Abstract
From three previously identified antiplasmodial hit compounds (A–C) and inactive series (D), all based on a 2-trichloromethylquinazoline scaffold, we conducted a structure-activity relationship (SAR) study at position four of the quinazoline ring by synthesizing 42 novel derivatives bearing either a carboxamido- or an alkoxy-group, to identify antiplasmodial compounds and to enrich the knowledge about the 2-trichloromethylquinazoline antiplasmodial pharmacophore. All compounds were evaluated in vitro for their cytotoxicity towards the HepG2 cell line and their activity against the multiresistant K1 P. falciparum strain, using doxorubicin, chloroquine and doxycycline as reference drugs. Four hit-compounds (EC50 K1 P. falciparum ≤ 2 µM and SI ≥ 20) were identified among 4-carboxamido derivatives (2, 9, 16, and 24) and two among 4-alkoxy derivatives (41 and 44). Regarding the two most potent molecules (16 and 41), five derivatives without a 2-CCl3 group were prepared, evaluated, and appeared totally inactive (EC50 > 50 µM), showing that the 2-trichloromethyl group was mandatory for the antiplasmodial activity.
1. Introduction
Among parasitic diseases, malaria remains the leading cause of death in 2020. According to the World Malaria Report 2019 [1], some 405,000 deaths were reported in 2018 for 228 million cases of malaria worldwide. Children under five years old are the most vulnerable group, accounting for 67% of the deaths. Malaria in humans is caused by five different species of Plasmodium protozoa, among which, P. falciparum is by far the most lethal, mainly in Africa. P. vivax, responsible for relapses, is mainly found in South-East Asia. The parasites are vectorized during blood-meal by infected female mosquitoes belonging to the Anopheles genus. Huge efforts have been made to control and eradicate the disease, leading to a significant reduction in the number of deaths, from 585,000 in 2010 to 405,000 in 2018 [1]. Despite this improvement, the emergence of forms of resistance to the first line treatments recommended by the WHO, the artemisinin-combination therapies (ACT), currently threaten efforts to control the disease. PfKelch13 mutations have been identified as molecular markers of artemisinin resistance [2]. Recognized since 2002–2004, artemisinin resistance was originally located mainly in the Greater Mekong Subarea [3], and failure rates for first-line ACTs were found to be as high as 93% in Thailand [1]. However, the emergence of potential artemisinin-resistance PfKelch13 mutations was reported in African regions, leading to a major concern [4]. Thus, research efforts need to be pursued with a view to discovering new chemical entities with new mechanisms of action against Plasmodium.
Among small molecules displaying antiplasmodial activity, febrifugine (Figure 1), extracted from Dichroa febrifuga, is a natural alkaloid containing a quinazoline scaffold [5].
Figure 1.
Structure of natural quinazoline-containing febrifugine.
Our group, dedicated to the development of a new antiplasmodial [6,7,8], previously described the antiplasmodial activity of 4-aryl-2-trichloromethylquinazoline derivatives [9]. Indeed, 4-(4′-fluorophenyl)-2-trichloromethylquinazoline A (Table 1) showed an efficacy concentration 50% (EC50) of 2.5 µM against the chloroquino-resitant K1 strain of P. falciparum and a cytotoxicity concentration 50% (CC50) above 125 µM toward the human HepG2 cell line, compared with chloroquine, doxycycline and doxorubicin used as reference drugs. Indeed, chloroquine and doxycycline were still in use for antimalarial chemoprophylaxis along with the association of atovaquone and proguanil. Introducing an oxygen atom as a linker between position four of the quinazoline moiety and the phenyl group led to a two-fold improvement in antiplasmodial activity for compound B (Table 1) [10]. To study the Structure-Activity Relationships (SAR) related to the nature of the linker, an atom of carbon was added to provide a two-atom linker in 4-benzyloxy-2-trichloromethylquinazoline derivatives [11]. The resulting modification did not improve antiplasmodial activity, as shown with compound C (Table 1). When introducing a sulfonamide linker, affording 4-arylsulfonamido-2-trichloromethylquinazoline derivatives [12], the activity against P. falciparum was lost despite a significant decrease of the cytotoxicity (Table 1).
Table 1.
Structures and in vitro activities of previously described compounds A–C and series D.
The aim of current study was to explore other 2-trichloromethylquinazolines bearing a two-atom linker in 4-carboxamido series, analogous to the 4-sulfonamide series D, and in 4-alkoxy series analogous to compounds B or C in aryloxy and benzyloxy series, respectively. The syntheses and in vitro biological evaluations are presented and discussed.
2. Results
2.1. Synthesis
2.1.1. Synthesis of 4-Carboxamido-2-Trichloromethylquinazoline Series
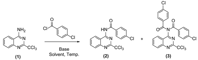
We first sought to obtain the target compounds using key intermediate 4-amino-2-trichloromethylquinazoline (1), previously described as generating the sulfonamide derivatives belonging to the D series [12]. Thus, using 4-chlorobenzoyl chloride in presence of sodium hydride in DMF, we obtained a mixture of starting material (1) and the formation of dibenzamide (3) resulting from a double substitution of the amino group (Table 2, Entry 1). Surprisingly, no formation of target compound (2) was observed. The same conditions were used at 0 °C and did not afford (2) (Entry 2). Increasing both base and acyl chloride only provided a mixture of (1) and dibenzamide (3) (Entries 3–4). Neither switching solvent types from DMF to THF (Entry 5), nor switching base types from NaH to tBuOK (Entry 6) yielded (2). The use of organic bases such as NaHMDS or NEt3 was also unsuccessful, in particular with NEt3 with no conversion observed (Entries 7–9). Finally, in order to isolate the dibenzamide (3), the use of 5 equiv. of NaH led to total conversion and led to (3) with 90% yield (Entry 10).
Table 2.
Studied parameters for the reaction of (1) with 4-chlorobenzoyl chloride.
In view of the ineffectiveness of this synthetic route, we changed tactics and started from 4-chloro-2-trichloromethylquinazoline (4), previously described [13] and used by our team in SNAr reactions with various nucleophilic reagents [10,14,15] or Suzuki-Miyaura cross-coupling reactions [9]. Thus, commercial benzamide was deprotonated using NaH in DMF and reacted with chlorimine (4) in DMF, leading to the target compound (5) in 60% yield (Scheme 1). As the conversion of the reaction was total and the yield was only impaired by the purification step, the reaction conditions were not modified and various commercially available substituted benzamides, heteroarylcarboxamides, and alkylcarboxamides were reacted (Table 3). The benzamides did not show a clear relationship between yields obtained (from 54 to 98%) and their electron-donating/-withdrawing behavior, nor between yields and substituents position borne by their phenyl ring (3, 5–16). For pyridine-containing carboxamides (17–19), poor to good yields were obtained (22–81%) related to purification issues in silica gel chromatography, even though the silica was deactivated by NEt3. With alkylcarboxamides, yields were generally lower than with benzamides (31–55%) (20–25).
Scheme 1.
Preparation of benzamide (5) from chlorimine (4).
Table 3.
Structures, reaction yields, in vitro antiplasmodial and cytotoxicity evaluations of the 4-carboxamide-2-trichloro-methylquinazolines series (2–3, 5–25).
2.1.2. Synthesis of 4-Alkoxy-2-Trichloromethylquinazoline Series
As we previously showed that the introduction of an oxygen-containing substituents at position 4 of the quinazoline scaffold was favorable for the activity (compounds B and C, Table 1), we looked for oxygen-containing substituent in aliphatic series rather than previous aryl-containing derivatives. Using a previously reported reaction, a DMAP-catalyzed SNAr reaction between (4) and various aliphatic alcohols was conducted (Scheme 2). First, the reaction was conducted with linear aliphatic alcohol from C1 to C4 and afforded corresponding alkoxy derivatives (26–29) in good yields (75–81%) (Table 4). Isopropoxy derivative (30) was obtained with the modest yield of 53%. Propargyl alcohols led to target compounds (31–33) in very good yields (87–90%). Reaction with ethylene glycol led to (34) with a modest yield (42%) due to dimer formation, whereas 2-methoxyethanol afforded (35) in nearly quantitative yield. Halogen alkyl alcohols yielded corresponding products (36–40) in good yields (70–79%) except for (38), which was obtained as an oil (28%). Finally, various substituted aminoalcohols yielded target compounds (41–44) in modest (44, 20%) to good yields (42, 79%).
Scheme 2.
Preparation of 4-alkoxy-2-trichloromethylquinazoline (25–43) from chlorimine (4).
Table 4.
Structures, reaction yields, in vitro antiplasmodial and cytotoxicity evaluations of the 4-alkoxy-2-trichloromethylquinazolines (26–44).
2.2. Biological Evaluations
All synthesized molecules were then evaluated in vitro against the multi-resistant K1 P. falciparum strain, by determining their 50% efficacy concentration (EC50), and compared with two antimalarial drug-compounds: chloroquine and doxycycline. In parallel, these molecules were assessed in vitro on the HepG2 human hepatocyte cell line, by determining their 50% cytotoxic concentrations (CC50) and comparing them to that of doxorubicin, used as a cytotoxic reference drug-compound, in order to calculate their respective selectivity indices (SI = CC50/EC50). The results are presented in Table 3 and Table 4.
2.3. Structure-Activity Relationships (SAR)
2.3.1. SAR of 4-Carboxamido-2-Trichloromethylquinazoline Series
For some synthesized compounds, lack of solubility hampered full determination of cytotoxicity (8, 11, 17, 20–21, and 24) but not evaluation of antiplasmodial activity. It should be noted that in series D, there was no issue concerning solubility of sulfonamide derivatives [12]. For sufficiently soluble derivatives, cytotoxicity values ranged from 16.4 to 72.9 µM, high compared to that of doxorubicin (0.2 µM). Interestingly, contrary to the sulfonamides in series D, the carboxamide analogs exhibited an antiplasmodial activity (0.94–14.5 µM), including dibenzamide (3) (1.46 µM). Unsubstituted benzamide (5) displayed a moderate activity of 1.76 µM. The introduction of a strong electron-withdrawing group such as nitro group reduced the activity, and ortho (8) substitution was better than meta (7) and para (6). The influence of the substitution was inverted with a fluorine atom such as para (9) and displayed better activity (1.34 µM) than meta (10) and para substitution (11). The same profile was observed with chloro-substituted benzamides leading to a micromolar antiplasmodial activity for para-Cl (2). Substituting para-Cl for para-Br (14) was not in favor of the activity (1.30 µM vs. 0.99µM). Introducing para-CN (15) was also more detrimental to the activity (3.5 µM), while para-OMe (16) showed the best activity against K1 P. falciparum (0.94 µM, SI = 29.5). The pyridine-containing carboxamides (17–18) were less active (3.90–14.5 µM), except for isonicotinamide (19), which had an EC50 of 1.8 µM. Regarding the alkylcarboxamides, acetamide (20) was not active (>10 µM). The addition of carbon atoms to the alkyl chain led to more cluttered analogs that displayed similar activity to benzamides, like analogs (23) or (24) (1.8 and 1.6 µM). Cyclohexylcarboxamide (25) activity was slightly lower than that of terbutylcarboxamide (23). In conclusion, to provide the best antiplasmodial activity with good SI, para-substituted benzamides with chlorine, fluorine, methoxy, or non-cyclic alkylcarboxamide with fatty carbon chain were required.
2.3.2. SAR of 4-Alkoxy-2-Trichloromethylquinazoline Series
For the whole series, the solubility of the compounds was acceptable. Apart from alcohol (34) with a cytotoxicity value of 7.9 µM, the rest of the series was not cytotoxic (23.4–101.5 µM), in comparison with doxorubicin. In this alkoxy series, amino-containing side chain were the most potent derivatives. We previously showed that 2-(trichloromethyl)quinazolin-4-ol (R = H) was not active against W2 P. falciparum [10]. Interestingly, when R = Me (26), a moderate activity was observed (EC50 = 7.1 µM), increasing with the number of carbons in the alkyl chain, up to 3 carbon atoms. The best activity (3.5 µM) was obtained with a propoxy substituent (28), whereas with butoxy (29) the activity decreased again (5.8 µM), the compound even becoming inactive with the bulkier isopropoxy group (30). Compound (31) resulting from the reaction of propargyl alcohol showed a modest activity, which was lost with substituted propargyl alcohols (32–33). Compound (34) bearing a 2-hydroxyethoxy group was almost inactive (10 µM). Replacing the hydroxyl group of (34) by a methoxy group (35) or a chlorine atom (36) afforded more active derivatives (2.3 and 2.2 µM). The addition of one (37) or two atoms of carbon (38) in the chain of (36) decreased the activity two-fold (4.2 and 4.3 µM). The replacement of the chlorine atom of (36) by a fluorine atom (39) led to a decrease in activity (8.0 µM) while a bromine atom (40) preserved it. Among aminoethoxy derivatives (41–44), diethylamino (41) was the most potent, with a submicromolar antiplasmodial activity (0.9 µM) and a SI of 35.9. Cyclic analogs (43) and (44) were slightly less active than (41) whereas acetamide (42) was clearly less potent. In conclusion, we succeed in obtaining 4-O-substituted-quinazoline from inactive derivative 4-alcohol [10] to submicromolar active compounds in 4-alkoxyamino series.
To confirm the key role played by the 2-trichloromethylquinazoline moiety of the most potent compounds (16) and (41) in each studied series, derivatives without a -CCl3 group were synthesized for the two hit molecules: dehalogenated analogs (45, 47), 2-trifluromethyl analogs (46, 48) and unsubstituted analog (49) (Figure 2 and Figure 3). All molecules were inactive against P. falciparum, illustrating the key role played by the -CCl3 group and consistent with our previous results. Thus, activity cliffs (ACs) [16] were observed when the -CCl3 group was replaced by similar group (-CF3, CH3) or atom (H) as a 50-fold drop of antiplasmodial activity.
Figure 2.
Comparison of the in vitro antiplasmodial activities of hit molecule (16) and negative controls (45–46).
Figure 3.
Comparison of the in vitro antiplasmodial activities of hit molecule (41) and negative controls (47–49).
The mechanism of action of the 2-trichloromethylquinazolines is not known, but it was clearly related to the presence of the -CCl3 group, which could act as a possibly alkylating group as methyl and trifluoromethyl analogues were inactive or the -CCl3 group could generate sigma-holes [17] with sulphur nucleophiles in cysteine proteases such as Falcipains as potential plasmodial targets [18].
3. Material and Methods
3.1. General
Melting points were determined on a Köfler melting point apparatus (Wagner & Munz GmbH, München, Germany) and are uncorrected. Elemental analyses were carried out at the Spectropole, Faculté des Sciences de Saint-Jêrome (Marseille) with a Thermo Finnigan EA1112 analyzer (Thermo Finnigan, San Jose, CA, USA). NMR spectra were recorded on a Bruker AV (Billerica, MA, USA) 200 or AV 250 spectrometers or a Bruker Avance NEO 400MHz NanoBay spectrometer at the Faculté de Pharmacie of Marseille or on a Bruker Avance III nanobay 400 MHz spectrometer at the Spectropole, Faculté des Sciences de Saint-Jêrome (Marseille). (1H NMR: reference CHCl3 δ = 7.26 ppm, reference DMSO-d6 δ = 2.50 ppm and 13C NMR: reference CHCl3 δ = 76.9 ppm, reference DMSO-d6 δ = 39.52 ppm). The following adsorbent was used for column chromatography: silica gel 60 (Merck KGaA, Darmstadt, Germany, particle size 0.063–0.200 mm, 70–230 mesh ASTM). TLC was performed on 5 cm × 10 cm aluminum plates coated with silica gel 60F-254 (Merck) in an appropriate eluent. Visualization was performed with ultraviolet light (234 nm). Purity of synthesized compounds was checked by LC/MS analyses, which were realized at the Faculté de Pharmacie of Marseille with a Thermo Scientific Accela High Speed LC System® (Waltham, MA, USA) coupled using a single quadrupole mass spectrometer Thermo MSQ Plus®. The RP-HPLC column is a Thermo Hypersil Gold® 50 × 2.1 mm (C18 bounded), with particles of a diameter of 1.9 mm. The volume of sample injected on the column is 1 µL. Chromatographic analysis, total duration of 8 min, is on the gradient of the following solvents: t = 0 min, methanol/water 50:50; 0 < t < 4 min, linear increase in the proportion of methanol to a methanol/water ratio of 95:5; 4 < t < 6 min, methanol/water 95:5; 6 < t < 7 min, linear decrease in the proportion of methanol to return to a methanol/water ratio of 50:50; 6 < t < 7 min, methanol/water 50:50. The water used was buffered with ammonium acetate 5 mM. The flow rate of the mobile phase was 0.3 mL/min. The retention times (tR) of the molecules analyzed are indicated in min. The microwave reactions were performed using multimode reactors: ETHOS Synth Lab station and MicroSYNTH® Lab terminal 1024 (Ethos start, MLS GmbH, Leutkirch, Germany.); or monomode reactors: Biotage Initiator® classic in sealed vials with a power output of 0 to 400 W. 4-Chloro-2-methylquinazoline, 4-chloro-2-trifluoromethylquinazoline, and 4-chloroquinazoline were purchased from Sigma-Aldrich (Saint Louis, MO, USA) or Fluorochem (Derbyshire, UK). The following Supplementary Materials are available online: 1H-NMR, 13C-NMR and HRMS data spectra of compounds 2, 9, 16, 24, 41, 44, 45, 46, 48 and 49.
3.2. 4-Amino-2-Trichloromethylquinazoline (1)
In a microwave vial equipped with a magnetic stir bar, 4-chloro-2-trichloromethylquinazoline [13] (700 mg, 2.48 mmol, 1 equiv.) and ammonia solution in THF (0.4 M, 18.6 mL, 7.45 mmol, 3 equiv.). The vial was capped and the suspension was then heated at 140 °C for 15 min (8 bar). The volatiles were removed under vacuum. The residue was poured into EtOAc (100 mL) and extracted twice with brine (30 mL). The organic layer was dried with Na2SO4, filtered and evaporated to afford (1) as white solid (650 mg, 100%). Mp 199 °C. 1H-NMR (DMSO-d6): δ 8.33–8.27 (m, 3H), 7.90–7.77 (m, 2H), 7.65–7.57 (m, 1H). 13C-NMR (DMSO-d6): δ 163.2, 160.9, 148.8, 134.1, 128.3, 127.5, 123.9, 113.4, 98.4. LC-MS (ESI) Tr 2.37 min, m/z [M + H]+ Calcd: 261.96, Found: 262.03. Anal. calcd. for C9H6Cl3N3: C, 41.18; H, 2.30; N, 16.01. Found: C, 41.43; H, 2.31; N, 16.29.
3.3. 4-Chloro-N-(4-Chlorobenzoyl)-N-(2-Trichloromethylquinazolin-4-yl)benzamide (3)
To a solution of 60% sodium hydride in oil (152 mg, 3.81 mmol, 5.0 equiv.) in dry THF (4 mL) at 0 °C was slowly added 4-amino-2-trichloromethylquinazoline (200 mg, 0.76 mmol, 1.0 equiv). After 30 min of stirring at rt, the reaction mixture was cooled again and the 4-chlorocarboxamide (1.52 mmol, 2.0 equiv.) was added portion wise. After this addition, the reaction was stirred at rt until the starting material disappeared. The excess of NaH was hydrolyzed with ice at 0 °C. The mixture was extracted with EtOAc and washed three times with brine. The organic layer was dried with Na2SO4, filtered, and evaporated. The crude residue was triturated in dichloromethane, filtered, and recrystallized from appropriate solvent to give the desired compound.
Yield 90%. White solid. Mp 218.2 °C, (isopropanol). 1H NMR (400 MHz, DMSO-d6) δ = 8.33–8.23 (m, 2H), 8.20 (d, J = 8.2 Hz, 1H), 8.03 (ddd, J = 8.3, 6.3, 1.8 Hz, 1H), 7.95–7.90 (m, 4H), 7.61–7.55 (m, 4H). 13C NMR (101 MHz, DMSO-d6) δ = 172.0 (2C), 169.6, 161.9, 158.7, 150.5, 141.4, 138.7, 137.0, 131.7, 131.5, 131.1 (4C), 129.5, 129.4 (4C), 124.9, 117.9, 95.6. LC-MS (ESI+) tR 4.95 min, m/z [M + H]+ 539.83/541.81/542.78/544.72/547.72. MW: 539.63 g.mol−1. HRMS m/z [M + H]+ calcd for C23H12Cl5N3O2: 539.9418, found: 539.9417.
3.4. 4-Chloro-2-Trichloromethylquinazoline (4)
4-Chloro-2-trichloromethylquinazoline (1) was prepared as described in the literature using a multimode microwave reactor at 800 W [13]. Yield 82%. White solid. Mp 127 °C (lit. 127 °C) [13]. 1H NMR (CDCl3, 200 MHz) δ = 7.82–7.90 (m, 1H), 8.03–8.12 (m, 1H), 8.20–8.24 (m, 1H), 8.33–8.38 (m, 1H).
3.5. General Procedure for the Preparation of Compounds (2), (5–25)
To a solution of the appropriate carboxamide compound (1.06 mmol, 1.5 equiv.) in dry DMF (3 mL) at 0 °C under N2, 60% sodium hydride in oil (25.5 mg, 1.06 mmol, 1.5 equiv) were added portion wise. The resulting mixture were added dropwise to a solution of 4-chloro-2-(trichloromethyl)quinazoline (4) (200 mg, 0.71 mmol, 1.0 equiv.) in dry DMF (2 mL) at 0 °C under N2. The reaction was stirred overnight at rt. Then, the excess of NaH was hydrolyzed with ice. The reaction mixture was extracted with EtOAc and washed three times with brine. The organic layer was dried with Na2SO4, filtered, and evaporated. The crude product was purified by silica gel column chromatography and recrystallized from appropriate solvent to give the desired compound.
3.5.1. 4-Chloro-N-(2-Trichloromethylquinazolin-4-yl)benzamide (2)
Yield 74%. White solid. Mp 199 °C, (isopropanol). 1H NMR (400 MHz, DMSO-d6) δ = 11.74 (s, 1H), 8.32 (d, J = 8.4 Hz, 1H), 8.18–8.10 (m, 2H), 8.00 (d, J = 8.5 Hz, 2H), 7.90–7.80 (m, 1H), 7.62 (d, J = 8.5 Hz, 2H). 13C NMR (101 MHz, DMSO-d6) δ = 167.3, 160.4, 159.4, 150.1, 137.3, 135.7, 132.4, 130.6 (2C), 129.3, 128.6 (3C), 125.9, 117.2, 96.8. LC-MS (ESI+) tR 3.92 min, m/z [M + H] + 399.03/401.59/403.98/405.94 MW: 367.62 g.mol−1. HRMS m/z [M + H]+ calcd for C16H9Cl4N3: 401.9544, Found: 401.9545.
3.5.2. N-(2-Trichloromethylquinazolin-4-yl)benzamide (5)
Yield 60%. White solid. Mp 183 °C, (isopropanol). 1H NMR (400 MHz, DMSO-d6) δ = 11.67 (s, 1H), 8.30 (d, J = 8.3 Hz, 1H), 8.15–8.09 (m, 2H), 8.02–8.00 (m, 2H), 7.86–7.82 (m, 1H), 7.65 (t, J = 7.4 Hz, 1H), 7.55 (t, J = 7.6 Hz, 2H). 13C NMR (101 MHz, DMSO-d6) δ = 168.1, 160.6, 159.5, 150.1, 135.6, 133.4, 132.5, 129.3, 128.6 (2C), 128.5, 128.5 (2C), 125.9, 117.3, 96.8. LC-MS (ESI+) tR 3.38 min, m/z [M + H]+ 365.81/367.02/369.83. MW: 366.63 g.mol−1. HRMS m/z [M + H]+ calcd for C16H10Cl3N3O: 365.9962, Found: 365.9961.
3.5.3. 4-Nitro-N-(2-Trichloromethylquinazolin-4-yl)benzamide (6)
Yield 67%. Yellow solid. Mp 214 °C, (isopropanol). 1H NMR (400 MHz, DMSO-d6) δ = 12.02 (s, 1H), 8.42 (d, J = 8.3 Hz, 1H), 8.36–8.33 (m, 2H), 8.14 (dd, J = 6.3 Hz, 2.3 Hz, 4H), 7.92–7.85 (m, 1H). 13C NMR (101 MHz, DMSO-d6) δ = 167.4, 159.8, 159.2, 150.0, 149.4, 139.7, 135.8, 129.9 (2C), 129.4, 128.1, 125.7, 123.6 (2C), 116.7, 96.6. LC-MS (ESI+) tR 3.55 min, m/z [M + H]+ 410.98/413.01. MW: 411.63 g.mol−1. HRMS m/z [M + H]+ calcd for C16H9Cl3N4O3: 410.9813, Found: 410.9815.
3.5.4. 3-Nitro-N-(2-Trichloromethylquinazolin-4-yl)benzamide (7)
Yield 60%. White solid. Mp 196 °C, (isopropanol). 1H NMR (400 MHz, DMSO-d6) δ = 12.02 (s, 1H), 8.79 (s, 1H), 8.48 (d, J = 8.2 Hz, 1H), 8.43–8.36 (m, 2H), 8.19–8.12 (m, 2H), 7.93–7.79 (m, 2H). 13C NMR (101 MHz, DMSO-d6) δ = 166.4, 160.0, 159.3, 150.1, 147.7, 135.8, 135.2, 134.9, 130.3, 129.4, 128.6, 126.8, 126.0, 123.3, 117.0, 96.7. LC-MS (ESI+) tR 3.50 min, m/z [M + H]+ 410.98/412.97/410.98. MW: 411.63 g.mol−1. HRMS m/z [M+Na]+ calcd for C16H9Cl3N4O3: 432.9632, Found: 432.9627.
3.5.5. 2-Nitro-N-(2-Trichloromethylquinazolin-4-yl)benzamide (8)
Yield 54%. White solid. Mp 257 °C, (isopropanol). 1H NMR (400 MHz, DMSO-d6) δ = 12.19 (s, 1H), 8.71 (d, J = 8.1 Hz, 1H), 8.33 (dd, J = 8.3, 0.8 Hz, 1H), 8.17–8.07 (m, 1H), 8.04 (d, J = 7.6 Hz, 1H), 7.90 (ddd, J = 8.2 Hz, 7.0 Hz, 1.2 Hz, 1H), 7.79 (td, J = 7.5 Hz, 1.1 Hz, 1H), 7.73–7.66 (m, 1H), 7.63 (dd, J = 7.5 Hz, 1.2 Hz, 1H). 13C NMR (101 MHz, DMSO-d6) δ = 168.0, 158.7, 157.4, 149.3, 144.9, 135.6, 135.1, 134.1, 130.1, 129.5, 128.7, 127.1, 124.9, 124.4, 114.5, 96.2. LC-MS (ESI+) tR 3.23 min, m/z [M + H]+ 410.99/412.90/414.88. MW: 411.63 g.mol−1. HRMS m/z [M + H]+ calcd for C16H9Cl3N4O3: 410.9813, Found: 410.9804.
3.5.6. 4-Fluoro-N-(2-Trichloromethylquinazolin-4-yl)benzamide (9)
Yield 88%. White solid. Mp 166 °C, (isopropanol). 1H NMR (400 MHz, DMSO-d6) δ = 11.69 (s, 1H), 8.30 (d, J = 8.4 Hz, 1H), 8.17–8.11 (m, 2H), 8.11–8.06 (m, 2H), 7.89–7.81 (m, 1H), 7.39 (t, J = 8.8 Hz, 2H). 13C NMR (101 MHz, DMSO-d6) δ 167.0, 164.6 (d, J = 250.5 Hz), 160.5, 159.4, 150.0, 135.6, 131.5 (d, J = 9.3 Hz), 129.9 (d, J = 2.8 Hz), 129.2, 128.5, 125.9, 117.2, 115.5 (d, J = 22.0 Hz), 96.8. LC-MS (ESI+) tR 3.58 min, m/z [M + H]+ 384.05/386.02/387.95. MW: 384.62 g.mol−1. HRMS m/z [M + H]+ calcd for C16H9Cl3FN3O: 405.9687, Found: 405.9688.
3.5.7. 3-Fluoro-N-(2-Trichloromethylquinazolin-4-yl)benzamide (10)
Yield 80%. Yellow solid. Mp 152 °C, (isopropanol). 1H NMR (400 MHz, DMSO-d6) δ = 11.74 (s, 1H), 8.32 (d, J = 6.5 Hz, 1H), 8.17–8.09 (m, 2H), 7.89–7.78 (m, 3H), 7.63–7.57 (m, 1H), 7.50 (dt, J = 8.6, 2.1 Hz, 1H). 13C NMR (101 MHz, DMSO-d6) δ = 166.9 (d, J = 2.6 Hz), 161.9 (d, J = 244.5 Hz), 160.2, 159.4, 150.1, 135.8 (d, J = 7.2 Hz), 135.7, 130.6 (d, J = 8.0 Hz), 129.3, 128.6, 125.9, 124.7 (d, J = 2.7 Hz), 119.3 (d, J = 21.2 Hz), 117.2, 115.4 (d, J = 23.2 Hz), 96.7. LC-MS (ESI+) tR 3.57 min, m/z [M + H]+ 383.99/385.06/386.08/388.05/389.05. MW: 384.62 g.mol−1. HRMS m/z [M + Na]+ calcd for C16H9Cl3FN3O: 405.9687, Found: 405.9688.
3.5.8. 2-Fluoro-N-(2-Trichloromethylquinazolin-4-yl)benzamide (11)
Yield 98%. White solid. Mp 190 °C, (isopropanol). 1H NMR (400 MHz, DMSO-d6) δ = 11.95 (s, 1H), 8.53 (d, J = 8.4 Hz, 1H), 8.11 (q, J = 8.5 Hz, 2H), 7.93–7.86 (m, 1H), 7.71 (td, J = 7.5, 1.2 Hz, 1H), 7.57–7.50 (m, 1H), 7.30 (t, J = 7.5 Hz, 1H), 7.21 (dd, J = 10.3, 8.8 Hz, 1H). 13C NMR (101 MHz, DMSO-d6) δ = 166.1, 159.1, 159.0, 158.8 (d, J = 249.4 Hz), 149.8, 135.6, 133.0 (d, J = 8.7 Hz), 130.2 (d, J = 2.5 Hz), 129.5, 128.6, 124.8, 124.7 (d, J = 3.4 Hz), 124.1 (d, J = 13.9 Hz), 116.1 (d, J = 21.7 Hz), 115.6, 96.5. LC-MS (ESI+) tR 3.44 min, m/z [M + H] +384.01/386.00/388.00. MW: 384.62 g.mol−1. HRMS m/z [M + H] + calcd for C16H9Cl3FN3O: 383.9868, Found: 382.9795.
3.5.9. 3-Chloro-N-(2-Trichloromethylquinazolin-4-yl)benzamide (12)
Yield 82%. White solid. Mp 139 °C, (isopropanol). 1H NMR (400 MHz, DMSO-d6) δ = 11.81 (s, 1H), 8.35 (d, J = 8.4 Hz, 1H), 8.19–8.10 (m, 2H), 8.06 (s, 1H), 7.94 (d, J = 8.3 Hz, 1H), 7.90–7.82 (m, 1H), 7.71 (d, J = 8.2 Hz, 1H), 7.58 (t, J = 7.9 Hz, 1H). 13C NMR (101 MHz, DMSO-d6) δ = 166.8, 160.2, 159.4, 150.1, 135.7, 135.6, 133.2, 132.2, 130.4, 129.3, 128.6, 128.3, 127.3, 126.0, 117.1, 96.8. LC-MS (ESI+) tR 3.98 min, m/z [M + H]+ 401.92/403.97/405.89. MW: 401.07 g.mol−1. HRMS m/z [M + H]+ calcd for C16H9Cl4N3O: 401.9544, Found: 401.9546.
3.5.10. 2-Chloro-N-(2-Trichloromethylquinazolin-4-yl)benzamide (13)
Yield 83%. Yellow solid. Mp 171 °C, (isopropanol). 1H NMR (400 MHz, DMSO-d6) δ = 12.02 (s, 1H), 8.59 (d, J = 8.4 Hz, 1H), 8.11 (dd, J = 14.1, 7.3 Hz, 2H), 7.93–7.86 (m, 1H), 7.58 (dd, J = 7.3, 1.6 Hz, 1H), 7.51–7.34 (m, 3H). 13C NMR (101 MHz, DMSO-d6) 168.2, 159.1, 158.4, 149.7, 136.1, 135.6, 131.2, 129.79, 129.78, 129.5, 129.1, 128.6, 127.4, 124.7, 115.3, 96.4. LC-MS (ESI+) tR 3.66 min, m/z [M + H]+ 398.83/401.88/403.98. MW: 401.07 g.mol−1. HRMS m/z [M + H]+ calcd for C16H9Cl4N3O: 401.9544, Found: 401.9543.
3.5.11. 4-Bromo-N-(2-Trichloromethylquinazolin-4-yl)benzamide (14)
Yield 62%. Beige solid. Mp 201 °C, (isopropanol). 1H NMR (400 MHz, DMSO-d6) δ = 11.73 (s, 1H), 8.29 (dd, J = 18.3 Hz, 8.5 Hz, 1H), 8.18–8.09 (m, 2H), 7.92 (d, J = 8.5 Hz, 2H), 7.85 (ddd, J = 8.3 Hz, 5.6 Hz, 2.6 Hz, 1H), 7.76 (d, J = 8.5 Hz, 2H). 13C NMR (101 MHz, DMSO-d6) δ = 167.4, 160.3, 159.3, 150.0, 135.6, 132.7, 131.5 (2 C), 130.6 (2 C), 129.3, 128.5, 126.2, 125.8, 117.1, 96.8. LC-MS (ESI+) tR 4.20 min, m/z [M + H]+ 443.79/445.83/447.73/449.59. MW: 445.53 g.mol−1. HRMS m/z [M + H]+ calcd for C16H9BrCl3N3O: 445.9043, Found: 445.9046.
3.5.12. 4-Cyano-N-(2-Trichloromethylquinazolin-4-yl)benzamide (15)
Yield 95%. White solid. Mp 170 °C, (isopropanol). 1H NMR (400 MHz, DMSO-d6) δ = 11.93 (s, 1H), 8.39 (d, J = 8.4 Hz, 1H), 8.14 (d, J = 3.8 Hz, 2H), 8.07 (d, J = 8.3 Hz, 2H), 8.01 (d, J = 8.3 Hz, 2H), 7.87 (dt, J = 8.3, 4.0 Hz, 1H). 13C NMR (101 MHz, DMSO-d6) δ = 167.6, 159.9, 159.2, 150.0, 138.0, 135.8, 132.5 (2 C), 129.4, 129.2 (2 C), 128.6, 125.7, 118.2, 116.8, 114.3, 96.7. LC-MS (ESI+) tR 3.03 min, m/z [M + H]+ 390.98/393.05/394.94. MW: 391.64 g.mol−1. HRMS m/z [M + H]+ calcd for C17H9Cl3N4O: 390.9915, Found: 390.9911.
3.5.13. 4-Methoxy-N-(2-Trichloromethylquinazolin-4-yl)benzamide (16)
Yield 75%. Yellow solid. Mp 192 °C, (isopropanol). 1H NMR (400 MHz, DMSO-d6) δ = 11.52 (s, 1H), 7.40 (d, J = 8.4 Hz, 1H), 7.33–7.25 (m, 2H), 7.20 (d, J = 8.8 Hz, 2H), 7.04–6.94 (m, 1H), 6.26 (d, J = 8.8 Hz, 2H), 3.03 (s, 3H). 13C NMR (101 MHz, DMSO-d6) δ = 167.1, 162.8, 160.9, 159.5, 150.0, 135.5, 130.9 (2C), 129.1, 128.5, 126.1, 125.3, 117.45, 113.7 (2 C), 97.0, 55.5. LC-MS (ESI+) tR 3.46 min, m/z [M + H]+ 396.08/398.87/400.53. MW: 396.66 g.mol−1. HRMS m/z [M + H]+ calcd for C17H12Cl3N3O2: 396.0068, Found: 396.0062.
3.5.14. N-(2-Trichloromethylquinazolin-4-yl)picolinamide (17)
Yield 81%. Beige solid. Mp 214 °C, (isopropanol). 1H NMR (400 MHz, DMSO-d6) δ = 11.72 (s, 1H), 8.76 (d, J = 4.5 Hz, 1H), 8.37 (d, J = 8.3 Hz, 1H), 8.22–8.10 (m, 4H), 7.95–7.88 (m, 1H), 7.78–7.69 (m, 1H). 13C NMR (101 MHz, DMSO-d6) δ = 164.0, 159.5, 159.1, 150.0, 149.1, 148.7, 138.4, 135.8, 129.5, 128.6, 127.6, 125.1, 123.1, 116.9, 96.9. LC-MS (ESI+) tR 3.4 min, m/z [M + H]+ 365.74/367.13/368.70/371.04. MW: 367.62 g.mol−1. HRMS m/z [M + H]+ calcd for C15H9Cl3N4O: 366.9915, Found: 366.9912.
3.5.15. N-(2-Trichloromethylquinazolin-4-yl)nicotinamide (18)
Yield 20%. White solid. Mp 208 °C, (isopropanol). 1H NMR (400 MHz, DMSO-d6) δ = 11.91 (m, 1H), 9.10 (ls, 1H), 8.79 (ls, lH), 8.39 (d, J = 8.4 Hz, 1H), 8.30 (d, J = 7.9 Hz, 1H), 8.14 (d, J = 3.7 Hz, 2H), 7.92–7.82 (m, 1H), 7.58 (dd, J = 7.8, 4.8 Hz, 1H). 13C NMR (101 MHz, DMSO-d6) δ = 167.2, 160.1, 159.3, 152.7, 150.1, 149.4, 136.3, 135.8, 129.7, 129.4, 128.6, 125.9, 123.6, 116.9, 96.7. LC-MS (ESI+) tR 2.44 min, m/z [M + H]+ 365.65/368.50/371.07. MW: 367.62 g.mol−1. HRMS m/z [M + H]+ calcd for C15H9Cl3N4O: 366.9915, Found: 366.9911.
3.5.16. N-(2-Trichloromethylquinazolin-4-yl)isonicotinamide (19)
Yield 22%. White solid. Mp 151 °C, (isopropanol). 1H NMR (400 MHz, DMSO-d6) δ = 12.04 (s, 1H), 8.77 (d, J = 5.6 Hz, 1H), 8.44 (d, J = 8.3 Hz, 1H), 8.15 (d, J = 3.6 Hz, 2H), 7.94–7.85 (m, 2H), 7.82 (d, J = 4.9 Hz, 2H). 13C NMR (101 MHz, DMSO-d6) δ = 167.7, 159.7, 159.2, 150.3, 150.0 (2C), 141.3, 135.9, 129.5, 128.6, 125.7, 122.0 (2C), 116.7, 96.7. LC-MS (ESI+) tR 2.38 min, m/z [M + H]+ 365.72/368.60/371.04. MW: 367.62 g.mol−1. HRMS m/z [M + H]+ calcd for C15H9Cl3N4O: 366.9915, Found: 366.9911.
3.5.17. N-(2-Trichloromethylquinazolin-4-yl)acetamide (20)
Yield 31%. White solid. Mp 217 °C, (isopropanol). 1H NMR (250 MHz, CDCl3) δ = 8.54 (br s, 1H), 8.15–8.19 (m, 1H), 7.96–8.03 (m, 2H), 7.73–7.80 (m, 1H), 2.85 (s, 3H). 13C NMR (63 MHz, CDCl3) δ = 173.8, 159.9, 157.0, 150.4, 134.8, 130.0, 129.4, 122.0, 114.3, 97.0, 26.7. LC-MS (ESI+) tR 3.36 min, m/z [M + H]+ 303.98/305.91/307.99. MW: 304.56 g.mol−1. Anal. Calcd for C11H8Cl3N3O: C, 43.38; H, 2.65; N, 13.80. Found: C, 42.84; H, 2.59; N, 13.79.
3.5.18. N-(2-Trichloromethylquinazolin-4-yl)propionamide (21)
Yield 52%. Yellow solid. Mp 171 °C, (isopropanol). 1H NMR (250 MHz, DMSO-d6) δ = 11.16 (s, 1H), 8.47 (d, J = 7.4 Hz, 1H), 8.27–7.95 (m, 2H), 7.91–7.68 (m, 1H), 3.03–2.74 (m, 2H), 1.30–1.00 (m, 3H). 13C NMR (63 MHz, DMSO-d6) δ = 175.2, 159.3, 158.8, 149.7, 135.4, 129.1, 128.6, 125.0, 115.4, 97.1, 30.4, 9.1. LC-MS (ESI+) tR 3.39 min, m/z [M + H]+ 317.98/320.00/322.08. MW: 318.59 g.mol−1. HRMS m/z [M + H]+ calcd for C12H10Cl3N3O: 317.9967, Found: 317.9964.
3.5.19. N-(2-Trichloromethylquinazolin-4-yl)isobutyramide (22)
Yield 52%. White solid. Mp 161 °C, (isopropanol). 1H NMR (400 MHz, DMSO-d6) δ = 11.09 (s, 1H), 8.34 (d, J = 8.4 Hz, 1H), 8.09 (d, J = 3.7 Hz, 2H), 7.88–7.75 (m, 1H), 1.27–1.15 (m, 7H). 13C NMR (101 MHz, DMSO-d6) δ = 178.0, 159.4, 159.2, 149.8, 135.5, 129.1, 128.6, 125.3, 116.0, 97.1, 34.4, 19.3 (2C). LC-MS (ESI+) tR 3.56 min, m/z [M + H]+ 332.09/334.97/344.17. MW: 332.61 g.mol−1. HRMS m/z [M + H]+ calcd for C13H12Cl3N3O: 332.0119, Found: 332.0118.
3.5.20. N-(2-Trichloromethylquinazolin-4-yl)pivalamide (23)
Yield 55%. White solid. Mp 157 °C, (isopropanol). 1H NMR (400 MHz, DMSO-d6) δ = 10.73 (s, 1H), 8.17–8.08 (m, 2H), 8.01–7.94 (m, 1H), 7.88–7.80 (m, 1H), 1.39 (s, 9H). 13C NMR (101 MHz, DMSO-d6) δ = 178.0, 161.0, 159.6, 150.1, 135.6, 129.3, 128.5, 126.3, 118.5, 96.9, 26.8, 26.3 (3C). LC-MS (ESI+) tR 3.24 min, m/z [M + H]+ 346.08/348.13/350.10. MW: 346.64 g.mol−1. HRMS m/z [M + H]+ calcd for C14H14Cl3N3O: 346.0275, Found: 346.0276.
3.5.21. N-(2-Trichloromethylquinazolin-4-yl)pentanamide (24)
Yield 43%. Yellow solid. Mp 136 °C, (isopropanol). 1H NMR (400 MHz, DMSO-d6) δ = 11.16 (s, 1H), 8.47 (d, J = 8.4 Hz, 1H), 8.10–8.04 (m, 2H), 7.88–7.79 (m, 1H), 2.92 (t, J = 7.6 Hz, 2H), 1.65 (dt, J = 15.1, 7.5 Hz, 2H), 1.38 (dq, J = 14.6, 7.3 Hz, 2H), 0.91 (t, J = 7.4 Hz, 3H). 13C NMR (101 MHz, DMSO-d6) δ = 174.3, 159.3, 158.8, 149.7, 135.3, 129.0, 128.6, 125.0, 115.4, 97.2, 36.7, 26.6, 21.8, 13.7. LC-MS (ESI+) tR 4.26 min, m/z [M + H]+ 346.08/348.11/349.98. MW: 346.64 g.mol−1. HRMS m/z [M + H]+ calcd for C14H14Cl3N3O: 346.0275, Found: 346.0274.
3.5.22. N-(2-Trichloromethylquinazolin-4-yl)cyclohexanecarboxamide (25)
Yield 51%. White solid. Mp 214 °C, (isopropanol). 1H NMR (250 MHz, DMSO-d6) δ = 11.05 (s, 1H), 8.37 (d, J = 8.4 Hz, 1H), 8.08 (d, J = 3.7 Hz, 2H), 7.88–7.78 (m, 1H), 2.06–1.92 (m, 2H), 1.84–1.62 (m, 3H), 1.53–1.18 (m, 6H). 13C NMR (63 MHz, DMSO-d6) δ = 177.2, 167.9, 159.2, 149.7, 135.4, 129.1, 128.6, 125.2, 115.7, 97.1, 43.8, 28.9 (2C), 25.4, 25.2 (2C). LC-MS (ESI+) tR 4.58 min, m/z [M + H]+ 372.07/374.11/376.06. MW: 372.68 g.mol−1. HRMS m/z [M + H]+ calcd for C16H16Cl3N3O: 372.0432, Found: 372.0428.
3.6. General Procedure for the Preparation of Compounds (26–44)
A mixture of 4-chloro-2-trichloromethylquinazoline (4) (0.2 g, 0.71 mmol), DMAP (26 mg, 0.21 mmol, 0.3 equiv.), and adequate alcohol derivative (0.85 mmol, 1.2 equiv.) in toluene (3 mL) was placed in a miniaturized sealed reactor (5 mL). The reaction mixture was irradiated in a monomode microwave oven, for 1 h at 130 °C. After removal of the toluene under reduced pressure, the residue was purified by silica gel column chromatography and recrystallized from appropriate solvent.
3.6.1. 4-Methoxy-2-Trichloromethylquinazoline (26)
Yield 81%. White powder. Mp 83 °C, (isopropanol). 1H NMR (200 MHz, CDCl3) δ = 8.21 (d, J = 8 Hz, 1H), 8.08 (d, J = 8 Hz, 1H), 7.95–7.87 (m, 1H), 7.70–7.63 (m, 1H), 4.28 (s, 3H). 13C NMR (50 MHz, CDCl3) δ = 168.1, 160.2, 150.2, 146.6, 134.3, 128.7, 128.5, 123.5, 97.1, 54.9. LC-MS (ESI+) tR 4.46 min, m/z [M + H]+ 277.05/279.06/281.05. MW: 277.53 g/mol. Anal. Calcd for C17H13Cl3N2O: C, 43.28; H, 2.54; N, 10.09. Found: C, 44.17; H, 3.14; N, 9.54.
3.6.2. 4-Ethoxy-2-Trichloromethylquinazoline (27)
Yield 79%. White powder. Mp 73 °C, (isopropanol). 1H NMR (200 MHz, CDCl3) δ = 8.23 (d, J = 8.2 Hz, 1H), 8.19 (d, J = 8.2 Hz, 1H), 7.95–7.85 (m, 1H), 7.68–7.61 (m, 1H), 4.75 (q, J = 8 Hz, 2H), 1.55 (t, J = 8 Hz, 3H). 13C NMR (50 MHz, CDCl3) δ = 167.8, 160.3, 150.3, 134.3, 128.7, 128.5, 123.7, 115.6, 97.2, 64.1, 14.2. LC-MS (ESI+) tR 4.92 min, m/z [M + H]+ 290.58/292.58/294.91. MW: 291.56 g/mol. Anal. Calcd for C11H9Cl3N2O: C, 45.31; H, 3.11; N, 9.61. Found: C, 45.16; H, 3.13; N, 9.65.
3.6.3. 4-Propoxy-2-Trichloromethylquinazoline (28)
Yield 75%. Sand powder. Mp 39 °C, (methanol). 1H NMR (200 MHz, CDCl3) δ = 8.24 (d, J = 8.2 Hz, 1H), 8.07 (d, J = 8.2 Hz, 1H), 7.94–7.85 (m, 1H), 7.68–7.61 (m, 1H), 4.66 (t, J = 7.5 Hz, 2H), 1.97 (q, J = 7.5 Hz, 2H), 1.12 (t, J = 7.5 Hz, 3H). 13C NMR (50 MHz, CDCl3) δ = 167.6, 160.0, 150.2, 134.3, 128.7, 128.5, 123.6, 116.3, 97.2, 69.6, 22.0, 10.6. LC-MS (ESI+) tR 5.23 min, m/z [M + H]+ 305.05/307.03/309.06. MW: 305.59 g/mol. Anal. Calcd for C12H11Cl3N2O: C, 47.16; H, 3.63; N, 9.17. Found: C, 46.87; H, 3.59; N, 9.23.
3.6.4. 4-Butoxy-2-Trichloromethylquinazoline (29)
Yield 79%. Yellow oil. 1H NMR (200 MHz, CDCl3) δ = 8.17 (d, J = 8.2 Hz, 1H), 8.03 (d, J = 8.2 Hz, 1H), 7.90–7.80 (m, 1H), 7.65–7.57 (m, 1H), 4.68 (t, J = 4.6 Hz, 2H), 1.97–1.83 (m, 2H), 1.64–1.46 (m, 2H), 1.01 (t, J = 7.4 Hz, 3H). 13C NMR (50 MHz, CDCl3) δ = 167.9, 160.3, 150.2, 134.2, 128.6, 128.5, 123.6, 115.5, 97.3, 67.9, 30.7,19.3, 13.9. LC-MS (ESI+) tR 5.42 min, m/z [M + H]+ 318.85/320.96/322.47. MW: 319.61 g/mol. Anal. Calcd for C13H13Cl3N2: C, 48.85; H, 4.10; N, 8.76. Found: C, 49.12; H, 4.04; N, 8.65.
3.6.5. 4-Isopropoxy-2-Trichloromethylquinazoline (30)
Yield 53%. Grey powder. Mp 210 °C, (methanol). 1H NMR (200 MHz, CDCl3) δ = 8.20 (d, J = 8.2 Hz, 1H), 8.05 (d, J = 8.2 Hz, 1H), 7.93–7.85 (m, 1H), 7.68–7.60 (m, 1H), 5.69 (t, J = 6 Hz, 1H), 1.52 (d, J = 6 Hz, 6H). 13C NMR (50 MHz, CDCl3) δ = 167.4, 160.4, 150.3, 134.2, 128.7, 128.4, 123.7, 115.8, 97.3, 71.8, 21.7. LC-MS (ESI+) tR 5.24 min, m/z [M + H]+ 305.04/307.05/309.10. MW: 305.59 g/mol. Anal. Calcd for C12H11Cl3N2O: C, 47.16; H, 3.63; N, 9.17. Found: C, 46.81; H, 3.72; N, 9.39.
3.6.6. 4-(Prop-2-ynyloxy)-2-Trichloromethylquinazoline (31)
Yield 87%. Beige powder. Mp 62 °C, (methanol). 1H NMR (200 MHz, CDCl3) δ = 8.26 (d, J = 8.2 Hz, 1H), 8.10 (d, J = 8.2 Hz, 1H), 7.97–7.89 (m, 1H), 7.73–7.65 (m, 1H), 5.31 (d, J = 2.5 Hz, 2H), 2.58 (t, J = 2.5 Hz, 1H). 13C NMR (50 MHz, CDCl3) δ = 166.7, 159.8, 150.4, 134.7, 128.9, 128.8, 123.6, 115.2, 96.9, 77.4, 75.7, 55.3. LC-MS (ESI+) tR 4.42 min, m/z [M + H]+ 301.02/303.03/305.04. MW: 301.56 g/mol. Anal. Calcd for C12H7Cl3N2O: C, 47.79; H, 2.34; N, 9.29. Found: C, 48.38; H, 2.25; N, 9.08.
3.6.7. 4-(But-3-yn-2-yloxy)-2-Trichloromethylquinazoline (32)
Yield 89%. Beige powder. Mp 92 °C, (methanol). 1H NMR (200 MHz, CDCl3) δ = 8.26 (d, J = 8.2 Hz, 1H), 8.09 (d, J = 8.2 Hz, 1H), 7.96–7.91 (m, 1H), 7.72–7.64 (m, 1H), 6.18 (qd, J = 8 Hz, J = 2 Hz, 1H), 2.52 (d, J = 2 Hz, 1H), 1.80 (d, J = 8 Hz, 3H). 13C NMR (50 MHz, CDCl3) δ = 166.4, 159.9, 150.5, 134.6, 128.8, 128.7, 123.7, 115.4, 97.0, 81.9, 73.7, 63.7, 21.2. LC-MS (ESI+) tR 4.73 min, m/z [M + H]+ 315.02/317.04/318.98. MW: 315.58 g/mol. Anal. Calcd for C13H9Cl3N2O: C, 49.48; H, 2.87; N, 8.88. Found: C, 48.96; H, 2.95; N, 8.93.
3.6.8. 4-(4-Methylpent-1-yn-3-yloxy)-2-Trichloromethylquinazoline (33)
Yield 90%. Beige powder. Mp 96 °C, (methanol). 1H NMR (200 MHz, CDCl3) δ = 8.30–8.27 (m, 1H), 8.09 (d, J = 8.2 Hz, 1H), 7.97–7.88 (m, 1H), 7.72–7.64 (m, 1H), 5.97 (dd, J = 6 Hz, J = 2 Hz, 1H), 2.49 (d, J = 2 Hz, 1H), 2.44–2.28 (m, 1H), 1.20 (d, J = 4 Hz, 3H), 1.17 (d, J = 4 Hz, 3H). 13C NMR (50 MHz, CDCl3) δ = 166.7, 160.0, 150.6, 134.6, 128.8, 128.7, 123.6, 115.5, 97.0, 79.5, 74.9, 72.1, 32.4, 18.2, 17.6. LC-MS (ESI+) tR 5.21 min, m/z [M + H]+ 343.17/345.22/347.09. MW: 343.64 g/mol. Anal. Calcd for C15H13Cl3N2O: C, 52.43; H, 3.81; N, 8.15. Found: C, 53.02; H, 3.75; N, 8.37.
3.6.9. 2-(2-Trichloromethylquinazolin-4-yloxy)ethanol (34)
Yield 42%. White powder. Mp 93 °C, (methanol). 1H NMR (200 MHz, CDCl3) δ = 8.31–8.28 (m, 1H), 8.15 (d, J = 8.2 Hz, 1H), 8.01–7.93 (m, 1H), 7.78–7.70 (m, 1H), 4.94–4.91 (m, 2H), 4.21–4.17 (m, 2H), 2.49 (br s, 1H). 13C NMR (50 MHz, CDCl3) δ = 168.1, 159.8, 150.3, 134.8, 129.0, 128.8, 123.7, 115.4, 97.1, 70.1, 61.8. LC-MS (ESI+) tR 3.33 min, m/z [M + H]+ 306.93/308.91/311.07. MW: 307.56 g/mol. Anal. Calcd for C11H9Cl3N2O: C, 42.96; H, 2.95; N, 9.11. Found: C, 43.71; H, 3.03; N, 8.95.
3.6.10. 4-(2-Methoxyethoxy)-2-Trichloromethylquinazoline (35)
Yield 97%. White powder. Mp 63 °C, (methanol). 1H NMR (200 MHz, CDCl3) δ = 8.31 (d, J = 8 Hz, 1H), 8.15 (d, J = 8 Hz, 1H), 7.91 (t, J = 6 Hz, 1H), 7.66 (t, J = 6 Hz, 1H), 4.87–4.83 (m, 2H), 3.92–3.88 (m, 2H), 3.47 (s, 3H). 13C NMR (50 MHz, CDCl3) δ = 167.7, 160.2, 150.6, 134.2, 128.8, 128.4, 123.7, 115.5, 97.2, 70.4, 66.9, 59.0. LC-MS (ESI+) tR 4.28 min, m/z [M + H]+ 321.00/322.91/325.13. MW: 321.59 g/mol. Anal. Calcd for C12H11Cl3N2O: C, 44.82; H, 3.45; N, 8.71. Found: C, 44.35; H, 3.38; N, 8.92.
3.6.11. 4-(2-Chloroethoxy)-2-Trichloromethylquinazoline (36)
Yield 79%. Sand powder. Mp 54 °C, (methanol). 1H NMR (200 MHz, CDCl3) δ = 8.26 (d, J = 8 Hz, 1H), 8.09 (d, J = 8 Hz, 1H), 7.97–7.89 (m, 1H), 7.73–7.65 (m, 1H), 4.94 (t, J = 6 Hz, 2H), 4.00 (t, J = 6 Hz, 2H). 13C NMR (50 MHz, CDCl3) δ = 167.3, 159.9, 150.4, 134.7, 128.9, 128.8, 123.6, 115.2, 96.9, 67.4, 41.4. LC-MS (ESI+) tR 4.60 min, m/z [M + H]+ 325.03/327.01/329.07. MW: 326.01 g/mol. Anal. Calcd for C11H8Cl4N2O: C, 40.53; H, 2.47; N, 8.59. Found: C, 43.89; H, 3.45; N, 9.02.
3.6.12. 4-(3-Chloropropoxy)-2-Trichloromethylquinazoline (37)
Yield 70%. Beige powder. Mp 77 °C, (methanol). 1H NMR (200 MHz, CDCl3) δ = 8.22 (d, J = 8 Hz, 1H), 8.08 (d, J = 8 Hz, 1H), 7.96–7.88 (m, 1H), 7.71–7.64 (t, J = 6 Hz, 1H), 4.86 (t, J = 6 Hz, 2H), 3.79 (t, J = 6 Hz, 2H), 2.42 (t, J = 6 Hz, 2H). 13C NMR (50 MHz, CDCl3) δ = 167.6, 160.1, 150.3, 134.5, 128.9, 128.7, 123.5, 115.4, 97.1, 64.7, 41.3, 31.6. LC-MS (ESI+) tR 4.89 min, m/z [M + H]+ 339.04/341.06/343.09. MW: 340.03 g/mol. Anal. Calcd for C12H10Cl4N2O: C, 42.39; H, 2.96; N, 8.24. Found: C, 42.06; H, 3.01; N, 8.51.
3.6.13. 4-(4-Chlorobutoxy)-2-Trichloromethylquinazoline (38)
Yield 28%. Yellow oil. 1H NMR (200 MHz, CDCl3) δ = 8.20 (d, J = 8 Hz, 1H), 8.07 (d, J = 8 Hz, 1H), 7.95–7.87 (m, 1H), 7.66 (t, J = 6 Hz, 1H), 4.74 (t, J = 6 Hz, 2H), 3.66 (t, J = 6 Hz, 2H), 2.00–2.15 (m, 4H). 13C NMR (50 MHz, CDCl3) δ = 167.7, 160.2, 150.3, 134.4, 128.8, 128.7, 123.5, 115.4, 97.2, 67.2, 44.6, 29.3, 26.1. LC-MS (ESI+) tR 5.09 min, m/z [M + H]+ 352.94/354.55/357.10. MW: 354.06g/mol. Anal. Calcd for C13H12Cl4N2O: C, 44.10; H, 3.42; N, 7.91. Found: C, 43.87; H, 3.39; N, 8.02.
3.6.14. 4-(2-Fluoroethoxy)-2-Trichloromethylquinazoline (39)
Yield 71%. Off-white powder. Mp 73 °C, (isopropanol). 1H NMR (200 MHz, CDCl3) δ = 8.22 (d, J = 8 Hz, 1H), 8.05 (d, J = 8 Hz, 1H), 7.92–7.86 (m, 1H), 7.64 (t, J = 6 Hz, 1H), 5.00 (s, 2H), 4.81–4.89 (m, 2H). 13C NMR (50 MHz, CDCl3) δ = 167.3, 159.8, 150.3, 134.7, 128.8, 128.7, 123.6, 115.2, 97.1, 81.2 (d, J C-F = 171 Hz), 66.8 (d, J C-F = 21 Hz). LC-MS (ESI+) tR 4.17 min, m/z [M + H]+ 309.15/311.13/313.16. MW: 309.55 g/mol. Anal. Calcd for C11H8Cl3FN2O: C, 42.68; H, 2.60; N, 9.05. Found: C, 42.87; H, 2.55; N, 8.93.
3.6.15. 4-(2-Bromoethoxy)-2-Trichloromethylquinazoline (40)
Yield 71%. Beige powder. Mp 100 °C, (isopropanol). 1H NMR (200 MHz, CDCl3) δ = 8.30 (d, J = 8 Hz, 1H), 7.84–7.83 (m, 2H), 7.66–7.61 (m, 1H), 4.85–4.78 (m, 2H), 3.92–3.85 (m, 2H). 13C NMR (50 MHz, CDCl3) δ = 162.6, 147.6, 144.1, 135.2, 129.4, 128.8, 127.1, 102.6, 93.4, 47.7, 38.8. LC-MS (ESI+) tR 4.73 min, m/z [M + H]+ 369.12/370.96/373.11. MW: 370.46 g/mol. Anal. Calcd for C11H8BrCl3N2O: C, 35.66; H, 2.18; N, 7.56. Found: C, 35.92; H, 2.29; N, 7.37.
3.6.16. N,N-Diethyl-2-[(2-Trichloromethylquinazolin-4-yl)oxy]ethanamine (41)
Yield 67%. Off-white powder. Mp 137 °C, (isopropanol). 1H NMR (200 MHz, CDCl3) δ = 8.24 (d, J = 8 Hz, 1H), 8.21–8.20 (m, 1H), 8.10–8.06 (m, 1H), 7.71–7.67 (m, 1H), 4.77 (t, J = 6 Hz, 4H), 3.02 (t, J = 6 Hz, 4H), 2.69 (q, J = 7 Hz, 4H), 1.09 (t, J = 7 Hz, 6H). 13C NMR (50 MHz, CDCl3) δ = 167.8, 160.3, 150.6, 134.2, 128.8, 128.4, 123.6, 115.5, 97.3, 66.2, 51.1, 48.0, 11.9. LC-MS (ESI+) tR 4.53 min, m/z [M + H]+ 362.17/364.21/366.18. MW: 362.68 g/mol. Anal. Calcd for C15H18Cl3N3O: C, 49.67; H, 5.00; N, 11.59. Found: C, 49.19; H, 5.11; N, 11.75.
3.6.17. N-{2-[(2-Trichloromethylquinazolin-4-yl)oxy]ethyl}acetamide (42)
Yield 79%. White powder. Mp 135 °C, (isopropanol). 1H NMR (200 MHz, CDCl3) δ = 8.27 (d, J = 8 Hz, 1H), 8.13 (d, J = 8 Hz, 1H), 7.99 (t, J = 7 Hz, 1H), 7.74 (t, J = 7 Hz, 1H), 6.61 (br s, 1H), 4.87 (t, J = 5 Hz, 2H), 3.88 (d, J = 5 Hz, 2H), 2.07 (s, 3H). 13C NMR (50 MHz, CDCl3) δ = 171.9, 167.2, 159.8, 150.3, 134.8, 129.0, 128.8, 123.7, 115.2, 97.0, 66.4, 39.6, 22.6. LC-MS (ESI+) tR 3.38 min, m/z [M + H]+ 348.22/350.14/351.93. MW: 348.61 g/mol. Anal. Calcd for C13H12Cl3N3O2: C, 44.79; H, 3.47; N, 12.05. Found: C, 45.23; H, 3.39; N, 12.35.
3.6.18. 4-[2-(Piperidin-1-yl)ethoxy]-2-Trichloromethylquinazoline (43)
Yield 20%. Yellow oil. 1H NMR (200 MHz, CDCl3) δ = 8.13–8.26 (m, 1H), 7.99–8.11 (m, 1H), 7.76–7.99 (m, 1H), 7.57–7.74 (m, 1H), 4.82 (t, J = 6.1 Hz, 2H), 2.91 (t, J = 6.1 Hz, 2H), 2.49–2.62 (m, 4H), 1.50–1.69 (m, 4H), 1.42 (dt, J = 19.8, 7.3 Hz, 2H). 13C NMR (50 MHz, CDCl3) δ = 167.8, 160.3, 150.4, 134.4, 128.8, 128.7, 123.8, 115.6, 97.3, 65.9, 57.3, 55.1, 26.1, 24.3. LC-MS (ESI+) tR 4.65 min, m/z [M + H]+ 374.05/376.08/378.05. MW: 374.69 g/mol. HRMS m/z [M + H]+ calcd for C16H18Cl3N3O: 374.0588, found: 374.0588.
3.6.19. 4-[2-(Pyrrolidin-1-yl)ethoxy]-2-Trichloromethylquinazoline (44)
Yield 47%. Yellow oil. 1H NMR (200 MHz, CDCl3) δ = 8.25 (d, J = 8.3 Hz, 1H), 8.07 (d, J = 8.3 Hz, 1H), 7.84–7.97 (m, 1H), 7.58–7.78 (m, 1H), 5.02 (t, J = 5.5 Hz, 2H), 3.33 (t, J = 5.5 Hz, 2H), 2.91–3.18 (m, 4H), 1.82–2.09 (m, 4H). 13C NMR (50 MHz, CDCl3) δ = 167.3, 159.9, 150.4, 134.8, 129.1, 128.9, 123.7, 115.3, 97.1, 64.9, 54.7, 53.7, 23.5. LC-MS (ESI+) tR 3.77 min, m/z [M + H]+ 360.03/362.15/364.10. MW: 360.67 g/mol. HRMS m/z [M + H]+ calcd for C15H16Cl3N3O: 360.0432, found: 360.0429.
3.7. General Procedure for the Preparation of Compounds (45–46)
To a solution of 4-methoxybenzamide (1.5 equiv.) in dry DMF (3 mL) at 0 °C under N2, 60% sodium hydride in oil (1.5 equiv.) were added portion wise. The resulting mixture were added dropwise to a solution of 4-chloro-2-methylquinazoline or 4-chloro-2-trifluoromethylquinazoline (200 mg, 1.0 equiv.) in dry DMF (2 mL) at 0 °C under N2. The reaction was stirred overnight at rt. Then, the excess of NaH was hydrolyzed with ice. The reaction mixture was extracted with EtOAc and washed three times with brine. The organic layer was dried with Na2SO4, filtered and concentrated. The crude product was purified by silica gel column chromatography and recrystallized from isopropanol to give the corresponding compound.
3.7.1. 4-methoxy-N-(2-Methylquinazolin-4-yl)benzamide (45)
Yield 15%. Yellow solid. Mp 169 °C, (isopropanol). 1H NMR (400 MHz, CDCl3) δ =14.96 (s, 1H), 8.71 (d, J = 7.7 Hz, 1H), 8.39 (d, J = 8.7 Hz, 2H), 7.87–7.78 (m, 1H), 7.72 (d, J = 8.1 Hz, 1H), 7.60–7.52 (m, 1H), 6.98 (d, J = 8.9 Hz, 2H), 3.89 (s, 3H), 2.63 (s, 3H). 13C NMR (101 MHz, CDCl3) δ 179.7, 163.2, 158.1, 150.9, 148.8, 135.1, 131.9, 130.0, 127.1, 126.1, 119.8, 113.5 (4C), 55.4, 22.8. LC-MS (ESI+) tR 2.58 min, m/z [M + H]+ 294.10. MW: 293.32 g.mol−1. HRMS m/z [M + H]+ calcd for C17H15N3O2: 294.1237, Found: 294.1234.
3.7.2. 4-methoxy-N-(2-Trifluoromethylquinazolin-4-yl)benzamide (46)
Yield 17%. White solid. Mp 190 °C, (isopropanol). 1H NMR (400 MHz, DMSO-d6) δ = 11.53 (s, 1H), 8.26 (d, J = 8.4 Hz, 1H), 8.20–8.10 (m, 2H), 8.07 (d, J = 8.9 Hz, 2H), 7.90–7.81 (m, 1H), 7.11 (d, J = 8.9 Hz, 2H), 3.87 (s, 3H). 13C NMR (101 MHz, DMSO-d6) δ 166.68, 162.99, 161.01, 150.71 (q, J = 35.6 Hz), 150.38, 135.65, 130.98 (2C), 129.41, 128.46, 126.39, 125.06, 119.79 (q, J = 275.6 Hz), 118.76, 113.80 (2C), 55.57. LC-MS (ESI+) tR 2.53 min, m/z [M + H]+ 348.29. MW: 347.29 g.mol−1. HRMS m/z [M + H]+ calcd for C17H12F3N3O2: 348.0954, Found: 348.0953.
3.8. General Procedure for the Preparation of Compounds (47–49)
A mixture of 4-chloro-2-methylquinazoline, 4-chloro-2-trifluoromethylquinazoline or 4-chloroquinazoline (400 mg, 1 equiv.), DMAP (1.1 equiv) and 2-(diethylamino)ethanol (2 equiv.) in toluene (3 mL) was placed in a miniaturized sealed reactor (5 mL). The reaction mixture was irradiated in a monomode microwave oven, for 1 h at 130 °C. After removal of the toluene under reduced pressure, the residue was purified by silica gel column chromatography, deactivated by triethylamine, and recrystallized from isopropanol.
3.8.1. N,N-Diethyl-2-[(2-Methylquinazolin-4-yl)oxy]ethanamine (47)
Yield 39%. Yellow powder. Mp 230 °C, (isopropanol). 1H NMR (200 MHz, CDCl3) δ = 7.98–7.95 (m, 1H), 7.73–7.62 (m, 2H), 7.35–7.29 (1H, m), 4.55–4.51 (2H, m), 2.89–2.84 (2H, m), 2.61–2.53 (7H, m), 1.02–0.97 (6H, m). 13C NMR (50 MHz, CDCl3) δ = 166.2, 163.6, 151.2, 133.1, 126.7, 125.8, 123.2, 114.4, 64.9, 50.8, 47.8(2C), 26.2, 11.9(2C). LC-MS (ESI+) tR 1.82 min, m/z [M + H]+ 260.55. MW: 259.35 g/mol. Anal. Calcd for C15H21N3O: C, 69.47; H, 8.16; N, 16.20. Found: C, 70.05; H, 8.07; N, 16.39.
3.8.2. N,N-Diethyl-2-[(2-Trifluoromethylquinazolin-4-yl)oxy]ethan-1-Amine (48)
Yield 40%. Colorless oil. 1H NMR (400 MHz, CDCl3) δ = 8.23 (dd, J = 8.2, 0.9 Hz, 1H), 8.07 (d, J = 8.4 Hz, 1H), 7.97–7.88 (m, 1H), 7.72–7.65 (m, 1H), 4.75 (t, J = 6.2 Hz, 2H), 3.00 (t, J = 6.2 Hz, 2H), 2.74–2.63 (m, 4H), 1.16–1.01 (m, 6H). 13C NMR (101 MHz, CDCl3) δ 168.2, 152.1 (q, J = 36.4 Hz), 150.5, 134.6, 128.9, 128.7, 123.9, 119.8 (q, J = 275.6 Hz), 116.8, 66.6, 50.9, 48.1 (2C), 12.2 (2C). LC-MS (ESI+) tR 2.84 min, m/z [M + H]+ 314.18. MW: 313.32 g/mol. HRMS m/z [M + H]+ calcd for C15H18F3N3O: 314.1475, Found: 314.1475.
3.8.3. N,N-Diethyl-2-(Quinazolin-4-yloxy)ethanamine (49)
Yield 10%. Yellow oil. 1H NMR (400 MHz, CDCl3) δ = 8.77 (s, J = 5.6 Hz, 1H), 8.18–8.05 (m, 1H), 7.90 (d, J = 8.4 Hz, 1H), 7.85–7.75 (m, 1H), 7.59–7.44 (m, 1H), 4.64 (t, J = 6.1 Hz, 2H), 2.98 (t, J = 6.1 Hz, 2H), 2.66 (q, J = 7.1 Hz, 4H), 1.08 (t, J = 7.1 Hz, 6H). 13C NMR (101 MHz, CDCl3) δ = 166.8, 154.5, 151.0, 133.6, 127.7, 127.1, 123.6, 116.8, 65.6, 51.1, 47.9, 12.1. LC-MS (ESI+) tR 1.11 min, m/z [M + H]+ 246.21. MW: 245.32 g/mol. Anal. Calcd for C14H19N3O: C, 43.28; H, 2.54; N, 10.09. Found: C, 44.17; H, 3.14; N, 9.54.
3.9. Biology
3.9.1. In Vitro Cytotoxicity Evaluation
HepG2 cell line was maintained at 37 °C, 5% CO2, at 90% humidity in MEM supplemented with 10% fetal bovine serum, 1% L-glutamine (200 mM) and penicillin (100 U/mL)/streptomycin (100 µg/mL) (complete RPMI medium). The cytotoxicity of the tested molecules on the HepG2 (hepatocarcinoma cell line purchased from ATCC, ref HB-8065) cell line was assessed according to the method of Mosmann [19] with slight modifications. Briefly, 5.103 cells in 100 µL of complete medium were inoculated into each well of 96-well plates and incubated at 37 °C in humidified 5% CO2. After 24 h incubation, 100 μL of medium with various product concentrations dissolved in DMSO (final concentration less than 0.5% v/v) were added and the plates were incubated for 72 h at 37 °C. Triplicate assays were performed for each sample. Each plate-well was then microscope-examined for possible precipitate formation before the medium was aspirated from the wells. 100 μL of MTT (3-(4,5-dimethyl-2-thiazolyl)-2,5-diphenyl-2H-tetrazolium bromide) solution (0.5 mg/mL in medium without FBS) were then added to each well. Cells were incubated for 2 h at 37 °C. After this time, the MTT solution was removed and DMSO (100 μL) was added to dissolve the resulting blue formazan crystals. Plates were shaken vigorously (700 rpm) for 10 min. The absorbance was measured at 570 nm with 630 nm as reference wavelength using a BIO-TEK ELx808 Absorbance Microplate Reader (LabX, Midland, ON, Canada). DMSO was used as blank and doxorubicin (purchased from Sigma Aldrich) as positive control. Cell viability was calculated as percentage of control (cells incubated without compound). The 50% cytotoxic concentration (CC50) was determined from the dose–response curve, using TableCurve software 2D v.5.0. CC50 values represent the mean value calculated from three independent experiments.
3.9.2. In Vitro Antiplasmodial Evaluation
In this study, a K1 culture-adapted P. falciparum strain resistant to chloroquine, pyrimethamine, and proguanil was used in an in vitro culture. It was maintained in continuous culture as described previously by Trager and Jensen [20]. Cultures were maintained in fresh A+ human erythrocytes at 2.5% hematocrit in complete medium (RPMI 1640 with 25 mM HEPES, 25 mM NaHCO3, 10% of A+ human serum) at 37 °C under reduced O2 atmosphere (gas mixture 10% O2, 5% CO2, and 85% N2). Parasitemia was maintained daily at between 1 and 3%. The P. falciparum drug susceptibility test was carried out by comparing quantities of DNA in treated and control cultures of parasite in human erythrocytes according to an SYBR Green I fluorescence-based method [21] using a 96-well fluorescence plate reader. Compounds, previously dissolved in DMSO (final concentration less than 0.5% v/v), were incubated in a total assay volume of 200 µL (RPMI, 2% hematocrit and 0.4% parasitemia) for 72 h in a humidified atmosphere (10% O2 and 5% CO2) at 37 °C, in 96-well flat bottom plates. Duplicate assays were performed for each sample. After incubation, plates were frozen at -20 °C for 24 h. Then, the frozen plates were thawed for 1 h at 37 °C. Fifteen μL of each sample were transferred to 96-well flat bottom non-sterile black plates (Greiner Bio-one) already containing 15 μL of the SYBR Green I lysis buffer (2X SYBR Green I, 20 mM Tris base pH 7.5, 20 mM EDTA, 0.008% w/v saponin, 0.08% w/v Triton X-100). Negative control treated by solvents (DMSO or H2O) and positive controls (chloroquine and doxycycline) were added to each set of experiments. Plates were incubated for 15 min at 37 °C and then read on a TECAN Infinite F-200 spectrophotometer with excitation and emission wavelengths at 485 and 535 nm, respectively. The concentrations of compounds required to induce a 50% decrease of parasite growth (EC50 K1) were calculated from three independent experiments.
4. Conclusions
From previously identified antiplasmodial hit C and series D in 4-substituted-2-trichloromethylquinazoline series, new derivatives were synthesized to explore the introduction of various 4-carboxamido or 4-alkoxy substituents. Thus, after screening reaction conditions to obtain carboxamide derivatives, 23 new molecules were obtained, including a dibenzamide. The four new hit molecules afforded are evidence that replacing a sulfonamido linker by a carboxamido one fosters antiplasmodial activity. In the second series, we obtained 19 new molecules bearing various alkoxy chains at position 4. Two new hits were obtained, both bearing a tertiary amine function in the alkoxy chain, like chloroquine. For the more potent molecules in each series, the analogs prepared without the 2-trichloromethyl group showed that this group is essential to activity against P. falciparum. This work supports search for new derivatives centered on the 2-trichloromethylquinazoline scaffold.
Supplementary Materials
Figures S1–S29: 1H-NMR, 13C-NMR and HRMS data spectra of compounds 2, 9, 16, 24, 41, 44, 45, 46, 48 and 49.
Author Contributions
Funding acquisition, N.P.; investigation, D.A., A.G., S.H., and M.P.; methodology, D.A., A.G., S.H., and M.P.; supervision, P.V. (Pierre Verhaeghe), N.A., P.V. (Patrice Vanelle), and N.P.; writing—original draft, N.P.; writing—review and editing, P.V. (Patrice Vanelle) and N.P. All authors have read and agreed to the published version of the manuscript.
Funding
This research work was supported by a public grant of the French National Research Agency (Agence Nationale de la Recherche ANR), project NINTARMAL, grant number: ANR-17-CE11-0017.
Acknowledgments
Aix Marseille Université (AMU) and the Centre National de la Recherche Scientifique (CNRS) are gratefully acknowledged for financial support. The authors thank Gilles Lanzada for his help in organic synthesis and Vincent Remusat for the NMR spectra.
Conflicts of Interest
The authors declare no conflict of interest.
References
- World Health Organization (WHO). World Malaria Report 2019. Available online: https://www.who.int/publications-detail-redirect/world-malaria-report-2019 (accessed on 30 June 2020).
- Mbengue, A.; Bhattacharjee, S.; Pandharkar, T.; Liu, H.; Estiu, G.; Stahelin, R.V.; Rizk, S.S.; Njimoh, D.L.; Ryan, Y.; Chotivanich, K.; et al. Molecular Mechanism of Artemisinin Resistance in Plasmodium falciparum Malaria. Nature 2015, 520, 683–687. [Google Scholar] [CrossRef] [PubMed]
- Müller, O.; Lu, G.Y.; von Seidlein, L. Geographic Expansion of Artemisinin Resistance. J. Travel Med. 2019, 26, taz030. [Google Scholar] [CrossRef] [PubMed]
- Ocan, M.; Akena, D.; Nsobya, S.; Kamya, M.R.; Senono, R.; Kinengyere, A.A.; Obuku, E. K13-Propeller Gene Polymorphisms in Plasmodium falciparum Parasite Population in Malaria Affected Countries: A Systematic Review of Prevalence and Risk Factors. Malar. J. 2019, 18, 60. [Google Scholar] [CrossRef] [PubMed]
- Kobayashi, S.; Ueno, M.; Suzuki, R.; Ishitani, H.; Kim, H.-S.; Wataya, Y. Catalytic Asymmetric Synthesis of Antimalarial Alkaloids Febrifugine and Isofebrifugine and Their Biological Activity. J. Org. Chem. 1999, 64, 6833–6841. [Google Scholar] [CrossRef] [PubMed]
- Gellis, A.; Kieffer, C.; Primas, N.; Lanzada, G.; Giorgi, M.; Verhaeghe, P.; Vanelle, P. A New DMAP-Catalyzed and Microwave-Assisted Approach for Introducing Heteroarylamino Substituents at Position-4 of the Quinazoline Ring. Tetrahedron 2014, 70, 8257–8266. [Google Scholar] [CrossRef]
- Cohen, A.; Suzanne, P.; Lancelot, J.-C.; Verhaeghe, P.; Lesnard, A.; Basmaciyan, L.; Hutter, S.; Laget, M.; Dumètre, A.; Paloque, L.; et al. Discovery of New Thienopyrimidinone Derivatives Displaying Antimalarial Properties toward Both Erythrocytic and Hepatic Stages of Plasmodium. Eur. J. Med. Chem. 2015, 95, 16–28. [Google Scholar] [CrossRef] [PubMed]
- Desroches, J.; Kieffer, C.; Primas, N.; Hutter, S.; Gellis, A.; El-Kashef, H.; Rathelot, P.; Verhaeghe, P.; Azas, N.; Vanelle, P. Discovery of New Hit-Molecules Targeting Plasmodium falciparum through a Global SAR Study of the 4-Substituted-2-Trichloromethylquinazoline Antiplasmodial Scaffold. Eur. J. Med. Chem. 2017, 125, 68–86. [Google Scholar] [CrossRef] [PubMed]
- Verhaeghe, P.; Azas, N.; Gasquet, M.; Hutter, S.; Ducros, C.; Laget, M.; Rault, S.; Rathelot, P.; Vanelle, P. Synthesis and Antiplasmodial Activity of New 4-Aryl-2-Trichloromethylquinazolines. Bioorg. Med. Chem. Lett. 2008, 18, 396–401. [Google Scholar] [CrossRef] [PubMed]
- Castera-Ducros, C.; Azas, N.; Verhaeghe, P.; Hutter, S.; Garrigue, P.; Dumètre, A.; Mbatchi, L.; Laget, M.; Remusat, V.; Sifredi, F.; et al. Targeting the Human Malaria Parasite Plasmodium falciparum: In Vitro Identification of a New Antiplasmodial Hit in 4-Phenoxy-2-Trichloromethylquinazoline Series. Eur. J. Med. Chem. 2011, 46, 4184–4191. [Google Scholar] [CrossRef] [PubMed]
- Gellis, A.; Primas, N.; Hutter, S.; Lanzada, G.; Remusat, V.; Verhaeghe, P.; Vanelle, P.; Azas, N. Looking for New Antiplasmodial Quinazolines: DMAP-Catalyzed Synthesis of 4-Benzyloxy- and 4-Aryloxy-2-Trichloromethylquinazolines and Their in Vitro Evaluation toward Plasmodium falciparum. Eur. J. Med. Chem. 2016, 119, 34–44. [Google Scholar] [CrossRef] [PubMed]
- Primas, N.; Verhaeghe, P.; Cohen, A.; Kieffer, C.; Dumètre, A.; Hutter, S.; Rault, S.; Rathelot, P.; Azas, N.; Vanelle, P. A New Synthetic Route to Original Sulfonamide Derivatives in 2-Trichloromethylquinazoline Series: A Structure-Activity Relationship Study of Antiplasmodial Activity. Molecules 2012, 17, 8105–8117. [Google Scholar] [CrossRef] [PubMed]
- Verhaeghe, P.; Rathelot, P.; Gellis, A.; Rault, S.; Vanelle, P. Highly Efficient Microwave Assisted α-Trichlorination Reaction of α-Methylated Nitrogen Containing Heterocycles. Tetrahedron 2006, 62, 8173–8176. [Google Scholar] [CrossRef]
- Verhaeghe, P.; Azas, N.; Hutter, S.; Castera-Ducros, C.; Laget, M.; Dumètre, A.; Gasquet, M.; Reboul, J.-P.; Rault, S.; Rathelot, P.; et al. Synthesis and in Vitro Antiplasmodial Evaluation of 4-Anilino-2-Trichloromethylquinazolines. Bioorg. Med. Chem. 2009, 17, 4313–4322. [Google Scholar] [CrossRef] [PubMed]
- Verhaeghe, P.; Dumètre, A.; Castera-Ducros, C.; Hutter, S.; Laget, M.; Fersing, C.; Prieri, M.; Yzombard, J.; Sifredi, F.; Rault, S.; et al. 4-Thiophenoxy-2-Trichloromethyquinazolines Display in Vitro Selective Antiplasmodial Activity against the Human Malaria Parasite Plasmodium falciparum. Bioorg. Med. Chem. Lett. 2011, 21, 6003–6006. [Google Scholar] [CrossRef] [PubMed]
- Stumpfe, D.; Bajorath, J. Exploring Activity Cliffs in Medicinal Chemistry. J. Med. Chem. 2012, 55, 2932–2942. [Google Scholar] [CrossRef] [PubMed]
- Caballero-García, G.; Romero-Ortega, M.; Barroso-Flores, J. Reactivity of Electrophilic Chlorine Atoms Due to σ-Holes: A Mechanistic Assessment of the Chemical Reduction of a Trichloromethyl Group by Sulfur Nucleophiles. Phys. Chem. Chem. Phys. 2016, 18, 27300–27307. [Google Scholar] [CrossRef] [PubMed]
- Rosenthal, P.J. Falcipain Cysteine Proteases of Malaria Parasites: An Update. Biochim. Biophys. Acta Proteins Proteom. 2020, 1868, 140362. [Google Scholar] [CrossRef] [PubMed]
- Mosmann, T. Rapid Colorimetric Assay for Cellular Growth and Survival: Application to Proliferation and Cytotoxicity Assays. J. Immunol. Methods 1983, 65, 55–63. [Google Scholar] [CrossRef]
- Trager, W.; Jensen, J.B. Human Malaria Parasites in Continuous Culture. Science 1976, 193, 673–675. [Google Scholar] [CrossRef] [PubMed]
- Guiguemde, W.A.; Shelat, A.A.; Bouck, D.; Duffy, S.; Crowther, G.J.; Davis, P.H.; Smithson, D.C.; Connelly, M.; Clark, J.; Zhu, F.; et al. Chemical Genetics of Plasmodium falciparum. Nature 2010, 465, 311–315. [Google Scholar] [CrossRef] [PubMed]
Sample Availability: Samples of the compounds 2, 9, 16, 24, 41 and 44 are available from the authors. |
© 2020 by the authors. Licensee MDPI, Basel, Switzerland. This article is an open access article distributed under the terms and conditions of the Creative Commons Attribution (CC BY) license (http://creativecommons.org/licenses/by/4.0/).





















































