γ-Propoxy-Sulfo-Lichenan Induces In Vitro Cell Differentiation of Human Keratinocytes
Abstract
:1. Introduction
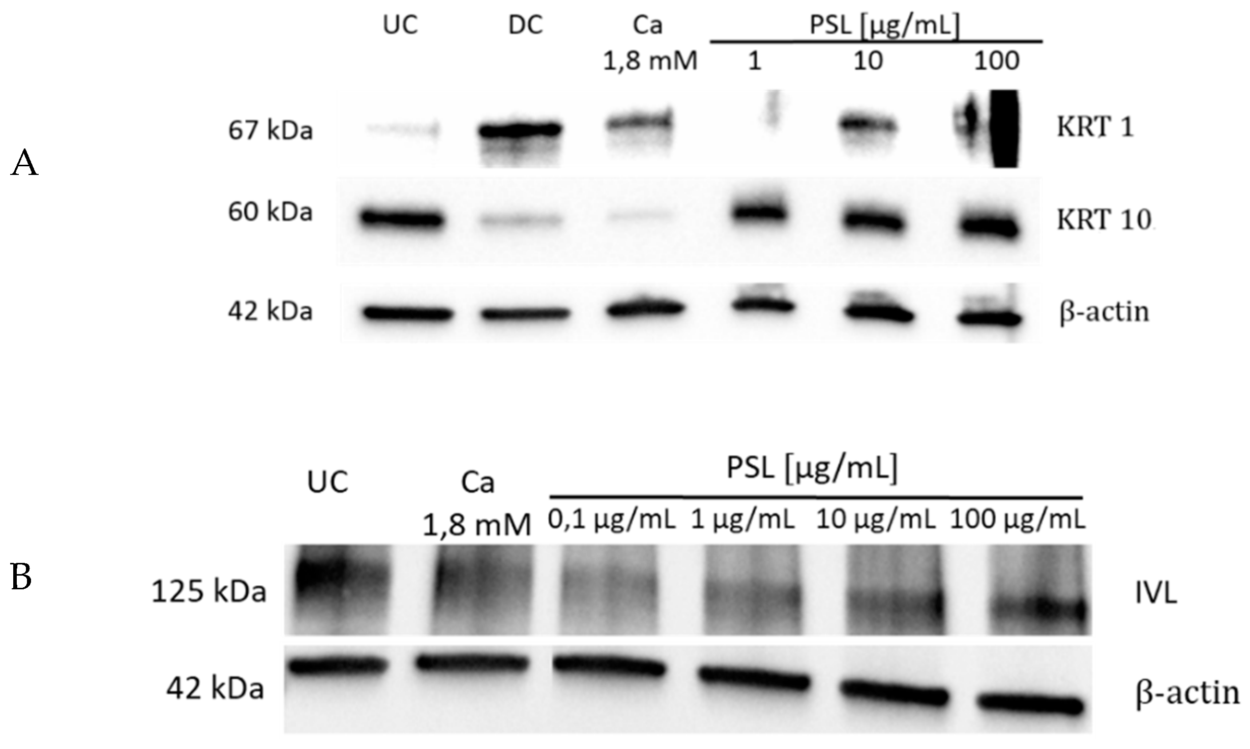
2. Results and Discussion
3. Materials and Methods
3.1. General Methodology
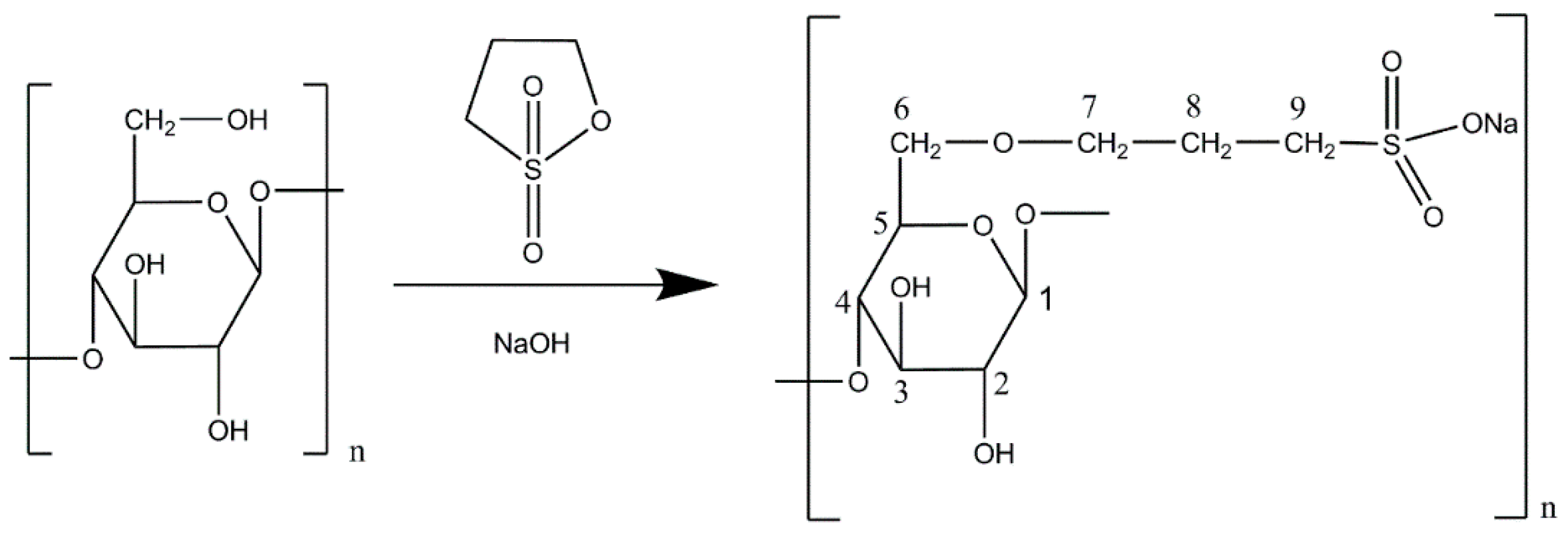
3.2. Synthesis of PSL
Synthesis of PSL was performed as decribed in Reference [12].
3.3. Cells and Cell Culture
Experiments were performed as described in Refenence [8].
3.4. Assays for Cell Physiology
3.5. qPCR, Isolation, Quantitation, and Reverse Transcription of Total RNA
3.6. Statistics
4. Conclusion
Supplementary Materials
Author Contributions
Funding
Acknowledgments
Conflicts of Interest
Abbreviations
| CK | cytokeratin |
| DP | degree of substitution |
| EGFR | epidermal growth factor receptor |
| FLG | filaggrin |
| HaCaT | Human adult low Calcium high Temperature keratinocyte cell line |
| KRT | (cyto)keratin |
| IVL | involucrin |
| LOR | loricrin |
| NHEK | primary normal human epidermal keratinocytes |
| PSL | γ-propoxy-sulfo-lichenan |
| qPCR | quantitative real-time polymerase chain reaction |
| TGM | transglutaminase |
| UC | untreated control |
References
- McGuckin, M.; Waterman, R.; Brooks, J.; Cherry, G.; Porten, L.; Hurley, S.; Kerstein, M.D. Validation of venous leg ulcer guidelines in the United States and United Kingdom. Am. J. Surg. 2002, 183, 132–137. [Google Scholar] [CrossRef]
- Steven, A.C.; Steinert, P.M. Protein composition of cornified cell envelopes of epidermal keratinocytes. J. Cell Sci. 1994, 107 Pt 2, 693–700. [Google Scholar] [PubMed]
- Candi, E.; Schmidt, R.; Melino, G. The cornified envelope: A model of cell death in the skin. Nat. Rev. Mol. Cell Biol. 2005, 6, 328–340. [Google Scholar] [CrossRef] [PubMed]
- Lorand, L.; Graham, R.M. Transglutaminases: Crosslinking enzymes with pleiotropic functions. Nat. Rev. Mol. Cell Biol. 2003, 4, 140–156. [Google Scholar] [CrossRef] [PubMed]
- Zippel, J.; Wells, T.; Hensel, A. Arabinogalactan protein from Jatropha curcas L. seeds as TGFβ1-mediated inductor of keratinocyte in vitro differentiation and stimulation of GM-CSF, HGF, KGF and in organotypic skin equivalents. Fitoterapia 2010, 81, 772–778. [Google Scholar] [CrossRef] [PubMed]
- Zippel, J.; Deters, A.; Pappai, D.; Hensel, A. A high molecular arabinogalactan from Ribes nigrum L.: Influence on cell physiology of human skin fibroblasts and keratinocytes and internalization into cells via endosomal transport. Carbohydr. Res. 2009, 344, 1001–1008. [Google Scholar] [CrossRef] [PubMed]
- Zippel, J.; Deters, A.; Hensel, A. Arabinogalactans from Mimosa tenuiflora (Willd.) Poiret bark as active principles for wound-healing properties: Specific enhancement of dermal fibroblast activity and minor influence on HaCaT keratinocytes. J. Ethnopharmacol. 2009, 124, 391–396. [Google Scholar] [CrossRef]
- Zacharski, D.M.; Brandt, S.; Esch, S.; König, S.; Mormann, M.; Ulrich-Merzenich, G.; Hensel, A. Xyloglucan from Tropaeolum majus Seeds Induces Cellular Differentiation of Human Keratinocytes by Inhibition of EGFR Phosphorylation and Decreased Activity of Transcription Factor CREB. Biomacromolecules 2015, 16, 2157–2167. [Google Scholar] [CrossRef]
- Esch, S.; König, S.; Bopp, B.; Jose, J.; Brandt, S.; Hensel, A. Cryptotanshinone from Salvia miltiorrhiza Roots Reduces Cytokeratin CK1/10 Expression in Keratinocytes by Activation of Peptidyl-prolyl-cis-trans-isomerase FKBP1A. Planta Med. 2018. [Google Scholar] [CrossRef]
- Zacharski, D.M.; Esch, S.; König, S.; Mormann, M.; Brandt, S.; Ulrich-Merzenich, G.; Hensel, A. β-1,3/1,4-Glucan Lichenan from Cetraria islandica (L.) ACH. induces cellular differentiation of human keratinocytes. Fitoterapia 2018, 129, 226–236. [Google Scholar] [CrossRef]
- Deters, A.; Petereit, F.; Schmidgall, J.; Hensel, A. N-Acetyl-D-glucosamine oligosaccharides induce mucin secretion from colonic tissue and induce differentiation of human keratinocytes. J. Pharm. Pharmacol. 2008, 60, 197–204. [Google Scholar] [CrossRef] [PubMed]
- Hensel, A. gamma-Propoxy-sulfo-lichenin, an antitumor polysaccharide derived from lichenin. Pharm. Acta Helv. 1995, 70, 25–31. [Google Scholar] [CrossRef]
- Porstmann, T.; Ternynck, T.; Avrameas, S. Quantitation of 5-bromo-2-deoxyuridine incorporation into DNA: An enzyme immunoassay for the assessment of the lymphoid cell proliferative response. J. Immunol. Methods 1985, 82, 169–179. [Google Scholar] [CrossRef]
- Mosmann, T. Rapid colorimetric assay for cellular growth and survival: Application to proliferation and cytotoxicity assays. J. Immunol. Methods 1983, 65, 55–63. [Google Scholar] [CrossRef]
- Hennings, H.; Holbrook, K.; Steinert, P.; Yuspa, S. Growth and differentiation of mouse epidermal cells in culture: Effects of extracellular calcium. Curr. Probl. Dermatol. 1980, 10, 3–25. [Google Scholar]
- Poumay, Y.; Pittelkow, M.R. Cell density and culture factors regulate keratinocyte commitment to differentiation and expression of suprabasal K1/K10 keratins. J. Investig. Dermatol. 1995, 104, 271–276. [Google Scholar] [CrossRef]
- Chae, M.; Jung, J.-Y.; Bae, I.-H.; Kim, H.-J.; Lee, T.R.; Shin, D.W. Lipin-1 expression is critical for keratinocyte differentiation. J. Lipid Res. 2016, 57, 563–573. [Google Scholar] [CrossRef]
- Moreno-Maldonado, R.; Ramírez, A.; Navarro, M.; Fernández-Aceñero, M.J.; Villanueva, C.; Page, A.; Jorcano, J.L.; Bravo, A.; Llanos Casanova, M. IKKalpha enhances human keratinocyte differentiation and determines the histological variant of epidermal squamous cell carcinomas. Cell Cycle 2008, 7, 2021–2029. [Google Scholar] [CrossRef]
- Liu, B.; Zhu, F.; Xia, X.; Park, E.; Hu, Y. A tale of terminal differentiation: IKKalpha, the master keratinocyte regulator. Cell Cycle 2009, 8, 527–531. [Google Scholar] [CrossRef]
- Oldak, M.; Maksym, R.B.; Sperling, T.; Yaniv, M.; Smola, H.; Pfister, H.J.; Malejczyk, J.; Smola, S. Human papillomavirus type 8 E2 protein unravels JunB/Fra-1 as an activator of the beta4-integrin gene in human keratinocytes. J. Virol. 2010, 84, 1376–1386. [Google Scholar] [CrossRef]
- Schneider, B.; Riedel, K.; Zhivov, A.; Huehns, M.; Zettl, H.; Guthoff, R.F.; Jünemann, A.; Erbersdobler, A.; Zimpfer, A. Frequent and Yet Unreported GNAQ and GNA11 Mutations are Found in Uveal Melanomas. Pathol. Oncol. Res. POR 2017. [Google Scholar] [CrossRef] [PubMed]
- Davis, R.J. The mitogen-activated protein kinase signal transduction pathway. J. Biol. Chem. 1993, 268, 14553–14556. [Google Scholar] [PubMed]
- Liu, X.; Yan, S.; Zhou, T.; Terada, Y.; Erikson, R.L. The MAP kinase pathway is required for entry into mitosis and cell survival. Oncogene 2004, 23, 763–776. [Google Scholar] [CrossRef] [PubMed]
- Jang, S.-I.; Steinert, P.M. Loricrin expression in cultured human keratinocytes is controlled by a complex interplay between transcription factors of the Sp1, CREB, AP1, and AP2 families. J. Biol. Chem. 2002, 277, 42268–42279. [Google Scholar] [CrossRef] [PubMed]
- Nakamura, H.; Edward, D.P.; Sugar, J.; Yue, B.Y.J.T. Expression of Sp1 and KLF6 in the developing human cornea. Mol. Vis. 2007, 13, 1451–1457. [Google Scholar] [PubMed]
- Sohn, K.-C.; Lee, E.J.; Shin, J.-M.; Lim, E.-H.; No, Y.; Lee, J.Y.; Yoon, T.Y.; Lee, Y.H.; Im, M.; Lee, Y.; et al. Regulation of keratinocyte differentiation by O-GlcNAcylation. J. Dermatol. Sci. 2014, 75, 10–15. [Google Scholar] [CrossRef] [PubMed]
- Hau, C.S.; Tada, Y.; Shibata, S.; Uratsuji, H.; Asano, Y.; Sugaya, M.; Kadono, T.; Kanda, N.; Watanabe, S.; Tamaki, K.; et al. High calcium, ATP, and poly(I:C) augment the immune response to β-glucan in normal human epidermal keratinocytes. J. Investig. Dermatol. 2011, 131, 2255–2262. [Google Scholar] [CrossRef]
- Herrmann, A.; König, S.; Lechtenberg, M.; Sehlbach, M.; Vakhrushev, S.Y.; Peter-Katalinic, J.; Hensel, A. Proteoglycans from Boswellia serrata Roxb. and B. carteri Birdw. and identification of a proteolytic plant basic secretory protein. Glycobiology 2012, 22, 1424–1439. [Google Scholar] [CrossRef]
- Dais, P.; Perlin, A.S. High-field, 13 C-N.M.R. spectroscopy of β-d-glucans, amylopectin, and glycogen. Carbohydr. Res. 1982, 100, 103–116. [Google Scholar] [CrossRef]
Sample Availability: Samples of the compound PSL are available from the authors. |







| Gene | Protein | Function |
|---|---|---|
| CDKN1A/p21 | Cyclin-dependent kinase inhibitor 1 | Influence on differentiation → G1 cell cycle arrest; initiation of differentiation in NHEK [17] |
| CHUK/IKKA | Inhibitor of nuclear factor kappaB kinase subunit alpha | Regulation of EGFR/Ras signaling; early and terminal differentiation of keratinocytes; interaction with E-cadherin [18,19] |
| FLG | Filaggrin | Structural protein of cornfied envelopes; marker of terminal differentiation [3] |
| FOSL1/Fra-1 | Fos-related antigen 1 | Forms AP1 complex together with JunB → interaction with integrin β4; influencing keratinocytes differentiation [20] |
| GNAQ | Guanin nucleotide-binding protein G(q) subunit alpha | G(q) coupled protein of the family of heterotrimeric guanine nucleotide binding G proteins [21] |
| KRT1 | Keratin, type II cytoskeletal 1 | Differentiation specific marker protein in NHEK; structural element of cornified envelope [3] |
| KRT10 | Keratin, type I cytoskeletal 10 | Differentiation specific marker protein in NHEK; structural element of cornified envelope [3] |
| MAP2K1 | Dual specificity mitogen-activated protein kinase kinase 1 | Part of the MAP kinase family; signaling; mostly coupled to membrane associated receptors; influence on cell cycle, proliferation, cell survival [22,23] |
| SP1 | Transcription factor Sp1 | Transcription factor; influence on differentiation of keratinocytes; regulation of loricrin, involucrin [24,25,26] |
| TGFB1R | Transforming growth factor receptor beta 1 | Membrane associated receptor, Ser/Thr protein kinase type; forms heterodimeric complex with ligand TGFB1; regulates cell cycle, differentiation, proliferation, wound healing, formation of extra cellular matrix, immune suppression; further signaling via SMAD 2, 3, 4 |
| Gene | Assay-ID | Gene | Assay-ID |
|---|---|---|---|
| PPIA | Hs04194521_s1 | IVL | Hs00846307_s1 |
| UBC | Hs00824723_m1 | TGM1 | Hs00165929_m1 |
| TBP | Hs00427621_m1 | SMAD2 | Hs00183425_01 |
| KRT1 | Hs00196158_m1 | SMAD3 | Hs00706299_s1 |
| KRT10 | Hs00166289_m1 | TGFB1 | Hs00998133_m1 |
| LOR | Hs01894962_s1 | TGFB1R | Hs00610320_m1 |
| FLG | Hs00856927_g1 | TGM1 | Hs00165929_m1 |
© 2019 by the authors. Licensee MDPI, Basel, Switzerland. This article is an open access article distributed under the terms and conditions of the Creative Commons Attribution (CC BY) license (http://creativecommons.org/licenses/by/4.0/).
Share and Cite
Esch, S.; Gottesmann, M.; Hensel, A. γ-Propoxy-Sulfo-Lichenan Induces In Vitro Cell Differentiation of Human Keratinocytes. Molecules 2019, 24, 574. https://doi.org/10.3390/molecules24030574
Esch S, Gottesmann M, Hensel A. γ-Propoxy-Sulfo-Lichenan Induces In Vitro Cell Differentiation of Human Keratinocytes. Molecules. 2019; 24(3):574. https://doi.org/10.3390/molecules24030574
Chicago/Turabian StyleEsch, Stefan, Maren Gottesmann, and Andreas Hensel. 2019. "γ-Propoxy-Sulfo-Lichenan Induces In Vitro Cell Differentiation of Human Keratinocytes" Molecules 24, no. 3: 574. https://doi.org/10.3390/molecules24030574
APA StyleEsch, S., Gottesmann, M., & Hensel, A. (2019). γ-Propoxy-Sulfo-Lichenan Induces In Vitro Cell Differentiation of Human Keratinocytes. Molecules, 24(3), 574. https://doi.org/10.3390/molecules24030574
