Next Article in Journal
Influence of Low-Pressure RF Plasma Treatment on Aramid Yarns Properties
Next Article in Special Issue
C4-Alkylamination of C4-Halo-1H-1-tritylpyrazoles Using Pd(dba)2 or CuI
Previous Article in Journal
Novel Anticancer NHC*-Gold(I) Complexes Inspired by Lepidiline A
Previous Article in Special Issue
Pyrazolyl-Ureas as Interesting Scaffold in Medicinal Chemistry
 
 
Font Type:
Arial Georgia Verdana
Font Size:
Aa Aa Aa
Line Spacing:
Column Width:
Background:
Review

Recent Advances in Synthesis and Properties of Nitrated-Pyrazoles Based Energetic Compounds

1
MOE Key Laboratory of Material Physics and Chemistry under Extraordinary, School of Chemistry and Chemical Engineering, Northwestern Polytechnical University, Xi’an 710072, China
2
Xi’an Modern Chemistry Institute, Xi’an 710065, China
*
Authors to whom correspondence should be addressed.
These authors equally contributed to the work.
Molecules 2020, 25(15), 3475; https://doi.org/10.3390/molecules25153475
Submission received: 30 June 2020 / Revised: 18 July 2020 / Accepted: 23 July 2020 / Published: 30 July 2020

Abstract

Nitrated-pyrazole-based energetic compounds have attracted wide publicity in the field of energetic materials (EMs) due to their high heat of formation, high density, tailored thermal stability, and detonation performance. Many nitrated-pyrazole-based energetic compounds have been developed to meet the increasing demands of high power, low sensitivity, and eco-friendly environment, and they have good applications in explosives, propellants, and pyrotechnics. Continuous and growing efforts have been committed to promote the rapid development of nitrated-pyrazole-based EMs in the last decade, especially through large amounts of Chinese research. Some of the ultimate aims of nitrated-pyrazole-based materials are to develop potential candidates of castable explosives, explore novel insensitive high energy materials, search for low cost synthesis strategies, high efficiency, and green environmental protection, and further widen the applications of EMs. This review article aims to present the recent processes in the synthesis and physical and explosive performances of the nitrated-pyrazole-based Ems, including monopyrazoles with nitro, bispyrazoles with nitro, nitropyrazolo[4,3-c]pyrazoles, and their derivatives, and to comb the development trend of these compounds. This review intends to prompt fresh concepts for designing prominent high-performance nitropyrazole-based EMs.

1. Introduction

Energetic materials (EMs), including explosives, propellants, and pyrotechnics, are a significant class of compounds containing large amounts of stored chemical energy, which can liberate heat and exert high pressure under some stimuli, like impact, shock, or thermal effect [1,2,3,4,5,6,7,8]. With the development of science and technology, more and more attention has been paid to the high energy density materials (HEDMs) used for energy and as explosives or propellants [9]. Thus, the representatives of traditional HEDMs are 2,4,6-trinitrotoluene (TNT) [10,11], 1,3,5,7-tetranitro-1,3,5,7-tetrazocine (HMX) [12,13], 1,3,5-trinitro-1,3,5-triazine (RDX) [14], triaminotrinitrobenzene (TATB) [15], and 2,4,6,8,10,12-hexanitro-2,4,6,8,10,12-hexaazaisowurtzitane (CL-20) [16]. The key properties for HEDMs include density (ρ), melting point (Tm), decomposition temperature (Td), heat of formation (HOF), calculated detonation velocity (D, calculated propagation velocity of detonation wave in explosive grain), calculated detonation pressure (P, calculated pressure on the front of detonation wave), oxygen balance (OB, residual amount of oxygen when explosive explodes to produce CO2 and H2O, OB = 16[c-(2a + b/2)]/M for molecule CaHbOcNd), specific impulse (Isp, impulse produced by the unit quantity of propellant), content of nitrogen (N), impact sensitivity (IS, sensitivity of explosive to impact), friction sensitivity (FS, sensitivity of explosive to friction), electrostatic discharge sensitivity (ESD), and sensitivity of explosive to electrostatic discharge, etc. There are several standards a novel HEDM should meet if it would be applied widely, including insensitivity toward mechanical stimuli (heat, impact, fraction, and electrostatic discharge) to ensure the safety of operation, high performance for various purposes, less toxicity, and producing less hazardous waste after detonation [17,18,19]. Among them, conflict between the increasing energetic level and decreasing sensitivity has become more and more severe. Therefore, the exploration and development of high energy density compounds with low sensitivity have been a priority. A significant amount of effort has been made to resolve this problem, such as recrystallization of Ems [20], preparing polymer bonded explosives (PBXs) [21,22], forming energetic cocrystals [23,24,25], and synthesizing novel energetic compounds [26,27,28,29]. In contrast with other technologies, synthesizing new HEDMs may be the most direct and effective method.
Nitrogen heterocyclic energetic materials that have large numbers of NN bonds and CN bonds with high energy can form the large π bond similar to benzene, which endows this kind of compounds low sensitivity, high positive heat of formation, and good thermal stability. In addition, the low percentage of C and N in these compounds always lead to high density and good oxygen balance. The decomposition of these compounds can result in the N2, which is environmentally friendly [30]. There is a big difference between nitrogen-rich energetic compounds and traditional explosives, namely the energy of nitrogen heterocyclic compounds is released from the high positive heat of formation rather than the oxidation of carbon backbone like traditional explosive (such as TNT and TATB) [19,31]. Therefore, nitrogen heterocyclic materials have garnered large interest in the research areas of HEDMs.
As an outstanding representative of nitrogen heterocyclic compounds, nitropyrazoles and their derivatives are aromatic stable substances with π electrons in their structures. The system is easy to carry out electrophilic substitution reactions such as nitration, sulfonation and halogenation, etc. [32]. These compounds are characterized by oxidation resistance, heat resistance and hydrolysis resistance [19], and are widely applied in civil fields, such as medicine, pesticide, photosensitive materials, and fine chemicals [33,34,35]. Due to the compactness, stability, and modifiability of the molecular structure of pyrazoles, nitration and derivatization of pyrazoles are relatively easy. The ring tension in the structures of nitropyrazoles and their derivatives is large. The density and nitrogen content of nitropyrazoles increase with the presence of nitro groups on the ring, and the oxygen balance is closer to the ideal value, which can improve the detonation performance of the target compounds. Many energetic compounds based on nitropyrazoles have been synthesized successively, which have good applications in highly energy insensitive explosives, propellants, pyrotechnic agents, and other fields [2,3,19,36,37].
In the past decade, a lot of papers on the synthesis and properties of nitrated pyrazoles have been published, including many Chinese references which are not accessible for most Western researchers due to language barriers. This review article presents the recent processes in synthesis, physical and explosive performances of the nitropyrazole-based Ems, including monopyrazoles with nitro, bispyrazoles with nitro, nitropyrazolopyrazoles and their derivatives, and to comb the development trend of these compounds. The aim of this review is to provide readers with an overview of the relationship between structures and properties and guide the future design of novel HEDMs. This review also intends to prompt fresh concepts for designing prominent high-performances nitropyrazole-based EMs.

2. Nitrated-Monopyrazole Based Compounds

In this section, the sum of nitro group substituted on carbon position of pyrazole ring in mononitropyrazoles, binitropyrazoles, and trinitropyrazoles are one, two, and three, respectively. For example, mononitropyrazole represents that only one C position in pyrazole ring is substituted by the nitro group.

2.1. Mononitropyrazoles and Their Derivatives

Mononitropyrazoles and their derivatives due to their energetic property are favored by people in many fields, such as medicine, pesticide, energetic material and so on. Among them, 3-nitropyrazole (3-NP), 4-nitropyrazole (4-NP), 1-methyl-3-nitropyrazole (3-MNP), and 1-methyl-4-nitropyrazole (4MNP) are typical examples, which are commonly used as energetic materials and intermediates for further products of other energetic materials because they contain only one nitro group and have relatively low energy. The syntheses of these compounds is often facile and can meet the development requirements of green chemistry.
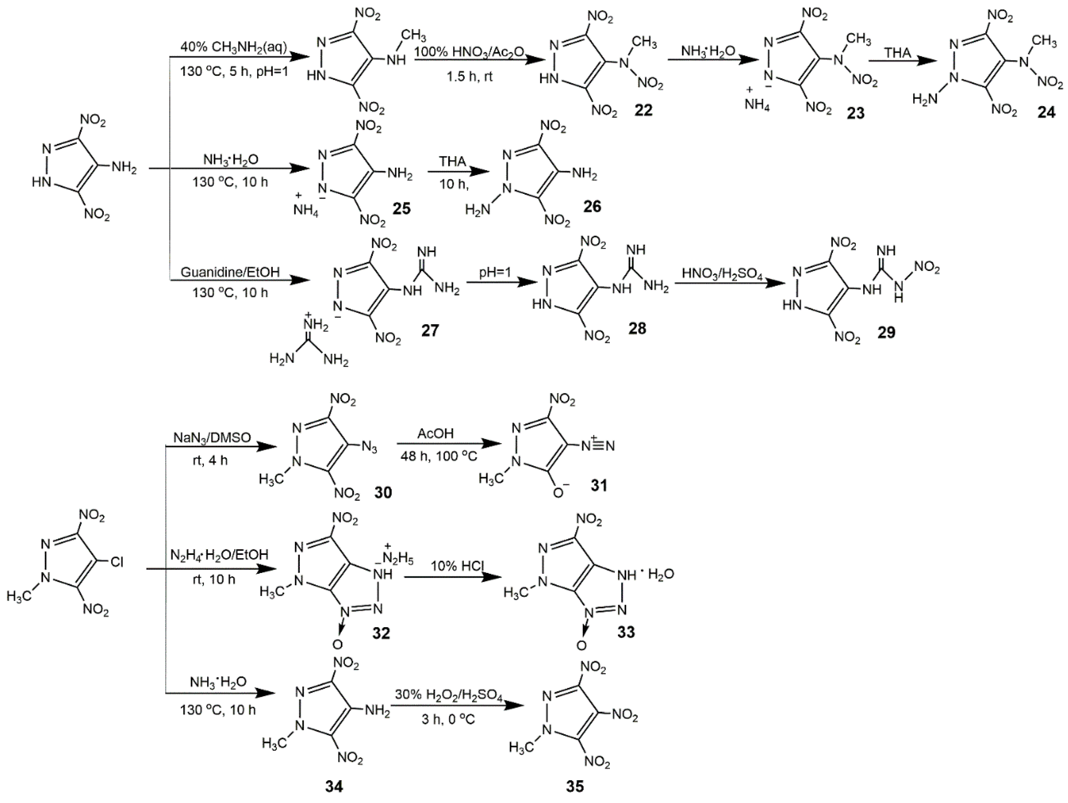
As a typical heterocyclic compound, 3-NP is an important intermediate in the synthesis of pyrazole-based compounds such as 3,4-dinitropyrazole (DNP) and other new explosives [36,38]. In 1970, Habraken and co-authors [39] firstly reported synthesis of 3-NP by dissolving N-nitropyrazole in anisole for 10 h at 145 °C. Later, Verbruggen et al. [40] synthesized 3-NP from diazomethane and chloronitroethylene by one-step cyclization, while this reaction was high riskful due to the extremely vivacious raw materials. Nowadays, the main synthesis method of 3-NP was a two-step reaction, that is, nitration of pyrazole to obtain N-nitropyrazole and then rearrangement of N-nitropyrazole in organic solvent to acquire 3-NP (Figure 1, Scheme A). The nitration agents could be HNO3/H2SO4 or HNO3/Ac2O/HAc, and the organic solvent for rearrangement could be anisole, n-octanol and benzonitrile [41,42,43]. Among these solvents, benzonitrile was always preferred to be the rearrangement medium since anisole could require an excessively long time and n-octanol would lead to poor-quality product. In 2014, Zhao et al. [44] reported one convenient and green approach to synthesizing the 3-NP. They chose the oxone as the nitration agents of 3-aminopyrazole and water as the solvent (Figure 1, Scheme B). This approach owns some advantages over the previous approach: simple operation, safety, economical reagents, the use of water as solvent, and mild conditions. As shown in Figure 1, 3-MNP is one of the most important derivatives of 3-NP. Its synthesis is mainly accomplished by nitrated 1-methylpyrazole with various nitration agents. Katritzky et al. [45] added 1-methylpyrazole to trifluoroacetic anhydride for 1 h in ice bath, and then concentrated nitric acid was added in the solution. After stirring for 12 h, and evaporation of trifluoroacetic anhydride and nitric acid, the 3-MNP could be obtained (Figure 1, Scheme C). In 2013, Ravi et al. [46] proposed that 1-methylpyrazole could reacted with silicon oxide-bismuth nitrate or silicon dioxide-sulfuric acid-bismuth nitrate in tetrahydrofuran (THF) to produce 3-MNP (Figure 1, Scheme D), this facile route is a synthetic method of low toxicity, high efficiency, and green environmental protection. In addition, metal salts of 3-NP expand its derivatives. Li et al. [42] prepared the metal Cu(II) salt and basic Pb salt of 3-NP, by dissolving 3-NP in NaOH solution and reacting with the CuSO4·5H2O solution and Pb(NO3)2 solution, respectively (Figure 1, Scheme E).
4-NP is an isomer of 3-NP with melting point of 163–165 °C, density of 1.52 g/cm3, detonation velocity of 6.68 km/s and detonation pressure of 18.81 Gpa [47]. Similar to 3-NP, 4-NP can be obtained by nitro group rearrangement. As Rao et al. [48] reported N-nitropyrazole could be rearranged to 4-NP in sulfuric acid at room temperature (Figure 2, Scheme A). Ravi et al. [49] synthesized 4-NP in THF with 4-iodopyrazole as raw material, fuming HNO3 as nitration agents, octahedral zeolite or silica as solid catalyst (Figure 2, Scheme B). Li et al. [50] reported one-pot two steps route that pyrazole could be nitrated to 4-NP by fuming HNO3 (90%)/fuming H2SO4 (20%) (Figure 2, Scheme C). 4-MNP is another important derivative of nitropyrazole with the similar performance to 3-MNP (Table 1). In 2015, Corte et al. [51] reported that 4-MNP could be synthesized by adding sodium hydride and iodomethane into the THF solution of 4-NP at room temperature for overnight. Ioannidis et al. [52] improved the method by adding sodium hydride and iodomethane to the acetonitrile solution of 4-NP under nitrogen protection for 16 h. However, it is dangerous to handle sodium hydride due to its high chemical reaction activity which can easily cause combustion and explosion, limiting the further application of this method. Han et al. [53] simplified the above method and replaced sodium hydride with potassium carbonate. They added potassium carbonate and iodomethane to the N,N-dimethylformamide (DMF) solution of 4-NP at 25 °C for 14 h. This method not only reduces the risk in the process, but improves the reaction yield (80–98%).
Table 1 shows the energetic performances of the four typical monopyrazoles. We can see that these energetic performances of pyrazole-based compounds are not satisfying, especially the detonation properties and the nitrogen content. So, these nitropyrazoles are always used as intermediates for the preparation of novel high-performance energetic materials. Furthermore, it is also necessary to explore new high performances energetic materials based on mononitropyrazoles. For example, Deng et al. [54] prepared 5-methyl-4-nitro-1H-pyrazol-3(2H)-one (MNPO) and its energetic salts, showing better performances than these above mononitropyrazoles.
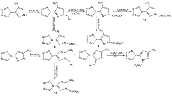
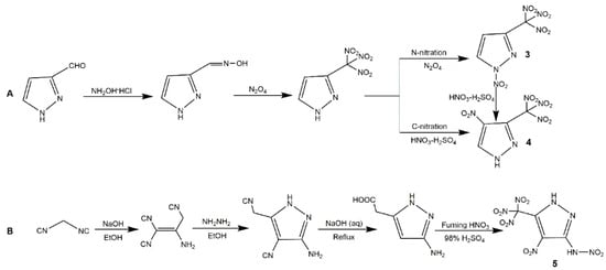
The introduction of a polynitromethyl group into a heterocyclic compound is interesting for energetic field, because it can increase the oxygen content and improve the energetic properties of energetic material. Generally, the incorporation of a polynitromethyl group (trinitromethyl and dinitromethyl) to nitropyrazoles is essentially equivalent to introducing at least one -NO2 (since one -NO2 is used for the complete oxidation of the C atom in -CH3) [56]. For the trinitromethyl group, it can be incorporated into N position or C position of nitropyrazoles with different energetic properties. The N-H bond of nitropyrazole is relatively active which could provide a reaction site for functionalization easily. In 2014, Yin et al. [57] obtained the carbon and nitrogen functionalization of nitropyrazole with N-trinitroethylamino group (Figure 3, Scheme A). Thereby, 4-NP reacted with NH2OSO3H acid and K2CO3 to accomplish amination, and after functionalization of amino group, the 1-amino-4-nitropyrazole underwent the Mannich reaction with trinitroethanol to get 4-nitro-N-(2,2,2-trinitroethyl)-1H-pyrazol-1-amine (1). In 2015, Dalinger et al. [58] prepared and characterized a nitropyrazole bearing a trinitromethyl moiety at N atom, 4-nitro-1-(trinitromethyl)-pyrazoles (2). They synthesized the target compound by a destructive nitration of 4-nitro-1-acetonpyrazole with a mixture of concentrated HNO3 and H2SO4 (Figure 3, Scheme B). Although the compound 1 was successfully synthesized, the yield was very low (28%) and this process was comparatively too time-consuming (15 d). To explore new high-performance EM, several C-trinitromethyl-substituted mononitropyrazoles have been reported. In 2018, Zhang and co-authors [56] first synthesized the C-trinitromethyl-substituted nitropyrazole (Figure 4, Scheme A). The reaction of 3-pyrazolecarbaldehyde oxime with N2O4 produced the 3-trinitromethylpyrazole and 1-nitro-3-trinitromethylpyrazole (3). They found that the increasing N2O4 concentration could improve the proportion of 3 and 3-trinitromethylpyrazole reacting with N2O4 also form 3, indicating N2O4 enable nitrate the N position of pyrazole. After the introduction of trinitromethyl group on C position, the 4-nitro-3-trinitromethylpyrazole (4) could be obtained with fuming nitric acid and oleum by -NO2 rearrangement of 3 or nitration of 3-trinitromethylpyrazole. In 2019, Xiong et al. [59] further designed 3-Trinitromethyl-4-nitro-5-nitramine-1H-pyrazole (5). It was notable that the yield of 5 could improve with the concentration of HNO3 increasing in the last nitration step of Scheme B (Figure 4). For the dinitromethyl group, Semenov et al. [60] prepared the 4-nitro-1-dinitromethylpyrazole by nitrating 4-nitro-1-acetonylpyrazole using H2SO4/H2O mixture, and while the yield was low and it was not investigated as energetic material. In 2019, Pang et al. [61] introduced the dinitromethyl group into nitropyrazole and developed the salt, hydrazinium 5-nitro-3-dinitromethyl-2H-pyrazole (6), according to Scheme A in Figure 5. In 2020, Cheng et al. [62] synthesized 3-nitro-4-dinitromethyl-2H-pyrazole (7) and its salts, further exploring the application of dinitromethyl group in mononitropyrazolle. Table 2 shows the energetic properties of the polynitromethyl-substituted mononitropyrazoles and salts compared with TNT and RDX. All the density of the derivatives of mononitropyrazole was higher than TNT and close to that of RDX, especially 7a showed the highest density. 3 and 5 owned the desirable detonation properties, while exhibited poor safety. It was notable that C-trinitromethyl-substituted derivatives owned higher heat of formation than those of N-trinitromethyl-substituted derivatives, and the derivatives with dinitromethyl group owned lower heat of formation than derivatives with trinitromethyl group. Most of the neutral derivatives hold low decomposition temperatures owing to the instability of the polynitromethyl moiety. Compound 4 had the highest decomposition temperature possibly because of the strong intermolecular hydrogen bonding interactions. By comparing 4 and 5, we can see the nitramino group could further increase the power with low sensitivities. For the salts of compound 7, 7d with high detonation properties (comparing with RDX) and low sensitivities could serve as a promising candidate as a new high energy density oxidizer.
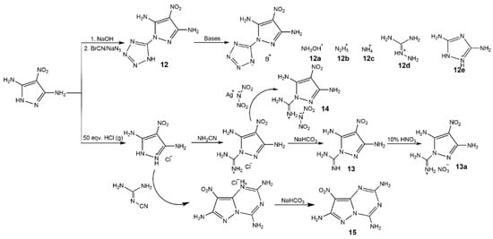
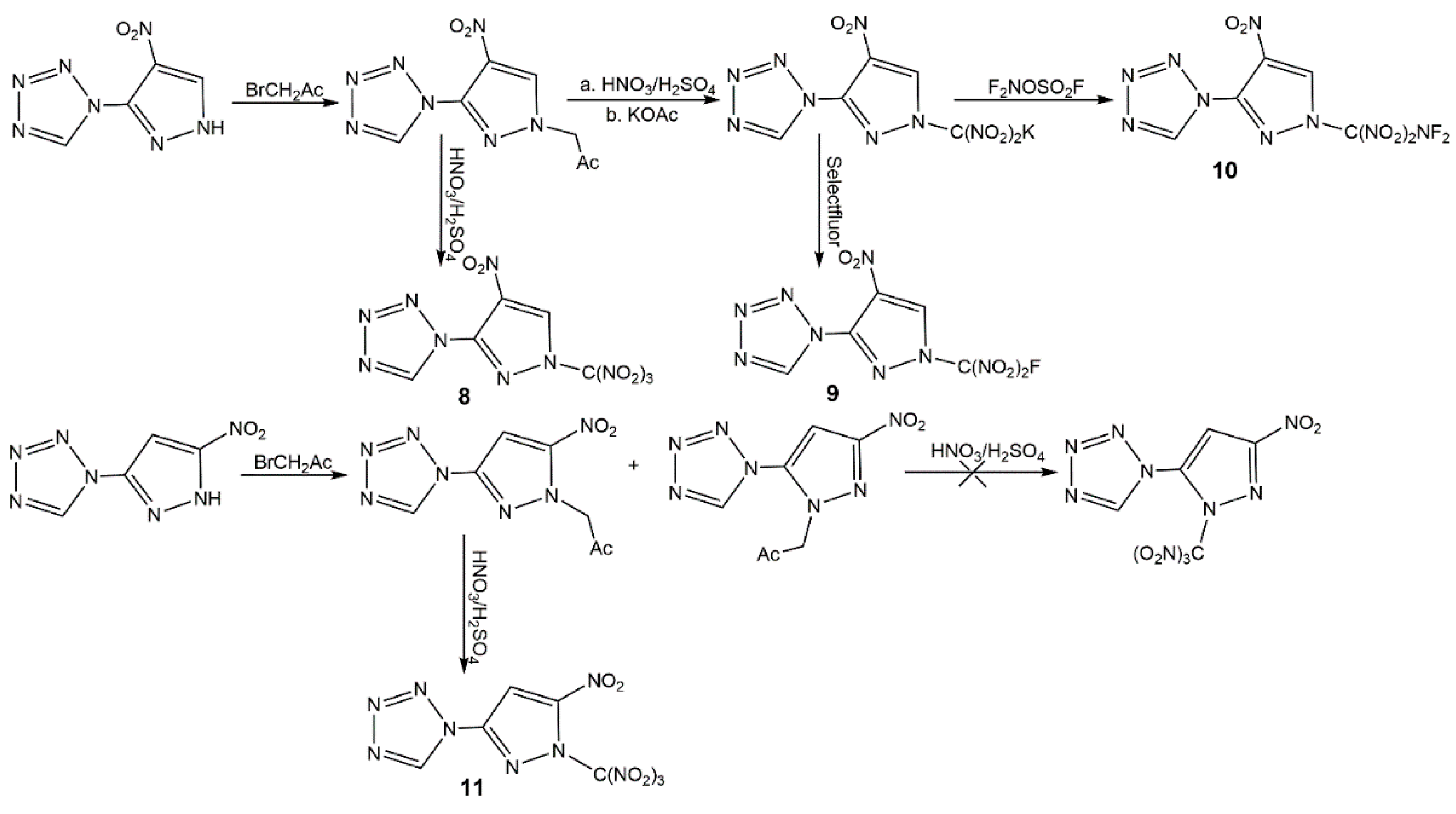
Connecting nitropyrazoles with nitrogen-rich compounds (including tetrazole, triazole, furazan, tetrazine, triazine, and others) has attracted more interest in many fields, it also be an effective approach to increasing the content of nitrogen and getting new high-performance energetic materials. In 2015, Yin et al. [63] synthesized energetic salts based on N-methyl 6-nitropyrazolo[3,4-d][1,2,3]triazol-3(4H)-olate in a similar manner exhibiting good detonation performance with relatively low sensitivities. In 2016, Dalinger et al. [64] synthesized and investigated systematically a series of 1- and 5-(pyrazolyl)tetrazole amino and nitro derivatives which could be components of dyes and luminophores, and high-energy materials. Some of them were always used as intermediates due to their poor energetic properties. In 2017, Zyuzin et al. [65] introduced the 2,2-bis(methoxy-NNO-azoxy)ethyl group to nitropyrazoles to increase the hydrogen content for some special application (gun propellants, solid rocket propellants and others). The derivatives of 3-NP and 4-NP showed high heat of formation, while the oxygen balances and calculated detonation velocity were not ideal. Then, Zyuzin et al. [66] further introduced the trinitromethyl moiety owning the most oxygen-rich block into the combination of tetrazole and pyrazole rings to obtain oxygen-balanced energetic materials with high nitrogen content (811) (Figure 6). In 2019, Tang et al. [67] developed several compounds and salts based 3,5-diamino-4-nitropyrazole functionalizing the with tetrazole group and triazine group (1215) (Figure 7). As shown in Table 3, all the compounds had high density, high nitrogen content and good detonation properties, while the thermal stability of 1215 was better than that of 811. In particular, the derivatives 1215 showed excellent insensitivities. In addition, most compounds owned positive and high heat of formation, but the presence of water molecules in 13a result in its negative heat of formation. Considering the low sensitivities, good detonation properties, and high thermal stabilities, these derivatives with nitrogen-rich groups may be the candidates of insensitive high energetic materials.
Moreover, nitrogen-rich heterocycles with a nitramino moiety could exhibit better performance than the corresponding nitro-substituted analogs as above mentioned [59,68]. In 2019, Shreeve and her group [69] reported a green synthetic route for high-performance nitramino nitropyrazoles. Figure 8 depicted the synthesis of corresponding derivatives, among them the 3,5-dinitramino-4-nitropyrazole (16) was quite sensitive to mechanical stimulation. From Table 4, the compound 16b showed promising properties with a high density (1.87 g·cm−3), good detonation properties (D of 9.58 km·s−1 and P of 38.5 GPa), decomposition temperature of 194 °C, and acceptable sensitivities. Xu et al. [70] introduced nitramino and triazole groups into mononitropyrazole to construct multiple hydrogen bonds (17), and synthesized the 4-nitro-3,5-bis(1H-1,2,4-triazol-3-nitramino)-1H-pyrazole (19) and its ionic derivatives (19ai) as shown in Figure 9. Table 4 also showed their energetic properties. Compound 17 had the highest decomposition temperature (353.6 °C) and excellent low sensitivity (IS > 40, FS > 360), indicating it could be used as heat-resistant insensitive explosive. The compounds (1819i) exhibited moderate detonation properties, high positive heat of formation and ideal insensitivities which had great potential application in green and safe energetic materials. Ma et al. [71] also fused nitropyrazole with triazine and nitramino groups, and prepared a series of salts based on compounds 20 and 21 (Figure 10). These compounds owned high thermal stability and excellent insensitive properties because of the existence of triazine ring.
In summary, most of mononitropyrazoles and their derivatives owned relatively low thermal properties and detonation properties. They are always used as intermediates for novel complicated energetic materials. The introduction of polynitromethyl group can improve the oxygen balance efficiently, while have a little influence on the heats of formation. The nitramino group and nitrogen-rich heterocyclic can enhance the detonation properties, improve the safety, and increase the heats of formation of mononitropyrazoles. The choice of solvent and nitrification in synthesis routes should be more environmental and facile.

2.2. Dinitropyrazoles and Their Derivatives

Dinitropyrazoles own higher density and better detonation performance than mononitropyrazoles attributing to one more nitro group. The typical dinitropyrazoles include 3,4-dinitropyrazole (3,4-DNP), 3,5-dinitropyrazole (3,5-DNP), 1-methyl-3,4-dinitropyrazole (3,4-MDNP), 1-methyl-3,5-dinitropyrazole (3,5-MDNP), and 4-amino-3,5-dinitropyrazole (LLM-116).
3,4-DNP is a kind of white crystal, possessing higher density (1.87 g·cm−3), lower melting point (86–88 °C), higher decomposition temperature (285 °C), higher detonation velocity (8.1 km·s−1) and detonation pressure (29.4 GPa) than TNT. This compound was first reported by Biffin’s team in 1966 [72]. In an earlier study, pyrazole, 4-NP, 3-nitro-4-cyanopyrazole and other raw materials have been investigated to prepare 3,4-DNP, while most of the methods did not satisfied industrialization due to complex process, high production cost or low yield [45,55,73,74,75,76]. At present, the three-step synthetic route as shown in Figure 11 (Scheme A), and the two-step route (Scheme B) are the most widely used [77,78,79,80]. 3,4-MDNP is a typical thermal stability nitropyrazole, exhibiting stable thermodynamic state at 300 °C. Its melting point and density are lower than those of 3,4-DNP (20–23 °C, 1.67 g·cm−3), and 3,4-DNP shows low detonation velocity (7.76 km s−1) and detonation pressure (25.57 GPa) due to the introduction of methyl group. It has potential application in liquid explosive, which can reduce the melting point of liquid phase carrier in castable explosive [32]. Recently, Ravi et al. [73] had synthesized 3,4-MDNP by nitrating 1-methylpyrazole or 1-methyl-3-nitropyrazole with montmorillonite (K-10) and Bi(NO3)3, while this method was high cost and the products were difficult to separate. Li et al. [81] reacted 3,4-DNP and dimethyl carbonate (DMC) in DMF with K2CO3 as catalyst, then, his group further synthesized 3,4-MDPN with 3-NP as raw material (Figure 11, Scheme C) [82]. In this method, DMC was used as methylation agent and the yield of methylation was high (95.6%), which could meet the requirement of green chemistry. As 3,5-DNP with a melting point of 173–174 °C and density of 1.80 g·cm−3, the decomposition temperature of 316.8 °C owns higher detonation properties than 3,4-DNP (7.76 km·−1 and 25.57 GPa). Moreover, 3,5-DNP is relatively stable because of the symmetrical molecular distribution, it can be used as a simple explosive or as a key intermediate in the synthesis of insensitive explosives [55]. Generally, the starting materials for preparing 3,5-DNP could be pyrazole and 3-NP. Wang et al. [83] nitrated 3-NP to get 1,3-dinitropyrazole, then 1,3-dinitropyrazole was reacted with NH3 in PhCN to produce the ammonium salt of 3,5-DNP. After neutralization with hydrochloric acid, the 3,5-DNP could be obtained (Figure 12, Scheme A). Liu et al. [28] also nitrated 3-NP, and rearranged 1,3-dinitropyrazole to get 3,5-DNP (Figure 12, Scheme B). For pyrazole as starting material, 3,5-DNP was always prepared by a four-step route (nitration of pyrazole, rearrangement of N-nitropyrazole, nitration of 3-NP, and rearrangement of 1,3-dinitropyrazole). 3,5-MDNP owns the similar energetic properties with 3,4-MDNP, while it has a higher melting point (about 60 °C). Moreover, 3,5-MDNP could be synthesized by methylation of 3,5-DNP [84]. However, most methylation agents were extremely toxic, thus searching for a green methylation agent would be the key factor.
LLM-116 is a powerful and insensitive explosive, its energy is 90% of HMX and its impact sensitivity is extremely low [55,85]. It was first synthesized by the Lawrence Livermore National Laboratory (LLNL) in 2001, and many studies were performed to assess its synthesis in the following years. Wang et al. [86] utilized vicarious nucleophilic substitution (VNS) of 3,5-DNP and trimethylhydrazine iodideto (TMHI) to prepare LLM-116 with a yield of 60%, while the toxic TMHI was the main factors restricting wide application of this method. In 2014, Stefan et al. [87] developed four synthetic routes of LLM-116, using 4-NP, 3,5-dimethylpyrazole, 3,5-DNP and 4-chloropyrazole as starting materials, respectively (Figure 13, Scheme A–D). Table 5 shows the comparison of the four routes. The synthesis of Scheme D was simple and its yield was high, which was suitable for industrialization. Zhang et al. [88] also used 4-chloropyrazole as a starting material to synthesize LLM-116 with an overall yield of 65%.
In addition, 4-Chloro-3,5-dinitropyrazole was a useful intermediate in the preparation of various 3,5-DNP [89], owning good reactivity towards nucleophiles. He et al. [90] synthesized a series of 3,5-DNP derivatives based on 4-chloro-3,5-dinitropyrazole and 1-methyl-4-chloro-3,5-dinitropyrazole shown in Figure 14. From Table 6, all compounds exhibited better detonation properties than those of TNT, and these compounds owned better IS than RDX except compound 33. Compounds 26 and 28 had an especially good balance between physical properties and detonation properties as well as excellent insensitivity, making them potential replacement of RDX.
Energetic salts often possess superior properties comparing with non-ionic species since they always show lower vapor pressures, lower impact and friction sensitivities, and enhanced thermal stabilities [19]. In addition to the derivatives mentioned above, Klapötke group [26] developed the ionic salts of 3,4-DNP and 3,5-DNP shown in Figure 15, and these salts were extremely insensitive in Table 7. Comparing with 3,4-DNP, 36 and 38 owned much lower decomposition temperatures, similar to that of 37, 39 and 3,5-DNP. Zhang et al. [91] developed the ionic salts of LLM-116 with several nitrogen-rich cations as shown in Figure 16. These compounds showed extraordinary insensitivity to impact (>60 J), as the detonation properties of 40i and 41k were comparable to those of TATB (31.15 GPa, 8.11 km·s−1) (Table 7).
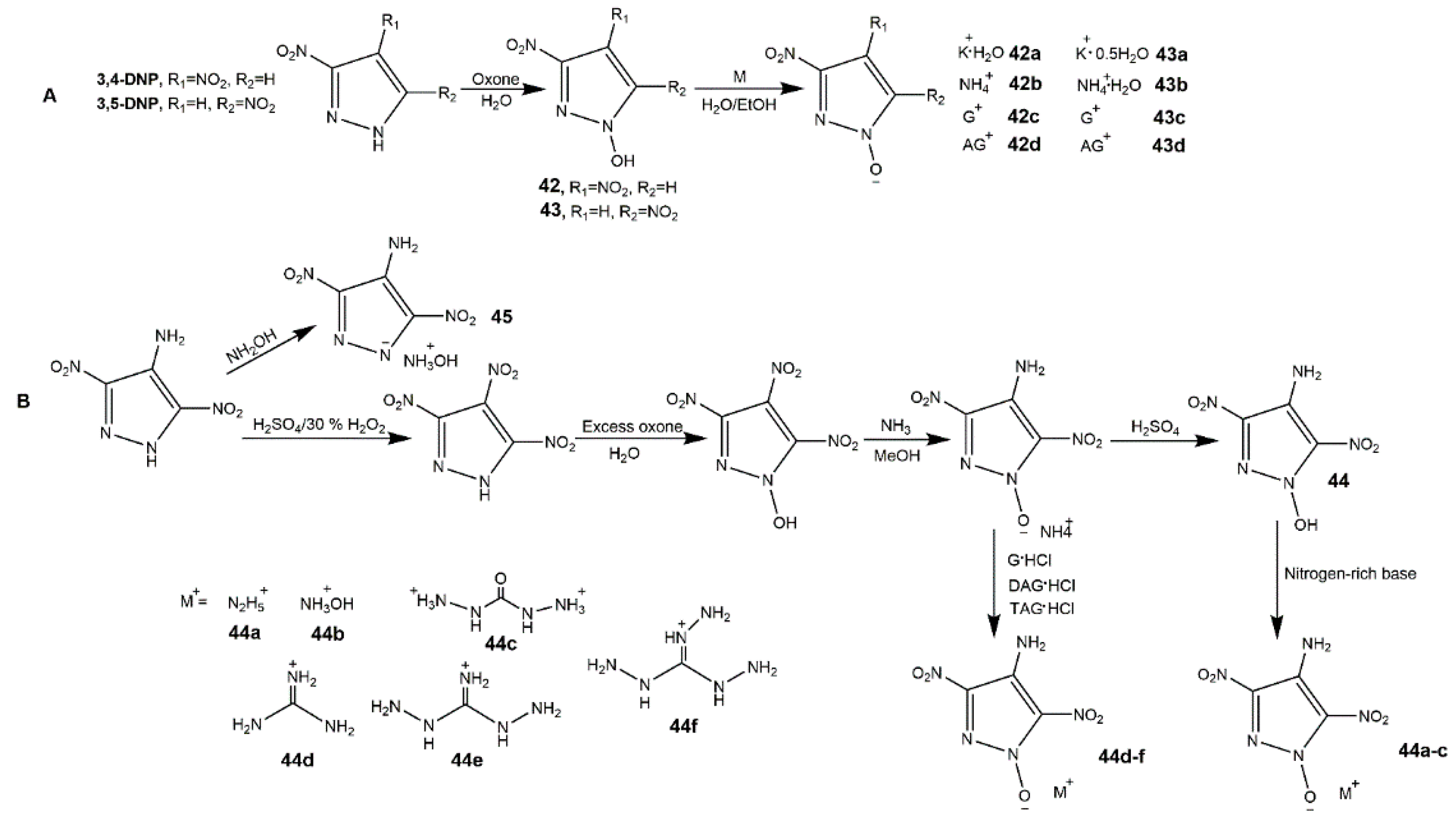
N-oxidation of nitrogen-rich heterocycles including transformation of amino group to nitroso, azoxy, or nitro groups is another approach to designing HEDMs, which opens new avenues for the development of HEDMs [92,93]. The efforts to developing N-oxidation of dinitropyrazoles have been made recently. Bölter et al. [94] introduced -OH on N atom of 3,4-DNP and 3,5-DNP, and obtained several salts (Figure 17, Scheme A). From Table 8, these compounds were less sensitive than RDX, and did not exhibited excellent detonation properties. Yin et al. [95] synthesized a family of 4-amino-3,5-dinitro-1H-pyrazol-1-ol (44) and its ionic derivatives (44af) (Figure 17, Scheme B). Except 44·H2O, all the compounds (44af, and 45) with thermal decomposition temperatures (169–216 °C) shown good balance between detonation properties and insensitive properties as shown in Table 8. Zhang et al. [96] synthesized the 4-nitramino-3,5-dinitropyrazole by nitrating the -NH2 of LLM-116, and prepared several energetic salts which exhibited good insensitivity and moderate detonation properties.
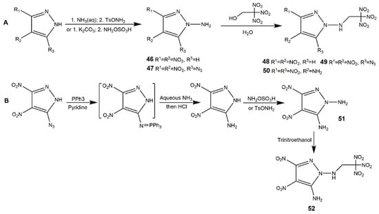
As mentioned above, polynitromethyl are considered to be more favorable groups to give remarkable improvements in densities and detonation properties of energetic materials. Especially the N-trinitroethylamination of nitropyrazole is more available since it is stable to be handled safely. The N-trinitroethylamination of dinitropyrazole was firstly proposed by Shreeve team [57]. They obtained several N-amino-dinitropyrazoles firstly, then these compounds underwent Mannich reactions with trinitroethanol to acquire the corresponding derivatives (4650) (Figure 18, Scheme A). It was noteworthy that 1-amino-3,5-dinitropyrazole and 1-amino-3,4-dinitro-5-cyanopyrazole failed to get the corresponding compounds due to the electron-withdrawing effect of substituent groups bonded to dinitropyrazole ring. In addition, they employed an alternative synthetic method to obtain 1,5-diamino-3,4-dinitropyrazole (51) (Figure 18, Scheme B) because attempted amination of this compound using TsONH2 acid or NH2OSO3H failed. From Table 9, although the azido-functionalized dinitropyrazole (47) decomposed at 121 °C, compound 46 and 51 had high decomposition temperatures, and 47 and 5052 owned higher density than RDX. These indicated the introduction of an -NH2 could enhance density. In addition, N-trinitroethylamination of dinitropyrazole (4850 and 52) shown high HOF and good detonation properties. N-trinitromethyl moiety was introduced by Dalinger’s team [58], they synthesized 3,4-dinitro--1-(trinitromethyl)-pyrazoles (53) and 3,5-dinitro-1-(trinitromethyl)-pyrazoles (54) with excellent physical and computational properties as shown in Figure 19. They were a little less insensitive than the RDX and PETN, similar to N-trinitroethylamination dinitropyrazoles shown in Table 9. Fluorine and fluorinated functional groups are importantly promising substituents in the field of energetic materials [97]. C(NO2)2F and C(NO2)2NF2 moieties bring high energy, maintaining high density and good thermal property were incorporated into dinitropyrazole by fluorinated compound 55 (Figure 19, Scheme C). The two compounds had high density (≥1.92 g·cm−3), good oxygen balance (+2.55% for 57 and 0% for 56), and high detonation pressure and velocity [98].
Dinitropyrazoles bearing other heterocycles are also interesting and notable. To obtain the melt-castable explosives with good compatibility, improved oxygen balance and moderate detonation properties, compound 58 incorporating both N-trinitromethyl and C-methyl substituents in addition to nitro groups was synthesized by Sheremetev’s group [99] (Figure 20). This low melting temperature compound has been proved to own higher detonation pressure and velocity values than those of others melt-castable energetic heterocycles bearing methyl group, which provided feasible route to castable energetic materials. In addition, introduction of polynitrogen heterocycle and formation of energetic salts are main methods to improve the thermal stability of explosives [100]. In 2016, a heat-resistant energetic material, compound 59 bearing triazole ring, was synthesized using 5-amino-3-nitro-1H-1,2,4-triazole (ANTA) and 3,4,5-trinitrated-1H-pyrazole (TNP), and several salts based on it were developed by Zhou et al. [101] (Figure 21, Scheme A). As shown in Table 10, compound 59 had high decomposition temperature (270 °C) and high positive HOF (833 kJ·mol−1). All the salts showed good thermal stability, excellent insensitivity, and good detonation properties. In particular, the guanidinium salt 59d exhibited the best thermal stability superior than that of most explosives. Considering thermal stability and energetic properties, compounds 59 and 59d could be used as heat-resistant explosives and it was possible that these compounds can be applied as heat-resistant materials. Afterwards, their group reported a family of unsymmetrical N-bridged dinitropyrazoles synthesized by TNP and 5-amino-1H-tetrazole (ATZ) and its organic salts (Figure 21, Scheme B). Several compounds (60, 60b, and 60c) with high N contents exhibited superior detonation velocities but inferior detonation pressures compared to HMX and insensitivities to impact (IS > 40 J) and friction (FS > 360 N) comparable to those of TATB (Table 10), which could be promising insensitive HEDMs for practical application.
In summary, some dinitropyrazoles and derivatives exhibit low melting points and high decomposition temperatures as well as good detonation, which can make them competitive candidates for a castable explosive. To further improve the performance of dinitropyrazole-based energetic materials, a combination of several functional groups should be better, for example, the combination of nitramine and polynitrogen heterocyclic which can endow them with high thermal stability and good detonation performance.

2.3. Trinitropyrazole and Its Derivatives

TNP is the unique pyrazole compound by total carbon nitrification [102]. This compound owns good thermal stability (260–350 °C of Td) and chemical stability, and shows high detonation velocity (9.0 km·s−1) and detonation pressure (37.09 GPa). Wu et al. reviewed the synthesis of TNP in recent years in detail [102], including direct nitration methods, amino oxidation method, amino diazotization method, iodo nitrification method and microwave rearrangement method. The typical synthesis of TNP is the oxidation of LLM-116 rather than 5-amino-3,4-dinitropyrazole, and this is partly because the amino group in LLM-116 has higher electron cloud density and steric hindrance than amino group in 5-amino-3,4-dinitropyrazole, which can promote the intermolecular oxidation reaction and avoid the occurrence of intermolecular side reaction effectively, and partly because the “NO2-NH2-NO2” framework in LLM-116 makes it more stable and easier to synthesize. In addition, the nitrification of 3,5-DNP is another typical synthesis route of TNP. Traditional oxidation methods have the following defects: harsh reaction conditions, poor selectivity, by-products, high risk factor, expensive metal catalyst and toxic organic solvent. Although the synthesis of TNP with LLM-116 and 3,5-DNP as starting materials are mature, the synthesis of LLM-116 and 3,5-DNP are complicated. It is necessary to explore novel synthesis method. Zhao et al. [44] used LLM-116 as starting material, water as solvent, and KHSO5 as oxidant to synthesize TNP. Ravi et al. [103] put forward the nitration system of metal nitrate and studied the process of nitration to TNP. These two methods are promising to prepare TNP.
Moreover, 1-methyl-3,4,5-trinitropyrazole (MTNP), a derivative of TNP, is an insensitive energetic material with 91.5 °C of melting point, 248–280 °C of decomposition temperature, 8.65 km·s−1 of detonation velocity, and 33.7 GPa of detonation pressure [104]. Ravi et al. [103] added K-10 and TNP to bismuth impregnated in THF to obtain MTNP (Figure 22, Scheme A). There were also many routes to synthesize MTNP. Dalinger et al. [105,106] dissolved TNP in NaHCO3 aqueous solution with Me2SO4 as methylation reagent to acquire MTNP (Figure 22, Scheme B). Guo et al. [107] synthesized MTNP from 1-methyl-pyrazole by one-step method with nitric acid and fuming sulfuric acid (Figure 22, Scheme C). Among these methods, selection of highly efficient catalytic synthesis process and low toxicity methylation reagent are the trend in MTNP synthesis. In addition, 1-amino-3,4,5-trinitropyrazole (ATNP) is also a derivative of TNP with excellent detonation properties (D = 9.17 km·s−1 and P = 40.9 GPa) and thermal stability [108]. This was reported by Herve et al. [93], and the synthesis route is shown in Scheme D of Figure 22 (Pic-O-NH2 = 2,4,6-trinitrophenyl-O-hydroxylamine) with a yield of 26%.
The N-H bond in TNP is easy to neutralize with alkali or react with metal salts forming energetic salts due to the stereoscopic structure and spatial effect of pryazole ring. These energetic salts further broaden the application of TNP. Zhang et al. [109] prepared a series of energetic salts of TNP based on nitrogen-rich cations (61am) (Figure 23, Scheme A), all the salts showed poorer densities and detonation properties than TNP (Table 11), but they owned good thermal stability and excellent insensitivity. Drukenmuller et al. [110] reported the synthesis of alkali and earth alkali trinitropyrazolate (62ad) (Figure 23, Scheme B), compound 62d exhibited predominantly decomposition temperatures (Table 11). They also prepared pyrotechnic formulations using 62c and 62d, which showed good color properties and low sensitivity as well as high Td. In addition, Shreeve’s group [111] synthesized 3,4,5-trinitropyrazole-1-ol (63) and its nitrogen-rich salts (63ag) (Figure 24) the corresponding properties are shown in Table 11. Compound 63 with its high oxygen content (51.13%) could be the green replacement of the currently used oxidizer (NH4ClO4), while the high IS (1 J) restricted its application. Compound 63ag with acceptable impact sensitivities and detonation performance could be useful energetic materials.
Polynitrogen heterocycle linking to TNP is a promising method to reach a balance between the energetic and physical properties of TNP, while there are a few references about it. Shreeve et al. [112] reported the synthesis of asymmetric N,N′-ethylene bridged 5-aminotetrazole and TNP moieties. They prepared 1-(2-(3,4,5-trinitro-1H-pyrazol-1-yl)ethyl)-1H-tetrazol-5-amine and 1-(3-(3,4,5-Trinitro-1H-pyrazol-1-yl)propyl)-1H-tetrazol-5-amine, and the two compounds were excellent insensitive and moderate powerful. In addition, they synthesized 5-((3,4,5-trinitro-1H-pyrazol-1-yl)methyl)-1H-tetrazole by N-methylene-C bridging TNP and tetrazole, which showed outstanding detonation properties and moderate insensitivity [113].

3. Nitrated-Bispyrazoles Based Compounds

Nitropyrazoles can be connected with nitrogen-rich heterocycles to obtain amazing energetic materials. In the previous section, nitropyrazoles bearing some polynitrogen heterocycles have been shown. Generally, these compounds exhibit some special properties, such as high detonation properties, good thermal stability, excellent safety, high density, and heat of formation, etc. Nitrated bispyrazoles also have attracted more and more attention, we will review the nitrated bispyrazole-based energetic materials in this section.

3.1. Directly Bridged Bis(Nitropyrazole)s

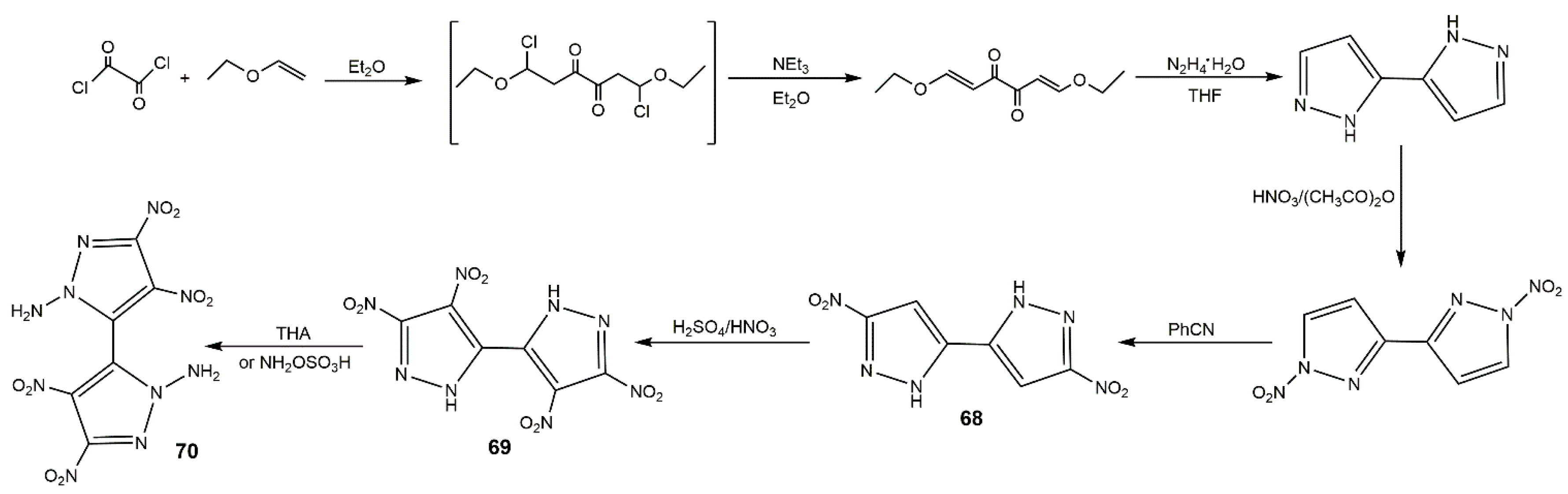
In 2014, Li et al. [27] synthesized several polynitro-substituted 1,4′-bridged-bispyrazoles energetic salts (6467) as shown in Figure 25. They found that these compounds showed remarkable and unprecedented comprehensive properties (Table 12), and most of them with low toxicity were not hygroscopic. These compounds exhibited excellent impact sensitivities close to TATB, and the melting points and thermal decomposition temperatures were high, which could be applied as heat-resistant explosive. Compound 64 showed high Td approximating that of hexanitrostilbene (HNS, 316 °C). The energetic properties of compounds 64, 65, 65a, 66, and 67 were comparable with or superior to RDX, especially compound 66. In 2017, Tang et al. [114] prepared 4,4′,5,5′-tetranitro-2H,2′H-3,3′-bipyrazole (69) and its di-N-amino product (70), and the detailed route is described in Figure 26. Compound 70 showed good thermal stability and insensitivities as well as high detonation properties (Table 12). In addition, they synthesized 4,4′-dinitro-5,5′-diamino-2H,2′H-(3,3′-bipyrazole) (consisting of two 3-amino-4-nitropyrazole rings), this compound also show outstanding balance between thermal stability and safety (Table 12) [115]. Afterwards his team reported a variety of energetic materials based on compound 69 shown in Figure 27. Compounds 71, 73b, and 73h had high densities and good detonation velocities (Table 12), which were superior to RDX suggesting their use in secondary explosives. The dipotassium salt 73b had a high density of 2.029 g·cm−3 and excellent thermal stability of 323 °C, and could be applied as primary explosives [116]. However, the poor impact sensitivity might restrict their further application. In 2019, Domasevitch and co-authors [117] found an efficient approach towards facile accumulation of nitro functionalities at the pyrazole platform. Compounds 74, 75, and 76 were synthesized according to Figure 28. From Table 12, the three compounds owned high decomposition temperatures above 290 °C, especially for 75 and 76. The introduction of three and four -NO2 into the 4,4-bipyrazole scaffold could produce insensitive and thermally stable energetic materials with ideal densities and good detonation properties.

3.2. Alkyl-Bridged Bis(Nitropyrazoles)

Alkyl is also a good linkage to construct nitrogen-rich moieties, and many N,N′-alkyl-bridged energetic materials have been developed [112,118,119,120,121]. Yin et al. [122] developed a novel class of N,N′-ethylene-bridged bis(nitropyrazoles) with the synthetic route shown in Figure 29. Compounds 7785 displayed various properties (Table 13) owing to the diversified functionalizations. Diaminobis(pyrazoles) showed good thermal stability, highly insensitivity, and favorable energetic performance; for example, the thermal decomposition temperature (311 °C) and detonation properties (27.9 GPa and 8.19 km·s−1) of 77 were higher than those of TNT, and were comparable to those of TATB. By contrast, N,N′-ethylene bridged dinitraminobis(pyrazoles) and diazidobis(pyrazoles) owned better detonation performances, while having higher impact and friction sensitivity. Compound 80 was the most promising energetic material with high density, favorable thermal stability, and good detonation properties, which were comparable to RDX. In addition, the relatively low impact and friction sensitivities of 80 showed good integrated properties, highlighting its potential application as a replacement of RDX. In 2016, Fischer et al. [123] synthesized three different bisnitropyrazole-based energetic materials by N,N′-methylene bridge (8688), the detailed synthetic route is displayed in Scheme A of Figure 30. These energetic compounds could be used for different applications according to their properties (Table 13), compound 86 was a secondary explosive with a high Td (310 °C), enhanced detonation parameters by contrast with HNS, and high sensitivity to external stimuli. Compound 87 exhibited excellent detonation velocity (approximately to CL-20). The higher performance and better thermal stability of 88 was relative to DDNP making it a potential candidate as a green primary explosive. In addition, the synthetic routes are economical. Afterwards, their group used a similar route to prepare bis(3,4-dinitro-1H-pyrazol-1-yl)methane (89) and bis(3,5-dinitro-1H-pyrazol-1-yl)methane (90) with high decomposition temperature and low sensitivities having capability as future energetic materials (Table 13) [94]. Gozin et al. [124] explored the possible influence factor of the thermostable property of explosives, and under the guidelines they proposed, they synthesized the compounds 91 and 92 with excellent thermal stability and moderate sensitivities shown in Figure 31 and Table 13.

3.3. Ring-Bridged Bis(Nitropyrazoles)

Ring-bridge is an important connector linking bis(nitropyrazoles) to obtain high performance energetic materials. Pagoria et al. [125] reported the trimerization of LLM-116. 4-Diazo-3,5-bis(4-amino-3,5-dinitropyrazol-1-yl) pyrazole (93) containing a stable diazo group was synthesized, and the detailed route is shown in Figure 32. Compound 93 was more thermally stable (278 °C of Td) than LLM-116, attributing to the considerable hydrogen bonding between -NH2 and -NO2, and the short contact between the =N2 and -NO2 through the intermolecular interactions. Moreover, it was insensitive to impact, friction, and spark. Yan et al. [126] designed mono and bi(1,2,4-oxadiazole) rings to bridge polynitropyrazoles (Figure 33). Among compounds 9499, 98, and 99 owned the highest detonation velocity of 8.90 and 8.87 km·s−1, detonation pressure of 35.1 and 34.5 GPa, respectively. 94 and 95 processed good stability (272–274 °C) and good insensitivity (IS > 30 J and FS > 360 N) as well as high detonation properties (8.69–8.74 km·s−1 of D and 33.4–34.0 GPa of P). 96 and 97 had the high thermal stability over 310 °C and good sensitivity (IS > 40 J, FS > 360 N). Comparing with the conventional heat resistant explosive HNS, 96 and 97 owned better detonation properties (7.99–8.03 km·s−1 of D, 25.2–26.4 GPa of P). Also, their team used the similar routes to synthesize the bis(nitropyrazoles) with 1,3,4-oxadiazole (100105) [127]. The properties of these compounds are showed in Table 14. Moreover, Li et al. [124] synthesized the compound 106 with the procedure shown in Figure 34. This compound exhibited an excellent decomposition temperature (341 °C), high calculated detonation velocity of 8.52 km·s−1, and detonation pressure of 30.6 GPa. It also showed impressive insensitivities (IS = 22 J, FS = 352, and ESD = 1.05 J). These showed building ring bridged bis(nitropyrazoles) can be an effective approach to enhance the properties of energetic materials.
In addition, there are some other fused ring-bridged bis(nitropyrazoles). In 2017, Yin and co-authors [128] synthesized compound 109 and its derivatives according to the procedure shown in Figure 35, and their physicochemical and energetic properties are shown in Table 15. Among these compounds, 107a had a high density and decomposition temperature as well as the good safety parameters. The introduction of nitramino group gave 110 and 111 highest detonation velocities and pressures, while they also exhibited sensitive properties to mechanical stimuli. Considering the whole aspect, 108a was featured with promising integrated energetic performance exceeding those of the benchmark explosive RDX. Shreeve’s group prepared (112) obtained from compound 69 by N-azo coupling reactions shown in Scheme A of Figure 36 [114]. Compound 112 had a high density of 1.955 g·cm−3 and a good thermal stability (233 °C). Its detonation properties (9.63 km·s−1 and 44.0 GPa) were comparable to CL-20, much better than those of RDX and HMX. In addition, the IS of 10 J and FS of 240 N showed it was more stable than CL-20. These indicated compound 112 was a superior energetic explosive. In 2018, her team developed an efficient synthetic method of ring closure of polynitropyrazoles with N,N′-ethylene/propylene bridges (Figure 36, Scheme B). Compounds 113 and 114 showed excellent thermal stability (261 °C for 113, 280 °C for 114), good detonation properties and moderate insensitivities, making them potential candidates as HEDMs. This ring closure strategy could provide new ideas of designing thermally stable explosives.

3.4. DCNP-Bridged Bis(Nitropyrazoles)

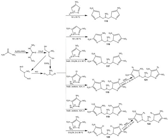
It is known that 1,3-Dichloro-2-nitro-2-azapropane (DCNP) is an useful precursor connecting nitropyrazoles via nucleophile substitution [129]. In 2013, Zhang et al. [130] reported a family of functionalized dipyrazolyl N-nitromethanamines (compounds 115122 in Figure 37) using DCNP as the bridge. These compounds exhibited densities between 1.69–1.90 g·cm−3 and thermal stabilities range from 166–354 °C. From Table 16, it was easy to see the introduction of the azidodinitropyrazolate group led to the most competitive detonation properties (35.1 GPa and 8.72 km·s−1 for 121, 35.2 GPa and 8.72 km·s−1 for 122). However, they showed high sensitivity (IS = 2 J). Compound 119 exhibited good physical and detonation properties, such as high thermal stability, density, HOF, detonation pressure and velocity, and great impact stability, which could be used a promising HEDM. Klapötke et al. [131] also reported these compounds. They applied a different synthesis method of DNCP by the nitration of hexamethylenetetramine, and the NaBr/acetone system was used to substitution reaction.
In general, the physical and energetic properties of bridged bis(nitropyrazole)s can be adjusted by the bridged groups. The design of novel bridged group would be a key factor to synthesize new HEDMs, and forming polycyclic derivatives even cage compounds could be more attractive. In addition, the salts of bridged bis(nitropyrazole)s should be explored in-depth.

4. Nitrated Pyrazolo[4,3-c]Pyrazoles and Their Derivatives

Application of molecular design and explosive performance prediction has explored many novel energetic materials based on pyrazolopyrazole ring system [2,132,133]. Heterocycles like pyrazolo-pyrazole always own high density and oxygen balance, good thermal stability, and enhanced energetic performance of an energetic material.
3,6-Dinitropyrazolo[4,3-c]pyrazole (DNPP) is a new type of energetic material with attractive properties (1.865 g·cm−1 of ρ, 42.42% of nitrogen content, 273 kJ·mol−1, 330.8 °C of Td and 68 cm of D50). This compound synthesized from 3,5-dimethylpyrazole was firstly reported by Dalinger and co-workers [134]. Pagoria et al. [135] improved the synthetic route to DNPP as shown in Scheme A of Figure 38. In this procedure, 4-diazo-3,5-dimethylpyrazole salt is an important intermediate. Li et al. [136] improved the process of 4-diazo-3,5-dimethylpyrazole salt using freezing crystallization instead of extraction which avoided large use of organic solvents and improved its yield. This procedure has several advantages, such as ease of synthesis scale-up and better product yield. In addition, Luo et al. [137] proposed that DNPP could be obtained by dehydration condensation, primary nitration, reduction, diazotization, cyclization, secondary nitration, oxidation, and decarboxylation nitration with acetylacetone and hydrazine hydrate as raw materials (Figure 38, Scheme B).
Due to the active N-H bond in molecule of DNPP, it is easy to obtain its energetic salts. In 2014, Zhang et al. [138] reported a series of nitrogen-rich energetic salts based on the anion of DNPP (123am) shown in Figure 39. Salts 123ae could be obtained by reacting DNPP with ammonia, hydrazine, hydroxylamine, 3,5-diamino-1,2,4-triazole, and 3,4,5-triamino-1,2,4-triazole. Salts 123fj could be synthesized by reacting Na2DNPP with guanidine nitrate, aminoguanidine, diaminoguanidine, triaminoguanidinium, and 2-iminium-5-nitriminooctahydroimidazo [4,5-d]imidazole hydrochlorides. Salts 123km were acquired by the reaction of DNPP with NaOH, KOH and AgNO3 respectively. Table 17 displays the properties of these energetic salts. It was notable that the ammonium salt (123a), hydroxylammonium salt (123b) and guanidinium salt (123f) exhibited outstanding decomposition temperatures of >300 °C. Furthermore, the sodium salt (123k) and potassium (123l) salt of DNPP were thermally stable up to 395 °C and 365 °C, respectively. In addition, most of the salts showed high calculated detonation properties, especially 123b owned the highest detonation velocity and pressure. Considering the balance of safety and energetic properties as well as physical properties, 123b could be a competitive candidate in insensitive HEDMs. Luo and co-authors synthesized the basic lead salt of DNPP (Pb-DNPP) and the 3,6-dihydrazine-1,2,4,5-tetrazine salt of DNPP (DHT-DNPP), and studied their thermal decomposition behaviors. Like 123km, the introduction of heavy cations made the salts higher densities and Td. Combining other organic amines salts of DNPP [139], these salts showed good thermal stabilities.
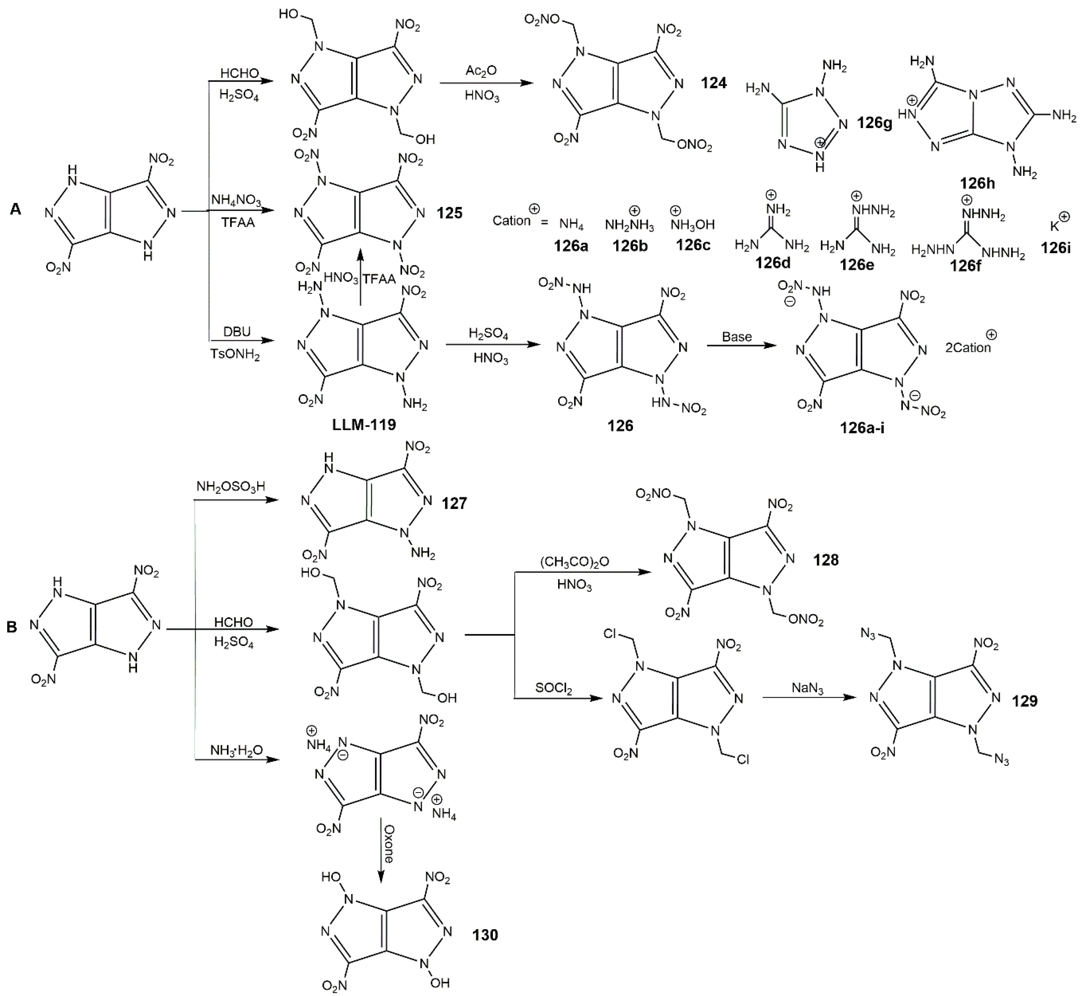
In addition, 1,4-Diamino-3,6-dinitropyrazolo[4,3-c]pyrazole (LLM-119) is a derivative of DNPP with a predicted energy of 104% HMX and good insensitivity to friction and electric spark stimulation [2]. It is also a very important intermediate of synthesizing novel high-performance energetic materials. Li et al. [140] used NaOH and H2NOSO3H to realize the N-amination of DNPP, while the yield was low (10.4%). Yin reported a modified procedure using 1,8-diazabicycloundec-7-ene (DBU) and O-tosylhydroxylamine (TsONH2) as organic solvents with a good yield [141]. He also developed a series of DNPP derivatives based on N-functionalization strategy including several ionic salts of DNPP, the synthesis route is displayed in Figure 40 (Scheme A). As shown in Table 18, compounds 125, 126 and 126c exhibited high densities and excellent detonation velocities and pressures, which were superior to the current secondary explosive benchmark HMX. These compounds except 126d and 126e were sensitive to stimulation, especially for 126i also showed excellent density and good thermal stability. These could make compound the potassium salt as a green primary explosive. Compounds 126a, 126b, 126c and 126g showed good possibilities for application in bipropellants owing to the high values of (N + O) content and specific impulse. Li and co-author [142] synthesized another four kinds of neutral explosives based on N-functionalization of DNPP shown in Scheme B of Figure 40. Comparing with LLM-119, compound 127 showed slightly lower energetic and physical properties due to the only one -NH2. Compounds 130 owned the relatively high density, good thermal stability, outstanding detonation properties, and reasonable sensitivities, which could be a useful energetic material. Li et al. [143,144] also synthesized several salts of N-nitramino DNPP, which exhibited good energetic properties.
In addition, Zhang et al. [145] introduced the dinitromethyl group and fluorodinitromethyl group into DNPP molecule and synthesized five fused-ring energetic derivatives (131132) shown in Figure 41. Among these compounds, the dipotassium salt (131a) was formed as an interesting three-dimensional metal-organic framework (MOF) and exhibited outstanding detonation performances (9.02 km·s−1 of D and 33.6 GPa of P), which were comparable to that of Pd(N3)2. The compound 132 had a high density of 1.939 g·cm−3, high decomposition temperature of 213 °C and desired mechanical sensitivities (IS: 12 J; FS: 240 N), which could be a competitive candidate of RDX. These energetic compounds containing dinitromethyl or fluorodinitromethyl group enrich the energetic compound library of pyrazolo[4,3-c]pyrazoles. Furthermore, their group incorporated two tetrazole groups into DNPP molecule, and synthesized 3,6-dinitro-1,4-di(1H-tetrazol-5-yl)-pyrazolo[4,3-c]pyrazole (133) and its ionic derivatives (133af) shown in Figure 42 [146]. The physicochemical and energetic properties of these compounds are shown in Table 19. These compounds were thermally stable and insensitive to mechanical stimulation. The potassium salt (133a) possessed a high thermal decomposition temperature (329 °C of Td) and low sensitivities (IS: 25 J; FS: 252 N). In contrast with other derivatives from DNPP, compound 133f owned the best mechanical sensitivities (IS: >60 J; FS: >360 N). Compounds 133, 133a, and 133d possessed good comprehensive properties, including remarkable thermal decomposition temperatures, excellent insensitivity, and favorable detonation performance.
Nitrated pyrazolo[4,3-c]pyrazoles own acceptable performances both the energetic and physical properties, further functionalization of these compounds could be interesting. However, the synthesis of DNPP are still multistep reactions with unsatisfactory yield. The more efficient and facile synthesis technology should be investigated.

5. Conclusions

In recent years, a lot of scholars over the world have paid much attention to the development of nitrogen-rich heterocyclic energetic materials, due to their high positive heat of formation, low sensitivity, tailored thermal stability, and attractive detonation performance. According to the reference [37], a new energetic compound should be environmentally friendly, easy and economical to synthesize, thermal stable (Td > 200 °C), insensitive to mechanical stimulation (IS > 7 J; FS > 120 N), good detonation properties (D > 8.5 km·s−1), and not insoluble in water. For the nitropyrazoles-based energetic materials, most of them can meet these requirements. Some nitropyrazole-based compounds show good performance as castable explosives, such as compounds 1, 2, 3, 5, 3,4-DNP, 46, 48, 53, 54, and MTNP, which are competitive candidates of TNT. Some exhibited excellent thermal stability such as compounds 17, 28, 37, 64, 75, 86, 90, 92, 101, 120, DNPP, etc. Further, many showed a balance between good safety and high detonation performance. The introduction of high-nitrogen groups (including fused-ring, polynitramino group, polynitromethyl group, etc) to nitropyrazoles can be useful approach for the further development of new-generation HEDMs. In addition, the concept of forming ionic salts, bridged structures and pyrazolo-pyrazoles provides novel insights to synthesize high performance energetic materials. It is better to synthesize new energetic compounds under the direction of theoretical calculation, so it is important to understand the relationship between structures and properties for the design and synthesis of new nitropyrazoles-based energetic materials.
Furthermore, there are some areas requiring improvement for the further synthesis of novel nitropyrazoles-based EMs. First, traditional nitration is generally used in the synthesis of nitropyrazoles-based EMs, which does not meet the requirements of modern green chemistry. It is vital to find out the suitable green nitrating agents and catalysts in the future synthesis process. Second, many syntheses of nitropyrazoles-based EMs entail several steps, leading to a low yield and high cost. Therefore, it is necessary to search for an efficient route when preparing new HEDMs.

Author Contributions

Conceptualization, S.Z.; writing—original draft preparation, S.Z. and Q.J.; writing—review and editing, S.Z. and Z.G.; data curation, N.L. and D.L.; supervision, K.K.; project administration, K.K. and J.Z.; funding acquisition, K.K. All authors have read and agreed to the published version of the manuscript.

Funding

This research was funded by the National Natural Science Foundation of China, grant numbers 21673182 and 21703168.

Caution

Readers are reminded that the information given in this review is intended to cover the progress of recent research on energetic azo materials. Most of the molecules collected in this review are energetic materials that may be explosive under certain conditions. Their syntheses should be carried out by experienced personnel and handled with caution. In any case, carefully planned safety protocols and proper protective equipment, such as Kevlar gloves, ear protection, safety shoes and plastic spatulas, should be utilized at all times, especially when working on a large scale (>1 g). The authors strongly suggest that the original references be consulted for detailed safety information.

Conflicts of Interest

The authors declare no conflict of interest.

References

  1. Becuwe, A.; Delclos, A. Low-sensitivity explosive compounds for low vulnerability warheads. Propell. Explos. Pyrot. 1993, 18, 1–10. [Google Scholar] [CrossRef]
  2. Pagoria, P.F.; Lee, G.S.; Mitchell, A.R.; Schmidt, R.D. A review of energetic materials synthesis. Thermochim. Acta 2002, 384, 187–204. [Google Scholar] [CrossRef]
  3. Guo, J.; Cao, D.; Wang, J.; Wang, Y.; Qiao, R.; Li, Y. Review on synthesis of nitropyrazoles. Chin. J. Energ. Mater. 2014, 22, 872–879. [Google Scholar]
  4. Talawar, M.B.; Sivabalan, R.; Mukundan, T.; Muthurajan, H.; Sikder, A.K.; Gandhe, B.R.; Rao, A.S. Environmentally compatible next generation green energetic materials (GEMs). J. Hazard. Mater. 2009, 161, 589–607. [Google Scholar] [CrossRef]
  5. Tsyshevsky, R.V.; Sharia, O.; Kuklja, M.M. Molecular theory of detonation initiation: Insight from first principles modeling of the decomposition mechanisms of organic nitro energetic materials. Molecules 2016, 21, 236. [Google Scholar] [CrossRef]
  6. Yan, Q.-L.; Cohen, A.; Petrutik, N.; Shlomovich, A.; Zhang, J.-G.; Gozin, M. Formation of highly thermostable copper-containing energetic coordination polymers based on oxidized triaminoguanidine. ACS Appl. Mater. Inter. 2016, 8, 21674–21682. [Google Scholar] [CrossRef]
  7. Yan, Q.-L.; Gozin, M.; Zhao, F.-Q.; Cohen, A.; Pang, S.-P. Highly energetic compositions based on functionalized carbon nanomaterials. Nanoscale 2016, 8, 4799–4851. [Google Scholar] [CrossRef]
  8. Chen, X.; Zhang, C.; Bai, Y.; Guo, Z.; Yao, Y.; Song, J.; Ma, H. Synthesis, crystal structure and thermal properties of an unsymmetrical 1, 2, 4, 5-tetrazine energetic derivative. Acta Crystallogr. C 2018, 74, 666–672. [Google Scholar] [CrossRef]
  9. Klapötke, T.M. High Energy Density Materials; Springer: Berlin, Germany, 2007; Volume 125. [Google Scholar]
  10. An, C.W.; Li, F.S.; Song, X.L.; Wang, Y.; Guo, X.D. Surface Coating of RDX with a Composite of TNT and an Energetic-Polymer and its Safety Investigation. Propell. Explos. Pyrot. 2009, 34, 400–405. [Google Scholar] [CrossRef]
  11. Jia, Q.; Kou, K.-C.; Zhang, J.-Q.; Zhang, S.-J.; Xu, Y.-L. Study on the dissolution behaviors of CL-20/TNT co-crystal in N, N-dimethylformamide (DMF) and dimethyl sulfoxide (DMSO). J. Therm. Anal. Calorim. 2018, 134, 2375–2382. [Google Scholar] [CrossRef]
  12. Simpson, R.L.; Urtiew, P.A.; Ornellas, D.L.; Moody, G.L.; Scribner, K.J.; Hoffman, D.M. CL-20 Performance Exceeds that of HMX and its Sensitivity is Moderate. Propell. Explos. Pyrot. 1997, 22, 249–255. [Google Scholar] [CrossRef]
  13. Wang, Y.; Jiang, W.; Song, X.; Deng, G.; Li, F. Insensitive HMX (octahydro-1, 3, 5, 7-tetranitro-1, 3, 5, 7-tetrazocine) nanocrystals fabricated by high-yield, low-cost mechanical milling. Cent. Eur. J. Energ. Mater. 2013, 10, 277–287. [Google Scholar]
  14. Qiu, H.; Stepanov, V.; Di Stasio, A.R.; Chou, T.; Lee, W.Y. RDX-based nanocomposite microparticles for significantly reduced shock sensitivity. J. Hazard. Mater. 2011, 185, 489–493. [Google Scholar] [CrossRef] [PubMed]
  15. Kolb, J.R.; Rizzo, H.F. Growth of 1, 3, 5-Triamino-2, 4, 6-trinitrobenzene (TATB) I. Anisotropic thermal expansion. Propell. Explos. Pyrot. 1979, 4, 10–16. [Google Scholar] [CrossRef]
  16. Nair, U.R.; Sivabalan, R.; Gore, G.M.; Geetha, M.; Asthana, S.N.; Singh, H. Hexanitrohexaazaisowurtzitane (CL-20) and CL-20-based formulations. Combust. Explo. Shock Waves 2005, 41, 121–132. [Google Scholar] [CrossRef]
  17. Nair, U.R.; Asthana, S.N.; Rao, A.S.; Gandhe, B.R. Advances in high energy materials. Def. Sci. J. 2010, 60, 137. [Google Scholar] [CrossRef]
  18. Swain, P.K.; Singh, H.; Tewari, S.P. Energetic ionic salts based on nitrogen-rich heterocycles: A prospective study. J. Mol. Liq. 2010, 151, 87–96. [Google Scholar] [CrossRef]
  19. Gao, H.; Shreeve, J.M. Azole-based energetic salts. Chem. Rev. 2011, 111, 7377–7436. [Google Scholar] [CrossRef]
  20. Kröber, H.; Teipel, U. Crystallization of insensitive HMX. Propell. Explos. Pyrot. 2008, 33, 33–36. [Google Scholar] [CrossRef]
  21. Zhang, S.; Kou, K.; Zhang, J.; Jia, Q.; Xu, Y. Compact energetic crystals@ urea-formaldehyde resin micro-composites with evident insensitivity. Compos. Commun. 2019, 15, 103–107. [Google Scholar] [CrossRef]
  22. Zhang, S.; Gao, Z.; Jia, Q.; Liu, N.; Zhang, J.; Kou, K. Fabrication and characterization of surface modified HMX@ PANI core-shell composites with enhanced thermal properties and desensitization via in situ polymerization. Appl. Surf. Sci. 2020, 515, 146042. [Google Scholar] [CrossRef]
  23. Liu, N.; Duan, B.; Lu, X.; Mo, H.; Xu, M.; Zhang, Q.; Wang, B. Preparation of CL-20/DNDAP cocrystals by a rapid and continuous spray drying method: An alternative to cocrystal formation. CrystEngComm 2018, 20, 2060–2067. [Google Scholar] [CrossRef]
  24. Liu, N.; Duan, B.; Lu, X.; Zhang, Q.; Xu, M.; Mo, H.; Wang, B. Preparation of CL-20/TFAZ cocrystals under aqueous conditions: Balancing high performance and low sensitivity. CrystEngComm 2019, 21, 7271–7279. [Google Scholar] [CrossRef]
  25. Zhang, S.; Zhang, J.; Kou, K.; Jia, Q.; Xu, Y.; Liu, N.; Hu, R. Standard Enthalpy of Formation, Thermal Behavior, and Specific Heat Capacity of 2HNIW· HMX Co-crystals. J. Chem. Eng. Data 2018, 64, 42–50. [Google Scholar] [CrossRef]
  26. Bolter, M.F.; Harter, A.; Klapotke, T.M.; Stierstorfer, J. Isomers of Dinitropyrazoles: Synthesis, Comparison and Tuning of their Physicochemical Properties. Chempluschem 2018, 83, 804–811. [Google Scholar] [CrossRef]
  27. Li, C.; Liang, L.; Wang, K.; Bian, C.; Zhang, J.; Zhou, Z. Polynitro-substituted bispyrazoles: A new family of high-performance energetic materials. J. Mater. Chem. A 2014, 2, 18097–18105. [Google Scholar] [CrossRef]
  28. Liu, W.; Wang, J.; Cao, D.L.; Chen, L.; Liu, Y.; Zhao, X. Synthesis of 3,5-dinitropyrazole. Appl. Chem. Ind. 2018, 47, 30–34. [Google Scholar] [CrossRef]
  29. Zhang, P.; Kumar, D.; Zhang, L.; Shem-Tov, D.; Petrutik, N.; Chinnam, A.K.; Yao, C.; Pang, S.; Gozin, M. Energetic Butterfly: Heat-Resistant Diaminodinitro trans-Bimane. Molecules 2019, 24, 4324. [Google Scholar] [CrossRef]
  30. Göbel, M.; Klapötke, T.M. Development and testing of energetic materials: The concept of high densities based on the trinitroethyl functionality. Adv. Funct. Mater. 2009, 19, 347–365. [Google Scholar] [CrossRef]
  31. Klapötke, T.M.; Sabaté, C.M. Nitrogen-rich tetrazolium azotetrazolate salts: A new family of insensitive energetic materials. Chem. Mater. 2008, 20, 1750–1763. [Google Scholar] [CrossRef]
  32. Zhao, T.X.; Li, L.; Dong, Z.; Zhang, Y.; Zhang, G.Z.; Huang, M.; Li, H.B. Research Progress on the Synthesis of Energetic Nitroazoles. Chin. J. Org. Chem. 2014, 34, 304–315. [Google Scholar] [CrossRef]
  33. Huang, A.; Wo, K.; Lee, S.Y.C.; Kneitschel, N.; Chang, J.; Zhu, K.; Mello, T.; Bancroft, L.; Norman, N.J.; Zheng, S.-L. Regioselective synthesis, NMR, and crystallographic analysis of N1-substituted pyrazoles. J. Org. Chem. 2017, 82, 8864–8872. [Google Scholar] [CrossRef] [PubMed]
  34. Lahm, G.P.; Cordova, D.; Barry, J.D. New and selective ryanodine receptor activators for insect control. Bioorg. Med. Chem. 2009, 17, 4127–4133. [Google Scholar] [CrossRef] [PubMed]
  35. Cavero, E.; Uriel, S.; Romero, P.; Serrano, J.L.; Giménez, R. Tetrahedral zinc complexes with liquid crystalline and luminescent properties: Interplay between nonconventional molecular shapes and supramolecular mesomorphic order. J. Am. Chem. Soc. 2007, 129, 11608–11618. [Google Scholar] [CrossRef]
  36. Dalinger, I.L.; Vatsadse, I.A.; Shkineva, T.K.; Popova, G.P.; Ugrak, B.I.; Shevelev, S.A. Nitropyrazoles. Russ. Chem. Bull. 2010, 59, 1631–1638. [Google Scholar] [CrossRef]
  37. Qu, Y.; Babailov, S.P. Azo-linked high-nitrogen energetic materials. J. Mater. Chem. A 2018, 6, 1915–1940. [Google Scholar] [CrossRef]
  38. Janssen, J.; Koeners, H.J.; Kruse, C.G.; Habrakern, C.L. Pyrazoles. XII. Preparation of 3 (5)-nitropyrazoles by thermal rearrangement of N-nitropyrazoles. J. Org. Chem. 1973, 38, 1777–1782. [Google Scholar] [CrossRef]
  39. Habraken, C.L.; Janssen, J. Pyrazoles. VIII. Rearrangement of N-nitropyrazoles. Formation of 3-nitropyrazoles. J. Org. Chem. 1971, 36, 3081–3084. [Google Scholar] [CrossRef]
  40. Verbruggen, R. Cycloaddition with 2-chloro-1-nitroethelene. Chimia 1975, 29, 350–352. [Google Scholar]
  41. Li, C.; Sun, T.; Chen, X. Synthesis of 3-Nitropyrozale. Dyes. Color. 2004, 41, 168–169. [Google Scholar]
  42. Li, H.; Xiong, B.; Jiang, J.; Zheng, X.; Li, Z.; Ma, Y. Synethsis and Characterization of 3-Nitropyrazole and its Salts. Chin. J. Energ. Mater. 2008, 31, 102–104. [Google Scholar]
  43. Tian, X.; Li, J.; Wang, J. Synthesis of 3,4-Dinitropyrazole. Chin. J. Syn. Chem. 2012, 20, 117–118. [Google Scholar]
  44. Zhao, X.X.; Zhang, J.C.; Li, S.H.; Yang, Q.P.; Li, Y.C.; Pang, S.P. A Green and Facile Approach for Synthesis of Nitro Heteroaromatics in Water. Org. Process Res. Dev. 2014, 18, 886–890. [Google Scholar] [CrossRef]
  45. Katritzky, A.R.; Scriven, E.F.V.; Majumder, S.; Akhmedova, R.G.; Akhmedov, N.G.; Vakulenko, A.V. Direct nitration of five membered heterocycles. Arkivoc 2005, 3, 179–191. [Google Scholar]
  46. Ravi, P.; Gore, G.M.; Tewari, S.P.; Sikder, A.K. A simple and environmentally benign nitration of pyrazoles by impregnated bismuth nitrate. J. Heterocyclic Chem. 2013, 50, 1322–1327. [Google Scholar] [CrossRef]
  47. Yi, J.H.; Hu, S.Q.; Liu, S.N.; Cao, D.L.; Ren, J. Theoretical study on structures and detonation performances for nitro derivatives of pyrazole by density functional theory. Chin. J. Energ. Mater. 2010, 18, 252–256. [Google Scholar]
  48. Rao, E.N.; Ravi, P.; Tewari, S.P.; Rao, S.V. Experimental and theoretical studies on the structure and vibrational properties of nitropyrazoles. J. Mol. Struct. 2013, 1043, 121–131. [Google Scholar]
  49. Ravi, P. Experimental and DFT studies on the structure, infrared and Raman spectral properties of dinitropyrazoles. J. Mol. Struct. 2015, 1079, 433–447. [Google Scholar] [CrossRef]
  50. Li, Y.; Dang, X.; Cao, D.; Chai, X. One-pot two steps synthesis of 4-nitropyrazole and its crystal structure. Chin. J. Energ. Mater. 2018, 22, 872–879. [Google Scholar]
  51. Corte, J.R.; De Lucca, I.; Fang, T.; Yang, W.; Wang, Y.; Dilger, A.K.; Pabbisetty, K.B.; Ewing, W.R.; Zhu, Y.; Wexler, R.R. Macrocycles with aromatic P2′ groups as factor xia inhibitors. U.S. Patent No. 9,777,001, 3 October 2017. [Google Scholar]
  52. Ioannidis, S.; Talbot, A.C.; Follows, B.; Buckmelter, A.J.; Wang, M.; Campbell, A.M.; Schmidt, D.R.; Guerin, D.J.; Caravella, J.A.; Diebold, R.B. Preparation of Pyrrolo and Pyrazolopyrimidines as Ubiquitin-Specific Protease 7 Inhibitors. US patent 2,016,018,578,5A, 30 June 2016. [Google Scholar]
  53. Han, S.J.; Kim, H.T.; Joo, J.M. Direct C–H Alkenylation of Functionalized Pyrazoles. J. Org. Chem. 2016, 81, 689–698. [Google Scholar] [CrossRef]
  54. Deng, M.; Wang, Y.; Zhang, W.; Zhang, Q. Synthesis and Properties of 5-Methyl-4-nitro-1H-pyrazol-3(2H)-one and its Energetic Ion Compounds. Chin. J. Energ. Mater. 2017, 25, 646–650. [Google Scholar]
  55. Pan, Y.; Wang, Y.; Zhao, B.; Gao, F.; Chen, B.; Liu, Y. Research Progress in Synthesis, Properties and Applications of Nitropyrazoles and Their Derivatives. Chin. J. Energ. Mater. 2018, 26, 796–812. [Google Scholar]
  56. Zhang, Y.; Li, Y.; Hu, J.; Ge, Z.; Sun, C.; Pang, S. Energetic C-trinitromethyl-substituted pyrazoles: Synthesis and characterization. Dalton Trans. 2019, 48, 1524–1529. [Google Scholar] [CrossRef]
  57. Yin, P.; Zhang, J.; He, C.; Parrish, D.A.; Shreeve, J.N.M. Polynitro-substituted pyrazoles and triazoles as potential energetic materials and oxidizers. J. Mater. Chem. A 2014, 2, 3200–3208. [Google Scholar] [CrossRef]
  58. Dalinger, I.L.; Vatsadze, I.A.; Shkineva, T.K.; Kormanov, A.V.; Struchkova, M.I.; Suponitsky, K.Y.; Bragin, A.A.; Monogarov, K.A.; Sinditskii, V.P.; Sheremetev, A.B. Novel Highly Energetic Pyrazoles: N-Trinitromethyl-Substituted Nitropyrazoles. Chem.-Asian. J. 2015, 10, 1987–1996. [Google Scholar] [CrossRef]
  59. Xiong, H.; Yang, H.; Cheng, G. 3-Trinitromethyl-4-nitro-5-nitramine-1H-pyrazole: A high energy density oxidizer. New J. Chem. 2019, 43, 13827–13831. [Google Scholar] [CrossRef]
  60. Semenov, V.V.; Shevelev, S.A.; Bruskin, A.B.; Kanishchev, M.I.; Baryshnikov, A.T. Mechanism of nitration of nitrogen-containing heterocyclic N-acetonyl derivatives. General approach to the synthesis of N-dinitromethylazoles. Russ. Chem. Bull. 2009, 58, 2077–2096. [Google Scholar] [CrossRef]
  61. Zhang, Y.; Li, Y.; Yu, T.; Liu, Y.; Chen, S.; Ge, Z.; Sun, C.; Pang, S. Synthesis and Properties of Energetic Hydrazinium 5-Nitro-3-dinitromethyl-2H-pyrazole by Unexpected Isomerization of N-Nitropyrazole. ACS Omega 2019, 4, 19011–19017. [Google Scholar] [CrossRef]
  62. Lei, C.; Yang, H.; Cheng, G. New pyrazole energetic materials and their energetic salts: Combining the dinitromethyl group with nitropyrazole. Dalton Trans. 2020, 49, 1660–1667. [Google Scholar] [CrossRef]
  63. Yin, P.; He, C.; Shreeve, J.N.M. Fused heterocycle-based energetic salts: Alliance of pyrazole and 1,2,3-triazole. J. Mater. Chem. A 2016, 4, 1514–1519. [Google Scholar] [CrossRef]
  64. Dalinger, I.L.; Kormanov, A.V.; Vatsadze, I.A.; Serushkina, O.V.; Shkineva, T.K.; Suponitsky, K.Y.; Pivkina, A.N.; Sheremetev, A.B. Synthesis of 1-and 5-(pyrazolyl) tetrazole amino and nitro derivatives. Chem. Heterocycl. Com+. 2016, 52, 1025–1034. [Google Scholar] [CrossRef]
  65. Zyuzin, I.N.; Suponitsky, K.Y.; Dalinger, I.L. N-[2,2-Bis(methoxy-NNO-azoxy)ethyl]pyrazoles. Chem. Heterocycl. Com+. 2017, 53, 702–709. [Google Scholar] [CrossRef]
  66. Dalinger, I.L.; Kormanov, A.V.; Suponitsky, K.Y.; Muravyev, N.V.; Sheremetev, A.B. Pyrazole-Tetrazole Hybrid with Trinitromethyl, Fluorodinitromethyl, or (Difluoroamino)dinitromethyl Groups: High-Performance Energetic Materials. Chem.-Asian J. 2018, 13, 1165–1172. [Google Scholar] [CrossRef] [PubMed]
  67. Tang, Y.; Ma, J.; Imler, G.H.; Parrish, D.A.; Jean’ne, M.S. Versatile functionalization of 3, 5-diamino-4-nitropyrazole for promising insensitive energetic compounds. Dalton Trans. 2019, 48, 14490–14496. [Google Scholar] [CrossRef]
  68. Yin, P.; He, C.; Shreeve, J.N.M. Fully C/N-Polynitro-Functionalized 2, 2′-Biimidazole Derivatives as Nitrogen-and Oxygen-Rich Energetic Salts. Chem.-Eur. J. 2016, 22, 2108–2113. [Google Scholar] [CrossRef]
  69. Tang, Y.; Liu, Y.; Imler, G.H.; Parrish, D.A.; Shreeve, J.N.M. Green Synthetic Approach for High-Performance Energetic Nitramino Azoles. Org. Lett. 2019, 21, 2610–2614. [Google Scholar] [CrossRef]
  70. Xu, M.; Cheng, G.; Xiong, H.; Wang, B.; Ju, X.; Yang, H. Synthesis of high-performance insensitive energetic materials based on nitropyrazole and 1,2,4-triazole. New J. Chem. 2019, 43, 11157–11163. [Google Scholar] [CrossRef]
  71. Ma, J.; Tang, Y.; Cheng, G.; Imler, G.H.; Parrish, D.A.; Shreeve, J.M. Energetic Derivatives of 8-Nitropyrazolo[1,5-a][1,3,5]triazine-2,4,7-triamine: Achieving Balanced Explosives by Fusing Pyrazole with Triazine. Org. Lett. 2020, 22, 1321–1325. [Google Scholar] [CrossRef]
  72. Biffin, M.E.C.; Brown, D.J.; Porter, Q.N. A novel route from 4-methoxy-5-nitropyrimidine to 3-amino-4-nitropyrazole and pyrazolo [3, 4-b] pyrazine. Tetrahedron Lett. 1967, 8, 2029–2031. [Google Scholar] [CrossRef]
  73. Ravi, P.; Koti Reddy, C.; Saikia, A.; Mohan Gore, G.; Kanti Sikder, A.; Prakash Tewari, S. Nitrodeiodination of polyiodopyrazoles. Propell. Explos. Pyrot. 2012, 37, 167–171. [Google Scholar] [CrossRef]
  74. Liu, W.; Li, Y. Prospect on studying 3,4-nitropyrazole synthesis. Jiangxi Chem. Ind. 2015, 5, 8–12. [Google Scholar]
  75. Latypov, N.V.; Silevich, V.A.; Ivanov, P.A.; Pevzner, M.S. Diazotization of aminonitropyrazoles. Chem. Heterocycl. Com+. 1976, 12, 1355–1359. [Google Scholar] [CrossRef]
  76. Vinogradov, V.M.; Dalinger, I.L.; Gulevskaya, V.I.; Shevelev, S.A. Nitropyrazoles. Russ. Chem. Bull. 1993, 42, 1369–1371. [Google Scholar] [CrossRef]
  77. Stefan, E.; Wahlström, L.Y.; Latypov, N. Derivatives of 3 (5), 4-dinitropyrazole as potential energetic plasticisers. Chem. Chem. Eng. 2011, 5, 929–935. [Google Scholar]
  78. Wang, Y.L.; Ji, Y.P.; Chen, B.; Wang, W.; Gao, F.L. Improved Synthesis of 3, 4-Dinitropyrazole. Chin. J. Energ. Mater. 2011, 19, 377–379. [Google Scholar]
  79. Tian, X.; Li, J.-S. Thermal decomposition and non-isothermal kinetics of 3, 4-dinitropyrazole. Chem. Res. Appl. 2013, 25, 18–22. [Google Scholar]
  80. Du, S.; Li, Y.-X.; Wang, J.-L.; Wang, Y.-H.; Cao, D.-L. Review for synthetic method and properties of 3, 4-dinitropyrazole. Chem. Res. 2011, 5, 106–110. [Google Scholar]
  81. Li, Y.; Guo, J.; Song, L. Synthesis, performance and crystal structure of 1-methyl-3, 4-dinitropyrazole. Chin. J. Explos. Propell. 2015, 38, 64–68. [Google Scholar]
  82. Zhang, Q.; Li, Y.; Qiao, Q.; Ren, H.; Li, Y. Optimization on synthesis process and characterization of 1-methyl-3,4-dinitropyrazoles. Chin. J. Energ. Mater. 2015, 23, 222–225. [Google Scholar]
  83. Wang, Y.-L.; Zhang, Z.-Z.; Wang, B.-Z.; Zheng, X.-D.; Zhou, Y.-S. Synthesis of 3, 5-Dinitropyrazole. Chin. J. Energ. Mater. 2007, 15, 574–576. [Google Scholar]
  84. Zaitsev, A.A.; Dalinger, I.L.; Shevelev, S.A. Dinitropyrazoles. Russ. Chem. Rev. 2009, 78, 589. [Google Scholar] [CrossRef]
  85. Zhao, X.; Qi, C.; Zhang, L.; Wang, Y.; Li, S.; Zhao, F.; Pang, S. Amination of nitroazoles—A comparative study of structural and energetic properties. Molecules 2014, 19, 896–910. [Google Scholar] [CrossRef] [PubMed]
  86. Wang, Y.-L.; Zhang, Z.-Z.; Wang, B.-Z.; Luo, Y.-F. Synthesis of LLM-116 by VNS Reaction. Chin. J. Explos. Propell. 2007, 30, 20–23. [Google Scholar]
  87. Stefan, E.; Latypov, N.V. Four Syntheses of 4-Amino-3, 5-dinitropyrazole. J. Heterocyclic. Chem. 2014, 51, 1621–1627. [Google Scholar]
  88. Zhang, M.; Gao, H.; Li, C.; Fu, W.; Tang, L.; Zhou, Z. Towards improved explosives with a high performance: N-(3, 5-dinitro-1 H-pyrazol-4-yl)-1 H-tetrazol-5-amine and its salts. J. Mater. Chem. A 2017, 5, 1769–1777. [Google Scholar] [CrossRef]
  89. Dalinger, I.L.; Vatsadze, I.A.; Shkineva, T.K.; Popova, G.P.; Shevelev, S.A. Efficient procedure for high-yield synthesis of 4-substituted 3, 5-dinitropyrazoles using 4-chloro-3, 5-dinitropyrazole. Synthesis 2012, 44, 2058–2064. [Google Scholar] [CrossRef]
  90. He, C.; Zhang, J.; Parrish, D.A.; Jean’ne, M.S. 4-Chloro-3, 5-dinitropyrazole: A precursor for promising insensitive energetic compounds. J. Mater. Chem. A 2013, 1, 2863–2868. [Google Scholar] [CrossRef]
  91. Zhang, Y.; Huang, Y.; Parrish, D.A.; Jean’ne, M.S. 4-Amino-3, 5-dinitropyrazolate salts—highly insensitive energetic materials. J. Mater. Chem. 2011, 21, 6891–6897. [Google Scholar] [CrossRef]
  92. Chavez, D.E.; Bottaro, J.C.; Petrie, M.; Parrish, D.A. Synthesis and Thermal Behavior of a Fused, Tricyclic 1, 2, 3, 4-Tetrazine Ring System. Angew. Chem. Int. Ed. 2015, 54, 12973–12975. [Google Scholar] [CrossRef]
  93. Hervé, G.; Roussel, C.; Graindorge, H. Selective Preparation of 3, 4, 5-Trinitro-1H-Pyrazole: A Stable All-Carbon-Nitrated Arene. Angew. Chem. Int. Ed. 2010, 49, 3177–3181. [Google Scholar] [CrossRef]
  94. Bölter, M.F.; Klapötke, T.M.; Kustermann, T.; Lenz, T.; Stierstorfer, J. Improving the Energetic Properties of Dinitropyrazoles by Utilization of Current Concepts. Eur. J. Inorg. Chem. 2018, 2018, 4125–4132. [Google Scholar] [CrossRef]
  95. Yin, P.; Mitchell, L.A.; Parrish, D.A.; Shreeve, J.M. Comparative Study of Various Pyrazole-based Anions: A Promising Family of Ionic Derivatives as Insensitive Energetic Materials. Chem.-Asian J. 2017, 12, 378–384. [Google Scholar] [CrossRef] [PubMed]
  96. Zhang, Y.; Parrish, D.A.; Shreeve, J.N.M. 4-Nitramino-3, 5-dinitropyrazole-Based Energetic Salts. Chem.-Eur. J. 2012, 18, 987–994. [Google Scholar] [CrossRef] [PubMed]
  97. Kumari, D.; Balakshe, R.; Banerjee, S.; Singh, H. Energetic plasticizers for gun & rocket propellants. Rev. J. Chem. 2012, 2, 240–262. [Google Scholar]
  98. Dalinger, I.L.; Shakhnes, A.K.; Monogarov, K.A.; Suponitsky, K.Y.; Sheremetev, A.B. Novel highly energetic pyrazoles: N-fluorodinitromethyl and N-[(difluoroamino)dinitromethyl] derivatives. Mendeleev Commun. 2015, 25, 429–431. [Google Scholar] [CrossRef]
  99. Dalinger, I.L.; Suponitsky, K.Y.; Pivkina, A.N.; Sheremetev, A.B. Novel Melt-Castable Energetic Pyrazole: A Pyrazolyl-Furazan Framework Bearing Five Nitro Groups. Propell. Explos. Pyrot. 2016, 41, 789–792. [Google Scholar] [CrossRef]
  100. Agrawal, J.P.; Past, P. Future of Thermally Stable Explosives. Cent. Eur. J. Energ. Mater. 2012, 9, 273–290. [Google Scholar]
  101. Li, C.; Zhang, M.; Chen, Q.; Li, Y.; Gao, H.; Fu, W.; Zhou, Z. 1-(3,5-Dinitro-1H-pyrazol-4-yl)-3-nitro-1H-1,2,4-triazol-5-amine (HCPT) and its energetic salts: Highly thermally stable energetic materials with high-performance. Dalton Trans. 2016, 45, 17956–17965. [Google Scholar] [CrossRef]
  102. Wu, J.; Cao, D.; Wang, J.; Liu, Y.; Li, Y. Progress on 3,4,5-Trinitro-1H-pyrazole and Its derivatives. Chin. J. Energ. Mater. 20116, 24, 1121–1130. [Google Scholar]
  103. Ravi, P.; Tewari, S.P. Facile and environmentally friendly synthesis of nitropyrazoles using montmorillonite K-10 impregnated with bismuth nitrate. Catal. Commun. 2012, 19, 37–41. [Google Scholar] [CrossRef]
  104. Ravi, P.; Gore, G.M.; Sikder, A.K.; Tewari, S.P. Thermal decomposition kinetics of 1-methyl-3, 4, 5-trinitropyrazole. Thermochim. acta 2012, 528, 53–57. [Google Scholar] [CrossRef]
  105. Dalinger, I.L.; Vatsadze, I.A.; Shkineva, T.K.; Popova, G.P.; Shevelev, S.A. The specific reactivity of 3, 4, 5-trinitro-1H-pyrazole. Mendeleev Commun. 2010, 20, 253–254. [Google Scholar] [CrossRef]
  106. Dalinger, I.L.; Vatsadze, I.A.; Shkineva, T.K.; Popova, G.P.; Shevelev, S.A.; Nelyubina, Y.V. Synthesis and Comparison of the Reactivity of 3, 4, 5-1H-Trinitropyrazole and Its N-Methyl Derivative. J. Heterocyclic. Chem. 2013, 50, 911–924. [Google Scholar] [CrossRef]
  107. Guo, H.-J.; Dang, X.; Yang, F.; Cao, D.-L.; Li, Y.-X.; Hu, W.-H.; Jiang, Z.-M.; Li, Z.-H.; Li, Z.-Y.; Zhang, L.-W. Solubility and thermodynamic properties of a kind of explosives in four binary solvents. J. Mol. Liq. 2017, 247, 313–327. [Google Scholar] [CrossRef]
  108. Jun, W.; Mei, J.; Zhang, X.-Y. Empirical calculation of the explosive prameters of nitrodiazole explosives (II). Chin. J. Energ. Mater. 2013, 21, 609–611. [Google Scholar]
  109. Zhang, Y.; Guo, Y.; Joo, Y.H.; Parrish, D.A.; Shreeve, J.N.M. 3, 4, 5-Trinitropyrazole-Based Energetic Salts. Chem.-Eur. J. 2010, 16, 10778–10784. [Google Scholar] [CrossRef]
  110. Drukenmüller, I.E.; Klapötke, T.M.; Morgenstern, Y.; Rusan, M.; Stierstorfer, J. Metal Salts of Dinitro-, Trinitropyrazole, and Trinitroimidazole. Z. Anorg. Allg. Chem. 2014, 640, 2139–2148. [Google Scholar] [CrossRef]
  111. Zhang, Y.; Parrish, D.A.; Jean’ne, M.S. Synthesis and properties of 3, 4, 5-trinitropyrazole-1-ol and its energetic salts. J. Mater. Chem. 2012, 22, 12659–12665. [Google Scholar] [CrossRef]
  112. Kumar, D.; He, C.; Mitchell, L.A.; Parrish, D.A.; Shreeve, J.N.M. Connecting energetic nitropyrazole and aminotetrazole moieties with N,N′-ethylene bridges: A promising approach for fine tuning energetic properties. J. Mater. Chem. A 2016, 4, 9220–9228. [Google Scholar] [CrossRef]
  113. Kumar, D.; Imler, G.H.; Parrish, D.A.; Shreeve, J.N.M. N-Acetonitrile Functionalized Nitropyrazoles: Precursors to Insensitive Asymmetric N-Methylene-C Linked Azoles. Chem.-Eur. J. 2017, 23, 7876–7881. [Google Scholar] [CrossRef]
  114. Tang, Y.; Kumar, D.; Shreeve, J.N.M. Balancing excellent performance and high thermal stability in a dinitropyrazole fused 1, 2, 3, 4-tetrazine. J. Am. Chem. Soc. 2017, 139, 13684–13687. [Google Scholar] [CrossRef] [PubMed]
  115. Tang, Y.; He, C.; Imler, G.H.; Parrish, D.A.; Jean’ne, M.S. AC–C bonded 5, 6-fused bicyclic energetic molecule: Exploring an advanced energetic compound with improved performance. Chem. Commun. 2018, 54, 10566–10569. [Google Scholar] [CrossRef] [PubMed]
  116. Tang, Y.; He, C.; Imler, G.H.; Parrish, D.A.; Jean’ne, M.S. Energetic derivatives of 4, 4′, 5, 5′-tetranitro-2 H, 2′ H-3, 3′-bipyrazole (TNBP): Synthesis, characterization and promising properties. J. Mater. Chem. A 2018, 6, 5136–5142. [Google Scholar] [CrossRef]
  117. Domasevitch, K.V.; Gospodinov, I.; Krautscheid, H.; Klapötke, T.M.; Stierstorfer, J. Facile and selective polynitrations at the 4-pyrazolyl dual backbone: Straightforward access to a series of high-density energetic materials. New J. Chem. 2019, 43, 1305–1312. [Google Scholar] [CrossRef]
  118. Kumar, D.; Mitchell, L.A.; Parrish, D.A.; Shreeve, J.N.M. Asymmetric N,N′-ethylene-bridged azole-based compounds: Two way control of the energetic properties of compounds. J. Mater. Chem. A 2016, 4, 9931–9940. [Google Scholar] [CrossRef]
  119. Yin, P.; Parrish, D.A.; Shreeve, J.M. Bis(nitroamino-1,2,4-triazolates): N-bridging strategy toward insensitive energetic materials. Angew. Chem. Int. Ed. 2014, 53, 12889–12892. [Google Scholar] [CrossRef]
  120. Zhang, Q.; Zhang, J.; Parrish, D.A.; Shreeve, J.N.M. Energetic N-Trinitroethyl-Substituted Mono-, Di-, and Triaminotetrazoles. Chem.-Eur. J. 2013, 19, 11000–11006. [Google Scholar] [CrossRef]
  121. Joo, Y.H.; Shreeve, J.N.M. Energetic Mono-, Di-, and Trisubstituted Nitroiminotetrazoles. Angew. Chem. Int. Ed. 2009, 48, 564–567. [Google Scholar] [CrossRef]
  122. Yin, P.; Zhang, J.; Parrish, D.A.; Shreeve, J.M. Energetic N,N′-ethylene-bridged bis(nitropyrazoles): Diversified functionalities and properties. Chemistry 2014, 20, 16529–16536. [Google Scholar] [CrossRef]
  123. Fischer, D.; Gottfried, J.L.; Klapotke, T.M.; Karaghiosoff, K.; Stierstorfer, J.; Witkowski, T.G. Synthesis and Investigation of Advanced Energetic Materials Based on Bispyrazolylmethanes. Angew. Chem. Int. Ed. 2016, 55, 16132–16135. [Google Scholar] [CrossRef]
  124. Li, H.; Zhang, L.; Petrutik, N.; Wang, K.; Ma, Q.; Shem-Tov, D.; Zhao, F.; Gozin, M. Molecular and crystal features of thermostable energetic materials: Guidelines for architecture of “bridged” compounds. ACS Central Sci. 2019, 6, 54–75. [Google Scholar] [CrossRef] [PubMed]
  125. Zhang, M.X.; Pagoria, P.F.; Imler, G.H.; Parrish, D. Trimerization of 4-Amino-3,5-dinitropyrazole: Formation, Preparation, and Characterization of 4-Diazo-3,5-bis(4-amino-3,5-dinitropyrazol-1-yl) pyrazole (LLM-226). J. Heterocyclic. Chem. 2019, 56, 781–787. [Google Scholar] [CrossRef]
  126. Yan, T.; Cheng, G.; Yang, H. 1,2,4-Oxadiazole-Bridged Polynitropyrazole Energetic Materials with Enhanced Thermal Stability and Low Sensitivity. Chempluschem 2019, 84, 1567–1577. [Google Scholar] [CrossRef] [PubMed]
  127. Yan, T.; Cheng, G.; Yang, H. 1, 3, 4-Oxadiazole based thermostable energetic materials: Synthesis and structure–property relationship. New J. Chem. 2020, 44, 6643–6651. [Google Scholar] [CrossRef]
  128. Yin, P.; Zhang, J.; Imler, G.H.; Parrish, D.A.; Shreeve, J.N.M. Polynitro-Functionalized Dipyrazolo-1, 3, 5-triazinanes: Energetic Polycyclization toward High Density and Excellent Molecular Stability. Angew. Chem. Int. Ed. 2017, 129, 8960–8964. [Google Scholar] [CrossRef]
  129. Il’yasov, S.G.; Danilova, E.O. Preparation of 1, 3-Diazido-2-Nitro-2-Azapropane from Urea. Propell. Explos. Pyrot. 2012, 37, 427–431. [Google Scholar] [CrossRef]
  130. Zhang, J.; He, C.; Parrish, D.A.; Shreeve, J.N.M. Nitramines with Varying Sensitivities: Functionalized Dipyrazolyl-N-nitromethanamines as Energetic Materials. Chem.-Eur. J. 2013, 19, 8929–8936. [Google Scholar] [CrossRef]
  131. Klapötke, T.M.; Penger, A.; Pflüger, C.; Stierstorfer, J.; Sućeska, M. Advanced Open-Chain Nitramines as Energetic Materials: Heterocyclic-Substituted 1, 3-Dichloro-2-nitrazapropane. Eur. J. Inorg. Chem. 2013, 2013, 4667–4678. [Google Scholar] [CrossRef]
  132. Yin, M.; Shu, Y.; Xiong, Y.; Luo, S.; Long, X.; Zhu, Z.; Du, J. Theoretical study on relationship between structures and properties of pyrazole compounds. Chin. J. Energ. Mater. 2008, 15, 567–571. [Google Scholar]
  133. Türker, L.; Variş, S. A Review of Polycyclic Aromatic Energetic Materials. Polycycl. Aromat. Comp. 2009, 29, 228–266. [Google Scholar] [CrossRef]
  134. Dalinger, I.L.; Shkineva, T.K.; Shevelev, S.A.; Kanishchev, M.I.; Kral, V.; Arnold, Z. A method for preparation of C-diformylmethylnitropyrazoles. Russ. Chem. Bull. 1993, 42, 211–212. [Google Scholar] [CrossRef]
  135. Pagoria, P.F. Synthesis, Scale-up and Experimental Testing of ANPZO. In Proceedings of the 1998 Insensitive Munitions and Energetic Materials Technology Symposium, San Diego, CA, USA, 16–19 November 1998. [Google Scholar]
  136. Li, Y.; Wang, B.; Luo, Y.; Yang, W.; Wang, Y.; Li, H. Synthesis of 3,6-Dinitropyrazolo[4, 3-c]pyrazole (DNPP) in Hectogram scale and Crystal Structure of DNPP·H2O. Chin. J. Energ. Mater. 2013, 21, 449–454. [Google Scholar]
  137. Luo, Y.; Ge, Z.; Wang, B.; Zhang, H.; Liu, Q. Synthetic improvent of DNPP. Chin. J. Energ. Mater. 2007, 15, 205–208. [Google Scholar]
  138. Zhang, J.; Parrish, D.A.; Shreeve, J.M. Thermally sTable 3,6-dinitropyrazolo[4,3-c]pyrazole-based energetic materials. Chem.-Asian J. 2014, 9, 2953–2960. [Google Scholar] [CrossRef]
  139. Li, Y.; Li, X.; Li, H.; Lian, P.; Yifen, L.; Wang, B. Synthesis and thermal performance of organic diamino salts of 3,6-dinitropyrazolo4,3-cpyrazole (DNPP). J. Solid Rocket Technol. 2015, 38. [Google Scholar]
  140. Li, Y.; Tang, T.; Lian, P.; Luo, Y.; Yang, W.; Wang, Y.; Li, H.; Zhang, Z.; Wang, B. Synthesis, Thermal Performance and Quantum Chemistry Study on 1,4-Diamino-3,6-dinitropyrazolo[4,3-c]pyrazole. Chin. J. Energ. Mater. 2012, 32, 580. [Google Scholar] [CrossRef]
  141. Yin, P.; Zhang, J.; Mitchell, L.A.; Parrish, D.A.; Shreeve, J.N.M. 3, 6-Dinitropyrazolo [4, 3-c] pyrazole-Based Multipurpose Energetic Materials through Versatile N-Functionalization Strategies. Angew. Chem. Int. Ed. 2016, 128, 13087–13089. [Google Scholar] [CrossRef]
  142. Li, Y.; Shu, Y.; Wang, B.; Zhang, S.; Zhai, L. Synthesis, structure and properties of neutral energetic materials based on N-functionalization of 3,6-dinitropyrazolo[4,3-c]pyrazole. RSC Adv. 2016, 6, 84760–84768. [Google Scholar] [CrossRef]
  143. Li, Y.; Chang, P.; Chen, T.; Hu, J.; Wang, B.; Zhang, H.; Li, P.; Wang, B. Synthesis, Characterization are Properties of 1,4-Dinitramino-3,6-dinitropyrazolo[4,3-c]pyrazole and Its Energetic Salts. Chin. J. Energ. Mater. 2018, 26, 578–584. [Google Scholar]
  144. Li, Y.; Hu, J.; Chang, P.; Chen, T.; Zhang, H.; Wang, B. Synthesis, Crstal Structure and Properties of 1, 4-Dinitramino-3, 6-dinitropyrazolo[4, 3-c]pyrazole’s Aminourea Salt. Chin. J. Explos. Propell. 2019, 42, 341–345. [Google Scholar]
  145. Zhang, W.; Xia, H.; Yu, R.; Zhang, J.; Wang, K.; Zhang, Q. Synthesis and Properties of 3, 6-Dinitropyrazolo [4, 3-c]-pyrazole (DNPP) Derivatives. Propell. Explos. Pyrot. 2020, 45, 546–553. [Google Scholar] [CrossRef]
  146. Xia, H.; Zhang, W.; Jin, Y.; Song, S.; Wang, K.; Zhang, Q. Synthesis of Thermally Stable and Insensitive Energetic Materials by Incorporating the Tetrazole Functionality into a Fused-Ring 3,6-Dinitropyrazolo-[4,3-c]Pyrazole Framework. ACS Appl. Mater. Inter. 2019, 11, 45914–45921. [Google Scholar] [CrossRef] [PubMed]
Figure 1. Summary of synthesis of 3-NP, 3-MNP and metal salts of 3-NP.
Figure 1. Summary of synthesis of 3-NP, 3-MNP and metal salts of 3-NP.
Molecules 25 03475 g001
Figure 2. Synthesis of 4-NP.
Figure 2. Synthesis of 4-NP.
Molecules 25 03475 g002
Figure 3. Synthesis of compounds 1 and 2.
Figure 3. Synthesis of compounds 1 and 2.
Molecules 25 03475 g003
Figure 4. Synthesis of compounds 35.
Figure 4. Synthesis of compounds 35.
Molecules 25 03475 g004
Figure 5. Synthesis of salts of trinitromethyl and dinitromethyl-substituted mononitropyrazoles.
Figure 5. Synthesis of salts of trinitromethyl and dinitromethyl-substituted mononitropyrazoles.
Molecules 25 03475 g005
Figure 6. Synthesis of mononitropyrazole derivatives 811.
Figure 6. Synthesis of mononitropyrazole derivatives 811.
Molecules 25 03475 g006
Figure 7. Synthesis of mononitropyrazole derivatives 1215.
Figure 7. Synthesis of mononitropyrazole derivatives 1215.
Molecules 25 03475 g007
Figure 8. Synthesis of compound 16 and its salts.
Figure 8. Synthesis of compound 16 and its salts.
Molecules 25 03475 g008
Figure 9. Synthesis of compounds 1719i.
Figure 9. Synthesis of compounds 1719i.
Molecules 25 03475 g009
Figure 10. Synthesis of compounds 20a21d.
Figure 10. Synthesis of compounds 20a21d.
Molecules 25 03475 g010
Figure 11. Synthesis of 3,4-DNP and 3,4-MDNP.
Figure 11. Synthesis of 3,4-DNP and 3,4-MDNP.
Molecules 25 03475 g011
Figure 12. Synthesis of 3,5-DNP and 3,5-MDNP.
Figure 12. Synthesis of 3,5-DNP and 3,5-MDNP.
Molecules 25 03475 g012
Figure 13. Synthesis of LLM-116.
Figure 13. Synthesis of LLM-116.
Molecules 25 03475 g013
Figure 14. Synthesis of derivatives based on 4-amino-3,5-dinitropyrazole and 1-methyl-4-chloro-3,5-dinitropyrazole.
Figure 14. Synthesis of derivatives based on 4-amino-3,5-dinitropyrazole and 1-methyl-4-chloro-3,5-dinitropyrazole.
Molecules 25 03475 g014
Figure 15. Synthesis of ionic salts of 3,4-DNP and 3,5-DNP.
Figure 15. Synthesis of ionic salts of 3,4-DNP and 3,5-DNP.
Molecules 25 03475 g015
Figure 16. Synthesis of ionic salts of LLM-116.
Figure 16. Synthesis of ionic salts of LLM-116.
Molecules 25 03475 g016
Figure 17. Synthesis of ionic salts of dinitropyrazoles.
Figure 17. Synthesis of ionic salts of dinitropyrazoles.
Molecules 25 03475 g017
Figure 18. N-Trinitroethylamination of dinitropyrazole.
Figure 18. N-Trinitroethylamination of dinitropyrazole.
Molecules 25 03475 g018
Figure 19. Synthesis of compounds 5357.
Figure 19. Synthesis of compounds 5357.
Molecules 25 03475 g019
Figure 20. Synthesis of compound 58.
Figure 20. Synthesis of compound 58.
Molecules 25 03475 g020
Figure 21. Synthesis of compounds 5960i.
Figure 21. Synthesis of compounds 5960i.
Molecules 25 03475 g021
Figure 22. Synthesis of MTNP and ATNP.
Figure 22. Synthesis of MTNP and ATNP.
Molecules 25 03475 g022
Figure 23. Synthesis of different salts of TNP. (A), the polynitrogen salts; (B), the alkali and earth alkali salts.
Figure 23. Synthesis of different salts of TNP. (A), the polynitrogen salts; (B), the alkali and earth alkali salts.
Molecules 25 03475 g023
Figure 24. Synthesis of compound 63 and its salts.
Figure 24. Synthesis of compound 63 and its salts.
Molecules 25 03475 g024
Figure 25. Synthesis of compounds 6467.
Figure 25. Synthesis of compounds 6467.
Molecules 25 03475 g025
Figure 26. Synthesis of compounds 6870.
Figure 26. Synthesis of compounds 6870.
Molecules 25 03475 g026
Figure 27. Synthesis of compounds 71–73i.
Figure 27. Synthesis of compounds 71–73i.
Molecules 25 03475 g027
Figure 28. Synthesis of compounds 7476.
Figure 28. Synthesis of compounds 7476.
Molecules 25 03475 g028
Figure 29. Synthesis of bis(nitropyrazoles) linked by N,N′-ethylene-bridge 7785.
Figure 29. Synthesis of bis(nitropyrazoles) linked by N,N′-ethylene-bridge 7785.
Molecules 25 03475 g029
Figure 30. Synthesis of bis(nitropyrazoles) linked by N,N′-methylene-bridge 8690.
Figure 30. Synthesis of bis(nitropyrazoles) linked by N,N′-methylene-bridge 8690.
Molecules 25 03475 g030
Figure 31. Synthesis of compounds 91 and 92.
Figure 31. Synthesis of compounds 91 and 92.
Molecules 25 03475 g031
Figure 32. Synthesis of compound 93.
Figure 32. Synthesis of compound 93.
Molecules 25 03475 g032
Figure 33. Synthesis of compounds 9499, and chemical structures of compounds 100105.
Figure 33. Synthesis of compounds 9499, and chemical structures of compounds 100105.
Molecules 25 03475 g033
Figure 34. Synthesis of compound 106.
Figure 34. Synthesis of compound 106.
Molecules 25 03475 g034
Figure 35. Synthesis of compounds 107a111.
Figure 35. Synthesis of compounds 107a111.
Molecules 25 03475 g035
Figure 36. Synthesis of compounds 112114.
Figure 36. Synthesis of compounds 112114.
Molecules 25 03475 g036
Figure 37. Synthesis of nitrated bispyrazoles 115-122 from 1,3-dichloro-2-nitro-2-azapropane.
Figure 37. Synthesis of nitrated bispyrazoles 115-122 from 1,3-dichloro-2-nitro-2-azapropane.
Molecules 25 03475 g037
Figure 38. Synthesis of DNPP.
Figure 38. Synthesis of DNPP.
Molecules 25 03475 g038
Figure 39. Synthesis of salts of DNPP.
Figure 39. Synthesis of salts of DNPP.
Molecules 25 03475 g039
Figure 40. Synthesis of N-functional derivatives of DNPP.
Figure 40. Synthesis of N-functional derivatives of DNPP.
Molecules 25 03475 g040
Figure 41. Synthesis of derivatives of DNPP containing dinitromethyl and fluorodinitromethyl group.
Figure 41. Synthesis of derivatives of DNPP containing dinitromethyl and fluorodinitromethyl group.
Molecules 25 03475 g041
Figure 42. Synthesis of derivatives of DNPPP containing tetrazole groups.
Figure 42. Synthesis of derivatives of DNPPP containing tetrazole groups.
Molecules 25 03475 g042
Table 1. Properties of 3-NP, 4-NP, 3-MNP and 4-MNP.
Table 1. Properties of 3-NP, 4-NP, 3-MNP and 4-MNP.
Explosiveρ/g·cm−3D/km·s−1P/GPaTm/°COB/%N/%Ref.
3-NP1.577.0220.08174–175−77.8837.17[55]
4-NP1.526.8618.81163–165−77.8837.17[55]
3-MNP1.476.6217.1180–83−107.0926.77[3]
4-MNP1.406.4215.5282−107.0926.77[3]
Table 2. Properties of the derivatives of compounds 17.
Table 2. Properties of the derivatives of compounds 17.
Entryρ/g·cm−3D/km·s−1P/GPaTm/°CTd/°COB/%N/%HOF/kJ ·mol−1IS/JFS/NRef.
11.748.3930.8109.0112+2.7533.68140.915.0360[57]
21.808.6533.939.0145−6.1032.07181.07.5120[58]
31.858.9335.959.9113+18.332.07311.42.536[56]
41.808.6032.2147.2154+18.332.07208.13.080[56]
51.909.1237.274124+24.834.79320.25.080[59]
61.848.7933.8-128−9.6439.35194.87.0192[61]
71.768.5330.8-117−25.7932.26205.617.0114[62]
7a2.018.1329.5-171−21.9427.44−55.74.036[62]
7b1.878.2628.6-203−23.4229.2928.29.0120[62]
7c1.788.6033.0-141−34.1635.9085.4>20.0192[62]
7d1.808.7034.1-166−24.2033.60135.5>20.0162[62]
7e1.728.2628.7-161−46.3740.5843.8>20.0240[62]
7f1.718.4830.1-140−46.7443.29231.4>20.0252[62]
TNT1.656.8819.580. 5295−73.818.49−67.015.0358[62]
RDX1.808.7534.9204.1210−21.637.8270.07.0120[62]
Table 3. Energetic characteristics of compounds 815. The data of compounds 811 are from reference [66], the data of compounds 1215 are from reference [67].
Table 3. Energetic characteristics of compounds 815. The data of compounds 811 are from reference [66], the data of compounds 1215 are from reference [67].
Entryρ/g·cm−3D/km·s−1P/GPaTd/°CN/%HOF/kJ· mol−1IS/JFS/N
81.798.863412742.43602--
91.818.473111141.59386--
101.918.993613841.67589--
111.768.783213242.43629--
121.768.2625.927259.7040830360
12a1.788.8229.918756.8944532360
12b1.758.8028.922963.3654735>360
12c1.708.2924.925161.3939940>360
12d1.698.2423.922463.8448640>360
12e1.728.1423.628763.2133840>360
131.728.0022.820052.96127.6>40>360
13a1.688.0023.819645.15−483.332360
141.758.8132.614847.94462.830360
151.787.7921.840653.52127.1>40>360
Table 4. Energetic characteristics of compounds 16a21d. The data of compounds 16ad are from reference [69], the data of compounds 1719i are from reference [70], the data of compounds 20a·H2O –21d·H2O are from reference [71].
Table 4. Energetic characteristics of compounds 16a21d. The data of compounds 16ad are from reference [69], the data of compounds 1719i are from reference [70], the data of compounds 20a·H2O –21d·H2O are from reference [71].
Entryρ/g·cm−3D/km·s−1P/GPaTd/°CHOF/kJ· mol−1IS/JFS/N
16a1.909.3940.0155.0746120
16b1.879.5838.5194.026612160
16c1.808.8432.6192.0−2015240
16d2.127.6426.4232.02462120
171.778.2423.1353.6555.0>40>360
181.878.7533.0238.2737.630360
191.929.0135.9134.4791.820270
19a1.768.6830.0186.6711.4>40>360
19b1.799.0833.6171.3842.0>40>360
19c1.738.7630.2186.61062.4>40>360
19d1.718.1925.1195.4677.9>40>360
19e1.718.5027.3191.31068.7>40>360
19f1.758.7129.7208.21014.622.4>360
19g1.728.1225.7168.51300.5>40>360
19h1.748.1626.0189.71270.5>40>360
19i1.728.1425.9175.91511.2>40>360
20a1.828.3928.2180.060.0>40360
20b1.838.1028.0279.0105.040240
211.898.7131.9248.0314.6>40>360
21a·H2O1.958.2929.1341.0260.9>40>360
21b·H2O1.818.9832.1218.0386.2>40>360
21c·H2O1.809.0631.7190.0557.5>40>360
21d·H2O1.608.2224.6223.0690.0>40>360
Table 5. A brief comparison of four routes by Stefan.
Table 5. A brief comparison of four routes by Stefan.
Via 4-NP (Method A)Via 3,5-Dimethylpyrazole (Method B)Via 3,5-DNP (Method C)Via 4-Chloropyrazole (Method D)
Four stepsSix stepsFive stepsTwo steps
Moderate amount of wasteHigh amount of wasteModerate amount of wasteSmall amount of waste
No unfavorable solvents requiredNo unfavorable solvents requiredDMSO used in the last stepNo unfavorable solvents required
Moderate overall yield, 40%Moderate overall yield, 37%Low overall yield, 21%Moderate overall yield, 61%
Average yield/step: 80%Average yield/step: 85%Average yield/step: 73%Average yield/step: 78%
Table 6. Physical and detonation properties of compounds 2235. The data of compounds 2235 are from reference [90].
Table 6. Physical and detonation properties of compounds 2235. The data of compounds 2235 are from reference [90].
Entryρ/g·cm−3D/km·s−1P/GPaTd/°CHOF/kJ· mol−1IS/J
221.748.2230.1178137.017
231.698.2528.7176104.635
241.728.3130.2176220.718
251.638.1426.327564.8>60
261.888.7335.0241166.0>40
271.667.8223.4245133.5>40
281.848.4631.0308182.6>40
291.788.3931.4233236.610
301.748.4131.0161436.014
311.637.4221.7228177.022
321.718.7230.9146549.68
331.708.1827.6101414.46
341.677.8024.627064.5>40
351.788.2531.2285109.1>40
Table 7. Physical and detonation properties of ionic salts of dinitropyrazoles. The data of compounds 3639 are from reference [26], the data of compounds 40a41o and TATB are from reference [91].
Table 7. Physical and detonation properties of ionic salts of dinitropyrazoles. The data of compounds 3639 are from reference [26], the data of compounds 40a41o and TATB are from reference [91].
Entryρ/g·cm−3D/km·s−1P/GPaTd/°CHOF/kJ· mol−1IS/JFS/N
361.69--127-40360
371.708.1125.9300-40360
381.637.5921.1156-40360
391.597.3219.1295-40360
40a1.638.1426.327564.8>60-
40b1.648.1926.4221222.6>60-
40c1.637.7221.630336.1>60-
40d1.698.2425.2223140.1>60-
40e1.627.4422.7179310.4>60-
40f1.677.7322.4257283.6>60-
40g1.738.1225.8223411.1>60-
40h1.798.4227.2270241.6>60-
40i1.848.7432.6193211.9>60-
41j1.678.3525.9201250.5>60-
41k1.718.7528.9229356.9>60-
41l1.727.9824.2169100.4>60-
41m1.737.9423.1243−166.3>60-
41n1.547.7121.0206389.3>60-
41o1.607.7822.4173471.8>60-
TATB1.938.1131.2324−140.050-
Table 8. Physical and computational properties of ionic salts of dinitropyrazoles. The data of compounds 42a43d are from reference [94], the data of compounds 44·H2O–45 are from reference [95].
Table 8. Physical and computational properties of ionic salts of dinitropyrazoles. The data of compounds 42a43d are from reference [94], the data of compounds 44·H2O–45 are from reference [95].
Entryρ/g·cm−3D/km·s−1P/GPaTd/°CIS/JFS/N
42a1.967.9226.91975216
42b1.688.2828.216710360
42c1.708.0625.118030360
42d1.648.0224.716910360
43a---2296240
43b1.627.9124.422430288
43c1.687.9424.226640360
43d1.688.1625.713110360
44·H2O1.86--9320240
44a1.798.9434.421625240
44b1.869.0037.618235360
44c1.848.8034.017540360
44d1.718.2026.420440360
44e1.718.5428.016940360
44f1758.8830.721440360
451.808.8133.921240360
Table 9. Physical and computational properties of several polynitropyrazoles. The data of compounds 4652 are from reference [57], the data of compounds 5354 are from reference [58].
Table 9. Physical and computational properties of several polynitropyrazoles. The data of compounds 4652 are from reference [57], the data of compounds 5354 are from reference [58].
Entryρ/g·cm−3D/km·s−1P/GPaTm/°CTd/°CHOF/kJ·mol−1IS/JFS/N
461.717.4620.158241200.3>40360
471.829.0535.8120121548.21.55
481.788.6733.187110142.3680
491.829.0035.6-117491.72.520
501.818.7534.3-116124.112120
511.828.6932.8133238.2173.0>40360
521.838.8035.0-134.4112.0880
531.918.6735.580157244.08130
541.948.7336.681159206.09145
Table 10. Physical and computational properties of 5960i. The data of compounds 5959m are from reference [101], the data of compounds 6060i and HMX are from reference [88].
Table 10. Physical and computational properties of 5960i. The data of compounds 5959m are from reference [101], the data of compounds 6060i and HMX are from reference [88].
Entryρ/g·cm−3D/km·s−1P/GPaN/%Td/°CHOF/kJ·mol−1IS/JFS/N
591.849.1737.844.2270833.49240
59a1.738.6231.646.4285622.8>40>360
59b1.768.8334.444.0215709.933252
59c1.748.8032.948.6241811.4>40>360
59d1.788.6631.148.8340624.1>40>360
59e1.658.2426.550.7281728.9>40>360
59f1.708.5428.952.4262831.727240
59g1.718.6930.054.0242941.420216
59h1.728.3628.851.0279828.3>40252
59i1.748.5629.552.6292944.8>40>360
59j1.809.0335.254.52221211.712252
59k1.778.6530.554.23031166.120>360
59l1.75--41.0261-7.5252
59m1.91--37.7281-5216
601.869.2938.652.3279856.435240
60a1.798.9533.354.3299672.6>40168
60b1.849.2337.451.1296719.7>40216
60c1.849.3637.056.4290819.8>40360
60d1.678.2625.956.0256648.8>40360
60e1.728.7628.661.2216808.7>4032
60f1.799.0732.559.4285844.9>40288
60g1.819.2934.260.9287954.9>4084
60h1.848.9532.257.6286840.2>40360
60i1.829.0032.359.1261960.0>40360
HMX1.919.1939.737.8287104.87.4120
Table 11. Property parameters of salts of TNP. The data of compounds 61a61m are from reference [109], the data of compounds 62a62d are from reference [110], the data of compounds 63–63g are from reference [111].
Table 11. Property parameters of salts of TNP. The data of compounds 61a61m are from reference [109], the data of compounds 62a62d are from reference [110], the data of compounds 63–63g are from reference [111].
Entryρ/g·cm−3D/km·s−1P/GPaTd/°CHOF/kJ· mol−1IS/JFS/N
61a1.738.4629.922460.540-
61b1.697.8725.6167299.0>40-
61c1.717.9726.0171273.5>40-
61d1.778.5431.9168401.2>40-
61e1.768.2227.7196235.6>40-
61f1.667.8724.723528.3>40-
61g1.698.1326.9222133.6>40-
61h1.687.8224.3243452.3>40-
61i1.768.3628.8206355.0>40-
61j1.617.5923.7219375.0>40-
61k1.647.9225.2167459.835-
61l1.627.9825.3197246.5>40-
61m1.658.2427.2184352.7>40-
62a---274-4096
62b---254-2580
62c---193-4080
62d---302-5144
631.908.6736.4146118.51-
63a1.828.6835.117635.16-
63b1.728.1828.81713.1>40-
63c1.738.1829.5140274.9>40-
63d1.738.1829.2132250.5>40-
63e1.748.1530.8118381.6>40-
63f1.768.2629.7186213.7>40-
63g1.778.4431.1185331.9>40-
Table 12. Physicochemical and energetic properties of compounds 6476. The data of compounds 6467 are from reference [27], the data of compounds 70 are from reference [114], the data of compounds 7173i are from reference [116], the data of compounds 7476 are from reference [117].
Table 12. Physicochemical and energetic properties of compounds 6476. The data of compounds 6467 are from reference [27], the data of compounds 70 are from reference [114], the data of compounds 7173i are from reference [116], the data of compounds 7476 are from reference [117].
Entryρ/g·cm−3D/km·s−1P/GPaTm/°CTd/°CHOF/kJ· mol−1IS/JFS/N
641.968.7236.0269308185.4>40-
651.898.6035.0dec242388.1>40-
65a1.888.6234.6dec262274.7>40-
65b1.738.0427.3dec228246.5>40-
65c1.678.0927.1249272506.4>40-
65d1.718.2027.9210272448.8>40-
65e1.728.3429.0212266558.0>40-
65f1.758.3331.1dec259331.2>40-
65g1.828.4531.0247297557.0>40-
65h1.728.2328.9166261700.4>40-
65i1.808.5432.8dec260428.1>40-
661.828.8137.0158297824.228-
671.878.6535.1260284477.9>40-
701.768.5031.0-252475.730360
711.888.9936.0-150347.45240
721.928.0428.9150228-50.76120
73a2.037.7727.3-323-125.2440
73b1.858.8535.8-137220.68240
73c1.778.6731.594155220.910240
73d1.768.3429.4-193116.210240
73e1.698.1425.2-196353.315360
73f1.758.3127.3185186791.916360
73g1.768.2226.5-206565.412360
73h1.818.9534.21871931359.410360
73i1.808.5428.9-2501269.718360
741.797.5322.1377382203.530>360
751.818.3628.6306314224.920>360
761.868.5231.1292298227.84.5192
Table 13. Physicochemical and energetic properties of 7487. The data of compounds 77–85 are from reference [122], the data of compounds 8688, CL-20 and DDNP are from reference [123], the data of compounds 8990 are from reference [94], the data of compounds 9192 are from reference [124].
Table 13. Physicochemical and energetic properties of 7487. The data of compounds 77–85 are from reference [122], the data of compounds 8688, CL-20 and DDNP are from reference [123], the data of compounds 8990 are from reference [94], the data of compounds 9192 are from reference [124].
Entryρ/g·cm−3D/km·s−1P/GPaOB/%Td/°CHOF/kJ·mol−1IS/JFS/N
771.778.1927.9−17.2311218.9>40>360
781.848.7534.33.580380.6780
791.727.8024.2−19.0247441.92080
801.848.7634.17.4250306.925160
811.788.8033.4−7.51121233.9460
821.887.8827.0−7.8319230.0>40>360
831.768.5631.0−7.51351013.9360
841.758.1327.3−17.2256237.9>40>360
851.838.7133.73.581368.1660
861.808.3329.6−40.231020511>360
871.939.3039.1−11.52053794144
881.738.0226.0−44.72264971.540
891.768.1428.0−39.031930225360
901.727.9726.3−39.033026635360
911.818.2328.6−39.0262224.214352
921.818.3629.7−51.4351184.310352
CL-202.049.6744.9−11.0 195365396
DDNP1.7276.523.8−60.915713915
Table 14. Physical and energetic properties of energetic compounds 100105. The data of compounds 100105 are from reference [127].
Table 14. Physical and energetic properties of energetic compounds 100105. The data of compounds 100105 are from reference [127].
Entryρ/g·cm−3D/km·s−1P/GPaTd/°CHOF/kJ· mol−1IS/JFS/N
1001.808.1027.1338521.6>40>360
1011.818.0526.5368639.8>40>360
1021.838.8634.2159762.18150
1031.848.7733.3186882.413220
1041.878.7132.8265602.730360
1051.848.5431.7254519.435>360
Table 15. Physicochemical and energetic properties of compounds 107a111. The data of compounds 107a111 are from reference [128].
Table 15. Physicochemical and energetic properties of compounds 107a111. The data of compounds 107a111 are from reference [128].
Entryρ/g·cm−3D/km·s−1P/GPaTd/°CHOF/kJ· g−1IS/JFS/N
107a1.908.7934.32611.1015240
107b1.828.5231.72200.9740360
108a1.868.8935.92211.0535360
108b1.838.6933.22071.3325360
1091.798.3629.62420.9615160
1101.949.2338.81171.30320
1111.879.0337.11381.321080
Table 16. Properties of nitrated bispyrazoles from 1,3-dichloro-2-nitro-2-azapropane. The data of compounds 115122 are from reference [130].
Table 16. Properties of nitrated bispyrazoles from 1,3-dichloro-2-nitro-2-azapropane. The data of compounds 115122 are from reference [130].
Entryρ/g·cm−3D/km·s−1P/GPaTd/°CHOF/kJ· mol−1IS/JOB/%
1151.697.8725.1262377.2>40−30.8
1161.788.2630.9250388.010−4.0
1171.788.2731.0261398.0>40−4.0
1181.908.0630.6252371.8110
1191.868.6434.7232486.4>40−7.4
1201.898.0430.4354381.3>400
1211.838.7235.11661108.220
1221.838.7235.21691118.720
Table 17. Properties of energetic compounds 123am. The data of compounds 123a123m are from reference [138].
Table 17. Properties of energetic compounds 123am. The data of compounds 123a123m are from reference [138].
Entryρ/g·cm−3D/km·s−1P/GPaTd/°CHOF/kJ· mol−1IS/JFS/NOB/%
123a1.698.2125.4328158.5>40360−27
123b1.829.0135.4327274.229360−12
123c1.728.8630.3247501.016160−30
123d1.718.0424.5287481.9>40360−30
123e1.678.2324.6289963.8>40360−41
123f1.687.9522.5324173.3>40360−40
123g1.698.4025.6222477.0>40360−41
123h1.718.7328.0209679.6>40360−42
123i1.768.8129.9215605.51280−31
123j1.798.3627.9238505.623160−27
123k2.14--395- 0
123l2.20--365- 0
123m3.27--327- 0
Table 18. Physical and detonation properties of energetic compounds LLM-119 and 124130. The data of compounds LLM-119 and 124126i are from reference [141], the data of compounds 127130 are from reference [142].
Table 18. Physical and detonation properties of energetic compounds LLM-119 and 124130. The data of compounds LLM-119 and 124126i are from reference [141], the data of compounds 127130 are from reference [142].
Entryρ/g·cm−3D/km·s−1P/GPaTd/°CHOF/kJ·mol−1IS/JFS/NOB/%N + O/%Isp/s
LLM-1191.848.8633.9230467.015160−14.077.2246
1241.828.6733.1206133.7101209.278.2245
1251.969.4640.9145550.932022.283.3269
1261.939.5141.8128595.222015.184.3274
126a1.818.9835.9181423.110120084.1270
126b1.859.4039.5174738.9560−4.284.8280
126c1.889.5041.3170531.271208.385.4282
126d1.688.3026.9190454.735360−14.780.7239
126e1.718.6129.3153692.930360−17.281.5247
126f1.708.8830.81411144.81080−21.382.8258
126g1.789.1736.01631683.3560−9.384.2280
126h1.839.0033.12031599.510120−23.078.6244
126i2.118.3131.2208152.922016.268.0226
1271.747.9327.9178356.014280−41.376.0-
1281.838.4832.820818.812160−18.478.2-
1291.747.8227.1198863.010240−51.975.3-
1301.908.8436.5296269.016300−20.978.2-
Table 19. Physicochemical and energetic properties of 133 and its ionic salts. The data of compounds 133133f are from reference [146].
Table 19. Physicochemical and energetic properties of 133 and its ionic salts. The data of compounds 133133f are from reference [146].
Entryρ/g·cm−3D/km·s−1P/GPaTd/°CHOF/kJ·mol−1IS/JFS/N
1331.798.7230.92811111.515192
133a2.008.8128.5329638.925252
133b1.698.4026.2280916.819>360
133c1.618.2426.01781062.227.5324
133d1.759.0831.32211223.012144
133e1.628.0222.4299926.9>60>360
133f1.648.4024.92551143.335>360

Share and Cite

MDPI and ACS Style

Zhang, S.; Gao, Z.; Lan, D.; Jia, Q.; Liu, N.; Zhang, J.; Kou, K. Recent Advances in Synthesis and Properties of Nitrated-Pyrazoles Based Energetic Compounds. Molecules 2020, 25, 3475. https://doi.org/10.3390/molecules25153475

AMA Style

Zhang S, Gao Z, Lan D, Jia Q, Liu N, Zhang J, Kou K. Recent Advances in Synthesis and Properties of Nitrated-Pyrazoles Based Energetic Compounds. Molecules. 2020; 25(15):3475. https://doi.org/10.3390/molecules25153475

Chicago/Turabian Style

Zhang, Shijie, Zhenguo Gao, Di Lan, Qian Jia, Ning Liu, Jiaoqiang Zhang, and Kaichang Kou. 2020. "Recent Advances in Synthesis and Properties of Nitrated-Pyrazoles Based Energetic Compounds" Molecules 25, no. 15: 3475. https://doi.org/10.3390/molecules25153475

APA Style

Zhang, S., Gao, Z., Lan, D., Jia, Q., Liu, N., Zhang, J., & Kou, K. (2020). Recent Advances in Synthesis and Properties of Nitrated-Pyrazoles Based Energetic Compounds. Molecules, 25(15), 3475. https://doi.org/10.3390/molecules25153475

Article Metrics

Back to TopTop