Next Article in Journal
Moonlighting Proteins in the Fuzzy Logic of Cellular Metabolism
Next Article in Special Issue
Ruthenium(IV) Complexes as Potential Inhibitors of Bacterial Biofilm Formation
Previous Article in Journal
Chemistry of Fluorinated Pyrimidines in the Era of Personalized Medicine
 
 
Font Type:
Arial Georgia Verdana
Font Size:
Aa Aa Aa
Line Spacing:
Column Width:
Background:
Article

Synthesis and Antimicrobial Evaluation of Some New Organic Tellurium Compounds Based on Pyrazole Derivatives

1
Department of Chemistry, College of Science, University of Misan, Basrah 62001, Iraq
2
Department of Chemistry, College of Science, University of Basrah, Basrah 61004, Iraq
*
Author to whom correspondence should be addressed.
Molecules 2020, 25(15), 3439; https://doi.org/10.3390/molecules25153439
Submission received: 23 May 2020 / Revised: 19 June 2020 / Accepted: 22 June 2020 / Published: 29 July 2020

Abstract

A novel series of organic tellurium compounds based on pyrazole derivatives with a general formula of ArTeBr3 and Ar2TeBr2 [Ar = 2-(3-(4-substituted phenyl) -5-(2-chlorophenyl)-1H-pyrazol-1-yl)-3,5-dinitrophenyl] were obtained by the refluxing of corresponding aryl mercuric chlorides with TeBr4 in two different mole ratio of 1:1 and 2:1, respectively, in free-moisture dioxane solvent under an argon atmosphere. Compounds of ArTeBr3 and Ar2TeBr2 were reduced by the action of ethanolic solution of hydrazine hydrate obtained Ar2Te2 and Ar2Te, respectively. Reaction of Ar2Te2 with excess thionyl chloride or iodine gave the corresponding trihalides ArTeCl3 and ArTeI3, respectively while the reaction of Ar2Te with thionyl chloride or iodine gave the corresponding Ar2TeCl3 and Ar2TeI3, respectively. The structures were elucidated according to their elemental analysis of carbon, hydrogen and nitrogen (CHN) and some of the spectroscopic techniques such as infrared IR and nuclear magnetic resonance for 1H and 13C. The antimicrobial activity for all the synthetic compounds were assayed against both Gram-negative and Gram-positive bacteria by using the agar diffusion method. The tellurated pyrazole derivatives showed a good degree against bacteria growth. In some cases, the antimicrobial activities of the synthetic compounds were better than amoxicillin.

1. Introduction

Pyrazoles are one of the important five-membered heterocycles compounds that contain three carbons and two adjacent nitrogen atoms and are considered the most famous class among the azole compounds. In fact, different synthesis procedures have been carried out over the decades [1,2]. Generally, the compounds that contain the pyrazole moiety possess many different applications in several fields such as in the fields of pharmaceutical drugs and technology. The literature confirms that pyrazole derivatives are used as antimicrobial, antifungal, antitumor, anti-inflammatory, and antioxidant compounds [3]. A common method for the synthesis of the substituted pyrazoles includes the cyclization reaction of α,β-unsaturated ketones (chalcones) with hydrazines [4,5].
To the best of our knowledge, through a literature search of SciFinder Scholar and Web of Knowledge, there have been few reported studies related to the synthesis of organotellurium compounds derived from pyrazoles [6,7]. Furthermore, due to the high significant antimicrobial activity of both pyrazoles [2,4] and organic tellurium compounds [8,9,10], in addition, to our interest in the field of organic synthesis for tellurium compounds by the transmetalation reactions between aryl mercury chlorides with tellurium tetrabromide [11,12], in the present work, we synthesized some organic tellurium compounds based on pyrazole and evaluated their microbial activity against four different bacteria.

2. Results and Discussion

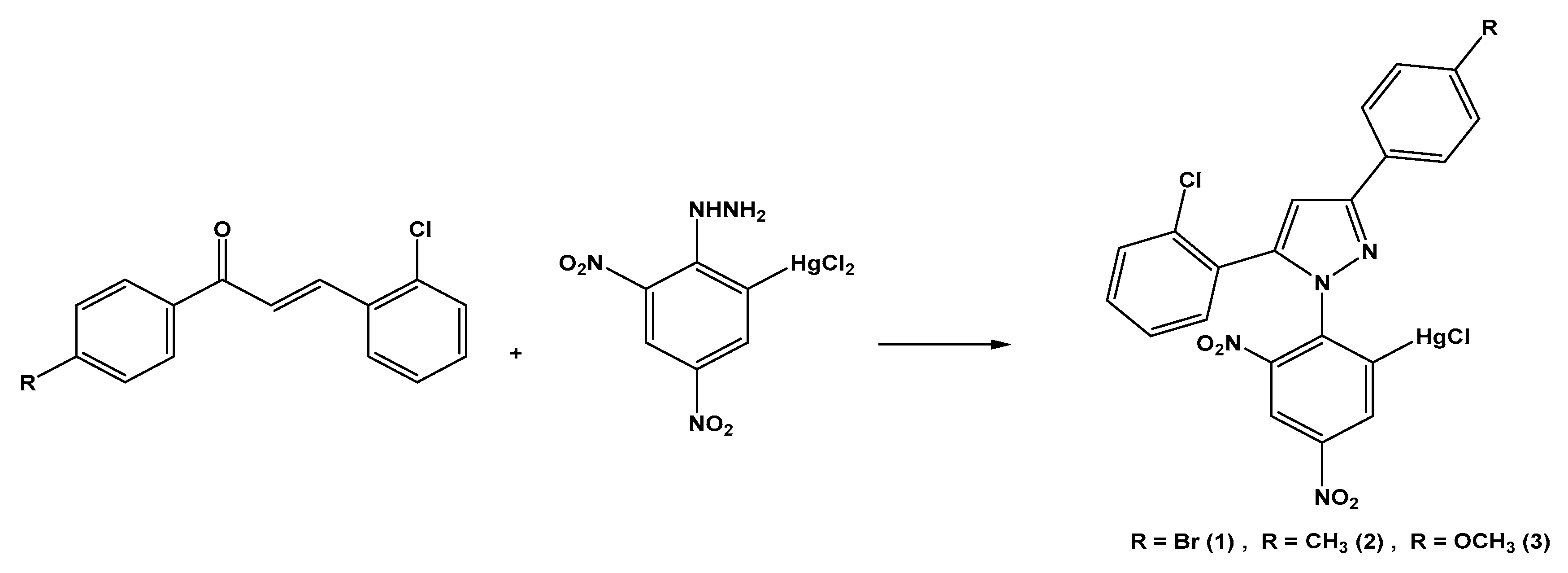
First, substituted chalcones i-iii and 2-hydrazinyl-3,5-dinitrophenylmercury chloride were prepared, starting according to the procedure in the literature [13]. Organomercuric chlorides containing pyrazole moiety 1–3 were obtained from the corresponding substituted chalcones and 2-hydrazinyl-3,5-dinitrophenylmercury chloride (Scheme 1).
Aryltelluium tribromides 46 are generated from the reaction of tellurium tetrabromide with 1, 2, and 3, respectively, in a 1:1 mole ratio as orange, reddish orange, and yellowish orange solids in moderate yields. In a similar manner, good yields of diaryl tellurium dibromides 7, 8, and 9 were resulted by the reaction of tellurium tetrabromide with 1, 2, or 3, respectively, in a 1:2 mole ratio as orange—yellowish orange solids. Reduction of compounds 4, 5, and 6 by hydrazine hydrate gave the corresponding ditellurides 10, 11, and 12, respectively, in good yields, while the reduction of 7, 8, or 9 gave the corresponding tellurides 13, 14, and 15, respectively, as dark red solids in low to moderate yields. The preparative methods of all the new synthesized compounds 415 are illustrated in Scheme 2.
Reaction of diaryl ditellurides 1012 with an excess of thionyl chloride or iodine solutions gave the corresponding aryl tellurium trichlorides ArTeCl3 1618, and triiodides ArTeI3 1921, respectively (Scheme 3). Reaction of diaryl telluride Ar2Te 1315 with thionyl chloride and iodine solutions gave the corresponding diaryl tellurium dichlorides Ar2TeCl2 2224 and diiodides Ar2TeI2 2527, respectively (Scheme 4).
All the synthetic compounds were followed by thin-layer chromatography (TLC) since the reaction of chalcones with aryl hydrazines or reaction of tellurium tetrabromide with aryl mercuric chlorides are critical reactions, so we may expect the possibility of two different compounds (substituted pyrazoles and pyrazolines). However, after purification, no indications of undesired compounds were found upon checking the elemental analysis CHN and 1H- and 13C-NMR spectra. Generally, the prepared compounds 127 are colored, solid, stable in air, and soluble in DMF and DMSO.
The structures of recrystallized 127 were identified by means of spectroscopic techniques and elemental analysis. For the elemental analysis of carbon, hydrogen, and nitrogen of compounds 127, both the theoretical (calculated) and practical (found) are approximately identical values. This indicates the validity of the suggested structures.
The FTIR spectra of all prepared compounds 127 showed important vibrational bands in certain regions, especially in the fingerprint (these spectra are available online as supplementary materials Figures S55–S69). The FTIR spectra shows that the disappearance of the stretching band belonged to C=O and C=C bonds of chalcones in the region between the 1650–1662 cm−1 and 1597–1604 cm−1 regions, respectively, and stretching of N–H bond of hydrazine in the 3200–3500 cm−1 region [4,13]. On the other hand, the spectra of pyrazole derivatives showed the stretching bands for C=N at the 1597–1631 and C=C at 1400–1531 cm−1 regions [4].
1H- and 13C- NMR spectra of 127 were carried out in DMSO-d6 solutions (these spectra are available online as supplementary materials, Figures S1–S54). These compounds appeared for the expected characteristic signals of all protons in these compounds, which are in good agreement with their suggested molecular formula (Figure 1).
A singlet signal equivalent to one or two protons at δ = 5.80–5.96 ppm was characteristic for H4 (and H4′) protons. This signal can be considered as evidence of the prepared pyrazole ring [14,15]. Multiplet signals at 7.45–8.23 ppm can be assigned to protons of the aromatic rings. For compounds 2, 5, 8, 11, 14, 17, 20, 23, and 26, the protons of methyl groups that attached on C21(and C21′) appeared as a singlet signal at δ 2.20–2.22 ppm. For compounds 3, 6, 9, 12, 15, 18, 21, 24, and 27, the spectra showed that the singlet signal in the region δ = 3.86–3.89 ppm can be characterized for the OCH3 group at C21 (and C21′) [16].
The signals for the carbon atoms of pyrazole rings can be identified via their corresponding 13C NMR spectra, which were in excellent agreement with previous papers [14,17]. These signals can be considered as more evidence of the correctness of the suggested structures (Table 1). The 13C NMR spectra of 127 revealed a signal at the range 139.50–139.88 ppm due to C3, while the C5 atoms showed a signal at the range of 149.60–149.80 ppm. The 13C NMR spectra of 127 appeared as a signal at the region of 103.18–104.66 ppm, which can be assigned to C4. Surprisingly, we found the chemical shift of the C4 atom signal effect from the 3-aryl group, which in turn effects the resonance contributions of the 3-aryl group and the chemical shift difference at C4 of the pyrazole ring. We conclude from the above that the 3-aryl group may be located at the same plane of the pyrazole ring, increasing the resonance contribution of π-bonds. The 13CNMR spectra of compounds 427 showed that the signal in the 114.90–114.06 ppm region can be identified as carbon atoms that bear the tellurium-carbon bond Te-C. Comparatively, this signal possessed a low chemical shift (high field), which may be due to the polarity of the tellurium–carbon bond. In general, the aromatic carbon signals appear between 124.00–163.43 ppm. The 13C NMR spectra of 2, 5, 8, 11, 14, 17, 20, 23, and 26 showed that the signal within the region 21.59–21.82 ppm was due to the carbon of the methyl group. Compounds 3, 6, 9, 12, 15, 18, 21, 24, and 27 that appeared as a signal in the high field at the range 55.58–56.60 ppm was attributed to the methoxy group.
The ultra violet-visible for compounds 1–27 showed an absorption peak in the region of 340–500 nm due to π π * of aromatic rings [18]. Upon investigation of the UV absorptions of the synthetic compounds, it was clearly found that electron-withdrawing Br on the phenyl ring attached to pyrazole caused a change in the maximum absorption (λmax) values to longer wavelengths (red shift) while electron-donating groups (Me and OMe) moved to shorter wavelengths (blue shift).
It was proven that the molar conductance of organic mercuric compounds 13, aryl tellurium trihalides 46 and 1621, and the dihalides 79 and 2227 behaved as for 1:1 electrolytes, which are in good agreement with the previous works in DMSO [11,12,19,20]. These observations may be due to the ionic character of Hg–Cl and one of the Te–halide bonds in these compounds.
The antimicrobial activity for all pyrazole derivatives 127 were assayed against two different types of organisms. The first type was Gram-positive bacteria represented by Staphylococcus aureus ATCC25923 and Candida albicans ATCC2091 and the second was Gram-negative bacteria represented by Escherichia coli ATCC25922 and Pseudomonas aeruginosa ATCC9027. Amoxicillin (10 µg/disc) in DMSO solvent was used as a standard drug by using the agar well diffusion method (Table 2). It can be concluded that all of the compounds (except ArTeX3; X = Cl, Br, I) showed potent growth inhibition against both Gram-negative and Gram-positive bacteria in different degrees. Rank of the antimicrobial activity of pyrazole derivatives follow the sequence:
Ar2Te 1315 > Ar2TeX2 7-9 and 2227 > ArHgCl 13 ≥ Ar2Te2 1012 >ArTeX3 46 and 1621
In general, the telluride compounds 13, 14, and 15 were more potently active against the bacteria than the other compounds and the control (amoxicillin). This observation may be attributed to the lipophilic properties of the tellurides, which facilitates digestion of the bacteria cellular membrane, or may perhaps be due to their ability to form hydrogen bonds inside the bacteria cell with some active functional groups.
The values of minimum inhibitory concentration (MIC) for pyrazole derivatives that possessed inhibition zones larger than 10 were tested by the agar well diffusion method as shown in Table 3. The rank of activity was observed as follows: Br > OMe > Me.

3. Experimental

3.1. Instrumentation

CHN analysis was conducted at the University of Al al-Bayt, Al-Mafraq, Jordan by using a Euro vector EA 3000A elemental analysis (Rome, Italy). FTIR spectra for all synthetic compounds were performed by using a FTIR spectrophotometer Shimadzu model 8400S (Tokyo, Japan) as KBr disk in the range of 4000–400 cm−1 at the University of Basrah. 1H NMR and 13C NMR spectra were measured by using an Ainova (500 MHz) in DMSO-d6 solution and tetramethyl silane as the internal standard at Tehran University, Tehran, Islamic Republic of Iran. Ultraviolet–Visible spectra for all synthetic compounds were measured at Basrah University, Basrah, Iraqby using Scan 80D (London, England) in the region 200–800 nm by using a chloroform solution 1 × 10−4 M and 1 cm3 pathway quartz cells. Measurements of molar conductance were performed for all compounds in DMSO solutions of 1 × 10−3 M at room temperature by using a Konduktoskop model 365B conductivity bridge. Melting points were made by using a Gallenkamp melting point apparatus (London, England).

3.2. Synthesis

3.2.1. General Method for the Preparation of Aryl Mercury(II) Chlorides

2-(3-(4-Substitutedphenyl)-5-(2-chlorophenyl)-1H-pyrazol-1-yl)-3,5-dinitrophenyl)mercury(II) chloride 13
A mixture of compound 2-hydrazinyl-3,5-dinitrophenylmercury chloride (3 mmol) in 25 mL of acetic acid and (4 mmol) of chalcones: 3-(2-chlorophenyl)-1-(4-bromophenyl)-prop-2-en-1-one, 3-(2-chlorophenyl)-1-(4-methylphenyl)prop-2-en-1-one and 3-(2-chlorophenyl)-1-(4-methoxy phenyl)prop-2-en-1-one), respectively, was refluxed for 5 h. Then, a catalytic amount of HCl (6–8 drops) was added and the mixture was refluxed for 1 h. After cooling, 50 mL of ice water was added to obtain a yellowish brown solid. The resulting precipitate was filtered, washed several times with water, and recrystallized (twice) from ethanol to obtain yellow solid in 65–77% yields.
2-(3-(4-Bromophenyl)-5-(2-chlorophenyl)-1H-pyrazol-1-yl)-3,5-dinitrophenyl) mercury (II) chloride (1)
Light-yellow crystalline solid; Yield: 77%; M.p.: 193–195 °C; Rf = 0.55 (ethyl acetate-n-hexane); Molar conductance (Λm, ohm−1 cm−1 mol−1): 35; FTIR (KBr) cm−1: FTIR (KBr) cm−1: 3069 w, 1600 s, 1510 s, 1465 s, 1438 s, 1390 s, 1275 m, 1211 s, 1175 m, 1107 m, 1065 m, 1107 m, 1028, 976 m, 880 s, 825 m, 756 m; 1H NMR (500 MHz, DMSO-d6, δ /ppm): 5.96 (s, 1H, H4), 7.45–8.23 (m, 10H, Ar-H); UV-Vis (λmax, nm): 360; Anal. Calculated for C21H11BrCl2HgN4O4: C 34.33, H 1.51, N 7.63, Found C 34.40, H 1.51, N 7.69%.
2-(5-(2-Chlorophenyl)-3-(4-methyl phenyl)-1H-pyrazol-1-yl)-3,5-dinitro phenyl) mercury(II) chloride (2)
Bright-yellow crystalline solid; Yield: 65%; M.p.: 138–140 °C; Molar conductance (Λm, ohm−1 cm−1 mol−1): 31; Rf = 0.68 (ethyl acetate-n-hexane); FTIR (KBr) cm−1: 3063 w, 2974 w, 2913 w, 1600 s, 1465 s, 1438 s, 1392 s, 1323 m, 1273 s, 1107 s, 1064 s, 1030 m, 976, 821 m, 756 m; 1H NMR (500 MHz, DMSO-d6, δ /ppm): 1H NMR (500 MHz, DMSO-d6, δ/ppm): 2.20(s, 3H, CH3); 5.90 (s, 1H, H4), 7.50–8.20 (m, 10H, Ar–H); UV-Vis (λmax, nm): 350; Anal. Calculated for C22H14Cl2HgN4O4:C 32.98, H 1.76, N 6.99, Found: C 33.02, H 1.80, N 7.01%.
2-(5-(2-Chlorophenyl)-3-(4-methoxyphenyl)-1H-pyrazol-1-yl)-3,5-dinitrophenyl)mercury(II) chloride (3)
Light-yellow crystalline solid; Yield: 72%; M.p.: 180–182 °C; Molar conductance (Λm, ohm−1 cm−1 mol−1): 39; Rf = 0.51 (ethyl acetate-n-hexane); FT-IR (KBr) cm−1: 3063 w, 2974 w, 2931 w, 2839 w, 1600 s, 1604 s, 1570 s,1508 s, 1462 s, 1427 s, 1327 s, 1257 s, 1222 m, 1180 s, 1111 s, 1030 s, 976 m, 825 m, 752 m, 678 m; 1H NMR (500 MHz, DMSO-d6, δ /ppm): 3.83(s, 6H, OCH3), 5.81 (s, 2H, H4 and H4’), 7.43–8.22 (m, 10H, Ar–H); UV-Vis (λmax, nm): 348; Anal. Calculated for C22H14Cl2HgN4O5:C 38.41, H 2.34, N 8.14, Found: C 38.47, H 2.39, N 8.21%.

3.2.2. General Method for the Preparation of Aryl Tellurium Tribromides

(2-(3-(4-Substitutedphenyl)-5-(2-chlorophenyl)-1H-pyrazol-1-yl)-3,5-dinitrophenyl)tellurium tribromide 46
A mixture of tellurium tetrabromide (1.78 g, 4.00 mmol) in 35 mL of dry dioxane and (4.00 mmol) aryl mercuric chlorides 1, 2, or 3, respectively, in 30 mL of dry dioxane was refluxed with stirring for 6 h under an argon atmosphere. The resulting solution was filtered hot and on cooling deposited in a 2:1 complex of dioxane and mercuric chloride as white plates, which was filtered off. The filtrate was reduced by a rotary evaporator to give a brown precipitate. Recrystallization of the crude product from a mixture of chloroform and hexane (1:4) gave a yellow crystalline solid in 60–68% yields.
(2-(3-(4-Bromophenyl)-5-(2-chlorophenyl)-1H-pyrazol-1-yl)-3,5-dinitrophenyl)tellurium tribromide (4)
Light-yellowish-brown crystalline solid; Yield: 68%; M.p.: 212–214 °C; Molar conductance (Λm, ohm−1 cm−1 mol−1): 27; Rf = 0.45 ethyl acetate-n-hexane); FTIR (KBr) cm−1: 3063 w, 1600 s, 1465 s, 1438 s, 1392 s, 1273 m, 1211 s, 1172 m, 1107 m, 1064 m, 1107 m, 1026, 976 m, 880 s, 821 m, 756 m; 1H NMR (500 MHz, DMSO-d6, δ/ppm): 5.96 (s, 1H, H4), 7.46–8.20 (m, 10H, Ar–H); UV-Vis (λmax, nm): 395; Anal. Calcd for C21H11Br4ClN4O4Te:C 29.13, H 1.28,N 6.47, Found: C 29.18,H 1.31, N 6.50%.
(2-(5-(2-Chlorophenyl)-3-(4-methylphenyl)-1H-pyrazol-1-yl)-3,5-dinitrophenyl)tellurium tribromide (5)
Light-yellowish-brown crystalline solid; Yield: 60%; M.p.: 159–161 °C; Molar conductance (Λm, ohm−1 cm−1 mol−1): 29; Rf = 0.75 (ethyl acetate-n-hexane); FTIR (KBr) cm−1: 3075 m, 2925 w, 1592 m, 1463 m, 1439 m, 1396 m, 1325 s, 1277 m, 1212 m,1172 m, 1065 m, 1026 m, 978 s, 820 m, 756 s, 710 m, 685 m; 1H NMR (500 MHz, DMSO-d6, δ/ppm): 2.20(s, 3H, CH3); 5.92 (s, 1H, H4), 7.45–8.25 (m, 10H, Ar–H); UV-Vis (λmax, nm): 382; Anal. Calculated for C22H14Br3ClN4O4Te: C 32.98, H 1.76, N 6.99, Found: C 33.02, H 1.80, N 7.01%.
(2-(5-(2-Chlorophenyl)-3-(4-methoxyphenyl)-1H-pyrazol-1-yl)-3,5dinitrophenyl)tellurium tribromide (6)
Light-yellowish brown solid; Yield: 67%; M.p.: 195–197 °C; Molar conductance (Λm, ohm−1 cm−1 mol−1): 26; Rf = 0.61 (ethyl acetate- n-hexane); FTIR (KBr) cm−1: 3063 w, 2904 w, 2833 w, 1604 s, 1570 s, 1512 m, 1465 m, 1427 s, 1327 s, 1264 m, 1226 m, 1194 m, 1114 m, 1003 s, 914 m, 823 m, 754 m; 1H NMR (500 MHz, DMSO-d6, δ /ppm): 3.86(s, 3H, OCH3), 5.84 (s, 1H, H4), 7.45–8.20 (m, 10H, Ar-H); UV-Vis (λmax, nm): 379; Anal. Calculated for C22H14Br3ClN4O4Te: C 32.34, H 1.73, N 6.86, Found: C 32.30, H 1.78, N 6.99%.

3.2.3. General Method for the Preparation of Diaryl Tellurium Dibromides

Bis[(2-(3-(4-substitutedphenyl)-5-(2-chlorophenyl)-1H-pyrazol-1-yl)-3,5-dinitrophenyl)]tellurium dibromide 79
A mixture of tellurium tetrabromide (0.89 g, 2.00 mmol) and aryl mercuric chloride 1, 2, or 3 (4.00 mmol) in 35 mL of dry dioxane was refluxed with stirring for 6 h under an argon gas atmosphere. The resulting solution was filtered hot and cooled to room temperature. On cooling, a 2:1 complex of dioxane and mercuric halides was separated as white plates and was filtered off immediately. Recrystallization of the product from a mixture of dichloromethane and hexane (1:4) gave an orange-brown to yellowish brown solid in 70–75% yield.
Bis[(2-(3-(4-bromophenyl)-5-(2-chlorophenyl)-1H-pyrazol-1-yl)-3,5-dinitrophenyl)]tellurium dibromide (7)
Light-orange-brown crystalline solid; Yield: 75%; M.p.: 209–211 °C; Molar conductance (Λm, ohm−1 cm−1 mol−1): 32; Rf = 0.50 (ethyl acetate-n-hexane); FTIR (KBr) cm−1: 3059 w, 1604 s, 1570 s, 1516 s, 1465 m, 1438 m, 1338 s, 1311 m, 1273 m, 1211 s, 1180 m, 1157 m, 1041 s, 972 s, 860 s, 790 m, 752 m, 717 m, 690 m, 655 m, 578 m; 1H NMR (500 MHz, DMSO-d6, δ/ppm): 5.95 (s, 2H, H4 and H4′), 7.46–8.20 (m, 20H, Ar–H); UV-Vis (λmax, nm): 380; Anal. Calculated for C42H22Br4Cl2N8O8Te: C 39.26, H 1.73, N 8.72, Found: C 39.30, H 1.75, N 8.74%.
Bis[(2-(5-(2-Chlorophenyl)-3-(4-methylphenyl)-1H-pyrazol-1-yl)-3,5-dinitrophenyl)]tellurium dibromide (8)
Light-yellowish brown crystalline solid; Yield: 70%; M.p.: 150–152 °C; Molar conductance (Λm, ohm−1 cm−1 mol−1): 25; Rf = 0.40 (ethyl acetate-n-hexane); FTIR (KBr) cm−1: 3063 m, 2924 w, 1604 s, 1593 m, 1512 m, 1469 m, 1442 m, 1315 s, 1273 m, 1215 m, 1037 m, 1014 m, 976 m, 752 m, 578 m; 1H NMR (500 MHz, DMSO-d6, δ/ppm): 2.06(s, 6H, 2CH3); 5.92 (s, 2H, H4 and H4′), 7.45–8.20 (m, 20H, Ar–H); UV-Vis (λmax, nm): 373; Anal. Calculated for C44H28Br2Cl2N8O8Te: C 45.75, H 2.44, N 9.70, Found: C 45.84, H 2.51, N 9.76%.
Bis[2-(5-(2-Chlorophenyl)-3-(4-methoxyphenyl)-1H-pyrazol-1-yl)-3,5dinitro phenyl)]tellurium dibromide (9)
Light-yellowish brown crystalline solid; Yield: 71%; M.p.: 191–193 °C; Molar conductance (Λm, ohm−1 cm−1 mol−1): 30; Rf = 0.70 (ethyl acetate-n-hexane); FTIR (KBr) cm−1: 3063 w, 2931 w, 2850 w, 1606 s, 1571 s, 1520 m, 1460 m, 1430 m, 1330 s, 1261 m, 1227 m, 1180 m, 1034 m, 1014 m, 978 s, 830 m, 759 m, 682 m, 578 m; 1H NMR (500 MHz, DMSO-d6, δ/ppm): 3.86 (s, 6H, 2OCH3), 5.80 (s, 2H, 2H4), 7.45–8.20 (m, 20H, Ar–H); UV-Vis (λmax, nm): 371; Anal. Calculated for C44H28Br2Cl2N8O10Te: C 44.52, H 2.38, N 9.44, Found: C 44.60, H 2.41, N 9.45%.

3.2.4. General Method for the Preparation of Diaryl Ditellurides

Bis[(2-(3-(4-substituted phenyl)-5-(2-chlorophenyl)-1H-pyrazol-1-yl)-3,5-dinitrophenyl)] ditelluride 1012
Aryl tellurium tribromide (3.00 mmol) was refluxed in ethanol (25 mL). An ethanolic solution of hydrazine hydrate was added drop by drop to the refluxing solution until the evolution of nitrogen ceased. The resulting solution was cooled to room temperature and poured into 100 mL of distilled water and extract with diethyl ether (4 × 30 mL). The etheric extracts were dried over an anhydrous calcium chloride. Evaporation of solvent afforded a dark red solid of compounds. The resulting precipitate was recrystallized by ethanol and gave a dark red solid in 61–68% yields.
Bis[(2-(3-(4-bromophenyl)-5-(2-chlorophenyl)-1H-pyrazol-1-yl)-3,5-dinitrophenyl)] ditelluride (10)
Dark red crystalline solid; Yield: 68%; M.p.: 100–102 °C; Molar conductance (Λm, ohm−1 cm−1 mol−1): 9; Rf = 0.62 (ethyl acetate-n-hexane); FTIR (KBr) cm−1: 3072 w, 2928 w, 28431 w, 1600 s, 1570 s, 1520 m, 1465 m, 1431 m, 1331 s, 1266 m, 1226 m, 1181 m, 1033 m, 1010 m, 976 s, 829 m, 758 m, 684 m, 578 m; 1H NMR (500 MHz, DMSO-d6, δ /ppm): 5.96 (s, 2H, H4, and H4’), 7.47–8.23 (m, 20H, Ar–H); UV-Vis (λmax, nm): 500; Anal. Calculated for C42H22Br2Cl2N8O8Te2: C 40.27, H 1.77, N 8.95, Found: C 40.33, H 1.80, N 9.00%.
Bis[(2-(5-(2-Chlorophenyl)-3-(4-methylphenyl)-1H-pyrazol-1-yl)-3,5-dinitrophenyl)] ditelluride (11)
Dark red crystalline solid; Yield: 61%; M.p.: 91–93 °C; Molar conductance (Λm, ohm−1 cm−1 mol−1): 11; Rf = 0.68 (ethyl acetate-n-hexane); FTIR (KBr) cm−1: 3063 w, 2924 w, 1631 s, 1569 m, 1539 m, 1481 m, 1455 m, 1399 m, 1335 s, 1269 s, 1211 m, 1134 m, 1068 m, 1045 m, 852 m, 826 m, 768 m, 628 w; 1H NMR (500 MHz, DMSO-d6, δ/ppm): 2.33(s, 6H, 2CH3); 5.91 (s, 2H, H4 and H4’), 7.42–8.20 (m, 20H, Ar–H); UV-Vis (λmax, nm): 491; Anal. Calculated for C44H28Cl2N8O8Te2: C 47.07, H 2.51, N 9.98, Found: C 47.10, H 2.50, N 10.10%.
Bis[(2-(5-(2-Chlorophenyl)-3-(4-methoxyphenyl)-1H-pyrazol-1-yl)-3,5dinitro phenyl)] ditelluride (12)
Dark red crystalline solid; Yield: 62%; M.p.: 99–101 °C; Molar conductance (Λm, ohm−1 cm−1 mol−1): 10; Rf = 0.55 (ethyl acetate- n-hexane); IR (KBr) cm−1: 3063 w, 2974 w, 2931 w, 2839 w, 1604 m, 1570 s, 1512 m, 1485 m,1427 m, 1327 m, 1261 s, 1226 m, 1184 m, 1033 s, 1014 m, 976 m, 825 m, 756 m, 682 m, 578 m; 1H NMR (500 MHz, DMSO-d6, δ/ppm) 3.86 (s, 6H, 2OCH3), 5.80 (s, 2H, 2H4), 7.45–8.20 (m, 20H, Ar–H); UV-Vis (λmax, nm): 490; Anal. Calculated for C44H28Cl2N8O10Te2: C 45.70, H 2.35, N 9.68, Found: C 45.76, H 2.44, N 9.70%.

3.2.5. General Method for the Preparation of Diaryl Tellurides

Bis[(2-(3-(4-substituted phenyl)-5-(2-chlorophenyl)-1H-pyrazol-1-yl)-3,5-dinitrophenyl)] telluride 1315
Diaryl tellurium dibromides (i.e., compounds 7, 8, or 9) (2.00 mmol) was dissolved in 25 mL of ethanol and refluxed. A solution of hydrazine hydrate in ethanol was added drop wisely to the refluxed solution until nitrogen evaluation ceased. The resulting solution was poured into 500 mL of distilled ice water to afford a yellow solid. The crude product was twice recrystallized from a mixture of ethanol and dichloromethane to obtain a yellow or yellowish brown solid in 58–67% yields.
Bis[(2-(3-(4-bromophenyl)-5-(2-chlorophenyl)-1H-pyrazol-1-yl)-3,5-dinitrophenyl)] telluride (13)
Light-yellowish brown crystalline solid; Yield: 67%; M.p.: 88–90 °C; Molar conductance (Λm, ohm−1 cm−1 mol−1): 13; Rf = 0.73 (ethyl acetate-n-hexane); FTIR (KBr) cm−1: 3063 w, 1609 s, 1597, 1465 m, 1438 m, 1323 s, 1273 m, 1311 m, 1272 m, 1211 s, 1181 m, 1157 m, 1041 s, 986 s, 860 s, 790 m, 756 m, 719 m, 667 m, 655 m, 578 m; 1H NMR (500 MHz, DMSO-d6, δ/ppm): 5.94 (s, 2H, H4 and H4′), 7.44–8.23 (m, 20H, Ar–H); UV-Vis (λmax, nm): 358; Anal. Calculated for C21H11BrCl3N4O4Te: C 34.43, H 1.51, N 7.65, Found: C 34.50, H 1.51, N7.71%.
Bis[(2-(5-(2-Chlorophenyl)-3-(4-methylphenyl)-1H-pyrazol-1-yl)-3,5-dinitrophenyl)] telluride (14)
Light-yellow crystalline solid; Yield: 58%; M.p.: 80–82 °C; Molar conductance (Λm, ohm−1 cm−1 mol−1): 8; Rf = 0.65 (ethyl acetate-n-hexane); FTIR (KBr) cm−1: 3059 w, 1600 s, 1567 s, 1513 s, 1460 m, 1440 m, 1332 s, 1310 m, 1270 m, 1210 s, 1181 m, 1154 m, 1040 s, 970 s, 861 s, 788 m, 751 m, 719 m, 691 m, 657 m, 573 m; 1H NMR (500 MHz, DMSO-d6, δ /ppm): 2.06 (s, 6H, 2CH3); 5.90 (s, 2H, H4 and H4′), 7.46-8.20 (m, 20H, Ar–H); UV-Vis (λ max, nm): 345; Anal. Calculated for C44H28Cl2N8O8Te: C 53.10, H 2.84, N 11.26, Found: C 53.13, H 2.90, N 11.33%.
Bis[(2-(5-(2-Chlorophenyl)-3-(4-methoxyphenyl)-1H-pyrazol-1-yl)-3,5-dinitrophenyl)] telluride (15)
Light-yellow crystalline; Yield: 65%; M.p.: 87–85 °C; Molar conductance (Λm, ohm−1 cm−1 mol−1): 11; Rf = 0.60 (ethyl acetate-n-hexane); FTIR (KBr) cm−1: 3063 w, 2974 w, 2931 w, 2839 w, 1604 m, 1570 s, 1512 s, 1465 m, 1427 m, 1327 s, 1261 m, 1226 m, 1180 m, 1111 m, 1033 m, 1014 m, 976 s, 825 m, 756 m, 682 m, 578 m, 505 m; 1H NMR (500 MHz, DMSO-d6, δ/ppm): 3.83 (s, 6H, 2OCH3), 5.81 (s, 2H, H4, and H4′), 7.43–8.22 (m, 20H, Ar–H); UV-Vis (λmax, nm): 341; Anal. Calculated for C44H28Cl2N8O10Te: C 51.45, H 2.75, N 10.91, Found: C 51.19, H 2.82, N 11.01%.

3.2.6. General Method for the Preparation of Diaryl Tellurium Trichlorides

(2-(3-(4-substituedphenyl)-5-(2-chlorophenyl)-1H-pyrazol-1-yl)-3,5-dinitrophenyl)tellurium trichloride 1621
Thionyl chloride (0.12 g, 1.00 mmol) in 15 mL of ethanol was added drop wisely to an ethanolic solution of diaryl ditellurides compounds (i.e., compounds 10, 11 or 12) (1.00 mmol) with stirring at room temperature for 30 minutes. A yellow precipitate was formed immediately. Recrystallization by ethanol gave an yellow solid of compounds 1618.
(2-(3-(4-Bromophenyl)-5-(2-chlorophenyl)-1H-pyrazol-1-yl)-3,5-dinitrophenyl)tellurium trichloride (16)
Yellow brown crystalline solid; 82 Yield: %; M.p.: 168–170 °C; Molar conductance (Λm, ohm−1 cm−1 mol−1): 33; Rf (ethyl acetate- n-hexane) = 0.81; FT-IR (KBr) cm−1: 3059 w, 1604 s, 1570 s, 1465 s, 1438 s, 1138 s, 1311 s, 1273 s, 1211 s, 1180 s, 1157 s, 1041 m, 972 s, 850 m, 790 m, 717 m, 748 s, 717 m, 690 m, 659 m; 1H NMR (500 MHz, DMSO-d6, δ/ppm): 5.95 (s, 2H, H4 and H4′), 7.45–8.20 (m, 20H, Ar-H); UV-Vis (λmax, nm): 400; Anal. Calculated for C21H11BrCl4N4O4Te: C 51.45, H 2.75, N 10.91, Found: C 51.19, H 2.82, N 11.01%.
(2-(3-(4-Methylphenyl)-5-(2-chlorophenyl)-1H-pyrazol-1-yl)-3,5-dinitrophenyl)tellurium trichloride (17)
Yellow crystalline solid; 76 Yield: %; M.p.: 160–162 °C; Molar conductance (Λm, ohm−1 cm−1 mol−1): 30; Rf (ethyl acetate- n-hexane) = 0.75; FTIR (KBr) cm−1: FT-IR (KBr) cm−1: 3065 m, 2930 w, 1631 m, 1590 m, 1463 m, 1433 m, 1390 m, 1327 s, 1275 m, 1216 m,1170 m, 1066 m, 1022 m, 971 s, 821 m, 756 s, 710 m, 687 m; 1H NMR (500 MHz, DMSO-d6, δ/ppm): 2.20 (s, 6H, 2CH3), 5.90 (s, 2H, H4 and H4′), 7.45–8.20 (m, 20H, Ar–H); UV-Vis (λmax, nm): 375; Anal. Calculated for C22H14Cl4N4O4Te: C 38.64, H 2.06, N 8.19, Found: C 38.70, H 2.00, N 8.24%.
(2-(3-(4-Methoxyphenyl)-5-(2-chlorophenyl)-1H-pyrazol-1-yl)-3,5-dinitrophenyl)tellurium trichloride (18)
Yellow crystalline solid; 79 Yield: %; M.p.: 155–156 °C; Molar conductance (Λm, ohm−1 cm−1 mol−1): 24; Rf (ethyl acetate- n-hexane) = 0.70; FTIR (KBr) cm−1: 3060 w, 2911 w, 2835 w, 1600 s, 1568 s, 1511 m, 1462 m, 1425 s, 1324 s, 1265 m, 1230 m, 1195m, 1112 m, 1005 s, 914 m, 825 m, 759 m; 1H NMR (500 MHz, DMSO-d6, δ/ppm): 1H NMR (500 MHz, DMSO-d6, δ /ppm): 3.86 (s, 3H, OCH3), 5.82 (s, 1H, H4), 7.45–8.22 (m, 10H, Ar–H); UV-Vis (λmax, nm): 370; Anal. Calculated for C22H14Cl4N4O4Te: C 51.45, H 2.75, N 10.91, Found: C 51.19, H 2.82, N 11.01%.

3.2.7. General Method for the Preparation of Diaryl Tellurium Triiodides

(2-(3-(4-Substitutedphenyl)-5-(2-chlorophenyl)-1H-pyrazol-1-yl)-3,5-dinitrophenyl)tellurium triiodide 1921
A solution of iodine (0.10 g, 0.78 mmol) in 10 mL of ethanol added to a solution of diaryl ditelluride compounds 10, 11, or 12 (0.78 mmol) in 20 mL ethanol with stirring at room temperature for 30 min gave a brown solid of compounds 19, 20, and 21, respectively.
(2-(3-(4-Bromophenyl)-5-(2-chlorophenyl)-1H-pyrazol-1-yl)-3,5-dinitrophenyl)tellurium triiodide (19)
Yellowish brown crystalline solid; 73 Yield: %; M.p.: 147–159 °C; Molar conductance (Λm, ohm−1 cm−1 mol−1): 30; Rf (ethyl acetate-n-hexane) = 0.45; FTIR (KBr) cm−1: FTIR (KBr) cm−1: 3055 w, 1591 s, 1460 s, 1439 s, 1391 s, 1268 m, 1214 s, 1177 m, 1100 m, 1065 m, 1105 m, 1025, 971 m, 882 s, 820 m, 756 m; 1H NMR (500 MHz, DMSO-d6, δ/ppm): 5.96 (s, 2H, H4, and H4′), 7.45–8.22 (m, 20H, Ar–H); UV-Vis (λmax, nm): 390; Anal. Calculated for C21H11I3BrClN4O4Te: C 25.05, H 1.10, N 5.56, Found: C 25.09, H 1.17, N 5.63.01%.
(2-(3-(4-Methylphenyl)-5-(2-chlorophenyl)-1H-pyrazol-1-yl)-3,5-dinitrophenyl)tellurium triiodide (20)
Yellow crystalline solid; 76 Yield: %; M.p.: 122–120 °C; Molar conductance (Λm, ohm−1 cm−1 mol−1): 29; Rf (ethyl acetate-n-hexane) = 0.61; FTIR (KBr) cm−1: 3063 m, 2924 w, 1597 m, 1465 m, 1438 m, 1392 m, 1323 s, 1273 m, 1211 m,1172 m, 1064 m, 1026 m, 978 s, 821 m, 756 s, 709 m, 687 m; 1H NMR (500 MHz, DMSO-d6, δ/ppm): 2.22 (s, 3H, CH3); 5.90 (s, 1H, H4), 7.46–8.20 (m, 10H, Ar-H); UV-Vis (λmax, nm): 395; Anal. Calculated for C22H14I3ClN4O4Te: C 27.58, H 1.50, N 5.95, Found: C 28.10, H 1.51, N 6.01%.
(2-(3-(4-Methoxyphenyl)-5-(2-chlorophenyl)-1H-pyrazol-1-yl)-3,5-dinitrophenyl)tellurium triiodide (21)
Yellowish brown crystalline solid; 70 Yield: %; M.p.: 113–105 °C; Molar conductance (Λm, ohm−1 cm−1 mol−1): 22; Rf(ethyl acetate-n-hexane) = 65; FTIR (KBr) cm−1: 3059 w, 2905 w, 2835 w, 1598 s, 1570 s, 1515 m, 1465 m, 1428 s, 1327 s, 1265 m, 1227 m, 1192 m, 1117 m, 1013 s, 915 m, 820 m, 755 m; 1H NMR (500 MHz, DMSO-d6, δ/ppm): 3.8 (s, 6H, 2OCH3), 5.81 (s, 2H, H4, and H4′), 7.43–8.22 (m, 20H, Ar–H); UV-Vis (λmax, nm): 391; Anal. Calculated for C22H14I3ClN4O4Te: C 27.58, H 1.47, N 5.85, Found: C 27.62, H 1.41, N 6.94%.

3.2.8. General Method for the Preparation of Diaryl Tellurium Dichlorides

Bis[(2-(3-(4-substitutedphenyl)-5-(2-chlorophenyl)-1H-pyrazol-1-yl)-3,5-dinitrophenyl)]tellurium dichlorides 2224
Thionyl chloride (0.12 g, 1.00 mmol) in 15 mL of ethanol was added drop wise to an ethanolic solution of diaryl tellurides compounds (i.e., compounds 13, 14, or 15) (1.00 mmol) with stirring at room temperature for 30 minutes. A yellow precipitate was formed immediately. Recrystallization by ethanol gave a yellow solid of compounds 2224.
Bis[(2-(3-(4-bromophenyl)-5-(2-chlorophenyl)-1H-pyrazol-1-yl)-3,5-dinitrophenyl)]tellurium dichloride (22)
Yellowish orange crystalline solid; Yield: 83%; M.p.: 187–180 °C; Molar conductance (Λm, ohm−1 cm−1 mol−1): 20; Rf = 0.60 (ethyl acetate-n-hexane); FTIR (KBr) cm−1: 3063 w, 1660 s, 1609 s, 1597, 1465 m, 1438 m, 1323 s, 1273 m, 1311 m, 1272 m, 1211 s, 1181 m, 1157 m, 1041 s, 986 s, 860 s, 790 m, 756 m, 719 m, 667 m, 655 m, 578 m; 1H NMR (500 MHz, DMSO-d6, δ/ppm): 5.95 (s, 2H, H4, and H4′), 7.46–8.20 (m, 20H, Ar–H); UV-Vis (λmax, nm): 385; Anal. Calculated for C42H22Br2Cl4N8O8Te: C 42.18, H 1.85, N 9.37 Found: C 42.20, H 1.87, N 9.37%.
Bis[(2-(3-(4-methylphenyl)-5-(2-chlorophenyl)-1H-pyrazol-1-yl)-3,5-dinitrophenyl)]tellurium dichloride (23)
Yellow crystalline solid; Yield: 73%; M.p.: 104–106 °C; Molar conductance (Λm, ohm−1 cm−1 mol−1): 21; Rf (ethyl acetate-n-hexane) = 0.58; FTIR (KBr) cm−1: 3063 w, 2927, 1600 s, 1570 s, 1485 s, 1438 m, 1323 s, 1273 m, 1211 m, 1172 m, 1064 s, 1007 m, 976 s, 820 m, 756 m, 709 m, 687 m, 582 m, 536 m; 1H NMR (500 MHz, DMSO-d6, δ/ppm): 2.06 (s, 6H, 2CH3); 5.92 (s, 2H, H4, and H4′), 7.45–8.20 (m, 20H, Ar–H); UV-Vis (λmax, nm): 385; Anal. Calculated for C44H28Cl4N8O8Te: C 49.57, H 2.65, N 10.51, Found: C 49.61, H 2.69, N 10.58%.
Bis[(2-(3-(4-methoxyphenyl)-5-(2-chlorophenyl)-1H-pyrazol-1-yl)-3,5-dinitrophenyl)]tellurium dichloride (24)
Light-yellowish crystalline solid; Yield: 78%; M.p.: 181–183 °C; Molar conductance (Λm, ohm−1 cm−1 mol−1): 26; Rf (ethyl acetate-n-hexane) = 0.60; FTIR (KBr) cm−1: 3063 w, 2928 w, 2843 w, 1604 s, 1570 s, 1521 m, 1465 m, 1431 m, 1330 s, 1261 m, 1226 m, 1180 m, 1033 m, 1014 m, 976 s, 829 m, 758 m, 682 m, 578 m; 1H NMR (500 MHz, DMSO-d6, δ /ppm): 3.86 (s, 6H, 2OCH3), 5.80 (s, 2H, 2H4), 7.45–8.20 (m, 20H, Ar–H); UV-Vis (λmax, nm): 385; Anal. Calculated for C44H28Cl4N8O10Te: C 48.12, H 2.57, N 10.20, Found: C 48.18, H 2.62, N 10.20%.

3.2.9. General Method for the Preparation of Diaryl Tellurium Diiodides

Bis[(2-(3-(4-substitutedphenyl)-5-(2-chlorophenyl)-1H-pyrazol-1-yl)-3,5-dinitrophenyl)]tellurium diiodides 2527
A solution of iodine (0.10 g, 0.78 mmol) in 10 mL of ethanol added to a solution of diaryl tellurides compounds 13, 14, or 15 (0.78 mmol) in 20 mL ethanol with stirring at room temperature for 30 min gave a brown solid of compounds 25, 26, and 27, respectively.
Bis[(2-(3-(4-bromophenyl)-5-(2-chlorophenyl)-1H-pyrazol-1-yl)-3,5-dinitrophenyl)]tellurium diiodides (25)
Yellowish brown crystalline solid; Yield: 73%; M.p.: 113–115 °C; Molar conductance (Λm, ohm−1 cm−1 mol−1): 27; Rf (ethyl acetate-n-hexane) = 0.66; FTIR (KBr) cm−1: 3059 w, 1604 s, 1523 m, 1469 m, 1438 m, 1334 s, 1311 m, 1269 m, 1211 m, 1010 m, 972 m, 860 m, 748 m, 721 m, 686 m, 655; 1H NMR (500 MHz, DMSO-d6, δ/ppm): 5.95 (s, 2H, H4 and H4′), 7.46–8.20 (m, 20H, Ar–H); UV-Vis (λmax, nm): 390; Anal. Calculated for C42H22I2Br2Cl2N8O8Te: C 27.52, H 1.68, N 5.84 Found: C 27.60, H 1.71, N 5.91%.
Bis[(2-(3-(4-methylphenyl)-5-(2-chlorophenyl)-1H-pyrazol-1-yl)-3,5-dinitrophenyl)]tellurium diiodides (26)
Yellowish brown crystalline solid; Yield: 77%; M.p.: 80–82 °C; Molar conductance (Λm, ohm−1 cm−1 mol−1): 21; Rf(ethyl acetate-n-hexane) = 0.66; FTIR (KBr) cm−1: 3059 m, 2920 w, 1604 s, 1523 m, 1462 m, 1438 m, 1334, 1311 s, 1269 m, 1211 s, 1037 m, 1010 m, 972 m, 860, 748 s, 721 m, 585 m, 655 m, 578 m, 528 m, 447 m; 1H NMR (500 MHz, DMSO-d6, δ /ppm): 2.06 (s, 6H, 2CH3); 5.92 (s, 2H, H4, and H4′), 7.45–8.20 (m, 20H, Ar–H); UV-Vis (λmax, nm): 395; Anal. Calculated for C44H28I2Cl2N8O8Te: C 36.59, H 1.61, N 8.13, Found: C 37.04, H 1.66, N 8.15 %.
Bis[(2-(3-(4-methoxyphenyl)-5-(2-chlorophenyl)-1H-pyrazol-1-yl)-3,5-dinitrophenyl)]tellurium diiodides (27)
Yellowish brown crystalline solid; Yield: 66%; M.p.: 93–95 °C; Molar conductance (Λm, ohm−1 cm−1 mol−1): 19; Rf (ethyl acetate-n-hexane) = 0.60; FTIR (KBr) cm−1: 3056 w, 2928 w, 2840 w, 1600 s, 1572 s, 1521 m, 1465 m, 1430 m, 1334 s, 1260 m, 1226 m, 1180 m, 1032 m, 1016 m, 976 s, 829 m, 758 m, 682 m, 577 m; 1H NMR (500 MHz, DMSO-d6, δ/ppm): 3.83 (s, 6H, 2OCH3), 5.82 (s, 2H, H4, and H4′), 7.46–8.22 (m, 20H, Ar–H); UV-Vis (λmax, nm): 390; Anal. Calculated for C44H28I4Cl2N8O10Te: C 42.31, H 2.26, N 8.97, Found: C 42.39, H 2.31, N 9.02%.

3.3. Determination of Antimicrobial Activity

Compounds 127 were assayed against four different microorganisms: Gram-positive bacteria Staphylococcus aureus ATCC25923 and Candida albicans ATCC2091, and Gram-negative bacteria Escherichia coli ATCC25922 and Pseudomonas aeruginosa ATCC9027 by using the disk diffusion technique. Amoxicillin (10 µg/disc) was used as the standard drug. The agar well diffusion method was applied for the determination of the inhibition zone and minimum inhibitory concentration (MIC). The procedure used in this study was according to a previous method [4].

4. Conclusions

This work shows an efficient method for the synthesis of a series of new tellurated compounds derived from 1, 3, 5-trisubstituted-pyrazole derivatives for the first time. The compounds that possess pharmacophores such as bromo-, methoxy- and methyl-substituents with lipophilic properties appeared to have the greatest antimicrobial activity. The diaryl tellurides 13, 14, and 15 were highly active against the organisms employed among all synthesized compounds. Compounds 1315 possess more potent activity against the bacteria than control (amoxicillin), which makes them promising drugs in the future.

Supplementary Materials

The following are available online, Figure S1: 1H NMR spectrum of 2-(3-(4-Bromophenyl)-5-(2-chlorophenyl)-1H-pyrazol-1-yl)-3,5-dinitrophenyl) mercury (II) chloride (1), Figure S2: 13C NMR spectrum of 2-(3-(4-Bromophenyl)-5-(2-chlorophenyl)-1H-pyrazol-1-yl)-3,5-dinitrophenyl) mercury (II) chloride (1), Figure S3: 1H NMR spectrum of 2-(5-(2-Chlorophenyl)-3-(4-methyl phenyl)-1H-pyrazol-1-yl)-3,5-dinitro phenyl) mercury(II) chloride (2), Figure S4: 13C NMR spectrum of 2-(5-(2-Chlorophenyl)-3-(4-methyl phenyl)-1H-pyrazol-1-yl)-3,5-dinitro phenyl) mercury(II) chloride (2), Figure S5: 1H NMR spectrum of 2-(5-(2-Chlorophenyl)-3-(4-methoxy phenyl)-1H-pyrazol-1-yl)-3,5-dinitrophenyl)mercury(II) chloride(3), Figure S6: 13C NMR spectrum of 2-(5-(2-Chlorophenyl)-3-(4-methoxyphenyl)-1H-pyrazol-1-yl)-3,5-dinitrophenyl)mercury(II) chloride (3), Figure S7: 1H NMR spectrum of (2-(3-(4-Bromophenyl)-5-(2-chlorophenyl)-1H-pyrazol-1-yl)-3,5-dinitrophenyl)tellurium tribromide (4), Figure S8: 13C NMR spectrum of (2-(3-(4-Bromophenyl)-5-(2-chlorophenyl)-1H-pyrazol-1-yl)-3,5-dinitrophenyl)tellurium tribromide (4)., Figure S9: 1H NMR spectrum of (2-(5-(2-Chlorophenyl)-3-(4-methylphenyl)-1H-pyrazol-1-yl)-3,5-dinitrophenyl)tellurium tribromide (5), Figure S10: 13C NMR spectrum of (2-(5-(2-Chlorophenyl)-3-(4-methylphenyl)-1H-pyrazol-1-yl)-3,5-dinitrophenyl)tellurium tribromide (5), Figure S11: 1H NMR spectrum of (2-(5-(2-Chlorophenyl)-3-(4-methoxyphenyl)-1H-pyrazol-1-yl)-3,5dinitrophenyl) tellurium tribromide (6), Figure S12: C NMR spectrum of (2-(5-(2-Chlorophenyl)-3-(4-methoxyphenyl)-1H-pyrazol-1-yl)-3,5dinitrophenyl)tellurium tribromide (6), Figure S13: 1H NMR spectrum of Bis[(2-(3-(4-bromophenyl)-5-(2-chlorophenyl)-1H-pyrazol-1-yl)-3,5-dinitrophenyl)] tellurium dibromide (7), Figure S14: 13C NMR spectrum of Bis[(2-(3-(4-bromophenyl)-5-(2-chlorophenyl)-1H-pyrazol-1-yl)-3,5-dinitrophenyl)]tellurium dibromide (7), Figure S15: 1H NMR spectrum of Bis[(2-(5-(2-Chlorophenyl)-3-(4-methylphenyl)-1H-pyrazol-1-yl)-3,5-dinitrophenyl)] tellurium dibromide (8), Figure S16: 13C NMR spectrum of Bis[(2-(5-(2-Chlorophenyl)-3-(4-methylphenyl)-1H-pyrazol-1-yl)-3,5-dinitrophenyl)]tellurium dibromide (8), Figure S17: 1H NMR spectrum of Bis[2-(5-(2-Chlorophenyl)-3-(4-methoxyphenyl)-1H-pyrazol-1-yl)-3,5dinitro phenyl)] tellurium dibromide (9), Figure S18: 13C NMR spectrum of Bis[2-(5-(2-Chlorophenyl)-3-(4-methoxyphenyl)-1H-pyrazol-1-yl)-3,5dinitro phenyl)]tellurium dibromide (9), Figure S19: 1H NMR spectrum of Bis[(2-(3-(4-bromophenyl)-5-(2-chlorophenyl)-1H-pyrazol-1-yl)-3,5-dinitro phenyl)] ditelluride (10), Figure S20: 13C NMR spectrum of Bis[(2-(3-(4-bromophenyl)-5-(2-chlorophenyl)-1H-pyrazol-1-yl)-3,5-dinitrophenyl)] ditelluride (10), Figure S21: 1H NMR spectrum of Bis[(2-(5-(2-Chlorophenyl)-3-(4-methylphenyl)-1H-pyrazol-1-yl)-3,5-dinitrophenyl)] ditelluride (11), Figure S22: 13C NMR spectrum of bis[(2-(5-(2-Chlorophenyl)-3-(4-methylphenyl)-1H-pyrazol-1-yl)-3,5-dinitrophenyl)] ditelluride (11), Figure S23: 1H NMR spectrum of Bis[(2-(5-(2-Chlorophenyl)-3-(4-methoxyphenyl)-1H-pyrazol-1-yl)-3,5dinitro phenyl)] ditelluride (12), Figure S24: 13C NMR spectrum of Bis[(2-(5-(2-Chlorophenyl)-3-(4-methoxyphenyl)-1H-pyrazol-1-yl)-3,5dinitro phenyl)] ditelluride (12), Figure S25: 1H NMR spectrum of Bis[(2-(3-(4-bromophenyl)-5-(2-chlorophenyl)-1H-pyrazol-1-yl)-3,5-dinitrophenyl)] telluride (13), Figure S26: C NMR spectrum of bis[(2-(3-(4-bromophenyl)-5-(2-chlorophenyl)-1H-pyrazol-1-yl)-3,5-dinitrophenyl)] telluride (13), Figure S27: 1H NMR spectrum of Bis[(2-(5-(2-Chlorophenyl)-3-(4-methylphenyl)-1H-pyrazol-1-yl)-3,5-dinitrophenyl)] telluride (14), Figure S28: 13C NMR spectrum of Bis[(2-(5-(2-Chlorophenyl)-3-(4-methylphenyl)-1H-pyrazol-1-yl)-3,5-dinitrophenyl)] telluride (14), Figure S29: 1H NMR spectrum of bis[(2-(5-(2-Chlorophenyl)-3-(4-methoxyphenyl)-1H-pyrazol-1-yl)-3,5-dinitrophenyl)] telluride (15), Figure S30: 13C NMR spectrum of Bis[(2-(5-(2-Chlorophenyl)-3-(4-methoxyphenyl)-1H-pyrazol-1-yl)-3,5-dinitrophenyl)] telluride (15), Figure S31: 1H NMR spectrum of (2-(3-(4-Bromophenyl)-5-(2-chlorophenyl)-1H-pyrazol-1-yl)-3,5-dinitrophenyl)tellurium trichloride (16), Figure S32: 13C NMR spectrum of (2-(3-(4-Bromophenyl)-5-(2-chlorophenyl)-1H-pyrazol-1-yl)-3,5-dinitrophenyl)tellurium trichloride (16), Figure S33: 1H NMR spectrum of (2-(3-(4-Methylphenyl)-5-(2-chlorophenyl)-1H-pyrazol-1-yl)-3,5-dinitrophenyl)tellurium trichloride (17), Figure S34: 13C NMR spectrum of (2-(3-(4-Methylphenyl)-5-(2-chlorophenyl)-1H-pyrazol-1-yl)-3,5-dinitrophenyl) tellurium trichloride (17), Figure S35: 1H NMR spectrum of (2-(3-(4-Methoxyphenyl)-5-(2-chlorophenyl)-1H-pyrazol-1-yl)-3,5-dinitrophenyl)tellurium trichloride (18), Figure S36: 13C NMR spectrum of (2-(3-(4-Methoxyphenyl)-5-(2-chlorophenyl)-1H-pyrazol-1-yl)-3,5-dinitrophenyl) tellurium trichloride (18), Figure S37: 1H NMR spectrum of (2-(3-(4-Bromophenyl)-5-(2-chlorophenyl)-1H-pyrazol-1-yl)-3,5-dinitrophenyl)tellurium triiodide (19), Figure S38: C NMR spectrum of (2-(3-(4-Bromophenyl)-5-(2-chlorophenyl)-1H-pyrazol-1-yl)-3,5-dinitrophenyl)tellurium triiodide (19), Figure S39: 1H NMR spectrum of (2-(3-(4-Methylphenyl)-5-(2-chlorophenyl)-1H-pyrazol-1-yl)-3,5-dinitrophenyl)tellurium triiodide (20), Figure S40: 13C NMR spectrum of (2-(3-(4-Methylphenyl)-5-(2-chlorophenyl)-1H-pyrazol-1-yl)-3,5-dinitrophenyl)tellurium triiodide (20), Figure S41: 1H NMR spectrum of (2-(3-(4-Methoxyphenyl)-5-(2-chlorophenyl)-1H-pyrazol-1-yl)-3,5-dinitrophenyl)tellurium triiodide (21), Figure S42: 13C NMR spectrum of (2-(3-(4-Methoxyphenyl)-5-(2-chlorophenyl)-1H-pyrazol-1-yl)-3,5-dinitrophenyl)tellurium triiodide (21), Figure S43: 1H NMR spectrum of Bis[(2-(3-(4-bromophenyl)-5-(2-chlorophenyl)-1H-pyrazol-1-yl)-3,5-dinitro phenyl)]tellurium dichloride (22), Figure S44: 13C NMR spectrum of bis[(2-(3-(4-bromophenyl)-5-(2-chlorophenyl)-1H-pyrazol-1-yl)-3,5-dinitrophenyl)]tellurium dichloride (22), Figure S45: 1H NMR spectrum of Bis[(2-(3-(4-methylphenyl)-5-(2-chlorophenyl)-1H-pyrazol-1-yl)-3,5-dinitro phenyl)]tellurium dichloride (23), Figure S46: 13C NMR spectrum of Bis[(2-(3-(4-methylphenyl)-5-(2-chlorophenyl)-1H-pyrazol-1-yl)-3,5-dinitrophenyl)]tellurium dichloride (23), Figure S47: 1H NMR spectrum of Bis[(2-(3-(4-methoxyphenyl)-5-(2-chlorophenyl)-1H-pyrazol-1-yl)-3,5-dinitro phenyl)]tellurium dichloride (24), Figure S48: 13C NMR spectrum of Bis[(2-(3-(4-methoxyphenyl)-5-(2-chlorophenyl)-1H-pyrazol-1-yl)-3,5-dinitrophenyl)]tellurium dichloride (24), Figure S49: 1H NMR spectrum of Bis[(2-(3-(4-bromophenyl)-5-(2-chlorophenyl)-1H-pyrazol-1-yl)-3,5-dinitro phenyl)]tellurium diiodides (25), Figure S50: 13C NMR spectrum of Bis[(2-(3-(4-bromophenyl)-5-(2-chlorophenyl)-1H-pyrazol-1-yl)-3,5-dinitrophenyl)]tellurium diiodides (25), Figure S51: 1H NMR spectrum of Bis[(2-(3-(4-methylphenyl)-5-(2-chlorophenyl)-1H-pyrazol-1-yl)-3,5-dinitro phenyl)] tellurium diiodides (26), Figure S52: 13C NMR spectrum of Bis[(2-(3-(4-methylphenyl)-5-(2-chlorophenyl)-1H-pyrazol-1-yl)-3,5-dinitrophenyl)]tellurium diiodides (26), Figure S53: 1H NMR spectrum of Bis[(2-(3-(4-methoxyphenyl)-5-(2-chlorophenyl)-1H-pyrazol-1-yl)-3,5-dinitro phenyl)] tellurium diiodides (27), Figure S54: 13C NMR spectrum of bis[(2-(3-(4-methoxyphenyl)-5-(2-chlorophenyl)-1H-pyrazol-1-yl)-3,5-dinitrophenyl)]tellurium diiodides (27), Figure S55: IR spectrum of 2-(3-(4-bromophenyl)-5-(2-chlorophenyl)-1H-pyrazol-1-yl)-3,5-dinitrophenyl) mercury (II) chloride (1), Figure S56: IR spectrum of 2-(5-(2-chlorophenyl)-3-(4-methoxyphenyl)-1H-pyrazol-1-yl)-3,5-dinitrophenyl)mercury(II) chloride (3), Figure S57: IR spectrum of (2-(3-(4-bromophenyl)-5-(2-chlorophenyl)-1H-pyrazol-1-yl)-3,5-dinitrophenyl)tellurium tribromide (4), Figure S58: IR spectrum of (2-(5-(2-chlorophenyl)-3-(4-methoxyphenyl)-1H-pyrazol-1-yl)-3,5dinitrophenyl)tellurium tribromide (6), Figure S59: IR spectrum of bis[(2-(3-(4-bromophenyl)-5-(2-chlorophenyl)-1H-pyrazol-1-yl)-3,5-dinitrophenyl)]tellurium dibromide (7), Figure S60: IR spectrum of bis[(2-(5-(2-chlorophenyl)-3-(4-methylphenyl)-1H-pyrazol-1-yl)-3,5-dinitro phenyl)] tellurium dibromide (8), Figure S61: IR spectrum of bis[(2-(5-(2-chlorophenyl)-3-(4-methylphenyl)-1H-pyrazol-1-yl)-3,5-dinitrophenyl)] ditelluride (11), Figure S62: IR spectrum of bis[(2-(5-(2-chlorophenyl)-3-(4-methoxyphenyl)-1H-pyrazol-1-yl)-3,5dinitro phenyl)] ditelluride (12), Figure S63: IR spectrum of bis[(2-(3-(4-bromophenyl)-5-(2-chlorophenyl)-1H-pyrazol-1-yl)-3,5-dinitro phenyl)] telluride (13), Figure S64: IR spectrum of bis[(2-(5-(2-chlorophenyl)-3-(4-methoxyphenyl)-1H-pyrazol-1-yl)-3,5-dinitrophenyl)] telluride (15), Figure S65: IR spectrum of (2-(3-(4-methylphenyl)-5-(2-chlorophenyl)-1H-pyrazol-1-yl)-3,5-dinitrophenyl)tellurium trichloride (17), Figure S66: IR spectrum of bis[(2-(3-(4-bromophenyl)-5-(2-chlorophenyl)-1H-pyrazol-1-yl)-3,5-dinitrophenyl)]tellurium dichloride (22), Figure S67: IR spectrum of bis[(2-(3-(4-methylphenyl)-5-(2-chlorophenyl)-1H-pyrazol-1-yl)-3,5-dinitrophenyl)]tellurium dichloride (23), Figure S68: IR spectrum of (2-(3-(4-methylphenyl)-5-(2-chlorophenyl)-1H-pyrazol-1-yl)-3,5-dinitro phenyl) tellurium triiodide (20), Figure S69: IR spectrum of bis[(2-(3-(4-methoxyphenyl)-5-(2-chlorophenyl)-1H-pyrazol-1-yl)-3,5-dinitrophenyl)]tellurium diiodides (27).

Author Contributions

Conceptualization, A.A.A.-F. and M.Y.Y.; methodology, A.B.S.; software, A.A.A.-F.; validation, A.A.A.-F., M.Y.Y. and A.B.S.; formal analysis, A.A.A.-F.; investigation, A.A.A.-F.; resources, A.A.A.-F.; data curation, A.A.A.-F.; writing—original draft preparation, A.B.S.; writing—review and editing, A.A.A.-F.; visualization M.Y.Y.; supervision, A.A.A.-F.; project administration, A.A.A.-F.; funding acquisition A.A.A.-F. All authors (A.A.A.-F., A.B.S. and M.Y.Y.) have read and agreed to the published version of the manuscript.

Funding

This research received no external funding.

Acknowledgments

Authors are thankful to the Department of Chemistry, College of Science, University of Basrah for providing the laboratory facilities.

Conflicts of Interest

The authors declare no conflict of interest.

References

  1. Fustero, S.; Simon-Fuentes, A.; Sanz-Cervera, J.F. Recent advances in the synthesis of pyrazoles: A review. Org. Prep. Proced. Int. 2009, 41, 253–290. [Google Scholar] [CrossRef]
  2. Karrouchi, K.; Radi, S.; Ramli, Y.; Taoufik, J.; Mabkhot, Y.N.; Al-aizari, M.; Ansar, M. Synthesis and pharmacological activities of pyrazole derivatives: A review. Molecules 2018, 23, 134. [Google Scholar] [CrossRef] [PubMed]
  3. Fustero, S.; Sánchez-Roselló, M.; Barrio, P.; Simón-Fuentes, A. From 2000 to mid-2010: A fruitful decade for the synthesis of pyrazoles. Chem. Rev. 2011, 111, 6984–7034. [Google Scholar] [CrossRef] [PubMed]
  4. Sharshira, M.E.; Hamada, N.M. Synthesis and pharmacological activities of pyrazole derivatives: A review. Molecules 2012, 17, 4962–4971. [Google Scholar] [CrossRef] [PubMed]
  5. Abdelhamid, A.O.; Zohidi, H.F.; Sallam, M.M.M.; Ahmed, N.A. Synthesis of some new pyrrolidino[3,4-c]pyrazolines, pyrazoles, and pyrazolo[3,4- d] pyridazines. Molecules 2000, 5, 967–973. [Google Scholar] [CrossRef]
  6. Bhasin, K.K.; Pundir, S.; Neogy, S.; Mehta, D.; Mehta, S.K. Synthesis, characterization and structural aspect of some symmetrical organotellurium halides based on Bis(2-(3,5-dimethyl-1H-pyrazole-1-yl)ethyl)telluride. Phosphorus Sulfur Silicon Relat. Elem. 2018, 193, 273–279. [Google Scholar] [CrossRef]
  7. Chandrasekhar, V.; Kumar, A.; Pandey, M.D.; Metre, R.K. Telluroxane-supported coordination ligands: Synthetic and structural aspects. Polyhedron 2013, 52, 1362–1368. [Google Scholar] [CrossRef]
  8. Nogueira, C.W.; Zeni, G.; Rocha, J.B.T. Organoselenium and organotellurium compounds: Toxicology and pharmacology. Chem. Rev. 2004, 104, 6255–6285. [Google Scholar] [CrossRef] [PubMed]
  9. Reis de Sá, L.F.; Toledo, F.T.; Gonçalves, A.C.; Sousa, B.A.; dos Santos, A.A.; Brasil, P.F.; Duarte da Silva, V.A.; Tessis, A.C.; Ramos, J.A.; Carvalho, M.A.; et al. Synthetic organotellurium compounds sensitize drug-resistant Candida albicans clinical isolates to fluconazole. Antimicrob. Agents Chemother. 2017, 61, e01231-16. [Google Scholar] [CrossRef] [PubMed]
  10. Reis de Sá, L.F.; Toledo, F.T.; de Sousa, B.A.; Goncalves, A.C.; Tessis, A.C.; Wendler, E.P.; Comasseto, J.V.; Dos Santos, A.A.; Ferreira-Pereira, A. Synthetic organotelluride compounds induce the reversal of Pdr5p-mediated fluconazole resistance in Saccharomyces cerevisiae. BMC Microbiol. 2014, 14, 201. [Google Scholar] [CrossRef] [PubMed]
  11. Al-Rubaie, A.Z.; Al-Fregi, A.A.; Al-Jadaan, S.A.S. Synthesis of a new series of 2-(2-hydroxynaphthylazo)aryltellurium compounds. Phosphorus Sulfur Silicon Relat. Elem. 2011, 186, 115–124. [Google Scholar] [CrossRef]
  12. Al-Fregi, A.A.; Al-Salami, B.K.; Al-Khazragie, Z.K.; Al-Rubaie, A.Z. Synthesis, characterization and antibacterial studies of some new tellurated azo compounds. Phosphorus Sulfur Silicon Relat. Elem. 2019, 194, 33–38. [Google Scholar] [CrossRef]
  13. Sabti, A.B. Synthesis, Characterization and Microbial Activity Study of Some New Organotellurium Compounds. Ph.D. Thesis, University of Basrah, Basrah, Iraq, 2020. [Google Scholar]
  14. Jimeno, M.L.; Jagerovic, N.; Elguero, J.; Junk, T.; Catallo, W.J. 1H and 13C NMR study of perdeuterated pyrazoles. Spectroscopy 1997, 13, 291–294. [Google Scholar] [CrossRef][Green Version]
  15. Tala, S.D.; Vekariya, P.B.; Ghetiya, R.M.; Dodiya, B.L.; Joshi, H.S. Synthesis and biological study of some new chalcone and pyrazole derivatives. Indian J. Chem. 2013, 52B, 807–809. [Google Scholar]
  16. Saadon, H.L.; Ali, B.; Al-Fregi, A.A. Nonlinear optical properties of new organotellurium compounds containing azomethine and azo groups under CW laser illumination. Opt. Laser Technol. 2014, 58, 33–38. [Google Scholar] [CrossRef]
  17. Hockstedler, A.N.; Edjah, B.A.; Saajid, Z.; Azhar, S.Z.; Mendoza, H.; Brown, N.A.; Arrowood, H.B.; Clay, A.C.; Shah, A.B.; Duffek, G.M.; et al. 13C NMR spectroscopy of heterocycles: 1-phenyl-3-aryl/t-butyl-5-arylpyrazoles. Heterocycl. Commun. 2017, 23, 125–131. [Google Scholar] [CrossRef]
  18. Durust, Y.; Yildirum, M. Synthesis, UV-Vis spectra, and Hammett correlation of some novel bis(dihydropyrrolo[3,4-c]pyrazoles). Mon. Chem. 2010, 141, 961–973. [Google Scholar] [CrossRef]
  19. Al-Fregi, A.A.; Mayada Abdulaa Adnan, M.A. Synthesis, characterization and analytical study of tellurated Schiff base of bis[2-(3-nitrobenzylideneamino)-5-nitrophenyl]telluride and its complexation reactions with Mn(II), Co(II) and Ni(II) ions. Eur. J. Chem. 2016, 7, 195–200. [Google Scholar] [CrossRef][Green Version]
  20. Al-Fregi, A.A.; Jaid, H.A.; Abdulsahib, H.T. Synthesis and characterization of some new organotellurium compounds based on quinolone. Eur. J. Chem. 2017, 8, 218–223. [Google Scholar] [CrossRef][Green Version]
Sample Availability: Samples of the compounds are not available from the authors.
Scheme 1. Preparative methods of compounds 13.
Scheme 1. Preparative methods of compounds 13.
Molecules 25 03439 sch001
Scheme 2. Preparative methods of compounds 415.
Scheme 2. Preparative methods of compounds 415.
Molecules 25 03439 sch002
Scheme 3. Preparative methods of compounds 1621.
Scheme 3. Preparative methods of compounds 1621.
Molecules 25 03439 sch003
Scheme 4. Preparative methods of compounds 2227.
Scheme 4. Preparative methods of compounds 2227.
Molecules 25 03439 sch004
Figure 1. General structure formula.
Figure 1. General structure formula.
Molecules 25 03439 g001
Table 1. 13C NMR chemical shifts for compounds 115 in DMSO-d6.
Table 1. 13C NMR chemical shifts for compounds 115 in DMSO-d6.
CompoundPyrazol RingAryl RingsSubstituted Groups
C3C4C5Te-CAr-HCH3OCH3
1139.80104.66149.62114.90138.80–124.20
2139.72104.64149.60114.42132.50–124.0021.60
3139.74104.64149.61114.46163.20–121.15 56.00
4139.89104.66149.60114.44138.89–124.28
5139.70104.40149.80114.00132.41–124.2421.73
6139.77104.43149.82114.06163.41–124.70 56.60
7139.60104.66149.66114.88138.91–124.33
8139.50104.34149.60114.00132.38–124.2021.80
9139.52104.34149.62114.06163.41–124.74 55.58
10139.56103.71149.66114.14139.56–124.60
11139.50103.56149.64114.40133.42–124.7721.59
12139.50103.60149.64114.31163.00–124.00 55.60
13139.88103.52149.70114.72138.00–124.10
14139.84103.18149.65114.60132.41–124.7821.60
15139.86103.43149.65114.65163.43–124.77 55.59
16139.88103.24149.78114.70138.00–124.74
17139.70103.20149.71114.65132.40–124.0021.50
18139.52103.20149.63114.66163.45–124.50 55.51
19139.80103.60149.75114.79138..43–124.06
20139.84103.56149.62114.86132.38–125.5421.74
21139.77103.45149.64114.75163.03–124.12 55.59
22139.84104.50149.75114.91138.09–124.00
23139.80103.35149.60114.64133.00–125.2221.82
24139.63104.34149.66114.80163.00–124.66 55.60
25139.85103.95149.79114.83138.05–124.91
26139.76103.88149.61114.70132.11–124.0021.77
27139.65103.89149.60114.76163.40–124.99 55.60
Table 2. Inhibition zones (mm) of synthetic compounds 127.
Table 2. Inhibition zones (mm) of synthetic compounds 127.
COMP.Diameter of Inhibition Zone (mm)
Gram Positive BacteriaGram Negative Bacteria
Staphylococcus
aureus
Candida
albicans
Escherichia
coli
Pseudomonas
aeruginosa
118161913
214111510
318141612
4- *---
5----
6---12
728252727
821202123
924232526
1014171217
11--1010
1210121111
1350414239
1432303138
1534333537
16----
17----
18----
19----
20----
21----
2222202125
2317181719
2421192122
2529272220
2618181918
2721222119
DMSO-10--
Amoxicillin30303030
*(-) indicates no activity.
Table 3. Minimum inhibition concentration (MIC) mg/ mL of synthetic compounds 127.
Table 3. Minimum inhibition concentration (MIC) mg/ mL of synthetic compounds 127.
Comp.Minimum Inhibition Concentration (MIC) mg/mL
Staphylococcus
aureus
Candida
albicans
Escherichia
coli
Pseudomonas
aeruginosa
1125250250250
2500---
3500-250-
4- *---
5----
6----
7100250150125
8125125125100
9120150100100
10-500500250
11---500
12500500500-
13315063100
14125200125125
1550503150
16----
17----
18----
19----
20----
21----
22100110120115
23909010095
2495100110100
25150120125118
2612511092100
27130110100105
*(-) indicates no activity.

Share and Cite

MDPI and ACS Style

Sabti, A.B.; Al-Fregi, A.A.; Yousif, M.Y. Synthesis and Antimicrobial Evaluation of Some New Organic Tellurium Compounds Based on Pyrazole Derivatives. Molecules 2020, 25, 3439. https://doi.org/10.3390/molecules25153439

AMA Style

Sabti AB, Al-Fregi AA, Yousif MY. Synthesis and Antimicrobial Evaluation of Some New Organic Tellurium Compounds Based on Pyrazole Derivatives. Molecules. 2020; 25(15):3439. https://doi.org/10.3390/molecules25153439

Chicago/Turabian Style

Sabti, Asmaa B., Adil A. Al-Fregi, and Majeed Y. Yousif. 2020. "Synthesis and Antimicrobial Evaluation of Some New Organic Tellurium Compounds Based on Pyrazole Derivatives" Molecules 25, no. 15: 3439. https://doi.org/10.3390/molecules25153439

APA Style

Sabti, A. B., Al-Fregi, A. A., & Yousif, M. Y. (2020). Synthesis and Antimicrobial Evaluation of Some New Organic Tellurium Compounds Based on Pyrazole Derivatives. Molecules, 25(15), 3439. https://doi.org/10.3390/molecules25153439

Article Metrics

Back to TopTop