Next Article in Journal
Determination of Ferulic Acid in Angelica sinensis by Temperature-Controlled Hydrophobic Ionic Liquids-Based Ultrasound/Heating-Assisted Extraction Coupled with High Performance Liquid Chromatography
Next Article in Special Issue
Influence of Fluorine Substituents on the Electronic Properties of Selenium-N-Heterocyclic Carbene Compounds
Previous Article in Journal
Combining In Silico and In Vitro Studies to Evaluate the Acetylcholinesterase Inhibitory Profile of Different Accessions and the Biomarker Triterpenes of Centella asiatica
Previous Article in Special Issue
A Simple Zinc-Mediated Method for Selenium Addition to Michael Acceptors
 
 
Font Type:
Arial Georgia Verdana
Font Size:
Aa Aa Aa
Line Spacing:
Column Width:
Background:
Article

Phenylselanyl Group Incorporation for “Glutathione Peroxidase-Like” Activity Modulation

by
Magdalena Obieziurska-Fabisiak
1,
Agata J. Pacuła
1,
Lucia Capoccia
2,
Joanna Drogosz-Stachowicz
3,
Anna Janecka
3,
Claudio Santi
2 and
Jacek Ścianowski
1,*
1
Department of Organic Chemistry, Faculty of Chemistry, Nicolaus Copernicus University, 7 Gagarin Street, 87-100 Torun, Poland
2
Dipartimento di Scienze Farmaceutiche, Universita di Perugia, Via del Liceo 1, 06134 Perugia, Italy
3
Department of Biomolecular Chemistry, Faculty of Medicine, Medical University of Lodz, Mazowiecka 6/8, 92-215 Lodz, Poland
*
Author to whom correspondence should be addressed.
Molecules 2020, 25(15), 3354; https://doi.org/10.3390/molecules25153354
Submission received: 10 July 2020 / Revised: 21 July 2020 / Accepted: 23 July 2020 / Published: 24 July 2020
(This article belongs to the Special Issue Organoselenium Reagents and Their Applications)

Abstract

The ability of organoselenium molecules to mimic the activity of the antioxidant selenoenzyme glutathione peroxidase (GPx) allows for their use as antioxidant or prooxidant modulators in several diseases associated with the disruption of the cell redox homeostasis. Current drug design in the field is partially based on specific modifications of the known Se-therapeutics aimed at achieving more selective bioactivity towards particular drug targets, accompanied by low toxicity as the therapeutic window for organoselenium compounds tends to be very narrow. Herein, we present a new group of Se-based antioxidants, structurally derived from the well-known group of GPx mimics—benzisoselenazol-3(2H)-ones. A series of N-substituted unsymmetrical phenylselenides with an o-amido function has been obtained by a newly developed procedure: a copper-catalyzed nucleophilic substitution by a Se-reagent formed in situ from diphenyl diselenide and sodium borohydride. All derivatives were tested as antioxidants and anticancer agents towards breast (MCF-7) and leukemia (HL-60) cancer cell lines. The highest H2O2-scavenging potential was observed for N-(3-methylbutyl)-2-(phenylselanyl)benzamide. The best antiproliferative activity was found for (−)-N-(1S,2R,4R)-menthyl-2-(phenylselanyl)benzamide (HL-60) and ((−)-N-(1S,2R,3S,6R)-(2-caranyl))benzamide (MCF-7). The structure–activity correlations, including the differences in reactivity of the obtained phenyl selenides and corresponding benzisoselenazol-3(2H)-ones, were performed.

Graphical Abstract

1. Introduction

Drug design is a multi-step process, focused on the obtainment of the most specific ligand–receptor interaction correlated to a suitable structural core that is able to equip the molecule with a potential biological activity. The first discovered lead compound is subsequently variously functionalized in order to increase (and maximize) the desired therapeutic activity over the toxicity. The pharmacophore modeling often includes installation of aromatic or heteroaromatic rings, which are easy to introduce, can be further manipulated and are often responsible of the activity [1,2].
In the field of organoselenium chemistry, the design of Se-based therapeutics is often connected with the ability of selenium pharmacophores to mimic the activity of glutathione peroxidase (GPx). Over the years, the role of organoselenium compounds as redox-modulators was well-established with numerous examples of biologically active molecules [3,4,5,6], including the antioxidant agent N-phenylbenzisoselenazol-3(2H)-one (named as Ebselen) 1, currently in phase II clinical trial for noise-induced hearing loss [7]. Similarly, to ebselen 1, a significant number of proven bioactive Se-molecules possess aromatic or heteroaromatic rings as the core of the molecule [3]. Examples are presented in Scheme 1 and also include other Se-therapeutics currently in clinical trial: ethaselen 2, Trx reductase inhibitor, antitumor agent [8] and 4,4-dimethyl-benziso-2H-selenazine 3, anti-inflammatory therapeutic tested in chronic plaque psoriasis [9].
Many research groups continue the study of new strategies and structural modifications to obtain new Se-antioxidants that have high and selective activity. In our previous work, we explored the possibility to improve the GPx-like activity of ebselen with the introduction of specific functionalities that would enable new highly efficient biocatalyst [10,11,12]. Various N-aromatic and N-aliphatic derivatives 4 were obtained and easily transformed into the corresponding diselenides 5 (path a) [13,14,15] and seleninic acids, as well as to their potassium salts 6 (path b) [16]. Determination of the antioxidant and antiproliferative potential of all obtained molecules revealed a particular structure–activity relationship. Besides the observed influence of the N-substituent on their biological potential, it was also recently highlighted by Santi and co-workers [17], that the form of the Se-moiety is crucial for the specific catalytic activity of the designed GPx-mimics. To further differentiate the structures and to broaden the scope of the tested molecules, we introduced a phenylselanyl group as a new benzisoselenazolone core modification (7b23b, Scheme 2).
This modification allowed us to obtain a large group of GPx mimetics 7b23b and to determine whether the introduction of an additional aromatic ring and the exchange of Se-N for Se-Car bond is justified in order to obtain higher therapeutic potential of the N-substituted ebselen-like antioxidants.

2. Results and Discussion

The first step of the research involved the synthesis of N-substituted o-iodobenzamides 7a23a. The compounds were obtained through the reaction of the corresponding amines with o-iodobenzoic acid chloride 8. Benzamides 7a23a were further transformed to the final N-aliphatic 7b12b, N-aromatic 13b17b and chiral N-terpenyl [18] phenylselenides 18b23b by a copper-catalyzed nucleophilic aromatic substitution. The selenium nucleophile was prepared in situ from diphenyl diselenide and sodium borohydride. All derivatives were obtained in moderate to good yields (Scheme 3).
Considering the mechanism of the reaction, we assume that the first step includes the base-promoted formation of (1,10-ph)Cu-SePh complex 25. The oxidative addition to the Car-I bond of the amide leads to the copper(III) complex 26 in which both the arene and Se-nucleophile are ligated to the metal. Next, through the reductive elimination pathway, the final selenide is formed with the regeneration of the (1,10-ph)Cu(I)I catalyst 24 (Scheme 4).
The final goal of the research was to evaluate the obtained phenylselenides 7b23b as possible GPx-mimics and anticancer agents. The antioxidant capacity was tested by a conventionally used NMR-activity assay proposed first by Iwaoka and co-workers [19]. The rate of H2O2 reduction by the Se-catalyst was indirectly evaluated by the oxidation of dithiothreitol as a mimic of the reducing thiol cofactor. The conversion of the dithiol DTTred to the disulphide DTTox was observed in 1HNMR spectra in the specific time intervals. The results for the most active derivatives are presented in Scheme 5. The results obtained for all compounds are reported in Supporting Information.
The highest antioxidant potential was observed for N-butyl 9b, N-3-methylbutyl 10b and N-pinanyl phenyl selenide 22b. The results of the three selected Se-catalysts were compared to corresponding benzisoselenazol-3(2H)-ones 27–29. It could be noticed that the bulkiness of the substituent enhances the H2O2 scavenging activity of benzisoselenazolones (reactivity: 29 > 28 > 27) but decreased it for the corresponding phenylselenides (reactivity: 10b > 22b > 9b). For compounds 2729, the hindrance of the N-substituent facilitated the cleavage of the Se-N bond that accelerated the Se-moiety oxidation by hydrogen peroxide. On the contrary, the reaction of -SePh group with H2O2 proceeded more efficiently when the alkyl chain did not hinder the selenium atom.
To investigate the mechanism of the antioxidant activity, we have performed an additional 77Se NMR experiment of the H2O2-oxidation product of the most reactive N-butyl phenylselenide 9b (the sample was stored for 12 h before the NMR recording). A signal at 853 ppm indicated the formation of corresponding selenooxide. Based on these observations, supported by previous literature reports [20,21], we assume that the possible GPx-like catalytic cycle of the tested phenyl selenides involves the formation of the selenoxide 30, which is further hydrated to the corresponding hydrated oxide 31. The final H2O2 reduction and thiol oxidation proceeds through the reversible formation of the peroxy-hydrated oxide 32 (Scheme 6).
Next, all phenylselenides 7b23b were evaluated as antiproliferative agents by the MTT (3-(4,5-dimethyldiazol-2-yl)-2,5 diphenyl tetrazolium bromide) assay against breast (MCF-7) and leukemia (HL-60) cell lines. The best results were obtained for N-terpene derivatives 18b, 19b and compared with the data for the corresponding benzisoselenazol-3(2H)-ones 33 and 34 (Table 1). For the rest of the tested samples 7b17b, 20b23b, the IC50 values were above 50 µM.
Additionally, it was observed that the antiproliferative potential of analogs increased when the phenylselanyl moiety was introduced into the structure, showing that an additional aromatic ring can be beneficial for the compound’s cytotoxicity.
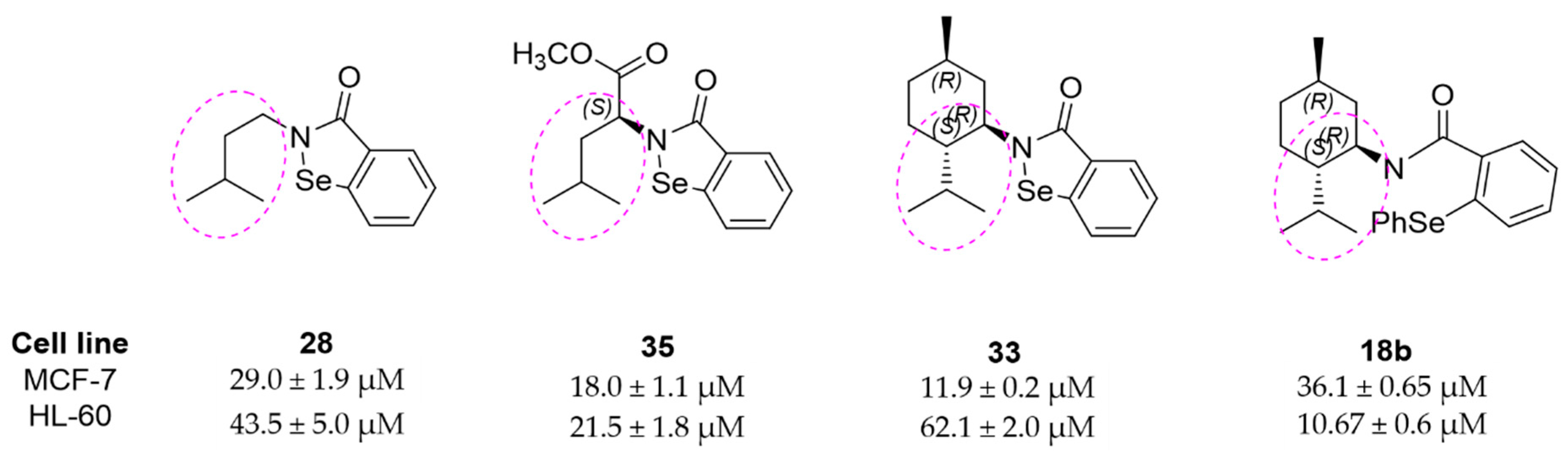
We have previously noticed that the internal 2-methylbutyl carbon chain is a repetitive element in the structure of the active benzisoselenazol-3(2H)-ones 28, 33 and 35, which indicates its potential role as a pharmacophore. Additional carbon chains or functional groups attached to the 2-methylbutyl substituent influenced the inhibitory potential. The antiproliferative activity was the highest for compounds with the carbon chain expanded to the cyclic menthyl functionality, benzisoselenazol-3(2H)-one 30 and phenylselenide 18b with IC50 values 11.9 ± 0.2 µM (MCF-7) and 10.7 ± 0.6 µM (HL-60), respectively (Scheme 7).

3. Materials and Methods

3.1. General

NMR spectra were recorded on Bruker Avance III/400 or Bruker Avance III/700 (Karlsruhe, Germany) for 1H and 176.1 MHz or 100.6 MHz for 13C (see Supplementary Material). Chemical shifts were recorded relative to SiMe4 (δ0.00) or solvent resonance (CDCl3 δ7.26, CD3OD δ3.31). Multiplicities were given as: s (singlet), d (doublet), dd (double doublet), ddd (double double doublet), t (triplet), dt (double triplet), and m (multiplet). The 77Se NMR spectra were recorded on Bruker Avance III/400 or Bruker Avance III/700 with diphenyl diselenide as an external standard. NMR spectra were carried out using ACD/NMR Processor Academic Edition. Melting points were measured with a Büchi Tottoli SPM-20 heating unit (Büchi Labortechnik AG, Flawil, Switzerland) and were uncorrected. Elemental analyses were performed on a Vario MACRO CHN analyzer. Optical rotations were measured in 10-mm cells with a polAAr 3000 polarimeter. Column chromatography was performed using Merck 40-63D 60Å silica gel (Merck, Darmstadt, Germany). Commercially available solvents DMF, DCM, and MeOH (Aldrich, St. Louis, MO, USA) and chemicals were used without further purification.

3.2. Procedures and Analysis Data

3.2.1. Synthesis of N-substituted o-iodobenzamides 7a23a

2% NaOH (4.4 mL) was added to a solution of an amine (1.0 mmol) in DCM (2 mL). The mixture was cooled to 0 °C and o-iodobenzoic acid chloride (1.1 mmol) dissolved in DCM (3 mL) was added dropwise. The reaction mixture was stirred at room temperature for 20 h and the product was extracted with DCM. Combined organic layers were washed with saturated NaHCO3 and dried over magnesium sulfate. The solvent was removed under reduced pressure and the product was obtained as white solid.
((−)-N-(1R,2S,5R)-menthyl)-o-iodobenzamide18a Yield: 98%, mp 146–148 °C; [α ] D 20 = −38.93 (c = 5.73, CHCl3); 1H NMR (700 MHz, CDCl3) δ = 0.88 (d, J = 7.0 Hz, 3H, CH3), 0.92 (s, 3H, CH3), 0.93 (s, 3H, CH3), 0.98–1.03 (m, 1H), 1.11–1.18 (m, 2H), 1.51–1.57 (m, 2H), 1.69–1.75 (m, 2H), 2.08–2.12 (m, 1H), 2.17–2.20 (m, 1H), 3.95–4.00 (m, 1H), 5.41 (d, J = 9.1 Hz, 1H, NH), 7.06–7.09 (m, 1Har), 7.35–7.38 (m, 2Har), 7.84 (dd, J1 = 0.7, J2 = 7.7 Hz, 1Har); 13C NMR (100.6 MHz, CDCl3) δ = 16.20 (CH3), 21.20 (CH3), 22.15 (CH3), 23.78 (CH2), 26.91 (CH), 31.89 (CH), 34.52 (CH2), 42.86 (CH2), 48.13 (CH), 50.75 (CH), 92.32 (Car), 128.08 (CHar), 128.12 (CHar), 130.86 (CHar), 139.88 (CHar), 142.93 (Car), 168.61 (C=O); IR: 3230, 2951, 2916, 2867, 1636, 1584, 1540, 1462, 1430, 1385, 1367, 1341, 1325, 1307, 1261, 1161, 1147, 1116, 1107, 1059, 1043, 1014 cm−1; Elemental Anal. Calcd for C17H24INO (385.09): C, 53.00; H, 6.28; N, 3.64 Found: C, 53.18; H, 6.34; N, 3.76.
((−)-N-(1S,2R,3S,6R)-(2-caranyl))-o-iodobenzamide19a Yield: 90%; mp 145–147 °C; [α ] D 20 = −21.47 (c = 4.77, CHCl3); 1H NMR (700 MHz, CDCl3) 0.64–0.68 (m, 1H), 0.94–1.01 (m, 1H), 1.02 (d, J = 7.7 Hz, 3H, CH3), 1.05 (s, 3H, CH3), 1.11 (s, 3H, CH3), 1.23–1.28 (m, 1H), 1.55–1.60 (m, 2H), 1.71–1.74 (m, 1H), 1.77–1.82 (m, 1H), 3.54–3.58 (m, 1H), 5.72 (d, J = 8.4 Hz, 1H, NH), 7.09 (dt, J1 = 2.1, J2 = 8.4 Hz, 1Har), 7.38 (dt, J1 = 0.7, J2 = 7.7 Hz, 1Har), 7.43 (dd, J1 = 2.1, J2 = 7.7 Hz, 1Har), 7.87 (dd, J1 = 0.7, J2 = 7.7 Hz, 1Har); 13C NMR (100.6 MHz, CDCl3) δ = 15.55 (2 × CH3), 17.59 (C), 19.03 (CH2), 20.28 (CH), 28.71 (CH), 29.25 (CH3), 30.83 (CH2), 34.92 (CH), 50.41 (CH), 92.38 (Car), 128.14 (CHar), 128.35 (CHar), 130.90 (CHar), 139.96 (CHar), 142.81 (C), 168.50 (C=O); IR: 3249, 2915, 2862, 1656, 1630, 1585, 1546, 1459, 1430, 1375, 1330, 1257, 1115, 1015 cm−1; Elemental Anal. Calcd for C17H22INO (383.27): C, 53.27; H, 5.79; N, 3.65 Found: C, 53.05; H, 5.71; N, 3.53.
N-bornyl-o-iodobenzamide20a Yield: 93%; mp 122–123 °C (lit. [14] mp 119–121 °C); [α ] D 20 = +11.01 (c = 5.54, CHCl3); 1H NMR (700 MHz, CDCl3) 0.90 (s, 3H, CH3), 0.91–0.99 (m, 1H), 0.96 (s, 3H, CH3), 0.99 (s, 3H, CH3), 1.17–1.21 (m, 1H), 1.41–1.46 (m, 1H), 1.56–1.61 (m, 1H), 1.70 (t, J = 9.1 Hz, 1H), 1.76–1.81 (m, 1H), 2.42–2.47 (m, 1H), 4.41–4.45 (m, 1H), 5.78 (d, J = 8.4 Hz, 1H, NH), 7.07–7.10 (m, 1Har), 7.35–7.40 (m, 2Har), 7.85 (dd, J1 = 0.7, J2 = 7.7 Hz, 1Har); 13C NMR (100.6 MHz, CDCl3) δ = 13.96 (CH3), 18.72 (CH3), 19.81 (CH3), 28.20 (CH2), 28.37 (CH2), 37.44 (CH2), 44.92 (CH), 48.38 (C), 49.70 (C), 54.64 (CH), 92.40 (Car), 128.20 (CHar), 128.42 (CHar), 130.96 (CHar), 139.83 (CHar), 142.84 (Car), 169.45 (C=O); IR: 3319, 2981, 2950, 2877, 1642, 1584, 1561, 1510, 1479, 1459, 1429, 1388, 1374, 1361, 1310, 1290, 1262, 1228, 1205, 1172, 1154, 1115, 1063, 1046, 1012 cm−1; Elemental Anal. Calcd for C17H22INO (383.27): C, 53.27; H, 5.79; N, 3.65 Found: C, 53.11; H, 5.65; N, 3.47.
(−)-N-(1S,2R,5S)-myrtanyl-o-iodobenzamide21a Yield: 83%; mp 142–144 °C; [α ] D 20 = −8.23 (c = 5.33, CHCl3); 1H NMR (400 MHz, CDCl3) 0.96 (d, J = 9.6 Hz, 1H), 1.11 (s, 3H, CH3), 1.24 (s, 3H, CH3), 1.55–1.64 (m, 1H), 1.88–2.10 (m, 5H), 2.35–2.44 (m, 2H), 3.47–3.51 (m, 2H), 5.79 (bs, 1H, NH), 7.09–7.13 (m, 1Har), 7.37–7.42 (m, 2Har), 7.87 (dd, J1 = 0.8, J2 = 8.4 Hz, 1Har); 13C NMR (100.6 MHz, CDCl3) δ = 17.56 (CH2), 21.56 (CH3), 26.00 (CH2), 27.99 (CH3), 33.13 (CH2), 38.74 (C), 41.22 (CH), 41.36 (CH), 43.92 (CH), 45.75 (CH2), 92.41 (Car), 128.16 (CHar), 128.31 (CHar), 130.98 (CHar), 139.84 (CHar), 142.67 (Car), 169.33 (C=O); IR: 3239, 2935, 2903, 2889, 2859, 1636, 1584, 1542, 1462, 1430, 1382, 1364, 1316, 1292, 1260, 1218, 1156, 1113, 1054, 1014 cm−1; Elemental Anal. Calcd for C17H22INO (383.27): C, 53.27; H, 5.79; N, 3.65 Found: C, 53.55; H, 5.84; N, 3.74.
(−)-N-(1R,2R,3R,5S)-isopinocamphyl-o-iodobenzamide22a Yield: 78%; mp 130–132 °C; [α ] D 20 = −18.67 (c = 4.88, CHCl3); 1H NMR (400 MHz, CDCl3) 0.91 (d, J = 10.0 Hz, 1H), 1.12 (s, 3H, CH3), 1.26 (s, 3H, CH3), 1.28 (s, 3H, CH3), 1.73–1.78 (m, 1H), 1.88–1.91 (m, 1H), 1.93–1.97 (m, 1H), 2.01–2.05 (m, 1H), 2.44–2.50 (m, 1H), 2.73–2.80 (m, 1H), 4.48–4.56 (m, 1H), 5.67 (bs, 1H, NH), 7.09–7.14 (m, 1Har), 7.38–7.45 (m, 2Har), 7.88 (dd, J1 = 0.8, J2 = 8.0 Hz, 1Har); 13C NMR (100.6 MHz, CDCl3) δ = 20.98 (CH3), 23.39 (CH3), 28.00 (CH3), 35.31 (CH2), 36.91 (CH2), 38.49 (C), 41.60 (CH), 46.20 (CH), 47.85 (CH), 48.58 (CH), 92.47 (Car), 128.22 (CHar), 128.37 (CHar), 130.94 (CHar), 139.78 (CHar), 142.68 (Car), 168.78 (C=O); IR: 3242, 2980, 2969, 2900, 2867, 1632, 1584, 1556, 1534, 1458, 1428, 1384, 1372, 1348, 1336, 1319, 1301, 1259, 1227, 1160, 1056, 1016 cm−1; Elemental Anal. Calcd for C17H22INO (383.27): C, 53.27; H, 5.79; N, 3.65 Found: C, 53.49; H, 5.87; N, 3.71.
(+)-N-(1R,2R,3R,5S)-isopinocamphyl-o-iodobenzamide23a Yield: 79%; mp 142–144 °C; [α ] D 20 = +17.17 (c = 6.00, CHCl3) 1H NMR (400 MHz, CDCl3) 0.90 (d, J = 10.0 Hz, 1H), 1.11 (s, 3H, CH3), 1.25 (s, 3H, CH3), 1.27 (s, 3H, CH3), 1.72–1.77 (m, 1H), 1.88–1.90 (m, 1H), 1.94–1.96 (m, 1H), 2.02–2.03 (m, 1H), 2.43–2.49 (m, 1H), 2.72–2.79 (m, 1H), 4.49–4.55 (m, 1H), 5.65 (bs, 1H, NH), 7.09–7.13 (m, 1H, 1Har), 7.40–7.44 (m, 2H, 2Har), 7.87 (d, J = 7.2 Hz, 1H, 1Har); 3C NMR (100.6 MHz, CDCl3) δ = 20.99 (CH3), 23.40 (CH3), 28.00 (CH3), 35.33 (CH2), 36.94 (CH2), 38.50 (C), 41.60 (CH), 46.22 (CH), 47.83 (CH), 48.58 (CH), 92.49 (Car), 128.26 (CHar), 128.41 (CHar), 130.97 (CHar), 139.80 (CHar), 142.68 (Car), 168.80 (C=O); IR: 3305, 2962, 2922, 2891, 2863, 1632, 1582, 1526, 1450, 1428, 1378, 1347, 1334, 1313, 1294, 1274, 1257, 1229, 1220, 1163, 1015 cm−1; Elemental Anal. Calcd for C17H22INO (383.27): C, 53.27; H, 5.79; N, 3.65 Found: C, 53.59; H, 5.70; N, 3.78.

3.2.2. Synthesis of N-substituted phenylselenides 1015

To a solution of a diphenyl diselenide (0.5 mmol) in dry toluene (5 mL), sodium borohydride (1.5 mmol) was added and stirred at room temperature. Next, DMSO was added dropwise until the solution discolored. Then, respectively, CuI (0.1 mmol), 1,10-phenanthroline (0.2 mmol) and an amide (1.0 mmol) were added. The mixture was stirred under reflux for 18 h. The solution was cooled to room temperature and brine (5 mL) was added. The product was extracted with chloroform (2 × 10 mL), and the combined organic layers were washed with water (2 × 10 mL), brine (2 × 10 mL) and dried over magnesium sulphate. The solvent was removed under reduced pressure and the obtained crude product was isolated by column chromatography (silica gel, DCM).
N-ethyl-2-(phenylselanyl)benzamide7b Yield: 38%; mp 89–91 °C (lit. [20] mp 84–86 °C); 1H NMR (400 MHz, CDCl3) δ = 1.27 (t, J = 7.2 Hz, 3H, CH3), 3.49–3.56 (m, 2H, N-CH2), 6.08 (bs, 1H, NH), 7.11–7.13 (m, 1Har), 7.17–7.22 (m, 2Har), 7.35–7.41 (m, 3Har), 7.51–7.54 (m, 1Har), 7.63–7.65 (m, 2Har); 13C NMR (100.6 MHz, CDCl3) δ = 14.81 (CH3), 35.03 (CH2), 125.80 (CHar), 127.36 (CHar), 128.48 (CHar), 129.59 (2 × CHar), 130.01 (Car), 130.90 (CHar), 131.34 (CHar), 134.79 (Car), 134.82 (Car), 135.95 (2 × CHar), 168.19 (C=O); 77Se NMR (76 MHz, CDCl3) δ = 435.56 ppm; IR: 3267, 3069, 2971, 2927, 2869, 1621, 1585, 1553, 1462, 1448, 1437, 1377, 1359, 1311, 1286, 1261, 1167, 1145, 1121, 1093, 1063, 1033, 1018 cm−1; Elemental Anal. Calcd for C15H15NOSe (305.04): C, 59.22; H, 4.97; N, 4.60 Found: C, 59.15; H, 4.89; N, 4.53.
N-propyl-2-(phenylselanyl)benzamide8b Yield: 41%; mp 74–76 °C (lit. [21] mp 78–79 °C); 1H NMR (400 MHz, CDCl3) δ = 1.01 (t, J = 7.6 Hz, 3H, CH3), 1.63–1.69 (m, 2H, CH2), 3.19–3.46 (m, 2H, N-CH2), 6.22 (bs, 1H, NH), 7.09–7.11 (m, 1H, 1Har), 7.16–7.20 (m, 2H, 2Har), 7.34–7.40 (m, 3H, 3Har), 7.51–7.54 (m, 1H, 1Har), 7.62–7.65 (m, 2H, 2Har); 13C NMR (100.6 MHz, CDCl3) δ = 11.51 (CH3), 22.88 (CH2), 41.87 (CH2), 125.76 (CHar), 127.39 (CHar), 128.51 (CHar), 129.59 (2 × CHar), 129.99 (Car), 130.89 (CHar), 131.21 (CHar), 134.79 (Car), 134.89 (Car), 136.03 (2 × CHar), 168.35 (C=O); 77Se NMR (76 MHz, CDCl3) δ = 436.03 ppm; IR: 3277, 3054, 2960, 2922, 2870, 1618, 1585, 1549, 1458, 1436, 1380, 1359, 1313, 1288, 1259, 1145, 1100, 1066, 1033, 1017 cm−1; Elemental Anal. Calcd for C16H17NOSe (319.05): C, 60.38; H, 5.38; N, 4.40 Found: C, 60.55; H, 5.42; N, 4.45.
N-butyl-2-(phenylselanyl)benzamide9b Yield: 60%; mp 121–125 °C; 1H NMR (700 MHz, CDCl3) δ = 0.96 (t, J = 7.0 Hz, 3H, CH3), 1.40–1.44 (m, 2H, CH2), 1.58–1.61 (m, 2H, CH2), 3.45–3.48 (m, 2H, N-CH2), 6.09 (bs, 1H, NH), 7.07–7.09 (m, 1Har), 7.16–7.19 (m, 2Har), 7.34–7.38 (m, 3Har), 7.49–7.50 (m, 1Har), 7.61–7.63 (m, 2Har); 13C NMR (100.6 MHz, CDCl3) δ = 13.39 (CH3), 19.79 (CH2), 31.24 (CH2), 39.49 (CH2), 125.38 (CHar), 126.97 (CHar), 128.09 (CHar), 129.18 (2 × CHar), 129.59 (Car), 130.48 (CHar), 130.87 (CHar), 134.40 (Car), 134.45 (Car), 135.57 (2 × CHar), 167.87 (C=O); 77Se NMR (76 MHz, CDCl3) δ = 435.10 ppm; IR: 3277, 3054, 2960, 2922, 2870, 1618, 1585, 1549, 1458, 1436, 1380, 1359, 1313, 1288, 1259, 1145, 1100, 1066, 1033, 1017 cm−1; Elemental Anal. Calcd for C17H19NOSe (333.06): C, 61.45; H, 5.76; N, 4.22 Found: C, 61.29; H, 5.69; N, 4.16.
N-hexyl-2-(phenylselanyl)benzamide11b Yield: 40%; mp 87–89 °C; 1H NMR (400 MHz, CDCl3) δ = 0.92(t, J = 7.2 Hz, 3H, CH3), 1.31–1.42 (m, 6H, 3 × CH2), 1.59–1.66 (m, 2H, CH2), 3.43–3.48 (m, 2H, N-CH2), 6.27 (bs, 1H, NH), 7.08–7.12 (m, 1Har), 7.16–7.19 (m, 2Har), 7.34–7.42 (m, 3Har), 7.52–7.54 (m, 1Har), 7.62–7.65 (m, 2Har); 13C NMR (100.6 MHz, CDCl3) δ = 14.05 (CH3), 22.58 (CH2), 26.71 (CH2), 29.56 (CH2), 31.52 (CH2), 40.22 (CH2), 125.76 (CHar), 127.46 (CHar), 128.49 (CHar), 129.58 (2 × CHar), 130.05 (Car), 130.85 (CHar), 131.20 (CHar), 134.84 (Car), 134.85 (Car), 136.00 (2 × CHar), 168.33 (C=O); 77Se NMR (76 MHz, CDCl3) δ = 435.14 ppm; IR: 3317, 2957, 2918, 2927, 2871, 2852, 1617, 1585, 1543, 1462, 1434, 1376, 1331, 1306, 1265, 1200, 1189, 1154, 1032, 1020 cm−1; Elemental Anal. Calcd for C19H23NOSe (361.09): C, 63.33; H, 6.43; N, 3.89 Found: C, 63.19; H, 6.34; N, 3.70.
N-(3-methylbutyl)-2-(phenylselanyl)benzamide10b Yield: 54%; mp 76–78 °C; 1H NMR (700 MHz, CDCl3) δ = 0.95 (d, J = 7.0 Hz, 6H, 2 × CH3), 1.49–1.52 (m, 2H, CH2), 1.67–1.72 (m, 1H, CH), 3.46–3.49 (m, 2H, N-CH2), 6.05 (bs, 1H, NH), 7.08–7.09 (m, 1H, 1Har), 7.16–7.19 (m, 2Har), 7.34–7.38 (m, 3Har), 7.48–7.50 (m, 1Har), 7.61–7.62 (m, 2Har); 13C NMR (100.6 MHz, CDCl3) δ = 22.49 (CH3), 25.99 (CH), 38.43 (CH2), 38.49 (CH2), 125.83 (CHar), 127.38 (CHar), 128.47 (CHar), 129.59 (2 × CHar), 130.04 (Car), 130.88 (CHar), 131.39 (CHar), 134.68 (Car), 134.96 (Car), 135.90 (2 × CHar), 168.23 (C=O); 77Se NMR (76 MHz, CDCl3) δ = 435.83 ppm; IR: 3315, 2955, 2927, 2870, 1624, 1585, 1564, 1564, 1536, 1462, 1434, 1384, 1364, 1342, 1304, 1284, 1268, 1255, 1226, 1158, 1023 cm−1; Elemental Anal. Calcd for C18H21NOSe (347.08): C, 62.43; H, 6.11; N, 4.04 Found: C, 62.61; H, 6.19; N, 4.13.
N-cyclohexyl-2-(phenylselanyl)benzamide12b Yield: 60%; mp 183–185 °C (lit. [22] mp 179–181 °C); 1H NMR (400 MHz, CDCl3) δ = 1.21–1.31 (m, 3H), 1.40–1.50 (m, 2H, CH2), 1.65–1.69 (m, 1H), 1.74–1.80 (m, 2H, CH2), 2.05–2.09 (m, 2H, CH2), 3.97–4.07 (m, 1H, N-CH), 5.32 (bs, 1H, NH), 7.09–7.11 (m, 1Har), 7.17–7.23 (m, 2Har), 7.35–7.41 (m, 3Har), 7.50–7.54 (m, 1Har), 7.60–7.65 (m, 2Har); 13C NMR (100.6 MHz, CDCl3) δ = 24.83 (2 × CH2), 25.55 (CH2), 33.07 (2 × CH2), 48.87 (CH), 125.76 (CHar), 127.33 (CHar), 128.42 (CHar), 129.55 (2 × CHar), 130.01 (Car), 130.80 (CHar), 131.26 (CHar), 134.60 (Car), 135.04 (Car), 135.88 (2 × CHar), 167.38 (C=O); 77Se NMR (76 MHz, CDCl3) δ = 434.17 ppm; IR: 3251, 3053, 2924, 2849, 1618, 1583, 1541, 1459, 1448, 1436, 1377, 1337, 1299, 1283, 1256, 1240, 1191, 1149, 1120, 1081, 1066, 1030, 1018 cm−1; Elemental Anal. Calcd for C19H21NOSe (359.08): C, 63.68; H, 5.91; N, 3.91 Found: C, 63.52; H, 5.86; N, 3.83.
N-phenyl-2-(phenylselanyl)benzamide13b Yield: 90%; mp 139–140 °C (lit. [23] mp 139–141 °C); 1H NMR (700 MHz, CDCl3) 7.14–7.18 (m, 2Har), 7.22–7.26 (m, 2Har), 7.33–7.39 (m, 5Har), 7.59–7.61 (m, 4Har), 7.65–7.67 (m, 1Har), 7.87 (bs, 1H, NH); 13C NMR (75.5 MHz, CDCl3) δ = 120.18 (2 × CHar), 124.67 (CHar), 126.16 (CHar), 127.76 (CHar), 128.57 (CHar), 129.05 (2 × CHar), 129.65 (2 × CHar), 129.76 (Car), 131.33 (CHar), 131.86 (CHar), 134.86 (Car), 135.05 (Car), 135.79 (2 × CHar), 137.71 (Car), 166.33 (C=O); 77Se NMR (76 MHz, CDCl3) δ = 434.60 ppm; IR: 3328, 3046, 1641, 1596, 1581, 1519, 1494, 1435, 1319, 1290, 1271, 1251, 1177, 1152, 1139, 1104, 1074, 1063, 1045, 1025 cm−1; Elemental Anal. Calcd for C19H15NOSe (353.03): C, 64.78; H, 4.29; N, 3.98 Found: C, 64.92; H, 4.34; N, 4.09.
N-(p-chlorophenyl)-2-(phenylselanyl)benzamide14b Yield: 44%; mp 167–169 °C; 1H NMR (700 MHz, CDCl3) 7.20–7.21 (m, 1Har), 7.24–7.28 (m, 2Har), 7.32–7.38 (m, 5Har), 7.53–7.55 (m, 2Har), 7.58–7.59 (m, 2Har), 7.66 (dd, J1 = 1.4, J2 = 7.0 Hz, 1Har), 7.84 (bs, 1H, NH); 13C NMR (75.5 MHz, CDCl3) δ = 121.32 (2 × CHar), 126.32 (CHar), 127.83 (CHar), 128.61 (CHar), 129.08 (2 × CHar), 129.65 (2 × Car), 129.69 (2 × CHar), 131.52 (CHar), 132.11 (CHar), 134.68 (Car), 135.60 (2 × CHar), 136.24 (2 × Car), 166.21 (C=O); 77Se NMR (76 MHz, CDCl3) δ = 433.36 ppm; IR: 3349, 3053, 1656, 1592, 1579, 1509, 1491, 1457, 1433, 1394, 1354, 1311, 1289, 1235, 1180, 1140, 1118, 1093, 1074, 1046, 1030, 1012, 1000 cm−1; Elemental Anal. Calcd for C19H14ClNOSe (386.99): C, 59.01; H, 3.65; N, 3.62 Found: C, 59.32; H, 3.55; N, 3.76.
N-(p-bromophenyl)-2-(phenylselanyl)benzamide15b Yield: 60%; mp 176–178 °C; 1H NMR (400 MHz, CDCl3) 7.22–7.24 (m, 1Har), 7.27–7.31 (m, 2Har), 7.35–7.41 (m, 3Har), 7.48–7.53 (m, 4Har), 7.60–7.62 (m, 2Har), 7.68–7.70 (m, 1Har), 7.86 (bs, 1H, NH); 13C NMR (75.5 MHz, CDCl3) 121.62 (2 × CHar), 126.37 (CHar), 127.86 (CHar), 128.58 (CHar), 129.68 (2 × CHar), 129.98 (2 × Car), 131.51 (CHar), 132.02 (2 × CHar), 132.22 (CHar), 134.53 (Car), 134.88 (Car), 135.51 (2 × CHar), 136.76 (Car), 166.18 (C=O); 77Se NMR (76 MHz, CDCl3) δ = 433.40 ppm; IR: 3277, 1644, 1589, 1512, 1487, 1457, 1436, 1428, 1390, 1312, 1286, 1250, 1237, 1179, 1164, 1139, 1071, 1030, 1021, 1006 cm−1; Elemental Anal. Calcd for C19H14BrNOSe (430.94): C, 52.93; H, 3.27; N, 3.25 Found: C, 53.11; H, 3.35; N, 3.40.
N-(p-iodophenyl)-2-(phenylselanyl)benzamide16b Yield: 22%; mp 179–181 °C; 1H NMR (700 MHz, CDCl3) 7.18–7.20 (m, 1Har), 7.23–7.25 (m, 2Har), 7.33–7.35 (m, 2Har), 7.36–7.38 (m, 3Har), 7.57–7.59 (m, 2Har), 7.62–7.65 (m, 2Har), 7.94 (bs, 1H, NH); 13C NMR (75.5 MHz, CDCl3) 121.87 (2 × CHar), 126.35 (CHar), 127.85 (CHar), 128.60 (CHar), 129.68 (2 × CHar), 129.98 (2 × Car), 131.53 (CHar), 132.19 (CHar), 134.60 (Car), 134.53 (Car), 135.54 (2 × CHar), 137.47 (Car), 137.98 (2 × CHar), 166.18 (C=O); 77Se NMR (76 MHz, CDCl3) δ = 433.36 ppm; IR: 3348, 3049, 2922, 2852, 1651, 1585, 1506, 1486, 1456, 1436, 1429, 1387, 1352, 1313, 1288, 1233, 1187, 1166, 1139, 1120, 1063, 1045, 1029, 1019, 1002 cm−1; Elemental Anal. Calcd for C19H14INOSe (478.93): C, 47.72; H, 2.95; N, 2.93 Found: C, 47.59; H, 3.01; N, 3.10.
N-(p-metoxyphenyl)-2-(phenylselanyl)benzamide17b Yield: 45%; mp 131–132 °C; 1H NMR (700 MHz, CDCl3) 3.83 (s, 3H, CH3), 6.71 (ddd, J1 = 0.7, J2 = 2.8 Hz, J2 = 8.4 Hz, 1Har), 7.05 (dd, J1 = 1.4, J2 = 8.4 Hz, 1Har), 7.18 (dd, J1 = 0.7, J2 = 7.7 Hz, 1Har), 7.23–7.28 (m, 3Har), 7.33–7.39 (m, 4Har), 7.60–7.61 (m, 2Har), 7.65 (dd, J1 = 1.4, J2 = 7.7 Hz, 1Har), 7.80 (bs, 1H, NH); 13C NMR (75.5 MHz, CDCl3) 55.37 (CH3), 105.74 (CHar), 110.66 (CHar), 112.22 (CHar), 126.22 (CHar), 127.77 (CHar), 128.54 (CHar), 129.64 (2 × CHar), 129.71 (CHar), 131.34 (CHar), 131.96 (CHar), 134.64 (Car), 135.18 (Car), 136.13 (2 × CHar), 138.91 (2 × Car), 160.22 (Car), 166.26 (C=O); 77Se NMR (76 MHz, CDCl3) δ = 433.96 ppm; IR: 3300, 2922, 1640, 1597, 1581, 1564, 1521, 1489, 1464, 1453, 1427, 1306, 1287, 1273, 1253, 1201, 1172, 1156, 1140, 1038, 1022 cm−1; Elemental Anal. Calcd for C20H17NO2Se (383.04): C, 62.83; H, 4.48; N, 3.66 Found: C, 62.69; H, 4.39; N, 3.50.
(−)-N-(1R,2S,5R)-menthyl-2-(phenylselanyl)benzamide18b Yield: 27%, mp 153–155 °C; [α ] D 20 = −31.11 (c = 2.61, CHCl3); 1H NMR (400 MHz, CDCl3) δ = 0.88 (d, J = 6.8 Hz, 3H, CH3), 0.93 (d, J = 6.4 Hz, 3H, CH3), 0.94 (d, J = 6.8 Hz, 3H, CH3), 1.16–1.20 (m, 2H), 1.51–1.59 (m, 3H), 1.71–1.81 (m, 2H), 2.01–2.09 (m, 1H), 2.12–2.18 (m, 1H), 3.95–4.04 (m, 1H), 5.78 (d, J = 8.8 Hz, 1H, NH), 7.10–7.12 (m, 1Har), 7.17–7.23 (m, 2Har), 7.34–7.40 (m, 3Har), 7.50–7.52 (m, 1Har), 7.62–7.64 (m, 2Har); 13C NMR (100.6 MHz, CDCl3) δ = 16.26 (CH3), 21.25 (CH3), 22.17 (CH3), 23.85 (CH2), 26.99 (CH), 31.93 (CH), 34.56 (CH2), 43.02 (CH2), 48.25 (CH), 50.63 (CH), 125.79 (CHar), 127.26 (CHar), 128.41 (CHar), 129.57 (2 × CHar), 130.12 (Car), 130.76 (CHar), 131.33 (CHar), 134.51 (Car), 135.42 (Car), 135.86 (2 × CHar), 167.60 (C=O); 77Se NMR (76 MHz, CDCl3) δ = 434.56 ppm; IR: 3364, 2960, 2936, 2863, 1637, 1582, 1522, 1458, 1435, 1338, 1305, 1255, 1157, 1031, 1020 cm−1; Elemental Anal. Calcd for C23H29NOSe (415.14): C, 66.66; H, 7.05; N, 3.38 Found: C, 66.78; H, 7.13; N, 3.23.
(−)-N-(1S,2R,3S,6R)-(2-caranyl)-2-(phenylselanyl)benzamide19b Yield: 53%; mp 115–116 °C; [α ] D 20 = −15.11 (c = 6.15, CHCl3); 1H NMR (400 MHz, CDCl3) 0.59–0.62 (m, 1H), 0.65–0.69 (m, 1H), 1.00 (d, J = 6.4 Hz, 3H, CH3), 1.05 (s, 3H, CH3), 1.13 (s, 3H, CH3), 1.24–1.32 (m, 1H), 1.55–1.62 (m, 1H), 1.72–1.88 (m, 3H), 3.59–3.65 (m, 1H), 6.15 (d, J = 8.8 Hz, 1H, NH), 7.10–7.13 (m, 1Har), 7.17–7.24 (m, 2Har), 7.35–7.42 (m, 3Har), 7.57–7.59 (m, 1Har), 7.64–7.67 (m, 2Har); 13C NMR (100.6 MHz, CDCl3) δ = 15.55 (CH3), 17.58 (C), 18.88 (CH3), 19.09 (CH2), 20.25 (CH), 28.88 (CH), 29.30 (CH3), 30.80 (CH2), 35.32 (CH), 50.21 (CH), 125.77 (CHar), 127.38 (CHar), 128.43 (CHar), 129.58 (2 × CHar), 130.10 (Car), 130.79 (CHar), 131.32 (CHar), 134.72 (Car), 135.25 (Car), 135.94 (2 × CHar), 167.41 (C=O); 77Se NMR (76 MHz, CDCl3) δ = 435.56 ppm; IR: 3233, 2920, 2863, 1623, 1582, 1540, 1477, 1459, 1437, 1375, 1331, 1284, 1258, 1243, 1161, 1114, 1086, 1055, 1021 cm−1; Elemental Anal. Calcd for C23H27NOSe (413.13): C, 66.98; H, 6.60; N, 3.40 Found: C, 67.12; H, 6.69; N, 3.51.
N-borynyl-2-(phenylselanyl)benzamide20b Yield: 46%; mp 118–120 °C; [α ] D 20 = −32.10 (c = 4.71, CHCl3); 1H NMR (400 MHz, CDCl3) 0.93 (s, 3H, CH3), 0.94 (s, 3H, CH3), 1.02 (s, 3H, CH3), 1.17–1.24 (m, 1H), 1.42–1.51 (m, 1H), 1.55–1.62 (m, 2H), 1.72–1.74 (m, 1H), 1.76–1.86 (m, 1H), 2.44–2.52 (m, 1H), 4.46–4.52 (m, 1H), 5.32 (d, J = 8.8 Hz, 1H, NH), 7.12–7.14 (m, 1Har), 7.19–7.26 (m, 2Har), 7.34–7.40 (m, 3Har), 7.56–7.58 (m, 1Har), 7.61–7.63 (m, 2Har); 13C NMR (100.6 MHz, CDCl3) δ = 13.81 (CH3), 18.71 (CH3), 19.84 (CH3), 28.27 (CH2), 28.43 (CH2), 37.72 (CH2), 44.97 (CH), 48.26 (C), 49.72 (C), 54.48 (CH), 126.00 (CHar), 127.51 (CHar), 128.39 (CHar), 129.60 (2 × CHar), 130.09 (Car), 130.87 (CHar), 131.64 (CHar), 134.09 (Car), 135.57 (Car), 135.62 (2 × CHar), 168.36 (C=O); 77Se NMR (76 MHz, CDCl3) δ = 432.53 ppm; IR: 3359, 2950, 2885, 1629, 1582, 1561, 1516, 1476, 1456, 1435, 1389, 1374, 1363, 1309, 1277, 1256, 1223, 1204, 1173, 1152, 1109, 1065, 1030, 1021 cm−1; Elemental Anal. Calcd for C23H27NOSe (413.13): C, 66.98; H, 6.60; N, 3.40 Found: C, 66.79; H, 6.54; N, 3.32.
(−)-N-(1S,2R,5S)-myrtanyl-2-(phenylselanyl)benzamide21b Yield: 55%; mp 115–117 °C; [α ] D 20 = −8.00 (c = 2.70, CHCl3); 1H NMR (400 MHz, CDCl3) 0.94 (d, J = 9.6 Hz, 1H), 1.11 (s, 3H, CH3), 1.23 (s, 3H, CH3), 1.53–1.63 (m, 2H), 1.87–2.06 (m, 4H), 2.31–2.43 (m, 2H), 3.47–3.51 (m, 2H), 6.13 (bs, 1H, NH), 7.10–7.13 (m, 1Har), 7.17–7.23 (m, 2Har), 7.35–7.42 (m, 3Har), 7.51–7.53 (m, 1Har), 7.62–7.64 (m, 2Har); 13C NMR (100.6 MHz, CDCl3) δ = 19.94 (CH2), 23.25 (CH3), 26.02 (CH2), 27.99 (CH3), 33.24 (CH2), 38.75 (C), 41.39 (CH), 41.41 (CH), 43.91 (CH), 45.73 (CH2), 125.86 (CHar), 127.41 (CHar), 128.43 (CHar), 129.58 (2 × CHar), 130.06 (Car), 130.86 (CHar), 131.44 (CHar), 134.52 (Car), 135.16 (Car), 135.83 (2 × CHar), 168.27 (C=O); 77Se NMR (76 MHz, CDCl3) δ = 434.53 ppm; IR: 3333, 2980, 2905, 1631, 1584, 1560, 1530, 1462, 1432, 1383, 1364, 1314, 1284, 1254, 1219, 1154, 1058, 1032, 1019, 1001 cm−1; Elemental Anal. Calcd for C23H27NOSe (413.13): C, 66.98; H, 6.60; N, 3.40 Found: C, 67.12; H, 6.69; N, 3.50.
(−)-N-(1R,2R,3R,5S)-isopinocamphyl-2-(phenylselanyl)benzamide22b Yield: 53%; mp 117–119 °C; [α ] D 20 = −14.75 (c = 4.73, CHCl3); 1H NMR (400 MHz, CDCl3) 0.88 (d, J = 10.0 Hz, 1H), 1.11 (s, 3H, CH3), 1.22 (d, J = 7.2 Hz, 3H, CH3), 1.27 (s, 3H, CH3), 1.63–1.69 (m, 1H), 1.87–1.89 (m, 2H), 2.00–2.03 (m, 1H), 2.43–2.49 (m, 1H), 2.72–2.79 (m, 1H), 4.48–4.56 (m, 1H), 6.01 (d, J = 7.2 Hz, 1H, NH), 7.12–7.14 (m, 1Har), 7.18–7.25 (m, 2Har), 7.35–7.40 (m, 3Har), 7.54–7.56 (m, 1Har), 7.61–7.64 (m, 2Har); 13C NMR (100.6 MHz, CDCl3) δ = 20.88 (CH3), 23.38 (CH3), 28.01 (CH3), 35.34 (CH2), 37.21 (CH2), 38.45 (C), 41.62 (CH), 46.49 (CH), 47.85 (CH), 48.53 (CH), 125.97 (CHar), 127.51 (CHar), 128.39 (CHar), 129.61 (2 × CHar), 130.08 (Car), 130.84 (CHar), 131.55 (CHar), 134.10 (Car), 135.44 (Car), 135.63 (2 × CHar), 167.72 (C=O); 77Se NMR (76 MHz, CDCl3) δ = 431.80 ppm; IR: 3303, 2953, 2903, 2868, 1617, 1582, 1559, 1528, 1475, 1461, 1434, 1375, 1337, 1318, 1300, 1286, 1255, 1226, 1160, 1062, 1031, 1021 cm−1; Elemental Anal. Calcd for C23H27NOSe (413.13): C, 66.98; H, 6.60; N, 3.40 Found: C, 66.78; H, 6.52; N, 3.34.
(+)-N-(1R,2R,3R,5S)-isopinocamphyl-2-(phenylselanyl)benzamide23b Yield: 54%; mp 128–130 °C; [α ] D 20 = +14.35 (c = 4.43, CHCl3); 1H NMR (400 MHz, CDCl3) 0.89 (d, J = 10.0 Hz, 1H), 1.11 (s, 3H, CH3), 1.21 (d, J = 7.2 Hz, 3H, CH3), 1.26 (s, 3H, CH3), 1.63–1.69 (m, 1H), 1.86–1.93 (m, 2H), 1.99–2.06 (m, 1H), 2.42–2.48 (m, 1H), 2.71–2.78 (m, 1H), 4.48–4.56 (m, 1H), 6.09 (d, J = 7.2 Hz, 1H, NH), 7.09–7.15 (m, 1Har), 7.16–7.23 (m, 2Har), 7.34–7.41 (m 3Har), 7.53–7.57 (m, 1Har), 7.59–7.64 (m, 2Har); 13C NMR (75.5 MHz, CDCl3) δ = 20.88 (CH3), 23.38 (CH3), 28.02 (CH3), 35.25 (CH2), 37.08 (CH2), 38.45 (C), 41.59 (CH), 46.21 (CH), 47.81 (CH), 48.48 (CH), 125.82 (CHar), 127.54 (CHar), 128.40 (CHar), 129.58 (2 × CHar), 130.08 (Car), 130.77 (CHar), 131.27 (CHar), 134.33 (Car), 135.19 (Car), 135.73 (2 × CHar), 167.74 (C=O); 77Se NMR (76 MHz, CDCl3) δ = 431.86 ppm; IR: 3311, 3055, 2958, 2908, 2869, 1623, 1584, 1563, 1531, 1476, 1454, 1434, 1376, 1351, 1335, 1311, 1298, 1285, 1258, 1226, 1163, 1092, 1064, 1031, 1021, 1000 cm−1; Elemental Anal. Calcd for C23H27NOSe (413.13): C, 66.98; H, 6.60; N, 3.40 Found: C, 66.68; H, 6.70; N, 3.51.

3.3. Antioxidant Activity Assay

To a solution of compounds 7b23b (0.015 mmol) and dithiothreitol DTTred (0.15 mmol) in 1.1 mL of CD3OD, 30% H2O2 (0.15 mmol) was added. 1H NMR spectra were measured right after the addition of hydrogen peroxide, and then in specific time intervals. The concentration of the substrate was determined according to the changes in the integration on the 1H NMR spectra [19].

3.4. MTT Viability Assay

The MTT (3-(4,5-dimethyldiazol-2-yl)-2,5 diphenyl tetrazolium bromide) assay, which measures activity of cellular dehydrogenases, was based on the method of Mosmann [24]. Briefly, cells were seeded into 96-well plates (about 1.5 × 104 cells per well, in 100 µL) and then left to adhere and grow for 24 h. Subsequently, 100 µL of the tested compounds in the medium was added to a final concentration of 0–250 μM, for 24 h, followed by the addition of 100 µL MTT, 3 mg/mL in PBS, for the next 3 h. After the incubation, the medium was removed. Remaining insoluble formazan crystals were dissolved in 100 µL DMSO. The absorbance of the blue formazan product was measured at 570 nm in the plate reader spectrophotometer Infinite M200 (Tecan, Grödig, Austria) and compared with the control (untreated cells). All experiments were performed three times in triplicate. The concentration of tested compounds required to inhibit cell viability by 50% (IC50) was calculated using Microsoft Excel software for semi-log curve fitting with linear regression analysis.

4. Conclusions

Herein, we have presented the synthesis of a new group of GPx-mimics, unsymmetrical phenyl selenides, functionalized on one of the phenyl rings with a N-substituted o-amido group. The obtained compounds were diversified on the nitrogen atom with aromatic and aliphatic groups, including chiral terpene scaffolds. The molecules were designed as N-substituted benzisoselenazol-3(2H)-ones (“ebselen-like” therapeutics), whereas the Se-N bond was cleaved and a -SePh group was installed with a secondary amide moiety -C(O)NHR functionalization. The compounds were further tested as potential antioxidants and anticancer agents. The highest peroxide scavenging activity, significantly higher than for ebselen, was found for N-(3-methylbutyl)-2-(phenylselanyl)benzamide. The significant cytotoxicity was observed for derivatives with terpenyl carane and p-menthane skeletons. The performed in vitro studies revealed that, however, the antioxidant potential was not improved in most cases in comparison to the results obtained for corresponding benzisoselenazol-3(2H)-ones; the modification was beneficial for a higher antiproliferative effect towards MCF-7 and HL-60 cancer cells. It can therefore be concluded that an additional aromatic ring attached to the selenium atom may have a positive influence on the enhanced cytotoxity of the selected phenylselenides.

Supplementary Materials

The following are available online, results of the antioxidant activity evaluation; results of the antiproliferative activity evaluation, 1H- and 13C-NMR spectra of compounds 18a23a, and 1H, 13C and 77Se spectra of compounds 7b23b.

Author Contributions

Conceptualization, J.Ś.; Data curation, M.O.-F., L.C. and J.D.-S.; Formal analysis, J.D.-S.; Investigation, M.O.-F., A.J.P., L.C. and A.J.; Methodology, J.Ś.; Writing—original draft, A.J.P. and J.Ś.; Writing—review & editing, A.J., C.S. and J.Ś. All authors have read and agreed to the published version of the manuscript.

Funding

This research received no external funding and the APC was funded by “Excellence Initiative—Research University” programme at Nicolaus Copernicus University.

Conflicts of Interest

The authors declare no conflict of interest.

References

  1. Polêto, M.D.; Rusu, V.H.; Grisci, B.I.; Dorn, M.; Lins, R.D.; Verli, H. Aromatic Rings Commonly Used in Medicinal Chemistry: Force Fields Comparison and Interactions with Water Toward the Design of New Chemical Entities. Front. Pharmacol. 2018, 9, 395–414. [Google Scholar] [CrossRef]
  2. Ward, S.E.; Beswick, P. What does the aromatic ring number mean for drug design? Expert Opin. Drug Discov. 2014, 9, 9–18. [Google Scholar] [CrossRef] [PubMed]
  3. Orian, L.; Toppo, S. Organochalcogen peroxidase mimetics as potential drugs: A long story of a promise still unfulfilled. Free Rad. Biol. Med. 2014, 66, 65–74. [Google Scholar] [CrossRef] [PubMed]
  4. Pacuła, A.J.; Mangiavacchi, F.; Sancineto, L.; Lenardao, E.J.; Ścianowski, J.; Santi, C. An Update on “Selenium Containing Compounds from Poison to Drug Candidates: A Review on the GPx-like Activity”. Curr. Chem. Biol. 2015, 9, 97–112. [Google Scholar]
  5. Lenardão, E.J.; Santi, C.; Sancineto, L. New Frontiers in Organoselenium Compounds; Springer International Publishing: Cham, Switzerland, 2018. [Google Scholar]
  6. Singh, F.V.; Wirth, T. Synthesis of Organoselenium Compounds with Potential Biological Activities. In Organoselenium Compounds in Biology and Medicine: Synthesis, Biological and Therapeutic Treatments; Royal Society of Chemistry: London, UK, 2017; pp. 77–121. [Google Scholar]
  7. Kil, J.; Lobarinas, E.; Spankovich, C.; Griffiths, S.K.; Antonelli, P.J.; Lynch, E.D.; Le Prell, C.G. Safety and efficacy of ebselen for the prevention of noise-induced hearing loss: A randomised, double-blind, placebo-controlled, phase 2 trial. Lancet 2017, 390, 969–979. [Google Scholar] [CrossRef]
  8. Ye, S.; Yang, Y.; Wu, L.; Ma, W.; Zeng, H. Ethaselen: A novel organoselenium anticancer agent targeting thioredoxin reductase 1 reverses cisplatin resistance in drug-resistant K562 cells by inducing apoptosis. Biomed. Biotechnol. 2017, 18, 373–382. [Google Scholar] [CrossRef] [PubMed]
  9. Asaf, R.; Blum, S.; Miller-Lotan, R.; Levy, A.P. BXT-51072 and the Prevention of Myocardial Ischemia-Reperfusion Injury. Lett. Drug Des. Dis. 2007, 4, 160–162. [Google Scholar] [CrossRef]
  10. Pacuła, A.J.; Ścianowski, J.; Aleksandrzak, K.B. Highly efficient synthesis and antioxidant capacity of N-substituted benzisoselenazol-3(2H)-ones. RSC Adv. 2014, 4, 48959–48962. [Google Scholar] [CrossRef]
  11. Obieziurska, M.; Pacuła, A.J.; Długosz-Pokorska, A.; Krzemiński, M.; Janecka, A.; Ścianowski, J. Bioselectivity Induced by Chirality of New Terpenyl Organoselenium Compounds. Materials 2019, 12, 3579. [Google Scholar] [CrossRef]
  12. Kaczor-Keller, K.B.; Pawlik, A.; Ścianowski, J.; Pacuła, A.; Obieziurska, M.; Marcheggiani, F.; Cirilli, I.; Tiano, L.; Antosiewicz, J. In Vitro Anti-Prostate Cancer Activity of Two Ebselen Analogues. Pharmaceuticals 2020, 13, 47. [Google Scholar] [CrossRef]
  13. Pacuła, A.J.; Kaczor, K.B.; Wojtowicz, A.; Antosiewicz, J.; Janecka, A.; Długosz, A.; Janecki, T.; Ścianowski, J. New glutathione peroxidase mimetics—Insights into antioxidant and cytotoxic activity. Bioorg. Med. Chem. 2017, 25, 126–131. [Google Scholar] [CrossRef]
  14. Pacuła, A.J.; Kaczor, K.B.; Antosiewicz, J.; Janecka, A.; Długosz, A.; Janecki, T.; Wojtczak, A.; Ścianowski, J. New Chiral Ebselen Analogues with Antioxidant and Cytotoxic Potential. Molecules 2017, 22, 492. [Google Scholar] [CrossRef] [PubMed]
  15. Pacuła, A.J.; Obieziurska, M.; Ścianowski, J.; Kaczor, K.B.; Antosiewicz, J. Synthesis of biologically active diaryl diselenides under water control. Arkivoc 2018, 3, 144–155. [Google Scholar]
  16. Nascimento, V.; Cordeiro, P.S.; Arca, M.; Marini, F.; Sancineto, L.; Braga, A.L.; Lippolis, V.; Iwaoka, M.; Santi, C. Fast and easy conversion of ortho amidoaryldiselenides into the corresponding ebselen-like derivatives driven by theoretical investigations. New J. Chem. 2020, 44, 9444–9451. [Google Scholar] [CrossRef]
  17. Obieziurska, M.; Pacuła, A.J.; Laskowska, A.; Długosz-Pokorska, A.; Janecka, A.; Ścianowski, J. Seleninic Acid Potassium Salts as Water-Soluble Biocatalysts with Enhanced Bioavailability. Materials 2020, 13, 661. [Google Scholar] [CrossRef]
  18. Pacuła, A.J.; Ścianowski, J. Terpenes as Green Starting Materials for New Organoselenium and Organotellurium Compounds. Curr. Green Chem. 2016, 3, 36–50. [Google Scholar]
  19. Kumakura, F.; Mishra, B.; Priyadarsini, K.I.; Iwaoka, M. A Water-Soluble Cyclic Selenide with Enhanced Glutathione Peroxidase-Like Catalytic Activities. Eur. J. Org. Chem. 2010, 3, 440–444. [Google Scholar] [CrossRef]
  20. Detty, M.R.; Friedman, A.E.; Oseroff, A.R. A Mechanism for the Oxidation of Glutathione to Glutathione Disulfide with Organotellurium(IV) and Organoselenium(IV) Compounds. A Stepwise Process with Implications for Photodynamic Therapy and Other Oxidative Chemotherapy. J. Org. Chem. 1994, 59, 8245–8250. [Google Scholar] [CrossRef]
  21. Wójtowicz, H.; Brząszcz, M.; Kloc, K.; Młochowski, J. Selective oxidation of aromatic aldehydes to arenecarboxylic acids using ebselen-tert-butyl hydroperoxide catalytic system. Tetrahedron 2001, 57, 9743–9748. [Google Scholar] [CrossRef]
  22. Ma, W.; Weng, Z.; Fang, X.; Gu, L.; Song, Y.; Ackermann, L. Ruthenium-Catalyzed C–H Selenylations of Benzamides. Eur. J. Org. Chem. 2019, 1, 41–45. [Google Scholar] [CrossRef]
  23. Lisiak, R.; Młochowski, J. Selenium–Nitrogen Bond Cleavage in Selenazole Ring System with Grignard Reagent: A Convenient Synthesis of Unsymmetrically Substituted Selenides. Synth. Commun. 2009, 39, 3141–3155. [Google Scholar] [CrossRef]
  24. Mosmann, T. Rapid colorimetric assay for cellular growth and survival: Application to proliferation and cytotoxicity assays. J. Immunol. Methods 1983, 65, 55–63. [Google Scholar] [CrossRef]
Sample Availability: Not available.
Scheme 1. Bioactive organoselenium compounds 13 that possess aromatic rings in their structure.
Scheme 1. Bioactive organoselenium compounds 13 that possess aromatic rings in their structure.
Molecules 25 03354 sch001
Scheme 2. Possible structural modification of N-substituted benzisozelenazol-3(2H)-ones 4.
Scheme 2. Possible structural modification of N-substituted benzisozelenazol-3(2H)-ones 4.
Molecules 25 03354 sch002
Scheme 3. Synthesis of N-substituted phenylselenides 7b23b.
Scheme 3. Synthesis of N-substituted phenylselenides 7b23b.
Molecules 25 03354 sch003
Scheme 4. Putative mechanism for the Cu-catalyzed introduction of phenylselenyl group.
Scheme 4. Putative mechanism for the Cu-catalyzed introduction of phenylselenyl group.
Molecules 25 03354 sch004
Scheme 5. Results of the antioxidant activity measurements.
Scheme 5. Results of the antioxidant activity measurements.
Molecules 25 03354 sch005
Scheme 6. Plausible mechanism for the H2O2 reduction by the Se-catalysts in the presence of thiols.
Scheme 6. Plausible mechanism for the H2O2 reduction by the Se-catalysts in the presence of thiols.
Molecules 25 03354 sch006
Scheme 7. Repetitive carbon chain in the structure of bio-active derivatives 18b, 28, 33 and 35.
Scheme 7. Repetitive carbon chain in the structure of bio-active derivatives 18b, 28, 33 and 35.
Molecules 25 03354 sch007
Table 1. Cytotoxic activity of N-terpene derivatives and the corresponding benzisoselenazol-3(2H)-ones.
Table 1. Cytotoxic activity of N-terpene derivatives and the corresponding benzisoselenazol-3(2H)-ones.
StructureMCF-7
IC50 [µM]
HL-60
IC50 [µM]
StructureMCF-7
IC50 [µM]
HL-60
IC50 [µM]
Molecules 25 03354 i00118b36.1 ± 0.610.7 ± 0.6Molecules 25 03354 i0023311.9 ± 0.262 ± 2.0
Molecules 25 03354 i00319b16.3 ± 0.316.3 ± 0.2Molecules 25 03354 i0043424.3 ± 2.4203 ± 2.0

Share and Cite

MDPI and ACS Style

Obieziurska-Fabisiak, M.; Pacuła, A.J.; Capoccia, L.; Drogosz-Stachowicz, J.; Janecka, A.; Santi, C.; Ścianowski, J. Phenylselanyl Group Incorporation for “Glutathione Peroxidase-Like” Activity Modulation. Molecules 2020, 25, 3354. https://doi.org/10.3390/molecules25153354

AMA Style

Obieziurska-Fabisiak M, Pacuła AJ, Capoccia L, Drogosz-Stachowicz J, Janecka A, Santi C, Ścianowski J. Phenylselanyl Group Incorporation for “Glutathione Peroxidase-Like” Activity Modulation. Molecules. 2020; 25(15):3354. https://doi.org/10.3390/molecules25153354

Chicago/Turabian Style

Obieziurska-Fabisiak, Magdalena, Agata J. Pacuła, Lucia Capoccia, Joanna Drogosz-Stachowicz, Anna Janecka, Claudio Santi, and Jacek Ścianowski. 2020. "Phenylselanyl Group Incorporation for “Glutathione Peroxidase-Like” Activity Modulation" Molecules 25, no. 15: 3354. https://doi.org/10.3390/molecules25153354

APA Style

Obieziurska-Fabisiak, M., Pacuła, A. J., Capoccia, L., Drogosz-Stachowicz, J., Janecka, A., Santi, C., & Ścianowski, J. (2020). Phenylselanyl Group Incorporation for “Glutathione Peroxidase-Like” Activity Modulation. Molecules, 25(15), 3354. https://doi.org/10.3390/molecules25153354

Article Metrics

Back to TopTop