Selective Arylation of 2-Bromo-4-chlorophenyl-2-bromobutanoate via a Pd-Catalyzed Suzuki Cross-Coupling Reaction and Its Electronic and Non-Linear Optical (NLO) Properties via DFT Studies
Abstract
1. Introduction
2. Results and Discussion
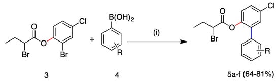
2.1. Chemistry
2.2. Frontier Molecular Orbital Analysis
2.3. Reactivity Descriptor Parameters
2.3.1. Ionization Potential, Electron Affinity, and Chemical Hardness (Ƞ)
2.3.2. Electronic Chemical Potential (μ)
2.3.3. Electrophilicity Index (Ꙍ)
2.3.4. Nucleophilicity (N)
2.4. Molecular Electrostatic Potential (MEP)
2.5. Non-linear Optical (NLO) Properties
Non-linear Refractive Index (n2)
3. Materials and Methods
3.1. Procedure for Synthesis of 2-Bromo-4-chlorophenyl-2-bromobutyrate (3)
3.2. General Procedure for Synthesis of (5a–f)
3.3. Computational Details
4. Conclusions
Author Contributions
Funding
Acknowledgments
Conflicts of Interest
References
- Tawata, S.; Taira, S.; Kobamoto, N.; Zhu, J.; Ishihara, M.; Toyama, S. Synthesis and antifungal activity of cinnamic acid esters. Biosci. Biotechnol. Biochem. 1996, 60, 909–910. [Google Scholar] [CrossRef] [PubMed]
- Harini, S.T.; Kumar, H.V.; Rangaswamy, J.; Naik, N. Synthesis, antioxidant and antimicrobial activity of novel vanillin derived piperidin-4-one oxime esters: Preponderant role of the phenyl ester substituents on the piperidin-4-one oxime core. Bioorg. Med. Chem. Lett. 2012, 22, 7588–7592. [Google Scholar] [CrossRef] [PubMed]
- Rainsford, K.D.; Whitehouse, M.W. Anti-inflammatory/anti-pyretic salicylic acid esters with low gastric ulcerogenic activity. Agents Act. 1980, 10, 451–456. [Google Scholar] [CrossRef] [PubMed]
- Reddy, Y.S.; Kaki, S.S.; Rao, B.B.; Jain, N.; Vijayalakshm, P. Study on Synthesis, Characterization and Antiproliferative Activity of Novel Diisopropylphenyl Esters of Selected Fatty Acids. J. Oleo Sci. 2016, 65, 81–89. [Google Scholar] [CrossRef][Green Version]
- Tandon, V.K.; Yadav, D.B.; Singh, R.V.; Chaturvedi, A.K.; Shukla, P.K. Synthesis and biological evaluation of novel (l)-α-amino acid methyl ester, heteroalkyl, and aryl substituted 1,4-naphtho quinone derivatives as antifungal and antibacterial agents. Bioorg. Med. Chem. Lett. 2005, 15, 5324–5328. [Google Scholar] [CrossRef] [PubMed]
- Rottig, A.; Wenning, L.; Broker, D.; Steinbuchel, A. Fatty acid alkyl esters: Perspectives for production of alternative biofuels. Appl. Microbiol. Biotechnol. 2010, 85, 1713–1733. [Google Scholar] [CrossRef] [PubMed]
- Giam, C.S.; Chan, H.S.; Neff, G.S.; Atlas, E.L. Phthalate ester plasticizers: A new class of marine pollutant. Science 1978, 199, 419–421. [Google Scholar] [CrossRef]
- Keng, P.S.; Basri, M.; Zakaria, M.R.S.; Rahman, M.A.; Ariff, A.B.; Rahman, R.A.; Salleh, A.B. Newly synthesized palm esters for cosmetics industry. Ind. Crops Prod. 2009, 29, 37–44. [Google Scholar] [CrossRef]
- Suarez, G.S.; Massa, N.E.; Jubert, A.H.; Jios, J.L.; Autino, J.C.; Romanelli, G.P. Spectroscopic and theoretical study of 2-acetylphenyl-2-naphthoate. Spectrochim. Acta Part A 2009, 71, 1989–1998. [Google Scholar] [CrossRef]
- Yamamura, K.; Ono, S.; Tabushi, I. New liquid crystals having 4, 4′-biphenanthryl core. Tetrahedron Lett. 1988, 29, 1797–1798. [Google Scholar] [CrossRef]
- Hohnholz, D.; Schweikart, K.H.; Subramanian, L.R.; Wedel, A.; Wischert, W.; Hanack, M. Synthesis and studies on luminescent biphenyl compounds. Synth. Met. 2000, 110, 141–152. [Google Scholar] [CrossRef]
- Bakheit, A.H.H.; Abd-Elgalil, A.A.; Mustafa, B.; Haque, A.; Wani, T.A. Telmisartan. In Profiles of Drug Substances, Excipients and Related Methodology; Academic Press: San Diego, CA, USA, 2015. [Google Scholar]
- Aronson, J. Meyler’s Side Effects of Drugs, 16th ed.; Elsevier: Amsterdam, The Netherlands, 2016. [Google Scholar]
- Mutahir, S.; Jonczyk, J.; Bajda, M.; Khan, I.U.; Khan, M.A.; Ullah, N.; Ashraf, M.; Riaz, S.; Hussain, S.; Yar, M. Novel biphenyl bis-sulfonamides as acetyl and butyrylcholinesterase inhibitors: Synthesis, biological evaluation and molecular modeling studies. Bioorg. Chem. 2016, 64, 13–20. [Google Scholar] [CrossRef] [PubMed]
- Ding, Y.; Mao, L.; Xu, D.; Xie, H.; Yang, L.; Xu, H.; Yang, L.; Xu, H.; Geng, W.; Gao, Y.; et al. C-Aryl glucoside SGLT2 inhibitors containing a biphenyl motif as potential anti-diabetic agents. Bioorgan. Med. Chem. Lett. 2015, 25, 2744–2748. [Google Scholar] [CrossRef] [PubMed]
- Cincinelli, R.; Zwick, V.; Musso, L.; Zuco, V.; De Cesare, M.; Zunino, F.; Simoes-Pires, C.; Nussiro, A.; Giannini, G.; Cuendet, M.; et al. Biphenyl-4-yl-acrylohydroxamic acids: Identification of a novel indolyl-substituted HDAC inhibitor with antitumor activity. Eur. J. Med. Chem. 2016, 112, 99–105. [Google Scholar] [CrossRef] [PubMed]
- Kong, X.W.; Zhang, Y.H.; Dai, L.; Ji, H.; Lai, Y.S.; Peng, S.X. Synthesis and biological evaluation ofnitric oxide-releasing sixalkoxyl biphenyl derivatives as anticancer agents. Chin. Chem. Lett. 2008, 19, 149–152. [Google Scholar] [CrossRef]
- Dong, J.; Pan, X.; Wang, J.; Su, P.; Zhang, L.; Wei, F.; Zhang, J. Synthesis and biological evaluation of novel aromatic-heterocyclic biphenyls as potent anti-leukemia agents. Eur. J. Med. Chem. 2015, 101, 780–789. [Google Scholar] [CrossRef]
- Brudeli, B.; Andressen, K.W.; Moltzau, L.R.; Nilsen, N.O.; Levy, F.O.; Klaveness, J. Acidic biphenyl derivatives: Synthesis and biological activity of a new series of potent 5-HT4 receptor antagonists. Bioorg. Med. Chem. 2013, 21, 7134–7145. [Google Scholar] [CrossRef]
- Gargano, E.M.; Perspicace, E.; Carotti, A.; Marchais-Oberwinkler, S.; Hartmann, R.W. Addressing cytotoxicity of 1,4-biphenyl amide derivatives: Discovery of new potent and selective 17β-hydroxysteroid dehydrogenase type 2 inhibitors. Bioorg. Med. Chem. Lett. 2016, 26, 21–24. [Google Scholar] [CrossRef]
- Rizwan, K.; Zubair, M.; Rasool, N.; Ali, S.; Zahoor, A.F.; Rana, U.A.; Jaafar, H.Z. Regioselective synthesis of 2-(bromomethyl)-5-aryl-thiophene derivatives via palladium (0) catalyzed suzuki cross-coupling reactions: As antithrombotic and haemolytically active molecules. Chem. Cent. J. 2014, 8, 1–8. [Google Scholar] [CrossRef]
- Del Rio, N.; Baceiredo, A.; Saffon-Merceron, N.; Hashizume, D.; Lutters, D.; Müller, T.; Kato, T. A Stable Heterocyclic Amino (phosphanylidene-σ4-phosphorane) Germylene. Angew. Chem. Int. Ed. 2016, 55, 4753–4758. [Google Scholar] [CrossRef]
- Gull, Y.; Rasool, N.; Noreen, M.; Nasim, F.U.H.; Yaqoob, A.; Kousar, S.; Islam, M. Efficient synthesis of 2-amino-6-arylbenzothiazoles via Pd (0) Suzuki cross coupling reactions: Potent urease enzyme inhibition and nitric oxide scavenging activities of the products. Molecules 2013, 18, 8845–8857. [Google Scholar] [CrossRef] [PubMed]
- Nayak, P.K.; Periasamy, N. Calculation of electron affinity, ionization potential, transport gap, optical band gap and exciton binding energy of organic solids using ‘solvation’ model and DFT. Org. Electron. 2009, 10, 1396–1400. [Google Scholar] [CrossRef]
- Arshad, M.N.; Asiri, A.M.; Alamry, K.A.; Mahmood, T.; Gilani, M.A.; Ayub, K.; Birinji, A.S. Synthesis, crystal structure, spectroscopic and density functional theory (DFT) study of N-[3-anthracen-9-yl-1-(4-bromophenyl)-allylidene]-N-benzenesulfonohydrazine. Spectrochim. Acta Part A 2015, 142, 364–374. [Google Scholar] [CrossRef] [PubMed]
- Arshad, M.N.; Bibi, A.; Mahmood, T.; Asiri, A.M.; Ayub, K. Synthesis, crystal structures and spectroscopic properties of triazine-based hydrazone derivatives; A comparative experimental-theoretical study. Molecules 2015, 20, 5851–5874. [Google Scholar] [CrossRef] [PubMed]
- Mebi, C.A. DFT study on structure, electronic properties, and reactivity of cis-isomers of [(NC5H4-S) 2 Fe (CO)2]. J. Chem. Sci. 2011, 123, 727–731. [Google Scholar] [CrossRef]
- Parr, R.G.; Szentpaly, L.V.; Liu, S. Electrophilicity index. J. Am. Chem. Soc. 1999, 121, 1922–1924. [Google Scholar] [CrossRef]
- Ahmed, M.N.; Yasin, K.A.; Ayub, K.; Mahmood, T.; Tahir, M.N.; Khan, B.A.; Hafeez, M.; Ahmed, M. Click one pot synthesis, spectral analyses, crystal structures, DFT studies and brine shrimp cytotoxicity assay of two newly synthesized 1,4,5-trisubstituted 1,2,3-triazoles. J. Mol. Struct. 2016, 1106, 430–439. [Google Scholar] [CrossRef]
- Marder, S.R. Organic nonlinear optical materials: Where we have been and where we are going. Chem. Commun. 2006, 2, 131–134. [Google Scholar] [CrossRef]
- Champagne, B.; Plaquet, A.; Pozzo, J.L.; Rodriguez, V.; Castet, F. Nonlinear Optical Molecular Switches as Selective Cation Sensors. J. Am. Chem. Soc. 2012, 134, 8101–8103. [Google Scholar] [CrossRef]
- Tarazkar, M.; Romanov, D.A.; Levis, R.J. Theoretical study of second-order hyperpolarizability for nitrogen radical cation. J. Phys. B At. Mol. Opt. Phys. 2015, 48, 094019. [Google Scholar] [CrossRef]
- Frisch, M.; Trucks, G.; Schlegel, H.; Scuseria, G.; Robb, M.; Cheeseman, J.; Scalmani, G.; Barone, V.; Mennucci, B.; Petersson, G. Gaussian 09, Rev. B. 01; Gaussian Inc.: Wallingford, CT, USA, 2010. [Google Scholar]
- Dennington, R.; Todd, K.; John, M. Gauss View, Version 5; Semichem Inc.: Shawnee Mission, KS, USA, 2009. [Google Scholar]
Sample Availability: Samples of the compounds are not available from the authors. |





| Sr. No. | Phenyl Boronic Acid | Products | Solvent/H2O (4:1) | Yield % |
|---|---|---|---|---|
| 5a | 3-Cl-4-F-C6H4 | ![]() | 1,4-dioxane | 64 |
| 5b | 3-(MeCO2)-C6H4 | ![]() | 1,4-dioxane | 76 |
| 5c | 4-(MeS)-C6H4 | ![]() | 1,4-dioxane | 79 |
| 5d | 3,4-Cl2-C6H4 | ![]() | 1,4-dioxane | 68 |
| 5e | 4-MeO-C6H4 | ![]() | 1,4-dioxane | 81 |
| 5f | 3-Cl-C6H4 | ![]() | 1,4-dioxane | 73 |
| Compounds | EHOMOs | ELUMOs | GH-L |
|---|---|---|---|
| 5a | −7.06 | −1.93 | 5.14 |
| 5b | −7.03 | −1.97 | 5.06 |
| 5c | −6.06 | −1.79 | 4.27 |
| 5d | −7.07 | −1.98 | 5.09 |
| 5e | −6.30 | −1.73 | 4.57 |
| 5f | −7.06 | −1.87 | 5.19 |
| Compounds | Ionization Potential (I) | Electron Affinity (EA) | Chemical Hardness (Ƞ) | Electronic Chemical Potential (μ) | Electrophilicity Index (Ꙍ) | Nucleophilicity (N) |
|---|---|---|---|---|---|---|
| 5a | 7.06 | 1.93 | 2.57 | −4.50 | 3.94 | 5.14 |
| 5b | 7.03 | 1.97 | 2.53 | −4.50 | 4.00 | 5.06 |
| 5c | 6.06 | 1.79 | 2.13 | −3.92 | 3.61 | 4.27 |
| 5d | 7.07 | 1.98 | 2.55 | −4.52 | 4.02 | 5.09 |
| 5e | 6.30 | 1.73 | 2.29 | −4.01 | 3.52 | 4.57 |
| 5f | 7.06 | 1.87 | 2.60 | −4.46 | 3.83 | 5.19 |
| Compounds | −ve Potential | +ve Potential |
|---|---|---|
| 5a | −4.77 × 10−2 | 4.77 × 10−2 |
| 5b | −5.01 × 10−2 | 5.01 × 10−2 |
| 5c | −5.13 × 10−2 | 5.13 × 10−2 |
| 5d | −4.75 × 10−2 | 4.75 × 10−2 |
| 5e | −5.22 × 10−2 | 5.22 × 10−2 |
| 5f | −4.95 × 10−2 | 4.95 × 10−2 |
| Compounds | CAM-B3LYP | LC-BLYP | ||
|---|---|---|---|---|
| αo | βo | αo | βo | |
| 5a | 236 | 515.43 | 229 | 436.87 |
| 5b | 252 | 284.34 | 244 | 223.17 |
| 5c | 264 | 1373.76 | 255 | 1010.54 |
| 5d | 250 | 539.03 | 243 | 445.12 |
| 5e | 244 | 954.47 | 237 | 776.21 |
| 5f | 235 | 218.51 | 228 | 173.78 |
| Compounds | Frequency | γ(0; 0, 0, 0) | γ(−ω; ω, ω, 0) | γ(−2ω; ω, ω, 0) | n2 |
|---|---|---|---|---|---|
| 5a | 0 | 48741.5 | |||
| 532 | 64320.8 | 199529 | 8.63 × 10−18 | ||
| 1064 | 51988.4 | 59645.3 | 4.43 × 10−18 | ||
| 5b | 0 | 54142.2 | |||
| 532 | 73258.1 | 293432 | 1.16 × 10−17 | ||
| 1064 | 58215.3 | 67505.4 | 4.96 × 10−18 | ||
| 5c | 0 | 86291.9 | |||
| 532 | 141361 | 34064301 | 9.46 × 10−16 | ||
| 1064 | 95936.8 | 122589 | 8.41 × 10−18 | ||
| 5d | 0 | 57794.5 | |||
| 532 | 78682.2 | 314130 | 1.24 × 10−17 | ||
| 1064 | 61860 | 72208.8 | 5.3 × 10−18 | ||
| 5e | 0 | 63232 | |||
| 532 | 92924.8 | 1013010.1 | 3.23 × 10−17 | ||
| 1064 | 69085.6 | 83451.7 | 5.96 × 10−18 | ||
| 5f | 0 | 49285.2 | |||
| 532 | 64440.9 | 176408 | 8.01 × 10−18 | ||
| 1064 | 52669.5 | 60014.7 | 4.47 × 10−18 |
© 2020 by the authors. Licensee MDPI, Basel, Switzerland. This article is an open access article distributed under the terms and conditions of the Creative Commons Attribution (CC BY) license (http://creativecommons.org/licenses/by/4.0/).
Share and Cite
Nazeer, U.; Rasool, N.; Mujahid, A.; Mansha, A.; Zubair, M.; Kosar, N.; Mahmood, T.; Raza Shah, A.; Shah, S.A.A.; Zakaria, Z.A.; et al. Selective Arylation of 2-Bromo-4-chlorophenyl-2-bromobutanoate via a Pd-Catalyzed Suzuki Cross-Coupling Reaction and Its Electronic and Non-Linear Optical (NLO) Properties via DFT Studies. Molecules 2020, 25, 3521. https://doi.org/10.3390/molecules25153521
Nazeer U, Rasool N, Mujahid A, Mansha A, Zubair M, Kosar N, Mahmood T, Raza Shah A, Shah SAA, Zakaria ZA, et al. Selective Arylation of 2-Bromo-4-chlorophenyl-2-bromobutanoate via a Pd-Catalyzed Suzuki Cross-Coupling Reaction and Its Electronic and Non-Linear Optical (NLO) Properties via DFT Studies. Molecules. 2020; 25(15):3521. https://doi.org/10.3390/molecules25153521
Chicago/Turabian StyleNazeer, Usman, Nasir Rasool, Aqsa Mujahid, Asim Mansha, Muhammad Zubair, Naveen Kosar, Tariq Mahmood, Ali Raza Shah, Syed Adnan Ali Shah, Zainul Amiruddin Zakaria, and et al. 2020. "Selective Arylation of 2-Bromo-4-chlorophenyl-2-bromobutanoate via a Pd-Catalyzed Suzuki Cross-Coupling Reaction and Its Electronic and Non-Linear Optical (NLO) Properties via DFT Studies" Molecules 25, no. 15: 3521. https://doi.org/10.3390/molecules25153521
APA StyleNazeer, U., Rasool, N., Mujahid, A., Mansha, A., Zubair, M., Kosar, N., Mahmood, T., Raza Shah, A., Shah, S. A. A., Zakaria, Z. A., & Akhtar, M. N. (2020). Selective Arylation of 2-Bromo-4-chlorophenyl-2-bromobutanoate via a Pd-Catalyzed Suzuki Cross-Coupling Reaction and Its Electronic and Non-Linear Optical (NLO) Properties via DFT Studies. Molecules, 25(15), 3521. https://doi.org/10.3390/molecules25153521







