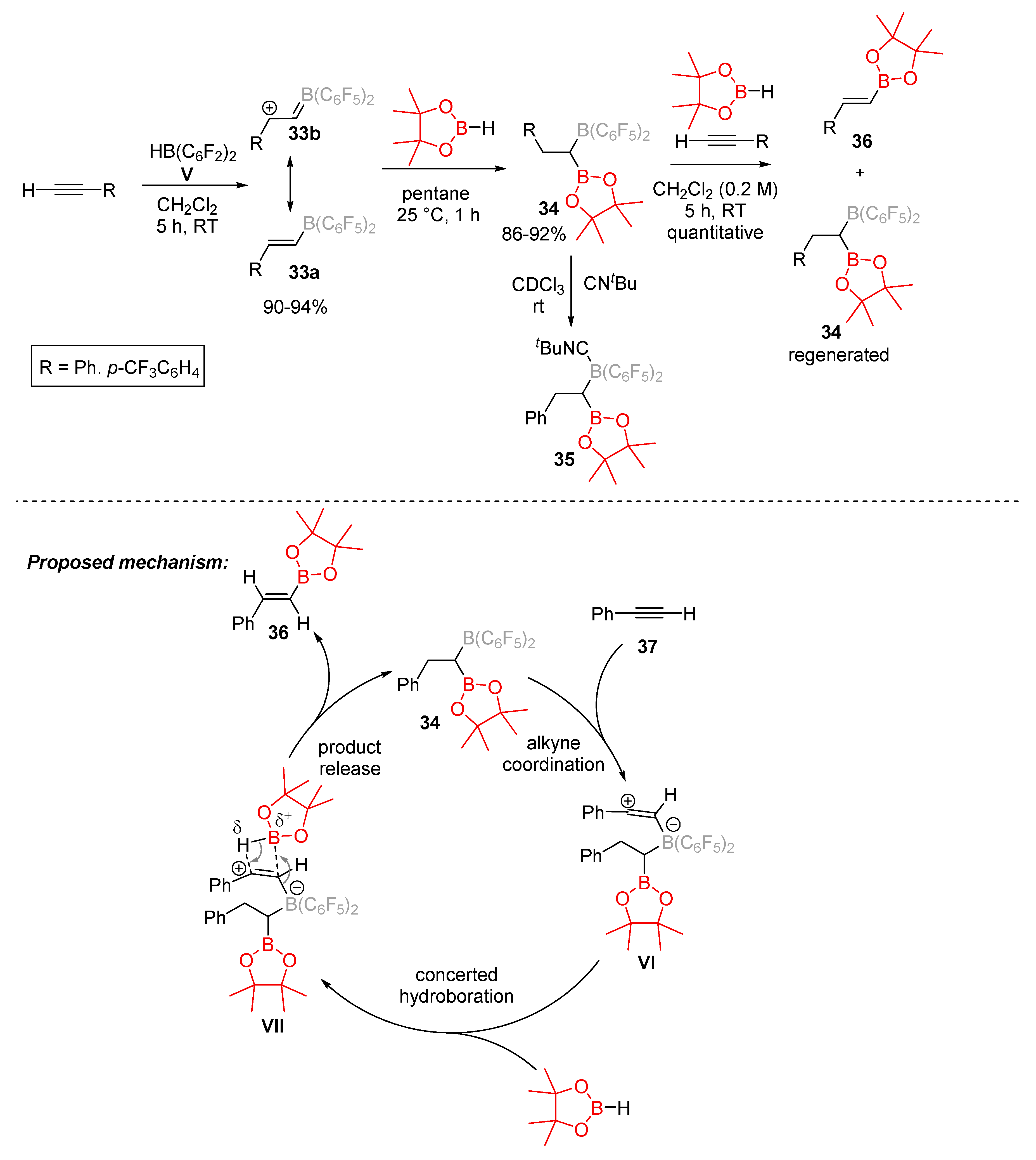
Interestingly, 1,1-bis(boryl)alkanes can behave as catalysts, too. Piers’s borane V [HB(C6H5)2] precatalyzed the hydroboration of terminal and internal alkynes for the synthesis of E-alkenyl pinacol boronic ester 36, and excellent selectivities were reported by Stephan and coworkers in 2016 [34]. In this hydroboration, they found that unsymmetrical 1,1-bis(borane) 34 catalyzed the reaction. An independent reaction of Piers borane V [HB(C6H5)2] with phenylacetylene afforded the corresponding E-alkenyl boronic ester 33a, which, upon additional treatment with pinacol boranes, yielded the regioselective stereogenic unsymmetrical 1,1-bis(borane) 34 (Scheme 10). Actually, 1,1-bis(borane) 34 acted as an electrophilic catalyst for the hydroboration of alkyne into alkene in the presence of HBpin (pinacolborane). To support this, the electrophilic boron center of 34 was confirmed through an X-ray diffraction analysis of the tert-butylisonitrile adduct 35.
The proposed mechanism for the unsymmetrical 1,1-bis(borane) 34 catalyzing the hydroboration of alkynes for the synthesis of E-alkenyl boronic ester 36 is shown in Scheme 10. In this mechanism, unsymmetrical 1,1-bisboranes 34 acts as a Lewis acid catalyst, which activates alkyne to form complex VI: then, HBpin reacts with complex VI in a concerted syn-1,2-hydroboration manner (complex VII) to afford the hydroborylated product 36 and regenerate the unsymmetrical 1,1-bis(borane) 34 [34].
In 2019, Sharma research group reported a novel and concise method for the synthesis of a wide range of MIDA (MIDA = N-methyliminodiacetic acid) acylboronates (41) via the chemoselective oxidation of 1,1-bisboranes (39) (Scheme 11) [35]. MIDA acylboronates are synthetically challenging; however, they can be utilized as powerful building blocks for bioorthogonal amide formation and protein ligation.
First, Sharma prepared unsymmetrical 1,1-bis(borane) products (39) from symmetrical diboranes (38) by heating MIDA and triethylorthoformate (Scheme 11). The mechanism underlying this selective desymmetrization is still unclear. However, steric considerations could be among the reasons for this selectivity.
Next, Sharma chemoselectively oxidized pinacolate boran functionality over the MIDA boronate of unsymmetrical 1,1-bis(borane) products (39ab) to obtain α-hydroxymethyl MIDA boronates (40) with good yields (Scheme 12). Thereafter, these α-hydroxymethyl MIDA boronates (40) were successfully oxidized into MIDA acylboronates (41) using Dess–Martin periodinane (DMP), with moderate to good yields (Scheme 12).
Then, Sharma successfully applied a similar strategy for the synthesis of unique α, β-unsaturated MIDA acyl boronates (44) with an acceptable yield (Scheme 13).
Additionally, Sharma applied the same strategy to the unsymmetrical diborylmethane 39c to obtain hydroxymethyl MIDA 45. Interestingly, the DMP oxidation of hydroxymethyl MIDA afforded acetoxy MIDA boronate 46 instead of formyl MIDA boronate (Scheme 14) [35].
In the same year, the Masarwa research group reported a late-stage desymmetrization of symmetrical 1,1-bis(boryl)alkanes via nucleophilic trifluorination while constructing unsymmetrical 1,1-bis(boryl)alkanes bearing trifluoroborate salts (Scheme 15) [36]. This method was tolerable within a wide range of substrate scopes, with good to excellent yields. Most interestingly, this method did not need any column purification, as the product was obtained upon crystallization. Our group proposed a mechanism to account for this desymmetrization methodology: First, nucleophilic fluoride attacks the vacant p-orbital of one of the boron centers in the symmetrical diborane 38 and generates monofluorinated compound I (step 1), which is more electrophilic than the parental symmetrical diborane 38. Hence, it forces the second fluorination (step 2) and then the third fluorination (step 3) at the boron center shown in Scheme 15. Consequently, the newly generated BF3 moiety develops a partial negative charge on the fluoride, and the fluoride may stabilize the flanking Bpin group through a fluoride bridge, as shown in 47′, which helps to prevent a subsequent attack by fluoride.
Interestingly, this method exhibited excellent diastereo-selectivity when the reaction was performed on the 1,1-bis(boryl)substituted cyclopropanes 38a–c (Scheme 16). This diastereo-selectivity has been confirmed using 2D-NMR spectroscopic methods. From these results, it can be seen that the diastereo-selectivity mechanism underlying the reaction involves the selective nucleophilic trifluorination of boron, which occupies the less hindered side of cyclopropane.
These unsymmetrical 1,1-bis(boryl)alkanes, bearing a trifluoroborate group, were utilized for various selective functionalizations. For example, the simple hydrolysis of the trifluoroborate group afforded the 1,1-bis(borane) products 48a–c, which has a boronic acid moiety (Scheme 17A). Additionally, compound 47 treated with diamines and diols as coupling partners, yielded the unsymmetrical 1,1-bis(borane) products 49a–c (Scheme 17B).
Finally, trifluoroborylated unsymmetrical 1,1-bis(boryl)alkanes were also utilized for cross-coupling reactions. Intermolecular palladium(II) catalyzed a cross-coupling reaction with aryl bromide, which afforded arylated product 50a, which had excellent yield (Scheme 18A). Similarly, an intramolecular cross-coupling reaction of 2-bromo-substituted phenyl substrates under the same reaction conditions yielded the cyclic product 50b, with a 90% yield (Scheme 18B) [36].
In 2017, Erker and coworkers reported that Lewis acid induced a cyclopropyl acetylene rearrangement for the synthesis of unsymmetrical 1,1-bis(borane) [37]. In this synthesis, when cyclopropyl acetylene 51 was treated with two equivalents of Piers’s borane V [HB(C6F5)2], it resulted in the formation of substituted α-boryl-tetrahydroborole 53a-cis and 53b-trans in a 7:1 ratio (Scheme 19A): this was confirmed by in situ NMR spectroscopic studies. Furthermore, they confirmed these structures using X-ray diffraction and found that the pair of substituents at C1 and C4 (in terms of stereochemistry) differed structurally from the cis and trans isomers.
The mechanism underlying this reaction involves the sequential hydroboration of cyclopropyl acetylene 51 with 2.0 eq. of Piers’s borane V, affording 1,1-bis(boryl) compound VIII. Then, one of the frustrating borons of product VIII acts as a Lewis acid and induces cyclopropyl ring-opening and the hydride sequence. Then, aryl 1,2 shifts to form borole 53 (Scheme 19B). The stereochemical outcome of the reaction largely depends on the least sterically hindered pathway, leading to the major diastereomer cis-borole.
The cyclic 1,1-bis(boryl) contains two Lewis acidic boron sites: they can coordinate only as a frustrated Lewis pair (FLP) or can serve as a dihydrogen splitting reagent. Treatment of a 1:1 ratio of cis-borole compound and tri-tert-butylphosphine (as a Lewis base with 2.0 bar of hydrogen in pentane solution) resulted in the precipitation of product cis-54a. Similarly, upon treatment with carbon dioxide instead of hydrogen, a new six-membered cyclic ring was formed, in addition to the borole ring cis-54b (Scheme 20).
Interestingly, Erker and coworkers interconverted cis-borole 53a into trans-isomer 53b by treating it with a catalytic amount of TEMPO (2,2,6,6-tetramethylpiperidine 1-oxyl). This reaction followed reversible H-abstraction at the activated C1 position of the heterocycle. After they subjected trans-borole to a similar FLP reaction, they obtained products 54c and 54d in good yields (Scheme 21) [37].
In the same year, Erker and coworkers reported that cyclic 1,1-bis(borane) 53 catalyzed the hydroboration of N-methylindole. Here, 1,1-bis(borane) compounds were utilized as effective catalysts for C–H bond activating the borylation of N-methylindole with catechol borane. This reaction afforded 3-boryl-N-methylindole with a 59% yield and N-methylindoline with a Lewis pair adduct (with HBcat). Furthermore, this adduct, upon treatment with the same catalyst for several hours, yielded a 5-boryl-N-methylindoline product through the evolution of molecular hydrogen (Scheme 22) [38].

3. Unsymmetrical sp2-Centered 1,1-bis(boron) Compounds: Synthesis and Applications

In 2007, Chirik and coworkers developed a cobalt that catalyzed the 1,1-diboration of readily available terminal alkyne 58 with an unsymmetrical (pinB–Bdan) diboron reagent for the synthesis of stereoselective trisubstituted 1,1-bis(boryl)alkenes (59a–d), with good yields (Scheme 23) [39].
The mechanism proposed by Chirik’s group involved the initial formation of cobalt acetylide (X), which, upon reacting with pinacolborane, yielded compound XI, which had more Lewis acidic boron substituent (Bpin). This could transfer to the alkyne, and the resulting alkynyl−BPin cobalt complex (XII) underwent syn-borylcobaltation, selectively affording XIII, which finally produced the stereoselective alkene 59.
Taking advantage of the different chemical reactivities of two boron moieties (Bpin, Bdan) in 1,1-unsymmetrical bis(boryl)alkenes (59), an SMCC reaction was carried out with aryl iodides to afford corresponding (Z)-alkenes (60), which had an extended conjugation and good yields. Interestingly, they observed that the cross-coupling took place selectively at the Bpin moiety over Bdan (Scheme 24) [39]. The whole methodology, which includes the 1,1-diboration of alkynes (Scheme 23) and the cross-coupling reaction of 1,1-unsymmetrical bis(boryl)alkenes (Scheme 24), represents a formal 1,1-carboboration of hept-1-yne with Ar–Bdan [40,41,42].
In 2018, the Molander group reported the borylation of 3-bromo-2,1-borazaronaphthalenes (61) with boronic acid pinacol esters, affording 3-boryl-2,1-borazaronaphthalene 62a–f (1,1-unsymmetrical bis(boryl)alkenes) [43]. These borazaronaphthalenes (62) also exhibited an umpolung character in cross-coupling reactions. This method allows for the synthesis of a wide range of heterocycles with different substituents at the boron center, with electron-rich and electron-poor aryl and heteroaryl groups and up to an 83% yield (Scheme 25A). Next, compound 62 was converted into organotrifluroborate salt (63) by treating it with commercially available KHF2 as a fluoride ion source (Scheme 25B).
Later, they also utilized the bis-boryl compounds 62a and 63d for a palladium-catalyzed cross-coupling strategy with a variety of aryl halides containing an electron-withdrawing group or an electron-donating group, which yielded the corresponding coupling products 64a–h (Scheme 26) [43].
In 2014, the Nishihara research group reported the platinum-catalyzed diborylation of 1-phenylethynyl MIDA boronate 65a with bis(pinacolato)diboron, affording stereoselective 1,1,2-triboryl-2-phenylethene 66a with an 86% yield [44]. Under similar reaction conditions, they also extended diboration with the aliphatic 1-alkynyl MIDA boronate 65b, yielding the 1,1,2-triboryl-2-hexylethene 66b, as shown in Scheme 27A. Furthermore, 1,1,2-triboryl-2-phenylethene, 66, was successfully applied to chemoselective palladium-catalyzed Suzuki−Miyaura coupling with aryl halides bearing electron-donating and electron-withdrawing groups. Under optimized reaction conditions, they synthesized a library of synthetically useful 1,1-bis(boryl)olefins, 67a–f, with up to 91% yields (Scheme 27B).
To determine the (Z)-configuration of the chemoselective arylated product 67, they carried out Suzuki−Miyaura coupling of 1,1,2-triboryl-2-phenylethene 66a and iodobenzene to afford the arylated unsymmetrical 1,1-bis(boryl)-2,2-diphenylethene 67g, with 82% yield. Then, transformation of the BMIDA group into Bpin afforded the symmetrical 1,1-bis(boryl)-2,2-diphenylethene 68a at a 98% yield, which matched with earlier reported spectroscopic data. This experimental result clearly suggests that selective cross-coupling takes place at the Bpin group, which is geminal to the aryl moiety (Scheme 28).
Furthermore, they changed the electrophile ArI into BnCl (1.5 equiv) for an SMCC reaction with compound 66a and observed only one isomer of unsymmetrical 1,1-bis(boryl) alkene 67h, with a moderate yield (Scheme 29) [44].
In 2019, the Tsuchimoto group reported that the Pt-catalyzed diboration of alkyne had terminal Bdan with pinB–Bpin, resulting in the 1,1,2-triboryalkene 66c, which had perfect stereoselectivity without suffering direct activation by the platinum complex [45]. Compared to other reports on the diboration of alkynes [46,47] with pinB–Bpin, this method afforded an excellent yield (Scheme 30A).
In 2019, utilizing the tetrasubstituted triborylalkene 66c, for the first time the Tsuchimoto group successfully synthesized tetrasubstituted aryl alkenes (72) through sequential SMCC reactions. In the triborylalkene 66c, the Csp2-B bond is inactive; thus, it is very unreactive under SMCC conditions. Of the remaining two Csp2-B bonds, one is at the transposition of the aryl group, which can possibly increase the nucleophilicity of the boron atom through electron flow: it reacts more facilely than does the other under Pd(II) SMCC conditions. In the first SMCC reaction, 4-iodobenzotrifluoride was treated under ligand-free conditions, affording 69 in very good yield (with regioselectivity). In the second SMCC arylation, 4-iodoanisole reacted preferentially with Csp2-Bpin over Csp2-Bdan, affording 70. Since Bdan is unreactive toward SMCC, it was converted into Bpin under acidic conditions with pinacol. In the final sequence of SMCC arylation, 4-iodobenzonitrile was treated with Csp2-Bpin to produce the tetra-arylalkene 72. Importantly, during all of the SMCC reactions observed, there was only one stereoisomer with a high yield (Scheme 30B) [47].
In 2008, the Walsh group described the reaction of stable pinB-substituted alkynes (65) with dicyclohexyl borane to afford unsymmetrical 1,1-bis(boryl)alkene species (73) [48]. Compound 73 was not isolated and exhibited two peaks at 30 ppm and 80 ppm in a crude 11B-NMR spectrum. In addition, crude 1H-NMR of 73 exhibited only one isomer in the hydroboration reaction. Later on, they successfully utilized a 1,1-bis(boryl)alkane species for chemoselective transmetallation with an organozinc reagent (in place of Cy2B) to afford the boron/zinc heterobimetallic reagent 74; they then added it to an aldehyde to obtain pinB-substituted (E)-allylic alcohols (75) with good yields. By utilizing this method, they synthesized a library of secondary alcohols via hydroboration and transmetallation, followed by aldehyde treatment with pinB-substituted alkynes (65) (Scheme 31) [48].
In 2013, the Braunschweig group demonstrated a photolytic approach to creating a new class of three-membered borirenes using an aminoboryl complex [(OC)5Cr=B=N(SiMe3)2] in the presence of a series of mono- or bis(boryl) alkynes: 1-phenyl-2-bis-(dimethylamino)borylethyne, bis{bis-(dimethylamino)boryl}ethyne, and 1-trimethylsilyl-2-bis-(dimethylamino)borylethyne [49]. As depicted in Scheme 32A, aminoboryl complex 76 was irradiated with alkyne 77 at room temperature to produce the desired unsymmetrical 1,1-bis(boryl) alkenes (i.e., iminoboranes) (78a–c) (Scheme 32A).
Generally, aminoboranes (i.e., compound 80) do not follow quaternization, since the p-orbital of boron is filled by the π-basic amino group. The utility of iminoboranes (78) was established by the synthesis of quaternary aminoboranes (79): these kinds of aminoboranes are very rare, according to the literature (Scheme 32B). The iminoborane 78 did not react with DMAP (4-(dimethylamino)pyridine), pyridine, PCy3, or PMe3 even at 80 °C, whereas it reacted with IMe (IMe = 1,3-dimethyl-2,3-dihydro-1H-imidazole) at ambient temperature to produce quaternization in the endocyclic boryl group. Interestingly, the Braunschweig group observed that there was no quaternization of the exocyclic boryl groups even upon the addition of an excess of IMe (Scheme 32B).
The dequarternization of borirenes also afforded the parental unsymmetrical 1,1-bis(boryl)alkanes and alkenes (80) in the presence of B(C6F5)3 (Scheme 32C) [49].
In 2013, Weber et al. reported the hydroboration of 2-alkyl- and 2-aryl-ethynyl-1,3,2-benzodiazaboroles with dicyclohexylborane (DCB) under metal-free conditions at room temperature, affording the cis-1,1-bis(boryl)alkene 82 as a major regioisomer, with quantitative yields [50]. Interestingly, they also observed the hydroboration of 2-silylethynyl-1,3,2-benzodiazaborole with DCB, which afforded 1,1-bis(boryl)alkene (82) as a minor regioisomer and trans-1,2-bis(boryl)alkene as a major regioisomer (83), with quantitative yields (Scheme 33) [50].
In 2015, the Erker group reported the preparation of 1,2,5-trisubstituted boroles containing 1,1-bis(boryl) groups from the bis(ethynyl)borane 84 and B(C6F5)3 via a 1,1-carboboration sequence followed by di-π-borane rearrangement [51]. Initially, the reaction of bis(ethynyl)borane with B(C6F5)3 resulted in 44:56 mixtures of the 1,1-carboboration product Z-85 and the trisubstituted borole 87 via 86, which was isolated after treatment with pyridine (Scheme 34A).
Under thermal conditions, a mixture of Z-85 and 87 afforded the [4 + 2] cycloaddition product 88, which was formed after the dimerization of reactive borole 87. The Erker group observed that the unreacted Z-85 remained under thermal conditions (Scheme 34B). Since compound Z-85 was not isomerized thermally, they tried photolysis. Under photolysis, Z-85 isomerized to E-85, which can easily be converted into 87, as shown in Scheme 34A, and compound 87 also cleanly isomerized to the new trisubstituted borole 90 via di-π-borane rearrangements (two formal 1,3-boron migrations) followed by ring opening. Consequently, the photolysis of a solution of the Z-85 + 87 mixture resulted in 1,1-bis(boryl)alkanes and alkenes (90) (1,2,5-trisubstituted boroles) in quantitative conversion, which was isolated after treatment with pyridine (Scheme 34B) [51].
In 2018, the same group prepared a 1,1-bis(boryl)alkene by reacting tetraaryldiborane(4) 92 with 1-pentyne (Scheme 35) [52].
Under thermal conditions, diborane(4) underwent 1,2-migration in its acetylenic hydrogen along the alkyne π-bond to afford 1,1-bis(boryl)alkene 93, along with 94, in a 42:37 ratio. During the reaction, one B–B bond was cleaved, and new C–B bonds were formed (Scheme 35) [52].

4. Conclusions

In this review, we wished to emphasize the importance of unsymmetrical 1,1-bis(boryl) species as unique building blocks that lead to synthetically new connections. For their preparation, we mainly focused on a few main strategies: 1) the metal-catalyzed conjugate borylation of β -boronylacrylates, the hydroboration of boryl-alkenes, the 1,1-diboration of alkynes, the 1,2-diboration of borylated alkyne, and the borylation of brominated 2,1-borazaronaphthalenes; 2) the metal-free insertion of diazo-compounds into pinB–Bdan, the hydroboration of borylated alkenes, the hydroboration of borylated alkyne, and Piers’s borane (which induces cyclopropyl rearrangement and the diboration of alkynes); 3) the late-stage desymmetrization of symmetrical 1,1-bis(boryl)alkanes; and 4) the photolytic synthesis of diboranes. Additionally, transformations of unsymmetrical 1,1-bis(boryl) species were extensively studied in this review. Unsymmetrical 1,1-bis(boryl) species are unique because two boryl groups exhibit different chemical reactivities toward chemoselective SMCC reactions, including sequential cross-coupling reactions with alkyl/aryl halides, chemoselective oxidation, hydrolysis, and transmetallation. We also revealed the rare catalytic activity of 1,1-bis(borane). Due to its potential in the synthesis of unsymmetrical 1,1-bis(boryl)alkenes, this field will continue to grow rapidly, and more appealing transformations are expected to appear in the years to come.
Moreover, these classes of unsymmetrical 1,1-bis(boryl) compounds have the potential to be linked to important materials in the late stages of their synthesis, which then (by applying a variety of selective reaction conditions to unsymmetrical 1,1-bis(boryl) units) leads to multiple different functional groups in order to create new chemical libraries of bioactive compounds, drugs, and natural products that are demonstrative of a large serving of these compounds. Therefore, unsymmetrical 1,1-bis(boryl) and its transformations hold great promise in contributing to diversity-oriented synthesis.
Future approaches to expand the synthetic utility of these unsymmetrical 1,1-bis(boryl) compounds (III and IV) can be carried out by selectively transforming their C–B bonds into C–heteroatom bonds.

Acknowledgments

A.M. is grateful to the Azrieli Foundation for the receipt of an Azrieli Fellowship. K.N.B., N.M., F.M., and R.R.R. are thankful to HUJI for a research fellowship.

Conflicts of Interest

The authors declare no conflict of interest.

References

  1. Hall, D.G. Boronic Acids: Preparation and Applications in Organic Synthesis and Medicine; Wiley-VCH: Weinheim, Germany, 2005. [Google Scholar]
  2. Hall, D.G. Boronic Acids: Preparation and Applications in Organic Synthesis, Medicine and Materials, 2nd ed.; Wiley-VCH, Verlag GmbH & Co. KGaA: New York, NY, USA, 2011. [Google Scholar]
  3. Xu, L.; Zhang, S.; Li, P. Boron-selective reactions as powerful tools for modular synthesis of diverse complex molecules. Chem. Soc. Rev. 2015, 44, 8848–8858. [Google Scholar] [CrossRef]
  4. Parmar, D.; Sugiono, E.; Raja, S.; Rueping, M. Complete Field Guide to Asymmetric BINOL-Phosphate Derived Brønsted Acid and Metal Catalysis: History and Classification by Mode of Activation; Brønsted Acidity, Hydrogen Bonding, Ion Pairing, and Metal Phosphates. Chem. Rev. 2014, 114, 9047–9153. [Google Scholar] [CrossRef]
  5. Yi, J.; Badir, S.O.; Alam, R.; Molander, G.A. Photoredox-Catalyzed Multicomponent Petasis Reaction with Alkyltrifluoroborates. Org. Lett. 2019, 21, 4853–4858. [Google Scholar] [CrossRef]
  6. Kaiser, D.; Noble, A.; Fasano, V.; Aggarwal, V.K. 1,2-Boron Shifts of β-Boryl Radicals Generated from Bis-boronic Esters Using Photoredox Catalysis. J. Am. Chem. Soc. 2019, 141, 14104–14109. [Google Scholar] [CrossRef]
  7. Touchet, S.; Carreaux, F.; Carboni, B.; Bouillon, A.; Boucher, J.-L. Aminoboronic acids and esters: From synthetic challenges to the discovery of unique classes of enzyme inhibitors. Chem. Soc. Rev. 2011, 40, 3895–3914. [Google Scholar] [CrossRef]
  8. Dembitsky, V.M.; Al Quntar, A.A.A.; Srebnik, M. Natural and Synthetic Small Boron-Containing Molecules as Potential Inhibitors of Bacterial and Fungal Quorum Sensing. Chem. Rev. 2011, 111, 209–237. [Google Scholar] [CrossRef]
  9. Baker, S.J.; Tomsho, J.W.; Benkovic, S.J. Boron-containing inhibitors of synthetases. Chem. Soc. Rev. 2011, 40, 4279–4285. [Google Scholar] [CrossRef]
  10. Smoum, R.; Rubinstein, A.; Dembitsky, V.M.; Srebnik, M. Boron Containing Compounds as Protease Inhibitors. Chem. Rev. 2012, 112, 4156–4220. [Google Scholar] [CrossRef]
  11. Diaz, D.B.; Yudin, A.K. The versatility of boron in biological target engagement. Nat. Chem. 2017, 9, 731–742. [Google Scholar] [CrossRef]
  12. Adams, J.; Palombella, V.J.; Sausville, E.A.; Johnson, J.; Destree, A.; Lazarus, D.D.; Maas, J.; Pien, C.S.; Prakash, S.; Elliott, P.J. Proteasome Inhibitors: A Novel Class of Potent and Effective Antitumor Agents. Cancer Res. 1999, 59, 2615–2622. [Google Scholar]
  13. Baker, S.J.; Zhang, Y.-K.; Akama, T.; Lau, A.; Zhou, H.; Hernandez, V.; Mao, W.; Alley, M.R.K.; Sanders, V.; Plattner, J.J. Discovery of a New Boron-Containing Antifungal Agent, 5-Fluoro-1,3-dihydro-1-hydroxy-2,1- benzoxaborole (AN2690), for the Potential Treatment of Onychomycosis. J. Med. Chem. 2006, 49, 4447–4450. [Google Scholar] [CrossRef]
  14. Maynard, A.; Crosby, R.M.; Ellis, B.; Hamatake, R.; Hong, Z.; Johns, B.A.; Kahler, K.M.; Koble, C.; Leivers, A.; Leivers, M.R.; et al. Discovery of a Potent Boronic Acid Derived Inhibitor of the HCV RNA-Dependent RNA Polymerase. J. Med. Chem. 2014, 57, 1902–1913. [Google Scholar] [CrossRef]
  15. Neeve, E.C.; Geier, S.J.; Mkhalid, I.A.I.; Westcott, S.A.; Marder, T.B. Diboron(4) Compounds: From Structural Curiosity to Synthetic Workhorse. Chem. Rev. 2016, 116, 9091–9161. [Google Scholar] [CrossRef]
  16. Nallagonda, R.; Padala, K.; Masarwa, A. gem-Diborylalkanes: Recent advances in their preparation, transformation and application. Org. Biomol. Chem. 2018, 16, 1050–1064. [Google Scholar] [CrossRef]
  17. Leonard, N.G.; Palmer, W.N.; Friedfeld, M.R.; Bezdek, M.J.; Chirik, P.J. Remote, Diastereoselective Cobalt-Catalyzed Alkene Isomerization–Hydroboration: Access to Stereodefined 1,3-Difunctionalized Indanes. ACS Catal. 2019, 9, 9034–9044. [Google Scholar] [CrossRef]
  18. Miralles, N.; Maza, R.J.; Fernandez, E. Synthesis and Reactivity of 1,1-Diborylalkanes towards C-C Bond Formation and Related Mechanisms. Adv. Synth. Catal. 2018, 360, 1306–1327. [Google Scholar] [CrossRef]
  19. Royes, J.; Cuenca, A.B.; Fernandez, E. Access to 1,1-Diborylalkenes and Concomitant Stereoselcitive Reactivity. Eur. J. Org. Chem. 2018, 2728–2739. [Google Scholar] [CrossRef]
  20. Wu, C.; Wang, J. Geminal bis(boron) compounds: Their preparation and synthetic applications. Tetrahedron Lett. 2018, 59, 2128–2140. [Google Scholar] [CrossRef]
  21. Ishiyama, T.; Yamamoto, M.; Miyaura, N. A Synthesis of (E)-(1-Organo-1-alkenyl)boronates by the Palladium-Catalyzed Cross-Coupling Reaction of (E)-1,2-Bis(boryl)-1-alkenes with Organic Halides: A Formal Carboboration of Alkynes via the Diboration-Coupling Sequence. Chem. Lett. 1996, 25, 1117–1118. [Google Scholar] [CrossRef]
  22. Brown, S.D.; Armstrong, R.W. Parallel Synthesis of Tamoxifen and Derivatives on Solid Support via Resin Capture. J. Org. Chem. 1997, 62, 7076–7077. [Google Scholar] [CrossRef]
  23. Iwadate, N.; Suginome, M. Differentially Protected Diboron for Regioselective Diboration of Alkynes: Internal-Selective Cross-Coupling of 1-Alkene-1,2-diboronic Acid Derivatives. J. Am. Chem. Soc. 2010, 132, 2548–2549. [Google Scholar] [CrossRef] [PubMed]
  24. Iwasaki, M.; Nishihara, Y. Synthesis of Multisubstituted Olefins through Regio- and Stereoselective Addition of Interelement Compounds Having B–Si, B–B, and Cl–S Bonds to Alkynes, and Subsequent Cross-Couplings. Chem. Rec. 2016, 16, 2031–2045. [Google Scholar] [CrossRef] [PubMed]
  25. Wang, C.; Wu, C.; Ge, S. Iron-Catalyszed E-selective Dehydrogenative borylation of Vinylarenes with Pinacolborane. ACS Catal. 2016, 6, 7585–7589. [Google Scholar] [CrossRef]
  26. Hu, J.; Zhao, Y.; Shi, Z. Highly tunable multi-borylation of gemdifluoroalkenes via copper catalysis. Nature Catalysis 2018, 1, 860–869. [Google Scholar] [CrossRef]
  27. Shimizu, M.; Nakamaki, C.; Shimono, K.; Schelper, M.; Kurahashi, T.; Hiyama, T. Stereoselective Cross-Coupling Reaction of 1,1-Diboryl-1-alkenes with Electrophiles:  A Highly Stereocontrolled Approach to 1,1,2-Triaryl-1-alkenes. J. Am. Chem. Soc. 2005, 127, 12506–12507. [Google Scholar] [CrossRef]
  28. Lennox, A.J.J.; Lloyd-Jones, G.C. Selection of boron reagents for Suzuki-Mayaura coupling. Chem. Soc. Rev. 2014, 43, 412–443. [Google Scholar] [CrossRef]
  29. Lee, J.C.H.; McDonald, R.; Hall, D.G. Enantioselective preparation and chemoselective cross-coupling of 1,1-diboron compounds. Nature Chem. 2011, 3, 894–899. [Google Scholar] [CrossRef]
  30. Sivaev, I.B.; Bregadze, V.I. Lewis acidity of boron compounds. Coord. Chem. Rev. 2014, 270–271, 75–88. [Google Scholar] [CrossRef]
  31. Lee, J.C.H.; Sun, H.-Y.; Hall, D.G. Optimization of Reaction and Substrate Activation in the Stereoselective Cross-Coupling of Chiral 3,3-Diboronyl Amides. J. Org. Chem. 2015, 80, 7134–7143. [Google Scholar] [CrossRef]
  32. Feng, X.; Jeon, H.; Yun, J. Regio- and Enantioselective Copper(I)-Catalyzed Hydroboration of Borylalkenes: Asymmetric Synthesis of 1,1-Diborylalkanes. Angew. Chem. Int. Ed. 2013, 52, 3989–3992. [Google Scholar] [CrossRef]
  33. Cuenca, A.B.; Cid, J.; García-López, D.; Carbó, J.J.; Fernández, E. Unsymmetrical 1,1-diborated multisubstituted sp3-carbons formed via a metal-free concerted-asynchronous mechanism. Org. Biomol. Chem. 2015, 13, 9659–9664. [Google Scholar] [CrossRef] [PubMed]
  34. Fleige, M.; Mo¨bus, J.; Stein, T.V.; Glorius, F.; Stephan, D.W. Lewis acid catalysis: Catalytic hydroboration of alkynes initiated by Piers’ borane. Chem. Commun. 2016, 52, 10830–10833. [Google Scholar] [CrossRef] [PubMed]
  35. Lin, S.; Wang, L.; Aminoleslami, N.; Lao, Y.; Yagel, C.; Sharma, A. A modular and concise approach to MIDA acylboronates via chemoselective oxidation of unsymmetrical geminal diborylalkanes: Unlocking access to a novel class of acylborons. Chem. Sci. 2019, 10, 4684–4691. [Google Scholar] [CrossRef] [PubMed]
  36. Kumar, N.; Reddy, R.R.; Masarwa, A. Stereoselective Desymmetrization of gem-Diborylalkanes by “Trifluorination”. Chem. Eur. J. 2019, 25, 8008–8012. [Google Scholar] [CrossRef]
  37. Liu, Y.-L.; Kehr, G.; Daniliuc, C.G.; Erker, G. Geminal bis-borane formation by borane Lewis acid induced cyclopropyl rearrangement and its frustrated Lewis pair reaction with carbon dioxide. Chem. Sci. 2017, 8, 1097–1104. [Google Scholar] [CrossRef]
  38. Liu, Y.-L.; Kehr, G.; Daniliuc, C.G.; Erker, G. Metal-Free Arene and Heteroarene Borylation Catalyzed by Strongly Electrophilic Bis-boranes. Chem. Eur. J. 2017, 23, 12141–12144. [Google Scholar] [CrossRef]
  39. Krautwald, S.; Bezdek, M.J.; Chirik, P.J. Cobalt-Catalyzed 1,1-Diboration of Terminal Alkynes: Scope, Mechanism, and Synthetic Applications. J. Am. Chem. Soc. 2017, 139, 3868–3875. [Google Scholar] [CrossRef]
  40. Kehr, G.; Erker, G. 1,1-Carboboration. Chem. Commun. 2012, 48, 1839–1850. [Google Scholar] [CrossRef]
  41. Suginome, M. Catalytic Carboborations. Chem. Rec. 2010, 10, 348–358. [Google Scholar] [CrossRef]
  42. Chen, C.; Voss, T.; Frohlich, R.; Kehr, G.; Erker, G. 1,1-Carboboration of 1-Alkynes: A Conceptual Alternative to the Hydroboration Reaction. Org. Lett. 2011, 13, 62–65. [Google Scholar] [CrossRef]
  43. Compton, J.S.; Saeednia, B.; Kelly, C.B.; Molander, G.A. 3-Boryl-2,1-borazaronaphthalene: Umpolung Reagents for Diversifying Naphthalene Isosteres. J. Org. Chem. 2018, 83, 9484–9491. [Google Scholar] [CrossRef] [PubMed]
  44. Hyodo, K.; Suetsugu, M.; Nishihara, Y. Diborylation of Alkynyl MIDA Boronates and Sequential Chemoselective Suzuki−Miyaura Couplings: A Formal Carboborylation of Alkynes. Org. Lett. 2014, 16, 440–443. [Google Scholar] [CrossRef] [PubMed]
  45. Tani, T.; Sawatsugawa, Y.; Sano, Y.; Hirataka, Y.; Takahashi, N.; Hashimoto, S.; Sugiura, T.; Tsuchimotoa, T. Alkynyl–B(dan)s in Various Palladium-Catalyzed Carbon–Carbon Bond-Forming Reactions Leading to Internal Alkynes,1,4-Enynes, Ynones, and Multiply Substituted Alkenes. Adv. Synth. Catal. 2019, 361, 1815–1834. [Google Scholar] [CrossRef]
  46. Zhao, F.; Jia, X.; Li, P.; Zhao, J.; Zhou, Y.; Wang, J.; Liu, H. Catalytic and catalyst-free diboration of alkynes. Org. Chem. Front. 2017, 4, 2235–2255. [Google Scholar] [CrossRef]
  47. Ishiyama, T.; Matsuda, N.; Miyaura, N.; Suzuki, A. Platinum(0)-Catalyzed Diboration of Alkynes. J. Am. Chem. Soc. 1993, 115, 11018–11019. [Google Scholar] [CrossRef]
  48. Li, H.; Carroll, P.J.; Walsh, P.J. Generation and Tandem Reactions of 1-Alkenyl-1,1-Heterobimetallics: Practical and Versatile Reagents for Organic Synthesis. J. Am. Chem. Soc. 2008, 130, 3521–3531. [Google Scholar] [CrossRef]
  49. Braunschweig, H.; Damme, A.; Dewhurst, R.D.; Ghosh, S.; Kramer, T.; Pfaffinger, B.; Radacki, K.; Vargas, A. Electronic and Structural Effects of Stepwise Borylation and Quaternization on Borirene Aromaticity. J. Am. Chem. Soc. 2013, 135, 1903–1911. [Google Scholar] [CrossRef]
  50. Weber, L.; Eickhoff, D.; Halama, J.; Werner, S.; Kahlert, J.; Stammler, H.G.; Neumann, B. Hydroboration of Alkyne-Functionalized 1,3,2- Benzodiazaboroles. Eur. J. Inorg. Chem. 2013, 2608–2614. [Google Scholar] [CrossRef]
  51. Ge, F.; Kehr, G.; Daniliuc, C.G.; Lichtenfeld, C.M.; Erker, G. Trisubstituted Boroles by 1,1-Carboboration. Organometallics 2015, 34, 4205–4208. [Google Scholar] [CrossRef]
  52. Ge, F.; Tao, X.; Daniliuc, C.G.; Kehr, G.; Erker, G. The Borole Route to Reactive Pentafluorophenyl-Substituted Diboranes(4). Angew. Chem. Int. Ed. 2018, 57, 14570–14574. [Google Scholar] [CrossRef]
Scheme 1. Overview of 1,1-bis(boron) species: their preparation and chemoselective transformations. (A) Previous works (B) This work (C) Bismetalated-carbon examples (D) Classification of gemdiboryl compounds (E) examples of selective transformations of gemdiboryl compounds (F) Overview of selected examples of organoboron that covered in this review (G) Reactivities scale of selected examples of organoborones bonds.
Scheme 1. Overview of 1,1-bis(boron) species: their preparation and chemoselective transformations. (A) Previous works (B) This work (C) Bismetalated-carbon examples (D) Classification of gemdiboryl compounds (E) examples of selective transformations of gemdiboryl compounds (F) Overview of selected examples of organoboron that covered in this review (G) Reactivities scale of selected examples of organoborones bonds.
Molecules 25 00959 sch001
Scheme 2. (A) Preparation of chiral 1,1-bis(boryl) carboxy esters via copper-catalyzed conjugate borylation. (B) Cross-coupling reaction of enantiomerically pure 1,1-bis(boryl) carboxy ester and the transition state for the transmetallation reaction.
Scheme 2. (A) Preparation of chiral 1,1-bis(boryl) carboxy esters via copper-catalyzed conjugate borylation. (B) Cross-coupling reaction of enantiomerically pure 1,1-bis(boryl) carboxy ester and the transition state for the transmetallation reaction.
Molecules 25 00959 sch002
Scheme 3. Cross-coupling reaction of chiral 1,1-bis(boryl)alkane with aryl bromides.
Scheme 3. Cross-coupling reaction of chiral 1,1-bis(boryl)alkane with aryl bromides.
Molecules 25 00959 sch003
Scheme 4. Synthetic transformations of chiral unsymmetrical 1,1-bis(borane) compounds.
Scheme 4. Synthetic transformations of chiral unsymmetrical 1,1-bis(borane) compounds.
Molecules 25 00959 sch004
Scheme 5. Copper-catalyzed enantioselective hydroboration of alkenes.
Scheme 5. Copper-catalyzed enantioselective hydroboration of alkenes.
Molecules 25 00959 sch005
Scheme 6. Synthetic transformations of chiral unsymmetrical 1,1-bis(boryl)alkanes.
Scheme 6. Synthetic transformations of chiral unsymmetrical 1,1-bis(boryl)alkanes.
Molecules 25 00959 sch006
Scheme 7. Metal-free insertion of diazo compounds into pinB–Bdan.
Scheme 7. Metal-free insertion of diazo compounds into pinB–Bdan.
Molecules 25 00959 sch007
Scheme 8. Diastereoselective unsymmetrical 1,1-diboration of substituted cyclohexanones.
Scheme 8. Diastereoselective unsymmetrical 1,1-diboration of substituted cyclohexanones.
Molecules 25 00959 sch008
Scheme 9. Proposed diastereo-isomeric pathways for the 1,1-bisboration of 4-CF3-cyclohexanone with pinB–Bdan and the relative Gibbs free energies in kcal/mol.
Scheme 9. Proposed diastereo-isomeric pathways for the 1,1-bisboration of 4-CF3-cyclohexanone with pinB–Bdan and the relative Gibbs free energies in kcal/mol.
Molecules 25 00959 sch009
Scheme 10. Unsymmetrical 1,1-bis(borane) catalyzing the hydroboration of alkyne.
Scheme 10. Unsymmetrical 1,1-bis(borane) catalyzing the hydroboration of alkyne.
Molecules 25 00959 sch010
Scheme 11. Synthesis of unsymmetrical 1,1-bis(borane) products.
Scheme 11. Synthesis of unsymmetrical 1,1-bis(borane) products.
Molecules 25 00959 sch011
Scheme 12. Synthesis of N-methyliminodiacetic acid (MIDA) acylboranates via chemoselective oxidation.
Scheme 12. Synthesis of N-methyliminodiacetic acid (MIDA) acylboranates via chemoselective oxidation.
Molecules 25 00959 sch012
Scheme 13. Synthesis of MIDA acylboranates via chemoselective oxidation.
Scheme 13. Synthesis of MIDA acylboranates via chemoselective oxidation.
Molecules 25 00959 sch013
Scheme 14. Synthesis of hydroxymethyl MIDA boronates.
Scheme 14. Synthesis of hydroxymethyl MIDA boronates.
Molecules 25 00959 sch014
Scheme 15. Desymmetrization via nucleophilic trifluorination and the proposed mechanism.
Scheme 15. Desymmetrization via nucleophilic trifluorination and the proposed mechanism.
Molecules 25 00959 sch015
Scheme 16. Diastereoselective desymmetrization of cyclopropanes via nucleophilic trifluorination.
Scheme 16. Diastereoselective desymmetrization of cyclopropanes via nucleophilic trifluorination.
Molecules 25 00959 sch016
Scheme 17. Synthetic transformation of trifluoroborane salt 47 into (A) boronic acid 48; (B) unsymmetrical 1,1-bis(borane) product 49.
Scheme 17. Synthetic transformation of trifluoroborane salt 47 into (A) boronic acid 48; (B) unsymmetrical 1,1-bis(borane) product 49.
Molecules 25 00959 sch017
Scheme 18. (A) Intermolecular Suzuki–Miyaura cross-coupling (SMCC); (B) intramolecular SMCC.
Scheme 18. (A) Intermolecular Suzuki–Miyaura cross-coupling (SMCC); (B) intramolecular SMCC.
Molecules 25 00959 sch018
Scheme 19. (A) Formation and (B) rearrangement of tetrahydroboroles.
Scheme 19. (A) Formation and (B) rearrangement of tetrahydroboroles.
Molecules 25 00959 sch019
Scheme 20. Frustrated Lewis pair (FLP) reaction of unsymmetrical 1,1-bisboroles.
Scheme 20. Frustrated Lewis pair (FLP) reaction of unsymmetrical 1,1-bisboroles.
Molecules 25 00959 sch020
Scheme 21. Interconversion of cis-borolone into trans-borole and its FLP reactions.
Scheme 21. Interconversion of cis-borolone into trans-borole and its FLP reactions.
Molecules 25 00959 sch021
Scheme 22. 1,1-bis(borane)-catalyzed borylation of N-methylindole.
Scheme 22. 1,1-bis(borane)-catalyzed borylation of N-methylindole.
Molecules 25 00959 sch022
Scheme 23. Cobalt-catalyzed stereoselective 1,1-diboration of terminal alkynes with pinB–Bdan.
Scheme 23. Cobalt-catalyzed stereoselective 1,1-diboration of terminal alkynes with pinB–Bdan.
Molecules 25 00959 sch023
Scheme 24. Selective Suzuki–Miyaura cross-coupling at Bpin.
Scheme 24. Selective Suzuki–Miyaura cross-coupling at Bpin.
Molecules 25 00959 sch024
Scheme 25. (A) Pd-catalyzed borylation of brominated 2,1-borazaronaphthalenes; (B) synthesis of 3-BF3K-2,1-borazaronaphthalenes.
Scheme 25. (A) Pd-catalyzed borylation of brominated 2,1-borazaronaphthalenes; (B) synthesis of 3-BF3K-2,1-borazaronaphthalenes.
Molecules 25 00959 sch025
Scheme 26. Scope of the direct cross-coupling with (A) 3-Bpin-B-phenyl-2,1-borazaronaphthalene and (B) 3-BF3K-B-phenyl-2,1-borazaronaphthalene.
Scheme 26. Scope of the direct cross-coupling with (A) 3-Bpin-B-phenyl-2,1-borazaronaphthalene and (B) 3-BF3K-B-phenyl-2,1-borazaronaphthalene.
Molecules 25 00959 sch026
Scheme 27. (A) Stereoselective platinum-catalyzed 1,2-diborylation of alkyne; (B) chemoselective Suzuki–Miyaura coupling of 66.
Scheme 27. (A) Stereoselective platinum-catalyzed 1,2-diborylation of alkyne; (B) chemoselective Suzuki–Miyaura coupling of 66.
Molecules 25 00959 sch027
Scheme 28. Determination of the stereochemistry of arylated product 67.
Scheme 28. Determination of the stereochemistry of arylated product 67.
Molecules 25 00959 sch028
Scheme 29. Suzuki–Miyaura coupling of 66a with benzyl chloride.
Scheme 29. Suzuki–Miyaura coupling of 66a with benzyl chloride.
Molecules 25 00959 sch029
Scheme 30. (A) Platinum-catalyzed 1,2-diboration of alkyne with B2(pin)2; (B) Suzuki–Miyaura cross-coupling reactions to afford the tetra-arylalkene 72.
Scheme 30. (A) Platinum-catalyzed 1,2-diboration of alkyne with B2(pin)2; (B) Suzuki–Miyaura cross-coupling reactions to afford the tetra-arylalkene 72.
Molecules 25 00959 sch030
Scheme 31. Synthesis of allylic alcohols from alkyne via unsymmetrical diborylalkenes.
Scheme 31. Synthesis of allylic alcohols from alkyne via unsymmetrical diborylalkenes.
Molecules 25 00959 sch031
Scheme 32. (A) Photolytic synthesis of borirenes; (B) reactivity of borirenes toward bases; (C) dequarternization of borirenes.
Scheme 32. (A) Photolytic synthesis of borirenes; (B) reactivity of borirenes toward bases; (C) dequarternization of borirenes.
Molecules 25 00959 sch032
Scheme 33. Hydroboration of alkynes with HBCy2 (dicyclohexylborane).
Scheme 33. Hydroboration of alkynes with HBCy2 (dicyclohexylborane).
Molecules 25 00959 sch033
Scheme 34. (A) 1,1-carboboration of 84; (B) the synthesis of 1,1-bis(borane) from a mixture of 1,3,4-trisubtituted boroles and Z-7.
Scheme 34. (A) 1,1-carboboration of 84; (B) the synthesis of 1,1-bis(borane) from a mixture of 1,3,4-trisubtituted boroles and Z-7.
Molecules 25 00959 sch034
Scheme 35. The diboration of alkyne.
Scheme 35. The diboration of alkyne.
Molecules 25 00959 sch035

Share and Cite

MDPI and ACS Style

Babu, K.N.; Massarwe, F.; Reddy, R.R.; Eghbarieh, N.; Jakob, M.; Masarwa, A. Unsymmetrical 1,1-Bisboryl Species: Valuable Building Blocks in Synthesis. Molecules 2020, 25, 959. https://doi.org/10.3390/molecules25040959

AMA Style

Babu KN, Massarwe F, Reddy RR, Eghbarieh N, Jakob M, Masarwa A. Unsymmetrical 1,1-Bisboryl Species: Valuable Building Blocks in Synthesis. Molecules. 2020; 25(4):959. https://doi.org/10.3390/molecules25040959

Chicago/Turabian Style

Babu, K. Naresh, Fedaa Massarwe, Reddy Rajasekhar Reddy, Nadim Eghbarieh, Manuella Jakob, and Ahmad Masarwa. 2020. "Unsymmetrical 1,1-Bisboryl Species: Valuable Building Blocks in Synthesis" Molecules 25, no. 4: 959. https://doi.org/10.3390/molecules25040959

APA Style

Babu, K. N., Massarwe, F., Reddy, R. R., Eghbarieh, N., Jakob, M., & Masarwa, A. (2020). Unsymmetrical 1,1-Bisboryl Species: Valuable Building Blocks in Synthesis. Molecules, 25(4), 959. https://doi.org/10.3390/molecules25040959

Article Metrics

Back to TopTop