1,2,4-Triazine Sulfonamides: Synthesis by Sulfenamide Intermediates, In Vitro Anticancer Screening, Structural Characterization, and Molecular Docking Study
Abstract
1. Introduction
2. Results and Discussion
2.1. Synthesis
2.2. Biological Activity
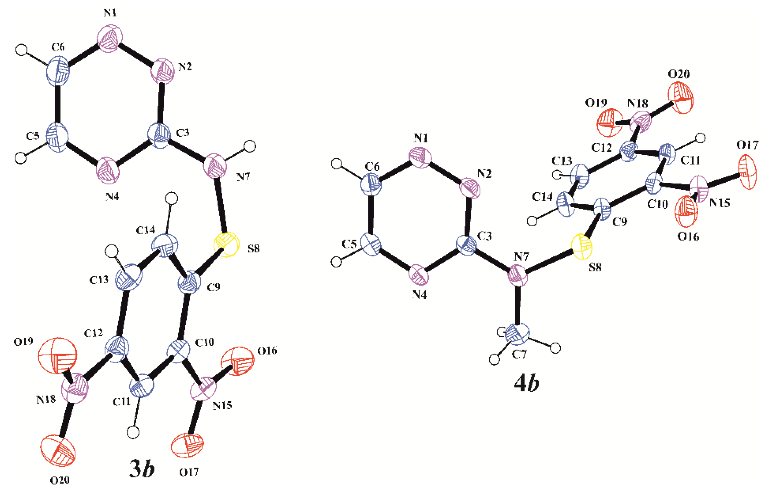
2.3. X-ray Analysis and Theoretical Calculations
2.4. Molecular Docking Study
3. Materials and Methods
3.1. General Methods
3.1.1. Synthesis of 3-Sulfenyl-P-Nitro-Phenyl-1,2,4-Triazine (3a)
3.1.2. Synthesis of 3-Sulfenyl-N-Methyl-P-Nitrofenyl-1,2,4-Triazine (4a)
3.1.3. Synthesis of 3-Sulfonyl-N-Methyl-P-Nitrophenyl-1,2,4-Triazine (5a)
3.1.4. Synthesis of 4-Nitro-N-Methyl-1,2,4-Triazine-3-Yl-Benzenesulfinamide (6a)
3.1.5. Synthesis of 3-Sulfenyl-2,4-Dinitrophenyl-1,2,4-Triazine (3b)
3.1.6. Synthesis of 3-sulfenyl-N-methyl-2,4-dinitrophenyl-1,2,4-triazine (4b)
3.1.7. Synthesis of 2,4-Dinitro-N-Methyl-1,2,4-Triazine-3-Yl-Benzenesulfonamide (5b)
3.1.8. Synthesis of 3-Sulfinyl-N-Methyl-2,4-Dinitrophenyl-1,2,4-Triazine (6b)
3.1.9. Synthesis of 2-Bromo-4-Trifluoromethyl-N-(1,2,4-Triazin-3-Yl)-Benzenesulfonamide (7)
3.1.10. Synthesis of 4-Methyl-N-(6-Phenyl-1,2,4-Triazin-3-Yl)-Benzenesulfonamide (9)
3.1.11. Synthesis of 4-Methyl-N-(5-Phenyl-1,2,4-Triazin-3-Yl)-Benzenesulfonamide (11)
3.1.12. Synthesis of 2-Nitro-N-1,2,4-Triazine-3-Yl-Benzenesulfonamide (15)
3.2. Pharmacology
3.2.1. Cell Culture
3.2.2. Cell Viability Assay
3.2.3. DNA Synthesis Assay
3.3. X-ray Structure Determinations
3.4. Theoretical Calculation
3.5. Molecular Docking
4. Conclusions
Supplementary Materials
Author Contributions
Funding
Conflicts of Interest
References
- Neunhoeffer, H. Comprehensive Heterocyclic Chemistry II; Katrizky, A.R., Rees, C.W., Eds.; Pergamon: Oxford, UK, 1996; Volume 6, p. 571. [Google Scholar]
- Kumar, R.; Sirohi, T.S.; Singh, H.; Yadav, R.; Roy, R.K.; Chaudhary, A.; Pandeya, S.N. 1,2,4-triazine analogs as novel class of therapeutic agents. Mini-Rev. Med. Chem. 2014, 14, 168–207. [Google Scholar] [CrossRef] [PubMed]
- Neunhoeffer, H.; Wiley, F.P. Chemistry of 1,2,3-Triazines and 1,2,4-Triazines, Tetrazines, and Pentazines; Weissberger, A., Taylor, C.E., Eds.; Wiley: New York, NY, USA, 1978. [Google Scholar]
- Ajeet, A.; Kumar, A.; Mishra, A.K. Design, synthesis and pharmacological evaluation of sulfonamide derivatives screened against maximal electroshock seizure Test. Mol. Biol. 2018, 7, 206–216. [Google Scholar]
- Abdel-Rahman, R.M. Role of uncondensed 1,2,4-triazine derivatives as biocidal plant protection agents-A review. Pharmazie 2001, 56, 195–204. [Google Scholar] [CrossRef]
- Lindsley, C.W.; Layton, M.E. Science of Synthesis: Houben-Weyl Methods of Molecular Transformations; Weinreb, S.M., Ed.; Thieme: New York, NY, USA, 2004; Volume 17, p. 357. [Google Scholar]
- Cascioferro, S.; Parrino, B.; Spanò, V.; Carbone, A.; Montalbano, A.; Barraja, P.; Diana, P.; Cirrincione, G. An overview on the recent developments of 1,2,4-triazine derivatives as anticancer compounds. Eur. J. Med. Chem. 2017, 142, 328–375. [Google Scholar] [CrossRef]
- Sławiński, J.; Gdaniec, M. Synthesis, molecular structure, and in vitro antitumor activity of new 4-chloro-2-mercaptobenzenesulfonamide derivatives. Eur. J. Med. Chem. 2005, 40, 377–389. [Google Scholar] [CrossRef]
- Ashfaq, M.; Shah, S.S.A.; Najjam, T.; Shaheen, S.; Rivera, G. Synthetic routes of sulfonamide derivatives: A brief review. Mini-Rev. Org. Chem. 2013, 10, 160–170. [Google Scholar] [CrossRef]
- Alqasoumi, S.I.; Alsaid, M.S.; Abdel-Kader, M.S.; Ghorab, M.M. Semisynthesis of novel sulfonamides, thioureas and biphenylsulfones as a new class of anticancer agents by using L-norephedrine as strategic starting material. Acta Pol. Pharm. 2015, 72, 1183–1191. [Google Scholar]
- Okolotowicz, K.J.; Dwyer, M.; Ryan, D.; Cheng, J.; Cashman, E.A.; Moore, S.; Mercola, M.; Cashman, J.R. Novel tertiary sulfonamides as potent anti-cancer agents. Bioorg. Med. Chem. 2018, 26, 4441–4451. [Google Scholar] [CrossRef]
- Ghoraba, M.M.; Ragabb, F.A.; Heibaa, H.I.; Elsayedc, M.S.A.; Ghoraba, W.M. Design, synthesis and molecular modeling study of certain 4-Methylbenzenesulfonamides with CDK2 inhibitory activity as anticancer and radio-sensitizing agents. Bioorg. Chem. 2018, 80, 276–287. [Google Scholar] [CrossRef] [PubMed]
- Said, M.A.; Eldehna, W.M.; Nocentini, A.; Fahim, S.H.; Bonardi, A.; Elgazar, A.A.; Kryštof, V.; Soliman, D.H.; Abdel-Aziz, H.A.; Gratteri, P.; et al. Sulfonamide-based ring-fused analogues for CAN508 as novel carbonic anhydrase inhibitors endowed with antitumor activity: Design, synthesis, and in vitro biological evaluation. Eur. J. Med. Chem. 2020, 189, 112019. [Google Scholar] [CrossRef] [PubMed]
- Manasa, K.L. E7010: Investigational anticancer agents targeting the microtubules. IJPSR 2015, 6, 3713–3725. [Google Scholar]
- Supuran, C.T. Indisulam: An anticancer sulfonamide in clinical development. Expert Opin. Investig. Drugs 2003, 12, 283–287. [Google Scholar] [CrossRef] [PubMed]
- Anderson, K.K. Comprehensive Organic Chemistry; Barton, D.H.R., Ollis, W.D., Eds.; Pergamon Press: Oxford, UK, 1979; Volume 3, pp. 331–340, 345–350. [Google Scholar]
- Pandya, R.; Murashima, T.; Tedeschi, L.; Barrett, A.G.M. Facile one-pot synthesis of aromatic and heteroaromatic sulfonamides. J. Org. Chem. 2003, 68, 8274–8276. [Google Scholar] [CrossRef] [PubMed]
- Kołaczek, A.; Fusiarz, I.; Ławecka, J.; Branowska, D. Biological activity and synthesis of sulfonamide derivatives: A brief review. Chemik 2014, 68, 620–628. [Google Scholar]
- Karczmarzyk, Z.; Wysocki, W.; Urbańczyk-Lipkowska, Z.; Kalicki, P.; Bielawska, A.; Bielawski, K.; Ławecka, J. Synthetic approaches for sulfur derivatives containing 1,2,4-triazine moiety: Their activity for in vitro screening towards two human cancer cell lines. Chem. Pharm. Bull. 2015, 63, 531–537. [Google Scholar] [CrossRef]
- Branowska, D.; Ławecka, J.; Sobiczewski, M.; Karczmarzyk, Z.; Wysocki, W.; Wolińska, E.; Olender, E.; Mirosław, B.; Perzyna, A.; Bielawska, A.; et al. Synthesis of unsymmetrical disulfanes bearing 1,2,4-triazine scaffold and their in vitro screening towards anti-breast cancer activity. Monatsh. Chem. 2018, 149, 1409–1420. [Google Scholar] [CrossRef]
- Zelenin, K.N.; Solod, O.V.; Khrustalev, V.A. Amidrazones in the synthesis of heterocycles (review). Chem. Heterocycl. Compd. 1998, 25, 717–737. [Google Scholar] [CrossRef]
- Carmichael, J.; DeGraff, W.G.; Gazdar, A.F.; Minna, J.D.; Mitchell, J.B. Evaluation of a tetrazolium-based semiautomated colorimetric assay: Assessment of chemosensitivity testing. Cancer Res. 1987, 47, 936–942. [Google Scholar]
- Brito, I.; Cárdenas, A.; Mundaca, A.; López-Rodriguez, M.; Reyes, A. 2-Iodo-N-(2-nitro-phenyl-sulfan-yl)aniline. Acta Cryst. 2008, 64, 1387. [Google Scholar]
- Glidewell, C.; Low, J.N.; Skakle, J.M.S.; Wardell, J.L. 4-Iodo-N-(2-nitro-phenyl-sulfanyl)-aniline: [pi]-stacked sheets generated by a combination of N-H...O and C-H...O hydrogen bonds. Acta Cryst. 2009, 59, 95–97. [Google Scholar] [CrossRef]
- Allen, F.H.; Kennard, O.; Watson, D.G.; Brammer, L.; Orpen, A.G.; Taylor, R. Tables of bond lengths determined by X-ray and neutron diffraction. Part 1. Bond lengths in organic compounds. J. Chem. Soc. Perkin Trans. 1987, 2, 1–19. [Google Scholar] [CrossRef]
- Spek, A.L. Single-crystal structure validation with the program PLATON. J. Appl. Cryst. 2003, 36, 7–13. [Google Scholar] [CrossRef]
- Jeffrey, G.A.; Saenger, W. Hydrogen bonding in biological structures; Springer: Berlin, Germany, 1991; p. 20. [Google Scholar]
- Pennington, L.D.; Moustakas, D.T. The necessary nitrogen atom: A versatile high-impact design element for multiparameter optimization. J. Med. Chem. 2017, 60, 3552–3579. [Google Scholar] [CrossRef] [PubMed]
- Allen, F.H. The Cambridge Structural Database: A quarter of a million crystal structures and rising. Acta Cryst. 2002, 58, 380–388. [Google Scholar] [CrossRef]
- Bruno, I.J.; Cole, J.C.; Edgington, P.R.; Kessler, M.; Macrae, C.F.; McCare, P.; Pearson, J.; Taylor, R. New software for searching the Cambridge Structural Database and visualizing crystal structures. Acta Cryst. 2002, 58, 389–397. [Google Scholar] [CrossRef]
- Qin, W.; Xie, M.; Qin, X.; Fang, Q.; Yin, F.; Li, Z. Recent advances in peptidomimetics antagonists targeting estrogen receptor α-coactivator interaction in cancer therapy. Bioorg. Med. Chem. Lett. 2018, 28, 2827–2836. [Google Scholar] [CrossRef]
- Cao, X.; Jiang, J.; Zhang, S.; Zhu, L.; Zou, J.; Diao, Y.; Xiao, W.; Shan, L.; Sun, H.; Zhang, W.; et al. Discovery of natural estrogen receptor modulators with structure-based virtual screening. Bioorg. Med. Chem. Lett. 2013, 23, 3329–3333. [Google Scholar] [CrossRef]
- Dykstra, K.D.; Guo, L.; Birzin, E.T.; Chan, W.; Yang, Y.T.; Hayes, E.C.; DaSilva, C.A.; Pai, L.Y.; Mosley, R.T.; Kraker, B.; et al. Estrogen receptor ligands. Part 16: 2-Aryl indoles as highly subtype selective ligands for ERα. Bioorg. Med. Chem. Lett. 2007, 17, 2322–2328. [Google Scholar] [CrossRef]
- Hu, Z.; Li, Y.; Xie, B.; Ning, W.; Xiao, Y.; Huang, Y.; Zhao, C.; Huang, J.; Dong, C.; Zhou, H.-B. Novel class of 7-oxabicyclo[2.2.1]heptane sulphonamides with long alkyl chains displaying improved estrogen receptor α degradation activity. Eur. J. Med. Chem. 2019, 182, 111605–111616. [Google Scholar] [CrossRef]
- Bruker. APEX2, Version 2.1.4; SAINT, Version 7.34A and SADABS Version 2004/1; Bruker AXS Inc.: Madison, WI, USA, 2005. [Google Scholar]
- CrysAlisPro, Version 1.171.37.35h; Agilent Technologies UK Ltd.: Yarnton, UK, 2015.
- Sheldrick, G.M. A short history of SHELX. Acta Cryst. 2008, 64, 112–122. [Google Scholar] [CrossRef]
- Flack, H.D. On enantiomorph-polarity estimation. Acta Cryst. 1983, 39, 876–881. [Google Scholar] [CrossRef]
- Farrugia, L.J. WinGX and ORTEP for Windows: An update. J. Appl. Cryst. 2012, 45, 849–854. [Google Scholar] [CrossRef]
- Frisch, M.J.; Trucks, G.W.; Schlegel, H.B.; Scuseria, G.E.; Robb, M.A.; Cheeseman, J.R.; Montgomery, J.A., Jr.; Vreven, T.; Kudin, K.N.; Burant, J.C.; et al. Gaussian 03, Revision E.01; Gaussian, Inc.: Wallingford, CT, USA, 2004.
- Cossi, M.; Rega, N.; Scalmani, G.; Barone, V. Energies, structures, and electronic properties of molecules in solution with the C-PCM solvation model. J. Comput. Chem. 2003, 24, 669–681. [Google Scholar] [CrossRef] [PubMed]
- Dennington, R.; Keith, T.; Millam, J. GaussView 4.1, Semichem, Inc.: Shawnee Mission, KS, USA, 2007.
- Jones, G.; Willett, P.; Glen, R.C.; Leach, A.R.; Taylor, R.J. Development and validation of a genetic algorithm for flexible docking. J. Mol. Biol. 1997, 267, 727–748. [Google Scholar] [CrossRef]
Sample Availability: Samples of the title compounds are available from the authors. |











| Compound | Dm | NBO Charge | EHOMO | ELUMO | ΔE | logP | |
|---|---|---|---|---|---|---|---|
| S | N | ||||||
| 3a | 4.697 | +0.523 | −0.767 | −7.04 | −2.90 | 4.14 | −0.97 |
| 3b | 4.198 | +0.613 | −0.789 | −7.27 | −3.55 | 3.72 | −4.88 |
| 4a | 4.564 | +0.532 | −0.636 | −6.84 | −2.87 | 3.97 | −1.20 |
| 4b | 4.145 | +0.630 | −0.658 | −7.07 | −3.51 | 3.56 | −5.11 |
| 5a | 2.431 | +2.217 | −0.701 | −7.17 | −3.46 | 3.71 | −2.15 |
| 5b | 3.778 | +2.230 | −0.705 | −7.32 | −3.87 | 3.45 | −6.06 |
| 6a | 3.618 | +1.408 | −0.657 | −7.02 | −3.30 | 3.72 | −1.87 |
| 6b | 1.275 | +1.444 | −0.655 | −7.14 | −3.81 | 3.33 | −5.78 |
| 7 | 4.069 | +2.208 | −0.854 | −7.37 | −2.89 | 4.48 | 3.67 |
| 9 | 7.042 | +2.222 | −0.830 | −6.86 | −2.60 | 4.26 | 4.08 |
| 11 | 6.417 | +2.211 | −0.835 | −6.79 | −2.47 | 4.32 | 4.08 |
| 15 | 7.090 | +2.218 | −0.841 | −7.22 | −2.73 | 4.49 | −1.91 |
| Compound | ChemPLP | Ligand–Amino Acids Interactions |
|---|---|---|
| 3a | 63.03 | N4...H–S(Cys530), S8...H–C(Ala350), (N=)O...H–C(Leu536) |
| 3b | 62.07 | (N=)O...H–C(His524), (N=)O...H–O(Thr347), S8...H–S(Cys530) S8...H–C(Thr347), N4...H–S(Cys530) |
| 4a | 75.53 | N4...H–O(Thr347), (N=)O...H–O-H...H–O(Tyr526) |
| 4b | 61.50 | S8...H–C(Leu384), S8...H–C(Met388) |
| 5a | 58.52 | - |
| 5b | 58.28 | - |
| 6a | 60.40 | N1...H–S(Cys530), N1...H–O(Thr347), (N=)O...H–N(Arg394) |
| 6b | 59.62 | N1...H–O(Thr347) |
| 7 | 65.21 | - |
| 9 | 75.26 | (S8=)O...H–C(Leu384) |
| 11 | 72.61 | (S8=)O...H–C(Ala350), (Ph)C–H…O(Glu419) |
| 15 | 59.92 | - |
| IOG | 137.93 | O…H–O(Glu353), O…H–N(Arg394), C…H–S(Cys530), N…H–C(Trp383), O…H–C(Met388) |
| Chlorambucil | 76.79 | C…H–S(Cys530) |
© 2020 by the authors. Licensee MDPI, Basel, Switzerland. This article is an open access article distributed under the terms and conditions of the Creative Commons Attribution (CC BY) license (http://creativecommons.org/licenses/by/4.0/).
Share and Cite
Branowska, D.; Karczmarzyk, Z.; Wolińska, E.; Wysocki, W.; Morawiak, M.; Urbańczyk-Lipkowska, Z.; Bielawska, A.; Bielawski, K. 1,2,4-Triazine Sulfonamides: Synthesis by Sulfenamide Intermediates, In Vitro Anticancer Screening, Structural Characterization, and Molecular Docking Study. Molecules 2020, 25, 2324. https://doi.org/10.3390/molecules25102324
Branowska D, Karczmarzyk Z, Wolińska E, Wysocki W, Morawiak M, Urbańczyk-Lipkowska Z, Bielawska A, Bielawski K. 1,2,4-Triazine Sulfonamides: Synthesis by Sulfenamide Intermediates, In Vitro Anticancer Screening, Structural Characterization, and Molecular Docking Study. Molecules. 2020; 25(10):2324. https://doi.org/10.3390/molecules25102324
Chicago/Turabian StyleBranowska, Danuta, Zbigniew Karczmarzyk, Ewa Wolińska, Waldemar Wysocki, Maja Morawiak, Zofia Urbańczyk-Lipkowska, Anna Bielawska, and Krzysztof Bielawski. 2020. "1,2,4-Triazine Sulfonamides: Synthesis by Sulfenamide Intermediates, In Vitro Anticancer Screening, Structural Characterization, and Molecular Docking Study" Molecules 25, no. 10: 2324. https://doi.org/10.3390/molecules25102324
APA StyleBranowska, D., Karczmarzyk, Z., Wolińska, E., Wysocki, W., Morawiak, M., Urbańczyk-Lipkowska, Z., Bielawska, A., & Bielawski, K. (2020). 1,2,4-Triazine Sulfonamides: Synthesis by Sulfenamide Intermediates, In Vitro Anticancer Screening, Structural Characterization, and Molecular Docking Study. Molecules, 25(10), 2324. https://doi.org/10.3390/molecules25102324

