Abstract
A novel banana-shaped molecule using 2,8-Dimethyl-6H,12H-5,11-methanodibenzo [b,f] [1,5]diazocine (Tröger’s base) as bent-core was synthesized via double Carbon-Carbon cross-coupling reaction. The double Sonogashira cross-coupling reaction was optimized by using Pd(PPh3)2Cl2 as catalyst, CuI as cocatalyst and diisopropylamine as base in place of triethylamine. The structure of this compound was confirmed by 1H-NMR, 13C-NMR, Fourier transform infrared (FT-IR) spectroscopy and mass spectrometry.
1. Introduction
Molecules bearing bent-cores have attracted extensive worldwide attention due to their outstanding properties. Some of these molecules have potential applications in asymmetric catalysis [1,2], and others have been wildly used in molecular recognition [3,4,5,6]. Banana-shaped molecules have rigid Λ shape, which will induce intermolecular polarity. Also because of their special structure, the molecules can pack closely and align in the direction of bending [7]. As a result, banana-shaped molecules with bent-cores and flexible tails can exhibit a variety of novel characteristics involving chirality, polarity, and liquid crystalline (LC) features [8,9,10,11,12]. Especially when bent-core is constructed in the liquid crystal molecules, this special bent shape promotes molecules packed in polar [3] and tilted [13] ways to form chiral lamellar phases such as the B2 and B7 [14,15,16].
Bent-core liquid crystal molecules also have nonlinear optical properties due to their unique shape and polar character, which have attracted considerable interest. What is more, polar characters of bent-shaped molecules were also used to develop ferroelectric switches or anti-ferroelectric materials [17].
This special usages have drawn great interest from not only scientific researchers but also industrial designers. Based on these fused properties, liquid crystals have been widely used in one-dimensional conductors, photoconductors, light emitting diodes, photovoltaic solar cells, and gas sensors [18,19,20,21].
We have been focusing on the development of facile syntheses of heterocyclic systems [22,23,24,25,26] Herein, we choose bent-shaped 5,6,11,12-tetrahydrodibenzo[b,f] [1,5]diazocines (Tröger’s base like) as the bent-core to design and synthesize a novel banana-shaped molecule (Scheme 1). Tröger’s base was first synthesized by Tröger in 1887 [27], and its space structure is just similar to the letter of the Greek alphabet Λ. It has recently received renewed interest due to its inherent chirality and rigid C2 symmetry property [28,29,30,31,32,33,34,35,36,37,38,39]. Tröger’s base is a rigid and curved molecule due to its bridgehead stereogenic nitrogen atoms. A methylene strap connects the two chiral nitrogen atoms together, which is very suitable for the construction of liquid crystalline materials. To the different substituted groups, the dihedral angle between two benzene rings in Tröger’s base changes from 90° to 100°. For example, the dihedral angle between two aromatic rings in (5S,11S)-2,8- dibromo-6H,12H-5,11-ethanodibenzo[b,f] [1,5]diazocine is 94.5° [40], and the dihedral angle between two aromatic rings 1,2,3,4,7,8,9,10-octafluoro-6H,12H-5,11-methanodibenzo[b,f][1,5]-diazocine is 98.4° [41].
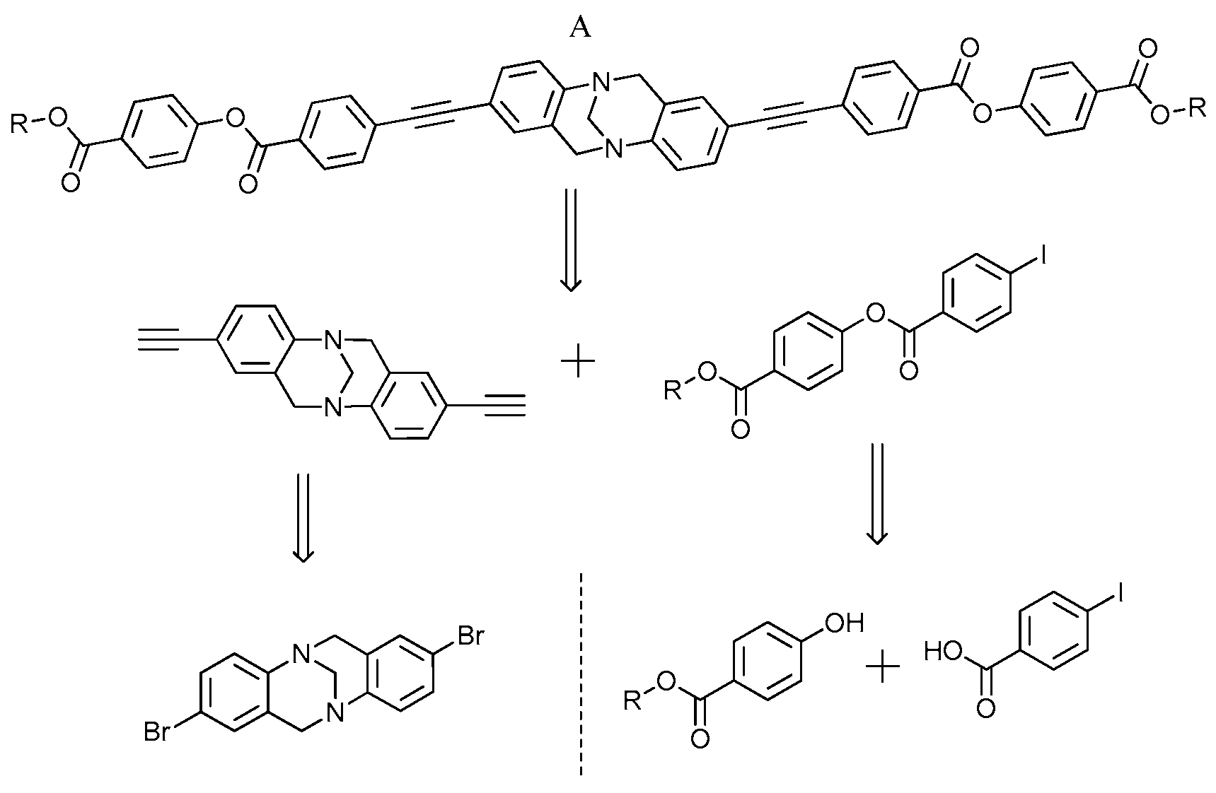
Scheme 1.
Retrosynthetic Analysis of target molecule A.
Tröger’s base has been constructed as a bent-core to bind different functional groups without ruining their original properties. And Tröger’s base can be used as molecular clefts because the bicyclic skeleton forces the molecule in a rigid locked conformation with the benzene rings in proximity. In supramolecular chemistry, Tröger’s base has been explored for the recognition of aliphatic dicarboxylic acids and enzyme inhibitors [42,43,44,45]. Enantiomerically enriched [46,47] analogues of Tröger’s base was also used in DNA intercalation and acted as ligands in asymmetric synthesis [48]. What is more, this Λ-shaped twisted configuration is theoretically disadvantageous for the formation of π–π close stacking, which may lead to fluorescence quenching in the solid state. But recent study revealed that the Λ-shaped Tröger’s base scaffolds can express aggregation-induced emission (AIE) properties [49,50].
2. Experimental Section
2.1. General
All chemicals purchased were used without purification. THF of analytical grade and de-ionized water were used throughout the experiment as solvents. 1H-NMR spectra were recorded on a Bruker Advance 400 (400 MHz) or 300 (300 MHz) spectrometer, using CDCl3 as solvent and tetramethylsilane (TMS) as internal standard. 13C-NMR spectra were recorded on a Bruker Advance 100 (100 MHz) or 75 (75 MHz) spectrometer, using CDCl3 as solvent and tetramethylsilane (TMS) as internal standard. HRMS spectra were determined on a Q-TOF6510 spectrograph (Agilent). Supplementary Materials: Representative experimental procedures, spectral data of compounds 3–8. This material is available free of charge via the internet.
2.2. Experimental Procedure for the Preparation of 2,8-Dibromo-6H,12H-5,11-methanodibenzo[b,f][1,5]diazocine (2)
To a stirred mixture of the 4-bromoaniline (1) (3.44 g, 30 mmol), paraformaldehyde (5.40 g, 60 mmol) was added with TFA (100 mL; 1.3 mol), the mixture was stirred for 168 h at room temperature Then, TFA was removed in vacuo, water (100 mL) was added followed by the addition of saturated aqueous NH3 solution (100 mL). The aqueous layer was extracted with dichloromethane (3 × 50 mL). The combined organic layers were dried (MgSO4), filtered, concentrated in vacuo and purified by flash chromatography on silica gel to gain the product 2 (PE:EtOAc = 20:1, 3.363 g, 88%). As shown in Figure 1. 1H-NMR (DMSO, TMS, 400 MHz): 4.08 (d, J = 16.8 Hz, 1H), 4.2 (s, 1H), 4.62 (d, J = 16.8 Hz, 1H), 6.87 (d, J = 8.48 Hz, 1H), 7.23 (d, J = 8.08 Hz, 1H), 7.46 (d, J = 8.56 Hz, 1H). 13C-NMR (CDCl3, TMS, 100 MHz): 58.3, 66.7, 116.8, 126.7, 129.7, 129.7, 130.6, 146.8.
Figure 1.
Ball-and-Stick model of compound 8.
2.3. Experimental Procedure for the Preparation of 2,8-Bis((trimethylsilyl)ethynyl)-6,12-dihydro-5,11-methanodiben-zo[b,f][1,5]diazocine (3)
A Schlenk tube containing 2,8-dibromo-6,12-dihydro-5,11-methanodibenzo [b,f][1,5] diazocine (2) (0.38 g, 1 mmol), dichlorobis(triphenylphosphine)palladium(II) (0.07 g, 0.1 mmol), copper(I) iodide (0.012 g, 0.06 mmol), triphenylphosphine (0.052 g, 0.2 mmol) was degassed on a vacuum line by repeatedly alternating between an argon atmosphere and vacuum. Then diisopropylamine (30 mL) was added dropwisely. Finally, a solution of trimethylsilylacetylene (0.53 mL, 3 mmol) was added dropwise and the mixture was stirred at 50 °C for 11 h. After that the mixture was filtered through a pad of celite and dichloromethane (30 mL) was used to wash the additional product through the celite pad. The filtrate was evaporated to dryness and purified by flash chromatography on silica gel to gain the product 3 (PE:EtOAc = 6:1, 0.250 g, 60%).As shown in Figure 2. 1H-NMR (CDCl3, 300 MHz) δ 0.20 (s, 18H), 4.10 (d, J =16.8 Hz, 2H), 4.27 (s, 2H), 4.62 (d, J =16.8 Hz, 2H), 7.01 (d, J = 8.4 Hz, 4H), 7.24 (dd, J = 8.7, 2.4 Hz, 2H). 13C-NMR (CDCl3, TMS, 100 MHz): 0.00, 58.5, 66.8, 93.4, 104.8, 118.6, 124.8, 127.7, 130.7, 131.0, 148.3.
Figure 2.
The optimized structure of 8 calculated by Gaussian 09 program using the B3LYP method with the 6-31G + (d,p) basis set [51].
2.4. Experimental Procedure for the Preparation of 2,8-Diethynyl-6,12-dihydro-5,11-methanodibenzo[b,f][1,5]diazoci-ne (4)
2,8-bis((trimethylsilyl)ethynyl)-6,12-dihydro-5,11-methanodi- benzo[b,f][1,5] diazocine (0.150 g, 0.362 mmol) was dissolved in THF/MeOH (VTHF:VMeOH = 1:1) 50 mL and potassium carbonate was added (0.333 g, 2.461 mmol). The mixture was stirred for 5 h, filtered, concentrated in vacuo and purified by flash chromatography on silica gel to gain the product 4 (PE:EtOAc = 6:1, 0.092 g, 95%). As shown in Figure 3. 1H-NMR (CDCl3, 300 MHz) δ 2.97 (s, 2H), 4.13 (d, J = 16.8 Hz, 2H), 4.29 (s, 2H), 4.65 (d, J = 16.8 Hz, 2H), 7.07 (d, J = 8.1 Hz, 4H), 7.24 (dd, J = 8.1 Hz, 1.5 Hz, 2H); 13C-NMR (CDCl3, 300 MHz) δ 58.4, 66.7, 76.5, 76.6, 77.0, 77.5, 83.3, 117.6, 125.0, 127.8, 130.9, 131.2, 148.5.
Figure 3.
HOMO/LUMO imagines of 8 calculated by Gaussian 09 program using the B3LYP method with the 6-31G + (d,p) basis set [51].
2.5. Experimental Procedure for the Preparation of 4-(Methoxycarbonyl)phenyl-4-iodobenzoate (7)
One equivalent of p-Iodobenzoic acid (5) (0.250 g, 1 mmol), methyl 4-hydroxybenzoate (6) (0.152 g, 1 mmol), DCC (0.206 g, 1 mmol) and DMAP (0.025 g, 0.2 mmol) were dissolved in dimethyl carbonate (DMC) 30 mL and stirred at room temperature for 10 h. The whole mixture was filtered and the filtrate was distilled by vacuum. The crude product was purified by flash chromatography on silica gel to gain the product 7 (PE:EtOAc = 6:1, 0.308 g, 80%). 1H-NMR (CDCl3, 400 MHz) δ 3.93 (s, 6H), 4.73 (d, J = 16.8 Hz, 2H), 7.29 (d, J = 8.7 Hz, 2H), 7.89 (s, 4H), 8.12 (d, J = 8.7 Hz, 2H); 13C-NMR (CDCl3, 400 MHz) δ 52.2, 102.0, 121.7, 128.0, 128.6, 131.3, 131.6, 138.1, 154.4, 164.2, 166.3.
2.6. Experimental Procedure for the Preparation of Bis(4-(methoxycarbonyl)phenyl)4,4′-((6,12-dihydro-5,11-methano-dibenzo[b,f][1,5]diazocine-2,8-diyl)bis(ethyne-2,1-diyl))diben-zoate (8)
A Schlenk tube containing 2,8-diethynyl-6,12-dihydro-5,11-methanodibenzo[b,f][1,5]diazocine (97 mg, 0.36 mmol), 4-(methoxycarbonyl)phenyl 4-iodobenzoate (276 mg, 0.72 mmol), dichlorobis(triphenylphosphine)palladium(II) (25 mg, 0.036 mmol), copper(I) iodide (3 mg, 0.018 mmol), triphenylphosphine (19 mg, 0.072 mmol) and dry triethylamine (20 mL) was degassed on a vacuum line by repeatedly alternating between an argon atmosphere and vacuum. The reaction mixture was stirred at 50 °C for 18 h. The reaction mixture was then filtered and evaporated to dryness. The product was purified by column chromatography on silica gel using CHCl3:EtOAc = 15:1 as the eluent to gain the product 8 (141 mg, 50%). white solid; m.p. 210 °C. IR (KBr), νmax (cm−1): 2946, 2900, 2202, 1733, 1713, 1600, 1506. 1H-NMR (CDCl3, 400 MHz) δ 3.93 (s, 6H), 4.22 (d, J = 16.8 Hz, 2H), 4.35 (s, 2H), 4.73 (d, J = 16.8 Hz, 2H), 7.15 (d, J = 9.8 Hz, 4H), 7.30 (d, J = 8.1 Hz, 2H), 7.39 (dd, J = 8.3, 1.7 Hz, 2H), 7.60 (d, J = 8.5 Hz, 4H), 8.14 (t, J = 9.8 Hz, 14.1 Hz, 8H); 13C-NMR (CDCl3, 400 MHz) δ 52.2, 58.5, 66.8, 88.0, 92.9, 118.0, 121.7, 125.2, 127.9, 128.0, 128.2, 129.1, 130.2, 130.6, 131.0, 131.3, 131.6, 148.8, 154.5, 164.1, 166.3; HRMS (EI): Calcd for C49H34N2O8, 779.2388; found, 779.2383.
2.7. Theoretical Study
Computational methods. All calculations were conducted using the B3LYP functional (Gaussian 09, Revision B. 01.; Gaussian, Inc.: Wallingford, 2009) combined with the 6-31+(d,p) basis set, as implemented in Gaussian 09 software package (Gaussian 09, Revision B. 01.; Gaussian, Inc.: Wallingford, 2009). Vibrational analyses at the same level of theory were also carried out to confirm all stationary points as minima (zero imaginary frequencies) or first-order saddle points (one imaginary frequency) and to provide free energies at 298.15 K.
3. Results and Discussion
As shown in Scheme 2, starting from 4-bromoaniline 1, rac-(±)-Tröger’s base 2 was synthesized by condensation of 1 with paraformaldehyde in trifluoroacetic acid (TFA) according to the procedure described in Scheme 1. Tröger’s base derivative 2 could react with trimethylsilylacetylene (TMSA) smoothly to get high yield product 3 under the common conditions of Sonogashira cross-coupling reaction by using Pd(PPh3)2Cl2 as catalyst, CuI as cocatalyst and diisopropylamine as base in place of triethylamine. Then the trimethylsilyl groups of 3 was removed to obtain the product 4 in excellent yield under the conditions of K2CO3 as the base and VTHF:VMeOH = 1:1 as solvent. Intermediate 7 was obtained from p-iodobenzoic acid and Methyl 4-hydroxybenzoate under the conditions of N,N′-dicyclohexylcarbodiimide (DCC) as dehydrant and 4-dimethylaminopyridine (DMAP) as catalyst in the solvent of dimethyl carbonate (DMC). At the end, the intermediate 7 could react with 3, to obtain target molecule 8 [14] in high yield under the conditions of PdCl2(PPh3)2 and CuI as cocatalyst and triethylamine as base.
Scheme 2.
Synthesis of Tröger’s base like derivative.
We slightly modified the Sonogashira cross-coupling reaction conditions by using diisopropylamine as base instead of triethylamine, and the reaction temperature changed from room temperature to 50 °C improving the yield of 2,8-dibromo-6,12-dihydro-5,11-methano-dibenzo[b,f][1,5]diazocine 6 to 60% successfully. Finally, the target molecule was obtained in 26% overall yield in five steps.
To understand the structure changes of 8. We carried out density functional theory (DFT) calculation by Gaussian 09 program using the B3LYP method with the 6-31G + (d,p) basis set. The optimized structure shown in Figure 1 and Figure 2 has a clear bent-core configuration, however the tails of the molecule are not flexible enough. The HOMO-LUMO energy gap of compound 8 is 5.718146 eV (Figure 3). Electron cloud transferred from the Tröger’s base like core to the benzene rings when the molecule excitated from HOMO to LUMO. According to the research results, this molecule has potential application in liquid crystal field and further study will be conducted.
4. Conclusions
In summary, we have designed and synthesized a novel banana-shaped molecule based on Tröger’s base via double Sonogashira cross-coupling reaction. The chemical structures have been characterized by 1H-NMR, 13C-NMR, Fourier transform infrared (FT-IR) spectroscopy and mass spectrometry. Theoretical study was also conducted by Gaussian 09 program, and we confirmed that the molecule has a bent-core structure. In the future, we will use this method to obtain a series of these bent-core compounds. Further studies on its applications in the photology are currently in progress.
Supplementary Materials
Representative experimental procedures, spectral data of compounds 3–8. This material is available free of charge via the internet.
Author Contributions
Investigation, B.Y.; Methodology, B.Y.; Project administration, X.H.; Supervision, R.L.; Writing-original draft, G.S.
Funding
We are grateful to National Science Foundation of China (No. 51378306, 21402079) and Liaocheng University fund (318051515, 201610447013) for financial support of this research.
Conflicts of Interest
The authors declare no conflicts of interest.
Date Availability
The data used to support the findings of this study are available from the corresponding author upon request.
References
- Harmata, M.; Kahraman, M. Congeners of Troeger’s base as chiral ligands. Tetrahedron Asymmetry 2000, 11, 2875. [Google Scholar] [CrossRef]
- Goldberg, Y.; Alper, H. Transition metal complexes of Tröger’s base and their catalytic activity for the hydrosilylation of alkynes. Tetrahedron Lett. 1995, 36, 369. [Google Scholar] [CrossRef]
- Wilcox, C.S.; Cowart, M.D. New approaches to synthetic receptors. Synthesis and host properties of a water soluble macrocyclic analog of Tröger’s base. Tetrahedron Lett. 1986, 27, 5563. [Google Scholar] [CrossRef]
- Adrian, J.C.; Wilcox, C.S. General effects of binding site water exclusion on hydrogen bond based molecular recognition systems: A closed binding sites is less affected by environmental changes than an open site. J. Am. Chem. Soc. 1992, 114, 1398. [Google Scholar] [CrossRef]
- Crossley, M.J.; Hambley, T.W.; Mackay, L.G. Porphyrin analogues of Tröger’s base: Large chiral cavities with a bimetallic binding site. J. Chem. Soc. Chem. Commun. 1995, 1077. [Google Scholar] [CrossRef]
- Hansson, A.P.; Norrby, P.O.; Wärnmark, K. A bis (crown-ether) analogue of Tröger’s base: Recognition of achiral and chiral primary bisammonium salts. Tetrahedron Lett. 1998, 39, 4565. [Google Scholar] [CrossRef]
- Paliwal, S.; Geib, S.; Wilcox, C.S. Molecular torsion balance for weak molecular recognition forces. effects of “Tilted-T” Edge-to-Face aromatic interactions on conformational selection and solid-state structure. J. Am. Chem. Soc. 1994, 116, 4497–4498. [Google Scholar] [CrossRef]
- Takezoe, H.; Takanishi, Y. Bent-core liquid crystals: Their mysterious and attractive world. Jpn. J. Appl. Phys. 2006, 45. [Google Scholar] [CrossRef]
- Reddy, R.A.; Tschierske, C. Bent-core liquid crystals: Polar order, superstructural chirality and spontaneous desymmetrisation in soft matter systems. J. Mater. Chem. 2006, 16, 907. [Google Scholar] [CrossRef]
- Niori, T.; Sekine, T.; Watanabe, J.; Furukawa, T.; Takezoe, H. Distinct ferroelectric smectic liquid crystals consisting of banana shaped achiral molecules. J. Mater. Chem. 1996, 6, 1231–1233. [Google Scholar] [CrossRef]
- Slattery, J.M.; Bruce, D.W.; Gao, Y.; Shimizu, K.; Slattery, J.M. Liquid-Crystalline Ionic Liquids as Ordered Reaction Media for the Diels–Alder Reaction. Chem. Eur. J. 2016, 1–12. [Google Scholar]
- Ube, T.; Kawasaki, K.; Ikeda, T. Photomobile Liquid-Crystalline Elastomers with Rearrangeable Networks. Adv. Mater. 2016, 28, 8212–8217. [Google Scholar] [CrossRef] [PubMed]
- Link, D.R.; Natale, G.; Shao, R.; Maclennan, J.E.; Clark, N.A.; Körblova, E.; Walba, D.M. Spontaneous formation of macroscopic chiral domains in a fluid smectic phase of achiral molecules. Science 1997, 278, 1924–1927. [Google Scholar] [CrossRef] [PubMed]
- Walba, D.M.; Körblova, E.; Shao, R.; Maclennan, J.E.; Link, D.R.; Glaser, M.A.; Clark, N.A. A ferroelectric liquid crystal conglomerate composed of racemic molecules. Science 2000, 288, 2181. [Google Scholar] [CrossRef] [PubMed]
- Coleman, D.A.; Fernsler, J.; Chattham, N. Polarization-modulated smectic liquid crystal phases. Science 2003, 301, 1204. [Google Scholar] [CrossRef] [PubMed]
- Bayón, R.; Coco, S.; Barcenilla, M.; Espinet, P.; Imbuluzqueta, G.; Hidalgo, J.; Rojas, E. Feasibility of Storing Latent Heat with Liquid Crystals. Proof of Concept at Lab Scale. Appl. Sci. 2016, 6, 121. [Google Scholar] [CrossRef]
- Bisoyi, H.K.; Srinivasa, H.T.; Kumar, S. Novel banana-discotic hybrid architectures. Beilstein J. Org. Chem. 2009, 5, 52. [Google Scholar] [CrossRef]
- Kumar, S. Self-organization of disc-like molecules: Chemical aspects. Chem. Soc. Rev. 2006, 35, 83. [Google Scholar] [CrossRef]
- Laschat, S.; Baro, A.; Steinke, N.; Giesselmann, F.; Hägele, C.; Scalia, G.; Judele, R.; Kapatsina, E.; Sauer, S.; Schreivogel, A.; Tosoni, M. Discotic liquid crystals: From tailor-made synthesis to plastic electronics. Angew. Chem. Int. Ed. 2007, 46, 4832. [Google Scholar] [CrossRef]
- Sergeyev, S.; Pisula, W.; Geerts, Y.H. Discotic liquid crystals: A new generation of organic semiconductors. Chem. Soc. Rev. 2007, 36, 1902. [Google Scholar] [CrossRef]
- Wu, J.; Pisula, W.; Müllen, K. Graphenes as potential material for electronics. Chem. Rev. 2007, 107, 718. [Google Scholar] [CrossRef] [PubMed]
- Huang, A.P.; Chen, Y.M.; Zhou, Y.G.; Guo, W.; Wu, X.D.; Ma, C. An efficient one-pot synthesis of benzo [4, 5] imidazo [1, 2-a] quinoxalines via copper-catalyzed process. Org. Lett. 2013, 15, 5480–5483. [Google Scholar] [CrossRef] [PubMed]
- Zhao, Y.M.; Wu, Y.M.; Jia, J.; Zhang, D.J.; Ma, C. One-Pot Synthesis of Benzo [1, 4] thiazin-3 (4 H)-ones and a Theoretical Study of the S–N Type Smiles Rearrangement Mechanism. J. Org. Chem. 2012, 77, 8501–8506. [Google Scholar] [CrossRef] [PubMed]
- Yang, B.C.; Niu, X.Y.; Huang, Z.X.; Zhao, C.H.; Liu, Y.; Ma, C. A novel kind of dimmer (excimer)-induced-AIE compound 2-phenylisothiazolo [5, 4-b] pyridin-3 (2H)-one as high selective bisulfite anion probe. Tetrahedron 2013, 69, 8250–8254. [Google Scholar] [CrossRef]
- Yang, B.C.; Tan, X.C.; Guo, R.Y.; Chen, S.W.; Zhang, Z.Y.; Chu, X.L.; Xie, C.X.; Zhang, D.J.; Ma, C. Transition Metal-Free One-Pot Synthesis of Fused 1, 4-Thiazepin-5 (4 H)-ones and Theoretical Study of the S–N Type Smiles Rearrangement Process. J. Org. Chem. 2014, 79, 8040–8048. [Google Scholar] [CrossRef] [PubMed]
- Tan, X.C.; Du, Y.N.; Yang, B.C.; Ma, C. A novel type of AIE material as a highly selective fluorescent sensor for the detection of cysteine and glutathione. RSC Adv. 2015, 5, 55165. [Google Scholar] [CrossRef]
- Tröger, J. Uber einige mittels nascierenden Formaldehyds entstehende Basen (About some bases formed via nascent formaldehyde). J. Prakt Chem. 1887, 36, 225. [Google Scholar] [CrossRef]
- Adrianm, J.C.; Wilcox, C.S. Orderly functional group dyads. Recognition of biotin and adenine derivatives by a new synthetic host. J. Am. Chem. Soc. 1989, 111, 8055. [Google Scholar] [CrossRef]
- Crossley, M.J.; Try, A.C.; Walton, R. Synthesis of accurate distance models of the primary donor-primary acceptor pair of bacterial photosynthetic reaction centres. Tetrahedron Lett. 1996, 37, 6807. [Google Scholar] [CrossRef]
- Try, A.C.; Painter, L.; Harding, M.M. Rigid chiral carbocyclic clefts as building blocks for the construction of new supramolecular hosts. Tetrahedron Lett. 1998, 39, 9809. [Google Scholar] [CrossRef]
- Tatibouët, A.; Demeunynck, M.; Andraud, C.; Collet, A.; Lhomme, J. Synthesis and study of an acridine substituted Tröger’s base: Preferential binding of the (–)-isomer to B-DNA. Chem. Commun. 1999, 23, 161. [Google Scholar] [CrossRef]
- Kubo, Y.; Ohno, T.; Yamanaka, J.; Tkita, S.; Iida, T.Y.; Ishimaru, J. Chirality-transfer control using a heterotopic zinc (II) porphyrin dimer. J. Am. Chem. Soc. 2001, 123, 12700. [Google Scholar] [CrossRef] [PubMed]
- Deprez, N.R.; McNitt, K.A.; Petersen, M.E.; Brown, R.G.; Lewis, D.E. Synthesis and fluorescence properties of naphthalimide-containing Tröger’s bases. Tetrahedron Lett. 2005, 46, 2149–2153. [Google Scholar] [CrossRef]
- Valík, M.; Malina, J.; Palivec, L.; Foltýnová, J.; Tkadlecová, M.; Urbanová, M.; Brabec, V.; Král, V. Tröger’s base scaffold in racemic and chiral fashion as a spacer for bisdistamycin formation. Synthesis and DNA binding study. Tetrahedron 2006, 62, 8591. [Google Scholar] [CrossRef]
- Hof, F.; Schär, M.; Scofield, D.M.; Fischer, F.; Diederich, F.; Sergeyev, S. Preparation of Tröger Base Derivatives by Cross-Coupling Methodologies. Helv. Chim. Acta 2005, 88, 2333–2344. [Google Scholar] [CrossRef]
- Kiehne, U.; Weilandt, T.; Lützen, A. Diastereoselective Self-Assembly of Double-Stranded Helicates from Tröger’s Base Derivatives. Org. Lett. 2007, 9, 1283–1286. [Google Scholar] [CrossRef] [PubMed]
- Šturala, J.; Cibulka, R. Synthesis of Symmetrical Dinitro- and Diamino- Substituted Tröger’s Base Analogues. Eur. J. Org. Chem. 2012, 36, 7066–7074. [Google Scholar] [CrossRef]
- Sun, Q.; Dai, Z.; Meng, X.; Xiao, F.S. Porous polymer catalysts with hierarchical structures. Chem. Soc. Rev. 2015, 44, 6018–6034. [Google Scholar] [CrossRef]
- Jensen, J.; Tejler, J.; Wärnmark, K. General Protocols for the Synthesis of C 2-Symmetric and Asymmetric 2, 8-Disubstituted Analogues of Tröger’s Base via Efficient Bromine−Lithium Exchanges of 2, 8-Dibromo-6H, 12 H-5, 11-methanodibenzo [b, f][1, 5] diazocine. J. Org. Chem. 2002, 67, 6008–6014. [Google Scholar] [CrossRef]
- Faroughi, M.; Try, A.C.; Klepetko, J.; Turner, P. Changing the shape of Tröger’s base. Tetrahedron Lett. 2007, 48, 6548–6551. [Google Scholar] [CrossRef]
- Vande Velde, C.M.; Didier, D.; Blockhuys, F.; Sergeyev, S. Racemic. 1, 2, 3, 4, 7, 8, 9, 10-octafluoro-6H, 12H-5, 11- methanodibenzo[b, f][1, 5] diazocine: An octafluorinated analogue of Tröger’s base. Acta Crystallogr. Sect. E Struct. Rep. Online 2008, 64, 538. [Google Scholar] [CrossRef] [PubMed]
- Demeunynck, M.; Tatibouët, A. Progress in Heterocyclic Chemistry; Gribble, G.W., Gilchrist, T.L., Eds.; Pergamon: Oxford, UK, 1999; Volume 11, pp. 1–20. [Google Scholar]
- Dolenský, B.; Elguero, J.; Kral, V.; Pardo, C.; Valik, M. Current Tröger’s base chemistry. Adv. Heterocycl. Chem. 2007, 93, 1–56. [Google Scholar]
- Valik, M.; Strongin, R.M.; Král, V. Tröger’s Base Derivatives-New Life for Old Compounds. Supramol. Chem. 2005, 17, 347–367. [Google Scholar] [CrossRef]
- Pardo, C.; Sesmilo, E.; Gutiérrez-Puebla, E.; Monge, A.; Elguero, J.; Fruchier, A. New chiral molecular tweezers with a bis-Tröger’s base skeleton. J. Org. Chem. 2001, 66, 1607–1611. [Google Scholar] [CrossRef] [PubMed]
- Wilen, S.H.; Qi, J.Z.; Williard, P.G. Resolution, asymmetric transformation, and configuration of Troeger’s base. Application of Troeger’s base as a chiral solvating agent. J. Org. Chem. 1991, 56, 485. [Google Scholar] [CrossRef]
- Boyle, E.M.; Comby, S.; Molloy, J.K.; Gunnlaugsson, T. Thiourea Derived Tröger’s Bases as Molecular Cleft Receptors and Colorimetric Sensors for Anions. J. Org. Chem. 2013, 78, 8312–8319. [Google Scholar] [CrossRef] [PubMed]
- Blaser, H.U.; Jalett, H.P.; Lottenbach, W.; Studer, M. Heterogeneous enantioselective hydrogenation of ethyl pyruvate catalyzed by cinchona-modified Pt catalysts: Effect of modifier structure. J. Am. Chem. Soc. 2000, 122, 12675. [Google Scholar] [CrossRef]
- Yuan, C.X.; Tao, X.T.; Ren, Y.; Li, Y.; Yang, J.X.; Yu, W.T.; Wang, L.; Jiang, M.H. Synthesis, structure, and aggregation-induced emission of a novel lambda (Λ)-shaped pyridinium salt based on tröger’s base. J. Phys. Chem. C 2007, 111, 12811. [Google Scholar] [CrossRef]
- Xin, Q.; Tao, X.T.; Wang, F.Z.; Sun, J.L.; Zou, D.C.; Wang, F.J.; Liu, H.J.; Liu, Z.; Ren, Y.; Jiang, M.H. Fluorene-based Tröger’s base analogues: Potential electroluminescent materials. Org. Electron. 2008, 9, 1076–1086. [Google Scholar] [CrossRef]
- Frisch, M.J.; Trucks, G.W.; Schlegel, H.B.; Scuseria, G.E.; Robb, M.A.; Cheeseman, J.R.; Montgomery, J.A.; Vreven, T., Jr.; Kudin, K.N.; Burant, J.C.; et al. Gaussian 03 Citation. 2004. Available online: http://gaussian.com/g03citation/ (accessed on 1 November 2016).
Sample Availability: Samples of the compounds 3–8 are available from the authors. |
© 2019 by the authors. Licensee MDPI, Basel, Switzerland. This article is an open access article distributed under the terms and conditions of the Creative Commons Attribution (CC BY) license (http://creativecommons.org/licenses/by/4.0/).




