Exploration of Mechanochemical Activation in Solid-State Fluoro-Grignard Reactions
Abstract
1. Introduction
2. Results and Discussion
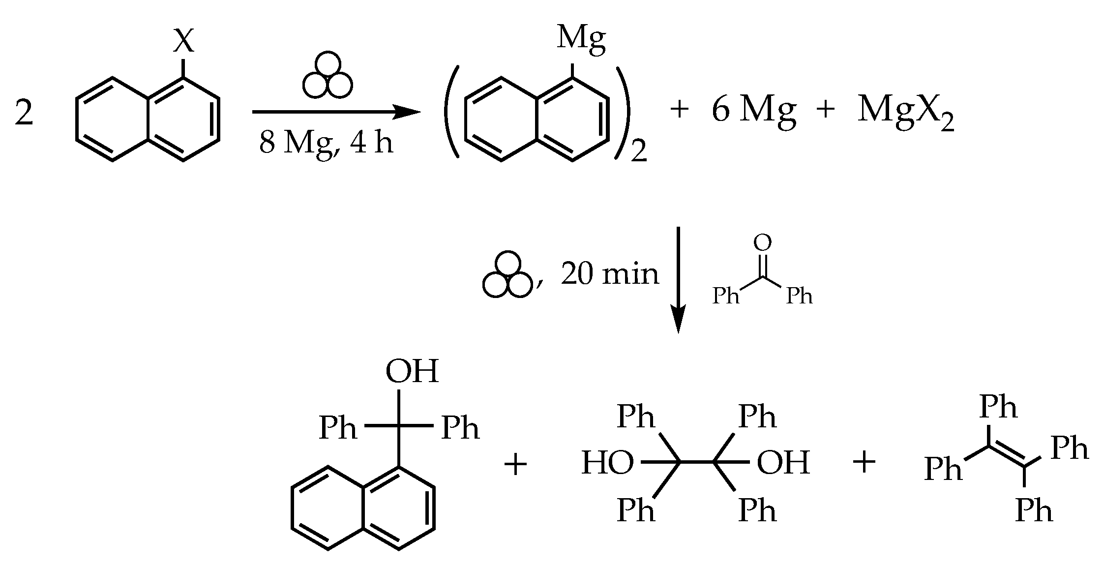
2.1. Exploration of Mechanochemically Generated Grignard Reagents
2.2. Charge Analysis of Grignard Reagents
3. Materials and Methods
3.1. General Procedure for Homocoupling Reactions
3.2. General Procedure for Quenching Reactions
3.3. Procedures for Computational Analysis
4. Conclusions
Supplementary Materials
Author Contributions
Funding
Conflicts of Interest
References and Notes
- Silverman, G.S.; Rakita, P.E. Handbook of Grignard Reagents; Marcel Dekker, Inc.: New York, NY, USA, 1996. [Google Scholar]
- Richey, H.G., Jr. Grignard Reagents: New Developments; J. Wiley and Sons., Ltd.: Chicester, UK, 2000. [Google Scholar]
- Ziegler, D.S.; Wei, B.; Knochel, P. Improving the Halogen–Magnesium Exchange by using New Turbo-Grignard Reagents. Chem.—Eur. J. 2019, 25, 2695–2703. [Google Scholar] [CrossRef] [PubMed]
- Beillard, A.; Bantreil, X.; Métro, T.-X.; Martinez, J.; Lamaty, F. Alternative Technologies That Facilitate Access to Discrete Metal Complexes. Chem. Rev. 2019, 119, 7529–7609. [Google Scholar] [CrossRef] [PubMed]
- Horst, C.; Chen, Y.S.; Kunz, U.; Hoffmann, U. Design, modeling and performance of a novel sonochemical reactor for heterogeneous reactions. Chem. Eng. Sci. 1996, 51, 1837–1846. [Google Scholar] [CrossRef]
- Tuulmets, A.; Panov, D. Solvation effects in partially solvated Grignard reagents. J. Organomet. Chem. 1999, 575, 182–186. [Google Scholar] [CrossRef]
- Baig, R.B.N.; Varma, R.S. Alternative energy input: Mechanochemical, microwave and ultrasound-assisted organic synthesis. Chem. Soc. Rev. 2012, 41, 1559–1584. [Google Scholar] [CrossRef] [PubMed]
- Rieke, R.D.; Hudnall, P.M. Activated Metals. I. Preparation of Highly Reactive Magnesium Metal. J. Am. Chem. Soc. 1972, 94, 7178–7179. [Google Scholar] [CrossRef]
- Rieke, R.D.; Li, P.T.-J.; Burns, T.P.; Uhm, S.T. Preparation of highly reactive metal powders. New procedure for the preparation of highly reactive zinc and magnesium metal powders. J. Org. Chem. 1981, 46, 4323–4324. [Google Scholar] [CrossRef]
- Rieke, R.D.; Burns, T.P.; Wehmeyer, R.M.; Kahn, B.E. Preparation of Highly Reactive Metal Powders: Some of Their Uses in Organic and Organometallic Synthesis. ACS Symp. Ser. 1987, 333, 223–245. [Google Scholar]
- Burns, T.P.; Rieke, R.D. Highly reactive magnesium and its application to organic syntheses. J. Org. Chem. 1987, 52, 3674–3680. [Google Scholar] [CrossRef]
- Rieke, R.D. Preparation of Organometallic Compounds from Highly Reactive Metal Powders. Science 1989, 246, 1260–1264. [Google Scholar] [CrossRef]
- Rieke, R.D.; Hanson, M.V. New organometallic reagents using highly reactive metals. Tetrahedron 1997, 53, 1925–1956. [Google Scholar] [CrossRef]
- Rieke, R.D. Chemical Synthesis Using Highly Reactive Metals; John Wiley: Hobocken, NJ, USA, 2017; p. 480. [Google Scholar]
- James, S.L.; Adams, C.J.; Bolm, C.; Braga, D.; Collier, P.; Friščić, T.; Grepioni, F.; Harris, K.D.M.; Hyett, G.; Jones, W.; et al. Mechanochemistry: Opportunities for new and cleaner synthesis. Chem. Soc. Rev. 2012, 41, 413–447. [Google Scholar] [CrossRef] [PubMed]
- Rightmire, N.R.; Hanusa, T.P. Advances in Organometallic Synthesis with Mechanochemical Methods. Dalton Trans. 2016, 45, 2352–2362. [Google Scholar] [CrossRef] [PubMed]
- Do, J.-L.; Friščić, T. Chemistry 2.0: Developing a New, Solvent-Free System of Chemical Synthesis Based on Mechanochemistry. Synlett 2017, 28, 2066–2092. [Google Scholar] [CrossRef]
- Howard, J.L.; Cao, Q.; Browne, D.L. Mechanochemistry as an emerging tool for molecular synthesis: What can it offer? Chem. Sci. 2018, 9, 3080–3094. [Google Scholar] [CrossRef]
- Tan, D.; García, F. Main group mechanochemistry: From curiosity to established protocols. Chem. Soc. Rev. 2019, 48, 2274–2292. [Google Scholar] [CrossRef]
- Friščić, T.; Mottillo, C.; Titi, H.M. Mechanochemistry for Synthesis. Angew. Chem. Int. Ed. 2020, 59, 1018–1029. [Google Scholar] [CrossRef]
- Veit, M.; Hoffmann, U. Reaction mill for liquid/solid conversions to Grignard compounds. Chem. Ing. Tech. 1996, 68, 1279–1282. [Google Scholar] [CrossRef]
- Waddell, D.C.; Clark, T.D.; Mack, J. Conducting moisture sensitive reactions under mechanochemical conditions. Tetrahedron Lett. 2012, 53, 4510–4513. [Google Scholar] [CrossRef]
- Birke, V.; Schutt, C.; Burmeier, H.; Ruck, W. Defined Mechanochemical Reductive Dechlorination of 1,3,5-Trichlorobenzene at Room Temperature in a Ball Mill. Fresenius Environ. Bull. 2011, 20, 2794–2805. [Google Scholar]
- Rowlands, S.A.; Hall, A.K.; McCormick, P.G.; Street, R.; Hart, R.J.; Ebell, G.F.; Donecker, P. Destruction of toxic materials. Nature 1994, 367, 223. [Google Scholar] [CrossRef]
- Birke, V.; Schütt, C.; Ruck, W.K.L. Small Particle Size Magnesium in One-pot Grignard-Zerewitinoff-like Reactions Under Mechanochemical Conditions: On the Kinetics of Reductive Dechlorination of Persistent Organic Pollutants (POPs). In Environmental Applications of Nanoscale and Microscale Reactive Metal Particles; American Chemical Society: Washington, DC, USA, 2009; Volume 1027, pp. 39–54. [Google Scholar]
- Harrowfield, J.M.; Hart, R.J.; Whitaker, C.R. Magnesium and aromatics: Mechanically-induced Grignard and McMurry reactions. Aust. J. Chem. 2001, 54, 423–425. [Google Scholar] [CrossRef]
- Kaupp, G. Mechanochemistry: The varied applications of mechanical bond-breaking. CrystEngComm 2009, 11, 388–403. [Google Scholar] [CrossRef]
- Huheey, J.E.; Keiter, E.A.; Keiter, R.L. Inorg. Chem.: Principles of Structure and Reactivity, 4th ed.; Harper Collins: New York, NY, USA, 1993; p. A-30. [Google Scholar]
- Ashby, E.C.; Al-Fekri, D.M. The reaction of benzotrihalides and benzal halides with magnesium. Synthetic and mechanistic studies. J. Organomet. Chem. 1990, 390, 275–292. [Google Scholar] [CrossRef]
- Swarts, F. Some aliphatic fluorides. Bull. Soc. Chim. Belg. 1921, 30, 302–305. [Google Scholar]
- Respess, W.L.; Ward, J.P.; Tamborski, C. The preparation of a Grignard reagent from hexafluorobenzene by the entrainment technique. J. Organomet. Chem. 1969, 19, 191–195. [Google Scholar] [CrossRef]
- Ashby, E.C.; Nackashi, J. The preparation of organomagnesium fluorides by organometallic exchange reactions. J. Organomet. Chem. 1974, 72, 11–20. [Google Scholar] [CrossRef]
- Paterová, J.; Skalický, M.; Rybáčková, M.; Kvíčalová, M.; Cvačka, J.; Kvíčala, J. Synthesis of 2-(perfluoroalkyl)ethyl potassium sulfates based on perfluorinated Grignard reagents. J. Fluorine Chem. 2010, 131, 1338–1343. [Google Scholar] [CrossRef]
- Respess, W.L.; Tamborski, C. A new synthesis of perfluoroaromatic Grignard reagents. J. Organometal. Chem. 1969, 18, 263–274. [Google Scholar] [CrossRef]
- Beck, C.M.; Park, Y.-J.; Crabtree, R.H. Direct conversion of perfluoroalkanes and perfluoroarenes to perfluoro Grignard reagents. Chem. Commun. 1998, 693–694. [Google Scholar] [CrossRef]
- Rieke, R.D. Preparation of highly reactive metal powders and their use in organic and organometallic synthesis. Acc. Chem. Res. 1977, 10, 301–306. [Google Scholar] [CrossRef]
- Subsequent improvements in the process, including the addition of KI as a promoter, improved yields substantially, and p-fluorotoluene was found to produce the corresponding benzoic acid in 69% yield; fluorooctane yielded 89% of the carboxylic acid. See Ref. 36.
- Bare, W.D.; Andrews, L. Formation of Grignard Species from the Reaction of Methyl Halides with Laser-Ablated Magnesium Atoms. A Matrix Infrared Study of CH3MgF, CH3MgCl, CH3MgBr, and CH3MgI. J. Am. Chem. Soc. 1998, 120, 7293–7301. [Google Scholar] [CrossRef]
- Tjurina, L.A.; Smirnov, V.V.; Barkovskii, G.B.; Nikolaev, E.N.; Esipov, S.E.; Beletskaya, I.P. Cluster Grignard Reagents. Organometallics 2001, 20, 2449–2450. [Google Scholar] [CrossRef]
- Tjurina, L.A.; Smirnov, V.V.; Potapov, D.A.; Nikolaev, S.A.; Esipov, S.E.; Beletskaya, I.P. Synthesis of Cluster Alkyl and Aryl Grignard Reagents in Solution. Organometallics 2004, 23, 1349–1351. [Google Scholar] [CrossRef]
- Green, S.P.; Jones, C.; Stasch, A. Stable Magnesium(I) Compounds with Mg-Mg Bonds. Science 2007, 318, 1754–1757. [Google Scholar] [CrossRef]
- Bonyhady, S.J.; Jones, C.; Nembenna, S.; Stasch, A.; Edwards, A.J.; McIntyre, G.J. β-Diketiminate-Stabilized Magnesium(I) Dimers and Magnesium(II) Hydride Complexes: Synthesis, Characterization, Adduct Formation, and Reactivity Studies. Chem.–Eur. J. 2010, 16, 938–955. [Google Scholar] [CrossRef]
- Bakewell, C.; White, A.J.P.; Crimmin, M.R. Addition of Carbon-Fluorine Bonds to a Mg(I)-Mg(I) Bond: An Equivalent of Grignard Formation in Solution. J. Am. Chem. Soc. 2016, 138, 12763–12766. [Google Scholar] [CrossRef]
- Nagano, T.; Hayashi, T. Iron-Catalyzed Oxidative Homo-Coupling of Aryl Grignard Reagents. Org. Lett. 2005, 7, 491–493. [Google Scholar] [CrossRef]
- Other potential coupling reagents were tried (Fe(acac)3, MnCl2, and 3,3′,5,5′-tetra-t-butyl-diphenoquinone), but none were as effective as FeCl3. This may be a result of differing optimum coupling conditions in the solid state relative to those in solution.
- Davies, D.I.; Done, J.N.; Hey, D.H. Aspects of the metallic halide-catalysed reaction of Grignard reagents with organic halides. Part II. Effect of variation in reactants. J. Chem. Soc. C: Organic 1969, 1392–1401. [Google Scholar] [CrossRef]
- Shan, N.; Toda, F.; Jones, W. Mechanochemistry and co-crystal formation: Effect of solvent on reaction kinetics. Chem. Commun. 2002, 2372–2373. [Google Scholar] [CrossRef]
- Friščić, T.; Trask, A.V.; Jones, W.; Motherwell, W.D.S. Screening for Inclusion Compounds and Systematic Construction of Three-Component Solids by Liquid-Assisted Grinding. Angew. Chem. Int. Ed. 2006, 45, 7546–7550. [Google Scholar] [CrossRef] [PubMed]
- Friščić, T.; Childs, S.L.; Rizvi, S.A.A.; Jones, W. The role of solvent in mechanochemical and sonochemical cocrystal formation: A solubility-based approach for predicting cocrystallisation outcome. CrystEngComm 2009, 11, 418–426. [Google Scholar] [CrossRef]
- Bandari, R.; Höche, T.; Prager, A.; Dirnberger, K.; Buchmeiser, M.R. Ring-Opening Metathesis Polymerization Based Pore-Size-Selective Functionalization of Glycidyl Methacrylate Based Monolithic Media: Access to Size-Stable Nanoparticles for Ligand-Free Metal Catalysis. Chem.–Eur. J. 2010, 16, 4650–4658. [Google Scholar] [CrossRef] [PubMed]
- Viswanathan, G.S.; Wang, M.; Li, C.-J. A Highly Regioselective Synthesis of Polysubstituted Naphthalene Derivatives through Gallium Trichloride Catalyzed Alkyne–Aldehyde Coupling. Angew. Chem. Int. Ed. 2002, 41, 2138–2141. [Google Scholar] [CrossRef]
- Nising, C.F.; Schmid, U.K.; Nieger, M.; Bräse, S. A New Protocol for the One-Pot Synthesis of Symmetrical Biaryls. J. Org. Chem. 2004, 69, 6830–6833. [Google Scholar] [CrossRef]
- Cassidei, L.; Sciacovelli, O. Iterative analysis of the 1H NMR spectra of naphthalene (AA′ A″ A‴ BB′ B″ B‴ system) and two of its derivatives. Org. Magn. Reson. 1981, 15, 257–262. [Google Scholar] [CrossRef]
- Frisch, M.J.; Trucks, G.W.; Schlegel, H.B.; Scuseria, G.E.; Robb, M.A.; Cheeseman, J.R.; Scalmani, G.; Barone, V.; Petersson, G.A.; Nakatsuji, H.; et al. Gaussian 16 Rev. C.01; Gaussian, Inc.: Wallingford, CT, USA, 2016. [Google Scholar]
- Becke, A.D. Density-functional thermochemistry. III. The role of exact exchange. J. Chem. Phys. 1993, 98, 5648–5652. [Google Scholar] [CrossRef]
- Grimme, S.; Antony, J.; Ehrlich, S.; Krieg, H. A consistent and accurate ab initio parametrization of density functional dispersion correction (DFT-D) for the 94 elements H-Pu. J. Chem. Phys. 2010, 132, 154104. [Google Scholar] [CrossRef]
- Grimme, S.; Ehrlich, S.; Goerigk, L. Effect of the damping function in dispersion corrected density functional theory. J. Comput. Chem. 2011, 32, 1456–1465. [Google Scholar] [CrossRef]
- Weigend, F.; Ahlrichs, R. Balanced basis sets of split valence, triple zeta valence and quadruple zeta valence quality for H to Rn: Design and assessment of accuracy. Phys. Chem. Chem. Phys. 2005, 7, 3297–3305. [Google Scholar] [CrossRef]
- Reed, A.E.; Weinstock, R.B.; Weinhold, F.J. Natural population analysis. J. Chem. Phys. 1985, 83, 735–746. [Google Scholar] [CrossRef]
- Reed, A.E.; Curtiss, L.A.; Weinhold, F. Intermolecular interactions from a natural bond orbital, donor-acceptor viewpoint. Chem. Rev. 1988, 88, 899–926. [Google Scholar] [CrossRef]
Sample Availability: Samples of the compounds are not available from the authors. |


![]() | |
| Aryl Halide | Isolated Yield |
![]() | 22% |
![]() | 20% |
![]() | 21% |
![]() | 22% |
© 2020 by the authors. Licensee MDPI, Basel, Switzerland. This article is an open access article distributed under the terms and conditions of the Creative Commons Attribution (CC BY) license (http://creativecommons.org/licenses/by/4.0/).
Share and Cite
Speight, I.R.; Hanusa, T.P. Exploration of Mechanochemical Activation in Solid-State Fluoro-Grignard Reactions. Molecules 2020, 25, 570. https://doi.org/10.3390/molecules25030570
Speight IR, Hanusa TP. Exploration of Mechanochemical Activation in Solid-State Fluoro-Grignard Reactions. Molecules. 2020; 25(3):570. https://doi.org/10.3390/molecules25030570
Chicago/Turabian StyleSpeight, Isaiah R., and Timothy P. Hanusa. 2020. "Exploration of Mechanochemical Activation in Solid-State Fluoro-Grignard Reactions" Molecules 25, no. 3: 570. https://doi.org/10.3390/molecules25030570
APA StyleSpeight, I. R., & Hanusa, T. P. (2020). Exploration of Mechanochemical Activation in Solid-State Fluoro-Grignard Reactions. Molecules, 25(3), 570. https://doi.org/10.3390/molecules25030570






