Protective Effect and Mechanism of Boswellic Acid and Myrrha Sesquiterpenes with Different Proportions of Compatibility on Neuroinflammation by LPS-Induced BV2 Cells Combined with Network Pharmacology
Abstract
1. Introduction
2. Results
2.1. Effects of BA and MS on the Viability of BV2 Microglia
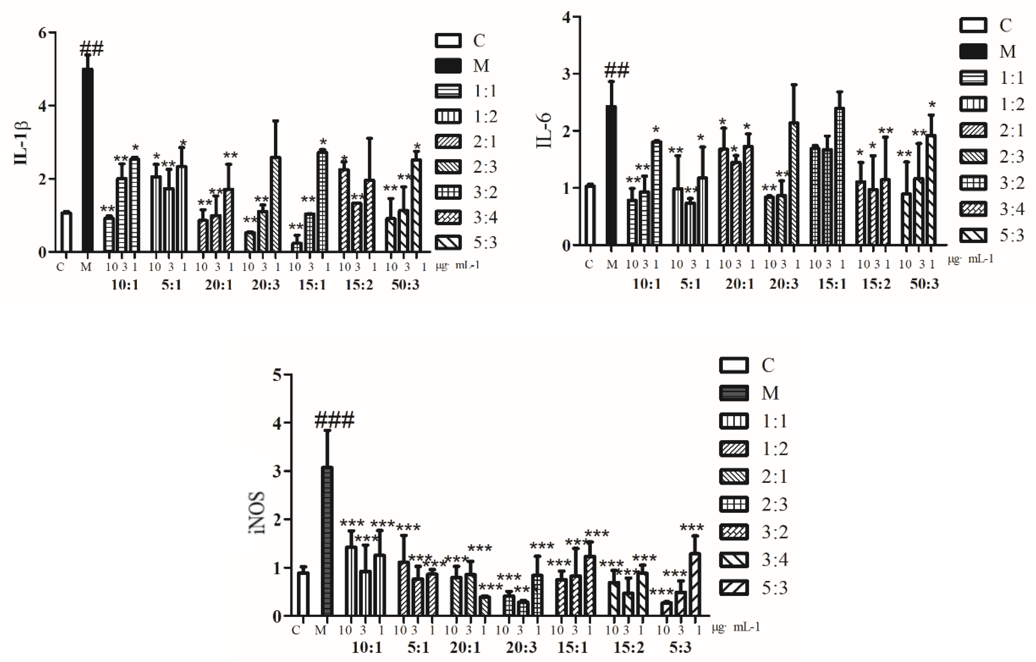
2.2. Expression of IL-1β, IL-6, and iNOS mRNA
2.3. Expression of p-NF-ҡB/NF-ҡB, p-AKT/AKT, p-PI3K, and TLR4 Protein
2.4. Determination of 15 Compounds with Different Compatibility Ratios of BA and MS
2.5. Network Pharmacology
2.5.1. Bioactive Compounds Selected
2.5.2. Targets of Anti-Neuroinflammation
2.5.3. Kyoto Encyclopedia of Genes and Genomes (KEGG) Pathway
2.5.4. Biological Process Enrichment
3. Discussion
4. Materials and Methods
4.1. Experimental Materials
4.2. Methods
4.2.1. Preparation of Drug Solution
4.2.2. Cell Culture
4.2.3. MTT
4.2.4. q-PCR
4.2.5. Western Blot
4.2.6. Chromatographic Conditions
4.2.6.1. Analysis Condition of UPLC-TQ/MS
4.2.6.2. Solution Preparation
4.2.6.3. Mixed Reference Solution
4.2.6.4. Methodological Investigation
4.2.7. Mechanism Study of Network Pharmacology
4.2.7.1. Screening Effective Components
4.2.7.2. Target Screening
4.2.7.3. KEGG Pathway Enrichment Analysis
4.2.7.4. Biological Process Enrichment Analysis
4.3. Statistic Analysis
5. Conclusions
Supplementary Materials
Author Contributions
Funding
Acknowledgments
Conflicts of Interest
References
- McGeer, P.L.; Itagaki, S.; Boyes, B.E.; McGeer, E.G. Reactive microglia are positive for HLA-DR in the substantia nigra of Parkinson’s and Alzheimer’s disease brains. Neurology 1988, 38, 1285–1291. [Google Scholar] [CrossRef] [PubMed]
- Ji, R.R.; Nackley, A.; Huh, Y.; Terrando, N.; Maixner, W. Neuroinflammation and Central Sensitization in Chronic and Widespread Pain. Anesthesiology 2018, 129, 343–366. [Google Scholar] [CrossRef] [PubMed]
- Olson, J.K.; Miller, S.D. Microglia initiate central nervous system innate and adaptive immune responses through multiple TLRs. J. Immunol. 2004, 173, 3916–3924. [Google Scholar] [CrossRef] [PubMed]
- Block, M.L.; Hong, J.S. Microglia and inflammationmediated neurodegeneration: multiple triggers with a common mechanism. Prog. Neurobiol. 2005, 76, 77–98. [Google Scholar] [CrossRef] [PubMed]
- Horvath, R.J.; Nutile-McMenemy, N.; Alkaitis, M.S.; DeLeo, J.A. Differential migration, LPS-induced cytokine, chemokine, and NO expression in immortalized BV-2 and HAPI cell lines and primary microglial cultures. J. Neurochem. 2008, 107, 557–569. [Google Scholar] [CrossRef]
- Park, H.Y.; Kim, G.Y.; Choi, Y.H. Naringenin attenuates the release of pro-inflammatory mediators from lipopolysaccharidestimulated BV2 microglia by inactivating nuclear factor-κB and inhibiting mitogen-activated protein kinases. Int. J. Mol. Med. 2012, 30, 204–210. [Google Scholar]
- Lee, K.W.; Jung, S.Y.; Choi, S.M.; Yang, E.J. Effects of ginsenoside Re on LPS-induced inflammatory mediators in BV2 microglial cells. BMC Complementary Altern. Med. 2012, 12, 196. [Google Scholar] [CrossRef]
- Zhou, X.; Luo, X.; Zhanwen, H.E.; Dongfang, L.I.; Pinggan, L.I. Effect of bone marrow mesenchymal stem cells on inflammatory factors released by LPS-stimulated BV-2. J. Pract. Med. 2014, 30, 3545–3548. [Google Scholar]
- Xu, J.; Yuan, C.; Wang, G.; Luo, J.; Ma, H.; Xu, L.; Mu, Y.; Li, Y.; Seeram, N.P.; Huang, X.; et al. Urolithins Attenuate LPS-Induced Neuroinflammation in BV2Microglia via MAPK, Akt, and NF-κB Signaling Pathways. J. Agric. Food Chem. 2018, 66, 571–580. [Google Scholar] [CrossRef]
- Jin, X.; Liu, M.Y.; Zhang, D.F.; Zhong, X.; Du, K.; Qian, P.; Yao, W.F.; Gao, H.; Wei, M.J. Baicalin mitigates cognitive impairment and protects neurons from microglia-mediated neuroinflammation via suppressing NLRP3 inflammasomes and TLR4/NF-κB signaling pathway. CNS Neurosci. Ther. 2019, 25, 575–590. [Google Scholar] [CrossRef]
- Li, J.; Jiang, G.T. Application of frankincense and myrrha in Shen Zhong Lu. J. Chin. Med. Lit. 2000, 14, 14. [Google Scholar]
- Loeser, K.; Seemann, S.; König, S.; Lenhardt, I.; Abdel-Tawab, M.; Koeberle, A.; Werz, O.; Lupp, A. Protective Effect of Casperome? An Orally Bioavailable Frankincense Extract, on Lipopolysaccharide- Induced Systemic Inflammation in Mice. Front. Pharmacol. 2018, 9, 387–404. [Google Scholar] [CrossRef] [PubMed]
- Francis, J.; Raja, S.; Nair, M. Bioactive Terpenoids and Guggulusteroids from Commiphora mukul Gum Resin of Potential Anti-Inflammatory Interest. Chem. Biodivers. 2010, 1, 1842–1853. [Google Scholar] [CrossRef] [PubMed]
- Zhang, Y.; Yu, Y.L.; Tian, H.; Bai, R.Y.; Bi, Y.N.; Yuan, X.M.; Sun, L.K.; Deng, Y.R.; Zhou, K. Evaluation of Anti-Inflammatory Activities of a Triterpene β-Elemonic Acid in Frankincense in Vivo and in Vitro. Molecules 2019, 24, 1187. [Google Scholar] [CrossRef]
- David, F.A. My putrefaction is myrrh: The lexicography of decay, gilded coffinsand the green skin of osiris. J. Anc. Civiliz. 2018, 27–39. [Google Scholar]
- Chen, T.; Su, S.L.; Duan, J.A.; Shang, E.X.; Qian, D.W.; Tang, Y.P. Change in dissolution of chemical components of frankincense-myrrh before and after their compatibility and effect on NO release of LPS-induced macrophage cells. China J. Chin. Mater. Med. 2013, 38, 179–185. [Google Scholar]
- Xu, C.; Lu, X.; Liu, W.; Chen, A.; Meng, G.; Zhang, H.; Li, B.; Zhang, Y.; Wu, J.; Wei, J. CD8+ T cells mediate the antitumor activity of frankincense and myrrh in hepatocellular carcinoma. J. Transl. Med. 2018, 16, 132–143. [Google Scholar] [CrossRef]
- Kloft, C.; Trame, M.N.; Ritter, C.A. Systems pharmacology in drug development and therapeutic use—A forthcoming paradigm shift. Eur. J. Pharm. Sci. 2016, 94, 1–3. [Google Scholar] [CrossRef]
- Yue, S.J.; Liu, J.; Feng, W.W.; Zhang, F.L.; Chen, J.X.; Xin, L.T.; Peng, C.; Guan, H.S.; Wang, C.Y.; Yan, D. System Pharmacology-Based Dissection of the Synergistic Mechanism of Huangqi and Huanglian for Diabetes Mellitus. Front. Pharmacol. 2017, 8, 694–710. [Google Scholar] [CrossRef]
- Li, P.; Su, W. Recent progress in applying network pharmacology to research of Chinese materia medica. Chin. Tradit. Herb. Drugs 2016, 47, 2938–2942. [Google Scholar]
- Jayaweera, C.; Aziz, N. Reliability of Principal Component Analysis and Pearson Correlation Coefficient, for Application in Artificial Neural Network Model Development, for Water Treatment Plants. IOP Conf. Ser. Mater. Sci. Eng. 2018, 458, 012076. [Google Scholar] [CrossRef]
- Wang, Y. Establishment of Research method system for dose-effect relationship of prescription. China J. Tradit. Chin. Med News. 2015, 5, 14. [Google Scholar]
- Su, S.L.; Duan, J.A.; Tang, Y.P.; Zhang, X.; Yu, L.; Jiang, F.R.; Zhou, W.; Luo, D.; Ding, A.W. Isolation and biological activities of neomyrrhaol and other terpenes from the resin of Commiphora myrrha. Planta Med. 2009, 75, 351–355. [Google Scholar] [CrossRef] [PubMed]
- Ko, H.H.; Hung, C.F.; Wang, J.P.; Lin, C.N. Antiinflammatory triterpenoids and steroids from Ganoderma lucidum and G. tsugae. Phytochemistry 2008, 69, 234–239. [Google Scholar] [CrossRef] [PubMed]
- Shi, Z.T.; Bao, H.Y.; Feng, S. Antitumor activity and structure-activity relationship of seven lanostane-type triterpenes from Fomitopsis pinicola and F. officinalis. Zhongguo Zhong Yao Za Zhi 2017, 42, 915–922. [Google Scholar]
- Bairwa, K.; Jachak, S.M. Nanoparticle formulation of 11-keto-β-boswellic acid (KBA): anti-inflammatory activity and\r, in vivo\r, pharmacokinetics. Pharm. Biol. 2016, 54, 2909–2916. [Google Scholar] [CrossRef]
- Cui, Y.; Tian, X.; Ning, J.; Wang, C.; Yu, Z.; Wang, Y.; Huo, X.; Jin, L.; Deng, S.; Zhang, B. Metabolic Profile of 3-Acetyl-11-Keto-β-Boswellic Acid and 11-Keto-β-Boswellic Acid in Human PreparationsIn Vitro, Species Differences, and Bioactivity Variation. AAPS J. 2016, 18, 1273–1288. [Google Scholar] [CrossRef]
- Ranzato, E.; Martinotti, S.; Volante, A.; Tava, A.; Masini, M.A.; Burlando, B. The major Boswellia serrata, active 3-acetyl-11-keto-β-boswellic acid strengthens interleukin-1α upregulation of matrix metalloproteinase-9 via JNK MAP kinase activation. Phytomedicine 2017, 36, 176–182. [Google Scholar] [CrossRef]
- Jiang, X.W.; Zhang, B.Q.; Qiao, L.; Liu, L.; Wang, X.W.; Yu, W.H. Acetyl-11-keto-β-boswellic acid extracted from Boswellia serrata promotes Schwann cell proliferation and sciatic nerve function recovery. Neural Regen. Res. 2018, 13, 484–491. [Google Scholar]
- Mao, C.; Tili, E.G.; Dose, M.; Haks, M.C.; Bear, S.E.; Maroulakou, I.; Horie, K.; Gaitanaris, G.A.; Fidanza, V.; Ludwig, T.; et al. Unequal Contribution of Akt Isoforms in the Double-Negative to Double-Positive Thymocyte Transition. J. Immunol. 2007, 178, 5443–5453. [Google Scholar] [CrossRef]
- Androulidaki, A.; Iliopoulos, D.; Arranz, A.; Doxaki, C.; Schworer, S.; Zacharioudaki, V.; Margioris, A.N.; Tsichlis, P.N.; Tsatsanis, C. The Kinase Akt1 Controls Macrophage Response to Lipopolysaccharide by Regulating MicroRNAs. Immunity 2009, 31, 220–231. [Google Scholar] [CrossRef] [PubMed]
- Beutler, B.; Du, X.; Poltorak, A. Identification of Toll-like receptor 4 (Tlr4) as the sole conduit for LPS signal transduction: genetic and evolutionary studies. J. Endotoxin Res. 2001, 7, 277–280. [Google Scholar] [CrossRef] [PubMed]
- Pålsson-McDermott, E.M.; O’Neill, L.A. Signal transduction by the lipopolysaccharide receptor, Toll-like receptor-4. Immunology 2004, 113, 153–162. [Google Scholar] [CrossRef] [PubMed]
- Buchanan, M.M.; Hutchinson, M.; Watkins, L.R.; Yin, H. Toll-like receptor 4 in CNS pathologies. J. Neurochem. 2010, 114, 13–27. [Google Scholar] [CrossRef]
- Kauppinen, T.M.; Higashi, Y.; Suh, S.W.; Escartin, C.; Nagasawa, K.; Swanson, R.A. Zinc Triggers Microglial Activation. J. Neurosci. 2008, 28, 5827–5835. [Google Scholar] [CrossRef]
Sample Availability: Samples of the compounds 2-methoxy-8,12-epoxygermacra-1(10),7,11-trien-6-one, 2-methoxy-5-acetoxy -fruranogermacr-1(10)-en-6–one, 3-oxotirucall-8,24-dien-21 -oic acid, 3α-acetoxy -tirucall-7,24-dien-21-oic acid, 3-hydroxytirucall-8,24-dien-21- oic acid, acetyl 11α-methoxy-β-boswellic acid, 3α-hydroxy tirucall-7,24-dien-21-oic acid, 11-keto-boswellic acid, 3-O-acetyl-α-boswellic acid, 3α-acetyloxylanosta -8,24-dien-21-oic acid, 3β-acetoxy-5α-lanosta-8,24-dien-21-oic acid, 3-acetyl -11-keto-β-boswellic acid, 3-acetyloxy-tirucall-8,24-dien-21-oic acid, α-boswellic acid, β-boswellic acid are available from the authors. |







| Compound | Compatibility Ratio (%) | ||||||
|---|---|---|---|---|---|---|---|
| 10:1 | 5:1 | 20:1 | 20:3 | 15:1 | 15:2 | 50:3 | |
| 2-methoxy-8,12-epoxygermacra-1(10),7,11-trien-6-one | 0.30 | 0.32 | 0.15 | 2.58 | 2.48 | 3.13 | 0.30 |
| 2-methoxy-5-acetoxy-fruranogermacr-1(10)-en-6–one | 3.85 | 5.91 | 1.41 | 2.46 | 2.32 | 4.91 | 2.55 |
| 3-oxotirucall-8,24-dien-21-oic acid | 2.76 | 2.95 | 2.64 | 1.27 | 2.39 | 2.47 | 2.87 |
| 3α-acetoxy-tirucall-7,24-dien-21-oic acid | 0.87 | 0.87 | 0.69 | 0.64 | 0.69 | 1.02 | 0.77 |
| 3-hydroxytirucall-8,24-dien-21-oic acid | 1.00 | 0.91 | 0.87 | 0.83 | 0.81 | 0.98 | 1.08 |
| acetyl 11α-methoxy-β-boswellic acid | 1.31 | 1.07 | 1.23 | 1.27 | 0.90 | 1.28 | 1.78 |
| 3α-hydroxy tirucall-7,24-dien-21-oic acid | 1.43 | 1.33 | 1.77 | 1.45 | 1.28 | 2.10 | 2.10 |
| 11-keto-boswellicacid | 1.33 | 1.20 | 1.25 | 1.02 | 1.22 | 1.23 | 1.47 |
| 3-O-acetyl-α-boswellic acid | 3.17 | 2.67 | 0.36 | 2.50 | 2.22 | 5.10 | 3.68 |
| 3α-acetyloxylanosta-8,24-dien-21-oic acid | 0.49 | 0.41 | 0.47 | 0.34 | 0.31 | 0.54 | 0.32 |
| 3β-acetoxy-5α-lanosta-8,24-dien-21-oic acid | 3.40 | 1.60 | 2.41 | 1.81 | 1.89 | 1.51 | 2.13 |
| 3-acetyl-11-keto-β-boswellic acid | 7.71 | 6.44 | 6.44 | 5.14 | 6.39 | 7.57 | 8.06 |
| 3-acetyloxy-tirucall-8,24-dien-21-oic acid | 4.10 | 0.20 | 5.27 | 8.04 | 4.31 | 0.45 | 6.32 |
| α-boswellicacid | 6.30 | 2.74 | 4.50 | 4.98 | 5.60 | 6.20 | 6.06 |
| β-boswellicacid | 1.73 | 1.45 | 1.72 | 1.48 | 2.64 | 1.11 | 2.82 |
| ID | KEGG Signaling Pathway | Count | p-Value | FDR) |
|---|---|---|---|---|
| hsa04080 | Neuroactive ligand–receptor interaction | 14 | 6E-11 | 7.15E-08 |
| hsa05164 | Influenza A | 12 | 1.1E-10 | 1.29E-07 |
| hsa05145 | Toxoplasmosis | 10 | 7.4E-10 | 8.85E-07 |
| hsa04071 | Sphingolipid signaling pathway | 10 | 1.6E-09 | 1.94E-06 |
| hsa05160 | Hepatitis C | 10 | 0.000000004 | 4.85E-06 |
| hsa05161 | Hepatitis B | 10 | 8.7E-09 | 1.04E-05 |
| hsa04015 | Rap1 signaling pathway | 11 | 0.000000014 | 1.72E-05 |
| hsa04664 | Fc epsilon RI signaling pathway | 8 | 0.000000015 | 1.76E-05 |
| hsa04917 | Prolactin signaling pathway | 8 | 0.00000002 | 2.39E-05 |
| hsa05152 | Tuberculosis | 10 | 0.00000005 | 5.99E-05 |
| hsa04930 | Type II diabetes mellitus | 7 | 0.000000054 | 6.47E-05 |
| hsa04380 | Osteoclast differentiation | 9 | 0.000000076 | 9.13E-05 |
| hsa04068 | FoxO signaling pathway | 9 | 0.000000091 | 1.09E-04 |
| hsa05205 | Proteoglycans in cancer | 10 | 0.00000014 | 1.72E-04 |
| hsa04915 | Estrogen signaling pathway | 8 | 0.0000002 | 2.45E-04 |
| hsa05212 | Pathways in cancer | 7 | 0.00000034 | 4.13E-04 |
| hsa04668 | TNF signaling pathway | 8 | 0.00000035 | 4.19E-04 |
| hsa05200 | Pathways in cancer | 12 | 0.00000055 | 6.62E-04 |
| hsa04012 | ErbB signaling pathway | 7 | 0.000002 | 0.002354376 |
| hsa04540 | Gap junction | 7 | 0.0000021 | 0.00251873 |
| hsa04550 | Signaling pathways regulating pluripotency of stem cells | 8 | 0.0000022 | 0.002606689 |
| hsa04912 | GnRH signaling pathway | 7 | 0.0000026 | 0.003068946 |
| hsa04066 | HIF-1 signaling pathway | 7 | 0.0000035 | 0.004201762 |
| hsa05223 | Non-small cell lung cancer | 6 | 0.0000043 | 0.005164264 |
| hsa05231 | Choline metabolism in cancer | 7 | 0.0000047 | 0.005654591 |
| hsa04723 | Retrograde endocannabinoid signaling | 7 | 0.0000047 | 0.005654591 |
| hsa04150 | mTOR signaling pathway | 6 | 0.0000051 | 0.006155785 |
| hsa05142 | Chagas disease (American trypanosomiasis) | 7 | 0.0000056 | 0.006706702 |
| hsa04620 | Toll-like receptor signaling pathway | 7 | 0.0000063 | 0.007492714 |
| hsa04370 | VEGF signaling pathway | 6 | 0.0000066 | 0.007916775 |
| hsa05210 | Colorectal cancer | 6 | 0.0000072 | 0.008584012 |
© 2019 by the authors. Licensee MDPI, Basel, Switzerland. This article is an open access article distributed under the terms and conditions of the Creative Commons Attribution (CC BY) license (http://creativecommons.org/licenses/by/4.0/).
Share and Cite
MIAO, X.-d.; ZHENG, L.-j.; ZHAO, Z.-z.; SU, S.-l.; ZHU, Y.; GUO, J.-m.; SHANG, E.-x.; QIAN, D.-w.; DUAN, J.-a. Protective Effect and Mechanism of Boswellic Acid and Myrrha Sesquiterpenes with Different Proportions of Compatibility on Neuroinflammation by LPS-Induced BV2 Cells Combined with Network Pharmacology. Molecules 2019, 24, 3946. https://doi.org/10.3390/molecules24213946
MIAO X-d, ZHENG L-j, ZHAO Z-z, SU S-l, ZHU Y, GUO J-m, SHANG E-x, QIAN D-w, DUAN J-a. Protective Effect and Mechanism of Boswellic Acid and Myrrha Sesquiterpenes with Different Proportions of Compatibility on Neuroinflammation by LPS-Induced BV2 Cells Combined with Network Pharmacology. Molecules. 2019; 24(21):3946. https://doi.org/10.3390/molecules24213946
Chicago/Turabian StyleMIAO, Xiao-dong, Li-jie ZHENG, Zi-zhang ZHAO, Shu-lan SU, Yue ZHU, Jian-ming GUO, Er-xin SHANG, Da-wei QIAN, and Jin-ao DUAN. 2019. "Protective Effect and Mechanism of Boswellic Acid and Myrrha Sesquiterpenes with Different Proportions of Compatibility on Neuroinflammation by LPS-Induced BV2 Cells Combined with Network Pharmacology" Molecules 24, no. 21: 3946. https://doi.org/10.3390/molecules24213946
APA StyleMIAO, X.-d., ZHENG, L.-j., ZHAO, Z.-z., SU, S.-l., ZHU, Y., GUO, J.-m., SHANG, E.-x., QIAN, D.-w., & DUAN, J.-a. (2019). Protective Effect and Mechanism of Boswellic Acid and Myrrha Sesquiterpenes with Different Proportions of Compatibility on Neuroinflammation by LPS-Induced BV2 Cells Combined with Network Pharmacology. Molecules, 24(21), 3946. https://doi.org/10.3390/molecules24213946
