Abstract
The bioactivity of ten traditional Korean Angelica species were screened by angiotensin-converting enzyme (ACE) assay in vitro. Among the crude extracts, the methanol extract of Angelica decursiva whole plants exhibited potent inhibitory effects against ACE. In addition, the ACE inhibitory activity of coumarins 1–5, 8–18 was evaluated, along with two phenolic acids (6, 7) obtained from A. decursiva. Among profound coumarins, 11–18 were determined to manifest marked inhibitory activity against ACE with IC50 values of 4.68–20.04 µM. Compounds 12, 13, and 15 displayed competitive inhibition against ACE. Molecular docking studies confirmed that coumarins inhibited ACE via many hydrogen bond and hydrophobic interactions with catalytic residues and zinc ion of C- and N-domain ACE that blocked the catalytic activity of ACE. The results derived from these computational and in vitro experiments give additional scientific support to the anecdotal use of A. decursiva in traditional medicine to treat cardiovascular diseases such as hypertension.
1. Introduction
Hypertension is one of the most common diseases worldwide, with many associated risk factors such as stroke, heart disease, chronic renal failure, and aneurysm [1,2]. Globally, about 25% of the adult population suffers from hypertension, and the number of people is set to rise to 29% by 2025, when a total of 1.56 billion people will be affected. Inhibition of the angiotensin-converting enzyme (ACE) is established as one modern therapeutic approach to hypertension [1]. Membrane-bound zinc (Zn) metallopeptidases ACE (EC 3.4.15.1) is a multifunctional enzyme present in the rennin–angiotensin system (RAS) that elevates blood pressure by generating the vasoconstrictor angiotensin II and degrading the vasodilator bradykinin [3]. ACE is present in many tissues, including the heart, brain, adrenal cortex, kidneys, leukocytes, alveolar macrophages, peripheral uterus, placenta, vascular tissue, liver, monocytes, and neuronal and epididymal cells, particularly in the vascular endothelial lining of the lungs [4]. Therefore, ACE inhibition is a major target in the prevention and treatment of hypertension. Many researchers have attempted to synthesize ACE inhibitors, such as captopril, enalapril, lisinopril, and fosinopril, which are all currently used as clinical antihypertensive drugs [5]. However, those drugs are often accompanied by undesirable side effects, such as persistent cough, postural hypotension, renal failure, and angioedema [6]. Extensive research has been carried out to find ACE inhibitors in natural products, which might have better drug profiles and fewer side effects. Several plant extracts and pure compounds, such as phenolics, anthraquinone, flavonoids, alkaloids, terpenoids, peptides, hydrolysable tannins, and proanthocyanidins, have been reported to inhibit ACE [7,8,9,10,11,12].
Angelica decursiva Fr. et Sav (Umbelliferae) is a perennial herb that grows throughout Japan, China, and Korea. It is widely employed in traditional Korean medicine to cure diseases as an antitussive, analgesic, antipyretic, and cough remedy [13,14]. In traditional Chinese medicine, it is used as a remedy for thick phlegm, asthma, and upper respiratory tract infections [15,16]. The usage of the roots of A. decursiva has a long history in China to clean heat, resolve summer heat, and stop bleeding [15]. During the past decade, extensive investigations have been conducted on different species of this genus. Consequently, many classes of compounds have been isolated, including different types of coumarin derivatives: Umbelliferone, 6-formyl umbelliferone, umbelliferone 6-carboxylic acid, nodakenin, nodakenetin, isorutarine, 2′-isopropyl psoralene, Pd-C-I, Pd-C-II, Pd-C-III, 4′-hydroxy Pd-C-III, columbianadin, decursin, (+)-decursidinol, decursidin, cis-3′-acetyl-4′-angeloylkhellactone, and 3′(R)-O-acetyl-4′(S)-O-tigloylkhellactone [13,15,17,18,19,20,21,22,23,24]. Those compounds have been reported to possess a wide range of biological activities, including antihypertensive [25], antiplatelet aggregation [26], neuroprotective [27], memory-enhancing [28], anti-amnesic [29], anti-oxidative [30], anti-inflammatory [13,24,31,32], antidiabetic, and anti-Alzheimer’s disease effects [18,19,20,21,22,23,33].
Despite the promising biological activities of Angelica species, no systematic studies have yet been conducted on the ACE inhibitory activities of A. decursiva and its coumarins. Therefore, as a part of our continuing efforts to identify potent ACE agents from natural sources, we explored the anti-hypertensive activities of A. decursiva-derived coumarin constituents. We also performed enzyme kinetic analyses of the coumarins using Lineweaver–Burk plots and secondary plots in order to confirm the type of enzymatic inhibition. The interactions between these coumarins and ACE were simulated using molecular docking analysis, and their docking energies and ACE inhibition mechanisms were examined.
2. Results
2.1. ACE Inhibitory Activity of the Selected Angelica Species
In order to evaluate the ACE inhibitory activity of Angelica species, the methanol (MeOH) extract of 10 different species was selected and tested using the in vitro assay. Of all these species, A. decursiva was found to be the most potent ACE inhibitor with an inhibition percentage (%) of 94.12 at a concentration of 163.93 µg/mL. In addition, MeOH extracts of A. czernevia, A. anomala, A. fallax, A. cartilagino-marginata var. distans, and A. fallax, showed moderate ACE activity with percentages (%) of 52.29, 50.98, 38.56, 32.35, and 31.37 at a concentration of 163.93 µg/mL (Table 1). On the other hand, A. japonica, A. gigas, A. dahurica, A. anomala, and A. sinensis did not show significant inhibitory activity at the concentration tested.
Table 1.
Angiotensin converting enzyme (ACE) inhibitory activity of Angelica sp.
2.2. Inhibitory Activity of the Compounds Isolated from A. decursiva on ACE
To determine which of the active compounds isolated from A. decursiva were responsible for the inhibition of ACE, we used inhibitory assay. The ACE inhibitory activities of the compounds (nodakenin (1), nodakenetin (2), isorutarine (3), umbelliferone (4), umbelliferone 6-carboxylic acid (5), para-hydroxy benzoic acid (6), vanillic acid (7), 2′-isopropyl psoralene (8), 3′(R)-O-acetyl-4′(S)-O-tigloylkhellactone (9), cis-3′-acetyl-4′-angeloylkhellactone (10), decursinol (11), 4′-hydroxy Pd-C-III (12), Pd-C-I (13), decursidin (14), (+)-trans-decursidinol (15), Pd-C-II (16), Pd-C-III (17), and 4′-methoxy Pd-C-I (18)) are given in Table 2, and structures of compounds are described in Figure 1. Compounds 13 and 15 showed the highest ACE inhibitory activity among the tested compounds, with IC50 values of 6.75 and 4.68 µM, respectively. The positive control, captopril, had an IC50 value of 1.16 nM. Compounds 12, 16, 17, 18, 11, 14, 3, 10, 9, and 2 also exhibited significant ACE inhibitory activity, with corresponding IC50 values of 9.41, 12.39, 15.21, 16.03, 18.29, 20.04, 68.36, 71.48, 89.36, and 102.27 µM, respectively.
Table 2.
Angiotensin-converting enzyme-I (ACE) inhibitory activity of compounds isolated from Angelica decursiva.
Figure 1.
Chemical structures of the compounds isolated from Angelica decursiva.
2.3. Enzyme Kinetics in ACE Inhibition
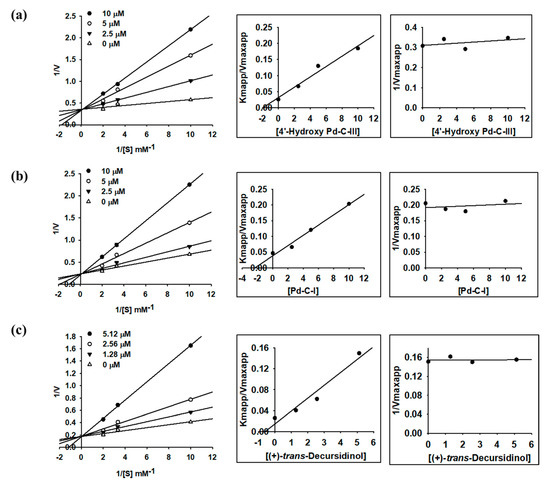
As part of our continuing search for coumarin derivatives from A. decursiva, we investigated the type of inhibition and inhibition constants (Ki) of three active coumarins (12, 13, and 15) using Lineweaver–Burk and secondary plots. As shown in Figure 2, the y-axis intercept stayed the same, showing that the Vmax was a fixed value, whereas the x-axis intercept decreased with increasing concentrations of 12, 13, and 15, suggesting that the Km increased. The secondary replot of 1/Vmax versus inhibitors was parallel. Thus, 12, 13, and 15 caused the competitive inhibition of ACE. Namely, 12, 13, and 15 occupied the catalytic pocket of ACE and caused a decrease in the binding affinity of ACE with substrate (FAPGG). Ki values of compounds 12, 13, and 15 were obtained as 1.98, 2.35, and 0.59 μM, respectively (Table 3), using the secondary plot of slope (Km, app/Vmax, app) versus inhibitors.
Figure 2.
Lineweaver–Burk plots and secondary plots for ACE inhibition of Angelica coumarins (a) 12, (b) 13, and (c) 15.
Table 3.
Inhibition type and inhibition constants (Ki) of compounds for ACE activity based on enzyme kinetic plots.
2.4. Molecular Docking Simulation between Coumarins and ACE
Docking simulations of the interactions between the coumarins and ACE were performed at the C- and N-domains’ ACE cavity together with well-known catalytic ACE inhibitor, captopril, and reported mixed type C-ACE inhibitor, [(2S)-2-({3-[hydroxyl(2-phenyl-(1R)-1-{[(benzyloxy)carbonyl]-amino}ethyl)phosphinyl]-2-[(3-phenylisoxazol-5-yl)methyl]-1-oxo-propyl}amino)-3-(4-hydroxy-phenyl) propanoic acid] (FII) [34]. To provide a rational explanation for the significant ACE inhibition of compounds 12, 13, and 15, we simulated the hydrogen bonding, hydrophobic, and electrostatic interactions between 12, 13, and 15 and active sites of ACE (Table 4). As shown in Figure 3, these compounds and captopril docked into the zinc-binding catalytic sites of C-ACE and N-ACE, respectively, and interacted with zinc ion via van der Waals interaction. In the docking simulation between 12 and C-ACE, six H-bonds between 12 and Ala356, Asp358, and S1′ residues, including His353, His513, and His523, were observed. In addition, four residues (His387, Trp357: Pi–Sigma interaction; Phe391, His410: Pi–Alkyl interaction) were included in hydrophobic interactions (Figure 4a). Similar to 12, 2-ketone moiety of 15 formed two hydrogen bonds with His513 and His353 residues included in S1′ pocket. Asp356 residue interacted with 3′- and 4′-OH of 15 via three H-bonds. Aside from H-bonds, additional hydrophobic (Phe391, His410: Pi–Alkyl interaction; His387: Pi–Sigma interaction) and electrostatic (Glu384 residue) interactions were also detected (Figure 4c). For coumarin 13, the binding site of 13 was closer to the zinc ion than those of 12 and 15, whereas the number of H-bonds was less than those of 12 and 15. (Figure 4b). The oxygen atom in position 1 of 13 formed two hydrogen bonds with His513 and His353. 4′-OH of 13 also hydrogen-bonded with Ala356 and Glu384 residues. In addition, two CH3 groups of senecioyl moiety in the position C3′ interacted with His410 (Pi–Sigma interaction), Phe391 (Pi–Alkyl interaction), and His387 (Pi–Alkyl interaction) residues via hydrophobic interactions.
Table 4.
Molecular interactions between ACE inhibitors and the ACE.
Figure 3.
Molecular docking model for (a) C-ACE and (b) N-ACE inhibition of Angelica coumarins 12 (pink stick), 13 (cyan stick), and 15 (green stick), along with positive controls, captopril (red line) and FII (black line). Zinc ion (Zn) was represented as a yellow-colored sphere.

Figure 4.
Two-dimensional (2D) diagrams of C-ACE and N-ACE inhibition of Angelica coumarins (a,d) 12, (b,e) 13, and (c,f) 15.
As a result of docking analysis between tested compounds and N-ACE, oxygen atoms of 12 and 13 interacted with hydrogen atoms of His331 and His491 residues included in the S1′ pocket of N-ACE. These hydrogen-bonding interactions and hydrophobic interactions between 3′-substituents of inhibitors (12 and 13) and His and Phe residues of N-ACE make a favorable orientation to interact with zinc ion via van der Waals interaction. However, 15 interacted with His331 via carbon–hydrogen interaction, which is a relatively weak force compared to conventional hydrogen bond interaction (such as H‒O and H–N); thus 15, could not get close enough to interact with zinc ions (Figure 3b). Our docking results indicated that 12, 13, and 15 could inhibit ACE by competing with substrates in the active site rather than other secondary sites (Figure 3). Moreover, 15 exhibited high selectivity for the C-ACE compared to 12 and 13.
3. Discussion
Hypertension, a worldwide illness, is a major factor in cardiovascular diseases and affects a large population of adults. Some of the most effective medications for the treatment of hypertension are ACE inhibitors. Meanwhile, medicinal plants have been used for centuries to treat illnesses. Therefore, they can be important resources in developing new drug candidates. The present study demonstrated for the first time that A. decursiva and its coumarin constituents show inhibitory activity against ACE. Recently, the coumarin system found in many natural compounds has excited considerable attention. Coumarins are naturally occurring compounds widely distributed in the plant kingdom and are important components of the human diet. Coumarins have been associated with low toxicity and have garnered considerable interest due to their potentially beneficial effects on human health [35]. In recent times, coumarins have been considered a promising group of bioactive compounds that exhibit a wide range of biological activities: Anticoagulant [36], anti-inflammatory [13,22,37,38], antimicrobial [39], antioxidant [13,37], anti-allergic and antidepressant [40], antidiabetic [41], anticancer [42,43], antifungal [44], and anti-Alzheimer’s disease [18,19,20,21]. These biological activities indicate that coumarin compounds should be tested as novel therapeutic compounds. Therefore, we selected a focused collection of coumarins to increase the likelihood of finding a promising ACE inhibitor.
In a preliminary study, the MeOH extract of whole-plant A. decursiva Fr. et Sav (Umbelliferae) exhibited inhibitory effects against ACE. Recently, it was reported that another Angelica species, A. gigas, and its coumarin constituents showed potential antihypertensive activity through ACE inhibition [25]. Therefore, we investigated the ACE inhibition activity of A. decursiva-derived compounds. As illustrated in Table 2, most of the coumarins showed potent antihypertensive activity. In particular, coumarins 11–18 exhibited potent ACE inhibitory properties, with IC50 values ranging from 4.68 to 20.04 µM. Hyun et al. reported that benzopyranoids (nodakenin, umbelliferone, and umbelliferone 6-carboxylic acid) showed promising ACE inhibitory activity [25], which is similar to our results. It was also reported that the A. decursiva components, which are a combination of decursin, decursinol, and nodakenin, displayed potent ACE inhibitory activity [45], which is also comparable with our results. Therefore, both the present and previous investigations indicate that coumarins have potential antihypertensive activity.
Some structure–activity relationships of coumarins can be deduced. The simple coumarins in Table 2, 4 and 5 display the fundamental skeleton of coumarin derivatives and showed moderate inhibitory effects on ACE. The linear furanocoumarins, 1–3, exhibited a significant inhibitory effect on ACE, whereas 8, with two methoxy groups at the C-11 position, showed weak activity. In the series of linear and angular pyranocoumarins in Table 2, the linear pyranocoumarins were more active than the angular pyranocoumarins. Therefore, we speculate that the presence of a hydroxyl group at the 4′ or 3′ position on the chroman ring plays an important role in the ACE inhibition activity of linear pyranocoumarins 12–18, and that replacement of that hydroxyl group with another functional group (angeloyl/senecioyl/acetyl/methoxy) decreases the activity. Based on our results, functional substitutions of linear pyranocoumarins on the chroman ring selectively enhance or decrease ACE inhibition activity, and a hydroxyl group seems to be important for activity. That structure–activity relationship helps us to understand the key structural elements that influence the ACE inhibitory activity of the different coumarin derivatives. A similar observation was previously reported: The presence of hydroxyl groups on the benzene ring plays a crucial role in the activity of phenolic compounds, and replacing a hydroxyl group with another functional group decreases activity [7].
In an attempt to explain the mode of ACE inhibition, we investigated enzyme kinetics analysis using two kinetic methods, the Lineweaver–Burk plot and the secondary plot, using different concentrations of FAPGG, as the substrate (0.1–0.5 mM) and inhibitor (0–10 µM). As demonstrated in Figure 2, the manner of inhibition of compounds 12, 13, and 15 was competitive (Ki values = 1.98, 2.35, and 0.59 µM, respectively). These results indicate that 12, 13, and 15 bound directly to the active site of the enzyme to prevent enzyme–substrate complex formation. Usually, lower Ki values indicate tighter binding with the enzyme and thereby greater inhibitor effectiveness. Thus, 12, 13, and 15 could be crucial ACE inhibitor candidates. Captopril, a competitive inhibitor, was used as the positive control [46]. Captopril was the first orally active ACE inhibitor approved to treat human hypertension [46,47].
Somatic ACE is composed of two important catalytic domains known as C- and N-domains (C-ACE and N-ACE). These two domains have been shown to exhibit different functions and different kinetic profiles. It was reported that C-ACE was responsible for most of the angiotensin-I hydrolysis, while the other key substrate, bradykinin, has seemed to be hydrolyzed by both C-ACE and N-ACE [48]. The C-ACE and N-ACE share almost 65% sequence homology with each other [49]. The catalytic sites of both ACEs were located in the middle of the enzyme and included S1, S2, S1′, and S2′ together with a Zn2+ metal ion [50].
To determine the molecular properties that influence the ACE inhibitory activity of the coumarins under consideration, we used AutoDock 4.2 program to run docking simulations. It was clear that the presence of certain functional groups, such as hydroxyl, ether, and ketone groups, which can act as hydrogen bond acceptors or donors, increased ACE inhibition potency. To identify a rational explanation for the significant ACE inhibition of compounds, we simulated the interactions including hydrogen bonding, hydrophobic interaction, and electrostatic interaction between compounds 12, 13, and 15 and key residues in both C-ACE and N-ACE. The docking of compounds 12, 13, and 15 at the C- and N-domains’ ACE active sites showed low docking energies (−7.86, −8.03, and −8.03 kcal/mol for C-ACE; −8.15, −8.46, and −7.98 kcal/mol for N-ACE, respectively). The remarkable ACE inhibition shown by these compounds can be explained by the two-dimensional (2D) interaction maps shown in Figure 4. Therefore, the ACE inhibitory activity of these coumarins could result from hydrogen bond interactions between hydroxyl or ketone groups and amino acids in the S1′ of the enzyme as well as van der Waals interaction with zinc ions that competitively block the catalytic activity of the ACE enzyme. Our docking results demonstrated that 12, 13, and 15 could inhibit ACE by competing with substrates in the zinc-binding active site rather than other secondary sites and were concordant with in vitro kinetic data. Moreover, 15 exhibited high selectivity for the C-ACE compared to 12 and 13.
Previously it was reported that phenolic compounds exhibited the same mechanism for ACE inhibition as found in our study [7]. They found that the presence or absence of certain functional groups (hydroxyl, carboxyl, ketone) influenced the potential of phenolic acids to inhibit ACE activity, which is comparable to our data. It is well known that the complexes of synthetic inhibitor, captopril, interact with zinc ion and key amino acids in the active center [51]. Therefore, we suggest that the coumarins inhibit ACE activity in a manner similar to that of captopril.
A quantitative structure–activity relationship analysis showed that the number of hydroxyl groups on the benzene ring played a crucial role in activity, and that replacing hydroxyl groups with methoxy groups decreased activity [7], possibly because the hydroxyl groups in a compound form complexes with the metal ions and catalytic residues in ACE [52]. Therefore, the metal ions of ACE were reduced, and ACE activity decreased. On the other hand, the reduced ACE inhibitory activity seen with methoxy groups could have resulted from steric hindrance, which hampered the binding between the compound and the active site of ACE. Because the dihydroxanthyletin coumarins contain hydroxyl and other functional groups, their ACE inhibitory activity could result from interactions established via hydrogen bonds between hydroxyl or keto groups and amino acids in the active site that block the catalytic activity of ACE. Therefore, A. decursiva-derived compounds could potentially exert their antihypertensive effects primarily as ACE inhibitors. This aspect should be investigated further to clarify the beneficial and harmful effects in vivo.
4. Materials and Methods
4.1. Chemicals
ACE (1 Unit, rabbit lung), FAPGG (N-[3-(2-furyl)acryloyl]-Phe-Gly-Gly), and captopril were purchased from Sigma Chemical Company (St Louis, MO, USA). All chemicals and solvents used for column chromatography were of reagent grade and purchased from commercial sources, unless otherwise stated.
4.2. Plant Materials
MeOH extracts of whole plants of A. decursiva and other Angelica species were purchased from the Korean Plant Extract Bank, Chungcheongbuk-do, Korea, which is associated with the Korea Research Institute of Bioscience and Biotechnology. A voucher whole plant specimen (20131024) was registered and deposited in the Department of Food Science and Nutrition, Pukyong National University, Busan, Korea (Professor Choi, J.S.) for future reference.
4.3. Preparation of Coumarin fom A. decursiva
The following coumarins were previously isolated and identified in our laboratory: Nodakenin (1), nodakenetin (2), isorutarine (3), umbelliferone (4), umbelliferone 6-carboxylic acid (5), para-hydroxy benzoic acid (6), vanillic acid (7), 2′-isopropyl psoralene (8), 3′(R)-O-acetyl-4′(S)-O-tigloylkhellactone (9), cis-3′-acetyl-4′-angeloylkhellactone (10), decursinol (11), 4′-hydroxy Pd-C-III (12), Pd-C-I (13), decursidin (14), (+)-trans-decursidinol (15), Pd-C-II (16), Pd-C-III (17), and 4′-methoxy Pd-C-I (18) [13,18,19,20,21,22,53]. The structures of the isolated compounds are shown in Figure 1.
4.4. ACE Inhibitory Activity Assay
The ACE inhibitory activity of 18 compounds was conducted according to Hyun et al. [8] and modified to use FAPGG as the substrate. In brief, FAPGG (0.5 mM) and various concentrations of the samples were completely dissolved in 50 mM Tris–HCl buffer (pH 7.5). Twenty microliters of ACE (1 U/mL dissolved in 50 mM Tris–HCl buffer) was then mixed with 200 μL of various concentrations of the samples (1.28–163.93 μg/mL) as experimental samples or with 50 mM Tris–HCl buffer as a negative control. The inhibitory activities of the compounds were represented as percentages of inhibition in a concentration range of 1.28–163.93 μg/mL. An antihypertensive agent, captopril, was used as a positive control at a concentration of 0.06–1.63 ng/mL. All experiments were conducted three times.
4.5. Kinetic Parameters of the ACE Inhibition of Different Coumarins
To determine the inhibition mechanisms, ACE inhibition was evaluated by monitoring the effects of different concentrations of substrate (0.1–1 mM). The reaction mixture consisted of different concentrations of FAPGG (0.1–0.5 mM), as the substrate, and ACE in 50 mM Tris–HCl buffer. Several concentrations of each sample were added to the reaction mixture. The tested concentrations of coumarins are as follows: 12 (0, 2.5, 5, and 10 µM); 13 (0, 2.5, 5, and 10 µM); 15 (0, 1.28, 2.56, and 5.12 µM). Inhibition constants (Ki) were determined by interpretation of the secondary plots from Lineweaver–Burk plot.
4.6. Molecular Docking Simulation in ACE Inhibition
The X-ray crystallographic structures of the C-domain and N-domain human angiotensin I-converting enzyme complex were obtained from the RCSB Protein Data Bank (PDB ID: 2XY9 and 2XYD, respectively) [34]. The protein was prepared using Accelrys Discovery Studio 16.1 (Accelrys, San Diego, CA, USA). The reported binding area between co-ligands and the protein was considered the most affirmative region for the ligand-binding docking simulation. The 2D structures of all compounds were drawn with MarvinSketch (ChemAxon, Budapest, Hungary) and converted into 3D pdb format using Chem3D Pro software (v12.0, CambridgeSoft Inc., Cambridge, MA, USA). Energy minimization of each ligand was carried out using a molecular mechanics 2 (MM2) force field. The docking analysis was conducted using AutoDock 4.2 (The Scripps Research Institute, La Jolla, CA, USA) [54]. The docking protocol for rigid and flexible ligand docking comprised 20 independent genetic algorithms. In the docking studies, selected molecules were examined to find the qualified binding poses for each compound.
4.7. Statistical Analysis
Statistical significance was analyzed by one-way ANOVA and Student’s t-test (Systat Inc., Evanston, IL, USA). All results are presented as mean ± SEM.
5. Conclusions
In this study, we isolated 16 coumarins and two phenolic compounds from A. decursiva and screened their ACE inhibitory activity using an in vitro ACE assay. Among these natural coumarins, 11–18 showed remarkable IC50 values of 4.68–20.04 µM. Therefore, screening and developing new ACE inhibitors from A. decursiva could be beneficial in the treatment of cardiovascular diseases such as hypertension. In addition, the present data indicate that linear pyranocoumarins inhibit ACE activity in vitro, and that activity against ACE and mode of action depend on the class and structure of the coumarins. These structure–function relationships could be useful for designing new ACE inhibitors based on coumarins.
Author Contributions
M.Y.A. and S.H.S. designed and performed the experiments, analyzed the data, and wrote the paper. H.A.J. and J.S.C. had primary responsibility for final content. All authors read and approved the final manuscript.
Funding
This research was supported by the Basic Science Research Program through the National Research Foundation of Korea (NRF) and funded by the Ministry of Science, ICT, and Future Planning (2014R1A1A3051684).
Acknowledgments
We also thank the Aging Tissue Bank (Busan, Korea) for supplying research materials.
Conflicts of Interest
The authors declare no conflict of interest.
References
- Syed, A.A.; Lahiri, S.; Mohan, D.; Valicherla, G.R.; Gupta, A.P.; Riyazuddin, M.; Kumar, S.; Maurya, R.; Hanif, K.; Gayen, J.R. Evaluation of anti-hypertensive activity of Ulmus wallichiana extract and fraction in SHR, DOCA-salt- and L-NAME-induced hypertensive rats. J. Ethnopharmacol. 2016, 193, 555–565. [Google Scholar] [CrossRef]
- He, J. Bioactivity-guided fractionation of pine needle reveals catechin as an anti-hypertension agent via inhibiting angiotensin-converting enzyme. Sci. Rep. 2017, 7, 8867. [Google Scholar] [CrossRef]
- Fujita, H.; Yokoyama, K.; Yoshikawa, M. Classification and antihypertensive activity of angiotensin I-converting enzyme inhibitory peptides derived from food proteins. J. Food Sci. 2000, 65, 564–569. [Google Scholar]
- Wilson, J.; Hayes, M.; Carney, B. Angiotensin-I-converting enzyme and prolyl endopeptidase inhibitory peptides from natural sources with a focus on marine processing by-products. Food Chem. 2011, 129, 235–244. [Google Scholar] [CrossRef]
- Aruoma, O.I.; Akanumu, D.; Cecchini, R.; Halliwell, B. Evaluation of the ability of the angiotensin-converting enzyme inhibitor captopril to scavenge reactive oxygen species. Chem. Biol. Interact. 1991, 77, 303–314. [Google Scholar] [CrossRef]
- Antonios, T.F.; MacGregor, G.A. Angiotensin converting enzyme inhibitors in hypertension: Potential problems. J. Hypertens. 1995, 13, S11–S16. [Google Scholar] [CrossRef]
- Shukor, N.A.; Camp, J.V.; Gonzales, G.B.; Staljanssens, D.; Struijs, K.; Zotti, M.J.; Raes, K.; Smagghe, G. Angiotensin-converting enzyme inhibitory effects by plant phenolic compounds: A study of structure activity relationships. J. Agric. Food Chem. 2013, 61, 11832–11839. [Google Scholar] [CrossRef]
- Hyun, S.K.; Lee, H.; Kang, S.S.; Chung, H.Y.; Choi, J.S. Inhibitory activities of Cassia tora and its anthraquinone constituents on angiotensin-converting enzyme. Phytother. Res. 2009, 23, 178–184. [Google Scholar] [CrossRef]
- Actis-Goretta, L.; Ottaviani, J.I.; Keen, C.L.; Fraga, C.G. Inhibition of angiotensin converting enzyme (ACE) activity by flavan-3-ols and procyanidins. FEBS Lett. 2003, 555, 597–600. [Google Scholar] [CrossRef]
- Oh, H.; Kang, D.G.; Kwon, J.W.; Kwon, T.O.; Lee, S.Y.; Lee, D.B.; Lee, H.S. Isolation of angiotensin converting enzyme (ACE) inhibitory flavonoids from Sedum sarmentosum. Biol. Pharm. Bull. 2004, 27, 2035–2037. [Google Scholar] [CrossRef]
- Loizzo, M.R.; Said, A.; Tundis, R.; Rashed, K.; Statti, G.A.; Hufner, A.; Menichini, F. Inhibition of angiotensin converting enzyme (ACE) by flavonoids isolated from Ailanthus excels (Roxb) (Simaroubaceae). Phytother. Res. 2007, 21, 32–36. [Google Scholar] [CrossRef] [PubMed]
- Jenis, J.; Kim, J.Y.; Uddin, Z.; Song, Y.H.; Lee, H.H.; Park, K.H. Phytochemical profile and angiotensin I converting enzyme (ACE) inhibitory activity of Limonium michelsonii Lincz. J. Nat. Med. 2017, 71, 650–658. [Google Scholar] [CrossRef] [PubMed]
- Zhao, D.; Islam, M.N.; Ahn, B.R.; Jung, H.A.; Kim, B.W.; Choi, J.S. In vitro antioxidant and anti-inflammatory activities of Angelica decursiva. Arch. Pharm. Res. 2012, 35, 179–192. [Google Scholar] [CrossRef] [PubMed]
- Lee, M.H.; Kim, M.M.; Kook, J.K.; Kim, D.K.; Kim, H.R.; Kim, H.J.; Kim, C.S. Ethanol extracts of Angelica decursiva induces apoptosis in human oral cancer cells. Int. J. Oral Biol. 2010, 35, 215–220. [Google Scholar]
- Sarkhail, P. Traditional uses phytochemistry and pharmacological properties of the Genus Peucedanum: A review. J. Ethnopharmacol. 2014, 156, 235–270. [Google Scholar] [CrossRef]
- Lee, S.W.; Kim, C.S.; Cho, S.H.; Chun, H.S.; Kim, J.K.; Kim, D.K. The effects of Angelica decursiva extract in the inhibition of cell proliferation and in the induction of apoptosis in osteogenic sarcoma cells. J. Med. Plants Res. 2009, 3, 241–245. [Google Scholar]
- Chen, Y.C.; Chen, P.Y.; Wu, C.C.; Tsai, I.L.; Chen, I.S. Chemical constituents and anti-platelet aggregation activity from the root of Peucedanum formosanum. J. Food Drug Anal. 2008, 16, 15–25. [Google Scholar]
- Ali, M.Y.; Jung, H.A.; Choi, J.S. Anti-diabetic and anti-Alzheimer’s disease activities of Angelica decursiva. Arch. Pharm. Res. 2015, 38, 2216–2227. [Google Scholar]
- Ali, M.Y.; Jannat, S.; Jung, H.A.; Choi, R.J.; Roy, A.; Choi, J.S. Anti-Alzheimer potential of coumarins from Angelica decursiva and Artemisia capillaris and structure-activity analysis. Asian Pac. J. Trop. Med. 2016, 9, 103–111. [Google Scholar] [CrossRef]
- Ali, M.Y.; Jannat, S.; Jung, H.A.; Jeong, H.O.; Chung, H.Y.; Choi, J.S. Coumarins from Angelica decursiva inhibit α-glucosidase activity and protein tyrosine phosphatase 1B. Chem. Biol. Interact. 2016, 252, 93–101. [Google Scholar] [CrossRef]
- Ali, M.Y.; Seong, S.H.; Reddy, M.R.; Seo, S.Y.; Choi, J.S.; Jung, H.A. Kinetics and molecular docking studies of 6-formyl umbelliferone isolated from Angelica decursiva as an inhibitor of cholinesterase and BACE1. Molecules 2017, 22, 1604. [Google Scholar] [CrossRef]
- Ali, M.Y.; Seong, S.H.; Jung, H.A.; Jannat, S.; Choi, J.S. Kinetics and molecular docking of dihydroxanthyletin-type coumarins from Angelica decursiva that inhibit cholinesterase and BACE1. Arch. Pharm. Res. 2018, 41, 753–764. [Google Scholar] [CrossRef]
- Ali, M.Y.; Jung, H.A.; Jannat, S.; Choi, J.S. Dihydroxanthyletin-type coumarins from Angelica decursiva that inhibits the formation of advanced glycation end products and human recombinant aldose reductase. Arch. Pharm. Res. 2018, 41, 196–207. [Google Scholar] [CrossRef]
- Ishita, I.J.; Islam, M.N.; Kim, Y.S.; Choi, R.J.; Sohn, H.S.; Jung, H.A.; Choi, J.S. Coumarins from Angelica decursiva inhibit lipopolysacharide-induced nitric oxide roduction in RAW 264.7 cells. Arch. Pharm. Res. 2016, 39, 115–126. [Google Scholar] [CrossRef]
- Hyun, S.K.; Oh, Y.N.; Kwon, H.J.; Kim, B.W. Angiotensin converting enzyme inhibitory benzopyranoids from Angelica gigas. Food Sci. Biotechnol. 2013, 22, 1741–1745. [Google Scholar] [CrossRef]
- Lee, Y.Y.; Lee, S.; Jin, J.L.; Choi, H.S. Platelet anti-aggregatory effects of coumarins from the roots of Angelica genuflexa and Angelica gigas. Arch. Pharmacal. Res. 2003, 26, 723–726. [Google Scholar] [CrossRef]
- Seong, S.H.; Ali, M.Y.; Jung, H.A.; Choi, J.S. Umbelliferone derivatives exert neuroprotective effects by inhibiting monoamine oxidase A, self-amyloidβ aggregation, and lipid peroxidation. Bioorg. Chem. 2019, 92, 103293. [Google Scholar] [CrossRef]
- Kang, S.Y.; Lee, K.Y.; Sung, S.H.; Kim, Y.C. Four new neuroprotective dihydropyranocoumarins from Angelica gigas. J. Nat. Prod. 2005, 68, 56–59. [Google Scholar] [CrossRef]
- Kim, D.H.; Kim, D.Y.; Kim, Y.C.; Jung, J.W.; Lee, S.J.; Yoon, B.H.; Cheong, J.H.; Kim, Y.S.; Kang, S.S.; Ko, K.H.; et al. Nodakenin, a coumarin compound, ameliorates scopolamine-induced memory disruption in mice. Life Sci. 2007, 80, 1944–1950. [Google Scholar] [CrossRef]
- Ramesh, B.; Pugalendi, K.V. Impact of umbelliferone on erythrocyte redox status in STZ- diabetic rats. Yale J. Biol. Med. 2005, 78, 133–140. [Google Scholar]
- Islam, M.N.; Choi, R.J.; Jin, S.E.; Kim, Y.S.; Ahn, B.R.; Zhao, D.; Jung, H.A.; Choi, J.S. Mechanism of anti-inflammatory activity of umbelliferone 6-carboxylic acid isolated from Angelica decursiva. J. Ethnopharmacol. 2012, 144, 175–181. [Google Scholar] [CrossRef]
- Lim, H.J.; Lee, J.H.; Choi, J.S.; Lee, S.K.; Kim, Y.S.; Kim, H.P. Inhibition of airway inflammation by the roots of Angelica decursiva and its constituent, columbianadin. J. Ethnopharmacol. 2014, 155, 1353–1361. [Google Scholar] [CrossRef]
- Ramesh, B.; Viswanathan, P.; Pugalendi, K.V. Protective effect of umbelliferone on membranous fatty acid composition in streptozotocin-induced diabetic rats. Eur. J. Pharmacol. 2007, 566, 231–239. [Google Scholar] [CrossRef]
- Akif, M.; Schwager, S.L.; Anthony, C.S.; Czarny, B.; Beau, F.; Dive, V.; Sturrock, E.D.; Acharya, K.R. Novel mechanism of inhibition of human angiotensin-I-converting enzyme (ACE) by a highly specific phosphinic tripeptide. Biochem. J. 2011, 436, 53–59. [Google Scholar] [CrossRef]
- Katsori, A.M.; Hadjipavlou-Litina, D. Coumarin derivatives: An updated patent review. Expert Opin. Ther. Pat. 2014, 24, 1323–1347. [Google Scholar] [CrossRef]
- Abdelhafez, O.M.; Amin, K.M.; Batran, R.Z.; Maher, T.J.; Nada, S.A.; Sethumadhavan, S. Synthesis, anticoagulant and PIVKA-II induced by new 4-hydroxycoumarin derivatives. Bioorg. Med. Chem. 2010, 18, 3371–3378. [Google Scholar] [CrossRef]
- Kontogiorgis, C.A.; Savvoglou, K.; Hadjipavlou-Litina, D.J. Anti-inflammatory and antioxidant evaluation of novel coumarin derivatives. J. Enzyme Inhib. Med. Chem. 2006, 21, 21–29. [Google Scholar] [CrossRef]
- Li, Z.; Hu, J.; Sun, M.; Song, X.; Li, G.; Liu, Y.; Li, G.; Ji, H.; Liu, G.; Chen, N. In vitro and in vivo anti-inflammatory effects of IMMLG 5521, a coumarin derivative. Int. Immunopharmacol. 2013, 17, 400–403. [Google Scholar] [CrossRef]
- Rehman, S.; Ikram, M.; Baker, R.J.; Zubair, M.; Azad, E.; Min, S.; Riaz, K.; Mok, K.H.; Rehman, S.U. Synthesis, characterization, in vitro antimicrobial, and U2OS tumoricidal activities of different coumarin derivatives. Chem. Cent. J. 2013, 7, 1–12. [Google Scholar] [CrossRef]
- Gnerre, C.; Catto, M.; Leonetti, F.; Weber, P.; Carrupt, P.A.; Altomare, C.; Carotti, A.; Testa, B. Inhibition of monoamine oxidases by functionalized coumarin derivatives: Biological activities, QSARs, and 3D-QSARs. J. Med. Chem. 2000, 43, 4747–4758. [Google Scholar] [CrossRef]
- Han, J.; Sun, L.; Huang, X.; Li, Z.; Zhang, C.; Qian, H.; Huang, W. Novel coumarin modified GLP-1 derivatives with enhanced plasma stability and prolonged in vivo glucose-lowering ability. Br. J. Pharmacol. 2014, 171, 5252–5264. [Google Scholar] [CrossRef]
- Zhang, W.; Li, Z.; Zhou, M.; Wu, F.; Hou, X.; Luo, H.; Liu, H.; Han, X.; Yan, G.; Ding, Z.; et al. Synthesis and biological evaluation of 4-(1,2,3-triazol-1-yl) coumarin derivatives as potential antitumor agents. Bioorg. Med. Chem. Lett. 2014, 24, 799–807. [Google Scholar] [CrossRef]
- Paul, K.; Bindal, S.; Luxami, V. Synthesis of new conjugated coumarin-benzimidazole hybrids and their anticancer activity. Bioorg. Med. Chem. Lett. 2013, 23, 3667–3672. [Google Scholar] [CrossRef]
- Sarkanj, B.; Molnar, M.; Cacic, M.; Gille, L. 4-Methyl-7-hydroxycoumarin antifungal and antioxidant activity enhancement by substitution with thiosemicarbazide and thiazolidinone moieties. Food Chem. 2013, 139, 488–495. [Google Scholar] [CrossRef]
- Noh, B.Y.; Lee, H.J.; Do, J.R.; Kim, H.K. Antioxidant and ACE inhibitory activity of cultivated and wild Angelica gigas Nakai extracts prepared using different extraction conditions. Prev. Nutr. Food Sci. 2014, 19, 274–280. [Google Scholar] [CrossRef][Green Version]
- Cushman, D.W.; Cheung, H.S.; Subo, E.F.; Ondetti, M.A. Design of potent competitive inhibitors of angiotensin converting enzyme. Carboxyalkalkanoyl and mercaptoalkanoyl amino acid. Biochemistry 1977, 16, 5484–5491. [Google Scholar] [CrossRef]
- Ondetti, M.A.; Rubin, B.; Cushman, D.W. Design of specific inhibitors of angiotnesin-converting enzyme: New class of orally active antihypertensive agents. Science 1977, 196, 441–444. [Google Scholar] [CrossRef]
- Fuchs, S.; Xiao, H.D.; Hubert, C.; Michaud, A.; Campbell, D.J.; Adams, J.W.; Capecchi, M.R.; Corvol, P.; Bernstein, K.E. Angiotensin-converting enzyme C-terminal catalytic domain is the main site of angiotensin I cleavage in vivo. Hypertension 2008, 51, 267–274. [Google Scholar] [CrossRef]
- Soubrier, F.; Alhenc-Gelas, F.; Hubert, C.; Allegrini, J.; John, M.; Tregear, G.; Corvol, P. Two putative active centers in human angiotensin I-converting enzyme revealed by molecular cloning. Proc. Natl. Acad. Sci. USA 1988, 85, 9386–9390. [Google Scholar] [CrossRef]
- Fienberg, S.; Cozier, G.E.; Acharya, K.R.; Chibale, K.; Sturrock, E.D. The design and development of a potent and selective novel diprolyl derivative that binds to the N-domain of angiotensin-I converting enzyme. J. Med. Chem. 2018, 61, 344–359. [Google Scholar] [CrossRef]
- Guerrero, L.; Castillo, J.; Quinones, M.; Garcia-Vallve, S.; Arola, L.; Pujadas, G.; Muguerza, B. Inhibition of angiotensin-converting enzyme activity by flavonoids: Structure-activity relationship studies. PLoS ONE 2012, 7, e49493. [Google Scholar] [CrossRef]
- Ende, C.; Gebhardt, R. Inhibition of matrix metalloproteinase-2 and -9 activities by selected flavonoids. Planta Med. 2004, 70, 1006–1008. [Google Scholar] [CrossRef]
- Ali, M.Y.; Seong, S.H.; Jung, H.A.; Choi, J.S. Ethanobotany, phytochemistry, and pharmacology of Angelica decursiva Fr. et Sav. Nat. Prod. Sci. 2019, 25, 181–199. [Google Scholar] [CrossRef]
- Goodsell, D.S.; Morris, G.M.; Olson, A.J. Automated docking of flexible ligands: Applications of AutoDock. J. Mol. Recognit. 1996, 9, 1–5. [Google Scholar] [CrossRef]
Sample Availability: Samples of the compounds are available from the authors. |
© 2019 by the authors. Licensee MDPI, Basel, Switzerland. This article is an open access article distributed under the terms and conditions of the Creative Commons Attribution (CC BY) license (http://creativecommons.org/licenses/by/4.0/).




