Reactive and Additive Modifications of Styrenic Polymers with Phosphorus-Containing Compounds and Their Effects on Fire Retardance
Abstract
1. Introduction
2. Combustion and Fire Retardance of Polymeric Materials: General Considerations
- A formation of a protective coating. This involves the formation of a carbonaceous char upon combustion, which then acts as a physical barrier between the polymeric substrate and the surrounding atmosphere. This limits the fuel supply to the system, thus hindering the combustion process. Such coatings also help to prevent the release of flammable volatiles/gases into the atmosphere.
- Cooling. During combustion, this type of FR activates certain endothermic reactions, which absorb the surrounding heat, thereby cooling the system below the temperature that is required to sustain the combustion process.
- Dilution. Flame spread can be hindered by adding certain inert additives, or fillers, to the polymer system. During flaming combustion, these additives liberate inert gases, which then dilute the system, making it less favourable for further burning in the gaseous phase.
3. Thermal Decomposition and Flammability of Styrenic Polymers
- InitiationThe degradation of PS can take place via two routes, either through a random chain scission, or by a chain-end scission (Figure 5). In the case of the random chain scission, two radicals are formed, a primary radical (Rp) and a secondary benzyl radical (Rsb) with a strong benzylic resonance. In the chain-end scission mechanism, one secondary benzyl radical (Rsb) and the resonantly stabilised allyl benzene radical (Ra) are formed, as shown in Figure 5.
- PropagationThe generated free radicals are propagated through hydrogen abstraction and unzipping reactions. There are two types of hydrogen abstraction reactions: intermolecular and intramolecular abstractions.
- TerminationTermination can occur either by recombination or by the disproportionation mechanisms of various active radical fragments.
4. Fire Retardation of Styrenic Polymers with Phosphorous-Containing Compounds
4.1. Additive Modifications of Styrenic Polymers
4.1.1. Ammonium Polyphosphate (P+5)
4.1.2. Aluminium Hypophosphite (P+1)
4.1.3. Phosphorus-Containing Intumescent Formulations (P+5)
4.1.4. Transition Metal-Based Formulations (P+5)
4.1.5. Functionalisation of Inorganic FRs with Organophosphorus Compounds (P+5)
4.2. Reactive Modifications of Styrenic Polymers
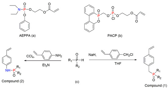
4.2.1. Organic Phosphates and Phosphonates (P+5)
4.2.2. DOPO Derivatives (P+5)
4.2.3. Inorganic FRs Modified with Organophosphorus Compounds (P+5)
5. Conclusions
Author Contributions
Funding
Acknowledgments
Conflicts of Interest
References
- Joseph, P.; Tretsiakova-McNally, S. Reactive Modifications of Some Chain- and Step-Growth Polymers with Phosphorus-Containing Compounds: Effects on Flame Retardance—A Review. Polym. Adv. Technol. 2011, 22, 395–406. [Google Scholar] [CrossRef]
- Cullis, C.F.; Hirschler, M.M. The Combustion of Organic Polymers; Oxford University Press: London, UK, 1981; ISBN 978-0-19-851351-3. [Google Scholar]
- Horrocks, A.; Price, D. Fire Retardant Materials; Woodhead Publishing Ltd.: Cambridge, UK, 2001; ISBN 978-1-85573-419-7. [Google Scholar]
- Ebdon, J.; Hunt, B.; Joseph, P.; Konkel, C. Flame-retarding Thermoplastics: Additives versus Reactive Approach. In Speciality Polymer Additives: Principles and Applications; Al-Malaika, S., Golvoy, A., Wilkie, C.A., Eds.; Blackwell Science: Oxford, UK, 2001; pp. 231–257. [Google Scholar]
- Morgan, A.B. The Future of Flame Retardant Polymers—Unmet Needs and Likely New Approaches. Polym. Rev. 2019, 59, 25–54. [Google Scholar] [CrossRef]
- Joseph, P.; Ebdon, J. Phosphorus-based Flame Retardants. In Fire Retardancy of Polymeric Materials, 2nd ed.; Wilkie, C.A., Morgan, A.B., Eds.; CRC Press Taylor & Francis Group: Boca Raton, FL, USA, 2010; Chapter 5; pp. 107–128. ISBN 978-1-4200-8399-6. [Google Scholar]
- Lynwood, C. Polystyrene: Synthesis, Characteristics, and Applications; Nova Science Publishers: New York, NY, USA, 2014. [Google Scholar]
- Niessner, N.; Gausepohl, H. Polystyrenes and Styrene Copolymers—An Overview. In Modern Styrenic Polymers: Polystyrenes and Styrenic Copolymers; Scheirs, J., Priddy, D.B., Eds.; John Wiley & Sons Ltd.: Chichester, UK, 2003; pp. 25–41. ISBN 978-0-471-49752-3. [Google Scholar]
- Meister, B.J.; Cummings, C.J. Preparation of Styrenic Polymers—Commercial Processes for the Manufacture of Polystyrene. In Modern Styrenic Polymers: Polystyrenes and Styrenic Copolymers; Scheirs, J., Priddy, D.B., Eds.; John Wiley & Sons Ltd.: Chichester, UK, 2003; pp. 45–72. ISBN 978-0-471-49752-3. [Google Scholar]
- Scheirs, J. Historical Overview of Styrenic Polymers. In Modern Styrenic Polymers: Polystyrenes and Styrenic Copolymers; Scheirs, J., Priddy, D.B., Eds.; John Wiley & Sons Ltd.: Chichester, UK, 2003; pp. 3–23. ISBN 978-0-471-49752-3. [Google Scholar]
- Sayadi, A.A.; Tapia, J.V.; Neitzert, T.R.; Clifton, G.C. Effects of Expanded Polystyrene (EPS) Particles on Fire Resistance, Thermal Conductivity and Compressive Strength of Foamed Concrete. Constr. Build. Mater. 2016, 112, 716–724. [Google Scholar] [CrossRef]
- Martin, M.F.; Viola, J.P.; Wuensch, J.R. Preparation, Properties and Applications of High-Impact Polystyrene. In Modern Styrenic Polymers: Polystyrenes and Styrenic Copolymers; Scheirs, J., Priddy, D.B., Eds.; John Wiley & Sons Ltd.: Chichester, UK, 2003; pp. 247–280. ISBN 978-0-471-49752-3. [Google Scholar]
- Hirschler, M.M. Chemical Aspects of Thermal Decomposition of Polymeric Materials. In Fire Retardancy of Polymeric Materials; Grand, A.F., Wilkie, C.A., Eds.; Marcel Dekker Inc.: New York, NY, USA, 2000; pp. 27–75. [Google Scholar]
- Weil, E.D.; Levchik, S.V. Flame Retardants for Polystyrenes in Commercial Use or Development. J. Fire Sci. 2007, 25, 241–265. [Google Scholar] [CrossRef]
- Covaci, A.; Harrad, S.; Abdallah, M.A.E.; Ali, N.; Law, R.J.; Herzke, D.; de Wit, C.A. Novel Brominated Flame Retardants: A Review of Their Analysis, Environmental Fate and Behaviour. Environ. Int. 2011, 37, 532–556. [Google Scholar] [CrossRef]
- Wemken, N.; Drage, D.S.; Cellarius, C.; Cleere, K.; Morrison, J.J.; Daly, S.; Abdallah, M.A.E.; Tlustos, C.; Harrad, S.; Coggins, M.A. Emerging and Legacy Brominated Flame Retardants in the Breast Milk of First Time Irish Mothers Suggest Positive Response to Restrictions on Use of HBCDD and Penta- and Octa-BDE Formulations. Environ. Res. 2020, 180, 108805. [Google Scholar] [CrossRef]
- McGrath, T.J.; Morrison, P.D.; Ball, A.S.; Clarke, B.O. Detection of Novel Brominated Flame Retardants (NBFRs) in the Urban Soils of Melbourne, Australia. Emerg. Contam. 2017, 3, 23–31. [Google Scholar] [CrossRef]
- Ezechiá, M.; Covino, S.; Cajthaml, T. Ecotoxicology and Environmental Safety Ecotoxicity and Biodegradability of New Brominated Flame Retardants: A Review. Ecotoxicol. Environ. Saf. 2014, 110, 153–167. [Google Scholar] [CrossRef]
- Benin, V.; Cui, X.; Morgan, A.B.; Seiwert, K. Synthesis and Flammability Testing of Epoxy Functionalized Phosphorous-Based Flame Retardants. J. Appl. Polym. Sci. 2015, 132, 42296. [Google Scholar] [CrossRef]
- Wang, K.; Morgan, A.B.; Benin, V. Preparation and Studies of New Phosphorus-Containing Diols as Potential Flame Retardants. Fire Mater. 2017, 41, 973–982. [Google Scholar] [CrossRef]
- Joseph, P.; Ebdon, J.R. Recent Developments in Flame-Retarding Thermoplastics and Thermosets. In Fire Retardant Materials; Horrock, A.R., Price, D., Eds.; Woodhead Publishing Ltd.: Cambridge, UK, 2001; pp. 220–263. ISBN 978-1-85573-419-7. [Google Scholar]
- Green, J. A Review of Phosphorus-Containing Flame Retardants. J. Fire Sci. 1992, 10, 470–487. [Google Scholar] [CrossRef]
- Joseph, P.; Tretsiakova-McNally, S. Melt-Flow Behaviours of Thermoplastic Materials Under Fire Conditions: Recent Experimental Studies and Some Theoretical Approaches. Materials 2015, 8, 8793–8803. [Google Scholar] [CrossRef] [PubMed]
- Hull, T.R.; Stec, A.A. Polymers and Fire. In Fire Retardancy of Polymers: New Strategies and Mechanisms; Hull, T.R., Kandola, B.K., Eds.; Royal Society of Chemistry: Cambridge, UK, 2009; pp. 1–18. ISBN 978-0-85404-149-7. [Google Scholar]
- Denecker, C.; Liggat, J.J.; Snape, C.E. Relationship Between the Thermal Degradation Chemistry and Flammability of Commercial Flexible Polyurethane Foams. J. Appl. Polym. Sci. 2006, 100, 3024–3033. [Google Scholar] [CrossRef]
- Byard, B.; Wang, K.; Morgan, A.; Benin, V. New Polyether Diols as Flame Retardants for Polyurethane: Derivatives of Epoxy-Functionalized Phosphonates and Phosphates. Fire Mater. 2018, 42, 3–17. [Google Scholar] [CrossRef]
- Dick, C.; Dominguez-Rosado, E.; Eling, B.; Liggat, J.J.; Lindsay, C.I.; Martin, S.C.; Mohammed, M.H.; Seeley, G.; Snape, C.E. The Flammability of Urethane-modified Polyisocyanurates and Its Relationship to Thermal Degradation Chemistry. Polymer 2001, 42, 913–923. [Google Scholar] [CrossRef]
- Morgan, A.B.; Galaska, M. Microcombustion Calorimetry as a Tool for Screening Flame Retardancy in Epoxy. Polym. Adv. Technol. 2008, 19, 530–546. [Google Scholar] [CrossRef]
- Van Krevelen, D.W.; te Nijenhuis, K. Properties of Polymers: Their Correlation with Chemical Structure; Their Numerical Estimation and Prediction from Additive Group Contributions, 4th ed.; Elsevier: Amsterdam, The Netherlands, 2009; ISBN 978-0-08-054819-7. [Google Scholar]
- Drysdale, D. An Introduction to Fire Dynamics, 3rd ed.; John Wiley and Sons Ltd.: Chichester, UK, 2011; ISBN 978-0-470-31903-1. [Google Scholar]
- Camino, G.; Costa, L. Mechanism of Intumescence in Fire Retardant Polymers. Rev. Inorg. Chem. 1986, 8, 69–100. [Google Scholar] [CrossRef]
- Camino, G. Flame Retardants: Intumescent Systems. In Plastics Additives; Pritchard, G., Ed.; Springer: Dordchet, The Netherlands, 1998; Volume 1, pp. 297–306. ISBN 978-94-010-6477-4. [Google Scholar]
- Price, D.; Horrocks, A. Polymer Degradation and the Matching of FR Chemistry to Degradation. In Fire Retardancy of Polymeric Materials; Wilkie, C.A., Morgan, A.B., Eds.; CRC Press: Boca Raton, FL, USA, 2010; pp. 15–42. ISBN 978-1-4200-8399-6. [Google Scholar]
- Velencoso, M.M.; Battig, A.; Markwart, J.C.; Schartel, B.; Wurm, F.R. Molecular Firefighting—How Modern Phosphorus Chemistry Can Help Solve the Challenge of Flame Retardancy. Angew. Chem. Int. Ed. 2018, 57, 10450–10467. [Google Scholar] [CrossRef]
- Schartel, B. Phosphorus-Based Flame Retardancy Mechanisms—Old Hat or a Starting Point for Future Development? Materials 2010, 3, 4710–4745. [Google Scholar] [CrossRef]
- Faravelli, T.; Pinciroli, M.; Pisano, F.; Bozzano, G.; Dente, M.; Ranzi, E. Thermal Degradation of Polystyrene. J. Anal. Appl. Pyrolysis 2001, 60, 103–121. [Google Scholar] [CrossRef]
- Wang, N.; Tu, R.; Ma, X.; Xie, Q.; Jiang, X. Melting Behavior of Typical Thermoplastic Materials—An Experimental and Chemical Kinetics Study. J. Hazard. Mater. 2013, 262, 9–15. [Google Scholar] [CrossRef] [PubMed]
- Price, D.; Cunliffe, L.K.; Bullett, K.J.; Hull, T.R.; Milnes, G.J.; Ebdon, J.R.; Hunt, B.J.; Joseph, P. Thermal Behaviour of Covalently Bonded Phosphate and Phosphonate Flame Retardant Polystyrene Systems. Polym. Degrad. Stab. 2007, 92, 1101–1114. [Google Scholar] [CrossRef]
- Pfäffli, P.; Zitting, A.; Vainio, H. Thermal Degradation Products of Homopolymer Polystyrene in Air. Scand. J. Work Environ. Health 1978, 4, 22–27. [Google Scholar] [CrossRef] [PubMed]
- Gurman, J.L.; Baier, L.; Levin, B.C. Polystyrenes: A Review of the Literature on the Products of Thermal Decomposition and Toxicity. Fire Mater. 1987, 11, 109–130. [Google Scholar] [CrossRef]
- Ebdon, J.R.; Price, D.; Hunt, B.J.; Joseph, P.; Gao, F.; Milnes, G.J.; Cunliffe, L.K. Flame Retardance in Some Polystyrenes and Poly(methyl methacrylate)s with Covalently Bound Phosphorus-Containing Groups: Initial Screening Experiments and Some Laser Pyrolysis Mechanistic Studies. Polym. Degrad. Stab. 2000, 69, 267–277. [Google Scholar] [CrossRef]
- McNeill, I.C.; Zulfiqar, M.; Kousar, T. A Detailed Investigation of the Products of the Thermal Degradation of Polystyrene. Polym. Degrad. Stab. 1990, 28, 131–151. [Google Scholar] [CrossRef]
- Salmeia, K.A.; Gaan, S. An Overview of Some Recent Advances in DOPO-Derivatives: Chemistry and Flame Retardant Applications. Polym. Degrad. Stab. 2015, 113, 119–134. [Google Scholar] [CrossRef]
- Joseph, P.; Tretsiakova-McNally, S. Combustion Behaviours of Chemically Modified Polyacrylonitrile Polymers Containing Phosphorylamino groups. Polym. Degrad. Stab. 2012, 97, 2531–2535. [Google Scholar] [CrossRef]
- Tretsiakova-McNally, S.; Joseph, P. Thermal and Calorimetric Evaluations of Polyacrylonitrile Containing Covalently-Bound Phosphonate Groups. Polymers 2018, 10, 131. [Google Scholar] [CrossRef]
- David, G.; Negrell-Guirao, C.; Iftene, F.; Boutevin, B.; Chougrani, K. Recent Progress on Phosphonate Vinyl Monomers and Polymers Therefore Obtained by Radical (Co)polymerization. Polym. Chem. 2012, 3, 265–274. [Google Scholar] [CrossRef]
- Shi, Y.; Xing, W.; Wang, B.; Hong, N.; Zhu, Y.; Wang, C.; Gui, Z.; Yuen, R.K.K.; Hu, Y. Synergistic Effect of Graphitic Carbon Nitride and Ammonium Polyphosphate for Enhanced Thermal and Flame Retardant Properties of Polystyrene. Mater. Chem. Phys. 2016, 177, 283–292. [Google Scholar] [CrossRef]
- Hu, W.; Zhan, J.; Hong, N.; Hull, T.R.; Stec, A.A.; Song, L.; Wang, J.; Hu, Y. Flame Retardant Polystyrene Copolymers: Preparation, Thermal Properties, and Fire Toxicities. Polym. Adv. Technol. 2014, 25, 631–637. [Google Scholar] [CrossRef]
- Wang, G.; Bai, S. Synergistic Effect of Expandable Graphite and Melamine Phosphate on Flame-Retardant Polystyrene. J. Appl. Polym. Sci. 2017, 134, 45474. [Google Scholar] [CrossRef]
- Hou, Y.; Hu, W.; Zhou, X.; Gui, Z.; Hu, Y. Vertically Aligned Nickel 2-Methylimidazole Metal-Organic Framework Fabricated from Graphene Oxides for Enhancing Fire Safety of Polystyrene. Ind. Eng. Chem. Res. 2017, 56, 8778–8786. [Google Scholar] [CrossRef]
- Zhou, K.; Yang, W.; Tang, G.; Wang, B.; Jiang, S.; Hu, Y. Comparative Study on the Thermal Stability, Flame Retardancy and Smoke Suppression Properties of Polystyrene Composites Containing Molybdenum Disulfide and Graphene. RSC Adv. 2013, 3, 25030–25040. [Google Scholar] [CrossRef]
- Rane, A.V.; Kanny, K.; Abitha, V.K.; Thomas, S. Methods for Synthesis of Nanoparticles and Fabrication of Nanocomposites. In Synthesis of Inorganic Nanomaterials: Advanced and Key Technologies; Bhagyaraj, S.M., Oluwafemi, O.S., Kalarikkal, N., Thomas, S., Eds.; Woodhead Publishing: Duxford, UK, 2018; pp. 121–139. ISBN 978-0-08-101975-7. [Google Scholar]
- Wang, J.; Wang, D.; Liu, Y.; Ge, X.; Wang, Y. Polyamide-Enhanced Flame Retardancy of Ammonium Polyphosphate on Epoxy Resin. J. Appl. Polym. Sci. 2008, 108, 2644–2653. [Google Scholar] [CrossRef]
- Bourbigot, S.; Le Bras, M.; Dabrowski, F.; Gilman, J.W.; Kashiwagi, T. PA-6 Clay Nanocomposite Hybrid as Char Forming Agent in Intumescent Formulations. Fire Mater. 2000, 24, 201–208. [Google Scholar] [CrossRef]
- Wang, J.; Liu, Y.; Zhao, H.; Liu, J.; Wang, D.; Song, Y.; Wang, Y. Metal Compound-Enhanced Flame Retardancy of Intumescent Epoxy Resins Containing Ammonium Polyphosphate. Polym. Degrad. Stab. 2009, 94, 625–631. [Google Scholar] [CrossRef]
- Nyambo, C.; Kandare, E.; Wang, D.; Wilkie, C.A. Flame-Retarded Polystyrene: Investigating Chemical Interactions Between Ammonium Polyphosphate and MgAl Layered Double Hydroxide. Polym. Degrad. Stab. 2008, 93, 1656–1663. [Google Scholar] [CrossRef]
- Lu, C.; Cao, Q.; Hu, X.; Liu, C.; Huang, X. Influence of Morphology and Ammonium Polyphosphate Dispersion on the Flame Retardancy of Polystyrene/Nylon-6 Blends. Fire Mater. 2014, 38, 765–776. [Google Scholar] [CrossRef]
- Suresh, K.; Kumar, M.; Pugazhenthi, G.; Uppaluri, R. Enhanced Mechanical and Thermal Properties of Polystyrene Nanocomposites Prepared Using Organo-Functionalized Ni-Al Layered Double Hydroxide via Melt Intercalation Technique. J. Sci.: Adv. Mater. Devices 2017, 2, 245–254. [Google Scholar] [CrossRef]
- Suresh, K.; Kumar, R.V.; Pugazhenthi, G. Processing and Characterization of Polystyrene Nanocomposites Based on Co-Al Layered Double Hydroxide. J. Sci.: Adv. Mater. Devices 2016, 1, 351–361. [Google Scholar] [CrossRef][Green Version]
- Qiu, L.; Chen, W.; Qu, B. Structural Characterisation and Thermal Properties of Exfoliated Polystyrene/ZnAl Layered Double Hydroxide Nanocomposites Prepared via Solution Intercalation. Polym. Degrad. Stab. 2005, 87, 433–440. [Google Scholar] [CrossRef]
- Newman, S.P.; Jones, W. Synthesis, Characterization and Applications of Layered Double Hydroxides Containing Organic Guests. New J. Chem. 1998, 22, 105–115. [Google Scholar] [CrossRef]
- Qian, X.; Zheng, K.; Lu, L.; Wang, X.; Wang, H. A Novel Flame Retardant Containing Calixarene and DOPO Structures: Preparation and Its Application on the Fire Safety of Polystyrene. Polym. Adv. Technol. 2018, 29, 2715–2723. [Google Scholar] [CrossRef]
- Lu, C.; Gao, X.P.; Yang, D.; Cao, Q.Q.; Huang, X.H.; Liu, J.C.; Zhang, Y.Q. Flame Retardancy of Polystyrene/Nylon-6 Blends with Dispersion of Clay at the Interface. Polym. Degrad. Stab. 2014, 107, 10–20. [Google Scholar] [CrossRef]
- Ding, L.; Jia, Z.; Sun, H.; Pan, Y.; Zhao, J. Estimation of Mechanical Performance, Thermal Stability and Flame Retardancy of High-impact Polystyrene/Surface-Modified APP/Carboxylic-Functionalized MWCNTs Nanocomposites. Polymers 2019, 11, 615. [Google Scholar] [CrossRef]
- Cinausero, N.; Azema, N.; Lopez-Cuesta, J.M.; Cochez, M.; Ferriol, M. Synergistic Effect Between Hydrophobic Oxide Nanoparticles and Ammonium Polyphosphate on Fire Properties of Poly(methyl methacrylate) and Polystyrene. Polym. Degrad. Stab. 2011, 96, 1445–1454. [Google Scholar] [CrossRef]
- Yan, Y.W.; Huang, J.Q.; Guan, Y.H.; Shang, K.; Jian, R.K.; Wang, Y.Z. Flame Retardance and Thermal Degradation Mechanism of Polystyrene Modified with Aluminum Hypophosphite. Polym. Degrad. Stab. 2014, 99, 35–42. [Google Scholar] [CrossRef]
- Zhu, Z.M.; Rao, W.H.; Kang, A.H.; Liao, W.; Wang, Y.Z. Highly Effective Flame Retarded Polystyrene by Synergistic Effects Between Expandable Graphite and Aluminum Hypophosphite. Polym. Degrad. Stab. 2018, 154, 1–9. [Google Scholar] [CrossRef]
- Li, M.E.; Yan, Y.W.; Zhao, H.B.; Jian, R.K.; Wang, Y.Z. A Facile and Efficient Flame-retardant and Smoke-Suppressant Resin Coating for Expanded Polystyrene Foams. Compos. Part B 2020, 185, 107797. [Google Scholar] [CrossRef]
- Zhu, Y.; Shi, Y.; Huang, Z.Q.; Duan, L.; Tai, Q.; Hu, Y. Novel Graphite-Like Carbon Nitride/Organic Aluminum Diethylhypophosphites Nanohybrid: Preparation and Enhancement on Thermal Stability and Flame Retardancy of Polystyrene. Compos. Part A 2017, 99, 149–156. [Google Scholar] [CrossRef]
- Shi, Y.; Yu, B.; Duan, L.; Gui, Z.; Wang, B.; Hu, Y.; Yuen, R.K.K. Graphitic Carbon Nitride/Phosphorus-Rich Aluminum Phosphinates Hybrids as Smoke Suppressants and Flame Retardants for Polystyrene. J. Hazard. Mater. 2017, 332, 87–96. [Google Scholar] [CrossRef] [PubMed]
- Hou, Y.; Hu, W.; Hu, Y. Preparation of Layered Organic-Inorganic Aluminum Phosphonate for Enhancing Fire Safety of Polystyrene. Mater. Chem. Phys. 2017, 196, 109–117. [Google Scholar] [CrossRef]
- Camino, G.; Costa, L.; Martinasso, G. Intumescent Fire-Retardant Systems. Polym. Degrad. Stab. 1989, 23, 359–376. [Google Scholar] [CrossRef]
- Bourbigot, S.; Le Bras, M.; Duquesne, S.; Rochery, M. Recent Advances for Intumescent Polymers. Macromol. Mater. Eng. 2004, 89, 499–511. [Google Scholar] [CrossRef]
- Lu, H.; Wilkie, C.A. Study on Intumescent Flame Retarded Polystyrene Composites with Improved Flame Retardancy. Polym. Degrad. Stab. 2010, 95, 2388–2395. [Google Scholar] [CrossRef]
- Yan, Y.W.; Chen, L.; Jian, R.K.; Kong, S.; Wang, Y.Z. Intumescence: An effect Way to Flame Retardance and Smoke Suppression for Polystryene. Polym. Degrad. Stab. 2012, 97, 1423–1431. [Google Scholar] [CrossRef]
- Dong, M.; Gu, X.; Zhang, S.; Li, H.; Jiang, P. Effects of Acidic Sites in HA Zeolite on the Fire Performance of Polystyrene Composite. Ind. Eng. Chem. Res. 2013, 52, 9145–9154. [Google Scholar] [CrossRef]
- Xia, Y.; Mao, Z.; Jin, F.; Guan, Y.; Zheng, A. Synthesis of 1-Hydroxy Ethylidene-1,1-diphosphonic Ammonium and the Promise of This Ammonium Salt as an Intumescent Flame Retardant in Polystyrene. Polym. Degrad. Stab. 2014, 102, 186–194. [Google Scholar] [CrossRef]
- Wang, J.; Yuan, B.; Cai, W.; Qiu, S.; Tai, Q.; Yang, H.; Hu, Y. Facile Design of Transition Metal Based Organophosphorus Hybrids Towards the Flame Retardancy Reinforcement and Toxic Effluent Elimination of Polystyrene. Mater. Chem. Phys. 2018, 214, 209–220. [Google Scholar] [CrossRef]
- Wang, J.; Yuan, B.; Mu, X.; Feng, X.; Tai, Q.; Hu, Y. Two-Dimensional Metal Phenylphosphonates as Novel Flame Retardants for Polystyrene. Ind. Eng. Chem. Res. 2017, 56, 7192–7206. [Google Scholar] [CrossRef]
- Yang, W.; Xing, W.; Yang, W.; Hu, Q.; Si, J.; Lu, H.; Yang, B.; Song, L.; Hu, Y.; Yuen, R.K.K. Functionalized Carbon Nanotubes with Phosphorus- and Nitrogen-Containing Agents: Effective Reinforcer for Thermal, Mechanical, and Flame-retardant Properties of Polystyrene Nanocomposites. ACS Appl. Mater. Interfaces 2016, 8, 26266–26274. [Google Scholar] [CrossRef]
- Durkin, D.P.; Gallagher, M.J.; Frank, B.P.; Knowlton, E.D.; Trulove, P.C.; Fairbrother, D.H.; Fox, D.M. Phosphorus-Functionalized Multi-wall Carbon Nanotubes as Flame-retardant Additives for Polystyrene and Poly(methyl methacrylate). J. Therm. Anal. Calorim. 2017, 130, 735–753. [Google Scholar] [CrossRef]
- Han, Y.; Wang, T.; Gao, X.; Li, T.; Zhang, Q. Preparation of Thermally Reduced Graphene Oxide and the Influence of Its Reduction Temperature on the Thermal, Mechanical, Flame Retardant Performances of PS Nanocomposites. Compos. Part A 2016, 84, 336–343. [Google Scholar] [CrossRef]
- Shi, Y.; Liu, C.; Fu, L.; Yang, F.; Lv, Y.; Yu, B. Hierarchical Assembly of Polystyrene/Graphitic Carbon Nitride/Reduced Graphene Oxide Nanocomposites Toward High Fire Safety. Compos. Part B 2019, 179, 107541. [Google Scholar] [CrossRef]
- Qiu, S.; Hu, W.; Yu, B.; Yuan, B.; Zhu, Y.; Jiang, S.; Wang, B.; Song, L.; Hu, Y. Effect of Functionalized Graphene Oxide with Organophosphorus Oligomer on the Thermal and Mechanical Properties and Fire Safety of Polystyrene. Ind. Eng. Chem. Res. 2015, 54, 3309–3319. [Google Scholar] [CrossRef]
- Wang, Y.; Qing, Y.; Sun, Y.; Zhu, M.; Dong, S. A Study on Preparation of Modified Graphene Oxide and Flame Retardancy of Polystyrene Composite Microspheres. Des. Monomers Polym. 2020, 23, 1–15. [Google Scholar] [CrossRef]
- Li, L.; Shao, X.; Zhao, Z.; Liu, X.; Jiang, L.; Huang, K.; Zhao, S. Synergistic Fire Hazard Effect of a Multifunctional Flame Retardant in Building Insulation Expandable Polystyrene Through a Simple Surface-coating Method. ACS Omega 2020, 5, 799–807. [Google Scholar] [CrossRef]
- Wang, G.; Li, W.; Bai, S.; Wang, Q. Synergistic Effects of Flame Retardants on the Flammability and Foamability of PS Foams Prepared by Supercritical Carbon Dioxide Foaming. ACS Omega 2019, 4, 9306–9315. [Google Scholar] [CrossRef]
- Chigwada, G.; Wilkie, C.A. Synergy Between Conventional Phosphorus Fire Retardants and Organically-Modified Clays Can Lead to Fire Retardancy of Styrenics. Polym. Degrad. Stab. 2003, 81, 551–557. [Google Scholar] [CrossRef]
- Zheng, X.; Wilkie, C.A. Flame Retardancy of Polystyrene Nanocomposites Based on an Oligomeric Organically-Modified Clay Containing Phosphate. Polym. Degrad. Stab. 2003, 81, 539–550. [Google Scholar] [CrossRef]
- Gaan, S.; Sun, G.; Hutches, K.; Engelhard, M.H. Effect of Nitrogen Additives on Flame Retardant Action of Tributyl Phosphate: Phosphorus-Nitrogen Synergism. Polym. Degrad. Stab. 2008, 93, 99–108. [Google Scholar] [CrossRef]
- Horacek, H.; Grabner, R. Advantages of Flame Retardants Based on Nitrogen Compounds. Polym. Degrad. Stab. 1996, 54, 205–215. [Google Scholar] [CrossRef]
- Tai, Q.; Song, L.; Lv, X.; Lu, H.; Hu, Y.; Yuen, R.K. Flame-Retarded Polystyrene with Phosphorus- and Nitrogen-containing Oligomer: Preparation and Thermal Properties. J. Appl. Polym. Sci. 2012, 123, 770–778. [Google Scholar] [CrossRef]
- Wang, G.; Chen, X.; Liu, P.; Bai, S. Flame-Retardant Mechanism of Expandable Polystyrene Foam with a Macromolecular Nitrogen–Phosphorus Intumescent Flame Retardant. J. Appl. Polym. Sci. 2017, 134, 1–9. [Google Scholar] [CrossRef]
- Nguyen, C.; Kim, J. Synthesis of a Novel Nitrogen-Phosphorus Flame Retardant Based on Phosphoramidate and Its Application to PC, PBT, EVA, and ABS. Macromol. Res. 2008, 16, 620–625. [Google Scholar] [CrossRef]
- Zhu, Z.M.; Xu, Y.J.; Liao, W.; Xu, S.; Wang, Y.Z. Highly Flame Retardant Expanded Polystyrene Foams from Phosphorus-Nitrogen-Silicon Synergistic Adhesives. Ind. Eng. Chem. Res. 2017, 56, 4649–4658. [Google Scholar] [CrossRef]
- Chen, X.; Yu, J.; He, M.; Guo, S. Effects of Zinc Borate and Microcapsulated Red Phosphorus on Mechanical Properties and Flame Retardancy of Polypropylene/Magnesium Hydroxide Composites. J. Polym. Res. 2009, 16, 357–362. [Google Scholar] [CrossRef]
- Tai, Q.; Song, L.; Feng, H.; Tao, Y.; Yuen, R.K.K.; Hu, Y. Investigation of a Combination of Novel Polyphosphoramide and Boron-containing Compounds on the Thermal and Flame-Retardant Properties of Polystyrene. J. Polym. Res. 2012, 19. [Google Scholar] [CrossRef]
- Beach, M.W.; Rondan, N.G.; Froese, R.D.; Gerhart, B.B.; Green, J.G.; Stobby, B.G.; Shmakov, A.G.; Shvartsberg, V.M.; Korobeinichev, O.P. Studies of Degradation Enhancement of Polystyrene by Flame Retardant Additives. Polym. Degrad. Stab. 2008, 93, 1664–1673. [Google Scholar] [CrossRef]
- Hoang, D.; Kim, J. Flame Retardation Performances of Novel Aryl Cyclic Phosphorus Flame Retardants When Applied to Highly Flammable Polymers. Macromol. Res. 2013, 21, 184–193. [Google Scholar] [CrossRef]
- Ji, W.; Yao, Y.; Guo, J.; Fei, B.; Gu, X.; Li, H.; Sun, J.; Zhang, S. Toward an Understanding of How Red Phosphorus and Expandable Graphite Enhance the Fire Resistance of Expandable Polystyrene Foams. J. Appl. Polym. Sci. 2020, 137, 49045. [Google Scholar] [CrossRef]
- Liu, J.; Li, H.; Chang, H.; He, Y.; Xu, A.; Pan, B. Structure and Thermal Property of Intumescent Char Produced by Flame-Retardant High-Impact Polystyrene/Expandable Graphite/Microencapsulated Red Phosphorus Composite. Fire Mater. 2019, 43, 971–980. [Google Scholar] [CrossRef]
- Liu, J.; Zhang, Y.; Peng, S.; Pan, B.; Lu, C.; Liu, H.; Ma, J. Fire Property and Charring Behavior of High Impact Polystyrene Containing Expandable Graphite and Microencapsulated Red Phosphorus. Polym. Degrad. Stab. 2015, 121, 261–270. [Google Scholar] [CrossRef]
- Liu, J.; Peng, S.; Zhang, Y.; Chang, H.; Yu, Z.; Pan, B.; Lu, C.; Ma, J.; Niu, Q. Influence of Microencapsulated Red Phosphorus on the Flame Retardancy of High Impact Polystyrene/Magnesium Hydroxide Composite and its Mode of Action. Polym. Degrad. Stab. 2015, 121, 208–221. [Google Scholar] [CrossRef]
- Yu, Z.; Liu, J.; Zhang, Y.; Luo, J.; Lu, C.; Pan, B. Thermo-Oxidative Degradation Behavior and Fire Performance of High Impact Polystyrene/Magnesium Hydroxide/Microencapsulated Red Phosphorus Composite With an Alternating Layered Structure. Polym. Degrad. Stab. 2015, 115, 54–62. [Google Scholar] [CrossRef]
- Braun, U.; Schartel, B. Flame Retardant Mechanisms of Red Phosphorus and Magnesium Hydroxide in High Impact Polystyrene. Macromol. Chem. Phys. 2004, 205, 2185–2196. [Google Scholar] [CrossRef]
- Braun, U.; Schartel, B. Effect of Red Phosphorus and Melamine Polyphosphate on the Fire Behavior of HIPS. J. Fire Sci. 2005, 23, 5–30. [Google Scholar] [CrossRef]
- Cui, J.; Zhu, C.; He, M.; Ke, Z.; Liu, Y.; Tai, Q.; Xiao, X.; Hu, Y. Preparation and Thermal Properties of a Novel Core-Shell Structure Flame-Retardant Copolymer. Polym. Adv. Technol. 2018, 29, 541–550. [Google Scholar] [CrossRef]
- Howell, B.A.; Daniel, Y.G. Incorporation of Comonomer Exo-5-(diphenylphosphato)Isosorbide-2-endo-acrylate to Generate Flame Retardant Poly(styrene). Polymers 2019, 11, 2038. [Google Scholar] [CrossRef] [PubMed]
- Reghunadhan Nair, C.P.; Clouet, G.; Guilbert, Y. Flame and Thermal Resistance of Phosphorus-Functionalized Poly(methyl methacrylate) and Polystyrene. Polym. Degrad. Stab. 1989, 26, 305–331. [Google Scholar] [CrossRef]
- Canadell, J.; Hunt, B.J.; Cook, A.G.; Mantecón, A.; Cádiz, V. Flame Retardance and Shrinkage Reduction of Polystyrene Modified with Acrylate-Containing Phosphorus and Crosslinkable Spiro-Orthoester Moieties. Polym. Degrad. Stab. 2007, 92, 1482–1490. [Google Scholar] [CrossRef]
- Sag, J.; Kukla, P.; Goedderz, D.; Roch, H.; Kabasci, S.; Döring, M.; Schönberger, F. Synthesis of Novel Polymeric Acrylate-Based Flame Retardants Containing Two Phosphorus Groups in Different Chemical Environments and Their Influence on the Flammability of Poly(Lactic Acid). Polymers 2020, 12, 778. [Google Scholar] [CrossRef] [PubMed]
- Kundu, C.K.; Yu, B.; Gangireddy, C.S.R.; Mu, X.; Wang, B.; Wang, X.; Song, L.; Hu, Y. UV Grafting of a DOPO-Based Phosphoramidate Monomer onto Polyamide 66 Fabrics for Flame Retardant Treatment. Ind. Eng. Chem. Res. 2017, 56, 1376–1384. [Google Scholar] [CrossRef]
- Sun, Y.; Wang, Y.; Liu, L.; Xiao, T. The Preparation, Thermal Properties, and Fire Property of a Phosphorus-Containing Flame-Retardant Styrene Copolymer. Materials 2020, 13, 127. [Google Scholar] [CrossRef]
- Yan, L.; Zheng, Y.B.; Liang, X.; Ma, Q. Copolymerization of 1-Oxo-2,6,7-trioxa-1-phorsphabicyclo [2,2,2]oct-4-yl Methyl Acrylate and (10-Oxo-10-hydro-9-oxa-10-phosphaphenanthrene-10-yl) Methyl Acrylate with Styrene and Their Thermal Degradation Characteristics. J. Appl. Polym. Sci. 2010, 115, 1032–1038. [Google Scholar] [CrossRef]
- Tretsiakova-McNally, S.; Joseph, P. Pyrolysis Combustion Flow Calorimetry Studies on Some Reactively Modified Polymers. Polymers 2015, 7, 453–467. [Google Scholar] [CrossRef]
- Markwart, J.C.; Battig, A.; Zimmermann, L.; Wagner, M.; Fischer, J.; Schartel, B.; Wurm, F.R. Systematically Controlled Decomposition Mechanism in Phosphorus Flame Retardants by Precise Molecular Architecture: P–O vs P–N. ACS Appl. Polym. Mater. 2019, 1, 1118–1128. [Google Scholar] [CrossRef]
- Schartel, B.; Perret, B.; Dittrich, B.; Ciesielski, M.; Krämer, J.; Müller, P.; Altstädt, V.; Zang, L.; Döring, M. Flame Retardancy of Polymers: The Role of Specific Reactions in the Condensed Phase. Macromol. Mater. Eng. 2016, 301, 9–35. [Google Scholar] [CrossRef]
- Wendels, S.; Chaves, T.; Bonnet, M.; Salmeia, K.S.; Gaan, S. Recent Developments in Organophosphorus Flame Retardants Containing P-C Bond and Their Applications. Materials 2017, 10, 784. [Google Scholar] [CrossRef] [PubMed]
- Tai, Q.; Song, L.; Hu, Y.; Yuen, R.K.K.; Feng, H.; Tao, Y. Novel Styrene Polymers Functionalized With Phosphorus-Nitrogen Containing Molecules: Synthesis and Properties. Mater. Chem. Phys. 2012, 134, 163–169. [Google Scholar] [CrossRef]
- Tai, Q.; Chen, L.; Song, L.; Nie, S.; Hu, Y.; Yuen, R.K.K. Preparation and Thermal Properties of a Novel Flame Retardant Copolymer. Polym. Degrad. Stab. 2010, 95, 830–836. [Google Scholar] [CrossRef]
- Qian, X.; Song, L.; Hu, Y.; Yuen, R.K.K.; Chen, L.; Guo, Y.; Hong, N.; Jiang, S. Combustion and Thermal Degradation Mechanism of a Novel Intumescent Flame Retardant for Epoxy Acrylate Containing Phosphorus and Nitrogen. Ind. Eng. Chem. Res. 2011, 50, 1881–1892. [Google Scholar] [CrossRef]
- Dumitrascu, A.; Howell, B.A. Flame Retardant Polymeric Materials Achieved by Incorporation of Styrene Monomers Containing Both Nitrogen and Phosphorus. Polym. Degrad. Stab. 2012, 97, 2611–2618. [Google Scholar] [CrossRef]
- Dai, K.; Sun, S.; Xu, W.; Song, Y.; Deng, Z.; Qian, X. Covalently-Functionalized Graphene Oxide via Introduction of Bifunctional Phosphorus-Containing Molecules as an Effective Flame Retardant for Polystyrene. RSC Adv. 2018, 8, 24993–25000. [Google Scholar] [CrossRef]
- Hu, W.; Yu, B.; Jiang, S.D.; Song, L.; Hu, Y.; Wang, B. Hyper-Branched Polymer Grafting Graphene Oxide as an Effective Flame Retardant and Smoke Suppressant for Polystyrene. J. Hazard. Mater. 2015, 300, 58–66. [Google Scholar] [CrossRef]
- Tai, Q.; Kan, Y.; Chen, L.; Xing, W.; Hu, Y.; Song, L. Morphologies and Thermal Properties of Flame-Retardant Polystyrene/α-Zirconium Phosphate Nanocomposites. React. Funct. Polym. 2010, 70, 340–345. [Google Scholar] [CrossRef]
- Hobbs, C. Recent Advances in Bio-Based Flame Retardant Additives for Synthetic Polymeric Materials. Polymers 2019, 11, 224. [Google Scholar] [CrossRef]
- Attiaa, N.F.; Afifi, H.A.; Hassan, M.A. Synergistic Study of Carbon Nanotubes, Rice Husk Ash and Flame Retardant Materials on the Flammability of Polystyrene Nanocomposites. Mater. Today: Proc. 2015, 2, 3998–4005. [Google Scholar] [CrossRef]
- Jia, W.; Wanga, D.; Guo, J.; Fei, B.; Gu, X.; Li, H.; Sun, J.; Zhang, S. The Preparation of Starch Derivatives Reacted with Urea-Phosphoric Acid and Effects on Fire Performance of Expandable Polystyrene Foams. Carbohydr. Polym. 2020, 233, 115841. [Google Scholar] [CrossRef] [PubMed]
- Zabihi, O.; Ahmadi, M.; Li, Q.; Ferdowsi, M.R.G.; Mahmoodi, R.; Kalali, E.N.; Wang, D.-Y.; Naebe, M. A Sustainable Approach to Scalable Production of a Graphene Based Flame Retardant Using Waste Fish Deoxyribonucleic Acid. J. Clean. Prod. 2020, 247, 119150. [Google Scholar] [CrossRef]
- Dumitrascu, A.; Howell, B.A. Flame-Retarding Vinyl Polymers Using Phosphorus-Functionalized Styrene Monomers. Polym. Degrad. Stab. 2011, 96, 342–349. [Google Scholar] [CrossRef]





















| Copolymer | UL-94 Rating | Dripping | LOI | 1 CR (wt%) (N2/Air) |
|---|---|---|---|---|
| St/PEPAAA | V-0 | No | 27.0 | 36.0/34.6 |
| St/DOPOAA | V-2 | Yes | 24.2 | 6.2/19.3 |
| Polymer | Polymerisation Technique | Ti (°C) (N2/Air) | Tmax (°C) (N2/Air) | PHRR’ (W/g) | PHRR” (kW/m2) | CR (wt%) (N2/Air) | LOI (vol%) |
|---|---|---|---|---|---|---|---|
| Neat PS | Solution | 392/321 | 418/377 | 751 | - | 0.25/1.50 | 18.5 |
| St/AC2NP2 | Solution | 385/363 | 423/398 | 480 | - | 2.05/9.77 | 21.0 |
| Neat PS | Emulsion | 403/319 | 428/381 | - | 1283 | 1.94/0.33 | 18.0 |
| St/AC2NP2 | Emulsion | 418/321 | 447/413 | - | 824 | 5.89/6.14 | 22.0 |
© 2020 by the authors. Licensee MDPI, Basel, Switzerland. This article is an open access article distributed under the terms and conditions of the Creative Commons Attribution (CC BY) license (http://creativecommons.org/licenses/by/4.0/).
Share and Cite
Baby, A.; Tretsiakova-McNally, S.; Arun, M.; Joseph, P.; Zhang, J. Reactive and Additive Modifications of Styrenic Polymers with Phosphorus-Containing Compounds and Their Effects on Fire Retardance. Molecules 2020, 25, 3779. https://doi.org/10.3390/molecules25173779
Baby A, Tretsiakova-McNally S, Arun M, Joseph P, Zhang J. Reactive and Additive Modifications of Styrenic Polymers with Phosphorus-Containing Compounds and Their Effects on Fire Retardance. Molecules. 2020; 25(17):3779. https://doi.org/10.3390/molecules25173779
Chicago/Turabian StyleBaby, Aloshy, Svetlana Tretsiakova-McNally, Malavika Arun, Paul Joseph, and Jianping Zhang. 2020. "Reactive and Additive Modifications of Styrenic Polymers with Phosphorus-Containing Compounds and Their Effects on Fire Retardance" Molecules 25, no. 17: 3779. https://doi.org/10.3390/molecules25173779
APA StyleBaby, A., Tretsiakova-McNally, S., Arun, M., Joseph, P., & Zhang, J. (2020). Reactive and Additive Modifications of Styrenic Polymers with Phosphorus-Containing Compounds and Their Effects on Fire Retardance. Molecules, 25(17), 3779. https://doi.org/10.3390/molecules25173779

