Rational Design of Polyamine-Based Cryogels for Metal Ion Sorption
Abstract
1. Introduction
2. Results and Discussion
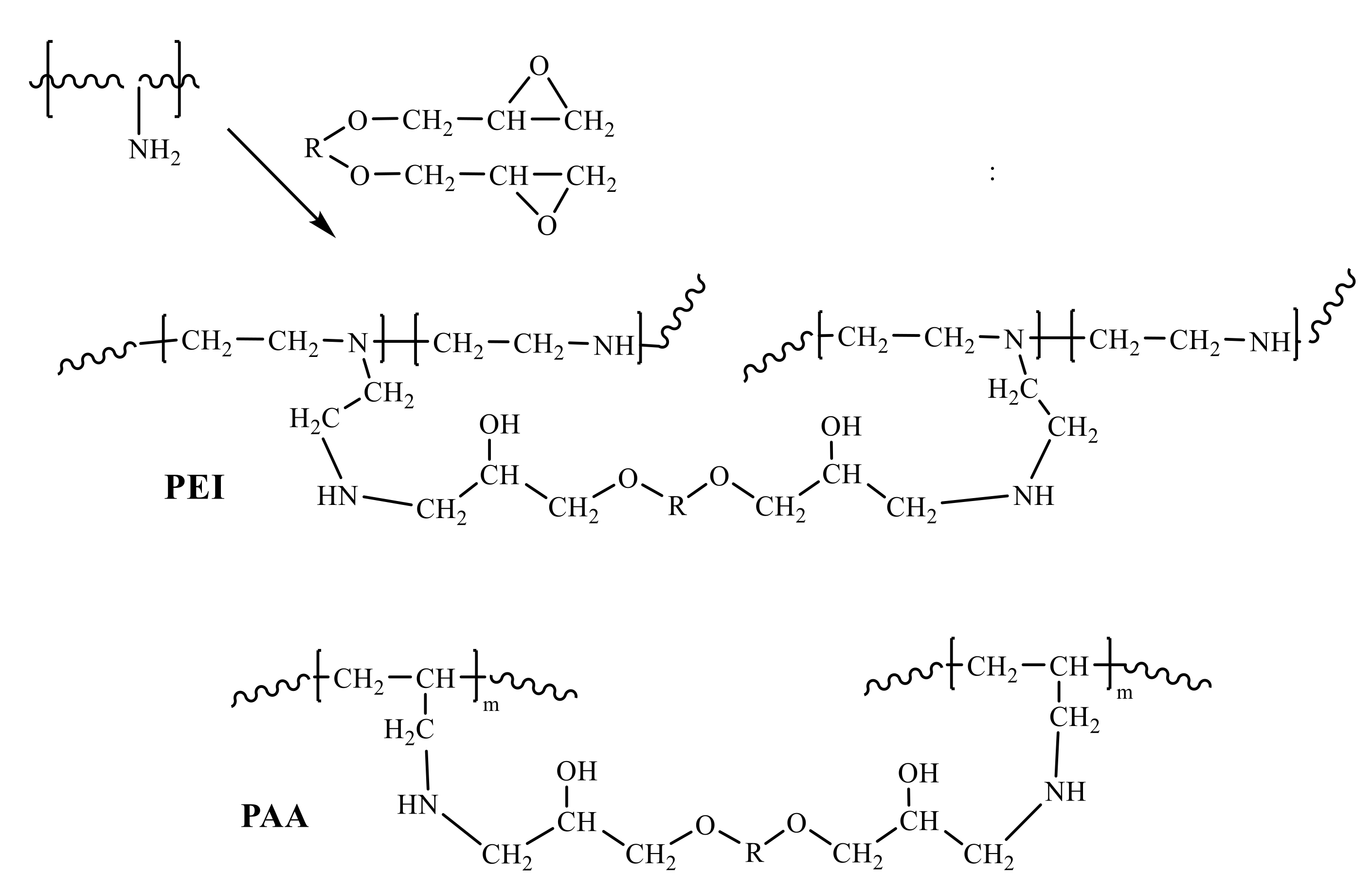
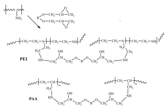
2.1. Fabrication and Characterization of the Monolith PAA Cryogels
2.2. Sorption Properties of PEI and PAA Cryogels
2.3. Composite Cryogels for Cesium Ion Sorption
3. Materials and Methods
3.1. Materials
3.2. PAA and PEI Cryogel Fabrication
3.3. Morphology of Cryogels
3.4. Rheological Properties
3.5. Investigations of the Sorption Properties of PEI and PAA Cryogel
3.6. Fabrication of the Composite Cryogels Containing Copper Ferrocyanide (CuFCN) and Investigations of Their Sorption Properties
4. Conclusions
Supplementary Materials
Author Contributions
Funding
Acknowledgments
Conflicts of Interest
References
- Sahiner, N.; Demirci, S. Poly ionic liquid cryogel of polyethyleneimine: Synthesis, characterization, and testing in absorption studies. J. Appl. Polym. Sci. 2016, 133, 1–13. [Google Scholar] [CrossRef]
- Won, S.W.; Park, J.; Mao, J.; Yun, Y.S. Utilization of PEI-modified Corynebacterium glutamicum biomass for the recovery of Pd(II) in hydrochloric solution. Bioresour. Technol. 2011, 102, 3888–3893. [Google Scholar] [CrossRef] [PubMed]
- Won, S.W.; Mao, J.; Kwak, I.S.; Sathishkumar, M.; Yun, Y.S. Platinum recovery from ICP wastewater by a combined method of biosorption and incineration. Bioresour. Technol. 2010, 101, 1135–1140. [Google Scholar] [CrossRef] [PubMed]
- Kuncoro, E.P.; Roussy, J.; Guibal, E. Mercury recovery by polymer-enhanced ultrafiltration: Comparison of Chitosan and Poly(Ethylenimine) used as macroligand. Sep. Sci. Technol. 2005, 40, 659–684. [Google Scholar] [CrossRef]
- Zamariotto, D.; Lakard, B.; Fievet, P.; Fatin-Rouge, N. Retention of Cu(II)- and Ni(II)-polyaminocarboxylate complexes by ultrafiltration assisted with polyamines. Desalination 2010, 258, 87–92. [Google Scholar] [CrossRef]
- Lindén, J.B.; Larsson, M.; Coad, B.R.; Skinner, W.M.; Nydén, M. Polyethyleneimine for copper absorption: Kinetics, selectivity and efficiency in artificial seawater. RSC Adv. 2014, 4, 25063. [Google Scholar] [CrossRef]
- Saad, D.M.; Cukrowska, E.M.; Tutu, H. Development and application of cross-linked polyethylenimine for trace metal and metalloid removal from mining and industrial wastewaters. Toxicol. Environ. Chem. 2011, 93, 914–924. [Google Scholar] [CrossRef]
- Bratskaya, S.; Privar, Y.; Ustinov, A.; Azarova, Y.; Pestov, A. Recovery of Au(III), Pt(IV), and Pd(II) using Pyridylethyl-containing polymers: Chitosan derivatives vs synthetic polymers. Ind. Eng. Chem. Res. 2016, 55, 10377–10385. [Google Scholar] [CrossRef]
- Gopalkrishna, K.M.; Thakaji, K.S.; Babu, B.S. Process for the Preparation of Crosslinked Polyallylamine Polymer. U.S Patent 7,388,056 B2, 23 June 2008. [Google Scholar]
- Park, J.; Won, S.W.; Mao, J.; Kwak, I.S.; Yun, Y.S. Recovery of Pd(II) from hydrochloric solution using polyallylamine hydrochloride-modified Escherichia coli biomass. J. Hazard. Mater. 2010, 181, 794–800. [Google Scholar] [CrossRef]
- Fujiki, J.; Yogo, K. Carbon Dioxide adsorption onto Polyethylenimine-functionalized porous Chitosan beads. Energy Fuels 2014, 28, 6467–6474. [Google Scholar] [CrossRef]
- Andreoli, E.; Barron, A.R. Effect of spray-drying and cryo-milling on the CO2 absorption performance of C60 cross-linked polyethyleneimine. J. Mater. Chem. A 2015, 3, 4323–4329. [Google Scholar] [CrossRef]
- Zerze, H.; Tipirneni, A.; McHugh, A.J. Reusable poly(allylamine)-based solid materials for carbon dioxide capture under continuous flow of ambient air. Sep. Sci. Technol. 2017, 52, 2513–2522. [Google Scholar] [CrossRef]
- Bratskaya, S.; Voit, A.; Privar, Y.; Ziatdinov, A.; Ustinov, A.; Marinin, D.; Pestov, A. Metal ion binding by pyridylethyl-containing polymers: Experimental and theoretical study. Dalt. Trans. 2016, 45, 12372–12383. [Google Scholar] [CrossRef] [PubMed]
- Malakhova, I.; Privar, Y.; Azarova, Y.; Eliseikina, M.; Golikov, A.; Skatova, A.; Bratskaya, S. Supermacroporous monoliths based on polyethyleneimine: Fabrication and sorption properties under static and dynamic conditions. J. Environ. Chem. Eng. 2020, 8, 104395. [Google Scholar] [CrossRef]
- Privar, Y.; Malakhova, I.; Pestov, A.; Fedorets, A.; Azarova, Y.; Bratskaya, S. Polyethyleneimine cryogels for metal ions sorption. Chem. Eng. J. 2018, 334, 1392–1398. [Google Scholar] [CrossRef]
- Harada, A.; Takagi, T.; Kawai, A.; Endo, A. Effect of synthesis conditions of polyallylamine-beads-glucose (PAA-Glu) on boron adsorption. Adsorption 2013, 19, 1–9. [Google Scholar] [CrossRef]
- Nagai, D.; Daimon, T.; Kawakami, S.; Inoue, K. High-recovery material for mercury ions based on a polyallylamine hydrogel with thiourea groups at cross-linking points. Ind. Eng. Chem. Res. 2014, 53, 3300–3304. [Google Scholar] [CrossRef]
- Pestov, A.V.; Privar, Y.O.; Mekhaev, A.V.; Fedorets, A.N.; Ezhikova, M.A.; Kodess, M.I.; Bratskaya, S.Y. A new approach to the green synthesis of imidazole-containing polymer ligands and cryogels. Eur. Polym. J. 2019, 115, 356–363. [Google Scholar] [CrossRef]
- Privar, Y.O.; Pestov, A.V.; Azarova, Y.A.; Bratskaya, S.Y. Thiocarbamoyl derivatives of polyallylamine for gold and silver recovery from ammonia-thiosulfate leachates. Non-Ferrous Met. 2018, 1, 12–17. [Google Scholar] [CrossRef]
- Deng, S.; Ting, Y.-P. Characterization of PEI-modified biomass and biosorption of Cu(II), Pb(II) and Ni(II). Water Res. 2005, 39, 2167–2177. [Google Scholar] [CrossRef] [PubMed]
- Liu, H.; Li, S.; Sun, D.; Chen, Y.; Zhou, Y.; Lu, T. Layered graphene nanostructures functionalized with NH2-rich polyelectrolytes through self-assembly: Construction and their application in trace Cu(ii) detection. J. Mater. Chem. B 2014, 2, 2212–2219. [Google Scholar] [CrossRef]
- Kyzas, G.Z.; Siafaka, P.I.; Bikiaris, D.N.; Koukaras, E.N.; Froudakis, G.E. Alternative use of cross-linked polyallylamine (known as Sevelamer pharmaceutical compound) as biosorbent. J. Colloid Interface Sci. 2015, 442, 49–59. [Google Scholar] [CrossRef]
- Kagaya, S.; Miyazaki, H.; Inoue, Y.; Kato, T.; Yanai, H.; Kamichatani, W.; Kajiwara, T.; Saito, M.; Tohda, K. Chelating fibers prepared with a wet spinning technique using a mixture of a viscose solution and a polymer ligand for the separation of metal ions in an aqueous solution. J. Hazard. Mater. 2012, 203–204, 370–373. [Google Scholar] [CrossRef]
- Baimenov, A.; Berillo, D.A.; Poulopoulos, S.G.; Inglezakis, V.J. A review of cryogels synthesis, characterization and applications on the removal of heavy metals from aqueous solutions. Adv. Colloid Interface Sci. 2020, 276, 102088. [Google Scholar] [CrossRef]
- Dragan, E.S.; Humelnicu, D.; Dinu, M.V. Development of chitosan-poly(ethyleneimine) based double network cryogels and their application as superadsorbents for phosphate. Carbohydr. Polym. 2019, 210, 17–25. [Google Scholar] [CrossRef]
- Dragan, E.S.; Loghin, D.F.A. Fabrication and characterization of composite cryobeads based on Chitosan and starches-g-PAN as efficient and reusable biosorbents for removal of Cu2+, Ni2+, and Co2+ ions. Int. J. Biol. Macromol. 2018, 120, 1872–1883. [Google Scholar] [CrossRef]
- Önnby, L. Application of cryogels in water and wastewater treatment. Supermacroporous Cryogels Biomed. Biotechnol. Appl. 2016, 12, 333–361. [Google Scholar]
- Wang, D.C.; Yu, H.Y.; Song, M.L.; Yang, R.T.; Yao, J.M. Superfast adsorption-disinfection cryogels decorated with Cellulose Nanocrystal/Zinc Oxide Nanorod clusters for water-purifying microdevices. ACS Sustain. Chem. Eng. 2017, 5, 6776–6785. [Google Scholar] [CrossRef]
- Dragan, E.S.; Lazar, M.M.; Dinu, M.V.; Doroftei, F. Macroporous composite IPN hydrogels based on poly(acrylamide) and chitosan with tuned swelling and sorption of cationic dyes. Chem. Eng. J. 2012, 204–205, 198–209. [Google Scholar] [CrossRef]
- Golikov, A.; Malakhova, I.; Privar, Y.; Parotkina, Y.; Bratskaya, S. Extended rate constants distribution (RCD) model for sorption in heterogeneous systems: 3. From batch to fixed-bed application and predictive modeling. Ind. Eng. Chem. Res. 2020. [Google Scholar] [CrossRef]
- Suresh Kumar, P.; Önnby, L.; Kirsebom, H. Arsenite adsorption on cryogels embedded with iron-aluminium double hydrous oxides: Possible polishing step for smelting wastewater? J. Hazard. Mater. 2013, 250, 469–476. [Google Scholar] [CrossRef] [PubMed]
- Bratskaya, S.; Privar, Y.; Slobodyuk, A.; Shashura, D.; Marinin, D.; Mironenko, A.; Zheleznov, V.; Pestov, A. Cryogels of Carboxyalkylchitosans as a universal platform for the fabrication of composite materials. Carbohydr. Polym. 2019, 209, 1–9. [Google Scholar] [CrossRef] [PubMed]
- Ma, C.B.; Du, Y.; Du, B.; Wang, H.; Wang, E. Investigation of an eco-friendly aerogel as a substrate for the immobilization of MoS 2 nanoflowers for removal of mercury species from aqueous solutions. J. Colloid Interface Sci. 2018, 525, 251–259. [Google Scholar] [CrossRef] [PubMed]
- Lu, X.; Huangfu, X.; Ma, J. Removal of trace mercury(II) from aqueous solution by In Situ formed Mn-Fe (hydr)oxides. J. Hazard. Mater. 2014, 280, 71–78. [Google Scholar] [CrossRef]
- Klačanová, K.; Fodran, P.; Šimon, P.; Rapta, P.; Boča, R.; Jorík, V.; Miglierini, M.; Kolek, E.; Čaplovič, L. Formation of Fe(0)-nanoparticles via reduction of Fe(II) compounds by amino acids and their subsequent oxidation to iron oxides. J. Chem. 2013, 2013. [Google Scholar] [CrossRef]
- Pestov, A.; Nazirov, A.; Privar, Y.; Modin, E.; Bratskaya, S. Role of Au(III) coordination by polymer in “green” synthesis of gold nanoparticles using chitosan derivatives. Int. J. Biol. Macromol. 2016, 91, 457–464. [Google Scholar] [CrossRef]
- Privar, Y.; Kodess, M.I.; Modin, E.; Nesterov, D.; Pestov, A.V.; Slobodyuk, A.; Marinin, D.V.; Bratskaya, S. Chitosan gels and cryogels cross-linked with diglycidyl ethers of ethylene glycol and polyethylene glycol in acidic media. Biomacromolecules 2019, 20, 1635–1643. [Google Scholar]
- Lozinsky, V.I.; Plieva, F.M.; Galaev, I.Y.; Mattiasson, B. The potential of polymeric cryogels in bioseparation. Bioseparation 2001, 10, 163–188. [Google Scholar] [CrossRef]
- Luo, W.; Bai, Z.; Zhu, Y. Comparison of Co(II) adsorption by a crosslinked carboxymethyl chitosan hydrogel and resin: Behaviour and mechanism. New J. Chem. 2017, 41, 3487–3497. [Google Scholar] [CrossRef]
- Golikov, A.; Malakhova, I.; Azarova, Y.; Eliseikina, M.; Privar, Y.; Bratskaya, S. Extended rate constant distribution model for sorption in heterogeneous systems. 1: Application to kinetics of metal ion sorption on Polyethyleneimine cryogels. Ind. Eng. Chem. Res. 2020, 59, 1123–1134. [Google Scholar] [CrossRef]
- Malakhova, I.; Golikov, A.; Azarova, Y.; Bratskaya, S. Extended rate constants distribution (RCD) model for sorption in heterogeneous systems: 2. Importance of diffusion limitations for sorption kinetics on cryogels in batch. Gels 2020, 6, 15. [Google Scholar] [CrossRef] [PubMed]
- Allen, J.; Rosenberg, E.; Chierotti, M.R.; Gobetto, R. Surface oxidation of Co2+ and its dependence on ligand coordination number in silica polyamine composites. Inorganica Chim. Acta 2010, 363, 617–624. [Google Scholar] [CrossRef]
- Haas, P.A. A Review of information on ferrocyanide solids for removal of Cesium from solutions. Sep. Sci. Technol. 1993, 28, 2479–2506. [Google Scholar] [CrossRef]
- Vu Ca, D.; Cox, J.A. Solid Phase Extraction of Cesium from aqueous solution using Sol-Gel Encapsulated Cobalt Hexacyanoferrate. Microchim. Acta 2004, 147, 31–37. [Google Scholar] [CrossRef]
- Rao, S.V.S.; Lal, K.B.; Narasimhan, S.V.; Ahmed, J. Copper ferrocyanide-polyurethane foam as a composite ion exchanger for removal of radioactive Cesium. J. Radioanal. Nuclear Chem. 1999, 240, 269–276. [Google Scholar] [CrossRef]
- Nilchi, A.; Atashi, H.; Javid, A.H.; Saberi, R. Preparations of PAN-based adsorbers for separation of cesium and cobalt from radioactive wastes. Appl. Radiat. Isot. 2007, 65, 482–487. [Google Scholar] [CrossRef]
- Zong, Y.; Zhang, Y.; Lin, X.; Ye, D.; Qiao, D.; Zeng, S. Facile synthesis of potassium copper ferrocyanide composite particles for selective cesium removal from wastewater in the batch and continuous processes. RSC Adv. 2017, 7, 31352–31364. [Google Scholar] [CrossRef]
- Egorin, A.M.; Didenko, N.A.; Kaidalova, T.A.; Zemskova, L.A. Preparation and properties of chitosan-containing ferrocyanide sorbents for the sorption of 137Cs from liquid media. Radiochemistry 2014, 56, 275–282. [Google Scholar] [CrossRef]
- Valsala, T.P.; Joseph, A.; Shah, J.G.; Raj, K.; Venugopal, V. Synthesis and characterization of Cobalt ferrocyanides loaded on organic anion exchanger. J. Nucl. Mater. 2009, 384, 146–152. [Google Scholar] [CrossRef]
- Bratskaya, S.Y.; Zheleznov, V.V.; Privar, Y.O.; Mechaev, A.V.; Zub, Y.; Pestov, A.V. Pentacyanoferrate(II) complexes with N-containing derivatives of chitosan and polyallylamine: Synthesis and cesium uptake properties. Colloids Surfaces A Physicochem. Eng. Asp. 2014, 460, 145–150. [Google Scholar] [CrossRef]
- Vincent, T.; Barré, Y.; Guari, Y.; Le Saout, G.; Guibal, E. Immobilization of metal hexacyanoferrates in chitin beads for cesium sorption: Synthesis and characterization. J. Mater. Chem. A 2014, 2, 10007–10021. [Google Scholar] [CrossRef]
- Avila, M.; Reguera, L.; Rodríguez-Hernández, J.; Balmaseda, J.; Reguera, E. Porous framework of T2[Fe(CN)6]·xH2O with T=Co, Ni, Cu, Zn, and H2 storage. J. Solid State Chem. 2008, 181, 2899–2907. [Google Scholar] [CrossRef]
- Shatruk, M.; Avendano, C.; Dunbar, K.R. Cyanide-bridged complexes of transition metals: A molecular magnetism perspective. Prog. Inorg. Chem. 2009, 56, 155–334. [Google Scholar]
- Rodríguez-Hernández, J.; Reguera, E.; Lima, E.; Balmaseda, J.; Martínez-García, R.; Yee-Madeira, H. An atypical coordination in hexacyanometallates: Structure and properties of hexagonal zinc phases. J. Phys. Chem. Solids 2007, 68, 1630–1642. [Google Scholar] [CrossRef]
- Schneider, C.A.; Rasband, W.S.; Eliceiri, K.W. NIH Image to ImageJ: 25 years of image analysis. Nat. Methods 2012, 9, 671–675. [Google Scholar] [CrossRef]










| Sorbent | C0, mg/L | Ce, mg/L | Sorption, mmol/g | Ks *(M1/M2) | ||
|---|---|---|---|---|---|---|
| PAA cryogel DGEBD: PAA 1:10 | M1 | Zn(II) | 126 | 36 | 1.30 | 57 |
| M2 | Cd(II) | 214 | 205 | 0.076 | ||
| M1 | Cu(II) | 130 | 15 | 1.79 | 236 | |
| M2 | Zn(II) | 130 | 126 | 0.062 | ||
| M1 | Cu(II) | 131 | 16 | 1.66 | 551 | |
| M2 | Cd(II) | 233 | 230 | 0.025 | ||
| PEI cryogel DGEBD:PEI 1:4 | M1 | Zn(II) | 135.8 | 89 | 0.71 | 0.81 |
| M2 | Cd(II) | 231 | 141 | 0.79 | ||
| M1 | Cu(II) | 117 | 6.3 | 1.66 | 64 | |
| M2 | Zn(II) | 137.7 | 116 | 0.32 | ||
| M1 | Cu(II) | 120.6 | 7.9 | 1.76 | 130 | |
| M2 | Cd(II) | 231.9 | 209 | 0.20 |
Publisher’s Note: MDPI stays neutral with regard to jurisdictional claims in published maps and institutional affiliations. |
© 2020 by the authors. Licensee MDPI, Basel, Switzerland. This article is an open access article distributed under the terms and conditions of the Creative Commons Attribution (CC BY) license (http://creativecommons.org/licenses/by/4.0/).
Share and Cite
Malakhova, I.; Privar, Y.; Parotkina, Y.; Mironenko, A.; Eliseikina, M.; Balatskiy, D.; Golikov, A.; Bratskaya, S. Rational Design of Polyamine-Based Cryogels for Metal Ion Sorption. Molecules 2020, 25, 4801. https://doi.org/10.3390/molecules25204801
Malakhova I, Privar Y, Parotkina Y, Mironenko A, Eliseikina M, Balatskiy D, Golikov A, Bratskaya S. Rational Design of Polyamine-Based Cryogels for Metal Ion Sorption. Molecules. 2020; 25(20):4801. https://doi.org/10.3390/molecules25204801
Chicago/Turabian StyleMalakhova, Irina, Yuliya Privar, Yuliya Parotkina, Aleksandr Mironenko, Marina Eliseikina, Denis Balatskiy, Alexey Golikov, and Svetlana Bratskaya. 2020. "Rational Design of Polyamine-Based Cryogels for Metal Ion Sorption" Molecules 25, no. 20: 4801. https://doi.org/10.3390/molecules25204801
APA StyleMalakhova, I., Privar, Y., Parotkina, Y., Mironenko, A., Eliseikina, M., Balatskiy, D., Golikov, A., & Bratskaya, S. (2020). Rational Design of Polyamine-Based Cryogels for Metal Ion Sorption. Molecules, 25(20), 4801. https://doi.org/10.3390/molecules25204801

