Flammability Tests and Investigations of Properties of Lignin-Containing Polymer Composites Based on Acrylates
Abstract
1. Introduction
2. Results and Discussion
2.1. Nuclear Magnetic Resonance Characterization of Lignin
2.2. Characterization of Cured Composites
2.3. ATR-FTIR Analysis of Parent Composites
2.4. Mechanical Properties
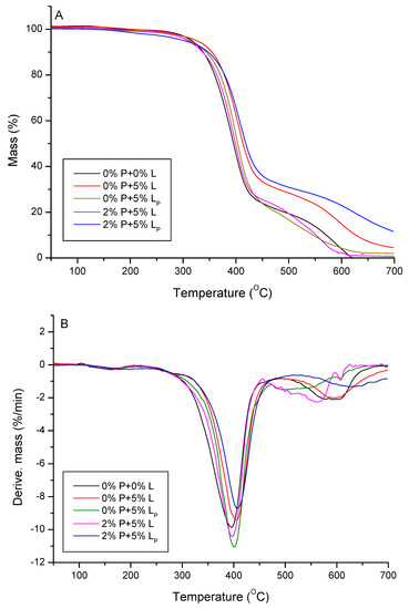
2.5. Thermogravimetric Analysis
2.6. Hardness of Composites
2.7. Flammability Tests
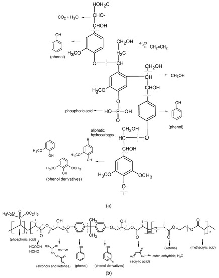
2.8. Characterization of Composites after Flammability Tests
3. Materials and Method
3.1. Materials and Chemicals
3.2. Modification of Kraft Lignin
3.3. Synthesis of Composites
3.4. Characterization Methods
4. Conclusions
Author Contributions
Funding
Conflicts of Interest
References
- Weil, E.D.; Lewin, M. Mechanisms and modes of action in flame retardancy of polymers. In Fire Retardant Materials, 1st ed.; Horrocks, A.R., Price, D., Eds.; CRC Press: Cambridge, UK, 2001; pp. 31–68. [Google Scholar]
- Hobbs, C. Recent Advances in Bio-Based Flame Retardant Additives for Synthetic Polymeric Materials. Polymers 2019, 11, 224. [Google Scholar] [CrossRef] [PubMed]
- Levchik, S.V.; Weil, E.D. A Review of Recent Progress in Phosphorus-based Flame Retardants. J. Fire Sci. 2006, 24, 345–364. [Google Scholar] [CrossRef]
- Granzow, A. Flame Retardation by Phosphorus Compounds. Acc. Chem. Res. 1978, 11, 177–183. [Google Scholar] [CrossRef]
- Raymond, H.; El Hage, R.; Sonnier, R.; Oyazaghine, B.; Rouif, S.; Nakhl, M.; Lopez-Cuesta, J.M. Influence of lignocellulosic substrate and phosphorus flame retardant type on grafting yield and flame retardancy. React. Funct. Polym. 2020, 153, 104612. [Google Scholar]
- Joseph, P.; Edbon, J.R. Phoshorus-based flame retardants. In Fire Retardancy of Polymeric Materials, 2nd ed.; Wilkie, C.A., Morgan, A.B., Eds.; CRC Press: Boca Raton, FL, USA, 2010; pp. 107–128. [Google Scholar]
- Ahmad, Z.; Al Dajani, W.W.; Paleologou, M.; Xu, C. Sustainable process for the depolymerization/oxidation of softwood and hardwood kraft lignins using hydrogen peroxide under ambient conditions. Molecules 2020, 25, 2329. [Google Scholar] [CrossRef]
- Calvo-Flores, F.G.; Dobado, J.A.; Isac-García, J. Lignin and Lignans as Renewable Raw Materials, 1st ed.; Wiley: Hoboken, NJ, USA, 2010; pp. 1227–1235. [Google Scholar]
- Esakkimuthu, E.S.; Marlin, N.; Brochier-Salon, M.-C.; Mortha, G. Study of the reactivity of lignin model compounds to fluorobenzylation using 13C and 19F NMR: Application to lignin phenolic hydroxyl group quantification by 19F NMR. Molecules 2020, 25, 3211. [Google Scholar] [CrossRef] [PubMed]
- Dorez, G.; Ferry, L.; Sonnier, R.; Taguet, A. Effect of cellulose, hemicellulose and lignin contents on pyrolysis and combustion of natural fibers. J. Anal. Appl. Pyrolysis 2014, 107, 323–331. [Google Scholar] [CrossRef]
- Goliszek, M.; Podkościelna, B.; Sevastyanova, O.; Fila, K.; Chabros, A.; Pączkowski, P. Investigation of accelerated aging of lignin-containing polymer materials. Int. J. Biol. Macromol. 2019, 123, 910–922. [Google Scholar] [CrossRef]
- Stanisz, M.; Klapiszewski, Ł.; Mlynarczyk, D.T.; Stanisz, B.J.; Jesionowski, T. Lignin-based spherical structures and their use for improvement of cilazapril stability in solid state. Molecules 2020, 25, 3150. [Google Scholar] [CrossRef]
- Klapiszewki, Ł.; Tomaszewska, J.; Skórczewska, K.; Jesionowski, T. Preparation and Characterization of Eco-Friendly Mg(OH)2/Lignin Hybrid Material and Its Use as a Functional Filler for Poly(Vinyl Chloride). Polymers 2017, 9, 258. [Google Scholar] [CrossRef]
- Réti, C.; Casetta, M.; Duquesne, S.; Bourbigot, S.; Delobel, R. Flammability properties of intumescent PLA including starch and lignin. Polym. Adv. Technol. 2008, 19, 628–635. [Google Scholar] [CrossRef]
- Laurichesse, S.; Averous, L. Chemical modification of lignins: Towards biobased polymers. Prog. Polym. Sci. 2014, 39, 1266–1290. [Google Scholar] [CrossRef]
- Strzemiecka, B.; Klapiszewski, Ł.; Jamrozik, A.; Jesionowski, T.; Voelkel, A. New ecological composites based on natural renewable resources, materials characterization. CMEM 2018, 6, 113–120. [Google Scholar]
- Klapiszewski, Ł.; Grzabka-Zasadzinska, A.; Borysiak, S.; Jesionowski, T. Preparation and characterization of polypropylene composites reinforced by functional ZnO/lignin hybrid materials. Polym. Test 2019, 79, 106058. [Google Scholar] [CrossRef]
- Mandlekar, N.; Cayla, A.; Rault, F.; Giraud, S.; Salaün, F.; Malucelli, G.; Guan, J.P. An Overview on the Use of Lignin and Its Derivatives in Fire Retardant Polymer Systems, Lignin—Trends and Applications. Intech 2018, 9, 207–231. [Google Scholar]
- Brebu, M.; Vasile, C. Thermal degradation of lignin—A review. Cell Chem. Technol. 2010, 44, 353–363. [Google Scholar]
- Liu, L.; Huang, G.; Song, P. Converting Industrial Alkali Lignin to Biobased Functional Additives for Improving Fire Behavior and Smoke Suppression of Polybutylene Succinate. ACS Sustain. Chem. Eng. 2016, 4, 4732–4742. [Google Scholar] [CrossRef]
- Gebke, S.; Thümmler, K.; Sonnier, R.; Sören, T.; Wagenführ, A.; Fischer, S. Suitability and Modification of Different Renewable Materials as Feedstock for Sustainable Flame Retardants. Molecules 2020, 25, 5122. [Google Scholar] [CrossRef]
- Liu, L.; Qian, M.; Song, P.A.; Huang, G.; Yu, Y.; Fu, S. Fabrication of Green Lignin-based Flame Retardants for Enhancing the Thermal and Fire Retardancy Properties of Polypropylene/Wood Composites. ACS Sustain. Chem. Eng. 2016, 4, 2422–2431. [Google Scholar] [CrossRef]
- Ghanadpour, M.; Carosio, F.; Larsson, P.T.; Wagberg, L. Phosphorylated cellulose nanofibrils: A renewable nanomaterial for the preparation of intrinsically flameretardant materials. Biomacromolecules 2015, 16, 3399–3410. [Google Scholar] [CrossRef]
- Alalykin, A.A.; Vesnin, R.L.; Kozulin, D.A. Preparation of modified hydrolysis lignin and its use for filling epoxy polymers and enhancing their flame resistance. Russ. J. Appl. Chem. 2011, 84, 1616–1622. [Google Scholar] [CrossRef]
- Zhu, H.; Peng, Z.; Chen, Y. Preparation and characterization of flame retardant polyurethane foams containing phosphorus–nitrogen-functionalized lignin. RSC Adv. 2014, 4, 55271–55279. [Google Scholar] [CrossRef]
- Ferry, L.; Dorez, G.; Taguet, A. Chemical modification of lignin by phosphorus molecules to improve the fire behavior of polybutylene succinate. Polym. Degrad. Stab. 2015, 113, 135–143. [Google Scholar] [CrossRef]
- Prieur, B.; Meub, M.; Wittemann, M. Phosphorylation of lignin to flame retard acrylonitrile butadiene styrene (ABS). Polym. Degrad. Stab. 2015, 127, 32–43. [Google Scholar] [CrossRef]
- Zhang, Y.M.; Zhao, Q.; Li, L.; Yan, R.; Zhang, J.; Duan, J.C.; Liu, B.J.; Sun, Z.Y.; Zhang, M.Y.; Hu, W.; et al. Synthesis of a lignin-based phosphorus-containing flame retardant and its application in polyurethane. RSC Adv. 2018, 8, 32252–32261. [Google Scholar] [CrossRef]
- Khalifah, S.A.; Sabyasachi, G. An overview of some recent advances in DOPO-derivatives: Chemistry and flame retardant applications. Polym. Degrad. Stab. 2015, 113, 119–134. [Google Scholar]
- Jenewein, E.; Kleiner, H.-J.; Wanzke, W.; Budzinsky, W. Synergistic Flame Protection Agent Combination for Thermoplastic Polymers. U.S. Patent 636,507,1B1, 2 April 2002. [Google Scholar]
- Yang, H.; Yu, B.; Xu, X.; Bourbigot, S.; Wang, H.; Song, P. Lignin-derived bio-based flame retardants toward high-performance sustainable polymeric materials. Green Chem. 2020, 22, 212. [Google Scholar] [CrossRef]
- Mandlekar, N.; Cayla, A.; Rault, F.; Giraud, S.; Salaün, F.; Malucelli, G.; Guan, J. Thermal Stability and Fire Retardant Properties of Polyamide 11 Microcomposites Containing Different Lignins. Ind. Eng. Chem. Res. 2017, 56, 13704–13714. [Google Scholar] [CrossRef]
- Cayla, A.; Rault, F.; Giraud, S.; Salaün, F.; Fierro, V.; Celzard, A. PLA with intumescent system containing lignin and ammonium polyphosphate for flame retardant textile. Polymers 2016, 8, 331. [Google Scholar] [CrossRef]
- Mandlekar, N.; Cayla, A.; Rault, F.; Giraud, S.; Salaün, F.; Guan, J. Valorization of Industrial Lignin as Biobased Carbon Source in Fire Retardant System for Polyamide 11 Blends. Polymers 2019, 11, 180. [Google Scholar] [CrossRef]
- Song, P.; Cao, Z.; Fu, S.; Fang, Z.; Wu, Q.; Ye, J. Thermal degradation and flame retardancy properties of ABS/lignin: Effects of lignin content and reactive compatibilization. Thermochim. Acta 2011, 518, 59–65. [Google Scholar] [CrossRef]
- Cayla, A.; Rault, F.; Giraud, S.; Salaün, F.; Sonnier, R.; Dumazert, L. Influence of Ammonium Polyphosphate/Lignin Ratio on Thermal and Fire Behavior of Biobased Thermoplastic: The Case of Polyamide 11. Materials 2019, 12, 1146. [Google Scholar] [CrossRef] [PubMed]
- Mandlekar, N.; Cayla, A.; Rault, F.; Giraud, S.; Salaün, F.; Guan, J. Development of Novel Polyamide 11 Multifilaments and Fabric Structures Based On Industrial Lignin and Zinc Phosphinate as Flame Retardants. Molecules 2020, 25, 4963. [Google Scholar] [CrossRef] [PubMed]
- Malucelli, G. Biomacromolecules and Bio-Sourced Products for the Design of Flame Retarded Fabrics: Current State of the Art and Future Perspectives. Molecules 2019, 24, 3774. [Google Scholar] [CrossRef]
- Tejado, A.; Pena, C.; Labidi, J.; Echeverria, J.M.; Mondragon, I. Physico-chemical characterization of lignins from different sources for use in phenolformaldehyde resin synthesis. Bioresour. Technol. 2007, 98, 1655–1663. [Google Scholar] [CrossRef] [PubMed]
- Samujło, B.A. The Effect of the Aging Process on Selected Properties of Polypropylene Modified by Natural Fillers. ASTRJ 2020, 14, 139–147. [Google Scholar]
- Świetlicki, M.; Chocyk, D.; Klepka, T.; Prószyński, A.; Kwaśniewska, A.; Borc, J.; Gładyszewski, G. The Structure and Mechanical Properties of the Surface Layer of Polypropylene Polymers with Talc Additions. Materials 2020, 13, 698. [Google Scholar] [CrossRef]
- Krasinskyi, V.; Gajdos, I.; Suberlyak, O.; Antoniuk, V.; Jachowicz, T. Study of the structure and thermal characteristics of nanocomposites based on polyvinyl alcohol and intercalated montmorillonite. J. Thermoplast. Compos. Mater. 2019, 1–12. [Google Scholar] [CrossRef]
- Głogowska, K.; Klepka, T.; Dulebova, L. Characteristics of Polymer Materials with New Smart Utilities. ASTRJ 2020, 14, 96–103. [Google Scholar] [CrossRef]
- Klepka, T.; Nowacka, A. The effect of crosslinking conditions on the dynamic viscosity of organosilicon polymers. Physicochem. Probl. Miner. Process. 2019, 55, 1557–1567. [Google Scholar]
- Goliszek, M.; Podkościelna, B.; Klepka, T.; Sevastyanova, O. Preparation, Thermal, and Mechanical Characterization of UV-Cured Polymer Biocomposites with Lignin. Polymers 2020, 12, 1159. [Google Scholar] [CrossRef] [PubMed]
- Goliszek, M.; Podkościelna, B. Synthesis and characterization of polymer biocomposites with lignin. Physicochem. Probl. Miner. Process. 2019, 55, 1375–1381. [Google Scholar]
- Sobiesiak, M.; Podkościelna, B.; Sevastyanova, O. Thermal degradation behavior of lignin-modified porous styrene-divinylbenzene and styrene-bisphenol A glycerolate diacrylate copolymer microspheres. J. Anal. Appl. Pyrolysis. 2017, 123, 364–375. [Google Scholar] [CrossRef]
Sample Availability: Samples of the compounds are no available from the authors. |
















| Material | C–H Aliph. | C–H Arom. | C = C Arom. | C-C | C–O | C = O | –OH |
|---|---|---|---|---|---|---|---|
| Lignin | 2937 | 1504 1458 | 1589 | 1040 | 1210 | - | 3386 |
| Lignin + H3PO4 | 2939 | 1499 1460 | 1601 | 993 | 1143 | 1701 | 3375 |
| Composites | |||||||
| 0%P + 0%L | 2963 1293 | 1459 1408 | 1609 1509 | 1254 1180 | 1293 | 1723 | 3400 |
| 0%P + 5%L | 2963 1263 | 1454 1406 | 1608 1509 | 1294 1175 | 1294 | 1724 | - |
| 0%P + 5%LP | 2957 1101 | 1454 1403 | 1608 1508 | 1293 1162 | 1293 | 1723 | - |
| 2%P + 5%L | 2963 | 1454 1407 | 1607 1509 | 1257 1176 | 1257 | 1723 | - |
| 2%P + 5%LP | 2963 | 1456 1406 | 1608 1509 | 1253 1180 | 1293 | 1726 | 3344 |
| Composites after burning tests | |||||||
| 0%P + 0%L | 2858 1295 | 1443 | 1593 | 1176 828 | 753 | 1714 | - |
| 0%P + 5%L | 2923 2858 | 1441 | 1594 | 1175 821 | 750 | 1716 | 3420 |
| 0%P + 5%LP | 2960 | 1441 | 1594 | 1173 821 | 751 | 1701 | - |
| 2%P + 5%L | 2922 | 1441 | 1591 | 1172 822 | 751 | 1702 | 3440 |
| 2%P + 5%LP | 2922 | 1439 | 1590 | 1174 822 | 753 | 1703 | - |
| Composite | Stress at Break (MPa) | Relative Elongation at Break (%) | Young’s Modulus (MPa) |
|---|---|---|---|
| 0%P + 0%L | 31.00 | 1.10 | 2910 |
| 0%P + 5%L | 8.00 | 0.34 | 1440 |
| 0%P + 5%LP | 8.83 | 0.37 | 1450 |
| 2%P + 5%L | 10.10 | 0.65 | 2450 |
| 2%P + 5%LP | 9.36 | 0.37 | 2470 |
| Composites | Stress during Bending (MPa) | Bending Elongation (%) | Young Modulus (MPa) |
|---|---|---|---|
| 0%P + 0%L | 49.85 | 1.20 | 3890 |
| 0%P + 5%L | 36.00 | 0.85 | 3025 |
| 0%P + 5%LP | 32.05 | 1.00 | 3895 |
| 2%P + 5%L | 27.30 | 0.90 | 2950 |
| 2%P + 5%LP | 48.60 | 1.00 | 4560 |
| Composite | T5% (°C) | T10% (°C) | T50% (°C) | Tmax1 (°C) | Tmax2 (°C) | RM (%) (at 700 °C) |
|---|---|---|---|---|---|---|
| 0%P + 0%L | 317 | 338 | 396 | 396 | 611 | 3.14 |
| 0%P + 5%L | 326 | 355 | 413 | 406 | 597 | 4.45 |
| 0%P + 5%LP | 313 | 344 | 403 | 401 | 521 | 1.98 |
| 2%P + 5%L | 310 | 337 | 400 | 397 | 563 | 0.68 |
| 2%P + 5%LP | 301 | 347 | 419 | 407 | 621 | 11.46 |
| Composite | Shore Hardness Mean (°Sh) |
|---|---|
| 0%P + 0%L | 80.5 ± 0.5 |
| 0%P + 5%L | 78.6 ± 0.5 |
| 0%P + 5%LP | 78.0 ± 0.5 |
| 2%P + 5%L | 78.1 ± 0.5 |
| 2%P + 5%LP | 78.4 ± 0.5 |
| Composite | Temperature (°C) | |||
|---|---|---|---|---|
| T1 | T2 | |||
| Min. | Max. | Min. | Max. | |
| 0%P + 0%L | 23.92 | 238.92 | 23.45 | 238.92 |
| 0%P + 5%L | 23.19 | 225.81 | 22.90 | 217.01 |
| 0%P + 5%LP | 24.63 | 218.21 | 23.29 | 218.53 |
| 2%P + 5%L | 22.93 | 189.11 | 23.07 | 210.87 |
| 2%P + 5%LP | 22.12 | 184.83 | 22.17 | 189.67 |
| Composite | T5% (°C) | T10% (°C) | T50% (°C) | Tmax1 (°C) | Tmax2 (°C) | RM (% at 700) |
|---|---|---|---|---|---|---|
| 0%P + 0%L | 349 | 376 | 589 | 405 | 621 | 28.84 |
| 0%P + 5%L | 332 | 359 | 540 | 389 | - | 29.98 |
| 0%P + 5%LP | 379 | 409 | 650 | 411 | 623 | 33.29 |
| 2%P + 5%L | 372 | 405 | - | 413 | - | 58.49 |
| 2%P + 5%LP | 358 | 386 | 668 | 414 | - | 47.40 |
| No. | Composite | BPA.GDA | EGDMA | DEVP | L | LP | IQ |
|---|---|---|---|---|---|---|---|
| (g) | |||||||
| 1 | 0%P + 0%L | 5 | 2.143 | 0 | 0 | 0 | 0.143 |
| 2 | 0%P + 5%L | 5 | 2.143 | 0 | 0.364 | 0 | 0.150 |
| 3 | 0%P + 5%LP | 5 | 2.143 | 0 | 0 | 0.364 | 0.150 |
| 4 | 2%P + 5%L | 5 | 2.143 | 0.143 | 0.364 | 0 | 0.150 |
| 5 | 2%P + 5%LP | 5 | 2.143 | 0.143 | 0 | 0.364 | 0.150 |
Publisher’s Note: MDPI stays neutral with regard to jurisdictional claims in published maps and institutional affiliations. |
© 2020 by the authors. Licensee MDPI, Basel, Switzerland. This article is an open access article distributed under the terms and conditions of the Creative Commons Attribution (CC BY) license (http://creativecommons.org/licenses/by/4.0/).
Share and Cite
Podkościelna, B.; Wnuczek, K.; Goliszek, M.; Klepka, T.; Dziuba, K. Flammability Tests and Investigations of Properties of Lignin-Containing Polymer Composites Based on Acrylates. Molecules 2020, 25, 5947. https://doi.org/10.3390/molecules25245947
Podkościelna B, Wnuczek K, Goliszek M, Klepka T, Dziuba K. Flammability Tests and Investigations of Properties of Lignin-Containing Polymer Composites Based on Acrylates. Molecules. 2020; 25(24):5947. https://doi.org/10.3390/molecules25245947
Chicago/Turabian StylePodkościelna, Beata, Krystyna Wnuczek, Marta Goliszek, Tomasz Klepka, and Kamil Dziuba. 2020. "Flammability Tests and Investigations of Properties of Lignin-Containing Polymer Composites Based on Acrylates" Molecules 25, no. 24: 5947. https://doi.org/10.3390/molecules25245947
APA StylePodkościelna, B., Wnuczek, K., Goliszek, M., Klepka, T., & Dziuba, K. (2020). Flammability Tests and Investigations of Properties of Lignin-Containing Polymer Composites Based on Acrylates. Molecules, 25(24), 5947. https://doi.org/10.3390/molecules25245947

