Abstract
Two series of novel (symmetrical and unsymmetrical) quinazolinylphenyl-1,3,4-oxadiazole derivatives were synthesized using palladium-catalyzed Suzuki cross-coupling reactions. The presented synthetic methodology is based on the use of bromine-substituted 2-phenyl-4-N,N-dimethylaminoquinazolines and either a boronic acid pinacol ester or a diboronic acid bis(pinacol) ester of 2,5-diphenyl-1,3,4-oxadiazole. The reactions are conducted in a two-phase solvent system in the presence of catalytic amounts of [1,1′-bis(diphenylphosphino)ferrocene]-dichloropalladium(II), sodium carbonate, and tetrabutylammonium bromide, which plays the role of a phase-transfer catalyst. The luminescence properties of the obtained compounds are discussed in the context of applying these compounds in optoelectronics. Specifically, two highly-conjugated final products: N,N-dimethyl-2-phenyl-6-(4-(5-phenyl-1,3,4-oxadiazol-2-yl)phenyl)quinazolin-4-amine (8f) and 6,6′-(4,4′-(1,3,4-oxadiazole-2,5-diyl)bis(4,1-phenylene))bis(N,N-dimethylquinazolin-4-amine (9f), which contain a 1,3,4-oxadiazole moiety connected to a quinazoline ring by a 1,4-phenylene linker at the 6 position, exhibit strong fluorescence emission and high quantum yields.
1. Introduction
Heterocyclic compounds containing five-membered diazole or six-membered diazine scaffolds have recently attracted attention due to the fact that they participate in a wide range of biological interactions and have potential for various industrial applications. One subgroup of the diazole family includes 1,3,4-oxadiazole and its derivatives. Some of these compounds are well-known and already applied in the medicinal field, as integrase inhibitors to treat HIV (raltegravir) [1,2], hepatitis B and C virus (HBV, HCV) inhibitors [3,4], anticancer drugs (zibotentan), and as antimicrobial (furamizole) [4,5], antifungal [4,6], and antiallergic agents [7]. Because of their favorable thermal and luminescent properties, compounds based on the 1,3,4-oxadiazole ring are also candidates for optoelectronic materials, including organic light emitting diodes (OLEDs) [8,9], liquid crystals [10], metal ion sensors [11,12], and coordination polymers [13]. The most popular method for synthesizing the 1,3,4-oxadiazole scaffold involves cyclization of N,N′-diacylhydrazine promoted by SOCl2 [14], BF3·Et2O [15], TsCl and various bases including 1,8-diazabicyclo [5.4.0]undec-7-ene (DBU), Et3N, pyridine [16]. Alternatively, some reports have described (i) oxidative cyclization of N‑acylhydrazones with different oxidizing agents, such as Dess-Martin periodinane (DMP) [17], N‑chlorosuccinimide (NCS) and DBU [18], (diacetoxyiodo)benzene [19], KMnO4 [20] or 2,3-dichloro-5,6-dicyano-1,4-benzoquinone (DDQ) [21], (ii) photoisomerization of 1,2,4-oxadiazoles [22], (iii) heterocyclization of semicarbazide, thiosemicarbazide, or selenosemicarbazide derivatives [23,24], or (iv) N-acylation followed by ring opening/closing of tetrazoles [25,26].
Another interesting heterocyclic arrangement is quinazoline, which belongs to the subgroup of 1,3-diazines. Many representatives of this class of compound are applied in medicine as antimalarial [27], antimicrobial and anticancer agents [28,29,30], or they serve as ligands for benzodiazepine and gamma-aminobutyric acid (GABA) receptors in the central nervous system [31]. Additionally, some are applied in agrochemistry [32], and quinazoline-based nucleosides have been reported as interesting new materials exhibiting nonlinear optical or fluorescent properties, highlighting their potential use in OLEDs [33]. A wide range of synthetic procedures allow generation of the studied quinazoline derivatives, including amidation and oxidative ring closure of 2‑aminobenzoic acid derivatives (e.g., 2-aminobenzonitrile [34], 2-aminobenzoic acid [35] and 2‑aminobenzamide [36,37]), condensation of imidates with 2-aminobenzoic acid [38], or reacting anthranilate esters with guanidine [39,40,41]. An additional, recently described methodology involves cyclization of 2‑aminobenzophenones and benzylamines in the presence of t-BuOOH and catalytic amounts of I2 or ceric ammonium nitrate (CAN) [42,43].
The rapidly developing field of material sciences has directed the interest of numerous research groups towards finding new organic arrangements that exhibit interesting luminescent properties. An optimized organic luminophore is typically comprised of an extended π-conjugated chromophore system embodying suitable electron-hole transporting properties, high external quantum efficiency and brightness, as well as chemical and thermal stability [44,45,46]. A comprehensive literature survey revealed the possibility of modifying luminophore electron-transporting properties by direct or indirect (via the appropriate linker) conjugation of the target molecule with other electron-deficient systems, such as tetrazines, pyridines, quinolines, quinazolines, furans, thiophenes, selenophenes, or 1,3,4-oxadiazoles. [47,48,49,50,51,52,53]. Previous work conducted in our laboratory developed the synthesis of novel organic hybrids containing 1,3,4-oxadiazole, 1,3,4-thiadiazole, or 1,2,4-triazole cores conjugated via phenylene linker to different homo- and heteroaromatic arrangements, which resulted in the generation of products with high fluorescence quantum yields [53]. Building upon these results involving novel conjugated diazole-derived monomers for potential optoelectronic applications, herein we describe the combination of two different individual structural motifs (i.e., 1,3,4-oxadiazole and quinazoline) using a phenylene linker via a palladium-catalyzed Suzuki cross-coupling reaction (Figure 1). It is worth mentioning that Suzuki cross-coupling reactions play an important role in the catalytic construction of C-C bonds, and numerous papers and reviews discussing various catalytic systems, general reaction conditions, and potential applications have been published in recent years [54,55].
Figure 1.
Building scaffolds of the synthesized arrangements with the indicated coupling sites.
2. Results and Discussion
Quinazoline precursors 2a-g were prepared in a two-step synthesis according to methodologies described in the literature [56,57,58]. The starting material was a benzamide derivative 1 substituted at the ortho, meta, or para position of the N-phenyl ring (X = Br, Scheme 1), or at the meta or para position of the benzamide ring (Y = Cl, Br, Scheme 1). In order to obtain the desired products 2a-g, the benzamide derivatives 1a-g were gently heated for few hours with PCl5 in anhydrous toluene, then treated with N,N-dimethylcyanamide (Me2NCN), and finally heated in the presence of TiCl4 in anhydrous toluene (Scheme 1).
Scheme 1.
Synthesis of 4-(N,N-dimethylamino)-2-phenylquinazoline derivatives (2a-g). Reagents and conditions: (i) PCl5, toluene, 50 °C; (ii) Me2NCN, toluene, rt, 24 h; (iii) TiCl4, toluene, 70 °C, 5 h.
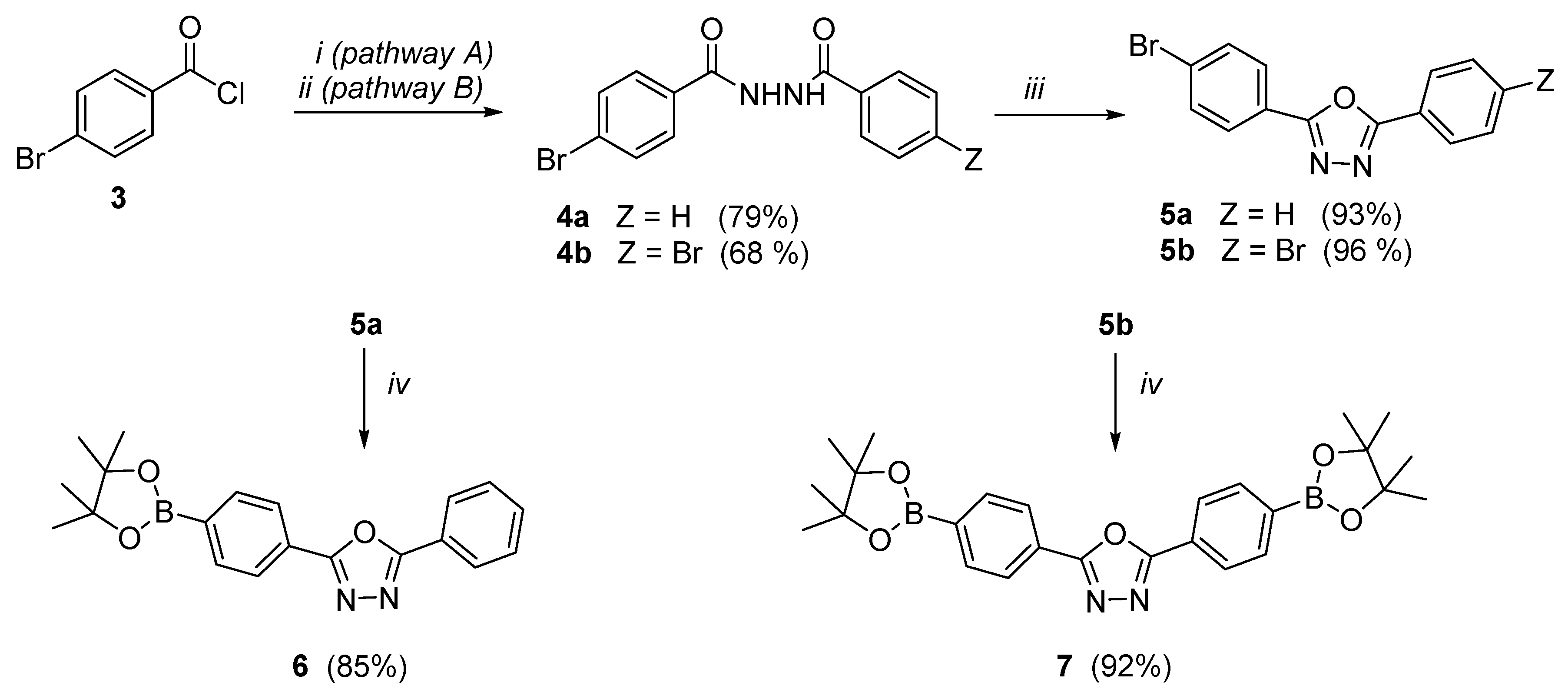
Meanwhile, two other reagents for Suzuki cross-coupling reactions were synthesized, specifically, the appropriate boronic acid pinacol ester and the diboronic acid bis(pinacol) ester of 2,5-diphenyl-1,3,4-oxadiazole. These transformations involved the reaction of commercially-available 4‑bromobenzoyl chloride (3) with either benzhydrazide (pathway A) or hydrazine hydrate (pathway B), in the presence of triethylamine. Subsequent heating of the crude N,N’-diacylhydrazines 4a,b with phosphorus oxychloride in a non-polar solvent generated the products, 2-(4-bromophenyl)-5-phenyl-1,3,4-oxadiazole (5a) and 2,5-bis(4-phenyl)-1,3,4-oxadiazole (5b), which were then reacted with bis(pinacolato)diboron in dioxane overnight at 100 °C in the presence of potassium acetate as a base and [1,1′-bis(diphenylphosphino)ferrocene]dichloropalladium(II) Pd(dppf)Cl2 as a catalyst. The synthetic routes to obtaining boronic acid pinacol esters (6, 7) are presented in Scheme 2.
Scheme 2.
Synthesis of boronic acid pinacol ester and diboronic acid bis(pinacol) ester of 2,5‑diphenyl-1,3,4-oxadiazole (6, 7). Reagents and conditions: (i) PhCONHNH2, NEt3, CHCl3, 4 h, rt; (ii) N2H4·H2O, NEt3, CHCl3, 4 h, rt; (iii) POCl3, toluene, reflux, 10 h; (iv) bis(pinacolato)diboron, 1,4‑dioxane, AcOK, Pd(dppf)Cl2, sealed tube, 100 °C, overnight.
The final step involved the Suzuki cross-coupling reaction between halogen-containing quinazolines 2a-g and boronic derivatives, 6 and 7. To obtain the best possible yields, the reaction conditions for the coupling reaction were optimized (Table 1). For this reason, boronic ester 6 and 4‑(N,N-dimethylamino)-2-phenylquinazoline substituted with bromine at the para position of the 2‑phenyl group (2a) were chosen as model reagents (Scheme 3).
Table 1.
Initial optimization for the cross-coupling reaction to obtain 8a.
Scheme 3.
Coupling of the model quinazoline 2a with monoboronic ester 6.
The preliminary trials were conducted in a mixture of toluene and aqueous Na2CO3 solution in the presence of tetrakis(triphenylphosphine)palladium(0) Pd(PPh3)4, with a phase transfer catalyst (PTC), which allows regents transfer between two immiscible phases (toluene and water). Following the literature mentions regarding cross-coupling reactions assisted with phase transfer catalysts [59], three types of catalysts were tested: aliquat 336 [60], benzyltriethylammonium chloride (BnEt3NCl) [61], tetrabutylammonium chloride (Bu4NCl), or tetrabutylammonium bromide (Bu4NBr) [62] (Table 1, entries 1–4).
All reactions led to the formation of the desired quinazolinylphenyl-1,3,4-oxadiazole derivative 8a in similar yields (61–68%); however, the optimal result of 68% was obtained using Bu4NBr as the PTC (Table 1, entry 4). During the search for the optimal conditions, various palladium catalysts, such as tetrakis(triphenylphosphine)palladium(0) (Pd(PPh3)4), bis(tri-t-butylphosphine)palladium(0) (Pd(t-Bu3P)2), [1,1′-bis(diphenylphosphino)ferrocene]palladium(II) dichloride (Pd(dppf)Cl2), and bis(triphenylphosphine)palladium(II) dichloride (Pd(PPh3)2Cl2) were also tested in toluene-water media in the presence of Na2CO3 as a base (Table 1, entries 4–7). In all cases, the product, 8a, was obtained in satisfactory yields, varying from 68 to 85%. However, the catalytic system composed of Pd(dppf)Cl2 and Bu4NBr was the most effective combination, leading to a product yield of 85% (Table 1, entry 6). Additionally, other solvents, such as dioxane, ethanol, 1,2-dimethoxyethane (DME), and dimethylformamide (DMF) (Table 1, entries 11–14) were tested, but overall, the best results were achieved using a two-phase toluene-water mixture (Table 1, entry 6). Optimization of the synthetic conditions also required investigating the influence of the type of base used in the reaction, which participates in (i) halogen ion exchange involving the initial halide-containing reagent, 2a, at the surface of the catalyst, and (ii) activation of boronic ester, 6, to facilitate transmetalation. Among the different bases tested, including Na2CO3, K2CO3, t‑BuOK, and AcONa, the best results were obtained after using Na2CO3 (85% yield; Table 1, entry 6). Therefore, these optimized reaction conditions were applied in the synthesis of unsymmetrical quinazolinylphenyl-1,3,4-oxadiazole derivatives (8a-c, 8f‑g). The key boronic ester (6) reacted with various halogen-containing 4-(N,N-dimethylamino)-2-phenylquinazoline derivatives (2a-g) in the presence of 5 mol% palladium catalyst (Pd(dppf)Cl2), Na2CO3, and Bu4NBr as a PTC catalyst, in the two-phase solvent system (toluene-H2O). The mixtures were heated overnight in a sealed glass reactor, and the products were purified by extraction, followed by column chromatography and trituration. The results of the cross-coupling reactions are presented in Table 2. This study afforded several novel unsymmetrical quinazolinylphenyl-1,3,4-oxadiazole derivatives (8a-c, 8f-g) in satisfactory yields (72–86%; Scheme 4).
Table 2.
Synthesis of unsymmetrical quinazolinylphenyl-1,3,4-oxadiazole derivatives (8a-c, 8f‑g) using Suzuki cross-coupling reactions.
Scheme 4.
Coupling of quinazoline derivatives (2a-c, 2f-g) with boronic ester 6. Reagents and conditions: quinazoline derivative 2a-c, 2f-g (0.31 mmol), boronic acid pinacol ester 6 (0.37 mmol), Pd(dppf)2 (0.015 mmol), Bu4NBr (0.03 mmol), Na2CO3 (1.53 mmol), toluene-H2O (3.3:1.7 mL), sealed tube, oil bath 115 °C, overnight.
Syntheses of quinazoline regioisomers 2a-2c, substituted with bromine at the 2-phenyl ring position, were successful, and the products, 8a-c, were obtained in high yields (74–86%; Table 2, entries 1‑3). However, the yield of product, 8b, which was derived from the meta-substituted arrangement (2b) was slightly lower (74%; Table 2, entry 2) than for products obtained from para- and ortho-substituted derivatives (82–86%; Table 2, entries 1,3). These results can be explained based on the electron-withdrawing nature of the quinazoline scaffold adjacent to the phenyl ring. The same conditions were applied for 4-(N,N-dimethylamino)-2-phenylquinazolines 2d, 2e substituted at positions 6 and 7 with chlorine atoms, where no conversion was observed (Table 2, entries 4,5). For the same substrates 2d, 2e, additional reactions in the microwave reactor were performed, but no positive outcomes were obtained. In contrast, the same coupling reactions conducted for the 6- and 7-bromide variations resulted in the formation of the desired products 8f-g in satisfactory yields (72–75%; Table 2). This observation confirms the general trend in the reactivity of aryl halides in Suzuki cross-coupling reactions, where bromine derivatives are much more reactive than their chloride analogues.
Applying the described optimized conditions, another series of reactions was carried out with symmetrical diboronic acid bis(pinacol)ester, 7, and 4-(N,N-dimethylamine)-2-phenylquinazoline derivatives 2a-c, 2f-g in the presence of 10 mol% palladium catalyst (Pd(dppf)Cl2), Na2CO3, and tetrabutylammonium bromide in the two-phase toluene-water solvent system (Scheme 5). The mixture was heated overnight in a sealed glass reactor, and the products were purified by extraction, followed by column chromatography and trituration.
Scheme 5.
Coupling of quinazoline derivatives (2a-c, 2f-g) with boronic ester 7. Reagents and conditions: quinazoline derivative 2a-c, 2f-g (0.50 mmol), diboronic acid bis(pinacol) ester 7 (0.28 mmol), Pd(dppf)Cl2 (0.021 mmol), Bu4NBr (0.042 mmol), Na2CO3 (2.11 mmol), toluene-H2O (6.6:3.4 mL), sealed tube, oil bath 115 °C, overnight.
The results are presented in Table 3. This study afforded novel, symmetrical 2,5-bis(quinazolinylphenyl)-1,3,4-oxadiazole derivatives 9a-c, 9f-g in satisfactory yields (50–70%; Table 3). The best results were obtained for 9a, where the diboronic precursor containing a 2,5-diphenyl-1,3,4-oxadiazole scaffold 7 was coupled to quinazoline arrangement, 2a, with a 1,4-phenylene linker (70%; Table 3, entry 2). In general, the derivatives, 9a-c, exhibited a similar trend in yields, as was observed for the analogous mono-substituted entities 8a‑c. Specifically, the meta derivative was produced in lower yield relative to the ortho- and para-substituted counterparts. It was also determined that the symmetrically substituted derivatives 9a‑c, 9f-g were obtained in lower yields compared with the unsymmetrical arrangements 8a-c, 8f-g, because of their relatively lower solubility in most organic solvents, which complicated the purification procedure.
Table 3.
Synthesis of symmetrical 2,5-bis(quinazolinylphenyl)-1,3,4-oxadiazole derivatives (9a-c, 9f-g) using Suzuki cross-coupling reactions.
The structures of unsymmetrical and symmetrical quinazolinylphenyl-1,3,4-oxadiazole derivatives 8a-c, 8f-g, 9a-c, 9f-g obtained following Suzuki cross-coupling reactions involving the boronic precursors 6, 7 containing a 1,3,4-oxadiazole scaffold were confirmed using typical spectroscopic methods (nuclear magnetic resonance spectroscopy 1H- and 13C-NMR, UV-Vis spectrometry, high resolution mass spectrometry HRMS, infrared spectroscopy IR, see Supplementary Materials).
In the 1H-NMR spectra of unsymmetrical (compounds 8a-c, 8f-g) and symmetrical quinazolinylphenyl-1,3,4-oxadiazole derivatives (compounds 9a-c, 9f-g), characteristic signals from the dimethylamino group are observed in the range between 2.94–3.55 ppm.
Two protons from the phenyl group for 8a-b, 8f-g and 9a-b, 9f-g, substituted at the quinazoline moiety, are shifted to lower field, and appear in the range between 8.50–8.90 ppm. In the remaining derivatives, 8c and 9c, these protons are observed in the range of 8.15–8.18 ppm. Such significant changes in chemical shifts are likely due to the proximity of these protons to the electronegative nitrogen atoms. In the 13C-NMR spectra, the characteristic signals from the dimethylamino group are observed in the narrow range between 41.4–42.1 ppm. The unsymmetrical quinazolinylphenyl-1,3,4-oxadiazole derivatives (8a-c, 8f-g), have four distinctive signals from the two quaternary quinazoline carbons C-4a and C-8a, as well as carbon atoms C-2 and C-5 of the 1,3,4-oxadiazole ring, which appear in the range of 158.7–164.7 ppm. However, in the symmetrical quinazolinylphenyl-1,3,4-oxadiazole derivatives (9a-c, 9f-g) the signals range from 158.9 to 164.7 ppm. Both the 1H- and 13C-NMR spectra of 2,5-bis(4-arylphenyl)-1,3,4-oxadiazoles (9a-c, 9f‑g) display a reduced number of peaks due to the symmetrical nature of these compounds’ structures.
UV-Vis spectra of the investigated compounds 8a-c, 8f-g, 9a-c, 9f-g, measured in dichloromethane (DCM), or methanol (MeOH) revealed the presence of three, four or five absorption maxima, depending on the symmetry and structure of the connection between the 1,3,4-oxadiazole moiety and the 4-N,N-dimethylaminoquinazoline scaffold. Longwave absorption bands (n→π*) of the symmetrical 9a-c, 9f-g and unsymmetrical 8a-c, 8f-g quinazoline derivatives were located in the range of 302–361 nm and characterized by high absorption coefficients, comparable to π→π* absorption bands. The fluorescence spectra of the studied compounds 8a-c, 8f-g, 9a-c, 9f-g are generally complex and composed of multiple individual signals with considerable Stokes shifts (∆), varying from 58 to 131 nm (Table 4).
Table 4.
Absorption and fluorescence spectral parameters of the investigated compounds, 6, 7, 8a-c, 8f-g, 9a-c, 9f-g.
The quantum yields (Φf) were determined based on two standards (i.e., 1,4-diphenylbuta-1,3-diene (DPB) and 9,10-diphenylanthracene (DPA) in non-polar solvents [63,64], according to the method described by Brouwer [65]. The analysis of Stokes shifts showed that the quinazolinylphenyl-1,3,4-oxadiazoles 8a-c, 8f-g, representing the series of unsymmetrical arrangements composed of six conjugated and fused aromatic rings, exhibited relatively higher values of Stokes shifts (60–131 nm, Table 4, entries 3–7) in contrast to the corresponding symmetrical derivatives 9a-c, 9f-g, containing the more extended arrangement of nine aromatic rings (58–108 nm, Table 4, entries 8–12). Moreover, the introduction of the additional aromatic rings of 4-N,N-dimethylamino-2-phenylquinazoline scaffold, and the lenghtening of the conjugation in 9a-c, 9f-g series did not lead to both a significant increase in Stokes shifts and quantum yields, except for the symmetrical derivative 9f (Table 4, entry 11). Generally, the highest quantum yields were achieved for the unsymmetrical 8f and symmetrical 9f compounds (0.61 and 0.98 respectively, Table 4, entries 6, 11), in which the 1,3,4-oxadiazole moiety is connected to the quinazoline by a 1,4-phenylene linker at the 6 position, which allowed effective electron transfer between these two heterocyclic moieties. Noteworthy is the fact that the irradiation of 8f by UV radiation led to violet fluorescence that was visible to the naked eye. It is important to note that the boronic acid pinacol ester and diboronic acid bis(pinacol) ester of 2,5-diphenyl-1,3,4-oxadiazole (6, 7) starting compounds, which play a role in building the scaffolds for the studied conjugated arrangements, also had high quantum yields (0.68 for 6, and 0.91 for 7; Table 4, entries 1,2). However, the other products formed from the conjugation of boronic esters (6, 7) to quinazolines containing a N,N-dimethylamino group did not exhibit increased quantum yields. In fact, they caused fluorescence quenching, such that their quantum yields did not exceed 0.13 (8a-c, 8g, 9a-c, 9g; Table 4, entries 3–5,7,8–10,12). A survey of the literature revealed that electron-rich species, including substituted amino groups that can donate electrons to aromatic heterocycles (i.e., fluorophores), can act as potential fluorescence quenchers [66]. They are responsible for the formation of charge transfer complexes, which often return to the ground state without emitting a photon.
3. Materials and Methods
3.1. General Information
All solvents and reagents were purchased from commercial sources and were used without additional purification. Melting points (mp) were measured using a SMP3 melting point apparatus (Stuart, Staffordshire, UK) and are uncorrected. UV-Vis spectra were recorded on a Jasco V-650 (Jasco Corporation, Tokyo, Japan) or a U-3900H spectrophotometer (Hitachi, Tokyo, Japan). Elemental analysis were performed with a VarioEL analyser (Elementar UK Ltd., Stockport, UK). 1H- (400 MHz) and 13C-NMR spectra (101 MHz) were recorded in CDCl3 solutions using TMS as internal standard on an Agilent 400-NMR spectrometer (Agilent Technologies, Waldbronn, Germany). Thin layer chromatography (TLC) was performed on silica gel 60 F254 TLC plates (Merck KGaA, Darmstadt, Germany) using benzene-EtOAc (3:1), DCM-EtOAc (9:1), DCM-MeOH (95:5) as the mobile phases. FT-IR spectra were recorded between 4000 and 6500 cm−1 on a Nicolet 6700 FT-IR apparatus (Thermo Fischer Scientific, Wesel, Germany) equipped with a Smart iTR accessory. High-resolution mass spectra (HRMS) were acquired on an Ultra-High Resolution (UHR) mass spectrometer Impact IITM QTOF instrument (Bruker, Bremen, Germany) equipped with an electrospray ionization (ESI) source, using MeOH or DCM as a solvent. Fluorescence spectra were recorded in DCM solution using a Hitachi F-7000 fluorescence spectrophotometer (Hitachi Ltd., Tokyo, Japan) at room temperature.
3.2. Synthesis and Characterization
3.2.1. General Procedure for Preparing 4-(N,N-dimethylamino)-2-phenylquinazoline Derivatives 2a-g
The appropriate benzamide derivative (0.025 mol): N-phenyl-4-bromobenzamide (1a), N‑phenyl-3-bromobenzamide (1b), N-phenyl-2-bromobenzamide (1c), N-(4-chlorophenyl)-benzamide (1d), N-(3-chlorophenyl)benzamide (1e), N-(4-bromophenyl)benzamide (1f) or N-(3-bromophenyl)benzamide (1g) and PCl5 (5.75 g; 0.028 mol) were gently heated in anhydrous toluene (50 mL) at about 50 °C until the benzamide derivative was completely consumed (based on TLC, 3–6 h). The mixture was concentrated on a rotary evaporator to remove toluene and POCl3. Anhydrous toluene (50 mL) and N,N-dimethylcyanamide (1.75 g; 2.0 mL; 0.025 mol) were added, and the mixture was left for 24 h at room temperature before dropwise addition of a solution of TiCl4 (2.5 mL; 0.025 mol) in 10 mL of anhydrous toluene. The mixture was agitated at elevated temperature (70 °C) for 5 h. After cooling, the solvent was decanted from the gluey solid, and 100 mL of 20% aqueous HCl added. The hydrolyzed mixture was filtered, and the resulting solution was neutralized with 20% aqueous NaOH. The precipitate was extracted with chloroform (3 × 20 mL), dried and concentrated. The crude products were purified by column chromatography (silica gel, eluent: benzene-EtOAc, 3:1) to yield the appropriate 4-(N,N-dimethylamino)-2-phenylquinazoline derivatives 2a-g.
2-(4-Bromophenyl)-4-(N,N-dimethylamino)quinazoline (2a). The product was obtained as a colourless solid (5.33 g, 65%); mp 104–105 °C (108–110 °C [67]); Rf = 0.54 (benzene-EtOAc, 3:1).
2-(3-Bromophenyl)-4-(N,N-dimethylamino)quinazoline (2b). The product was obtained as a colourless solid (6.97 g, 85%); mp 82–84 °C; Rf = 0.52 (benzene-EtOAc, 3:1). 1H-NMR (CDCl3): δ = 3.42 (s, 6H); 7.33 (t, J = 7.6 Hz, 1H); 7.37 (t, J = 8.4 Hz, 1H); 7.56 (d, J = 7.6 Hz, 1H,); 7.69 (t, J = 8.8 Hz, 1H); 7.91 (d, J = 8.4 Hz, 1H); 8.00 (d, J = 8.8 Hz, 1H); 8.49 (d, J = 7.6 Hz, 1H); 8.70 (s, 1H). 13C- NMR (CDCl3): δ = 41.8; 115.0; 122.5; 124.3; 125.5; 126.9; 128.7; 129.7; 131.3; 132.0; 141.0; 152.8; 157.8; 163.8. Anal. Calcd for C16H14N3Br: C, 58.55; H, 4.30; N, 12.80. Found: C, 58.49; H, 4.26; N, 12.82.
2-(2-Bromophenyl)-4-(N,N-dimethylamino)quinazoline (2c). The product was obtained as a colourless solid (6.40 g, 78%); mp 148–150 °C; Rf = 0.56 (benzene-EtOAc, 3:1). 1H-NMR (CDCl3): δ = 3.41 (s, 6H); 7.24 (t, J = 7.6 Hz, 1H); 7.39 (t, J = 8.8 Hz, 1H); 7.41 (t, J = 7.6 Hz, 1H); 7.67 (d, J = 7.6 Hz, 1H); 7.72 (t, J = 7.2 Hz, 1H); 7.82 (d, J = 7.2 Hz, 1H); 7.94 (d, J = 8.8 Hz, 1H); 8.05 (d, J = 7.2 Hz, 1H). 13C-NMR (CDCl3): δ = 41.9; 114.5; 121.8; 124.5; 125.4; 127.2; 128.6; 129.7; 131.5; 132.0; 133.6; 140.9; 152.4; 161.1; 163.3. Anal. Calcd for C16H14N3Br: C, 58.55; H, 4.30; N, 12.80. Found: C, 58.50; H, 4.28; N, 12.84.
6-Chloro-4-(N,N-dimethylamino)-2-phenylquinazoline (2d). The product was obtained as a colourless solid (5.10 g, 72%); mp 95–97 °C (94–96 °C [68]); Rf = 0.62 (benzene-EtOAc, 3:1).
7-Chloro-4-(N,N-dimethylamino)-2-phenylquinazoline (2e). The product was obtained as a beige solid (4.82 g, 68%); mp 138–139 °C; Rf = 0.59 (benzene-EtOAc, 3:1). 1H-NMR (CDCl3): δ = 3.39 (s, 6H); 7.24 (d, J = 8.8 Hz, 1H); 7.46–7.48 (m, 3H); 7.80–7.90 (m, 2H); 8.52 (d, J = 8.0 Hz, 2H). 13C-NMR (CDCl3): δ = 41.7; 113.1; 124.6; 126.8; 127.6; 128.2; 128.4; 130.2; 137.8; 138.5; 153.9; 160.1; 163.3. Anal. Calcd for C16H14N3Cl: C, 67.72; H, 4.97; N, 14.81. Found: C, 67.68; H, 4.95; N, 14.76.
6-Bromo-4-(N,N-dimethylamino)-2-phenylquinazoline (2f). The product was obtained as a yellowish solid (7.14 g, 87%); mp 101–102 °C (99–100 °C [68]); Rf = 0.56 (benzene-EtOAc, 3:1).
7-Bromo-4-(N,N-dimethylamino)-2-phenylquinazoline (2g). The product was obtained as a colourless solid (6.56 g, 80%); mp 135–136 °C; Rf = 0.50 (benzene-EtOAc, 3:1). 1H-NMR (CDCl3): δ = 3.39 (s, 6H); 7.39 (d, J = 8.8 Hz, 1H); 7.44–7.49 (m, 3H); 7.81 (d, J = 8.8 Hz, 1H); 8.10 (s, 1H); 8.51–8.54 (m, 2H). 13C-NMR (CDCl3): δ = 41.7; 113.4; 126.3; 126.8; 127.1; 128.2; 128.4; 130.3; 130.9; 138.4; 153.9; 159.9; 163.4. Anal. Calcd for C16H14N3Br: C, 58.55; H, 4.30; N, 12.80. Found: C, 58.57; H, 4.33; N, 12.85.
3.2.2. Preparation of 2-(4-Bromophenyl)-5-phenyl-1,3,4-oxadiazole (5a)—Pathway A
4-Bromobenzoyl chloride (3, 10.98 g, 0.05 mol) was added to a magnetically agitated solution of benzhydrazide (6.81 g, 0.05 mol) and triethylamine (7.0 mL, 0.05 mol) in 100 mL of chloroform, which was placed in an ice bath, and once the addition was complete, the mixture was stirred for 4 h at room temperature. The solid precipitate was collected by filtration, washed with hexane (50 mL) and a large quantity of water (200 mL), air-dried, yielding 12.60 g (79% yield) of pure N’-benzoyl-4-bromobenzohydrazide (4a). The crude intermediate, 4a, was treated with phosphorous oxychloride (25 mL, 0.27 mol) and added to 100 mL of dry toluene, and the mixture was refluxed until the initial 4a was fully consumed (based on TLC, 10 h). After cooling, it was concentrated, and the precipitated crystals were filtered off to give pure 2-(4-bromophenyl)-5-phenyl-1,3,4-oxadiazole (5a). Colourless crystals (11.05 g, 93%); mp 169–170 °C (169–170 °C [69]); Rf = 0.60 (benzene-EtOAc, 3:1).
3.2.3. Preparation of 2,5-bis(4-Bromophenyl)-1,3,4-oxadiazole (5b)—Pathway B
4-Bromobenzoyl chloride (3, 21.95 g, 0.10 mol) was added to a magnetically agitated solution of hydrazine hydrate (2.4 mL, 0.05 mol) and triethylamine (13.9 mL, 0.10 mol) in 100 mL of chloroform, which was placed in an ice bath. After the addition, the mixture was stirred for 4 h at room temperature. The solid precipitate was collected by filtration, washed with hexane (50 mL) and a large quantity of water (200 mL), and air-dried, yielding 13.53 g (68% yield) of pure N,N’-bis(4-bromobenzoyl)hydrazine (4b). The crude intermediate, 4b, was treated with phosphorous oxychloride (25 mL, 0.27 mol) and added to 100 mL of dry toluene, and the mixture was refluxed until the starting material, 4b, was fully consumed (based on TLC, 10 h). After cooling, it was concentrated, and the precipitated crystals were filtered off to give pure 2,5-bis(4-bromophenyl)-1,3,4-oxadiazole (5b). Colourless crystals (12.40 g, 96%); mp 259 °C (258 °C [70]); Rf = 0.62 (benzene-EtOAc, 3:1).
3.2.4. Preparation of 2-Phenyl-5-[4-(tetramethyl-1,3,2-dioxaborolan-2-yl)phenyl]-1,3,4-oxadiazole (6)
Bis(pinacolato)diboron (2.42 g; 0.0095 mol) and AcOK (1.95 g; 0.020 mol) were added to a degassed 1,4-dioxane (15 mL) solution of 2,5-bis(4-bromophenyl)-1,3,4-oxadiazole (5b) (1.50 g; 0.004 mol) in a glass tube reactor. The mixture was bubbled with Ar for 15 min, and then Pd(dppf)Cl2 (0.15 g; 0.0002 mol) was added. The glass tube reactor was sealed, and the reaction was stirred at 100 °C overnight. The solvent was evaporated, and the residue was portioned between DCM and H2O. The resulting mixture was extracted with DCM twice (2 × 30 mL). The final product was purified by column chromatography (silica gel, eluent: 0–10% EtOAc in DCM), followed by trituration with n‑hexane to obtain 1.48 g of pure product 6. Cream solid (1.48 g, 85%); mp 167 °C; Rf = 0.59 (DCM-EtOAc, 9:1). IR (ATR): 2975, 1614, 1571, 1541, 1485, 1393, 1407, 1354, 1331, 1269, 1211, 1141, 1114, 1089, 1069, 1026, 1016, 964, 890, 847, 821, 776, 717, 700, 690, 667 cm−1. 1H-NMR (CDCl3): δ = 8.23–8.06 (m, 4H), 8.03–7.92 (m, 2H), 7.61–7.49 (m, 3H), 1.38 (s, 12H). 13C-NMR (CDCl3) δ = 164.8, 164.8, 135.5, 131.9, 129.2, 127.1, 126.2, 126.1, 124.1, 84.4, 67.2, 25.0. HRMS (ESI/Q-TOF) m/z: [M + H]+ calcd for C20H22BN2O3 349.1718; found 349.1755. UV (MeOH): λmax (ε) = 203.5 (26630), 237.5 (7930), 287.5 (32610).
3.2.5. Preparation of bis[4-(Tetramethyl-1,3,2-dioxaborolan-2-yl)phenyl]-1,3,4-oxadiazole (7)
Bis(pinacolato)diboron (2.42 g; 0.0095 mol) and AcOK (1.95 g; 0.020 mol) were added to a degassed 1,4-dioxane (15 mL) solution of 2,5-bis(4-bromophenyl)-1,3,4-oxadiazole (5b) (1.50 g; 0.004 mol) in a glass tube reactor. The mixture was bubbled with Ar for 15 min, and then Pd(dppf)Cl2 (0.15 g; 0.0002 mol) was added. The glass tube reactor was sealed, and the reaction was stirred at 100 °C overnight. The solvent was evaporated, and the residue was portioned between DCM and H2O. The resulting mixture was extracted with DCM twice (2 × 30 mL). The final product was purified by column chromatography (silica gel, eluent: 0–10% EtOAc in DCM), followed by trituration with n‑hexane to obtain 1.73 g of pure product 7. Pink pale solid (1.73 g, 92%); mp 248 °C (decomp.) (249 °C [24]); Rf = 0.51 (DCM-EtOAc, 9:1). IR (ATR): 2980, 1615, 1568, 1543, 1411, 1396, 1356, 1327, 1268, 1210, 1167, 1141, 1092, 1016, 964, 88, 847, 821, 715, 667 cm−1. 1H-NMR (300 MHz, CDCl3): δ = 8.15 (d, J = 8.4 Hz, 4H), 7.96 (d, J = 8.4 Hz, 4H), 1.38 (s, 24H). 13C-NMR (75 MHz, CDCl3): δ = 164.9, 135.5, 132.8, 126.2, 122.8, 84.4, 25.0. HRMS (ESI/Q-TOF) m/z: [M + H]+ calcd for C26H33B2N2O5 475.2576; found 475.2574. UV (MeOH): λmax (ε) = 207.5 (39430), 243.0 (13340), 291.5 (37080).
3.2.6. General Procedure for the Preparation of Unsymmetrical Quinazolinylphenyl-1,3,4-Oxadiazole Derivatives 8a-c, 8f,g via Suzuki Cross-Coupling from Boronic Acid Pinacol Ester 6
The appropriate halogen-containing quinazoline derivative (0.31 mmol): 2-(4-bromophenyl)-4-(N,N-dimethylamino)quinazoline (2a), 2-(3-bromophenyl)-4-(N,N-dimethylamino)quinazoline (2b), 2-(2-bromophenyl)-4-(N,N-dimethylamino)quinazoline (2c), 6-chloro-4-(N,N-dimethylamino)-2-phenylquinazoline (2d), 7-chloro-4-(N,N-dimethylamino)-2-phenylquinazoline (2e), 6-bromo-4-(N,N-dimethylamino)-2-phenylquinazoline (2f), 7-bromo-4-(N,N-dimethylamino)-2-phenyl-quinazoline (2g), 2-phenyl-5-[4-(tetramethyl-1,3,2-dioxaborolan-2-yl)phenyl]-1,3,4-oxadiazole (6) (128 mg; 0.37 mmol), Na2CO3 (162 mg; 1.53 mmol), Bu4NBr (10 mg; 0.03 mmol) were dissolved in toluene (3.3 mL) and H2O (1.7 mL) in glass tube reactor, and the mixture was bubbled with Ar followed by addition of Pd(dppf)Cl2 (11 mg; 0.015 mmol). Glass tube reactor was sealed, and the reaction was stirred at 115 °C overnight. The solvent was evaporated, and the residue was portioned between DCM and H2O. The resulting mixture was extracted with DCM twice (2 × 10 mL). Product was purified by column chromatography (silica gel, eluent: 0–10% EtOAc in DCM) followed by trituration with n-hexane or EtOAc to yield the appropriate derivatives 8a-c, 8f-g. In the reactions of 2d and 2e, no conversion was observed.
N,N-Dimethyl-2-(4′-(5-phenyl-1,3,4-oxadiazol-2-yl)biphenyl-4-yl)quinazolin-4-amine (8a). The product was obtained as a beige solid (122 mg, 85%); mp 216 °C; Rf = 0.15 (DCM-EtOAc, 9:1). IR (ATR): 2939, 1610, 1562, 1551, 1523, 1484, 1449, 1422, 1400, 1375, 1335, 1266, 1215, 1177, 1125, 1105, 1070, 1028, 1005, 973, 954, 921, 878, 870, 846, 830, 799, 766, 734, 709, 701, 682 cm−1. 1H-NMR (300 MHz, CDCl3) δ = 8.70 (d, J = 8.2 Hz, 2H), 8.25 (d, J = 8.2 Hz, 2H), 8.22–8.16 (m, 2H), 8.03 (dd, J = 23.5, 8.2 Hz, 2H), 7.84 (dd, J = 20.0, 8.2 Hz, 4H), 7.74 (t, J = 7.8 Hz, 1H), 7.62–7.53 (m, 3H), 7.41 (t, J = 7. Hz, 1H), 3.49 (s, 6H). 13C-NMR (75 MHz, CDCl3) δ = 164.6, 164.5, 163.9, 158.7, 153.0, 144.2, 141.1, 138.8, 132.1, 131.7, 129.1, 129.0, 128.7, 127.7, 127.4, 127.0, 127.0, 125.6, 124.2, 124.0, 122.8, 115.0, 41.9. HRMS (ESI/Q-TOF) m/z: [M + H]+ calcd for C30H24N5O 470.1981; found 470.1983. UV (MeOH): λmax (ε) = 201.5 (44520), 214.0 (19760), 316.5 (50600).
N,N-Dimethyl-2-(4′-(5-phenyl-1,3,4-oxadiazol-2-yl)biphenyl-3-yl)quinazolin-4-amine (8b). The product was obtained as a beige solid (106 mg, 74%); mp 177 °C; Rf = 0.21 (DCM-EtOAc, 9:1). IR (ATR): 3060, 2880, 1612, 1564, 1526, 1502, 1485, 1476, 1456, 1413, 1395, 1375, 1359, 1332, 1270, 1231, 1189, 1163, 1100, 1072, 1042, 1026, 1016, 959, 920, 848, 819, 799, 788, 773, 727, 712, 749, 697, 686 cm−1. 1H-NMR (300 MHz, CDCl3) δ = 8.90 (t, J = 1.8 Hz, 1H), 8.63 (dt, J = 7.8, 1.4 Hz, 1H), 8.30–8.22 (m, 2H), 8.22–8.14 (m, 2H), 8.06 (dd, J = 8.3, 1.4 Hz, 1H), 7.99 (dd, J = 8.5, 1.4 Hz, 1H), 7.95–7.88 (m, 2H), 7.80−7.67 (m, 2H), 7.66–7.50 (m, 4H), 7.40 (ddd, J = 8.3, 6.9, 1.3 Hz, 1H), 3.48 (s, 6H). 13C-NMR (75 MHz, CDCl3) δ = 164.6, 164.6, 163.9, 158.9, 153.0, 144.7, 139.7, 139.7, 132.1, 131.7, 129.1, 128.9, 128.8, 128.6, 128.3, 127.8, 127.4, 127.1, 127.0, 125.6, 124.2, 124.0, 122.6, 115.0, 41.8. HRMS (ESI/Q-TOF) m/z: [M + H]+ calcd for C30H24N5O 470.1981; found 470.2014. UV (MeOH): λmax (ε) = 201.5 (75350), 217.5 (52110), 304.0 (66480).
N,N-Dimethyl-2-(4′-(5-phenyl-1,3,4-oxadiazol-2-yl)biphenyl-2-yl)quinazolin-4-amine (8c). The product was obtained as a beige solid (123 mg, 86%); mp 172 °C; Rf = 0.10 (DCM-EtOAc, 9:1). IR (ATR): 3053, 2029, 1613, 1560, 1548, 1520, 1481, 1444, 1411, 1401, 1381, 1345, 1329, 1269, 1219, 1180, 1095, 1075, 1050, 1022, 1006, 955, 920, 838, 760, 740, 734, 707, 682 cm−1. 1H-NMR (300 MHz, CDCl3) δ = 8.18–8.10 (m, 3H), 8.05−7.99 (m, 2H), 7.96 (dd, J = 8.5, 1.3 Hz, 1H), 7.91 (dd, J = 8.5, 1.3 Hz, 1H), 7.71 (ddd, J = 8.5, 6.9, 1.4 Hz, 1H), 7.60–7.48 (m, 6H), 7.45–7.38 (m, 3H), 2.95 (s, 6H). 13C-NMR (75 MHz, CDCl3) δ = 164.7, 164.5, 162.8, 161.8, 152.7, 147.0, 140.5, 139.3, 132.1, 131.7, 131.0, 130.5, 129.9, 129.1, 129.1, 128.6, 128.2, 126.9, 126.3, 125.5, 124.4, 124.0, 121.5, 114.3, 41.4. HRMS (ESI/Q-TOF) m/z: [M + H]+ calcd for C30H24N5O 470.1981; found 470.1983. UV (MeOH): λmax (ε) = 201.5 (59880), 211.0 (49960), 243.5 (30930), 302.5 (43720).
N,N-Dimethyl-2-phenyl-6-(4-(5-phenyl-1,3,4-oxadiazol-2-yl)phenyl)quinazolin-4-amine (8f). The product was obtained as a yellowish solid (107 mg, 75%); mp 234 °C; Rf = 0.24 (DCM-EtOAc, 9:1). IR (ATR): 3067, 2890, 2169, 1612, 1579, 15512, 1523, 1505, 1486, 1449, 1417, 1396, 1352, 1325, 1243, 1172, 1131, 1104, 1069, 1027, 1015, 959, 891, 852, 829, 803, 790, 776, 743, 733, 713, 692, 684, 673 cm−1. 1H-NMR (300 MHz, CDCl3) δ = 8.61 (dd, J = 7.7, 2.0 Hz, 2H), 8.32–8.23 (m, 3H), 8.23–8.15 (m, 2H), 8.11–7.97 (m, 2H), 7.88–7.78 (m, 2H), 7.63–7.46 (m, 6H), 3.53 (s, 6H). 13C-NMR (75 MHz, CDCl3) δ = 164.7, 164.4, 164.1, 159.7, 152.9, 143.8, 138.7, 135.4, 131.8, 131.0, 130.2, 129.5, 129.1, 128.4, 128.3, 127.6, 127.6, 127.0, 124.0, 123.9, 122.9, 115.2, 41.9. HRMS (ESI/Q-TOF) m/z: [M + H]+ calcd for C30H24N5O 470.1981; found 470.1986. UV (DCM): λmax (ε) = 228.5 (36300), 297.0 (56350), 354.5 (44090).
N,N-Dimethyl-2-phenyl-7-(4-(5-phenyl-1,3,4-oxadiazol-2-yl)phenyl)quinazolin-4-amine (8g). The product was obtained as a colourless solid (104 mg, 72%); mp 238–239 °C; Rf = 0.27 (DCM-EtOAc, 9:1). IR (ATR): 3061, 2862, 1615, 1560, 1533, 1480, 1449, 1428, 1416, 1398, 1381, 1348, 1269, 1235, 1197, 1158, 1141, 1125, 1077, 1064, 1031, 1018, 992, 956, 911, 869, 843, 823, 797, 778, 760, 740, 732, 703 cm−1. 1H-NMR (300 MHz, CDCl3) δ = 8.66–8.56 (m, 2H), 8.31–8.20 (m, 3H), 8.23–8.08 (m, 3H), 7.93 (d, J = 8.0 Hz, 2H), 7.66 (dd, J = 8.7, 2.0 Hz, 1H), 7.62–7.47 (m, 6H), 3.49 (s, 6H). 13C-NMR (75 MHz, CDCl3) δ = 164.7, 164.4, 163.5, 159.9, 153.5, 143.0, 142.9, 138.8, 131.8, 130.1, 129.1, 128.4, 128.3, 127.9, 127.5, 127.0, 126.6, 126.3, 123.9, 123.5, 122.9, 114.4, 41.8. HRMS (ESI/Q-TOF) m/z: [M + H]+ calcd for C30H24N5O 470.1981; found 470.1993. UV (DCM): λmax (ε) = 226.5 (33990), 267.5 (42800), 314.0 (74470).
3.2.7. General Procedure for Preparing Symmetrical Quinazolinylphenyl-1,3,4-oxadiazole Derivatives 9a-c, 9f,g via Suzuki Cross-Coupling Using Diboronic Acid bis(pinacol) Ester 7
The appropriate halogen-containing quinazoline derivative (0.50 mmol): 2-(4-bromophenyl)4-(N,N-dimethylamino)quinazoline (2a), 2-(3-bromophenyl)-4-(N,N-dimethylamino)quinazoline (2b), 2-(2-bromophenyl)-4-(N,N-dimethylamino)quinazoline (2c), 6-bromo-4-(N,N-dimethylamino)-2-phenylquinazoline (2f), 7-bromo-4-(N,N-dimethylamino)-2-phenylquinazoline (2g), and bis[4-(tetramethyl-1,3,2-dioxaborolan-2-yl) phenyl] -1,3,4-oxadiazole (7) (125 mg; 0.28 mmol), Na2CO3 (224 mg; 2.11 mmol), Bu4NBr (14 mg; 0.042 mmol) were dissolved in toluene (6.6 mL) and H2O (3.4 mL) in glass tube reactor and the mixture was bubbled with Ar followed by addition of Pd(dppf)Cl2 (15 mg; 0.021 mmol). The glass tube reactor was sealed, and the reaction was stirred at 115 °C overnight. The solvent was evaporated, and the residue was portioned between DCM and H2O. The resulting mixture was extracted with DCM twice (2 × 10 mL). The final product was purified by column chromatography (silica gel, eluent: 0–10% EtOAc in DCM, 1–5% MeOH in DCM), followed by trituration with EtOAc to yield the appropriate symmetrical derivatives 9a-c and 9e-f.
2,2′-(4′,4′′-(1,3,4-Oxadiazole-2,5-diyl)bis(biphenyl-4′,4-diyl))bis(N,N-dimethylquinazolin-4-amine) (9a). The product was obtained as a pale yellow solid (106 mg, 70%); mp 271 °C (decomp.); Rf = 0.47 (5% MeOH in DCM). IR (ATR): 2933, 1610, 1560, 1522, 1485, 1448, 1395, 1375, 1352, 1335, 1271, 1214, 1176, 1102, 1070, 1020, 1005, 954, 924, 866, 834, 798, 763, 739, 701, 680 cm−1. 1H-NMR (300 MHz, CDCl3) δ = 8.70 (d, J = 8.2 Hz, 4H), 8.27 (d, J = 8.4 Hz, 4H), 8.06 (d, J = 8.5 Hz, 2H), 7.98 (d, J = 8.2 Hz, 2H), 7.88 (d, J = 8.5 Hz, 4H), 7.80 (d, J = 8.4 Hz, 4H), 7.73 (t, J = 7.3 Hz, 2H), 7.40 (t, J = 7.7 Hz, 2H), 3.49 (s, 12H). 13C NMR (75 MHz, CDCl3) δ = 164.7, 164.0, 158.9, 153.1, 144.3, 141.2, 138.9, 132.2, 129.2, 128.8, 127.5, 127.1, 127.1, 125.7, 124.4, 122.9, 115.1, 42.0. HRMS (ESI/Q-TOF) m/z: [M + H]+ calcd for C46H37N8O 717.3090; found 717.3060. UV (MeOH): λmax (ε) = 212.0 (12290), 269.0 (5150), 331.0 (12890).
2,2′-(4′,4′′-(1,3,4-Oxadiazole-2,5-diyl)bis(biphenyl-4′,3-diyl))bis(N,N-dimethylquinazolin-4-amine) (9b). The product was obtained as a cream solid (76 mg, 50%); mp 265–266 °C; Rf = 0.48 (5% MeOH in DCM). IR (ATR): 3059, 2927, 1612, 1564, 1526, 1488, 1446, 1411, 1399, 1378, 13356, 1232, 1162, 1102, 1069, 1041, 1015, 961, 917, 888, 866, 845, 807, 791, 761, 752, 729, 709, 695, 680 cm−1. 1H-NMR (300 MHz, CDCl3) δ = 8.90 (t, J = 1.8 Hz, 2H), 8.62 (dt, J = 7.8, 1.2 Hz, 2H), 8.28 (d, J = 8.4 Hz, 4H), 8.06 (dd, J = 8.5, 1.3 Hz, 2H), 7.98 (dd, J = 8.5, 1.2 Hz, 2H), 7.92 (d, J = 8.4 Hz, 4H), 7.74 (tdd, J = 8.4, 6.6, 1.5 Hz, 4H), 7.61 (t, J = 7.7 Hz, 2H), 7.40 (ddd, J = 8.4, 6.6, 1.3 Hz, 2H), 3.48 (s, 12H). 13C-NMR (75 MHz, CDCl3) δ = 164.6, 164.0, 158.9, 153.0, 144.7, 139.8, 139.7, 132.1, 128.9, 128.8, 128.7, 128.3, 127.9, 127.4, 127.2, 125.6, 124.2, 122.7, 115.0, 41.9. HRMS (ESI/Q-TOF) m/z: [M + H]+ calcd for C46H37N8O 717.3090; found 717.3065. UV (MeOH): λmax (ε) = 206.5 (10690), 210.5 (11190), 252.5 (9230), 267.5 (8940), 316.5 (11120).
2,2′-(4′,4′′-(1,3,4-Oxadiazole-2,5-diyl)bis(biphenyl-4′,2-diyl))bis(N,N-dimethylquinazolin-4-amine) (9c). The product was obtained as a colourless solid (91 mg, 60%); mp 165–166 °C; Rf = 0.43 (5% MeOH in DCM). IR (ATR): 2927, 1732, 1611, 1562, 1522, 1499, 1444, 1398, 1375, 1351, 1240, 1219, 1142, 1095, 1071, 1047, 1021, 1005, 955, 879, 86, 807, 765, 739, 708, 638 cm−1. 1H-NMR (300 MHz, CDCl3) δ = 8.14–8.09 (m, 2H), 8.00–7.84 (m, 8H), 7.69 (ddd, J = 8.4, 6.9, 1.4 Hz, 2H), 7.57–7.44 (m, 6H), 7.42–7.33 (m, 6H), 2.94 (s, 12H). 13C-NMR (75 MHz, CDCl3) δ = 164.6, 162.8, 161.8, 152.7, 147.0, 140.4, 139.3, 132.1, 130.9, 130.5, 129.8, 129.1, 128.6, 128.2, 126.3, 125.5, 124.4, 121.5, 114.3, 41.4. HRMS (ESI/Q-TOF) m/z: [M + H]+ calcd for C46H37N8O 717.3090; found 717.3065. UV (MeOH): λmax (ε) = 207.5 (10490), 249.0 (54350), 314.5 (61870).
6,6′-(4,4′-(1,3,4-Oxadiazole-2,5-diyl)bis(4,1-phenylene))bis(N,N-dimethylquinazolin-4-amine) (9f). The product was obtained as a yellow solid(79 mg, 52%); mp 378–330 °C; Rf = 0.70 (5% MeOH in DCM). IR (ATR): 3058, 2881, 2170, 1608, 1584, 1553, 1520, 1485, 1449, 1413, 1390, 1348, 1324, 1240, 1191, 1168, 1105, 1066, 1026, 1013, 958, 891, 829, 803, 779, 749, 708, 672 cm−1. 1H-NMR (300 MHz, CDCl3) δ = 8.66–8.57 (m, 4H), 8.37–8.27 (m, 6H), 8.16–8.00 (m, 4H), 7.88 (d, J = 8.2 Hz, 4H), 7.52 (d, J = 7.0 Hz, 6H), 3.55 (s, 12H). 13C-NMR (75 MHz, CDCl3) δ = 164.8, 160.3, 159.8, 153.0, 143.9, 138.8, 135.5, 131.2, 130.3, 129.6, 129.3, 128.6, 128.4, 127.1, 124.1, 123.0, 115.3, 42.08. HRMS (ESI/Q-TOF) m/z: [M + H]+ calcd for C46H37N8O 717.3090; found 717.3088. UV (DCM): λmax (ε) = 228.5 (55720), 292.0 (50750), 361.0 (80530).
7,7′-(4,4′-(1,3,4-Oxadiazole-2,5-diyl)bis(4,1-phenylene))bis(N,N-dimethylquinazolin-4-amine) (9g). The product was obtained as a beige solid(98 mg, 65%); mp 257–258 °C (decomp.); Rf = 0.45 (5% MeOH in DCM). IR (ATR): 2881, 1614, 1559, 1533, 1474, 1453, 1429, 1382, 1345, 1201, 1167, 1103, 1068, 1026, 1014, 955, 911, 890, 847, 823, 798, 777, 746, 704 cm−1. 1H-NMR (300 MHz, CDCl3) δ = 8.67–8.57 (m, 4H), 8.36–8.23 (m, 6H), 8.16 (d, J = 8.7 Hz, 2H), 7.96 (d, J = 8.1 Hz, 4H), 7.70 (dd, J = 8.7, 1.9 Hz, 2H), 7.59–7.46 (m, 6H), 3.52 (s, 12H). 13C-NMR (75 MHz, CDCl3) δ = 164.5, 163.6, 159.9, 153.5, 143.1, 143.0, 138.7, 130.2, 128.4, 128.3, 128.0, 127.6, 126.7, 126.4, 123.5, 122.9, 114.4, 41.8. HRMS (ESI/Q-TOF) m/z: [M + H]+ calcd for C46H37N8O 717.3090; found 717.3096. UV (DCM): λmax (ε) = 222.0 (37810), 276.0 (50200), 329.0 (110400).
4. Conclusions
In conclusion, we have synthesized two series of novel, highly-conjugated, unsymmetrical and symmetrical quinazolinylphenyl-1,3,4-oxadiazole compounds. We demonstrated a simple and efficient synthetic methodology that involves Suzuki cross-coupling reactions between bromine-containing 4-(N,N-dimethylamine)-2-phenylquinazoline derivatives and 2,5-diphenyl-1,3,4-oxadiazole-bearing boronic esters in the presence of a palladium catalyst under phase transfer catalytic conditions. The prepared boronic acid pinacol ester and diboronic acid bis(pinacol) ester of 2,5-diphenyl-1,3,4-oxadiazole were effective precursors for the described Suzuki cross-coupling reactions. Both the boronic esters 6, 7 and final products 8f, 9f, wherein the 1,3,4-oxadiazole moiety is connected to quinazoline ring by a 1,4-phenylene linker at the 6 position, displayed strong fluorescence emission and high quantum yields, making these compounds potentially useful building blocks for optoelectronic applications.
Supplementary Materials
Copies of the 1H-NMR and 13C-NMR spectra of the compounds are available in the online Supplementary Materials.
Author Contributions
B.W. and A.K. conceived and designed the experiments, performed the experiments and analyzed the data. M.W. and M.K. performed absorption and emission measurements. A.K. and B.W. wrote the manuscript. All authors have read and agreed to the published version of the manuscript.
Funding
This research was funded by the Silesian University of Technology in Gliwice, Poland, grant number 04/050/BK_20/0097.
Acknowledgments
The authors would like to thank Department of Organic Chemistry, Jagiellonian University (Kraków, Poland) for the opportunity to register fluorescence spectra.
Conflicts of Interest
The authors declare no conflict of interest.
References
- Zhou, Y.; Wang, J.; Gu, Z.; Wang, S.; Zhu, W.; Aceña, J.L.; Soloshonok, V.A.; Izawa, K.; Liu, H. Next Generation of Fluorine-Containing Pharmaceuticals, Compounds Currently in Phase II–III Clinical Trials of Major Pharmaceutical Companies: New Structural Trends and Therapeutic Areas. Chem. Rev. 2016, 116, 422–518. [Google Scholar] [CrossRef]
- Summa, V.; Petrocchi, A.; Bonelli, F.; Crescenzi, B.; Donghi, M.; Ferrara, M.; Fiore, F.; Gardelli, C.; Gonzalez Paz, O.; Hazuda, D.J.; et al. Discovery of Raltegravir, a Potent, Selective Orally Bioavailable HIV-Integrase Inhibitor for the Treatment of HIV-AIDS Infection. Med. Chem. 2008, 51, 5843–5855. [Google Scholar] [CrossRef]
- Tan, T.M.C.; Chen, Y.; Kong, K.H.; Bai, J.; Li, Y.; Lim, S.G.; Ang, T.H.; Lam, Y. Synthesis and the biological evaluation of 2-benzenesulfonylalkyl-5-substituted-sulfanyl-[1,3,4]-oxadiazoles as potential anti-hepatitis B virus agents. Antivir. Res. 2006, 71, 7–14. [Google Scholar] [CrossRef]
- De Oliveira, C.S.; Lira, B.F.; Barbosa-Filho, J.M.; Lorenzo, J.G.F.; De Athayde-Filho, P.F. Synthetic Approaches and Pharmacological Activity of 1,3,4-Oxadiazoles: A Review of the Literature from 2000–2012. Molecules 2012, 17, 10192–10231. [Google Scholar] [CrossRef]
- Rachakonda, V.; Alla, M.; Kotipalli, S.S.; Ummanni, R. Design, diversity-oriented synthesis and structure activity relationship studies of quinolinyl heterocycles as antimycobacterial agents. Eur. J. Med. Chem. 2013, 70, 536–547. [Google Scholar] [CrossRef] [PubMed]
- Zhang, M.-Z.; Mulholland, N.; Beattie, D.; Irwin, D.; Gu, Y.-C.; Chen, Q.; Yang, G.-F.; Clough, J. Synthesis and antifungal activity of 3-(1,3,4-oxadiazol-5-yl)-indoles and 3-(1,3,4-oxadiazol-5-yl)methyl-indoles. Eur. J. Med. Chem. 2013, 63, 22–32. [Google Scholar] [CrossRef]
- Reddy, G.D.; Park, S.J.; Cho, H.M.; Kim, T.J.; Lee, M.E. Antiallergic activity profile in vitro RBL-2H3 and in vivo passive cutaneous anaphylaxis mouse model of new sila-substituted 1,3,4-oxadiazoles. J. Med. Chem. 2012, 55, 6438–6444. [Google Scholar] [CrossRef]
- Paun, A.; Hadade, N.D.; Paraschivescu, C.C.; Matache, M. 1,3,4-Oxadiazoles as luminescent materials for organic light emitting diodes via cross-coupling reactions. J. Mater. Chem. C 2016, 4, 8596–8610. [Google Scholar] [CrossRef]
- Yang, X.; Xu, X.; Zhou, G. Recent advances of the emitters for high performance deep-blue organic light-emitting diodes. J. Mater. Chem. C 2015, 3, 913–944. [Google Scholar] [CrossRef]
- Han, J. 1,3,4-Oxadiazole based liquid crystals. J. Mater. Chem. C 2013, 1, 7779–7797. [Google Scholar] [CrossRef]
- Zheng, C.; Yuan, A.; Zhang, Z.; Shen, H.; Bai, S.; Wang, H. Synthesis of pyridine-based 1,3,4-oxadiazole derivative as fluorescence turn-on sensor for high selectivity of Ag+. J. Fluoresc. 2013, 23, 785–791. [Google Scholar] [CrossRef]
- Tang, L.; Zheng, Z.; Huang, Z.; Zhong, K.; Bian, Y.; Nandhakumar, R. Multi-analyte, ratiometric and relay recognition of a 2,5-diphenyl-1,3,4-oxadiazole-based fluorescent sensor through modulating ESIPT. RSC Adv. 2015, 5, 10505–10511. [Google Scholar] [CrossRef]
- Dong, Y.-B.; Zhang, Q.; Wang, L.; Ma, J.-P.; Huang, R.-Q.; Shen, D.-Z.; Chen, D.-Z. Organometallic Coordination Polymers Generated from Bent Bis(acetylenylphenyl)oxadiazole Ligands and Ag(I) Salts. Inorg. Chem. 2005, 44, 6591–6608. [Google Scholar] [CrossRef]
- Theocharis, A.B.; Alexandrou, N.E. Synthesis and spectral data of 4,5-bis[5 -aryl-1,3,4-oxadiazol-2-yl]-1-benzyl-1,2,3-triazoles. J. Heterocycl. Chem. 1990, 27, 1685–1688. [Google Scholar] [CrossRef]
- Tandon, V.K.; Chhor, R.B. An efficient one pot synthesis of 1,3,4-oxadiazoles. Synth. Commun. 2001, 31, 1727–1732. [Google Scholar] [CrossRef]
- Stabile, P.; Lamonica, A.; Ribecai, A.; Castoldi, D.; Guercio, G.; Curcuruto, O. Mild and convenient one-pot synthesis of 1,3,4-oxadiazoles. Tetrahedron Lett. 2010, 51, 4801–4805. [Google Scholar] [CrossRef]
- Dobrota, C.; Paraschivescu, C.; Dumitru, I.; Matache, M.; Baciu, I.; Ruta, L.L. Convenient preparation of unsymmetrical 2,5-disubstituted 1,3,4-oxadiazoles promoted by Dess–Martin reagent. Tetrahedron Lett. 2009, 50, 1886–1888. [Google Scholar] [CrossRef]
- Pardeshi, S.P.; Patil, S.S.; Bobade, V.D. N-Chlorosuccinimide/1,8-Diazabicyclo[5.4.0]undec-7-ene (DBU)–Mediated Synthesis of 2,5-Disubstituted 1,3,4-Oxadiazoles. Synth. Commun. 2010, 40, 1601–1606. [Google Scholar] [CrossRef]
- Rapolu, S.; Alla, M.; Bommenaa, V.R.; Murthy, R.; Jain, N.; Bommareddy, V.R.; Bommineni, M.R. Synthesis and biological screening of 5-(alkyl(1H-indol-3-yl))-2-(substituted)-1,3,4-oxadiazoles as antiproliferative and anti-inflammatory agents. Eur. J. Med. Chem. 2013, 66, 91–100. [Google Scholar] [CrossRef]
- Rostamizadeh, S.; Housaini, S.A.G. Microwave assisted syntheses of 2,5-disubstituted 1,3,4-oxadiazoles. Tetrahedron Lett. 2004, 45, 8753–8756. [Google Scholar] [CrossRef]
- Jasiak, K.; Kudelko, A.; Zieliński, W.; Kuźnik, N. Study on DDQ-promoted synthesis of 2,5-disubstituted 1,3,4-oxadiazoles from acid hydrazides and aldehydes. ARKIVOC 2017, 2, 87–106. [Google Scholar] [CrossRef]
- Buscemi, S.; Pace, A.; Pibiri, I.; Vivona, N. Competing Ring-Photoisomerization Pathways in the 1,2,4-Oxadiazole Series. An Unprecedented Ring-Degenerate Photoisomerization. J. Org. Chem. 2002, 67, 6253–6255. [Google Scholar] [CrossRef]
- Shaker, R.M.; Mahmoud, A.F.; Abdel-Latif, F.F. Synthesis and Biological Activities of Novel 1,4-Bridged Bis-1,2,4-Triazoles, Bis-1,3,4-Thiadiazoles and Bis-1,3,4-Oxadiazoles. Phosphorus Sulfur Silicon Relat. Elements 2005, 180, 397–406. [Google Scholar] [CrossRef]
- Xie, Y.; Liu, J.; Yang, P.; Shi, X.; Li, J. Synthesis of 2-amino-1,3,4-oxadiazoles from isoselenocyanates via cyclodeselenization. Tetrahedron 2011, 67, 5369–5374. [Google Scholar] [CrossRef]
- Dupau, P.; Epple, R.; Thomas, A.A.; Fokin, V.V.; Sharpless, K.B. Osmium-Catalyzed Dihydroxylation of Olefins in Acidic Media: Old Process, New Tricks. Adv. Synth. Catal. 2002, 344, 421–433. [Google Scholar] [CrossRef]
- Huisgen, R.; Sauer, J.; Sturm, H.J.; Markgraf, J.H. Ring opening of azoles. II. The formation of 1,3,4-oxadiazoles in the acylation of 5-substituted tetrazoles. Chem. Ber. 1960, 93, 2106–2124. [Google Scholar] [CrossRef]
- Verhaeghe, P.; Azas, N.; Gasquet, M.; Hutter, S.; Ducros, C.; Laget, M.; Rault, S.; Rathelot, P.; Vanelle, P. Synthesis and antiplasmodial activity of new 4-aryl-2-trichloromethylquinazolines. Bioorg. Med. Chem. Lett. 2008, 18, 396–401. [Google Scholar] [CrossRef]
- Chandrika, P.M.; Yakaiah, T.; Rao, A.R.R.; Narsaiah, B.; Reddy, N.C.; Sridhar, V.; Rao, J.V. Synthesis of novel 4,6-disubstituted quinazoline derivatives, their anti-inflammatory and anti-cancer activity (cytotoxic) against U937 leukemia cell lines. Eur. J. Med. Chem. 2008, 43, 846–852. [Google Scholar] [CrossRef] [PubMed]
- Giardin, D.; Martarelli, D.; Sagratini, G.; Angeli, P.; Ballinari, D.; Gulini, U.; Melchiorre, C.; Poggesi, E.; Pompei, P. Doxazosin-Related α1-Adrenoceptor Antagonists With Prostate Antitumor Activity. J. Med. Chem. 2009, 52, 4951–4954. [Google Scholar] [CrossRef]
- Shallal, H.M.; Russu, W.A. Discovery, synthesis, and investigation of the antitumor activity of novel piperazinylpyrimidine derivatives. Eur. J. Med. Chem. 2011, 46, 2043–2057. [Google Scholar] [CrossRef]
- El-Azab, A.S.; Abdel-Hamide, S.G.; Sayed-Ahmed, M.M.; Hassan, G.S.; El-Hadiyah, T.M.; Al-Shabanah, O.A.; Al-Deeb, O.A.; El-Subbagh, H.I. Novel 4(3H)-Quinazolinone Analogues: Synthesis and Anticonvulsant Activity. Med. Chem. Res. 2013, 22, 2815–2827. [Google Scholar] [CrossRef]
- Elshahawi, M.M.; El-Ziaty, A.K.; Morsy, J.M.; Aly, A.F. Synthesis and Insecticidal Efficacy of Novel Bis Quinazolinone Derivatives. J. Heterocycl. Chem. 2015, 53, 1443–1448. [Google Scholar] [CrossRef]
- Bowen Li, B.; Wang, Z.; Su, S.-J.; Guo, F.; Cao, Y.; Zhang, Y. Quinazoline-Based Thermally Activated Delayed Fluorecence for High-Performance OLEDs with External Quantum Efficiencies Exceeding 20%. Adv. Opt. Mater. 2019, 1801496. [Google Scholar] [CrossRef]
- Jiang, J.B.; Hesson, D.P.; Dusak, B.A.; Dexter, D.L.; Kang, G.L.; Hamel, E. Synthesis and biological evaluation of 2-styrylquinazolin-4(3H)-ones, a new class of antimitotic anticancer agents which inhibit tubulin polymerization. J. Med. Chem. 1990, 33, 1721–1728. [Google Scholar] [CrossRef] [PubMed]
- Rad-Moghadam, K.; Mohseni, M. An Expeditious and Solvent-Free Route to the Synthesis of 2-Substituted Quinazolin-4(3H)-Ones Under Microwave Conditions. J. Chem. Res. 2003, 8, 487–488. [Google Scholar] [CrossRef]
- Bergman, J.; Brynolf, A. Synthesis of Chrysogine, a Metabolite of Penicillium chrysogenum and some related 2-substituted 4-(3H)-Quinazolinones. Tetrahedron Lett. 1990, 46, 1295–1310. [Google Scholar] [CrossRef]
- Witt, A.; Bergman, J. Synthesis and Reactions of some 2-Vinyl-3H-quinazolin-4-ones. Tetrahedron 2000, 56, 7245–7253. [Google Scholar] [CrossRef]
- Connolly, D.J.; Guiry, P.J. A Facile and Versatile Route to 2-Substituted-4(3H)-Quinazolinones and Quinazolines. Synlett 2001, 11, 1707–1710. [Google Scholar] [CrossRef]
- Hess, H.-J.; Cronin, T.H.; Scriabine, A. Antihypertensive 2-amino-4(3H)-quinazolinones. J. Med. Chem. 1968, 11, 130–136. [Google Scholar] [CrossRef]
- Connolly, D.J.; Cusack, D.; O’Sullivan, T.P.; Guiry, P.J. Synthesis of quinazolinones and quinazolines. Tetrahedron 2005, 61, 10153–10202. [Google Scholar] [CrossRef]
- Asif, M. Chemical Characteristics, Synthetic Methods, and Biological Potential of Quinazoline and Quinazolinone Derivatives. Int. J. Med. Chem. 2014, 2014, 395637. [Google Scholar] [CrossRef]
- Zhang, J.; Zhu, D.; Yu, C.; Wan, C.; Wang, Z. A Simple and Efficient Approach to the Synthesis of 2-Phenylquinazolines via sp3 C−H Functionalization. Org. Lett. 2010, 12, 2841–2843. [Google Scholar] [CrossRef]
- Karnakar, K.; Shangkar, J.; Murthy, S.N.; Ramesch, K.; Nageshwar, Y.V.D. An Efficient Protocol for the Synthesis of 2-Phenylquinazolines Catalyzed by Ceric Ammonium Nitrate (CAN). Synlett 2011, 8, 1089–1096. [Google Scholar] [CrossRef]
- Kraft, A.; Grimsdale, A.C.; Holmes, A.B. Electroluminescent Conjugated Polymers—Seeing Polymers in a New Light. Angew. Chem. Int. Ed. 1998, 37, 402–428. [Google Scholar] [CrossRef]
- Mitschke, U.; Bauerle, P. The electroluminescence of organic materials. J. Mater. Chem. 2000, 10, 1471–1507. [Google Scholar] [CrossRef]
- Wang, C.; Jung, G.-Y.; Hua, Y.; Pearson, C.; Bryce, M.R.; Petty, M.C.; Batsanov, A.S.; Goeta, A.E.; Howard, J.A.K. An Efficient Pyridine- and Oxadiazole-Containing Hole-Blocking Material for Organic Light-Emitting Diodes: Synthesis, Crystal Structure, and Device Performance. Chem. Mater. 2001, 13, 1167–1173. [Google Scholar] [CrossRef]
- Wang, C.; Jung, G.-Y.; Batsanov, A.S.; Bryce, M.R.; Petty, M.C. New electron-transporting materials for light emitting diodes: 1,3,4-oxadiazole–pyridine and 1,3,4-oxadiazole–pyrimidine hybrids. J. Mater. Chem. 2002, 12, 173–180. [Google Scholar] [CrossRef]
- Waśkiewicz, K.; Gabański, R.; Żak, J.; Suwiński, J. Electrochemical Isomerization and Polymerization of Three Stereoisomers of a Novel Photoluminescent Thienylene-PPV Derivative. Electrochem. Solid-State Lett. 2005, 8, E24–E26. [Google Scholar] [CrossRef]
- Fuks-Janczarek, I.; Reshak, A.H.; Kuźnik, N.; Kityk, I.V.; Gabański, R.; Łapkowski, M.; Motyka, R.; Suwiński, J. UV–vis absorption spectra of 1,4-dialkoxy-2,5-bis[2-(thien-2-yl)ethenyl]benzenes. Spectrochim. Acta Part A 2009, 72, 394–398. [Google Scholar] [CrossRef]
- Tamoto, N.; Adachi, C.; Nagai, K. Electroluminescence of 1,3,4-Oxadiazole and Triphenylamine-Containing Molecules as an Emitter in Organic Multilayer Light Emitting Diodes. Chem. Mater. 1997, 9, 1077–1085. [Google Scholar] [CrossRef]
- Kudelko, A.; Wróblowska, M.; Jarosz, T.; Łaba, K.; Łapkowski, M. Synthesis, spectral characteristics and electrochemistry of symmetrically substituted hybrids derived from 2,5-bis(4-bromophenyl)-1,3,4-oxadiazole under Suzuki cross-coupling reaction. ARKIVOC 2015, 5, 287–302. [Google Scholar] [CrossRef]
- Wróblowska, M.; Kudelko, A.; Łapkowski, M. Efficient Synthesis of Conjugated 1,3,4-Thiadiazole Hybrids through Palladium-Catalyzed Cross-Coupling of 2,5-Bis(4-bromophenyl)-1,3,4-thiadiazole with Boronic Acids. Synlett 2015, 26, 2127–2130. [Google Scholar] [CrossRef]
- Olesiejuk, M.; Kudelko, A.; Świątkowski, M.; Kruszyński, R. Synthesis of 4-alkyl-4H-1,2,4-triazole derivatives by Suzuki cross-coupling reactions and their luminescence properties. Molecules 2019, 24, 652. [Google Scholar] [CrossRef]
- Suzuki, A. Cross-coupling reactions via organoboranes. J. Organomet. Chem. 2002, 653, 83–90. [Google Scholar] [CrossRef]
- Miyaura, N. Metal-Catalyzed Cross-Coupling Reactions of Organoboron Compounds with Organic Halides. In Metal-Catalyzed Cross-Coupling Reactions; de Meijere, A., Diederich, F., Eds.; Wiley-VCH: Weinheim, Germany, 2008; pp. 41–123. [Google Scholar]
- Zieliński, W.; Kudelko, A.; Holt, E.M. Synthesis of 2,4-Diaminoquinazoline Derivatives. Heterocycles 1998, 48, 319–328. [Google Scholar] [CrossRef]
- Zieliński, W.; Kudelko, A. The synthesis of 8-hydroxyquinazoline derivatives and their acid-base interactions. J. Heterocycl. Chem. 2004, 41, 247–251. [Google Scholar] [CrossRef]
- Zieliński, W.; Kudelko, A. Synthesis and Basicity of 4-Amino-2-phenylquinazolines. Monatshefte Chem. 2000, 131, 895–899. [Google Scholar] [CrossRef]
- Jose, D.E.; Kanchana, U.S.; Mathew, T.V.; Anilkumar, G. Recent studies in Suzuki-Miyaura cross-coupling reactions with the aid of phase transfer catalysts. J. Organomet. Chem. 2020, 927, 121538. [Google Scholar] [CrossRef]
- Castanet, A.-S.; Colobert, F.; Desmurs, J.-R.; Schlama, T. Biaryl synthesis via Suzuki coupling promoted by catalytic amounts of quaternary ammonium salts. J. Mol. Catal. A Chem. 2002, 182–183, 481–487. [Google Scholar] [CrossRef]
- Polackova, V.; Hut’ka, M.; Toma, S. Ultrasound effect on Suzuki reactions. 1. Synthesis of unsymmetrical biaryls. Ultrason. Sonochem. 2005, 12, 99–102. [Google Scholar] [CrossRef]
- Badone, D.; Baroni, M.; Cardamone, R.; Ielmini, A.; Guzzi, U. Highly Efficient Palladium-Catalyzed Boronic Acid Coupling Reactions in Water: Scope and Limitations. J. Org. Chem. 1997, 62, 7170–7173. [Google Scholar] [CrossRef] [PubMed]
- Suzuki. K.; Kobayashi, A.; Kaneko, S.; Takehira, K.; Yoshihara, T.; Ishida, H.; Shiina, Y.; Oishi, S.; Tobita, S. Reevaluation of absolute luminescence quantum yields of standard solutions using a spectrometer with an integrating sphere and a back-thinned CCD detector. Phys. Chem. Chem. Phys. 2009, 11, 9850–9860. [Google Scholar] [CrossRef]
- Dahl, K.; Biswas, R.; Maroncelli, M. The Photophysics and Dynamics of Diphenylbutadiene in Alkane and Perfluoroalkane Solvents. J. Phys. Chem. B 2003, 107, 7838–7853. [Google Scholar] [CrossRef]
- Brouwer, A.M. Standards for photoluminescence quantum yield measurements in solution (IUPAC Technical Report). Pure Appl. Chem. 2011, 83, 2213–2228. [Google Scholar] [CrossRef]
- Lakowicz, J.R. Quenching of Fluorescence. In Principles of Fluorescence Spectroscopy, 3rd ed.; Springer: Boston, MA, USA, 2006; Chapter 8; pp. 277–330. [Google Scholar] [CrossRef]
- Chen, X.; Yang, Q.; Zhou, Y.; Deng, Z.; Mao, X.; Peng, Y. Synthesis of 4-(Dimethylamino)quinazoline via Direct Amination of Quinazolin-4(3H)-one Using N,N-Dimethylformamide as a Nitrogen Source at Room Temperature. Synthesis 2015, 47, 2055–2062. [Google Scholar] [CrossRef]
- Zieliński, W.; Mazik, M. Synthesis of 4-aminoquinazoline derivatives. Pol. J. Chem. 1994, 68, 487–489. [Google Scholar]
- Kawano, T.; Yoshizumi, T.; Hirano, K.; Satoh, T.; Miura, M. Copper-Mediated Direct Arylation of 1,3,4-Oxadiazoles and 1,2,4-Triazoles with Aryl Iodides. Org. Lett. 2009, 11, 3072–3075. [Google Scholar] [CrossRef]
- Zhan, X.; Liu, Y.; Wu, X.; Wang, S.; Zhu, D. New Series of Blue-Emitting and Electron-Transporting Copolymers Based on Fluorene. Macromolecules 2002, 35, 2529–2537. [Google Scholar] [CrossRef]
Sample Availability: Samples of the compounds 8a-c, 8f,g, 9a-c, 9f,g are available from the authors | |
Publisher’s Note: MDPI stays neutral with regard to jurisdictional claims in published maps and institutional affiliations. |
© 2020 by the authors. Licensee MDPI, Basel, Switzerland. This article is an open access article distributed under the terms and conditions of the Creative Commons Attribution (CC BY) license (http://creativecommons.org/licenses/by/4.0/).
















