Spirocyclic Motifs in Natural Products
Abstract
1. Introduction
2. [2.4.0] Spirocyclic System
3. [2.5.0] Spirocyclic System
4. [3.4.0] Spirocyclic System
5. [3.5.0] Spirocyclic System
6. [3.7.0] Spirocyclic System
7. [4.4.0] Spirocyclic System
8. [4.5.0] Spirocyclic System
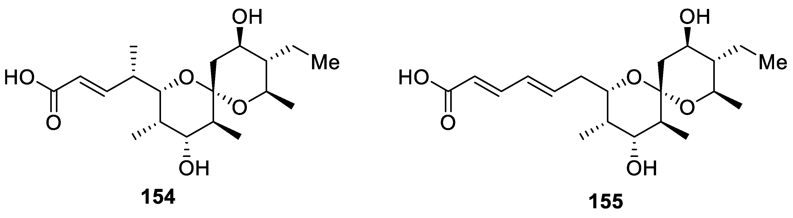
9. [4.6.0] Spirocyclic System
10. [4.7.0] Spirocyclic System
11. [5.5.0] Spirocyclic System
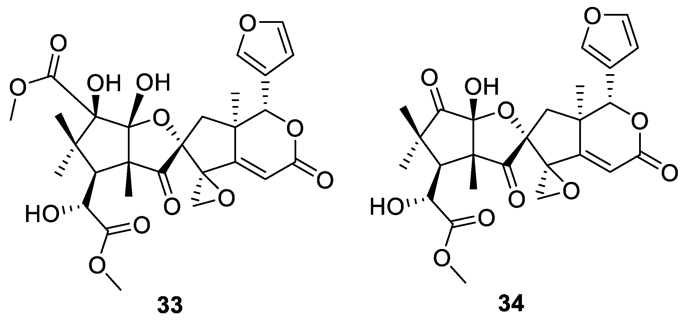
12. [5.6.0] Spirocyclic System
13. [6.6.0] Spirocyclic System
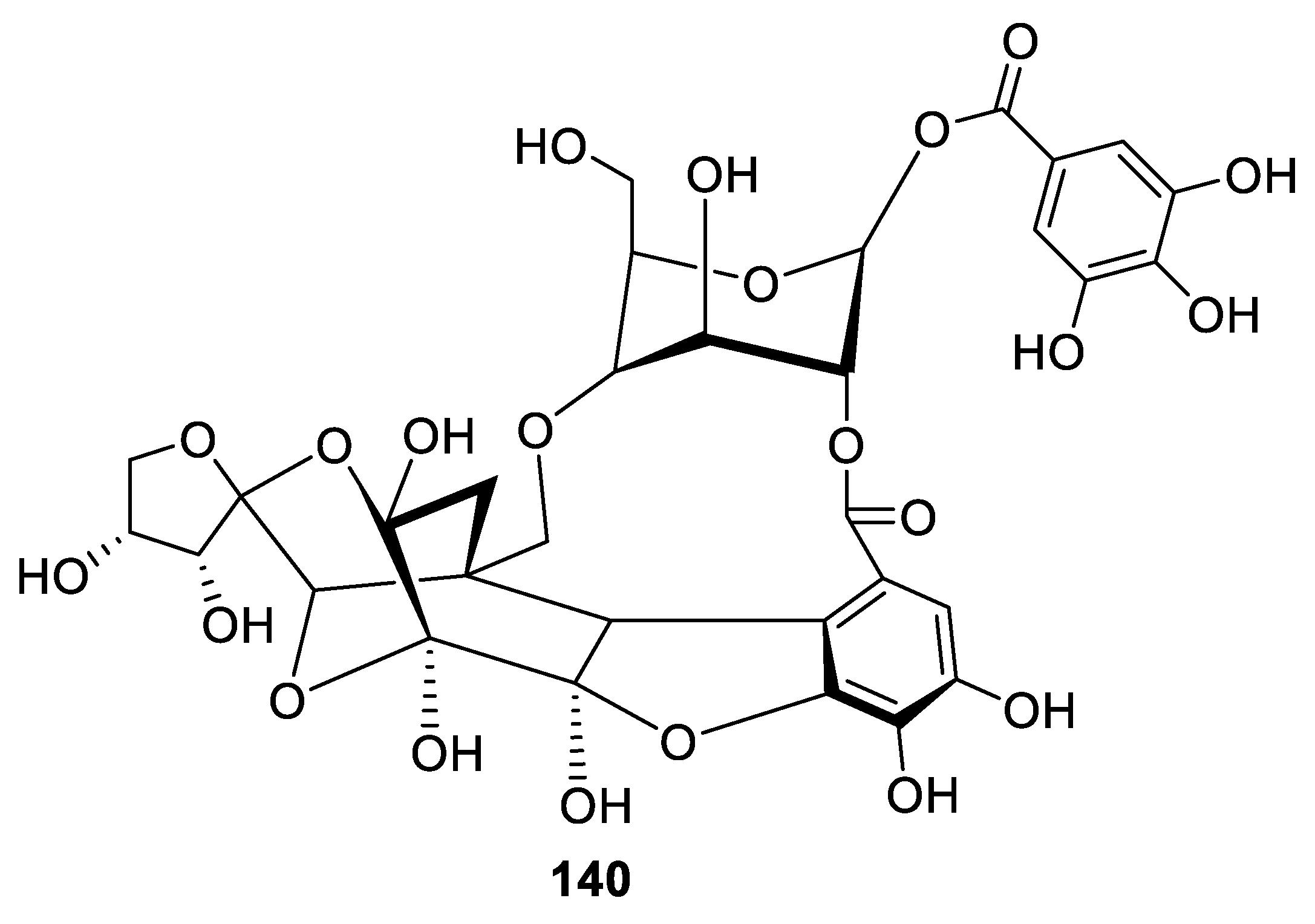
14. Plant Species Distinctly Rich in Diverse Spirocyclic Natural Products
15. Conclusions and Perspectives
Funding
Acknowledgments
Conflicts of Interest
References
- Newman, D.J.; Cragg, G.M. Natural products as sources of new drugs over the 30 years from 1981 to 2010. J. Nat. Prod. 2012, 75, 311–335. [Google Scholar] [CrossRef] [PubMed]
- Rios, R. Enantioselective methodologies for the synthesis of spiro compounds. Chem. Soc. Rev. 2012, 41, 1060–1074. [Google Scholar] [CrossRef] [PubMed]
- Zheng, Y.; Tice, C.M.; Singh, S.B. The use of spirocyclic scaffolds in drug discovery. Bioorg. Med. Chem. Lett. 2014, 24, 3673–3682. [Google Scholar] [CrossRef] [PubMed]
- Zhao, H.; Akritopoulou-Znze, I. When analoging is not enough: Scaffold discovery in medicinal chemistry. Exp. Opin. Drug. Discov. 2010, 5, 123–134. [Google Scholar] [CrossRef] [PubMed]
- Smith, L.K.; Baxendale, I.R. Total syntheses of natural products containing spirocarbocycles. Org. Biomol. Chem. 2015, 13, 9907–9933. [Google Scholar] [CrossRef] [PubMed]
- Quintavalla, A. Spirolactones: Recent advances in natural products, bioactive compounds and synthetic strategies. Curr. Med. Chem. 2018, 25, 917–962. [Google Scholar] [CrossRef] [PubMed]
- Marti, C.; Carreira, E.M. Construction of spiro[pyrrolidine-3,3′-oxindoles] − recent applications to the synthesis of oxindole alkaloids. Eur. J. Org. Chem. 2003, 12, 2209–2219. [Google Scholar] [CrossRef]
- Tsuji, N.; Kobayashi, M.; Wakisaka, Y.; Kawamura, Y.; Mayama, M.; Matsumoto, K. New antibiotics, griseusins A and B. Isolation and characterization. J. Antibiot. 1976, 29, 7–9. [Google Scholar] [CrossRef][Green Version]
- Briar, J.; Brimble, N.; Brimble, M.A. Synthesis of the griseusin B framework via a one-pot annulation–methylation–double deprotection–spirocyclization sequence. Org. Lett. 2013, 15, 2006–2009. [Google Scholar]
- Galliford, C.V.; Scheidt, K.A. Pyrrolidinyl-spirooxindole natural products as inspirations for the development of potential therapeutic agents. Angew. Chem. Int. Ed. 2007, 46, 8748–8758. [Google Scholar] [CrossRef]
- Richter, R.; von Reuß, S.H.; König, W.A. Spirocyclopropane-type sesquiterpene hydrocarbons from Schinus terebinthifolius raddi. Phytochemistry 2010, 71, 1371–1374. [Google Scholar] [CrossRef] [PubMed]
- Tanaka, S.; Honmura, Y.; Uesugi, S.; Fukushi, E.; Tanaka, K.; Maeda, H.; Kimura, K.; Nehira, T.; Hashimoto, M. Cyclohelminthol X, a hexa-substituted spirocyclopropane from Helminthosporium velutinum yone96: Structural elucidation, electronic circular dichroism analysis, and biological properties. J. Org. Chem. 2017, 82, 5574–5582. [Google Scholar] [CrossRef] [PubMed]
- Murakami, N.; Ye, Y.; Kawanishi, M.; Aoki, S.; Kudo, N.; Yoshida, M.; Nakayama, E.E.; Shioda, T.; Koboyashi, M. New rev-transport inhibitor with anti-HIV activity from Valerianae Radix. Bioorg Med. Chem Lett. 2002, 12, 2807–2810. [Google Scholar] [CrossRef]
- Stransky, K.; Semerdžievab, M.; Otmara, M.; Procházkaa, Ž.; Buděšínskýa, M.; Ubika, K.; Kohoutováa, J.; Streinz, L. Antifungal antibiotic from the mushroom Agrocybe aegerita (BRIG.) SING. Collect. Czech. Chem. Commun. 1992, 57, 590–603. [Google Scholar] [CrossRef]
- Bollinger, P.; Sigg, H.P.; Weber, H.P. Die struktur von ovalicin. Helv. Chim. Acta. 1973, 56, 819–830. [Google Scholar] [CrossRef]
- Newman, D.J.; Cragg, G.M. Natural products of therapeutic importance. In Comprehensive Natural Products II; Liu, H.W., Mander, L., Eds.; Elsevier: Amsterdam, The Netherlands, 2010; pp. 623–650. ISBN 978-0-08-045382-8. [Google Scholar]
- Yadav, J.S.; Reddy, P.N.; Reddy, B.V.S. Stereoselective total synthesis of (−) -ovalicin. Synlett 2010, 457–462. [Google Scholar] [CrossRef]
- Ichimura, M.; Ogawa, T.; Takahashi, K.-I.; Kobayashi, E.; Kawamoto, I.; Yasuzawa, T.; Takahashi, I.; Nakano, H. Duocarmycin SA, a new antitumor antibiotic from Streptomyces sp. J. Antibiot. (Tokyo) 1990, 43, 1037–1038. [Google Scholar] [CrossRef]
- Ko, K.; Lee, S.H.; Kim, S.H.; Kim, E.H.; Oh, K.B.; Shin, J.; Oh, D.C. Lajollamycins, nitro group-bearing spiro-β-lactone-γ-lactams obtained from a marine-derived Streptomyces sp. J. Nat. Prod. 2014, 77, 20999–22104. [Google Scholar] [CrossRef]
- Tian, J.; Zhao, Q.-S.; Zhang, H.-J.; Lin, Z.-W.; Sun, H.-D. New cleroindicins from Clerodendrum indicum. J. Nat. Prod. 1997, 60, 766–769. [Google Scholar] [CrossRef]
- Kouno, I.; Hashimoto, M.; Enjoji, S.; Takahashi, M.; Kaneto, H.; Yang, C.S. Isolation of neoanisatin derivatives from the pericarps of Illicium majus with other constituents. Chem. Pharm. Bull. 1991, 39, 1773–1778. [Google Scholar] [CrossRef][Green Version]
- Edwards, R.L.; Maitland, D.J.; Oliver, C.L.; Pacey, M.S.; Shields, L.; Whalley, A.J. Metabolites of the higher fungi. Part 31.1 longianone, a C7H6O4 spirobicyclic lactone from the fungus Xylaria longiana (Rehm.). J. Chem. Soc. Perkin Trans. 1 1999, 715–719. [Google Scholar] [CrossRef]
- Perali, R.S.; Kalapati, S. First enantioselective total synthesis of (S)-(−)-longianone. Tetrahedron 2012, 68, 3725–3728. [Google Scholar] [CrossRef]
- Aramaki, Y.; Chiba, K.; Tada, M. Spiro-lactones, hyperolactone A-D from Hypericum chinense. Phytochemistry 1995, 38, 1419–1421. [Google Scholar] [CrossRef]
- Gao, X.; Chooi, Y.H.; Ames, B.D.; Wang, P.; Walsh, C.T.; Tang, Y. Fungal indole alkaloid biosynthesis: Genetic and biochemical investigation of the tryptoquialanine pathway in Penicillium aethiopicum. J. Am. Chem. Soc. 2011, 133, 2729–2741. [Google Scholar] [CrossRef] [PubMed]
- Nicolaou, K.C.; Sanchini, S.; Sarlah, D.; Lu, G.; Wu, T.R.; Nomura, D.K.; Cravatt, B.F.; Cubitt, B.; de la Torre, J.C.; Hessell, A.J.; et al. Design, synthesis, and biological evaluation of a biyouyanagin compound library. PNAS 2011, 108, 6715–6720. [Google Scholar] [CrossRef]
- Tuchinda, P.; Munyoo, B.; Pohmakotr, M.; Thinapong, P.; Sophasan, S.; Santisuk, T.; Reutrakul, V. Cytotoxic styryl-lactones from the leaves and twigs of Polyalthia crassa. J. Nat. Prod. 2006, 69, 1728–1733. [Google Scholar] [CrossRef]
- Nukina, M.; Hirota, H. Pyrenolide D, a new cytotoxic fungal metabolite from Pyrenophora teres. Biosci. Biotechnol. Biochem. 1992, 56, 1158–1159. [Google Scholar] [CrossRef]
- González, A.G.; Francisco, C.G.; Freire, R.; Hernández, R.; Salazar, J.A.; Suárez, E.C. C12 stereochemistry of α- and β-levantenolide carbon-13 NMR spectra of labdanolic diterpenes. Tetrahedron Lett. 1976, 17, 1897–1898. [Google Scholar] [CrossRef]
- Kiem, P.V.; Anh, H.T.; Nhiem, N.X.; Minh, C.V.; Thuy, N.T.; Yen, P.H.; Hang, D.T.; Tai, B.H.; Mathema, V.B.; Koh, Y.S.; et al. Labdane-type diterpenoids from the Rhizomes of Hedychium coronarium inhibit lipopolysaccharide-stimulated production of pro-inflammatory cytokines in bone marrow-derived dendritic cells. Chem. Pharm. Bull. 2012, 60, 246–250. [Google Scholar] [CrossRef]
- Yang, X.-Z.; Zhu, J.-Y.; Tang, C.-P.; Ke, C.-Q.; Lin, G.; Cheng, T.-Y.; Rudd, J.A.; Ye, Y. Alkaloids from roots of Stemona sessilifolia and their antitussive activities. Planta Med. 2009, 75, 174–177. [Google Scholar] [CrossRef]
- An, F.-L.; Luo, J.; Li, R.-J.; Luo, J.-G.; Wang, X.-B.; Yang, M.-H.; Yang, L.; Yao, H.-Q.; Sun, H.-B.; Chen, Y.-J.; et al. Spirotrichilins A and B two rearranged spirocyclic Limonoids from Trichilia connaroides. Org. Lett. 2016, 18, 1924–1927. [Google Scholar] [CrossRef] [PubMed]
- Wang, Y.-N.; Xia, G.-Y.; Wang, L.-Y.; Ge, G.-B.; Zhang, H.-W.; Zhang, J.-F.; Wu, Y.-Z.; Lin, S. Purpurolide A, 5/5/5 spirocyclic sesquiterpene lactone in nature from the endophytic fungus Penicillium purpurogenum. Org. Lett. 2018, 20, 7341–7344. [Google Scholar] [CrossRef] [PubMed]
- Shiobara, Y.; Asakawa, Y.; Kodama, M.; Yasuda, K.; Takemoto, T. Curcumenone, curcumanolide A and cur-cumanolide B, three sesquiterpenoids from Curcuma zedoaria. Phytochemistry 1985, 24, 2629–2633. [Google Scholar] [CrossRef]
- Schripsema, J.; Caprini, G.P.; Dagnino, D. Revision of the structures of citrifolinin A, citrifolinoside, yopaaoside A, yopaaoside B, and morindacin, iridoids from Morinda citrifolia L. and Morinda coreia Ham. Org. Lett. 2006, 8, 5337–5340. [Google Scholar] [CrossRef]
- Pang, X.; Lin, X.; Yang, J.; Zhou, X.; Yang, B.; Wang, J.; Liu, Y. Spiro-phthalides and isocoumarins isolated from the marine-sponge-derived fungus Setosphaeria sp. SCSIO41009. J. Nat. Prod. 2018, 81, 1860–1868. [Google Scholar] [CrossRef]
- Nielsen, K.F.; Mansson, M.; Jens, C.R.; Frisvad, C.; Larsen, T.O. Dereplication of microbial natural products by LC-DAD-TOFMS. J. Nat. Prod. 2011, 74, 2338–2348. [Google Scholar] [CrossRef]
- Liu, Y.; Ding, G.; Li, Y.; Qu, J.; Ma, S.; Lv, H.; Liu, Y.; Wang, W.; Dai, J.; Tang, Y.; et al. Structures and absolute configurations of penicillactones A–C from an endophytic microorganism, Penicillium dangeardii Pitt. Org. Lett. 2013, 15, 5206–5209. [Google Scholar] [CrossRef]
- Nakajima, M.; Itoi, K.; Takamatsu, Y.; Kinoshita, T.; Okazaki, T.; Kawakubo, K.; Shindo, M.; Honma, T.; Tohjigamori, M.; Haneishi, T. Hydantocidin: A new compound with herbicidal activity from Streptomyces hygroscopicus. J. Antibiot. 1991, 44, 293–300. [Google Scholar] [CrossRef]
- Luo, Q.; Wei, X.Y.; Yang, J.; Luo, J.F.; Liang, R.; Tu, Z.C.; Cheng, Y.X. Spiro meroterpenoids from Ganoderma applanatum. J. Nat. Prod. 2017, 80, 61–70. [Google Scholar] [CrossRef]
- Cui, C.B.; Kakeya, H.; Okada, G.; Onose, R.; Osada, H. Novel mammalian cell cycle inhibitors, tryprostatins A, B and other diketopiperazines produced by Aspergillus fumigatus. J. Antibiot. 1996, 49, 527–533. [Google Scholar] [CrossRef]
- Bindra, J.S. Oxindole alkaloids. In The Alkaloids; Manske, R.H.F., Ed.; Academic Press: New York, NY, USA, 1973; pp. 84–121. ISBN 9780080865386. [Google Scholar]
- Váradi, A.; Marrone, G.F.; Palmer, T.C.; Narayan, A.; Szabó, M.R.; Le Rouzic, V.; Grinnell, S.G.; Subrath, J.J.; Warner, E.; Kalra, S.; et al. Mitragynine/corynantheidine pseudoindoxyls as opioid analgesics with mu agonism and delta antagonism, which do not recruit β-arrestin-2. J. Med. Chem. 2016, 59, 8381–8397. [Google Scholar] [CrossRef] [PubMed]
- Zarembo, J.E.; Douglas, B.; Valenta, J.; Weisbach, J.A. Metabolites of mitragynine. J. Pharm. Sci. 1974, 63, 1407–1415. [Google Scholar] [CrossRef] [PubMed]
- Hesse, M.; Philipsborn, W.V.; Schumann, D.; Spiteller, G.; Spiteller-Friedmann, M.; Taylor, W.I.; Schmid, H.; Karrer, P. Die Strukturen von C-Fluorocurin, C-Mavacurin und Pleiocarpamin. 57. Mitteilung über Curare-Alkaloide. Helv. Chim. Acta 1964, 47, 878–911. [Google Scholar] [CrossRef]
- Wang, F.; Fang, Y.; Zhu, T.; Zhang, M.; Lin, A.; Gu, Q.; Zhu, W. Seven new prenylated indole diketopiperazine alkaloids from holothurian-derived fungus Aspergillus fumigatus. Tetrahedron 2008, 64, 7986–7991. [Google Scholar] [CrossRef]
- Birch, A.J.; Wright, J.J. Studies in relation to biosynthesis—XLII: The structural elucidation and some aspects of the biosynthesis of the brevianamides-A and -E. Tetrahedron 1970, 26, 2329–2344. [Google Scholar] [CrossRef]
- Phillipson, J.D.; Supavita, N. Alkaloids of uncaria elliptica. Phytochemistry 1983, 22, 1809–1813. [Google Scholar] [CrossRef]
- Ren, H.; Liu, R.; Chen, L.; Zhu, T.; Zhu, W.M.; Gu, Q.Q. Two new hetero-spirocyclic γ-lactam derivatives from marine sediment-derived fungus Aspergillus sydowi D2–6. Arch. Pharm. Res. 2010, 33, 499–502. [Google Scholar] [CrossRef]
- Pedras, M.S.C.; Suchy, M.; Ahiahonu, P.W.K. Unprecedented chemical structure and biomimetic synthesis of erucalexin, a phytoalexin from the wild crucifer Erucastrum gallicum. Org. Biomol. Chem. 2006, 4, 691–701. [Google Scholar] [CrossRef]
- Ariza, M.R.; Larsen, T.O.; Petersen, B.O.; Duus, J.O.; Barrero, A.F. Penicillium digitatum metabolites on synthetic media and citrus fruits. J. Agric. Food. Chem. 2002, 50, 6361–6365. [Google Scholar] [CrossRef]
- Lee, M.; Lin, H.Y.; Cheng, F.; Chiang, W.; Kuo, Y. Isolation and characterization of new lactam compounds that inhibit lung and colon cancer cells from adlay (Coix lachryma-jobi L. var. ma-yuen Stapf) bran. Food. Chem. Toxicol. 2008, 46, 1933–1939. [Google Scholar] [CrossRef]
- Yang, X.L.; Li, Z.Z.; Zhang, S.; Yu, H.; Zhu, H.J.; Luo, D.Q. A new spirocyclic compound from the liquid culture of entomogenous fungus Isaria cateniannulata. J. Asian Nat. Prod. Res. 2012, 14, 1093–1096. [Google Scholar] [CrossRef] [PubMed]
- Liu, M.; Sun, W.; Shen, L.; Hao, X.; Al, A.; Weaam, H.; Lin, S.; Li, H.; Gao, W.; Wang, J.; et al. Bipolaricins A–I, ophiobolin-type tetracyclic sesterterpenes from a phytopathogenic Bipolaris sp. fungus. J. Nat. Prod. 2019, 82, 2897–2906. [Google Scholar] [CrossRef] [PubMed]
- Pandey, R.C.; Toussaint, M.W.; Stroshane, R.M.; Kalita, C.C.; Aszalos, A.A.; Garretson, A.L.; Wei, T.T.; Byrne, K.M.; Stroshane, R.M.; White, R.J. Fredericamycin A a new antitumor antibiotic. I. Production, isolation and physicochemical properties. J. Antibiot. (Tokyo) 1981, 34, 1389–1401. [Google Scholar] [CrossRef] [PubMed]
- Misra, R.; Pandey, R.C.; Silverton, J.V. Fredericamycin A, an antitumor antibiotic of a novel skeletal type. J. Am. Chem. Soc. 1982, 104, 4478–4479. [Google Scholar] [CrossRef]
- Li, Z.Y.; Qi, F.M.; Zhi, D.J.; Hu, Q.L.; Liu, Y.H.; Zhang, Z.X.; Fei, D.Q. A novel spirocyclic triterpenoid and a new taraxerane triterpenoid from Teucrium viscidum. Org. Chem. Front. 2017, 42–46. [Google Scholar] [CrossRef]
- Matsunaga, S.; Morita, R.; Ishida, T.; Inoue, M.; Shigi, M.; Miyamae, A. The structure of spirosupinanonediol, a triterpenoid bearing a novel skeletal system from Euphorbia supina. J. Chem. Soc. Chem. Commun. 1984, 1128–1129. [Google Scholar] [CrossRef]
- Ye, M.; Xiong, J.; Zhu, J.-J.; Hong, J.-L.; Zhao, Y.; Fan, H.; Yang, G.-X.; Xia, G.; Hu, J.-F. Leonurusoleanolides E–J, minor spirocyclic triterpenoids from Leonurus japonicus fruits. J. Nat. Prod. 2014, 77, 178–182. [Google Scholar] [CrossRef]
- Asim, M.; Hussien, H.; Poveda, L.; Arnason, J.T.; Durst, T. Triterpenoids from the bark of Ruptiliocarpon caracolito. Phytochemistry 2010, 71, 1418–1422. [Google Scholar] [CrossRef]
- Ni, G.; Li, J.Y.; Mai, Z.P.; Yu, D.Q. Belamcandanes A and B, two unprecedented tricyclic-iridal triterpenoids from Belamcanda chinensis. Tetrahedron Lett. 2018, 59, 151–155. [Google Scholar] [CrossRef]
- Hao, Z.Y.; Liang, D.; Luo, H.; Liu, Y.F.; Ni, G.; Zhang, Q.J.; Li, L.; Si, Y.K.; Sun, H.; Chen, R.Y.; et al. Bioactive sesquiterpenoids from the rhizomes of Acorus calamus. J. Nat. Prod. 2012, 75, 1083–1089. [Google Scholar] [CrossRef]
- Kawaguchi, Y.; Ochi, T.; Takaishi, Y.; Kawazoe, K.; Lee, K.H. New sesquiterpenes from Capsicum annuum. J. Nat. Prod. 2004, 67, 1893–1896. [Google Scholar] [CrossRef] [PubMed]
- MacMillan, J. Griseofulvin. Part VII. Dechlorogriseofulvin. J. Chem. Soc. 1953, 1697–1702. [Google Scholar] [CrossRef]
- Petersen, A.B.; Rønnest, M.H.; Larsen, T.O.; Clausen, M.H. The chemistry of Griseofulvin. Chem. Rev. 2014, 114, 12088–12107. [Google Scholar] [CrossRef] [PubMed]
- Murakami, T.; Sasaki, A.; Fukushi, E.; Kawabata, J.; Hashimoto, M.; Okuno, T. Lambertellol C, a labile and novel biosynthetic congener of lambertellols A and B. Bioorg. Med. Chem. Lett. 2005, 15, 2587–2590. [Google Scholar] [CrossRef] [PubMed]
- Balansa, W.; Islam, R.; Fontaine, F.; Piggott, A.M.; Zhang, H.; Xiao, X.; Webb, T.I.; Gilbert, D.F.; Lynch, J.W.; Capon, R.J. Sesterterpene glycinyl-lactams: A new class of glycine receptor modulator from Australian marine sponges of the genus Psammocinia. Org. Biomol. Chem. 2013, 11, 4695–4701. [Google Scholar] [CrossRef] [PubMed]
- Avcibasi, H.; Anil, H.; Toprak, M. Four terpenoids from Cedrus libanotica. Phytochemistry 1987, 10, 2852–2854. [Google Scholar] [CrossRef]
- Riedlinger, J.; Reicke, A.; Zähner, H.; Krismer, B.; Bull, A.T.; Maldonado, L.A.; Ward, A.C.; Goodfellow, M.; Bister, B.; Bischoff, D.; et al. Abyssomicins, inhibitors of the para-aminobenzoic acid pathway produced by the marine Verrucosispora strain AB-18-032. J. Antibiot. 2004, 57, 271–279. [Google Scholar] [CrossRef]
- Holtzel, A.; Dieter, A.; Schmid, D.G.; Brown, R.; Goodfellow, M.; Beil, W.; Jung, G.; Fiedler, H.P. Lactonamycin Z, an antibiotic and antitumor compound produced by Streptomyces sanglieri strain AK 623. J. Antibiot. 2003, 56, 1058–1061. [Google Scholar] [CrossRef][Green Version]
- Bussey, R.O.; Kaur, A.; Todd, D.A.; Egan, J.M.; El- Elimat, T.; Graf, T.N.; Raja, H.A.; Oberlies, N.H.; Cech, N.B. Comparison of the chemistry and diversity of endophytes isolated from wild-harvested and greenhouse-cultivated yerba mansa (Anemopsis californica). Phytochem. Lett. 2015, 202–208. [Google Scholar] [CrossRef]
- Asai, T.; Taniguchi, T.; Yamamoto, T.; Monde, K.; Oshima, Y. Structures of spiroindicumides A and B, unprecedented carbon skeletal spirolactones, and determination of the absolute configuration by vibrational circular dichroism exciton approach. Org. Lett. 2013, 15, 4320–4323. [Google Scholar] [CrossRef]
- Murakami, T.; Morikawa, Y.; Hashimoto, M.; Okuno, T.; Harada, Y. Lambertellols A and B, novel 3,4-dihydronaphthalen-1(2H)-ones with spiro-butenolide produced by Lambertella sp.1346. Org. Lett. 2004, 6, 157–160. [Google Scholar] [CrossRef] [PubMed]
- Sun, Z.L.; Zhang, M.; Zhang, J.F.; Feng, J. Antifungal and cytotoxic activities of the secondary metabolites from endophytic fungus Massrison sp. Phytomedicine 2011, 18, 859–862. [Google Scholar] [CrossRef] [PubMed]
- Feng, Y.; Wang, L.; Niu, S.; Li, L.; Si, Y.; Liu, X.; Che, Y. Naphthalenones from a Perenniporia sp. inhabiting the larva of a phytophagous Weevil, Euops chinesis. J. Nat. Prod. 2012, 75, 1339–1345. [Google Scholar] [CrossRef] [PubMed]
- Jakupovic, J.; Banerjee, S.; Bohlmann, F.; King, R.M.; Robinson, H. New diterpenes from chiliotrichium rosmarinifolium and nardophyllum lanatum. Tetrahedron 1986, 42, 1305–1313. [Google Scholar] [CrossRef]
- Sánchez, M.; Mazzuca, M.; Veloso, M.J.; Fernández, L.R.; Siless, G.; Puricelli, L.; Palermo, J.A. Cytotoxic terpenoids from Nardophyllum bryoides. Phytochemistry 2010, 71, 1395–1399. [Google Scholar] [CrossRef]
- Yang, X.-W.; Li, S.-M.; Li, Y.-L.; Xia, J.-H.; Wu, L.; Shen, Y.-H.; Tian, J.-M.; Wang, N.; Liu, Y.; Zhang, W.-D. Abiespiroside A, an unprecedented sesquiterpenoid spirolactone with a 6/6/5 ring system from Abies delavayi. Eur. J. Org. Chem. 2010, 34, 6531–6534. [Google Scholar] [CrossRef]
- Coelho, F.; Diaz, G. Studies on the synthesis of (±)-pathylactone A, a nor-sesquiterpene lactone isolated from marine sources. Tetrahedron 2002, 58, 1647–1656. [Google Scholar] [CrossRef]
- Lochynski, S.; Frąckowiak, B.; Olejniczak, T.; Ciunik, Z.; Wawrzeńczyk, C. Lactones. Part 15: Synthesis of chiral spirolactones with a carane system—insect feeding deterrents. Tetrahedron Asymmetry 2002, 13, 1761–1767. [Google Scholar] [CrossRef]
- Steglich, W.; Hellwig, V. Revision of the structures assigned to the fungal metabolites boletunones A and B. Org. Lett. 2004, 6, 3175–3177. [Google Scholar] [CrossRef]
- Engel, K.H.; Flath, R.A.; Buttery, R.G.; Mon, T.R.; Ramming, D.W.; Teranishi, R. Investigation of volatile constituents in nectarines. 1. Analytical and sensory characterization of aroma components in some nectarine cultivars. J. Agric. Food. Chem. 1988, 36, 549–553. [Google Scholar] [CrossRef]
- Ono, M.; Nagasawa, Y.; Ikeda, T.; Tsuchihashi, R.; Okawa, M.; Kinjo, J.; Yoshimitsu, H.; Toshihiro, N. Three new diterpenoids from the fruit of Vitex agnus-castus. Chem. Pharm. Bull. 2009, 57, 1132–1135. [Google Scholar] [CrossRef] [PubMed]
- Macías, F.A.; Gallindo, J.L.G.; Valera, R.M.; Torres, A.; Mollinillo, J.M.G.; Fronczek, F.R. Heliespirones B and C: Two new plant heliespiranes with a novel spiro heterocyclic sesquiterpene skeleton. Org. Lett. 2006, 8, 4513–4516. [Google Scholar] [CrossRef] [PubMed]
- Miles, C.O.; Wilkins, A.L.; Hawkes, A.D.; Jensen, D.J.; Selwood, A.I.; Beuzenberg, V.; Lincoln, M.A.; Cooney, J.M.; Holland, P.T. Isolation and identification of pectenotoxins-13 and -14 from Dinophysis acuta in New Zealand. Toxicon. 2006, 48, 152–159. [Google Scholar] [CrossRef] [PubMed]
- Jiang, J.S.; He, J.; Feng, Z.M.; Zhang, P.C. Two new quinochalcones from the florets of Carthamus tinctorius. Org. Lett. 2010, 12, 1196–1199. [Google Scholar] [CrossRef] [PubMed]
- Byrne, L.T.; Guevara, B.Q.; Patalinghug, W.C.; Recio, B.V.; Ualat, C.R.; White, A.H. The X-ray crystal-structure of (+/-)-Pandamarine, the major alkaloid of Pandanus-amaryllifolius. Aust. J. Chem. 1992, 45, 1903–1908. [Google Scholar] [CrossRef]
- Kosuge, T.; Zenda, H.; Ochiai, A.; Masaki, N.; Noguchi, M.; Kimura, S.; Narita, H. Isolation and structure determination of a new marine toxin, surugatoxin from the Japanese ivory shell, babylonia japonica. Tetrahedron Lett. 1972, 13, 2545–2548. [Google Scholar] [CrossRef]
- Inoue, S.; Okada, K.; Tanino, H.; Hashizume, K.; Kakoi, H. Total synthesis of (±)-surugatoxin. Tetrahedron 1994, 25, 2729–2752. [Google Scholar] [CrossRef]
- Wang, J.; Chen, F.; Liu, Y.; Liu, Y.; Li, K.; Yang, X.; Liu, S.; Zhou, X.; Yang, J. Spirostaphylotrichin X from a Marine-Derived Fungus as an Anti-influenza Agent Targeting RNA Polymerase PB2. J. Nat. Prod. 2018, 81, 2722–2730. [Google Scholar] [CrossRef]
- Masi, M.; Meyer, S.; Clement, S.; Andolfi, A.; Cimmino, A.; Evidente, A. Spirostaphylotrichin W, a spirocyclic γ-lactam isolated from liquid culture of Pyrenophora semeniperda, a potential mycoherbicide for cheatgrass (Bromus tectorum) biocontrol. Tetrahedron 2014, 70, 1497–1501. [Google Scholar] [CrossRef]
- Luo, Q.; Di, L.; Dai, W.-F.; Lu, Q.; Yan, Y.-M.; Yang, Z.-L.; Li, R.-T.; Cheng, Y.-X. Applanatumin A, a New Dimeric Meroterpenoid from Ganoderma applanatum That Displays Potent Antifibrotic Activity. Org. Lett. 2015, 17, 1110–1113. [Google Scholar] [CrossRef]
- He, J.; Feng, X.Z.; Lu, Y.; Zhao, B. Fomlactones A−C, novel triterpene lactones from Fomes cajanderi. J. Nat. Prod. 2003, 66, 1249–1251. [Google Scholar] [CrossRef] [PubMed]
- Cheng, Z.-Y.; Du, Y.-Q.; Zhang, Q.; Lin, B.; Gao, P.-Y.; Huang, X.-X.; Song, S.-J. Two pairs of new alkaloid enantiomers with a spiro [benzofuranone-benzazepine] skeleton from the bark of Juglans mandshurica. Tetrahedron Lett. 2018, 59, 2050–2053. [Google Scholar] [CrossRef]
- Li, L.; Peng, X.-R.; Dong, J.-R.; Lu, S.-Y.; Li, X.-N.; Zhou, L.; Qiu, M.-H. Rearranged lanostane-type triterpenoids with anti-hepatic fibrosis activities from Ganoderma applanatum. RSC Adv. 2018, 8, 31287–31295. [Google Scholar] [CrossRef]
- Sun, N.; Zheng, G.; He, M.; Feng, Y.; Liu, J.; Wang, M.; Zhang, H.; Zhou, J.; Yao, G. Grayanane diterpenoids from the leaves of Rhododendron auriculatum and their analgesic activities. J. Nat. Prod. 2019, 82, 1849–1860. [Google Scholar] [CrossRef]
- Li, J.; Ni, G.; Liu, Y.; Mai, Z.; Wang, R.; Yu, D. Seconoriridone A: A C16-seco-noriridal Derivative with a 5/5/7 Tricyclic Skeleton from Belamcanda chinensisI. Tetrahedron Lett. 2019, 60, 900–905. [Google Scholar] [CrossRef]
- Xu, Y.-K.; Yang, S.-P.; Liao, S.-G.; Zhang, H.; Lin, L.-P.; Ding, J.; Yue, J.-M. Alkaloids from Gelsemium elegans. J. Nat. Prod. 2006, 69, 1347–1350. [Google Scholar] [CrossRef]
- Kitajima, M.; Nakamura, T.; Kogure, N.; Ogawa, M.; Mitsuno, Y.; Ono, K.; Yano, S.; Aimi, N.; Takayama, H. Isolation of gelsedine-type indole alkaloids from Gelsemium elegans and evaluation of the cytotoxic activity of gelsemium alkaloids for A431 epidermoid carcinoma cells. J. Nat. Prod. 2006, 69, 715–718. [Google Scholar] [CrossRef]
- Yang, C.B.; Zhang, F.; Deng, M.C.; He, G.Y.; Yue, J.M.; Lu, R.H. A new ellagitannin from the fruit of Phyllanthus Emblica L. J Chin Chem Soc. 2007, 54, 1615–1618. [Google Scholar] [CrossRef]
- Selwood, A.I.; Wilkins, A.L.; Munday, R.; Shi, F.; Rhodes, L.L.; Holland, P.T. Portimine: A bioactive metabolite from the benthic dinoflagellate Vulcanodinium rugosum. Tetrahedron Lett. 2013, 54, 4705–4707. [Google Scholar] [CrossRef]
- Fribley, A.M.; Xi, Y.; Makris, C.; Alves-de-Souza, C.; York, R.; Tomas, C.; Wright, J.L.; Strangman, W.K. Identification of portimine B, a new cell permeable spiroimine that induces apoptosis in oral squamous cell carcinoma. ACS Med. Chem. Lett. 2018, 10, 175–179. [Google Scholar] [CrossRef]
- Choodej, S.; Teerawatananond, T.; Mitsunaga, T.; Pudhom, K. Chamigrane sesquiterpenes from a basidiomycetous endophytic fungus XG8D associated with thai mangrove Xylocarpus granatum. Mar. Drugs 2016, 14, 132. [Google Scholar] [CrossRef] [PubMed]
- Chen, X.Q.; Li, Y.; Peng, L.Y.; He, J.; Wang, K.; Pan, Z.H.; Cheng, X.; Li, M.M.; Zhao, Q.S.; Xu, G. Spirocyclic acylphloroglucinol derivatives from Hypericum beanii. Chem. Pharm. Bull. 2011, 59, 1250–1253. [Google Scholar] [CrossRef] [PubMed]
- Wijeratne, E.M.K.; Espinosa-Artiles, P.; Gruener, R.; Gunatilaka, A.A.L. Thielavialides A–E, nor-spiro-azaphilones, and a bis-spiro-azaphilone from Thielavia sp. PA0001, an endophytic fungus isolated from aeroponically grown Physalis alkekengi. J. Nat. Prod. 2014, 77, 1467–1472. [Google Scholar] [CrossRef] [PubMed]
- Nong, X.H.; Wei, X.Y.; Qi, S.H. Pteridic acids C–G spirocyclic polyketides from the marine-derived Streptomyces sp. SCSGAA 0027. J. Antibiot. 2017, 70, 1047–1052. [Google Scholar] [CrossRef]
- Guo, J.G.; Feng, Z.F.; Yang, Y.J.; Zhang, Z.Z.; Zhang, P.C. Pollenopyrroside A and B, novel pyrrole ketohexoside derivatives from bee-collected Brassica campestris Pollen. Chem. Pharm. Bull. 2010, 58, 983–985. [Google Scholar] [CrossRef]
- Wang, W.L.; Zhu, T.J.; Tao, H.W.; Lu, Z.Y.; Fang, Y.C.; Gu, Q.Q.; Zhu, W.M. Three novel, structurally unique spirocyclic alkaloids from the halotolerant B-17 fungal strain of Aspergillus variecolor. Chem. Biodivers. 2007, 4, 2913–2919. [Google Scholar] [CrossRef]
- Zhong, W.; Wang, J.; Wie, X.; Chen, Y.; Fu, T.; Xiang, Y.; Huang, X.; Tian, X.; Xiao, Z.; Zhang, W.; et al. Variecolortins A–C, three pairs of spirocyclic diketopiperazine enantiomers from the marine-derived fungus Eurotium sp. SCSIO F452. Org. Lett. 2018, 20, 4593–4596. [Google Scholar] [CrossRef]
- Bai, M.; Zheng, C.-J.; Huang, G.-L.; Mei, R.-Q.; Wang, B.; Luo, Y.-P.; Zheng, C.; Niu, Z.-G.; Chen, G.-Y. Bioactive meroterpenoids and isocoumarins from the mangrove-derived fungus Penicillium sp. TGM112. J. Nat. Prod. 2019, 82, 1155–1164. [Google Scholar] [CrossRef]
- Jones, T.H.; Adams, R.M.M.; Spande, T.F.; Garraffo, H.M.; Kaneko, T.; Schultz, T.R. Histrionicotoxin alkaloids finally detected in an ant. J. Nat. Prod. 2012, 75, 1930–1936. [Google Scholar] [CrossRef]
- Wang, L.Y.; Qin, J.J.; Chen, Z.H.; Zhou, Y.; Tang, W.; Zuo, J.P.; Zhao, W.M. Absolute configuration of periplosides C and F and isolation of minor spiro-orthoester group-containing pregnane-type steroidal glycosides from Periploca sepium and their T-lymphocyte proliferation inhibitory activities. J. Nat. Prod. 2017, 80, 1102–1109. [Google Scholar] [CrossRef]
- Mackinnon, S.L.; Walter, J.A.; Quilliam, M.A.; Cembella, A.D.; LeBlanc, P.; Burton, I.W.; Hardstaff, W.R.; Lewis, N.I. Spirolides isolated from Danish strains of the toxigenic dinoflagellate Alexandrium ostenfeldii. J. Nat. Prod. 2006, 69, 983–987. [Google Scholar] [CrossRef] [PubMed]
- Xie, Y.; Zhong, X.; Xiao, Y.; Zhu, S.; Muhammad, I.; Yan, S.; Jin, H.; Zhang, W. Vieloplains A-G, seven new guaiane-type sesquiterpenoid dimers from Xylopia vielana. Bioorg Chem. 2019, 102891. [Google Scholar] [CrossRef] [PubMed]
- Song, J.; Liu, Y.; Zhou, M.; Cao, H.; Peng, X.G.; Liang, J.J.; Zhao, X.Y.; Xiang, M.; Ruan, H.L. Spiroschincarins A–E: Five spirocyclic nortriterpenoids from the fruit of Schisandra incarnate. Org. Lett. 2017, 19, 1196–1199. [Google Scholar] [CrossRef] [PubMed]
- Sun, M.-X.; Cui, Y.; Li, Y.; Meng, W.-Q.; Xu, Q.-Q.; Zhao, J.; Lu, J.-C.; Xiao, K. Indole alkaloids from Gelsemium elegans. Phytochemistry 2019, 162, 232–240. [Google Scholar] [CrossRef] [PubMed]


















































































| Ring combinations | ![]() | ![]() | ![]() | ![]() | ![]() | ![]() |
![]() | 0 | 0 | 7 | 7 | 0 | 0 |
![]() | 0 | 0 | 1 | 1 | 0 | 4 |
![]() | 7 | 1 | 58 | 50 | 14 | 4 |
![]() | 7 | 1 | 50 | 27 | 4 | 0 |
![]() | 0 | 0 | 14 | 4 | 1 | 0 |
![]() | 0 | 4 | 4 | 1 | 0 | 0 |
© 2019 by the authors. Licensee MDPI, Basel, Switzerland. This article is an open access article distributed under the terms and conditions of the Creative Commons Attribution (CC BY) license (http://creativecommons.org/licenses/by/4.0/).
Share and Cite
Chupakhin, E.; Babich, O.; Prosekov, A.; Asyakina, L.; Krasavin, M. Spirocyclic Motifs in Natural Products. Molecules 2019, 24, 4165. https://doi.org/10.3390/molecules24224165
Chupakhin E, Babich O, Prosekov A, Asyakina L, Krasavin M. Spirocyclic Motifs in Natural Products. Molecules. 2019; 24(22):4165. https://doi.org/10.3390/molecules24224165
Chicago/Turabian StyleChupakhin, Evgeny, Olga Babich, Alexander Prosekov, Lyudmila Asyakina, and Mikhail Krasavin. 2019. "Spirocyclic Motifs in Natural Products" Molecules 24, no. 22: 4165. https://doi.org/10.3390/molecules24224165
APA StyleChupakhin, E., Babich, O., Prosekov, A., Asyakina, L., & Krasavin, M. (2019). Spirocyclic Motifs in Natural Products. Molecules, 24(22), 4165. https://doi.org/10.3390/molecules24224165







