Abstract
This review describes the progress of the last decade on the synthesis of substituted benzofurans, which are useful scaffolds for the synthesis of numerous natural products and pharmaceuticals. In particular, new intramolecular and intermolecular C–C and/or C–O bond-forming processes, with transition-metal catalysis or metal-free are summarized. (1) Introduction. (2) Ring generation via intramolecular cyclization. (2.1) C7a–O bond formation: (route a). (2.2) O–C2 bond formation: (route b). (2.3) C2–C3 bond formation: (route c). (2.4) C3–C3a bond formation: (route d). (3) Ring generation via intermolecular cyclization. (3.1) C7a-O and C3–C3a bond formation (route a + d). (3.2) O–C2 and C2–C3 bond formation: (route b + c). (3.3) O–C2 and C3–C3a bond formation: (route b + d). (4) Benzannulation. (5) Conclusion.
1. Introduction
Benzofuran (BF) and 2,3-dihydrobenzofuran (2,3-DBF) are key structural units in a variety of biologically active natural products (Figure 1) and represent the core structures of many approved drugs, as well as lead-design developments from natural products [1,2,3,4].
Figure 1.
Structures of benzofuran (BF) and 2,3-dihydrobenzofuran (2,3-DBF).
BF is a completely aromatic flat structure, while 2,3-DBF bears two prochiral sp3 carbons on the heterocycle, placing the substituents out of the benzofuryl plane. Naturally occurring compounds bearing BF and their derivatives show a broad range of pharmacological activities. Among them, amurensin H (or viniferifuran) 1 (Figure 2) displayed anti-inflammatory effect on an asthma-like reaction induced in mice [5], while Anigopreissin A 2 showed low antimicrobial activity against Staphylococcus. aureus and S. pyogene [6] and was also discovered as an inhibitor of HIV-1 reverse transcriptase (IC50 = 8 mM), including two mutant enzymes resistant to the clinical drug nevirapine [7].
Figure 2.
Representative pharmacologically active BF derivatives.
Permethylated anigopreissin A (PAA) 3 showed inhibitory activity for human hepatoma cell proliferation [8,9], while different benzofuran derivatives have shown pharmacological properties such as anticancer [10,11], antiviral [12,13], anti-Alzheimer′s disease [14,15], together with antiparasitic [16], antitubercular [17], and antibacterial [18,19] activities. Prescribed agents featuring the benzofuran scaffold include the antidepressant (−)-BPAP 4, the antiarrythmic amiodarone 5 [20], the clinical candidate drug for renal and ovarian cancers BNC105 6 [21], and the inhibitor of Aβ fibril formation 7 [2]. Such a variety of biological and pharmacological activities make BF an important pharmacophore for the development of new drugs.
Thus, synthetic access to benzofurans is of considerable interest, and numerous approaches to this scaffold have been disclosed in the literature. Herein, we deal with the most recent literature, which is not included in the appeared reviews of the last decade (2009–2020) [22].
The review of De Luca et al. [23] dealt with the synthesis of 2-substituted-benzofurans up to 2009, while the one of Abu-Hashem et al. [24] was an overview about the different approaches to benzofurans. Very recently, from the same authors, a chapter in Advances in Heterocyclic Chemistry [25] and three reviews have been published in which the full perspective of reactivity of benzofurans [26], advances in the synthesis of biologically potent compounds bearing at least one benzofuran moiety in their structures [27] and the recent reports on the total synthesis of natural products containing at least one benzofuran moiety in their complex structures [28] have been discussed. A review on synthetic routes for synthesis of benzofuran-based compounds appeared in 2017 [29] and at the least one summarizes the recent studies on the various aspects of benzofurans derivatives, including their natural sources, biological activities and drug prospects, and chemical synthesis, as well as the relationship between the bioactivities and structures [30].
In this plethora of methodologies, different classifications were used, subdividing the data into synthesis of 2- or 3-substituted or 2,3-disubstituted benzofurans [31,32], or into transition-metal-catalyzed [33,34,35,36,37] vs. metal-free approaches, or pointing out the most recent applications of metal catalyzed C–H insertion [38]. We chose to compare the intra-molecular and inter-molecular methodologies used to build selected bonds.
In this review, the synthetic approaches are classified according to the method by which the core BF structure is constructed. We divided the methods into intra-molecular and inter-molecular approaches. Both are classified according to which bond is formed in the key reaction (Scheme 1).
Scheme 1.
Intra-molecular and inter-molecular retrosynthetic approaches to benzofuran scaffold.
Intra-molecular approaches are the most dated and commonly used, so only newly developed catalytic systems and reaction conditions are introduced herein. The real novelty of this decade is represented by the advent of the inter-molecular strategies often employing transition metal as catalysts (Rh, Fe, and Pd), using one-pot protocols, [3 + 2] cycloaddition reactions, or sigmatropic rearrangements as Claisen’s one.
2. Ring Generation via Intra-Molecular Cyclization
2.1. C7a–O Bond Formation: (Route a)
The main approaches for the formation of C7a-O bond are collected below (Scheme 2).
Scheme 2.
Approaches for C7a-O bond formation.
2.1.1. From o-Halophenylacetylenes
An interesting alternative for in situ generating of 2-alkynylphenols is represented by the hydroxylation coupling of 2-haloarylalkynes. This strategy has been successfully employed in the domino hydroxylation–cyclization in which the conversion of 2-haloarylalkyne into a 2-phenylbenzo[b]furan happened in the presence of hydroxide anions.
An efficient copper-promoted hydration/annulation reaction and its application in the synthesis of benzofuran and benzothiophene derivatives has been presented, starting from readily available 2-fluorophenylacetylene derivatives (Scheme 3). This strategy involved a domino hydration of the C–F bond of 2-fluorophenylacetylene derivatives, using CuI, KOH, H2O, and KI in DMSO at 80 °C, followed by an intramolecular annulation to afford benzo[b]furan and benzo[b]thiophene derivatives [39]. A very similar copper-mediated hydroxylation of aryl iodide with hydroxide salts has been performed, as reported in Reference [36].
Scheme 3.
Synthesis of benzofurans via hydroxylation of o-halophenylacetylene.
An extension of the hydroxylation on o-halide phenylacetylenes (Br and Cl) has been performed using a mixture of tris(dibenzylideneacetone)dipalladium(0) (Pd2dba3) and 5-(di-tert-butylphosphino)-1′,3′,5′-triphenyl-1′H-[1,4′]bipyrazole (Bippyphos), showing to be a robust and efficient catalyst system under mild conditions and with broad substrate scope (Scheme 3). Notably, a significant number of the reported reactions proceeded at room temperature, on the benchtop under air using unpurified solvents with negligible loss in reactivity vs. related transformations conducted under inert atmosphere conditions [40].
2.1.2. From o-Halo-Benzylketones
It was known that copper catalysts [36] were successfully applied to the synthesis of benzofurans by ring closure of aryl o-bromobenzyl ketones. The analogous palladium-catalyzed ring closure provided a straightforward route to 2-arylbenzofurans (Scheme 4). The best results were obtained when 1,3-bis(2,6-diisopropylphenyl) imidazolium tetrafluoroborate (IPr) was used as ligand of Pd2(dba)3, Cs2CO3 as base in o-xylene at 100 °C, giving nearly full conversionconversion of 2-bromobenzyl phenylketone [41]. Different aryl 2-bromobenzylketones gave rise to benzofurans if 10% mol of FeCl3 (of 98% or of 99.995% purity) or sub-mol % quantities of CuCl2 (of 99.995% purity) was used as catalyst and Cs2CO3 as base in DMF [42].
Scheme 4.
Synthesis of benzofurans from o-halo-benzylketones.
A one-pot approach for the preparation of highly substituted benzofurans was proposed, starting from simple 1-aryl- or 1-alkylketones, involving regioselective iron(III)-catalyzed halogenation, followed by metal-mediated O-arylation, as well as demonstrating the use of parts per million (ppm) copper loading to perform C−O cyclization [43].
A variety of benzofurans were achieved by way of a FeCl3-mediated intramolecular cyclization of electron-rich-aryl ketones. This method allowed the construction of benzofuran rings by linking the O-atom on the side chain to the benzene ring via direct oxidative aromatic C–O bond formation. The alkoxy substituent on the benzene ring in the substrates was essential for an efficient cyclization to occur [44].
2.2. O–C2 Bond Formation: (Route b)
The main approaches for the formation of O-C2 bond dealt in this section are summarized below (Scheme 5).
Scheme 5.
Approaches for O–C2 bond formation.
The formation of O–C2 bond as the last bond represents the most popular between the intramolecular approaches. Several methods have been collected for this type of disconnection in the reviews of Abu-Hashem et al. [24] and Cacchi [35,36].
2.2.1. Via C-H Activation of o-Alkenylphenols
The C-H functionalization represents markedly a different approach from traditional ones, which exploit functional group transformations [45,46]. In 2014, a new, unprecedent palladium-catalyzed method for the synthesis of benzofurans was discovered [47] in which 2-hydroxystyrenes and iodobenzenes were involved in a C–H tandem activation/oxidation reaction. After careful analysis of the whole process, it was clear that the formation of benzofurans resulted by tandem Pd-catalyzed Heck reaction/oxidative cyclization sequence, although the detailed mechanism is still unknown. Following this method, the overall efficiency of the synthesis of decursivine and its analogues was improved (Scheme 6).
Scheme 6.
Synthesis of benzofurans via oxidative cyclization of o-alkenylphenols.
Although significant and indicative progress has been made in the realm of oxidative C-H functionalization with stoichiometric oxidants, the C-H oxygenation involved in the one-step conversion of o-alkenylphenols to benzofurans without oxidants and sacrificing acceptors is scarcely reported. Liu and co-workers reported [48] this cyclization reaction catalyzed by palladium on carbon (Pd/C) without any oxidants and presented the perspectives of the method in the utility of ubiquitous C(sp2)-H bonds as latent functional groups for the construction of C(sp2)-O bonds
An alternative route for the synthesis of 2-arylbenzofurans without the use of Pd catalyst is described by iodine(III)-catalyzed oxidative cyclization of 2-hydroxystilbenes, using 10 mol% (diacetoxyiodo)benzene [PhI(OAc)2] as catalyst in the presence of m-chloroperbenzoic acid. The 2-arylbenzofurans were isolated in good-to-excellent yields [49].
2.2.2. From o-Alkynylphenols
Transition metal-catalyzed hydroalkoxylation of alkynes provides a reliable method for synthesizing C2-substituted benzofurans from readily available o-alkynylphenols [22,23,24,25,26,27,28,29,30]. Into this large sea of strategies, we report some new examples that overcome some limitations of the previous ones or represent extensions of applicability of methodologies.
For example, a highly active heterogeneous Pd-nanoparticle catalyst for the intramolecular addition of phenols to alkynes was developed and employed in a continuous flow reaction system [50].
Indium(III) halides catalyzed the hydroalkoxylation reaction of alkynylphenols to afford benzofurans in good yields. The reaction proceeded with 5-endo-dig regioselectivity, with a variety of phenols functionalized at the arene and alkyne moieties in high yields, using InI3 (5 mol %) in DCE. Experimental and computational studies supported a mechanism based on the indium(III) π-Lewis acid activation of the alkyne, followed by nucleophilic addition of the phenol and final protodemetalation to afford the corresponding benzofuran [51]. Such cyclization was also reported to be efficient with Cu(I) [52], Rh(I) [53,54], Zeolite [55], Au [56], and pTsOH-MW [57], in aqueous conditions [58], or basic conditions in the last case, to afford 2-trifluoromethyl benzofurans [59] (Scheme 7).
Scheme 7.
Synthesis of benzofurans via cyclization of o-alkynylphenols.
Organoboron compounds and heterocycles are powerful building blocks and precursors for organic synthesis, including for drug discovery and agrochemical and material synthesis. Blum and co-workers first studied direct oxyboration toward the formation of borylated benzofurans, where a preformed boron−oxygen σ bond was added across an alkyne activated by a carbophilic gold catalyst. Detailed mechanistic and kinetic studies of this class of reactions were reported [60,61] (Scheme 8).
Scheme 8.
Synthesis of 2,3-disubstituted benzofurans via cyclization of o-alkynylphenols.
A comparative study has been carried out of the catalytic activities of five-, six-, and seven membered carbene complexes [(NHC)AuX], [(Ph3P)AuX], and [(Me2S)AuX], and inorganic compounds of gold in model reactions of indole and benzofuran synthesis. A selective and convenient synthesis of 2,3-diarylbenzofurans has been developed with the aid of light and taking advantage of a cooperative gold/photoredox-catalyzed two-fold arylation reaction of TMS-terminated alkynols. The photoredox sequence involving 2-[(trimethylsilyl)ethynyl]phenol exclusively afforded 2,3-diarylbenzofurans. The reaction of terminal alkynes proceeded in poor yields, while the use of bulkier silyl groups, such as TIPS, resulted unproductive. Apparently, the C(sp) arylation reaction was the first event on the domino bis-arylative sequence. These results could be explained through the intermediation of arylgold(III) species and several single electron transfer processes [62] (Scheme 8).
A rhenium-catalyzed carboalkoxylation and carboamination of alkyne was reported by Zi and co-workers, providing an efficient route to synthesize de novo C3-substituted benzofurans and indoles under mild conditions in moderate-to-good yields [63]. Mechanistic studies revealed that the rhenium played the role of a π acid catalyst to activate the alkynes, followed by a charge-accelerated [3,3]-sigmatropic rearrangement. An analogue activation of the alkyne was proved by the electrophilic Pt-species, which enables nucleophilic attack by the heteroelement, resulting in trans alkoxyplatination [64]. This process formally generates an allyl cation that reacts to the most nucleophilic position of the ring to give the product and regenerate the catalyst. This notion suggests that other entities R1, which are able to stabilize positive charge, might transfer in a similar fashion. Moreover, Ferreira’s group investigated on the use of platinum catalysis to generate α,β-unsaturated carbene intermediates via an intramolecular nucleophilic addition into alkynes bearing propargylic ethers. These carbenes have been demonstrated to undergo cycloadditions, hydrogen migrations, and vinylogous nucleophilic additions [65], where β-diketones, ketoesters, and ketoamides all successfully added onto the platinum carbene intermediate (Scheme 9).
Scheme 9.
Synthesis of benzofurans via cyclization of o-alkynylphenyl allyl ethers.
2.2.3. From o-Gem-Dibromoalkenyl Phenols
The popular strategy involving a Sonogashira coupling/cyclization protocol, using ethoxycarbonylethenyl-derived 2-halophenols and alkynes, worked well for certain compounds but failed, for example, for egonol and other related compounds. This failure was attributed to the electronic nature of both the 2-halophenols and the alkynes, and the related complications when applied in a multistep synthesis. Thus, this protocol did not facilitate a rapid and concise synthesis of benzofuran natural products. A seminal strategy was reported by Lautens et al., in 2009, in which 2-bromobenzofurans were generated by a Cu-catalyzed cyclization of 2-(2,2-dibromovinyl)-phenols [66]. The same approach was used by Kim’s group, to synthesize different natural products [67,68], while recently, Rao et al. explored the application of a Pd-catalysed domino cyclization/coupling protocol in a pooled approach for the synthesis of benzofuran natural products [69,70] (Scheme 10).
Scheme 10.
Synthesis of benzofurans via o-gem-dibromoalkenyl phenols.
2.2.4. From o-Allylphenols
A special position in palladium catalysis constitutes palladium on carbon (Pd/C). Palladium on carbon (Pd/C) has some unique advantages, like stability in air, easy removal by simple filtration, sustainability, and commercial availability at a relatively low cost [71]. Kokotos and co-workers described a cheap and easy-to-execute strategy for the synthesis of benzofurans, employing Pd/C as the promoter. A variety of substituted allyl-phenols were converted into the desired products in good to excellent yields. Recycling of Pd/C was possible up to five cycles, keeping similar levels of reactivity [72] (Scheme 11). From the natural product honokiol, which contains a o-allylphenol fragment, a benzofuran scaffold was produced through a Wacker-type intramolecular cyclization, using PdCl2, NaOAc, and O2, in DMA/H2O [73]. Different substituted o-allylphenol derivatives, prepared via a Friedel−Crafts alkylation of cinnamyl alcohol with phenols, using Re2O7 catalyst in acetonitrile as solvent, underwent oxidative cyclization, using PdCl2(C2H4)2 as catalyst and BQ as oxidant [74]. A simple sequential reaction protocol has been developed for the synthesis of functionalized 2-benzyl benzofurans via Friedel−Crafts alkylation of phenols with cinnamyl alcohols in the presence of Re2O7 catalyst, followed by Pd(II)-catalyzed oxidative annulation of in situ generated o-cinnamyl phenols. Synthesis of 2-benzyl benzofurans was achieved in good yields (disconnection b+d). In the work of Li’s group, the o-allylphenol derivatives were generated from aryne, using Kobayashi benzyne precursor, and aryl allyl sulfoxide [75] (Scheme 11).
Scheme 11.
Synthesis of bezofurans via cyclization of o-allyl phenols.
2.2.5. From o-Hydroxybenzyl Ketones
A new method to generate o-hydroxybenzyl ketones was proposed recently by Patil and co-workers, using an o-oxygenative 1,2-difunctionalization of diarylalkynes. This procedure allowed under merged gold/organophotoredox catalysis to access highly functionalized 2-(2-hydroxyaryl)-2-alkoxy-1-arylethan-1-ones [76]. Detailed mechanistic studies suggested a relay process, initiating with gold-catalyzed hydroalkoxylation of alkynes, to generate enol-ether followed by a key formal [4 + 2]-cycloaddition reaction. This type of oxidation of alkynes depended strongly on the nature of substituents on the aryl. Symmetrical diarylalkynes with electron withdrawing groups gave rise to the corresponding α-methoxyketones with yield up to 68%, while with asymmetrical alkyne lower yields were obtained. Not all the functionalities were well tolerated. The successful application of the present methodology was also shown for the synthesis of benzofurans (Scheme 12).
Scheme 12.
Synthesis of benzofurans via o-hydroxybenzyl ketones.
An efficient and practical method for construction of 2-arylbenzofurans from 2-methoxychalcone epoxides has been reported. Catalyzed by 2 mol % of BF3·Et2O, 2-methoxychalcone epoxides went through the Meerwein rearrangement, followed by deformylation in one-pot to successfully afforded 2-methoxydeoxybenzoins. Afterward, 2-arylbenzofurans were obtained in high yields (87–100%) via inter-molecular cyclodehydration of 2-methoxydeoxybenzoins with 48% HBr [77] (Scheme 13).
Scheme 13.
Synthesis of benzofurans via o-methoxychalcone epoxides.
2.2.6. From o-(Cyanomethyl) Phenols
A seminal study for exploring the potential of palladium-catalyzed addition of potassium organotrifluoroborates to a nitrile group, which is usually more challenging than an aldehyde or acyl chloride group, has been performed by Whu’s group [78,79]. This work has provided a new method for the synthesis of alkyl aryl ketones (or dicarbonyl compounds) by Pd-catalyzed addition of arylboronic acid or potassium aryltrifluoroborates to aliphatic nitriles (or dinitriles) and the one-step synthesis of 2-arylbenzofuran derivatives (Scheme 14).
Scheme 14.
Synthesis of benzofurans via o-(cyanomethyl) phenols.
The first example of the palladium-catalyzed one-pot synthesis of 2-arylbenzofurans in moderate to excellent yields via a tandem reaction of 2-hydroxyarylacetonitriles with sodium sulfinates was reported in 2014. A plausible mechanism for the formation of 2-arylbenzofurans involving desulfinative addition and intramolecular annulation reactions is proposed. Moreover, the present synthetic route to benzofurans could be readily scaled up to the gram quantity, without any difficulty. Thus, the method represents a convenient and practical strategy for synthesis of benzofuran derivatives [80,81].
2.2.7. From 1-(2-hydroxyphenyl) Propargyl Alcohol Derivatives
A novel metal-free one-pot protocol for the effective and efficient synthesis of 3-phosphinoylbenzofurans via a phospha-Michael addition/cyclization of H-phosphine oxides and in situ generated o-quinone methides was described. Based on the expeditious construction of C(sp2)−P bonds, asymmetric synthesis of optically pure 3-phosphinoylbenzofurans containing chiral P-stereogenic center has also been probed by using chiral RP-(−)-menthyl phenylphosphine oxide [82]. A metal-free procedure used BF3-Et2O to catalyze the cyclization and the substitution with a nucleophle [83]. Moreover, Pd-catalyzed cyclization was reported on these substrates [84,85] (Scheme 15).
Scheme 15.
Synthesis of benzofurans via 1-(2-hydroxyphenyl)propargyl alcohol derivatives.
2.3. C2–C3 Bond Formation: (Route c)
The main approaches for the formation of C3-C2 bond dealt in this section are summarized below (Scheme 16).
Scheme 16.
Approaches for C2–C3 bond formation.
2.3.1. From o-(Alkoxy)Phenyl Arylketones
Dehydrative decarboxylation of o-acylphenoxyacetic acids or esters on treatment with a base represents an old methodology to prepare benzofurans. A more recent approach used benzylic deprotonation, using LiTMP, followed by an intramolecular cyclization between the carbanion and carbonyl group of the corresponding arylketone and subsequent dehydration acid catalyzed (p-TsOH·H2O), to deliver benzofuran, the core structure for the synthesis of the natural and biologically relevant products, Malibatol A and Shoreaphenol (Scheme 17) [86].
Scheme 17.
Synthesis of benzofurans via o-benzyloxyphenyl arylketones.
Moreover, 2,3-Diarylbenzofurans were also efficiently generated by the cyclization of o-benzyloxybenzophenones, using the hindered phosphazene base P4-t-Bu [87].
Condensation of carbonyls with non-acidic methylenes such as those adjacent to heteroatoms and allylic types to generate C=C bonds is challenging but highly desirable. An advanced method overcame this limitation. Li and co-workers reported a simple, clean, and high-yielding protocol promoted by UV-light, to achieve condensation of non-acidic methylenes with carbonyls. As examples to demonstrate the power of this methodology, benzofurans were synthesized with broad functional group compatibility [88] (Scheme 18).
Scheme 18.
Synthesis of benzofurans via o-alkoxyphenyl arylketones.
2.3.2. From o-Alkynylphenyl benzyl (or Allyl)Ethers
Terada group demonstrated that the organic superbase phosphazene P4-tBu worked as an active catalyst for intramolecular cyclization of o-alkynylphenylethers, reporting the carbon–carbon bond formation under mild reaction conditions without the need for a metal catalyst, providing an efficient synthetic method for 2,3-disubstituted benzofurans derivatives [89] (Scheme 19).
Scheme 19.
Synthesis of benzofurans via o-alkynylphenyl ethers.
2.3.3. From o-Alkynylphenyl Vinylethers
A simple I2O5-mediated method has been developed under metal-free conditions for the construction of sulfonylated benzofurans. The present reaction was efficiently achieved through the oxidative cyclization of 1,6-enynes and arylsulfonylhydrazides, which provided an attractive approach to a series of sulfonylated benzofurans in moderate to good yields [90] (Scheme 20).
Scheme 20.
Synthesis of benzofurans via o-alkynylphenyl vinylethers.
Very recently, the same substrates were used by Zhang’s group to introduce difluoroalkylated substituent on benzofurans, according to their expertise in the transition-metal catalyzed cross-coupling of difluoroalkylhalide and boronic acids. Difluoroalkylated benzofuran derivatives were constructed via palladium-catalyzed cascade difluoroalkylation-arylation of 1,6-enyne. Moreover, final difluoroalkylated benzofurans were obtained through an isomerization process catalyzed by Fe(OTf)3 [91] (Scheme 21).
Scheme 21.
Synthesis of benzofurans via o-alkynylphenyl vinylethers.
Within the broad field of C-H bond functionalization, the insertion of carbenes into C-H bonds is arguably the best approach for directly transforming a C-H bond directly into a C-C bond. Dong strategy [92] for C-H bond functionalization was inspired by Adrian Brook’s discovery of the unique ability of acylsilanes to undergo thermal and photochemically induced 1,2 silicon-to-oxygen migration [93]. This Brook rearrangement of acylsilanes could be considered an umpolung process, where the acylsilanes acted as a carbonyl anion equivalents. Thus, a thermally induced Brook rearrangement generated a transient siloxycarbene that underwent to a rapid insertion into a neighboring C-H bond (Scheme 22). Thus, this new approach furnished 2,3-dihydrobenzofuran and benzofuran derivatives under microwave irradiation, in which the solvent played an important role to determine the generated species.
Scheme 22.
Synthesis of benzofurans via o-acylsylanesphenyl benzyl ethers.
2.3.4. From o-Triazole-Phenyl Benzylethers
Recently, N-sulfonyl-1,2,3-triazoles have emerged as alternative precursors for the formation of metallocarbenes [94]. Independent studies from Kang [95] and Chen [96] reported intramolecular sp3 C–H insertion reaction of α-imino rhodium carbene generated from N-sulfonyl-1,2,3-triazoles. The first one reported the use of O2 as the oxidant to obtain benzofurans, whereas the second one used Pd/C, to allow the isomerization of the allylic portion of enamine, which, in presence of H2, afforded to amine derivatives. Both methodologies furnished a number of benzofuran derivatives in good to excellent yields (Scheme 23).
Scheme 23.
Synthesis of benzofurans via o-N-sulfonyl1,2,3-triazolphenyl bezylethers.
2.4. C3–C3a Bond Formation: (Route d)
The main approaches for the formation of C3-C3a bond dealt in this section are summarized below (Scheme 24).
Scheme 24.
Approaches for the C3–C3a bond formation.
2.4.1. Via Friedel–Crafts Acylation
Outstanding total synthesis of multisubstituted benzofurans were achieved by intra-molecular Friedel–Crafts acylation of α-aryloxyaryl ketones, which were prepared from an inter-molecular O-alkylation of α-haloarylketones with phenoxide. Many examples of Lewis acid and transition-metal-catalyzed direct intramolecular cyclodehydration of the resulting α-aryloxyaryl ketones have been developed by several research groups. Kim’s group used BBl3 [97], pTSA [98], or Bi(OTf)3 [99] in the total synthesis of natural stilbenoids, while Chang’s group used Ga(OTf)3 [100] for the first time in such cyclization. Arava’s group was concerned with AlCl3 or FeCl3 [101], while Tang investigated on TiCl4 [102]. Shibata and co-workers used In(III) species generated from [CpIrCl2]2 and AgSbF6, in which the presence of the acetyl group on the aryl group allowed the Ir insertion in C-H bond [103]. Recently, Xu, employing 10 mol% [Rh(cod)(MeCN)2]BF4 and 12 mol% DPPF in THF, developed a cascade transformation initiated by regioselective activation of benzocyclobutenone, followed by insertion into C=O and spontaneous aromatization, which generated 2,3-disubstituted benzofurans [104] (Scheme 25).
Scheme 25.
Synthesis of benzofurans via Friedel–Crafts acylation.
2.4.2. Via [Ru(II)] C-H Insertion of N-Sulfonyl-1,2,3-Triazole Derivatives
The selective synthesis of substituted 3-methylene-2,3-dihydrobenzofurans and 3-methylbenzofurans was developed in the seminal work of Shi through Rh(II)-catalyzed denitrogenative annulation of N-sulfonyl-1,2,3-triazole at ambient to mild heating condition, respectively [105] (Scheme 26). Further, a one-pot strategy was also developed by using substituted O-propargylphenols through Cu/Rh-catalyzed method, to rapidly construct 3-methylene-2,3-dihydrobenzofuran derivatives [106].
Scheme 26.
Synthesis of benzofurans via [Rh(II)] C–H insertion of N-sulfonyl-1,2,3-triazol derivatives.
2.4.3. Via [Pd(0)] C–H Insertion
In 2008, Hultin’s group reported the synthesis of 2-substituted benzofurans from simple phenols, boronic acids or other organoboron reagents, and trichloroethylene. The overall process required only two synthetic steps, with the key step being a one-pot sequential Pd-catalyzed Suzuki cross-coupling/direct arylation reaction. The method tolerated many useful functional groups and did not require the installation of any other activating functionality [107,108].
In 2011, Wang and co-workers developed a synthesis of benzofurans from commercially available phenols and propiolate through the direct oxidative cyclization. In the presence of Pd(OAc)2/PPh3 and CF3CO2Ag, (E)-type 3-phenoxyacrylates underwent reaction smoothly to generate the corresponding benzofurans in good yields in benzene at 110 °C, with no need for an inert atmosphere. This transformation of phenols into benzofurans was also carried out in one-pot, in a simple and efficient way [109] (Scheme 27).
Scheme 27.
Synthesis of benzofurans via [Pd (0)] C–H insertion of vinyl derivatives.
2.4.4. Via Radical Cyclization of o-Iodophenyl Allenyl Ethers
Recently, a mild and broadly applicable methodology to prepare complex benzofurylethylamine derivatives through a unique radical cyclization cascade mechanism was reported [110]. Single-electron transfer (SET) from 2-azaallyl anions to 2-iodo aryl allenyl ethers initiated a radical cyclization that was followed by intermolecular radical–radical coupling. A diverse series of benzofurylethylamine derivatives was prepared in good-to-excellent yields, in three steps, from 2-iodophenols (Scheme 28). This methodology could also be extended to build larger heterocycles.
Scheme 28.
Synthesis of benzofurans via o-iodophenyl allenylethers.
3. Ring Generation via Intermolecular Cyclization
3.1. C7a–O and C3–C3a Bond Formation: (Route a + d)
The main approaches for the formation of C7a-O and C3-C3a bond dealt in this section are summarized below (Scheme 29).
Scheme 29.
Approaches for C7a-O and C3–C3a bond formation.
3.1.1. Via o-C-H alkylation/Decarboxylation
Transition-metal-catalyzed directing-group-assisted C-H bond functionalization has proven to be a powerful strategy for the construction of carbon–carbon and carbon–heteroatom bonds because of its great potential for step-economy and environmental sustainability. A range of carboxyl directed o-C-H alkylation/decarboxylation reactions [111,112,113,114,115] has been exploited. In all transformations, the directing group plays the key role for reaction efficiency and regioselectivity. However, the installation and disconnection of a directing group require extra and tricky steps, which determine severe limitations on application. A very recent copper-mediated synthesis of 2,3-disubstituted benzofurans from readly available benzamides and benzoylacetonitriles was described, in which the assistance of an 8-aminoquinolyl auxiliary was shown [116]. To overcome the above shortcomings, carboxyl group was successfully used as a traceless directing group, which could introduce a target functional group into a specific position of the substrate and then be completely removed by decarboxylation. In this strategy, the C3–C3a bond was successfully constructed via C–H activation, and C7a–O bond was subsequently formed at the original position of the amide group in a one-pot manner. The amide directing group was removed simultaneously under the reaction conditions through C–C bond cleavage (Scheme 30).
Scheme 30.
Synthesis of benzofurans via C-H alkylation/decarboxylation.
3.1.2. Via Propargyl Claisen Rearrangement/Cycloaddition
Synthetic methodologies for the preparation of benzofuran derivatives through transition-metal/noble-metal catalysts, Lewis/Brønsted acids, and base-promoted cyclizations reported propargylic alcohols or their derivatives as starting materials. However, accessing such preferred scaffolds using aryne chemistry is less known. Palakodety and co-workers [117] reported an unprecedented base-mediated cyclization of propargylic alcohols with aryne, providing a novel method for the synthesis of 3-benzofuryl-2-oxindole and 3-spirooxindole benzofuran scaffolds via a propargyl Claisen rearrangement/cycloaddition pathway (Scheme 31). The nature of the substituent on acetylene group of propargylic alcohol influenced the outcome of the reaction. The protocol offered a transition-metal-free and operationally simple methodology with broad substrate scope as a ready access to complex oxindole-linked heterocyclic compounds.
Scheme 31.
Synthesis of benzofurans via propargyl Claisen rearrangement/cycladdition.
3.1.3. Via Addition of Zinc-Enolate to Methines
Miyabe’s group developed an efficient insertion of arynes, which were generated in situ from o-(trimethylsilyl)aryl triflates and the fluoride ion, into the C=O π-bond of formamides. The subsequent addition of zinc enolates of α-chlorinated methines gave rise to benzofurans, via the addition of an ethyl anion to the dihydrobenzofurans bearing a ketone group and the retro-aldolic process inducted by Et2Zn [118] (Scheme 32).
Scheme 32.
Synthesis of benzofurans via addition of zinc-enolate to methynes.
3.2. O–C2 and C2–C3 Bond Formation: (Route b + c)
The main approaches for the formation of O–C2 and C2–C3 bond dealt in this section are summarized below (Scheme 33).
Scheme 33.
Approaches for the O–C2 and C2–C3 bond formation.
3.2.1. Via Transition-Metal-Free Catalyzed Approaches: p-Quinone Methides
Recently, p-quinone methides (p-QMs) were subjected to extensive investigation for their interesting chemical properties. A typical reaction of p-QMs involves rearomatization via nucleophilic addition by a variety of carbon nucleophiles.
A one-pot protocol for the synthesis of 2,3-diarylbenzo[b]furan derivatives through an N-heterocyclic carbine catalyzed 1,6-conjugate addition of aromatic aldehydes to 2-hydroxyphenyl-substituted p-quinone methides followed by acid-mediated dehydrative annulation has been developed. This protocol allows access to a wide range of 2,3-diarylbenzofuran derivatives in moderate-to-good yields [119] (Scheme 34).
Scheme 34.
Synthesis of benzofurans via addition of aromatic aldehyde to p-quinone methide.
In this context, an efficient synthesis of functionalized benzofurans was obtained under mild and metal-free conditions from the p-QMs bearing an o-hydroxy group, treated with phosphine, acyl chloride, and base. Through a 1,6-phospha-Michael addition, O-acylation, and subsequent Wittig pathway, this protocol was demonstrated to be useful for the synthesis of benzofurans [120] (Scheme 35).
Scheme 35.
Synthesis of benzofurans via addition of phosphines to p-quinone methides.
3.2.2. Via transition-Metal-Free Catalyzed Approaches: o-Quinone Methides
o-Quinone methides (o-QMs) are highly reactive and useful species that have been implicated in the reaction with nucleophiles as 1,4-Michael acceptors [121,122]. Moreover, ambiphilic synthons, which contain both electrophilic and nucleophilic centers in the same molecule, are widely used in organic synthesis as useful building blocks. The development of new synthetic methods using ambiphiles has great potential in the elaboration of new high-step-economy reactions. The first example of the use of potassium trinitromethanide as a 1,1-ambiphilic synthon equivalent for the construction of a benzofuran moiety, mediated by triethylamine, has been developed. The method tolerates a variety of functional groups on the starting quaternary ammonium salt and has been successfully extended to polysubstituted benzofurans. The formation of an o-quinone methide intermediate is postulated as a key step in this cascade process [123] (Scheme 36).
Scheme 36.
Synthesis of benzofurans via addition of trinitromethanide to o-quinone methides.
3.2.3. Via Transition-Metal-Free Catalyzed Approaches: o-Hydroxyphenone or Salicylaldehydes
The transition metal-free preparation of highly functionalized benzofurans by a unique and connective transformation has been reported. Base-catalyzed condensation of o-hydroxyphenones with 1,1-dichloroethylene generated the corresponding chloromethide benzofurans. These labile intermediates underwent a facile rearrangement into benzofuran carbaldehydes, under mild acidic conditions [124] (Scheme 37).
Scheme 37.
Synthesis of benzofurans via addition of 1,1-dichloroethylene to o-hydroxyphenones.
The preparation of new types of highly functional benzofurans was realized via intramolecular Wittig reactions with the corresponding ester functionality. The key phosphorus ylide intermediate presumably resulted from the addition of Bu3P toward salicylaldehydes followed by acylation and deprotonation. The umpolung reactivity of carbonyl carbon of the aldehyde allowed the synthesis of functional benzofurans [125] (Scheme 38).
Scheme 38.
Synthesis of benzofurans via reactions with salicyldehydes.
In an alternative approach, the addition of an isocyanide on an iminium ion intermediate, formed from an electronpoor salicylaldehyde derivative and a secondary amine in the presence of silica gel, proceeded smoothly at room temperature and afforded benzofuran derivatives in high yields [126] (Scheme 38).
3.2.4. Transition-Metal-Catalyzed Approaches: [Rh(II)] Catalyzed Addition of N-Sulfonyl-1,2,3-Triazole
A rhodium-catalyzed intramolecular denitrogenative transannulation of N-sulfonyl-1,2,3-triazole-tethered cyclohexadienones has been described for the synthesis of benzofurans and cyclopropa[cd]indole-carbaldehydes in an operationally simple procedure. Remarkably, the reaction pathway is fully dependent on heteroatom (O or N) in the linker between the cyclohexadienone unit and triazole moiety. In the case of O-linked triazoles, a cascade sequence consisting of intramolecular cyclopropanation and rearrangement took place, leading to the formation of benzofurans [127] (Scheme 39).
Scheme 39.
Synthesis of benzofurans via [Rh]-catalyzed addition of N-sulfonyl-1,2,3-triazole.
3.2.5. Transition–Metal Catalyzed Approaches: [Cu(I)]-Catalyzed Addition to o-Hydroxybenzophenones/Salicylaldehydes
Dominguez and co-workers have described the synthesis of a series of 3-arylbenzofurans [128], using o-hydroxy-benzophenone, CuOAc (50%mol), 8-HQ (8-hydroxyquinoline) (50%mol), and K2CO3 (1 equiv), in DMA (N,N-dimethoxyacetamide), at 140 °C, under O2 atmosphere. The optimized conditions were extended to different diarylketone derivatives affording benzofurans in good yields, in which halogen, alkyl, and alkoxy functional groups were well tolerated under these oxidative conditions. It was demonstrated that DMA took part to reaction furnishing the additional carbon which was involved through ketene intermediate to the formation of 2-hydroxy-α-phenylstyrene or ester α,β-unsaturated. In the last step, the Cu-catalyzed oxidation of the double bond or Cu-catalyzed Wacker cyclization gave rise to benzofurans (Scheme 40).
Scheme 40.
[Cu(I)]-catalyzed synthesis of benzofurans via addition of ketene to o-hydroxybenzophenone.
As it was said before, the catalytic functionalization of unactivated C-H bonds is an increasingly viable method for organic synthesis. In particular, C-H activations that lead to the formation of C–O bonds have recently provided step-economical access to substituted phenols. A versatile ruthenium(II) complex, [{RuCl2(p-cymene)}2], in presence of PhI(OTFA)2 as the terminal oxidant in DME allowed the preparation of different salicylaldehydes by a site selective C-H oxygenations with weakly-coordinating aldehydes. The challenging C–H functionalizations proceeded with high chemoselectivity by rate-determining C–H metalation.
The new method featured an ample substrate scope, which set the stage for the step-economical preparation of various heterocycles, among these benzofurans [129]. Wang J. and coworkers [130] developed a new method to prepare benzofurans by using an economically convenient ligand-free CuBr which catalyzed coupling/cyclization of terminal alkynes with N-tosyl-hydrazones, derived from o-hydroxybenzaldehydes (Scheme 41). N-tosylhydrazones were involved in the synthesis of substituted allenes via Cu(I)-catalyzed coupling of with terminal alkynes [131]. A wide range of functional groups on the aryls and alkynes was found to tolerate the reaction conditions.
Scheme 41.
[Cu(I)]-catalyzed synthesis of benzofurans via addition of acetylene to N-tosylhydrazones.
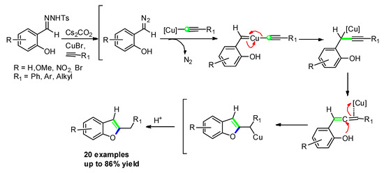
Previously, we reported the synthesis of substituted 2-bromobenzofuran compounds from the intramolecular cyclization of gem-dibromoalkenes (prepared via Ramirez olefination) and the subsequent Suzuki cross-coupling for the synthesis of poly-substituted benzofurans (see Section 2.2.3). The aforementioned methods require additional protection–deprotection techniques and are less divergent. An overcoming advanced procedure was envisioned by Lee and co-workers proposing a divergent-pooled route for benzofuran analogues, using 2-bromo-6-hydroxybenzofurans, which were prepared in a one-pot sequence of reactions, using a modified Ramirez olefination and the intramolecular cyclization of the derived gem-dibromoalkenes. The best results were obtained when using Cs2CO3 (3.5 equiv.) and CuI (5 mol %) at 85 °C, giving the desired cyclized compounds with complete selectivity in 65% yield [132] (Scheme 42).
Scheme 42.
[Cu (I)] catalyzed synthesis of benzofurans via Ramirez olefinations.
3.2.6. Miscellaneous
The Brönsted acid-catalyzed cascade synthesis of densely substituted benzofurans from easily available salicyl alcohols and biomass-derived furans has been performed. The disclosed sequence included the formation of 2-(2-hydroxybenzyl)furans that quickly rearranged into functionalized benzofurans. The established protocol was applied for the total synthesis of sugikurojinol B [133] (Scheme 43).
Scheme 43.
Acid-catalyzed synthesis of benzofurans via salicyl alcohols and furans.
Chi and co-workers, in 2012, described a convenient method of synthesizing C2-substituted benzofurans from carbamate of 2-hydroxyphenylacetonitrile. In situ two-step reactions using t-BuOK in the absence of oxygen and microwave/silica gel treatment provided several C2-derivatized benzofurans in 52–89% yields. Furthermore, straightforward purification of final product by filtration from silica gel avoided the need for column chromatography. This method is quite convenient, because various starting compounds could be easily prepared from commercially available carbonyl chlorides, such as carbamoyl chloride, thiocarbamoyl chloride, chloroformate, and acid chloride, and because further derivatization of benzofurans at the C3 position could be used to find biologically active benzofurans [134] (Scheme 44). A similar mechanism was reported in a procedure of a Pd-catalyzed three-component coupling reaction of o-(cyanomethyl)phenol, aryl halide, and carbon monoxide [135].
Scheme 44.
Synthesis of benzofurans via o-(cyanomethyl)phenol derivatives.
3.3. O–C2 and C3–C3a Bond Formation: (Route b + d)
The main approaches for the formation of O–C2 and C3–C3a bond dealt in this section are summarized below (Scheme 45).
Scheme 45.
Approaches for O–C2 and C3–C3a bond formation.
3.3.1. From o-Halophenols and Terminal Alkynes
Pd-catalyzed one-pot synthesis from 2-halophenols and terminal alkynes by a Sonogashira coupling cyclization sequence is a useful and reliable way to construct 2-substituted benzo[b]furans [136,137]. Furthermore, 2-Iodo- and 2-bromophenols have been widely used as 2-halophenols.
A catalyst composed of Pd and hydroxyterphenylphosphine was found to be effective for one-pot benzo[b]-furan synthesis from 2-chlorophenols and alkynes [138]. Moreover, 2,3-Disubstituted benzofurans possessing 2-hydroxyphenyl moiety at the C-3 position were synthesized from readily available 2-chlorophenols and terminal alkynes by hydroxy-directed o-Sonogashira coupling and subsequent oxypalladation/reductive elimination, using Pd-dihydroxyterphenylphosphine as the catalyst. The catalyst accelerated not only the Sonogashira coupling but also the introduction of 2-hydroxyphenyl group at the C-3 position of benzofuran [139] (Scheme 46).
Scheme 46.
Synthesis of benzofurans via o-halophenol and terminal alkynes.
The development of a multicatalytic one-pot synthesis of 2-arylbenzofurans starting from aryl halides and 2-halophenols (bromide or frequently iodide) has been described. The protocol involved two Sonogashira coupling reactions, followed by 2-ethynylphenol cyclization, leading to 2-arylbenzofuran derivatives (Scheme 47). The process occured smoothly under mild conditions, giving products in good yields, and was applied to many 2-arylbenzofurans substituted both at 2-aryl position and in the benzodifuran moiety. Substituents such as halogens, hydroxyl, cyano, nitro, and amino groups were tolerated, enabling further functionalization of the system [140,141].
Scheme 47.
Synthesis of benzofurans via multicatalytic system of o-halophenol and terminal alkynes.
A multicatalytic system was also used in a cascade transformation of polyenynes into a polyaromatic structure [142]. Nanoparticles of Pd doped by carbon [143] or supported by N,O-dual-doped hierarchical porous carbon [144], as well as NpPd in water copper- and ligand-free [145], have all been new catalytic systems used to generate benzofurans.
In 2013, Larock proposed a one-pot three component MW assisted protocol to generate 2,3-disubstituted benzofurans [146]. MWs were used by Elofsson to assist the synthesis of benzofuran core of some natural products [147]. Furthermore, 2-TMS-benzofuran was used in the asymmetric synthesis of the natural product (+)(R)-concentricolide [148]. Moreover, syntheses of benzofurans were proposed in good yield and tolerance of functional groups, using CuI, diaminecyclohexane, and KOtBu, in 1,4-dioxane condition [149] or Cu scorpionate complex and P450 mediated oxidation [150], to generate a methylene-bridged bis-benzofuran system.
3.3.2. From o-Halophenols and Internal Alkynes
Among all methods reported to obtain selectively 2,3-subsituted benzofurans, the Larock procedure, starting from 2-iodophenols and internal alkynes, appeared the most versatile procedure. However, these procedures rely on the use of soluble palladium catalysts; thus, they involve significant difficulties, including the high contamination of the products by palladium and ligand, which is not tolerable in the context of biological applications. Obviously, an analogous catalytic heterogeneous method would eliminate all of these drawbacks. The easily homemade [Pd(NH3)4]/NaY catalyst appeared to be the best choice for both indoles and benzofurans syntheses, even in reactions where the original Larock procedure failed and for which previous successes required the use of expensive ligand systems [151] (Scheme 48). Recently, Ghosh’s group described a convenient one-pot tandem procedure, a Hiyama alkynylation/cyclization reaction of 2-iodophenol with a range of triethoxysilylalkyne compounds in the presence of palladium acyclic diaminocarbene triflate complexes, which produced 2-substituted benzofurans [152]. A novel approach was developed for the synthesis of 2-substituted-3-functionalized benzofurans, in which the first step was the conjugate addition of phenol to an ynone in the presence of a base (K3PO4 gave the highest yield). Subsequently, an intramolecular Heck reaction (Pd(OAc)2, PPh3, Ag2CO3 in ACN) gave rise to the benzofuran core in a good high yield (up to 97%). This strategy was further applied in the first enantioselective total synthesis of Daphnodorin B [153].
Scheme 48.
Synthesis of benzofurans via o-halophenol and internal alkynes.
Recently, the same approach was used with the iodo-derivative of tyrosine and several propargyl aldehydes. The atmosphere applied to the reaction medium directly influenced the formation of the products. When an inert atmosphere of nitrogen was applied, a 2-aryl-3-formyl-5-alanylbenzofuran core was selectively obtained via a Heck intramolecular reaction, while under a carbon monoxide atmosphere, the reactions led exclusively to 6-alanyl-2-arylflavone derivatives via reductive intramolecular acylation [154] (Scheme 48).
3.3.3. From o-Halophenols and Allenes
Overall, 2-vinylbenzofurans have been synthesized via the copper-catalyzed one-pot, three-component reactions of o-iodophenols, in situ generated allenes, and dichloromethane. Cascade transformation of oxa-Michael addition, C-arylation, and sp3 C−H/sp3 C−Cl conversion-based vinylation has been involved in realizing the construction of this 2-vinylbenzofuran framework [155] (Scheme 49).
Scheme 49.
Synthesis of benzofurans via o-halophenol and allenes.
3.3.4. From Phenols: O-aryloxime/[3,3]-Sigmatropic Rearrangement/Cyclization
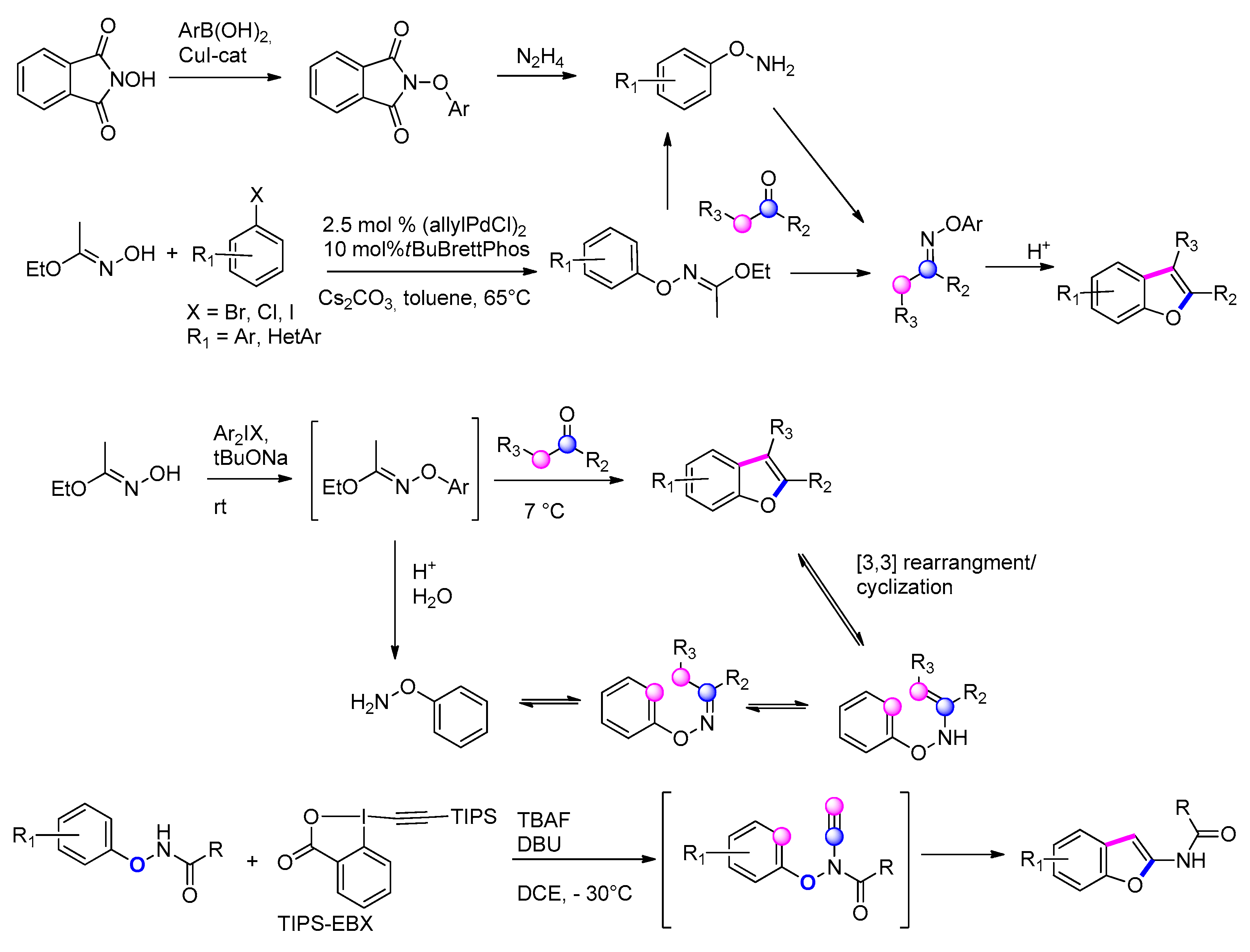
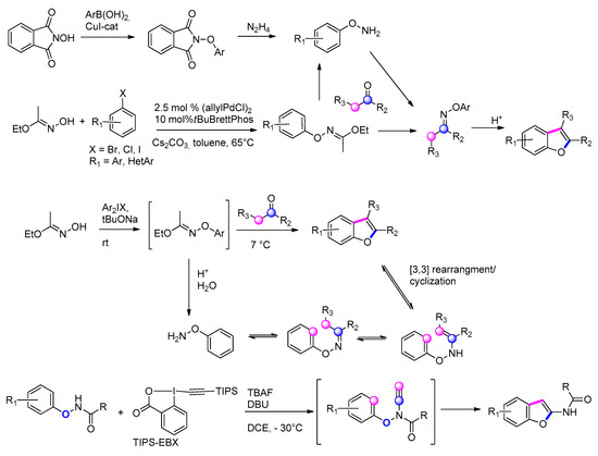
One century after their discovery, [3,3]-sigmatropic rearrangements occupy an irreplaceable role in the synthesis of complex organic molecules and continue to be intensively investigated. Among the methods available to prepare benzofurans one of the most synthetically accessible involves [3,3]-sigmatropic rearrangement of preformed O-aryl oxime ethers promoted by Brønsted or Lewis acids [156]. Although high efficiency has been achieved in the synthesis of indoles, as well as benzofurans, under mild reaction conditions via cleavage of O−N bonds, a unified approach to access diverse oxa-heterocycles is highly desirable. The introduction of an O−N bond may encompass the elevated temperature required by the classical Claisen [3,3]-sigmatropic rearrangement. The other challenge is that the annulation/aromatization may not occur readily after the rearrangement step. O-aryl oxime ethers was synthesized by the Cu-catalyzed arylation of N-hydroxyphthalimide with arylboronic acids, followed by cleavage with hydrazine [157] (Scheme 50). Buchwald and co-workers recently reported a more general palladium-catalyzed arylation of ethyl acetohydroxamate with aryl halides in the presence of air-sensitive alkyl-arylphosphine ligands. Ethyl acetohydroxamate served as an efficient hydroxylamine equivalent for C−O cross-coupling, thereby allowing for the preparation of O-arylhydroxylamines from simple aryl halides. Short reaction times and broad substrate scope, including heteroaryl coupling partners, allowed access to O-arylhydroxylamines that would be difficult to prepare in a single step by traditional methods. Moreover, the O-arylated products so formed could be directly transformed into substituted benzofurans in a single operation [158]. Ethyl acetohydroxamate was efficiently arylated with diaryliodonium salts at room temperature under transition-metal-free conditions. The obtained O-arylated products were reacted in situ with ketones, under acidic conditions, to yield substituted benzo[b]furans through oxime formation, [3,3]-rearrangement, and cyclization, in a fast and operationally simple one-pot fashion, without using an excess of reagents. Alternatively, the O-arylated products could be isolated or transformed in situ to aryloxyamines or O-arylaldoximes. The methodology was applied to the synthesis of Stemofuran A and the formal syntheses of Coumestan, Eupomatenoid 6, and (+)-machaeriol B [159].
Scheme 50.
Synthesis of benzofurans via oxime formation/[3,3]-sigmatropic rearrangement/cyclization.
An efficient method to selectively construct benzofuran and dihydrobenzofuro[2,3-d]oxazole derivatives has been successfully established by means of base-controlled cyclization of N-phenoxyamides with 1-[(triisopropylsilyl)ethynyl]-1,2-benziodoxol-3(1H)-one (TIPS-EBX). N-phenoxyamides, as multitasking reagents, have triggered two different cascade-reaction sequences. This was the first example of using TIPS-EBX for the transformation of C(sp) to either C(sp2) or C(sp3) under metal-free conditions [160,161].
3.3.5. Via Transition-Metal-Catalyzed Annulation of N-Aryloxyacetamides and Propargyl Alcohols
Propargylic alcohols are some of the most useful building blocks with two functional groups. These units have been involved in numerous cascade synthetic transformations in organic chemistry, providing an opportunity to discover novel cascade processes [162].
In 2018, Yi revealed an efficient and mild Ir(III)-catalyzed C−H annulation of N-aryloxyacetamides with tertiary propargyl alcohols to deliver benzofurans [163], in which the efficiency of protocol was influenced by the position and the nature of substituents on phenol. In the same year, Yi developed the Rh(III)-catalyzed and solvent-controlled C−H functionalization of N-aryloxyacetamides with secondary or primary propargyl alcohols for the divergent synthesis of chalcones and benzofurans [164]. By virtue of a synergically dual-directing-group (the O−NHAc part and the hydroxyl group)-assisted strategy, the efficient and practical Rh(III)-catalyzed regioselective redox neutral C−H functionalization of diverse N-phenoxyacetamides with propargyl alcohols has been realized, which led to the divergent synthesis of privileged benzofuran and chalcone frameworks in a solvent-controlled chemoselective manner (Scheme 51). Experimental and computational studies revealed that the formation of the hydrogen bonding between dual directing groups and the subsequent coordination interaction between the hydroxyl group and the Rh(III) catalyst play a decisive role in promoting the regioselective migratory insertion of the alkyne moiety. Thereafter, two solvent-controlled switchable reaction pathways occured to deliver the corresponding products with excellent chemoselectivity.
Scheme 51.
Synthesis of benzofurans via TM-catalyzed annulation of N-aryloxyacetamides and propargyl alcohols.
A cascade [3 + 2] annulation of N-aryloxyacetamides with 1-alkynylcyclobutanols via Rh-(III)-catalyzed redox-neutral C−H/C−C activations, using internal oxidative O−NHAc and −OH as the dual directing groups, has been achieved, as well, with the subsequent ring-opening of cyclobutanol. This reaction, performed with [Rh]-complex and KH2PO4 in DCM, provided an efficient and regioselective approach to benzofuran derivatives, with good functional group compatibility and high yields [165].
3.3.6. Metal-Free [3 + 2] Annulation of Phenols with Acetylenes
The metal-free [3 + 2] annulation of phenols with propargylic alcohols generated benzofurans as well as naphthofurans, in a highly atom-economy manner. This reaction utilized C1 and C2 carbons of propargylic alcohols for the annulation in a two-step process involving (i) an acid catalyzed intermolecular C–C bond formation between C1 of the propargylic alcohol and the α-position of phenol or β-naphthol, i.e., α-propargylation; and (ii) a base-catalyzed intramolecular O–C bond formation between C2 of the propargylic alcohol and –OH of phenol or naphthol [166].
An unprecedented acid-mediated cascade [3 + 2] annulation process for the generation of complex naphthofurans (benzofurans) from propargylic alcohols and β-naphthols (resorcinols) was proposed by Baire and co-worker [167] (Scheme 52). They described the synthesis of naphthofurans (and benzofurans) in a cascade manner, via an annulation utilizing C2 and C3 carbons of propargylic alcohols with β-naphthols (resorcinols).
Scheme 52.
Synthesis of benzofurans via metal-free [3 + 2] annulation of phenols and acetylenes.
Densely substituted amino-functionalized benzofurans were concisely accessed via the first one-pot domino oxidation/[3 + 2] cyclization of a hydroquinone ester and easily accessible ynamides under mild conditions in short time. The complex benzofurans were able to be efficiently synthesized, all from simple and inexpensive starting materials, in two steps [168].
3.3.7. [Pd]-Catalyzed [3 + 2] Annulation of Phenols with Internal Alkynes
While the transition metal (TM)-catalyzed annulation between aniline and unactivated alkynes provides indoles andtheir derivatives easily, a detailed survey of the literature reveals that the corresponding one step synthesis of benzofurans from readily available phenols and unactivated alkynes has remained elusive so far. The reactivity of phenol toward unactivated alkynes presents challenges as the participation of an unfavorable four-membered oxygen-containing metallacycle, the difficulties associated with the formation of the C-O bond through reductive elimination of the putative Pd(II) intermediates, and the sensitivity of phenols to strong oxidants like TMs.
Despite these cumulative challenges, Sahoo and co-workers [38,169] developed an unprecedented one-step synthesis of benzofurans by the Pd-catalyzed oxidative annulation of readily accessible phenols and unactivated internal alkynes.
Moreover, benzo furans were prepared in one-pot, based on the addition/palladium-catalyzed C-H bond functionalization of phenols with bromoalkynes. The addition reactions of phenols to bromoalkynes generated (Z)-2-bromovinyl phenyl ethers in high yields with excellent regio- and stereoselectivity. The obtained (Z)-2-bromovinyl phenyl ethers subsequently proceeded by cyclization, affording 2-substituted benzofurans in good yields. It is important to note that the transformation of phenols with bromoalkynes into benzofurans could be carried out in one-pot with a simple and efficient tandem procedure [170] (Scheme 53).
Scheme 53.
Synthesis of benzofurans via [Pd] catalyzed [3 + 2] annulation of phenols and acetylenes.
Palladium-catalyzed oxidative annulations between phenols and alkenylcarboxylic acids produced a library of benzofuran compounds. Depending on the nature of the substitution of the phenol precursor, either 2,3-dialkylbenzofurans or 2-alkyl-3-methylene-2,3-dihydrobenzofurans were synthesized with excellent regioselectivity [38,171,172,173].
3.3.8. Via Interrupted Pummerer Reaction/[3,3] Sigmatropic Rearrangement/Cyclization
The Pummerer reaction is a reaction of an alkyl sulfoxide with a Lewis acidic activator (LA+), such as acid anhydride, to yield a α-functionalized alkyl sulfide. Interrupted Pummerer reactions are different from other Pummerer-type reactions in terms of the reaction mode: The cationic sulfur center is directly attacked, or interrupted, by a nucleophile [174]. In 2010, Yorimitsu and co-workers prepared 2-methylthio-3-trifluoromethyl-substituted benzofurans from phenol and ketene dithioacetal monoxides (KDM) [175]. Subsequently, the same group extended the methodology by using a wide range of KDMs activated by trifluoroacetic anhydride (TFFA), in order to avoid the fast decomposition of dicationic intermediate [176,177,178].
In 2018, they accomplished a facile synthesis of fluorinated benzofurans from polyfluorophenols by means of a sigmatropic dearomatization/defluorination strategy composed of three processes: (1) interrupted Pummerer reaction of ketene dithioacetal monoxides, activated by TFFA, with polyfluorophenols followed by [3,3] sigmatropic rearrangement; (2) Zn-mediated smooth reductive removal of fluoride from the dearomatized intermediate; and (3) acid-promoted cyclization/aromatization to lead to benzofuran in 90% overall yield. Some of the fluorinated benzofurans were transformed by utilizing the 2-methylsulfanyl moieties [179] (Scheme 54).
Scheme 54.
Synthesis of benzofurans via interrupted Pummerer reaction/[3,3]-sigmatropic rearrangement/annulation of perfluorophenols.
Procter’s group reported a transition-metal-free synthesis of benzofurans from benzothiophenes and phenols which exploited the unique reactivity of sulfoxides [180]. Through a sequence involving an interrupted Pummerer reaction and [3,3] sigmatropic rearrangement, phenols were combined with readily accessible, yet synthetically unexplored, benzothiophene S-oxides to provide 3-arylated benzofurans. The products from this approach underwent subsequent functionalization, to gain access to a range of important benzofuran derivatives (Scheme 55). Sulfinate salts are a class of versatile compounds that have recently found application as coupling partners in palladium-catalyzed cross-coupling reactions. In fact, they were subjected to the subsequent desulfinative cross-coupling of substituted aryl halides, known to be easily available [181]. This approach established sulfoxides as a traceless activating group for C−H functionalization in this method. Thus, the intermediate aryl sulfinates, formed from treatment of the sulfones with base, underwent desulfinative palladium-catalyzed cross-coupling in the same pot, to provide the desired biphenyl benzofurans. This procedure gave good-to-excellent yields for all substrates tested; o-, m-, and p-substituted substrates all gave similarly high yields. It is worth noting that no trace of the sulfoxide group was present in the unreacted starting material.
Scheme 55.
Synthesis of benzofurans via interrupted Pummerer reaction/[3,3]-sigmatropic rearrangement/annulation/desulfinative reactions.
3.3.9. Via Fries-type O-C Rearrangement/Michael Addition of Phenols
Recently, the direct synthesis of naphthofurans and benzofurans was reported from readily available phenols and α-haloketones. It was promoted by titanium tetrachloride (TiCl4) which combined Friedel–Crafts-like alkylation and intramolecular cyclodehydration into one step. High levels of regioselectivity, broad substrate scope, and moderate-to-excellent yields were obtained [182].
An unusual and facile approach for the synthesis of 2-benzofuranyl- 3-hydroxyacetones from 6-acetoxy-β-pyrones and phenols was described by Ramasastry [183] (Scheme 56). The synthetic sequence involved a cascade transacetalisation, Fries-type O–C rearrangement followed by Michael addition, and ring-opening aromatization. The unexpected cascade event also provided new possible considerations in the β-pyrone-involved organic synthesis.

Scheme 56.
Synthesis of benzofurans via Fries-type O-C rearrangement/Michael addition.
Seggi and co-workers reported that 3-(2-bromoethyl)benzofurans were readily obtained from commercially available bis[(trimethylsilyl)oxy]cyclobutene and various phenols via a Brønsted acid-mediated nucleophilic addition−carbocyclic rearrangement cascade reaction; this is a one-pot, metal-free process that operates in mild conditions [184]. In the presence of a Brønsted acid, 2-hydroxycyclobutanone and its precursor bis[(trimethylsilyl)oxy]cyclobutene behaved as electrophilic acceptors for intermolecular nucleophilic addition, followed by a ring closure−ring fission process. This mild and facile strategy was applied for the synthesis of a series of 5-HT serotonin receptor agonists, underlining its potential for the syntheses of bioactive compounds and natural products.
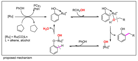
3.3.10. Via [Ru]-Catalyzed C–H Alkylation of Phenols with 1,2-Diols
Alcohols have been rarely employed as the substrate for the catalytic C−H coupling reactions, because of their tendency for undergoing energetically more favorable alkoxylation and oxidation reactions over the respective C−O bond cleavage reaction. Yi and co-workers discovered an exceptionally selective dehydrative C−H alkylation reaction of alkenes with alcohols that was catalyzed by a well-defined cationic ruthenium hydride complex [(C6H6)(PCy3)(CO)RuH]+BF4−. This cationic Ru−H complex also catalyzed the dehydrative C−H alkylation reaction of phenols with alcohols to form ortho-substituted phenol products so that benzofuran derivatives were efficiently synthesized from the dehydrative C−H alkenylation and annulation reaction of phenols with 1,2-diols [185]. The catalytic C−H coupling method employed cheaply available phenols and alcohols, exhibited a broad substrate scope, tolerated carbonyl and amine functional groups, and formed water as the only byproduct (Scheme 57).

Scheme 57.
Synthesis of benzofurans via [Ru]-catalyzed C-H alkylation of phenols with 1,2-diols.
3.3.11. Via [Rh]-Catalyzed Carbene Insertion with Phenols/Salicylaldehydes
Transition-metal carbene X–H insertion reactions (X=N or O) have been employed in the simple conversion of anilines and phenols into indoles and benzofurans, respectively. Thus, copper(II) catalyzed N–H insertion reactions of α-diazo-β-ketoesters with N-methylanilines, followed by treatment with acidic ion exchange resin gave indoles. In a similar manner, dirhodium(II) catalyzed O–H insertion reactions of α-diazo-β-ketoesters with phenols, followed by treatment with polyphosphoric acid (PPA) gave benzofurans [186] (Scheme 58).

Scheme 58.
Synthesis of benzofurans via [Ru]-catalyzed carbene insertion with phenols/salicylaldehydes.
A Rh(III)-catalyzed annulation between salicylaldehydes and diazo compounds with controllable chemoselectivity was described by Lin and Yao [187]. AgNTf2 favored benzofurans via a tandem C−H activation/decarbonylation/annulation process, while AcOH led to a chromones through a C−H activation/annulation pathway. The reaction exhibited good functional group tolerance and scalability. Moreover, only a single regioisomer of benzofuran was obtained due to the in situ decarbonylation orientation effect. Reactions of salicylaldehyde and its cyclic acetals with diazocarbonyl compounds in the presence of copper and rhodium catalysts have been studied. The reaction pathway and product yields were determined by the nature of the initial reactants and catalyst [188] (Scheme 58).
3.3.12. Via Michael Addition/Cyclization of Nucleophiles on Benzoquinones
Benzofuran derivatives were synthesized through the sequential Michael addition and cyclization of 1,3-dicarbonyl compounds with 1,4-benzoquinones. However, ketones are rarely used in this reaction because of their low nucleophilicities. In this study, this problem was solved by utilizing triethyl orthoformate, which enabled the formation of a vinyl ethyl ether as an additive. As a result, the nucleophilicity of ketones increased. Many important 5-hydroxybenzofuran derivatives, not previously available by synthesis, were also prepared by these newly established reactions [189] (Scheme 59).
Scheme 59.
Synthesis of benzofurans via Michael addition/cyclization of nucleophiles on p-benzoquinones.
A convenient metal-free one-pot synthesis of benzofuran derivatives starting from simple ynones has been developed by Cui and co-workers [190]. Various functionalized benzofurans, closely related to bioactive molecules, were obtained in moderate-to-good yields (up to 90%) through aza-Michael/Michael/annulation sequence (a mechanism similar to the previously described method). Preparative scale synthesis of benzofurans was successfully achieved, as well. The application of the benzofuran products was shown by easy transformations to highly functionalized molecules, holding significant promise for medicinal chemistry and organic material chemistry.
An efficient synthesis of benzofuran derivatives via the cross-coupling of catechols and hydroxycoumarins in H2O, using O2 as an ideal oxidant, was reported by Maeno and co-workers (Scheme 60). The above reaction allowed the direct use of substrates without prefunctionalization, involved formation of C–C and C–O bonds in a cascade manner, and afforded H2O as the sole by-product. This simple and clean reaction was achieved by the development of an AlPO4-supported Rh nanoparticle catalyst. The catalyst was applicable to the synthesis of a wide range of benzofurans. This catalytic method was successfully utilized for total synthesis of flemichapparin C, one of the naturally occurring coumestans exhibiting bioactivity [191].
Scheme 60.
Synthesis of benzofurans via Michael addition/cyclization of nucleophiles on o-benzoquinones.
3.3.13. Via FeCl3-Catalyzed Allenic Claisen Rearrangement/ Dehydrogenative Cyclization
A FeCl3-catalyzed allenic Claisen rearrangement/regio- and chemoselective aerobic dehydrogenative cyclization domino reaction is developed, providing a wide range of 2-aryl/alkyl, 3-(substituted-vinyl)naphtho[2,1-b]-furans in high yields at 95–130 °C in an atom- and step economic fashion. Mechanistic studies suggested that the FeCl3 catalyst was responsible for the high regio- and chemoselectivity in reaction. A blue-emitting product showed a quantum yield of 0.95. The reaction proceeded readily on the gram scale, and synthetic applications of the products were also demonstrated [192] (Scheme 61).
Scheme 61.
Synthesis of benzofurans via FeCl3-catalyzed allenic Claisen rearrangement/ dehydrogenative cyclization.
4. Benzoannulation
This last section reports examples in which the benzofuran scaffold was built through benzannulation or aromatization. Few recent examples were already reported in References [28] and [30].
Recently, Mehta and co-workers, during an attempt to perform a Tanabe annulation [193] on 4-hydroxy-cyclohexanone with 1,1-dimethoxy acetone, obtained the corresponding 3-methybenzofuran as the only product in 78% yield [194] (Scheme 62). This method was extended to naphthofurans and other related frameworks. The utility of this adaptable methodology was applied to concise syntheses of natural products, stereumene B, paeoveitol D, and (±)-paeoveitol.
Scheme 62.
Synthesis of benzofurans via Tanabe-type annulation with cyclohexanone and 1,1-dimethoxy acetone.
A novel cascade de novo reaction to access benzofurans from suitable 2-hydroxy-1,4-diones was reported by Sha [195]. The hydroxyl group played a crucial role in the reaction, allowing the dehydration reaction to form the key C-C bond during the cascade reaction process. This facile one-pot method for the preparation of benzofurans in moderate-to-good yields (R1 = Me, Ph, 2-naphthyl, etc.; R2 = Me, EtO, BnO, etc.; R = H, Et, MeO2C, Ph, etc.) runs via cyclization/oxidative aromatization cascade reaction of 2-hydroxy-1,4-diones, using trifluoroacetic acid as a catalyst and N-bromosuccinimide as oxidant. Such 2-hydroxy-1,4-diones also showed as a supplement of the Paal–Knorr furan synthesis. A preliminary study was undertaken, as well, to support the proposed mechanism, during which a novel 1,6-conjugate addition reaction was revealed (Scheme 63).
Scheme 63.
Synthesis of benzofurans via cyclization/oxidative aromatization cascade reaction of 2-hydroxy-1,4-diones.
Recently, the coupe Lewis acid/NBS as catalyst and oxidant, respectively, was proposed as partners of reaction for the facile way to construct a six-and-five two-aromatic-ring fused heterocycle, namely benzofuran. Starting from easily available chemicals, acrolein dimer and 1,3-dicarbonyl compounds, 2,3-disubstituted benzofurans were synthesized in good yield (Scheme 64). The method succeded to synthesize two commercial drug molecules, benzbromarone and amiodarone [196].
Scheme 64.
Synthesis of benzofurans via Knoevenagel condensation with acrolein dimer and acetoacetates.
At last, a very interesting methodology was proposed by Zhu and co-worker in 2020. This is an unprecedented decostructive reorganization strategy for the preparation of hydroxylated benzofurans from either kojic acid or maltol-derived alkynes [197] (Scheme 65). With the aim to develop new dearomatic cascade rearrangement of pyrones, the authors reported a study in which both the benzene and furan rings were simultaneously estabilished via an arene cycloisomerization tandem reaction. A range of substitution patterns was achieved, and a large number of hydroxylated benzofurans were prepared in one-step, with 100% atom economy, enabling a collective total synthesis of different kinds of natural products.
Scheme 65.
Synthesis of benzofurans via [In]-catalyzed decostructive reorganization strategy.
5. Conclusions
This review has described recent progress in transition-metal-catalyzed and metal-free couplings for the synthesis of polysubstituted benzo[b]furans. Due to their high efficiency, economy and versatility, transition-metal-catalyzed one-pot processes, especially those involving multiple C–C/C–O bond-forming cascades in an inter-molecular approach, are powerful methods and thus have been extensively investigated. However, the development of more sustainable catalytic systems and more practical synthetic methods, starting from simple and readily available feedstocks, is still highly desirable. Due to the large amount of publications on this topic, a selection of the most relevant had to be done. Hopefully, this review could be a reference of new synthetic strategies which have never appeared in previous reviews.
Author Contributions
All authors contributed to the writing of this paper. All authors have read and agreed to the published version of the manuscript.
Funding
This research was funded by the Department of Science of University of Basilicata, Potenza, Italy.
Conflicts of Interest
The authors declare no conflict of interest.
References
- Radadiya, A.; Shah, A. Bioactive benzofuran derivatives: An insight on lead developments, radioligands and advances of the last decade. Eur. J. Med. Chem. 2015, 97, 356–376. [Google Scholar] [CrossRef]
- Shamsuzzaman, H.K. Bioactive Benzofuran derivatives: A review. Eur. J. Med. Chem. 2015, 97, 483–504. [Google Scholar] [CrossRef]
- Nevagi, R.J.; Dighe, S.N.; Dighe, S.N. Biological and medicinal significance of benzofuran. Eur. J. Med. Chem. 2015, 97, 561–581. [Google Scholar] [CrossRef] [PubMed]
- Laurita, T.; D’Orsi, R.; Chiummiento, L.; Funicello, M.; Lupattelli, P. Recent Advances in Synthetic Strategies to 2,3-Dihydrobenzofurans. Synthesis 2020, 52, 1452–1477. [Google Scholar] [CrossRef]
- Li, Y.T.; Yao, C.S.; Bai, J.Y.; Lin, M.; Cheng, G.F. Anti-inflammatory effect of amurensin H on asthma-like reaction induced by allergen in sensitized mice. Acta Pharmacol. Sin. 2006, 27, 735–740. [Google Scholar] [CrossRef] [PubMed]
- Brkljača, R.; White, J.M.; Urban, S. Phytochemical Investigation of the Constituents Derived from the Australian Plant Macropidia fuliginosa. J. Nat. Prod. 2015, 78, 1600–1608. [Google Scholar] [CrossRef]
- Vo, D.D.; Elofsson, M. Total Synthesis of Viniferifuran, Resveratrol-Piceatannol Hybrid, Anigopreissin A and Analogues–Investigation of Demethylation Strategies. Adv. Synth. Catal. 2016, 358, 4085–4092. [Google Scholar] [CrossRef]
- Chiummiento, L.; Funicello, M.; Lopardo, M.T.; Lupattelli, P.; Choppin, S.; Colobert, F. Concise total synthesis of permethylated anigopreissin A, a novel benzofuryl resveratrol dimer. Eur. J. Org. Chem. 2012, 188–192. [Google Scholar] [CrossRef]
- Convertini, P.; Tramutola, F.; Iacobazzi, V.; Lupattelli, P.; Chiummiento, L.; Infantino, V. Permethylated Anigopreissin A inhibits human hepatoma cell proliferation by mitochondria-induced apoptosis. Chem. Biol. Interact. 2015, 237, 1–8. [Google Scholar] [CrossRef]
- Gaisina, I.N.; Gallier, F.; Ougolkov, A.V.; Kim, K.H.; Kurome, T.; Guo, S.; Holzle, D.; Luchini, D.N.; Blond, S.Y.; Billadeau, D.D.; et al. From a natural product lead to the identification of potent and selective benzofuran-3-yl- (indol-3-yl)maleimides as glycogen synthase kinase 3b inhibitors that suppress proliferation and survival of pancreatic cancer cells. J. Med. Chem. 2009, 52, 1853–1863. [Google Scholar] [CrossRef]
- Naik, R.; Harmalkar, D.S.; Xu, X.Z.; Jang, K.; Lee, K. Bioactive benzofuran derivatives: Moracins A-Z in medicinal chemistry. Eur. J. Med. Chem. 2015, 90, 379–393. [Google Scholar] [CrossRef] [PubMed]
- Zhong, M.; Peng, E.; Huang, N.; Huang, Q.; Quq, A.; Lau, M.; Colonno, R.; Li, L. Discovery of novel potent HCV NS5B polymerase non-nucleoside inhibitors bearing a fused benzofuran scaffold. Bioorg. Med. Chem. Lett. 2018, 28, 963–968. [Google Scholar] [CrossRef] [PubMed]
- Galal, S.A.; El-All, A.S.A.; Abdallah, M.M.; El-Diwani, H.I. Synthesis of potent antitumor and antiviral benzofuran derivatives. Bioorg. Med. Chem. Lett. 2009, 19, 2420–2428. [Google Scholar] [CrossRef] [PubMed]
- Hiremathad, A.; Chand, K.; Tolayan, L.; Rajeshwari; Keri, R.S.; Esteves, A.R.; Cardoso, S.M.; Chaves, S.; Santos, M.A. Hydroxypyridinone-benzofuran hybrids with potential protective roles for Alzheimer’s disease therapy. J. Inorg. Biochem. 2018, 179, 82–96. [Google Scholar] [CrossRef]
- Deepti, G.; Amandeep, K.; Bhupesh, G. Benzofuran and indole: Promising Scaffolds for drug development in Alzheimer’s disease. Chem. Med. Chem. 2018, 13, 1275–1299. [Google Scholar] [CrossRef]
- Marion, T.; Sylviane, T.; Philippe, G.; Joelle, D. Synthesis of polysubstituted benzofuran derivatives as novel inhibitors of parasitic growth. Bioorg. Med. Chem. 2013, 21, 4885–4892. [Google Scholar] [CrossRef]
- Sangeeta, B.; Deepti, R. Synthetic routes and biological activities of benzofuran and its derivatives: A review. Lett. Org. Chem. 2017, 14, 381–402. [Google Scholar] [CrossRef]
- Hiremathad, A.; Patil, M.R.; Chand, K.; Santos, M.A.; Keri, R.S. Benzofuran: An emerging scaffold for antimicrobial agents. RSC Adv. 2015, 5, 96809–96828. [Google Scholar] [CrossRef]
- Simonetti, S.O.; Larghi, E.L.; Bracca, A.B.J.; Kaufman, T.S. Angular tricyclic benzofurans and related natural products of fungal origin. Isolation, biological activity and synthesis. Nat. Prod. Rep. 2013, 30, 941–969. [Google Scholar] [CrossRef]
- Shimazu, S.; Takahata, K.; Katsuki, H.; Tsunekawa, H.; Tanigawa, A.; Yoneda, F.; Knoll, J.; Akaike, A. (−)-1-(Benzofuran-2-yl)-2-propylaminopentane enhances locomotor activity in rats due to its ability to induce dopamine release. Eur. J. Pharmacol. 2001, 421, 181–189. [Google Scholar] [CrossRef]
- Lavranos, T.C.; Leske, A.F.; Inglis, D.J.; Brown, C.K.; Bibby, D.C.; Kremmidiotis, G. Abstract 2774: Anti-cancer activity of the tumor-selective, hypoxia-inducing, agent BNC105 in platinum resistant ovarian cancer. Cancer Res. 2012, 72, 2774. [Google Scholar] [CrossRef]
- Joule, J.A.; Mills, K. Heterocyclic Chemistry, 5th ed.; Wiley-Blackwell: New York, NY, USA, 2010; pp. 437–443. [Google Scholar]
- De Luca, L.; Nieddu, G.; Porcheddu, A.; Giacomelli, G. Some Recent Approaches to the Synthesis of 2-Substituted Benzofurans. Curr. Med. Chem. 2009, 16, 1–20. [Google Scholar] [CrossRef] [PubMed]
- Abu-Hashem, A.A.; Hussein, H.A.R.; Aly, A.S.; Gouda, M.A. Synthesis of benzofuran derivatives via different methods. Synth. Commun. 2014, 44, 2285–2312. [Google Scholar] [CrossRef]
- Heravi, M.M.; Zadsirjan, V. The recent advances in the synthesis of benzo[b]furans. Adv. Heterocycl. Chem. 2015, 117, 261–376. [Google Scholar] [CrossRef]
- Heravi, M.M.; Zadsirjan, V.; Dehghani, M. Reactivity of Benzo[b]furans: A Full Perspective. Curr. Org. Chem. 2016, 20, 1069–1134. [Google Scholar] [CrossRef]
- Heravi, M.M.; Zadsirjan, V. Recent Advances in the Synthesis of Biologically Active Compounds Containing Benzo[b]Furans as a Framework. Curr. Org. Synth. 2016, 13, 780–833. [Google Scholar] [CrossRef]
- Heravi, M.M.; Zadsirjan, V.; Hamidi, H.; Hajiabbas, P.; Amiri, T. Total synthesis of natural products containing benzofuran rings. RSC Adv. 2017, 7, 24470–24521. [Google Scholar] [CrossRef]
- More, K.R. Review on Synthetic Routes for Synthesis of Benzofuran-Based Compounds. J. Chem. Pharm. Res. 2017, 9, 210–220. [Google Scholar]
- Miao, Y.-h.; Hu, Y.-h.; Yang, J.; Liu, T.; Sun, J.; Wang, X.-j. Natural source, bioactivity and synthesis of benzofuran derivatives. RSC Adv. 2019, 9, 27510–27540. [Google Scholar] [CrossRef]
- Katritzky, A.R.; Ji, Y.; Fang, Y.; Prakash, I. Novel Syntheses of 2,3-Disubstituted Benzofurans. J. Org. Chem. 2001, 66, 5613–5615. [Google Scholar] [CrossRef]
- Carrër, A.; Florent, J.-C.; Auvrouin, E.; Rousselle, P.; Bertounesque, E. Synthesis of 3-Aryl-2-arylamidobenzofurans Based on the Curtius Rearrangement. J. Org. Chem. 2011, 76, 2502–2520. [Google Scholar] [CrossRef] [PubMed]
- Alonso, F.; Beletskaya, I.P.; Yus, M. Transition-Metal-Catalyzed Addition of Heteroatom−Hydrogen Bonds to Alkynes. Chem. Rev. 2004, 104, 3079–3160. [Google Scholar] [CrossRef] [PubMed]
- Zeni, G.; Larock, R.C. Synthesis of Heterocycles via Palladium-Catalyzed Oxidative Addition. Chem. Rev. 2006, 106, 4644–4680. [Google Scholar] [CrossRef] [PubMed]
- Cacchi, S.; Fabrizi, G.; Goggiamani, A. The palladium-catalyzed assembly and functionalization of benzo [b] furans. Curr. Org. Chem. 2006, 10, 1423–1455. [Google Scholar] [CrossRef]
- Cacchi, S.; Fabrizi, G.; Goggiamani, A. Copper catalysis in the construction of indole and benzo[b]furan rings. Org. Biomol. Chem. 2011, 9, 641–652. [Google Scholar] [CrossRef]
- Sadig, J.E.R.; Willis, M.C. Palladium- and Copper-Catalyzed Aryl Halide Amination, Etherification and Thioetherification Reactions in the Synthesis of Aromatic Heterocycles. Synthesis 2011, 1–22. [Google Scholar] [CrossRef]
- Agasti, S.; Dey, A.; Maiti, D. Palladium-catalyzed benzofuran and indole synthesis by multiple C–H functionalizations. Chem. Commun. 2017, 53, 6544–6566. [Google Scholar] [CrossRef]
- Li, Y.; Cheng, L.; Liu, X.; Li, B.; Sun, N. Copper-promoted hydration and annulation of 2-fluorophenylacetylene derivatives: From alkynes to benzo[b]furans and benzo[b]thiophenes. Beilstein J. Org. Chem. 2014, 10, 2886–2891. [Google Scholar] [CrossRef]
- Lavery, C.B.; Rotta-Loria, N.L.; McDonald, R.; Stradiotto, M. Pd2dba3/Bippyphos: A Robust Catalyst System for the Hydroxylation of Aryl Halides with Broad Substrate Scope. Adv. Synth. Catal. 2013, 355, 981–987. [Google Scholar] [CrossRef]
- Faragó, J.; Kotschy, A. Synthesis of Benzo[b]furans by Palladium–NHC Catalyzed Ring Closure of o-Bromobenzyl Ketones. Synthesis 2009, 85–90. [Google Scholar] [CrossRef]
- Bonnamour, J.; Piedrafita, M.; Bolm, C. Iron and cupper salts in the synthesis of benzo[b]furan. Adv. Synth. Catal. 2010, 352, 1577–1581. [Google Scholar] [CrossRef]
- Henry, M.C.; Sutherland, A. Synthesis of Benzo[b]furans by Intramolecular C−O Bond Formation Using Iron and Copper Catalysis. Org. Lett. 2020, 22, 2766–2770. [Google Scholar] [CrossRef] [PubMed]
- Liang, Z.; Hou, W.; Du, Y.; Zhang, Y.; Pan, Y.; Mao, D.; Zhao, K. Oxidative Aromatic C–O Bond Formation: Synthesis of 3-Functionalized Benzo[b]furans by FeCl3-Mediated Ring Closure of -Aryl Ketones. Org. Lett. 2009, 11, 4978–4981. [Google Scholar] [CrossRef]
- Lyons, T.W.; Sanford, M.S. Palladium-Catalyzed Ligand-Directed C-H Functionalization Reactions. Chem. Rev. 2010, 110, 1147–1169. [Google Scholar] [CrossRef] [PubMed]
- Li, B.-J.; Shi, Z.-J. From C(sp2)–H to C(sp3)–H: Systematic studies on transition metal-catalyzed oxidative C–C formation. Chem. Soc. Rev. 2012, 41, 5588–5598. [Google Scholar] [CrossRef] [PubMed]
- Guo, L.; Zhang, F.; Hu, W.; Li, L.; Jia, Y. Palladium-catalyzed synthesis of benzofurans via C–H activation/oxidation tandem reaction and its application to the synthesis of decursivine and serotobenine. Chem. Commun. 2014, 50, 3299–3302. [Google Scholar] [CrossRef] [PubMed]
- Yang, D.; Zhu, Y.; Yang, N.; Jiang, Q.; Liua, R. One-Step Synthesis of Substituted Benzofurans from ortho-Alkenylphenols via Palladium-Catalyzed C-H functionalization. Adv. Synth. Catal. 2016, 358, 1731–1735. [Google Scholar] [CrossRef]
- Singh, F.V.; Mangaonkar, S.R. Hypervalent iodine(III)-Catalyzed Synthesis of 2-Arylbenzofurans. Synthesis 2018, 50, 4940–4948. [Google Scholar] [CrossRef]
- Huang, W.; Hung-Chang Liu, J.; Alayoglu, P.; Li, Y.; Witham, C.A.; Tsung, C.-K.; Toste, F.D.; Somorjai, G.A. Highly active heterogeneous palladium nanoparticle catalysts for homogeneous electrophilic reactions in solution and the utilization of a continuous flow reactor. J. Am.Chem. Soc. 2010, 132, 16771–16773. [Google Scholar] [CrossRef]
- Maranon, L.A.; Martínez, M.M.; Sarandeses, L.A.; Gomez-Bengoa, E.; Sestel, J.P. Indium(III)-Catalyzed Synthesis of Benzo[b]furans by Intramolecular Hydroalkoxylation of ortho-Alkynylphenols: Scope and Mechanistic Insights. J. Org. Chem. 2018, 83, 7970–7980. [Google Scholar] [CrossRef]
- Rong, Z.; Gao, K.; Zhou, L.; Lin, J.; Qian, G. Facile synthesis of 2-substituted benzo[b]furans and indoles by copper-catalyzed intramolecular cyclization of 2-alkynyl phenols and tosylanilines. RSC Adv. 2019, 9, 17975–17978. [Google Scholar] [CrossRef]
- Boyer, A.; Isono, N.; Lackner, S.; Lautens, M. Domino rhodium(I)-catalysed reactions for the efficient synthesis of substituted benzofurans and indoles. Tetrahedron 2010, 66, 6468–6482. [Google Scholar] [CrossRef]
- Sarbajna, A.; Pandey, P.; Rahaman, S.M.W.; Singh, K.; Tyagi, A.; Dixneuf, P.H.; Bera, J.K. A Triflamide-Tethered N-Heterocyclic Carbene–Rhodium(I)Catalyst for Hydroalkoxylation Reactions: Ligand-Promoted Nucleophilic Activation of Alcohols. ChemCatChem 2017, 9, 1397–1401. [Google Scholar] [CrossRef]
- Rubio-Marqus, P.; Rivero-Crespo, M.A.; Leyva-Pérez, A.; Corma, A. Well-Defined Noble Metal Single Sites in Zeolites as an Alternative to Catalysis by Insoluble Metal Salts. J. Am. Chem. Soc. 2015, 137, 11832–11837. [Google Scholar] [CrossRef] [PubMed]
- Morozov, O.S.; Lunchev, A.V.; Bush, A.A.; Tukov, A.A.; Asachenko, A.F.; Khrustalev, V.N.; Zalesskiy, S.S.; Ananikov, V.P.; Nechaev, M.S. Expanded-Ring N-Heterocyclic Carbenes Efficiently Stabilized Gold(I) Cations, Leading to High Activity in p-Acid-Catalyzed Cyclizations. Chem. Eur. J. 2014, 20, 6162–6170. [Google Scholar] [CrossRef]
- Jacubert, M.; Hamze, A.; Provot, O.; Peyrat, J.-F.; Brion, J.-D.; Alami, M. p-Toluenesulfonic acid-mediated cyclization of o-(1-alkynyl)anisoles or thioanisoles: Synthesis of 2-arylsubstituted benzofurans and benzothiophenes. Tetrahedron Lett. 2009, 50, 3588–3592. [Google Scholar] [CrossRef]
- Sun, S.-X.; Wang, J.-J.; Xu, Z.-J.; Cao, L.-Y.; Shi, Z.-F.; Zhang, H.-L. Highly efficient heterogeneous synthesis of benzofurans under aqueous condition. Tetrahedron 2014, 70, 3798–3806. [Google Scholar] [CrossRef]
- Zhou, H.; Niu, J.-J.; Xu, J.-W.; Hu, S.-J. Novel Route to 2-Trifluoromethylated Benzofurans. Synth. Commun. 2009, 39, 716–732. [Google Scholar] [CrossRef]
- Hirner, J.J.; Faizi, D.J.; Blum, S.A. Alkoxyboration: Ring-Closing Addition of B−O σ Bonds across Alkynes. J. Am. Chem. Soc. 2014, 136, 4740–4745. [Google Scholar] [CrossRef]
- Issaian, A.; Tu, K.N.; Blum, S.A. Boron–Heteroatom Addition Reactions via Borylative Heterocyclization: Oxyboration, Aminoboration, and Thioboration. Acc. Chem. Res. 2017, 50, 2598–2609. [Google Scholar] [CrossRef]
- Alcaide, B.; Almendros, P.; Busto, E.; Lázaro-Milla, C. Photoinduced Gold-Catalyzed Domino C(sp) Arylation/Oxyarylation of TMS-Terminated Alkynols with Arenediazonium Salts. J. Org. Chem. 2017, 82, 2177–2186. [Google Scholar] [CrossRef] [PubMed]
- Rong, M.-G.; Qin, T.-Z.; Zi, W. Rhenium-Catalyzed Intramolecular Carboalkoxylation and Carboamination of Alkynes for the Synthesis of C3-Substituted Benzofurans and Indoles. Org. Lett. 2019, 21, 5421–5425. [Google Scholar] [CrossRef] [PubMed]
- Furstner, A.; Davies, P.W. Heterocycles by PtCl2-Catalyzed Intramolecular Carboalkoxylation or Carboamination of Alkynes. J. Am. Chem. Soc. 2005, 127, 15024–15025. [Google Scholar] [CrossRef] [PubMed]
- Allegretti, P.A.; Huynh, K.; Ozumerzifon, T.J.; Ferreira, E.M. Lewis Acid Mediated Vinylogous Additions of Enol Nucleophiles into an α,β-Unsaturated Platinum Carbene. Org. Lett. 2016, 18, 64–67. [Google Scholar] [CrossRef]
- Newman, S.G.; Aureggi, V.; Bryan, C.S.; Lautens, M. Intramolecular cross-coupling of gem-dibromoolefins: A mild approach to 2-bromo benzofused heterocycles. Chem. Commun. 2009, 5236–5238. [Google Scholar] [CrossRef]
- Kim, C.G.; Jun, J.G. An Efficient Total Synthesis of Mulberrofuran B and L. Bull. Korean Chem. Soc. 2015, 36, 2278–2283. [Google Scholar] [CrossRef]
- Damodar, K.; Kim, J.K.; Jun, J.G. Unified syntheses of gramniphenols F and G, cicerfuran, morunigrol C and its derivative. Tetrahedron Lett. 2016, 57, 1183–1186. [Google Scholar] [CrossRef]
- Rao, M.L.N.; Murty, V.N. Rapid Access to Benzofuran-Based Natural Products through a Concise Synthetic Strategy. Eur. J. Org. Chem. 2016, 2177–2186. [Google Scholar] [CrossRef]
- Rao, M.N.; Murty, V.N.; Nanda, S. Functional group manoeuvring for tuning stability and reactivity: Synthesis of cicerfuran, moracins (D, E, M) and chromene-fused benzofuran-based natural products. Org. Biomol. Chem. 2017, 15, 9415–9423. [Google Scholar] [CrossRef]
- Liu, X.; Astruc, D. Development of the Applications of Palladium on Charcoal in Organic Synthesis. Adv. Synth. Catal. 2018, 360, 3426–3459. [Google Scholar] [CrossRef]
- Savvidou, A.; Tzaras, D.I.; Koutoulogenis, G.S.; Theodorou, A.; Kokotos, C.G. Synthesis of Benzofuran and Indole Derivatives Catalyzed by Palladium on Carbon. Eur. J. Org. Chem. 2019, 3890–3897. [Google Scholar] [CrossRef]
- Lin, D.; Wang, L.; Yan, Z.Z.; Ye, J.; Hu, A.X.; Liao, H.D.; Liu, J.; Peng, J.M. Semi-synthesis, structural modification and biological evaluation of 5-arylbenzofuran neolignans. RSC Adv. 2018, 8, 34331–34342. [Google Scholar] [CrossRef]
- Rehan, M.; Nallagonda, R.; Das, B.G.; Meena, T.; Ghorai, P. Synthesis of Functionalized Benzo[b]furans via Oxidative Cyclization of o-Cinnamyl Phenols. J. Org. Chem. 2017, 82, 3411–3424. [Google Scholar] [CrossRef] [PubMed]
- Li, Y.; Qiu, D.; Gu, R.; Wang, J.; Shi, J.; Li, Y. Aryne 1,2,3-Trifunctionalization with Aryl Allyl Sulfoxides. J. Am. Chem. Soc. 2016, 138, 10814–10817. [Google Scholar] [CrossRef]
- Sancheti, S.P.; Akram, M.O.; Roy, R.; Bedi, V.; Kundu, S.; Patil, N.T. ortho-Oxygenative 1,2-Difunctionalization of Diarylalkynes under Merged Gold/Organophotoredox Relay Catalysis. Chem. Asian J. 2019, 14, 4601–4606. [Google Scholar] [CrossRef]
- Ruan, L.; Shi, M.; Mao, S.; Yu, L.; Yang, F.; Tang, J. An efficient approach to construct 2-arylbenzo[b]furans from 2-methoxychalcone epoxides. Tetrahedron 2014, 70, 1065–1070. [Google Scholar] [CrossRef]
- Wang, X.; Liu, M.; Xu, L.; Wang, Q.; Chen, J.; Ding, J.; Wu, H. Palladium-Catalyzed Addition of Potassium Aryltrifluoroborates to Aliphatic Nitriles: Synthesis of Alkyl Aryl Ketones, Diketone Compounds, and 2-Arylbenzo[b]furans. J. Org. Chem. 2013, 78, 5273–5281. [Google Scholar] [CrossRef]
- Wang, X.; Wang, X.; Liu, M.; Ding, J.; Chen, J.; Wu, H. Palladium-Catalyzed Reaction of Arylboronic Acids with Aliphatic Nitriles: Synthesis of Alkyl Aryl Ketones and 2-Arylbenzofurans. Synthesis 2013, 45, 2241–2244. [Google Scholar] [CrossRef]
- Chen, J.; Li, J.; Su, W. Palladium-catalyzed tandem reaction of 2-hydroxyarylacetonitriles with sodium sulfinates: One-pot synthesis of 2-arylbenzofurans. Org. Biomol. Chem. 2014, 12, 4078–4083. [Google Scholar] [CrossRef]
- Skillinghaug, B.; Skold, C.; Rydfjord, J.; Svensson, F.; Behrends, M.; Savmarker, J.; Sjoberg, P.J.; Larhed, M. Palladium(II)-Catalyzed Desulfitative Synthesis of Aryl Ketones from Sodium Arylsulfinates and Nitriles: Scope, Limitations, and Mechanistic Studies. J. Org. Chem. 2014, 79, 12018–12032. [Google Scholar] [CrossRef]
- Du, J.-Y.; Ma, Y.-H.; Yuan, R.-Q.; Xin, N.; Nie, S.-Z.; Ma, C.-L.; Li, C.-Z.; Zhao, C.-Q. Metal-Free One-Pot Synthesis of 3-Phosphinoylbenzofurans via Phospha-Michael Addition/Cyclization of H-Phosphine Oxides and in Situ Generated ortho-Quinone Methides. Org. Lett. 2018, 20, 477–480. [Google Scholar] [CrossRef] [PubMed]
- Reddy, C.R.; Krishna, G.; Kavitha, N.; Latha, B.; Shin, D.-S. Access to 2,3-Disubstituted Benzofurans through One-Pot Acid-Catalyzed Nucleophilic Substitution/TBAF-Mediated Oxacycloisomerization. Eur. J. Org. Chem. 2012, 5381–5388. [Google Scholar] [CrossRef]
- Mancuso, R.; Gabriele, B. The sequential homobimetallic catalysis concept applied to the synthesis of benzofuran. Chem. Heterocycl. Compd. 2014, 50, 160–170. [Google Scholar] [CrossRef]
- Rajesh, M.; Thirupathi, N.; Reddy, T.J.; Kanojiya, S.; Reddy, M.S. Pd-Catalyzed Isocyanide Assisted Reductive Cyclization of 1-(2-Hydroxyphenyl)-propargyl Alcohols for 2-Alkyl/Benzyl Benzofurans and Their Useful Oxidative Derivatization. J. Org. Chem. 2015, 80, 12311–12320. [Google Scholar] [CrossRef]
- Chen, D.Y.-K.; Kang, Q.; Wu, T.R. Modular Synthesis of Polyphenolic Benzofurans, and Application in the Total Synthesis of Malibatol A and Shoreaphenol. Molecules 2010, 15, 5909–5927. [Google Scholar] [CrossRef]
- Kraus, G.A.; Gupta, V. A new synthetic strategy for the synthesis of bioactive stilbene dimers. A direct synthesis of amurensin H. Tetrahedron Lett. 2009, 50, 7180–7183. [Google Scholar] [CrossRef]
- Liu, W.; Chen, N.; Yang, X.; Li, L.; Li, C.-J. Dehydrative condensation of carbonyls with non-acidic ethylenes enabled by light: Synthesis of benzofurans. Chem. Commun. 2016, 52, 13120–13123. [Google Scholar] [CrossRef]
- Kanazawa, C.; Goto, K.; Terada, M. Phosphazene base-catalyzed intramolecular cyclization for efficient synthesis of benzofurans via carbon–carbon bond formation. Chem. Commun. 2009, 5248–5250. [Google Scholar] [CrossRef]
- Wang, L.; Zhang, Y.; Zhang, M.; Bao, P.; Lv, X.; Liu, H.-G.; Zhao, X.; Li, J.-S.; Luo, Z.; Wei, W. Metal-free I2O5-mediated oxidative synthesis of sulfonylated benzofurans through cyclization reaction of 1,6-enynes and arylsulfonylhydrazides. Tetrahedron. Lett. 2019, 60, 1845–1848. [Google Scholar] [CrossRef]
- Zhang, P.; Wang, C.; Cui, M.; Du, M.; Li, W.; Jia, Z.; Zhao, Q. Synthesis of Difluoroalkylated Benzofuran, Benzothiophene, and Indole Derivatives via Palladium-Catalyzed Cascade Difluoroalkylation and Arylation of 1,6-Enynes. Org. Lett. 2020, 22, 1149–1154. [Google Scholar] [CrossRef]
- Shen, Z.; Dong, V.M. Benzofurans Prepared by C-H Bond Functionalization with Acylsilanes. Angew. Chem. Int. Ed. 2009, 48, 784–786. [Google Scholar] [CrossRef] [PubMed]
- Brook, A.G. Molecular rearrangements of organosilicon compounds. Acc. Chem. Res. 1974, 7, 77–84. [Google Scholar] [CrossRef]
- Davies, H.M.L.; Alford, J.S. Reactions of metallocarbenes derived from N-sulfonyl-1, 2, 3-triazoles. Chem. Soc. Rev. 2014, 41, 5151–5162. [Google Scholar] [CrossRef] [PubMed]
- Li, L.; Xia, X.-H.; Wang, Y.; Bora, P.P.; Kang, Q. Synthesis of Benzofurans via Tandem Rhodium-Catalyzed C(sp3)-H Insertion and Copper-Catalyzed Dehydrogenation. Adv. Synth. Catal. 2015, 357, 2089–2097. [Google Scholar] [CrossRef]
- Ma, X.; Wu, F.; Yi, X.; Wang, H.; Chen, W. One-pot synthesis of 2,3-disubstituted dihydrobenzofurans and benzofurans via rhodium-catalyzed intramolecular C–H insertion reaction. Chem. Commun. 2015, 51, 6862–6865. [Google Scholar] [CrossRef]
- Kim, K.; Kim, I. Total Synthesis of Diptoindonesin G via a Highly Efficient Domino Cyclodehydration/Intramolecular Friedel-Crafts Acylation/Regioselective Demethylation Sequence. Org. Lett. 2010, 12, 5314–5317. [Google Scholar] [CrossRef]
- Lee, J.H.; Kim, M.; Kim, I. Palladium-Catalyzed α-Arylation of Aryloxyketones for the Synthesis of 2,3-Disubstituted Benzofurans. J. Org. Chem. 2014, 79, 6153–6163. [Google Scholar] [CrossRef]
- Kim, I.; Choi, J. versatile approach to oligostilbenoid natural products synthesis of permethylated analogues of viniferifuran, malibatol A, and shoreaphenol. Org. Biomol. Chem. 2009, 7, 2788–2795. [Google Scholar] [CrossRef]
- Wang, H.-S.; Chan, C.-K.; Chang, M.-Y. Ga(OTf)3-mediated synthesis of substituted benzofurans. Tetrahedron 2016, 72, 5132–5141. [Google Scholar] [CrossRef]
- Umareddy, P.; Arava, V.R. Facile synthesis of 3-aryl benzofurans, 3-aryl benzothiophenes, 2-aryl indoles and their dimers. Synth. Commun. 2019, 49, 2156–2167. [Google Scholar] [CrossRef]
- Zhang, Q.; Luo, J.; Wang, B.; Xiao, X.; Gan, Z.; Tang, Q. Titanium tetrachloride promoted cyclodehydration of aryloxyketones: Facile synthesis of benzofurans and naphthofurans with high regioselectivity. Tetrahedron Lett. 2019, 60, 1337–1340. [Google Scholar] [CrossRef]
- Shibata, T.; Hashimoto, Y.-K.; Otsuka, M.; Tsuchikama, K.; Endo, K. Ir(III)-Catalyzed Room-Temperature Synthesis of Multisubstituted Benzofurans Initiated by C–H Activation of α-Aryloxy Ketones. Synlett 2011, 14, 2075–2079. [Google Scholar] [CrossRef]
- Qin, Y.; Zhan, J.-L.; Shan, T.-t.; Xu, T. Total synthesis of penta-Me amurensin H and diptoindonesin G featuring a Rh-catalyzed carboacylation/aromatization cascade enabled by C-C activation. Tetrahedron Lett. 2019, 60, 925–927. [Google Scholar] [CrossRef]
- Chen, Y.-Y.; Chen, K.-L.; Tyan, Y.-C.; Liang, C.-F.; Lin, P.-C. Synthesis of substituted 3-methylene-2,3-dihydrobenzofurans and 3-methylbenzofurans by rhodium (II)-catalyzed annulation. Tetrahedron 2015, 71, 6210–6218. [Google Scholar] [CrossRef]
- Tang, X.-Y.; Zhang, Y.-S.; He, L.; Wei, Y.; Shi, M. Intramolecular Annulation of Aromatic Rings with N-Sulfonyl 1,2,3-Triazoles: Divergent Synthesis of 3-Methylene-2,3-Dihydrobenzofurans and 3-Methylene-2,3-Dihydroindoles. Chem. Commun. 2015, 51, 133–136. [Google Scholar] [CrossRef] [PubMed]
- Geary, L.M.; Hultin, P.G. Modular Construction of 2-Substituted Benzo[b]furans from 1,2-Dichlorovinyl Ethers. Org. Lett. 2009, 11, 5478–5481. [Google Scholar] [CrossRef]
- Geary, L.M.; Hultin, P.G. 2-Substituted Benzo[b]furans from (E)-1,2-Dichlorovinyl Ethers and Organoboron Reagents: Scope and Mechanistic Investigations into the One-Pot Suzuki Coupling/Direct Arylation. Eur. J. Org. Chem. 2010, 5563–5573. [Google Scholar] [CrossRef]
- Li, C.; Zhang, Y.; Li, P.; Wang, L. Palladium-Catalyzed Oxidative Cyclization of 3-Phenoxyacrylates: An Approach To Construct Substituted Benzofurans from Phenols. J. Org. Chem. 2011, 76, 4692–4696. [Google Scholar] [CrossRef]
- Deng, G.; Li, M.; Yu, K.; Liu, C.; Liu, Z.; Duan, S.; Chen, W.; Yang, X.; Zhang, H.; Walsh, P.J. Synthesis of Benzofuran Derivatives through Cascade Radical Cyclization/Intermolecular Coupling of 2-Azaallyls. Angew. Chem. Int. Ed. 2019, 58, 2826–2830. [Google Scholar] [CrossRef]
- Quan, Y.; Xie, Z. Iridium Catalyzed Regioselective Cage Boron Alkenylation of o-Carboranes via Direct Cage B–H Activation. J. Am. Chem. Soc. 2014, 136, 15513–15516. [Google Scholar] [CrossRef]
- Kumar, N.Y.P.; Bechtoldt, A.; Raghuvanshi, K.; Ackermann, L. Ruthenium(II)-Catalyzed Decarboxylative C−H Activation: Versatile Routes to meta-Alkenylated Arenes. Angew. Chem. Int. Ed. 2016, 55, 6929–6932. [Google Scholar] [CrossRef] [PubMed]
- Zhang, J.; Shrestha, R.; Hartwig, J.F.; Zhao, P. A decarboxylative approach for regioselective hydroarylation of alkynes. Nat. Chem. 2016, 8, 1144–1151. [Google Scholar] [CrossRef] [PubMed]
- Mandal, A.; Sahoo, H.; Dana, S.; Baidya, M. Ruthenium(II)-Catalyzed Hydroarylation of Maleimides Using Carboxylic Acids as a Traceless Directing Group. Org. Lett. 2017, 19, 4138–4141. [Google Scholar] [CrossRef] [PubMed]
- Kim, K.; Vasu, D.; Im, H.; Hong, S. Palladium(II)-Catalyzed Tandem Synthesis of Acenes Using Carboxylic Acids as Traceless Directing Groups. Angew. Chem. Int. Ed. 2016, 55, 8652–8655. [Google Scholar] [CrossRef] [PubMed]
- Yu, S.; Lv, N.; Liu, Z.; Zhang, Y. Cu(II)-Mediated C-C/C-O Bond Formation via C-H/C-C Bond Cleavage: Access to Benzofurans Using Amide as a Traceless Directing Group. Adv. Synth. Catal. 2020, 362, 118–125. [Google Scholar] [CrossRef]
- Kalvacherla, B.; Batthula, S.; Balasubramanian, S.; Palakodety, R.K. Transition-Metal-Free Cyclization of Propargylic Alcohols with Aryne: Synthesis of 3-Benzofuranyl-2-oxindole and 3-Spirooxindole Benzofuran Derivatives. Org. Lett. 2018, 20, 3824–3828. [Google Scholar] [CrossRef]
- Yoshioka, E.; Tanaka, H.; Kohtani, S.; Miyabe, H. Straightforward Synthesis of Dihydrobenzofurans and Benzofurans from Arynes. Org. Lett. 2013, 15, 3938–3941. [Google Scholar] [CrossRef]
- Singh, G.; Goswami, P.; Sharma, S.; Anand, R.V. A One-Pot Approach to 2,3-Diarylbenzo[b]furans through N-Heterocyclic Carbene-Catalyzed 1,6-Conjugate Addition Followed by Acid Mediated Dehydrative Annulation. J. Org. Chem. 2018, 83, 10546–10554. [Google Scholar] [CrossRef]
- Liou, Y.-C.; Karanam, P.; Jang, Y.-J.; Lin, W. Synthesis of Functionalized Benzofurans from para-Quinone Methides via Phospha-1,6-Addition/O-Acylation/Wittig Pathway. Org. Lett. 2019, 21, 8008–8012. [Google Scholar] [CrossRef]
- Mattson, A.E.; Scheid, K.A. Nucleophilic Acylation of o-Quinone Methides: An Umpolung Strategy for the Synthesis of α-Aryl Ketones and Benzofurans. J. Am. Chem. Soc. 2007, 129, 4508–4509. [Google Scholar] [CrossRef]
- Rokita, S.E. Quinone Methides; Wiley: Hoboken, NJ, USA, 2009; p. 464. [Google Scholar]
- Osyanin, V.A.; Osipov, D.V.; Demidov, M.R.; Klimochkin, Y.N. Potassium Trinitromethanide as a 1,1-Ambiphilic Synthon Equivalent: Access to 2-Nitroarenofurans. J. Org. Chem. 2014, 79, 1192–1198. [Google Scholar] [CrossRef] [PubMed]
- Schevenels, F.; Marko, I.E. Efficient and Connective Assembly of Highly Functionalized Benzofurans Using o-Hydroxyphenones and Dichloroethylene. Org. Lett. 2012, 14, 1298–1301. [Google Scholar] [CrossRef] [PubMed]
- Syu, S.; Lee, Y.-T.; Jang, Y.-J.; Lin, W. Preparation of Functional Benzofurans, Benzothiophenes, and Indoles Using Ester, Thioester, and Amide via Intramolecular Wittig Reactions. Org. Lett. 2011, 13, 2971–2973. [Google Scholar] [CrossRef] [PubMed]
- Ramazani, A.; Mahyari, A.T.; Rouhani, M.; Rezaei, A. A novel three-component reaction of a secondary amine and a 2-hydroxybenzaldehyde derivative with an isocyanide in the presence of silica gel: An efficient one-pot synthesis of benzo[b]furan derivatives. Tetrahedron Lett. 2009, 50, 5625–5627. [Google Scholar] [CrossRef]
- Sontakke, G.S.; Pal, K.; Volla, C.M.R. Rh(II)-Catalyzed Denitrogenative Transannulation of N-Sulfonyl-1,2,3-triazolyl Cyclohexadienones for the Synthesis of Benzofurans and Cyclopropa[cd]indole-carbaldehydes. J. Org. Chem. 2019, 84, 12198–12208. [Google Scholar] [CrossRef] [PubMed]
- Moure, M.; SanMartin, J.R.; Dominguez, E. Benzofurans from Benzophenones and Dimethylacetamide: Copper-Promoted Cascade Formation of Furan O1-C2 and C2–C3 Bonds Under Oxidative Conditions. Angew. Chem. Int. Ed. 2012, 51, 3220–3224. [Google Scholar] [CrossRef]
- Yang, F.; Rauch, K.; Kettelhoit, K.; Ackermann, L. Aldehyde-Assisted Ruthenium(II)-Catalyzed C-H Oxygenations. Angew. Chem. Int. Ed. 2014, 53, 11285–11288. [Google Scholar] [CrossRef]
- Zhou, L.; Shi, Y.; Xiao, Q.; Liu, Y.; Ye, F.; Zhang, Y.; Wang, J. CuBr-Catalyzed Coupling of N-Tosylhydrazones and Terminal Alkynes: Synthesis of Benzofurans and Indoles. Org. Lett. 2011, 13, 968–971. [Google Scholar] [CrossRef]
- Xiao, Q.; Xia, Y.; Li, H.; Zhang, Y.; Wang, J. Coupling of N-Tosylhydrazones with Terminal Alkynes Catalyzed by Copper(I): Synthesis of Trisubstituted Allenes. Angew. Chem. Int. Ed. 2011, 50, 1114–1117. [Google Scholar] [CrossRef]
- Sivaraman, A.; Harmalkar, D.S.; Kang, J.; Choi, Y.; Lee, K. A protecting group-free divergent synthesis of natural benzofurans via one-pot synthesis of 2-bromo-6-hydroxybenzofurans. Org. Biomol. Chem. 2019, 17, 2153–2161. [Google Scholar] [CrossRef]
- Makarov, A.S.; Kekhvaeva, A.E.; Chalikidi, P.N.; Abaev, V.T.; Trushkov, I.V.; Uchuskin, M.G. A Simple Synthesis of Densely Substituted Benzofurans by Domino Reaction of 2-Hydroxybenzyl Alcohols with 2-Substituted Furans. Synthesis 2019, 51, 3747–3757. [Google Scholar] [CrossRef]
- Kim, H.J.; Seo, J.W.; Lee, M.H.; Shin, D.S.; Kim, H.B.; Cho, H.; Lee, B.S.; Chi, D.Y. New synthetic method for benzofurans from 2-(cyanomethyl)phenyl derivatives. Tetrahedron 2012, 68, 3942–3947. [Google Scholar] [CrossRef]
- Murai, M.; Okamoto, K.; Miki, K.; Ohe, K. Palladium-catalyzed three-component coupling reactions of 2-(cyanomethyl)phenol, aryl halides, and carbon monoxide. Tetrahedron 2015, 71, 4432–4437. [Google Scholar] [CrossRef]
- Shea, K.M. Palladium in Heterocyclic Chemistry, 2nd ed.; Elsevier: Amsterdam, The Netherlands, 2007; p. 303. [Google Scholar]
- Heravi, M.M.; Sadjadi, S. Recent advances in the application of the Sonogashira method in the synthesis of heterocyclic compounds. Tetrahedron 2009, 65, 7761–7775. [Google Scholar] [CrossRef]
- Wang, J.-R.; Manabe, K. Hydroxyterphenylphoshine-Palladium Catalyst for Benzo[b]furan Synthesis from 2-Chlorophenols. Bifunctional Ligand Strategy for Cross-Coupling of Chloroarenes. J. Org. Chem. 2010, 75, 5340–5353. [Google Scholar] [CrossRef]
- Yamaguchi, M.; Ozawa, H.; Katsumata, H.; Akiyama, T.; Manabe, K. One-pot synthesis of 2,3-disubstituted benzofurans from 2-chlorophenols using palladium–dihydroxyterphenylphosphine catalyst. Tetrahedron Lett. 2018, 59, 3175–3178. [Google Scholar] [CrossRef]
- Bosiak, M.J. A Convenient Synthesis of 2-Arylbenzo[b]furans from Aryl Halides and 2-Halophenols by Catalytic One-Pot Cascade Method. ACS Catal. 2016, 6, 2429–2434. [Google Scholar] [CrossRef]
- Tréguier, B.; Rasolofonjatovo, E.; Hamze, A.; Provot, O.; Wdzieczak-Bakala, J.; Dubois, J.; Brion, J.-D.; Alami, M. Synthesis of 2-(1-phenylvinyl)benzofurans and 2-(1-phenylvinyl)indoles as antimitotic agents by a tandem palladium-assisted coupling-cyclization reaction between 1-phenylvinyl iodides and ortho-substituted arylalkynes. Eur. J. Org. Chem. 2011, 4868–4876. [Google Scholar] [CrossRef]
- Byers, P.M.; Rashid, J.I.; Mohamed, R.K.; Alabugin, I.V. Polyaromatic Ribbon/Benzofuran Fusion via Consecutive Endo Cyclizations of Enediynes. Org. Lett. 2012, 14, 6032–6035. [Google Scholar] [CrossRef]
- Song, T.; Yang, Y. Metal Nanoparticles Supported on Biomass-Derived Hierarchical Porous Heteroatom-Doped Carbon from Bamboo Shoots Design, Synthesis and Applications. Chem. Rec. 2019, 19, 1283–1301. [Google Scholar] [CrossRef]
- Ji, G.; Duan, Y.; Zhang, S.; Yang, Y. Synthesis of benzofurans from terminal alkynes and iodophenols catalyzed by recyclable palladium nanoparticles supported on N,O-dual doped hierarchical porous carbon under copper- and ligand-free conditions. Catalysis Today 2019, 330, 101–108. [Google Scholar] [CrossRef]
- Saha, D.; Dey, R.; Ranu, B.C. A Simple and Efficient One-Pot Synthesis of Substituted Benzo[b]furans by Sonogashira Coupling–5-endo-dig Cyclization Catalyzed by Palladium Nanoparticles in Water Under Ligand- and Copper-Free Aerobic Conditions. Eur. J. Org. Chem. 2010, 6067–6071. [Google Scholar] [CrossRef]
- Markina, N.A.; Chen, Y.; Larock, R.C. Efficient microwave-assisted one-pot three-component synthesis of 2,3-disubstituted benzofurans under Sonogashira conditions. Tetrahedron 2013, 69, 2701–2713. [Google Scholar] [CrossRef] [PubMed]
- Vo, D.D.; Elofsson, M. Synthesis of 4-Formyl-2-arylbenzofuran Derivatives by PdCl(C3H5)dppb-Catalyzed Tandem Sonogashira Coupling-Cyclization under Microwave Irradiation- Application to the Synthesis of Viniferifuran Analogues. Chem. Sel. 2017, 2, 6245–6248. [Google Scholar] [CrossRef]
- Chang, C.-W.; Chein, R.-J. Absolute Configuration of Anti-HIV-1 Agent (-)-Concentricolide: Total Synthesis of (+)-(R)-Concentricolide. J. Org. Chem. 2011, 76, 4154–4157. [Google Scholar] [CrossRef] [PubMed]
- Thomas, A.M.; Asha, S.; Menon, R.; Anilkumar, G. One-Pot Synthesis of Benzofurans via Cu–Catalyzed Tandem Sonogashira coupling-Cyclization Reactions. Chemistry Select 2019, 4, 5544–5547. [Google Scholar] [CrossRef]
- Mertens, M.A.S.; Thomas, F.; Noth, M.; Moegling, J.; El-Awaad, I.; Sauer, D.F.; Dhoke, G.V.; Xu, W.; Pich, A.; Herres-Pawlis, S.; et al. One-Pot Two-Step Chemoenzymatic Cascade for the Synthesis of a Bis-benzofuran Derivative. Eur. J. Org. Chem. 2019, 6341–6346. [Google Scholar] [CrossRef]
- Batail, N.; Bendjeriou, A.; Lomberget, T.; Barret, R.; Dufaud, V.; Djakovitch, L. First Heterogeneous Ligand-and Salt-Free Larock Indole Synthesis. Adv. Synth. Catal. 2009, 351, 2055–2062. [Google Scholar] [CrossRef]
- Singh, C.; Prakasham, A.P.; Ghosh, P. Palladium Acyclic Diaminocarbene (ADC) Triflate Complexes as Effective Precatalysts for the Hiyama Alkynylation/Cyclization Reaction Yielding Benzofuran Compounds: Probing the Influence of the Triflate Co-Ligand in the One-Pot Tandem Reaction. Chem. Sel. 2019, 4, 329–336. [Google Scholar] [CrossRef]
- Yuan, H.; Bi, K.-J.; Li, B.; Yue, R.-C.; Ye, J.; Shen, Y.-H.; Shan, L.; Jin, H.-Z.; Sun, Q.-Y.; Zhang, W.-D. Construction of 2-Substituted-3-Functionalized Benzofurans via Intramolecular Heck Coupling: Application to Enantioselective Total Synthesis of Daphnodorin B. Org. Lett. 2013, 4742–4745. [Google Scholar] [CrossRef]
- Vasconcelos, S.N.S.; de Oliveira, I.M.; Shamim, A.; Zukerman-Schpector, J.; Pimenta, D.C.; Stefani, H.A. Stereoselective Oxa-Michael Addition of Tyrosine to Propargyl Aldehyde/Esters: Formation of Benzofurans and Flavones. Adv. Synth. Catal. 2019, 361, 4243–4254. [Google Scholar] [CrossRef]
- Wan, J.-P.; Wang, H.; Liu, Y.; Ding, H. Synthesis of 2-Vinylbenzofurans via the Copper-Catalyzed Multicomponent Reactions Involving an Oxa-Michael/Arylation/Vinylation Cascade. Org. Lett. 2014, 16, 5160–5163. [Google Scholar] [CrossRef] [PubMed]
- Tabolin, A.A.; Ioffe, S.L. Rearrangement of N-Oxyenamines and Related Reactions. Chem. Rev. 2014, 114, 5426–5476. [Google Scholar] [CrossRef] [PubMed]
- Contiero, F.; Jones, K.M.; Matts, E.A.; Porzelle, A.; Tomkinson, N.C.O. Direct Preparation of Benzofurans from O-Arylhydroxylamines. Synlett 2009, 3003–3006. [Google Scholar] [CrossRef]
- Maimone, T.J.; Buchwald, S.L. Pd-Catalyzed O-Arylation of Ethyl Acetohydroximate: Synthesis of O-Arylhydroxylamines and Substituted Benzofurans. J. Am. Chem. Soc. 2010, 132, 9990–9991. [Google Scholar] [CrossRef]
- Ghosh, R.; Stridfeldt, E.; Olofsson, B. Metal-Free One-Pot Synthesis of Benzofurans. Chem. Eur. J. 2014, 20, 8888–8892. [Google Scholar] [CrossRef]
- Li, M.; Wang, J.-H.; Li, W.; Lin, C.-D.; Zhang, L.-B.; Wen, L.-R. N-Phenoxyamides as Multitasking Reagents: Base-Controlled Selective Construction of Benzofurans or Dihydrobenzofuro[2,3-d]oxazoles. J. Org. Chem. 2019, 84, 8523–8530. [Google Scholar] [CrossRef]
- Yan, D.; Jiang, H.; Sun, W.; Wei, W.; Zhao, J.; Zhang, X.; Wu, Y.-D. Synthesis of Benzofurans and Benzoxazoles through a [3,3]- Sigmatropic Rearrangement: O−NHAc as a Multitasking Functional Group. Org. Process Res. Dev. 2019, 23, 1646–1653. [Google Scholar] [CrossRef]
- Alcaide, B.; Almendros, P.; Quirs, M.T.; Lopez, R.; Menndez, M.I.; Sochacka-C’wikła, A. Unveiling the Reactivity of Propargylic Hydroperoxides under Gold Catalysis. J. Am. Chem. Soc. 2013, 135, 898–905. [Google Scholar] [CrossRef]
- Chen, W.; Liu, F.-X.; Gong, W.; Zhou, Z.; Gao, H.; Shi, J.; Wu, B.; Yi, W. Hydroxyl Group-Prompted and Iridium(III)-Catalyzed Regioselective C−H Annulation of N-phenoxyacetamides with Propargyl Alcohols. Adv. Synth. Catal. 2018, 360, 2470–2475. [Google Scholar] [CrossRef]
- Yi, W.; Chen, W.; Liu, F.-X.; Zhong, Y.; Wu, D.; Zhou, Z.; Gao, H. Rh(III)-Catalyzed and Solvent-Controlled Chemoselective Synthesis of Chalcone and Benzofuran Frameworks via Synergistic Dual Directing Groups Enabled Regioselective C−H Functionalization: A Combined Experimental and Computational Study. ACS Catal. 2018, 8, 9508–9519. [Google Scholar] [CrossRef]
- Pan, J.-L.; Liu, C.; Chen, C.; Liu, T.-Q.; Wang, M.; Sun, Z.; Zhang, S.-Y. Dual Directing-Groups-Assisted Redox-Neutral Annulation and Ring Opening of N-Aryloxyacetamides with 1-Alkynylcyclobutanols via Rhodium(III)-Catalyzed C−H/C−C Activations. Org. Lett. 2019, 21, 2823–2827. [Google Scholar] [CrossRef] [PubMed]
- Li, W.-T.; Nan, W.-H.; Luo, Q.-L. Metal-free sequential reaction via a propargylation, annulation and isomerization sequence for the one-pot synthesis of 2,3-disubstituted benzofurans. RSC Adv. 2014, 4, 34774–34779. [Google Scholar] [CrossRef]
- Baire, B.; Tharra, P. Regioselective, Cascade [3 + 2] Annulation of β-Naphthols (Resorcinols) with Z-enoate Propargylic alcohols: A Novel entry into Complex Naphtho(benzo)furans. Chem. Comm. 2016, 52, 14290–14293. [Google Scholar] [CrossRef]
- Zhang, D.; Man, J.; Chen, Y.; Yin, L.; Zhong, J.; Zhang, Q.-F. Synthesis of poly-functionalized benzofurans via one-pot domino oxidation/[3 + 2] cyclization reactions of a hydroquinone ester and ynamides. RSC Adv. 2019, 9, 12567. [Google Scholar] [CrossRef]
- Kuram, M.R.; Bhanuchandra, M.; Sahoo, A.K. Direct Access to Benzo[b]furans through Palladium-Catalyzed Oxidative Annulation of Phenols and Unactivated Internal Alkynes. Angew. Chem. Int. Ed. 2013, 125, 4705–4710. [Google Scholar] [CrossRef]
- Wang, S.; Li, P.; Yu, L.; Wang, L. Sequential and one-pot reactions of phenols with bromoalkynes for the synthesis of (Z)-2-bromovinyl phenylethers and benzo[b]furans. Org. Lett. 2011, 13, 5968–5971. [Google Scholar] [CrossRef]
- Maji, A.; Reddi, Y.; Sunoj, R.B.; Maiti, D. Mechanistic Insights on Orthogonal Selectivity in Heterocycle Synthesis. ACS Catal. 2018, 8, 10111–10118. [Google Scholar] [CrossRef]
- Agasti, S.; Maity, S.; Szabo, K.J.; Maiti, D. Palladium-Catalyzed Synthesis of 2,3-Disubstituted Benzofurans: An Approach Towards the Synthesis of Deuterium Labeled Compounds. Adv. Synth. Catal. 2015, 357, 2331–2338. [Google Scholar] [CrossRef]
- Agasti, S.; Sharma, U.; Naveen, T.; Maiti, D. Orthogonal selectivity with cinnamic acids in3-substituted benzofuran synthesis through C–H olefination of phenols. Chem. Commun. 2015, 51, 5375–5378. [Google Scholar] [CrossRef]
- Yorimitsu, H. Cascades of Interrupted Pummerer Reaction-Sigmatropic Rearrangement. Chem. Rec. 2017, 17, 1156–1167. [Google Scholar] [CrossRef] [PubMed]
- Kobatake, T.; Fujino, D.; Yoshida, S.; Yorimitsu, H.; Oshima, K. Synthesis of 3-Trifluoromethylbenzo[b]furans from Phenols via Direct Ortho Functionalization by Extended Pummerer Reaction. J. Am. Chem. Soc. 2010, 132, 11838–11840. [Google Scholar] [CrossRef] [PubMed]
- Ookubo, Y.; Wakamiya, A.; Yorimitsu, H.; Osuka, A. Synthesis of a Library of Fluorescent 2-Aryl-3-trifluoromethylnaphthofurans from Naphthols by Using a Sequential Pummerer-Annulation/Cross-Coupling Strategy and their Photophysical Properties. Chem. Eur. J. 2012, 18, 12690–12697. [Google Scholar] [CrossRef] [PubMed]
- Murakami, K.; Yorimitsu, H.; Osuka, A. Two-Step, Practical, and Diversity-Oriented Synthesis of Multisubstituted Benzofurans from Phenols through Pummerer Annulation Followed by Cross-coupling. Bull. Chem. Soc. Jpn. 2014, 87, 1349–1366. [Google Scholar] [CrossRef]
- Murakami, K.; Yorimitsu, H.; Osuka, A. Practical, Modular, and General Synthesis of Benzofurans through Extended Pummerer Annulation/Cross-Coupling Strategy. Angew. Chem. Int. Ed. 2014, 53, 7510–7513. [Google Scholar] [CrossRef] [PubMed]
- Okamoto, K.; Hori, M.; Yanagi, T.; Murakami, K.; Nogi, K.; Yorimitsu, H. Sigmatropic Dearomatization/Defluorination Strategy for C-F Transformation: Synthesis of Fluorinated Benzofurans from Polyfluorophenols. Angew. Chem. Int. Ed. 2018, 57, 14230–14234. [Google Scholar] [CrossRef]
- Yang, K.; Pulis, A.P.; Perry, G.J.P.; Procter, D.J. Transition-Metal-Free Synthesis of C3-Arylated Benzofurans from Benzothiophenes and Phenols. Org. Lett. 2018, 20, 7498–7503. [Google Scholar] [CrossRef]
- Tramutola, F.; Chiummiento, L.; Funicello, M.; Lupattelli, P. Practical and efficient ipso-iodination of arylboronic acids via KF/I2 System. Tetrahedron Lett. 2015, 56, 1122–1123. [Google Scholar] [CrossRef]
- Wang, B.; Zhang, Q.; Luo, J.; Gan, Z.; Jiang, W.; Tang, Q. One-Step Regioselective Synthesis of Benzofurans from Phenols and α-Haloketones. Molecules 2019, 24, 2187. [Google Scholar] [CrossRef]
- Bankar, S.K.; Mathew, J.; Ramasastry, S.S.V. Synthesis of benzofurans via an acid catalyzed transacetalisation/Fries-type O–C rearrangement/Michael addition/ring-opening aromatisation cascade of β-pyrones. Chem. Commun. 2016, 52, 5569–5572. [Google Scholar] [CrossRef]
- Porcu, S.; Demuro, S.; Luridiana, A.; Cocco, A.; Frongia, A.; Aitken, D.J.; Charnay-Pouget, F.; Guillot, R.; Sarais, G.; Secci, F. Brønsted Acid Mediated Cascade Reaction To Access 3-(2-Bromoethyl)benzofurans. Org. Lett. 2018, 20, 7699–7702. [Google Scholar] [CrossRef] [PubMed]
- Lee, D.-H.; Kwon, K.-H.; Yi, C.S. Dehydrative C−H Alkylation and Alkenylation of Phenols with Alcohols: Expedient Synthesis for Substituted Phenols and Benzofurans. J. Am. Chem. Soc. 2012, 134, 7325–7328. [Google Scholar] [CrossRef] [PubMed]
- Honey, M.A.; Blake, A.J.; Campbell, I.B.; Judkins, B.D.; Moody, C.J. One-pot synthesis of N-methylindoles from N-methylanilines and of benzofurans from phenols using transition-metal carbene X–H insertion reactions. Tetrahedron 2009, 65, 8995–9001. [Google Scholar] [CrossRef]
- Sun, P.; Gao, S.; Yang, C.; Guo, S.; Lin, A.; Yao, H. Controllable Rh(III)-Catalyzed Annulation between Salicylaldehydes and Diazo Compounds: Divergent Synthesis of Chromones and Benzofurans. Org. Lett. 2016, 18, 6464–6467. [Google Scholar] [CrossRef] [PubMed]
- Sakhabutdinova, G.N.; Raskil’dina, G.Z.; Zlotskii, S.S.; Sultanova, R.M. Rhodium(II)-Catalyzed Reaction of Salicylaldehyde and Its Derivatives with Diazocarbonyl Compounds. Russ. J. Organic Chem. 2018, 54, 1772–1776. [Google Scholar] [CrossRef]
- Wu, F.; Bai, R.; Gu, Y. Synthesis of Benzofurans from Ketones and 1,4-Benzoquinones. Adv. Synth. Catal. 2016, 358, 2307–2316. [Google Scholar] [CrossRef]
- Cui, H.-L.; Deng, H.-Q.; Lei, J.-J. Metal-free one-pot synthesis of benzofurans with ynones and quinones through aza-Michael/Michael/annulation sequence. Tetrahedron 2017, 73, 7282–7290. [Google Scholar] [CrossRef]
- Maeno, Z.; Yamamoto, M.; Mitsudome, T.; Mizugaki, T.; Jitsukawa, K. Efficient Synthesis of Benzofurans via Cross-Coupling of Catechols with Hydroxycoumarins Using O2 as an Oxidant Catalyzed by AlPO4-Supported Rh Nanoparticle. Chem. Sel. 2019, 4, 11394–11397. [Google Scholar] [CrossRef]
- Zhang, C.; Zhen, L.; Yao, Z.; Jiang, L. Iron(III)-Catalyzed Domino Claisen Rearrangement/Regio- and Chemoselective Aerobic Dehydrogenative Cyclization of β-Naphthyl-Substituted-Allenylmethyl Ether. Org. Lett. 2019, 21, 955–959. [Google Scholar] [CrossRef]
- Tanabe, Y.; Mitarai, K.; Higashi, T.; Misaki, T.; Nishii, Y. Efficient one-step synthesis of trialkylsubstituted 2(5H)-furanones utilizing direct Ti-crossed aldol condensation and its application to the straightforward synthesis of (R)-mintlactone and (R)-menthofuran. Chem. Commun. 2002, 2542–2543. [Google Scholar] [CrossRef]
- Rashid, S.; Bhat, B.A.; Mehta, G. A vicarious, one-pot synthesis of benzo- and naphthofurans: Applications to the syntheses of stereumene B and paeoveitols. Tetrahedron Lett. 2019, 60, 1122–1125. [Google Scholar] [CrossRef]
- Qiang, S.; Haixuan, L. De novo synthesis of benzofurans via trifluoroacetic acid catalyzed cyclization/oxidative aromatization cascade reaction of 2-hydroxy-1,4-diones. Org. Biomol. Chem. 2019, 17, 7547–7551. [Google Scholar] [CrossRef]
- Huang, W.; Xu, J.; Liu, C.; Chen, Z.; Gu, Y. Lewis Acid-Catalyzed Synthesis of Benzofurans and 4,5,6,7-Tetrahydrobenzofurans from Acrolein Dimer and 1,3-Dicarbonyl Compounds. J. Org. Chem. 2019, 84, 2941–2950. [Google Scholar] [CrossRef] [PubMed]
- Zhang, L.; Cao, T.; Jiang, H.; Zhu, S. Deconstructive Reorganization: De Novo Synthesis of Hydroxylated Benzofuran. Angew. Chem. Int. Ed. 2020, 59, 4670–4677. [Google Scholar] [CrossRef]
© 2020 by the authors. Licensee MDPI, Basel, Switzerland. This article is an open access article distributed under the terms and conditions of the Creative Commons Attribution (CC BY) license (http://creativecommons.org/licenses/by/4.0/).





































































