Abstract
Functionalized cyclic organic carbonates and carbamates are frequently used in a number of transition metal-catalyzed decarboxylative reactions for the construction of interesting molecules. These decarboxylative transformations have attracted more and more research attention in recent years mainly due to their advantages of less waste generation and versatile reactivities. On the basis of previous reviews on this hot topic, the present review will focus on the development of transition metal-catalyzed decarboxylative transformations of functionalized cyclic carbonates and carbamates in the last two years.
1. Introduction
Decarboxylation is generally associated with steps of C–C bond cleavage and CO2 generation. As the sole byproduct of decarboxylative reactions, CO2 is non-flammable and non-toxic and can be easily removed from the reaction system; thus, decarboxylative chemistry has become a very important and attractive strategy in organic synthesis. Carboxylate groups have served as miscellaneous connection points in the construction of various organic compounds [1,2,3,4,5,6]. In contrast, cyclic organic carbonates and carbamates enabled new reactivities that go beyond classical carboxylic acid derivatives. In the last few years, the research on this topic has been flowered and remarkable progress has been made by different research groups. Specifically, vinyl and alkynyl substituted cyclic organic carbonates were used as allylic and propargyl surrogates upon decarboxylation toward the formation of various interesting O-heterocycles. In contrast, the corresponding vinyl and ethynyl cyclic organic carbamates also showed marvelous reactivities in the construction of a number of N-heterocycles.
In early 2018, Lu [5], Guo [6] and co-workers conducted a detailed review in this area. In the presence of transition metal catalysts, a number of structurally diverse N-heterocycles were synthesized using vinyl or ethynyl cyclic carbamates as starting materials [5]. Decarboxylation of cyclic carbonates proved to be a powerful tool to achieve chemo-, regio-, stereo- and enantioselective synthesis of complex structures [6]. As a related research topic, the Harrity group recently released a review of Pd-catalyzed cyclization reactions via π-allyl-Pd zwitterionic intermediates [7]. In order to avoid unnecessary duplication, we herein would like to focus on reviewing the latest contributions in the last two years, especially in transition metal-catalyzed decarboxylative transformations of cyclic carbonates and carbamates. We will first discuss the decarboxylative chemistry with cyclic carbamates as starting materials.
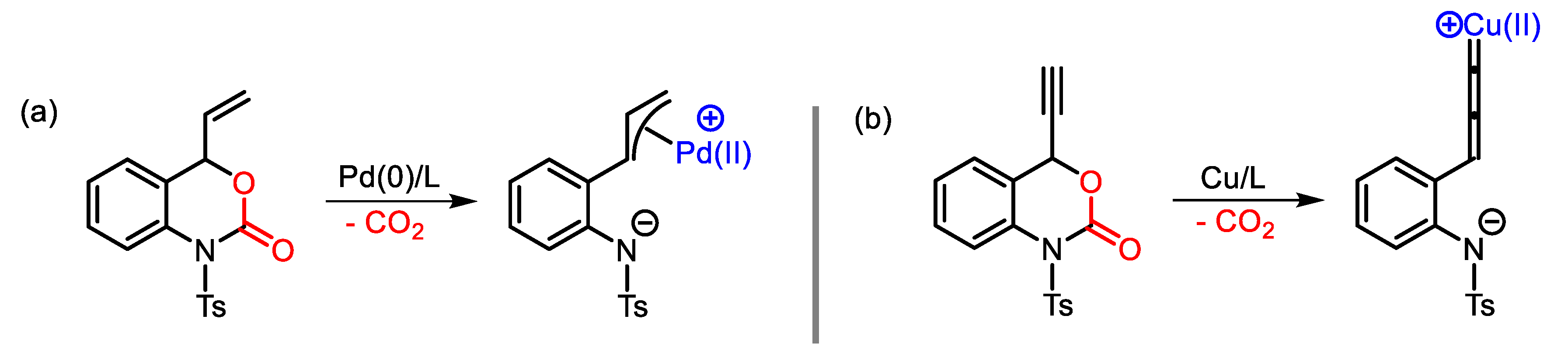
2. Transition Metal-Catalyzed Decarboxylation of Cyclic Carbamates
Cyclic carbamates have been widely used in the synthesis of a range of N-heterocyclic compounds through a key aza-quinone methide (aza-QM) intermediate. In the presence of a suitable palladium catalyst, the decarboxylation of vinyl cyclic carbamate would generate a zwitterionic intermediate (Scheme 1a) [8]. In contrast, the decarboxylation of ethynyl cyclic carbamate toward the formation of a zwitterionic intermediate generally requires an appropriate copper catalyst (Scheme 1b) [9]. In the presence of appropriate acceptors, a cyclization process would occur affording various interesting and useful N-heterocycles. In this section, the examples that have been reviewed by Lu and co-workers will not be discussed [5].
Scheme 1.
Palladium (a) or Copper (b) catalyzed decarboxylation of cyclic carbamates toward the formation of zwitterionic intermediates.
Decarboxylative cyclization of vinyl cyclic carbamates and benzylidene malononitriles toward the formation of chiral tetrahydroquinolines was first reported by Tunge et al. in 2008 [8]. In the following decade, cycloaddition reactions of vinyl cyclic carbamates with a variety of different electrophiles and nucleophiles have been boosted. In addition to previous achievements [5], new opportunities with neoteric acceptors have been discovered (Scheme 2). For instance, the decarboxylative formation of dihydroquinazolinones through a Pd-catalyzed [4 + 2] cycloaddition using sulfonyl isocyanates as electrophiles was reported by Shi and co-workers [10]. With the introduction of cyclic imines or barbiturate-based olefin reactants, it is feasible to construct highly functionalized quinazolines through decarboxylative cycloadditions [11,12,13]. Most recently, the annulation of deconjugated butenolides or azlactones with vinyl carbamates towards highly functionalized chiral dihydroquinol-2-ones was released by the Xiao group [14]. It was found that the utilization of the newly exploited chiral P,S-ligand and hydrogen bonding is the key to control the regioselectivity for this reaction. Apart from palladium catalysis, iridium/Brønsted acid co-catalytic system was applied for the preparation of quinolinones through a formal [4 + 2] cycloaddition by the Shi group [15]. Later, the same group developed a palladium-catalyzed cascade cyclization reaction of para-quinone methides and cyclic carbamates [16].
Scheme 2.
Pd-catalyzed decarboxylative cycloadditions of vinyl cyclic carbamates.
Interestingly, the Zhai group developed a palladium-catalyzed decarboxylative coupling of arynes and vinyl benzoxazinanones toward the formation of functionalized indoles (Scheme 3a). In allylic chemistry, the nucleophilic attack of π-allyl palladium intermediate generally occurred at the terminal or internal carbon. However, this conversion features an intramolecular nucleophilic attack of the amide group at the central carbon of the π-allyl palladium intermediate, though a deeper understanding of the mechanism is still required [17]. The Shibata group reported an unprecedented intermolecular cyclization of cyclic carbamate and sulfur ylides toward the formation of 4-trifluoromethyl-dihyroquinolines (Scheme 3b, path a); without externally added acceptors, a cyclization process would also be possible through an intramolecular attack of the zwitterionic π-allyl intermediate (Scheme 3b, path b) [18]. In contrast, the same group also proved [4 + 1] diastereoselective intermolecular cyclization using sulfur ylides and non-vinyl-substituted benzoxazinanones, affording various trifluoromethyl-substituted indolines [19]. Moreover, a three-component domino reaction via decarboxylation, allylation, and N-H carbene insertion in the sequence was reported by Yang and co-workers toward the formation of various allylic sulfone-containing amino acid derivatives (Scheme 3c) [20].
Scheme 3.
Palladium-catalyzed decarboxylative reaction of cyclic carbamates with different reaction partners: (a) with arynes; (b) with or without sulfur ylides and (c) three-component domino reactions.
Comparatively, the decarboxylative annulation of ethynyl cyclic carbamates has mostly been achieved through Cu-allenylidene intermediate. The Cu-allenylidene dipole species could be trapped by different nucleophiles toward the formation of various functionalized indole skeletons (Scheme 4). In the presence of phosphonate nucleophile, 2-phosphorylmethyl indoles could be produced with this strategy [21]. The use of an indole nucleophile allows the facile synthesis of a variety of 3,3’-biindoles [22]. In the presence of an appropriate copper catalyst and chiral urea-cinchona organocatalyst, enantioselective decarboxylative propargylation and hydroamination of ethynyl benzoxazinanones were established affording chiral 3-indolin malononitrile derivatives [23]. Notably, the Zhao group reported a metal-free decarboxylative protocol utilizing propargylic carbamates and aldehydes as substrates. In this methodology, a range of 4-alkynyl dihydroquinolinones and 2, 3-difunctionalized indoles could be readily synthesized under the catalysis of N-heterocyclic carbene [24].
Scheme 4.
Decarboxylative conversions of ethynyl cyclic carbamates toward the formation of indole derivatives.
In the presence of suitable reagents, the decarboxylative annulation process using ethynyl cyclic carbamates proved to be a feasible method for the preparation of N-heterocycles. In this sense, different chemicals such as pyrazolones, hexahydro-1,3,5-triazines, azlactones, and C,N-cyclic azomethineimines were submitted for the reactions toward the formation of various N-heterocycles (Scheme 5) [25,26,27,28]. It is worth noting that the Wu group accomplished an enantioselective [4 + 2] cycloaddition reaction of ethynyl benzoxazinanones and silyloxyfurans toward the formation of tetrahydroquinolines featuring three stereo carbon centers [29].
Scheme 5.
Cu-catalyzed decarboxylative annulation of ethynyl carbamates with different reagents.
3. Transition Metal-Catalyzed Decarboxylation of Cyclic Carbonates
As stable and readily accessible allylic and propargylic donors, cyclic carbonates have emerged as highly reactive substrates in various stereo- and enantioselective reactions. In the past ten years, the synthetic potential of these cyclic carbonates has been greatly demonstrated in a wide variety of decarboxylative processes. Decarboxylation of vinyl cyclic carbonate with a palladium catalyst would generate a zwitterionic intermediate featuring a nucleophilic alkoxide and an electrophilic π-allyl-palladium site. This reactive zwitterionic species can serve as 1,3- or 1,5-dipole. The reaction of this dipole species with different cyclization acceptors would lead to formal [3 + 2], [5 + 2], [5 + 3] or [5 + 4] annulation reactions.
More recently, a palladium and squaramide co-catalyzed decarboxylative [3 + 2] cyclization of VCCs and β-nitroolefins was achieved by the Zhang group (Scheme 6a) [30]. The chiral squaramide proved to be vital for achieving high enantioselectivity. A similar strategy was utilized for the construction of furanbenzodihydropyran skeletons by the same group through a formal [3 + 2] cyclization with VCC as substrates [31]. With the introduction of coumalates as acceptors, the Guo group realized the chiral synthesis of nine-membered ethers with excellent enantioselectivities (mostly > 99% ee) through a tandem [3 + 2] cycloaddition followed by Cope rearrangement (Scheme 6b). The mechanism was further confirmed by DFT calculations [32].
Scheme 6.
(a) Cooperative catalysis strategy for the cycloaddition of VECs with β-Nitroolefins and (b) [3 + 2] cycloaddition/Cope rearrangement reaction of VECs.
In addition to these aforementioned [3 + 2] annulations, the decarboxylative formation of medium-membered heterocycles through a Pd-catalyzed [5 + n] annulation has been achieved by different research groups (Scheme 7) [33,34,35,36,37,38]. For example, the Xiao group realized an enantioselective [5 + 2] cycloaddition reaction of VCCs and α-diazoketones by merging photoactivation and Pd catalysis and a variety of seven-membered lactones bearing chiral quaternary stereocenters with high enantioselectivity were delivered through this methodology [35].
Scheme 7.
Decarboxylative [5 + n] cycloadditions of VCCs with various electrophiles.
Umpolung reactivity of the π-allyl zwitterionic species was first noted by Guo and co-workers [39] and later, it was further explored by the Zhao group [40]. In the presence of a palladium and titanium catalyst, the umpolung annulation process occurred with the use of aurones and VCC as starting materials toward the formation of [6,5] and [5,5] spiro-heterocycles bearing three contiguous stereocenters (Scheme 8). Mechanistically, it was proposed that the Pd-π-allyl intermediate first reacted with Ti(OiPr)4, followed by ligand exchange between titanium and palladium resulting in a titanium-dienolate species through β elimination process.
Scheme 8.
Palladium-titanium relay catalysis enabled umpolung reactivity in the synthesis of spiro-heterocycles.
The Zhai group accomplished a Pd-catalyzed decarboxylative umpolung reaction of VCCs producing a variety of structurally diverse and synthetically useful all-carbon α-vinyl quaternary aldehydes (Scheme 9) [41]. The key step is that the π-allyl-Pd intermediate undergoes β-H elimination affording a nucleophilic dienolate. Most recently, a [3 + 3] cycloaddition of VCCs and triazinanes was achieved under the co-catalysis of palladium and Lewis acid towards the formation of polysubstituted tetrahydropyrimidines by the Yang group. Interestingly in this case, the vinyl carbonates served as a 3-carbon synthon, which is unique in this kind of decarboxylative cycloaddition process [42].
Scheme 9.
Pd-catalyzed decarboxylative transformations of VCCs toward highly functionalized aldehydes bearing quaternary carbon centers.
Unlike the cyclization process mentioned above, in the presence of suitable palladium catalyst and ligand, the stereoselective synthesis of a variety of highly functionalized allylic alcohols can be realized. This concept was first proved by Guo and co-workers using aryl amine nucleophiles toward the formation of highly functionalized (Z)-configured allylic alcohols/amines; the DFT (Density Functional Theory) studies suggested that the formation of a six-membered palladacyclic intermediate is the key for excellent stereocontrol [43]. Apart from amines, various other nucleophiles were demonstrated to be efficient for the syntheses of a huge number of allylic alcohols with excellent stereoselectivity (Scheme 10) [44,45,46,47]. By judicious choice of the palladium catalyst and ligand, the nucleophilic attack could be switched toward the sterically hindered carbon of the palladium allyl intermediate that derived from vinyl carbonate; this concept was first demonstrated by Guo and co-workers in the preparation of chiral α,α-disubstituted allylic aryl amines [48], and later it was further developed by the Khan group in the synthesis of chiral sulfones [49]. In the presence of naphthol nucleophile, the Liang group disclosed an unprecedented [3 + 2] or [3 + 3] cycloaddition reaction using VCC as substrates under palladium catalysis [50]. By simply switching the ligands, the cyclization mode can be readily controlled toward the formation of O-heterocycles.
Scheme 10.
Pd-catalyzed decarboxylative formation of highly substituted (Z)-configured allylic alcohols from VCCs.
In contrast, the catalytic transformations of alkynyl-substituted cyclic carbonates were less investigated. The alkyne-functionalized carbonates were frequently used as important synthons in asymmetric propargylation reactions for the construction of quaternary stereocenters. In the presence of sodium sulfinate nucleophiles and copper catalyst, chiral propargylic sulfones can be synthesized with CO2 as the sole byproduct (Scheme 11a) [51]. Moreover, the coupling of malononitrile and alkynyl-carbonates proved to be feasible resulting in a series of chiral polysubstituted dihydrofurans with high enantioselectivities (up to 97% ee) (Scheme 11b) [52]. Most recently, the Gong group achieved the asymmetric synthesis of numerous spiro compounds with this strategy using both ethynylethylene carbonates and carbamates as starting materials through a NHC/copper cooperative catalytic system (Scheme 11c) [53].
Scheme 11.
(a) Cu-catalyzed asymmetric propargylic sulfonylation; (b) asymmetric [3 + 2] reaction of carbamates with malononitrile and (c) [3 + 3] and [3 + 4] annulations of isatin-derived enals.
4. Miscellaneous Substrates
1,4,2-Dioxazol-5-ones, known as dioxazolones, can be easily prepared from the corresponding commercially available alkyl carboxylic acids. These substrates are relatively easy to be activated under mild reaction conditions due to the presence of a weak N-O bond in the heterocycle. In general, due to the inherent instability, carbonyl nitrenes are prone to undergo Curtius rearrangement affording isocyanates as the main products. Based on the computational calculations reported by the Chang group [54,55], it was believed that the Curtius rearrangement is more sensitive to the charge variations of the metal center than the C-H insertion, thus electron-donating ligands may increase the Curtius-rearrangement barrier to a larger extent than the C-H insertion barrier. In early 2018, Chang and co-workers developed a method for the regioselective formation of γ-lactams with iridium catalysis (Scheme 12). The reactions proceeded smoothly via sp3 and sp2 C-H amidation with exceptional selectivity. The application potential of the methodology was further demonstrated by the late-stage functionalization of different amino acid derivatives and other bioactive compounds [54]. Enantioselective nitrene insertion to C(sp3)-H bonds was also developed by different research groups to afford chiral γ-lactams [55,56,57,58].
Scheme 12.
Selective formation of γ-lactams via C-H amidation.
A Rh-catalyzed three-component approach was reported for the synthesis of α-branched amines with terminal alkenes as substrates. The reactions could be carried out under mild conditions and tolerated well with different functionalities [59]. Regioselective amidation of allylic alkenes involving inert C-H activation with the use of 1,4,2-Dioxazol-5-ones as starting materials was also feasible utilizing Ir or Rh catalyst [60,61,62]. As analogs of cyclic carbamates, isatoic anhydrides have also emerged as powerful building blocks for the preparation of functionalized N-heterocycles. For example, Scheidt and co-workers disclosed an NHC-mediated [4 + 2] cycloaddition of isatoic anhydride and trifluoromethyl ketones. Various enantioenriched dihydrobenzoxazin-4-ones functionalized with a CF3 group can be produced with this protocol (Scheme 13a) [63]. In this transformation, the generation of an NHC-bonded intermediate is vital for the success of the reactions. Additionally, a Brønsted acid-catalyzed [4 + 3] cyclization of N,N’-cyclic azomethine imines with isatoic anhydrides was accomplished by the Shi group (Scheme 13b) [64].
Scheme 13.
(a) NHC-catalyzed [4+2] cycloaddition of carbamates and CF3-containing partners and (b) brønsted acid-catalyzed [4 + 3] cyclization of carbamates with N,N’-cyclic azomethine imines.
5. Conclusions and Outlook
This review briefly summarizes the synthetic application of cyclic organic carbonates and carbamates with transition metal catalysis in the last two years. More and more novel catalytic transformations have been realized with efficient and vibrant reactivity and selectivity. The combination of transition metal catalysis with the use of cyclic carbamates as starting materials provides new strategies for the preparation of structurally diverse N-heterocycles. Cyclic carbonates played an important role in the synthesis of O-heterocycles. The merging of dioxazolones and transition metal catalysts proved to be a powerful tool to achieve challenging C–H bond functionalization toward the formation of interesting compounds. However, most of the decarboxylative transformations with cyclic carbamate and/or carbonate substrates require expensive transition metal catalysts. The development of interesting decarboxylative reactions with these cyclic structures as starting materials with earth-abundant metal alternatives as catalysts would be highly desired and of significance. Alternatively, the exploration of a metal-free strategy would be highly attractive for pharmaceutical purposes. Furthermore, the combination of transition metal catalysts with photochemistry, radical chemistry or organocatalyst may bring new opportunities during the exploration of novel and interesting chemistry.
Author Contributions
All the authors participated in drafting the manuscript.
Funding
This work is supported by the starting funding scheme of Xi’an Jiaotong University.
Conflicts of Interest
The authors declare that there are no conflicts of interest.
References
- Weaver, J.D.; Recio III, A.; Grenning, A.J.; Tunge, J.A. Transition Metal-Catalyzed Decarboxylative Allylation and Benzylation Reactions. Chem. Rev. 2011, 111, 1846–1913. [Google Scholar] [CrossRef] [PubMed]
- Rodríguez, N.; Goossen, L.J. Decarboxylative Coupling Reactions: A Modern Strategy for C–C-Bond Formation. Chem. Soc. Rev. 2011, 40, 5030–5048. [Google Scholar] [CrossRef] [PubMed]
- Xuan, J.; Zhang, Z.-G.; Xiao, W.-J. Visible-Light-Induced Decarboxylative Functionalization of Carboxylic Acids and Their Derivatives. Angew. Chem. Int. Ed. 2015, 54, 15632–15641. [Google Scholar] [CrossRef] [PubMed]
- Wei, Y.; Hu, P.; Zhang, M.; Su, W. Metal-Catalyzed Decarboxylative C–H Functionalization. Chem. Rev. 2017, 117, 8864–8907. [Google Scholar] [CrossRef]
- Li, T.-R.; Wang, Y.-N.; Xiao, W.-J.; Lu, L.-Q. Transition-Metal-Catalyzed Cyclization Reactions Using Vinyl and Ethynyl Benzoxazinones as Dipole Precursors. Tetrahedron Lett. 2018, 59, 1521–1530. [Google Scholar] [CrossRef]
- Guo, W.; Gómez, J.E.; Cristòfol, À.; Xie, J.; Kleij, A.W. Catalytic Transformations of Functionalized Cyclic Organic Carbonates. Angew. Chem. Int. Ed. 2018, 57, 13735–13747. [Google Scholar] [CrossRef]
- Allen, B.D.W.; Lakeland, C.P.; Harrity, J.P.A. Utilizing Palladium-Stabilized Zwitterions for the Construction of N-Heterocycles. Chem. Eur. J. 2017, 23, 13830–13857. [Google Scholar] [CrossRef]
- Wang, C.; Tunge, J.A. Asymmetric Cycloadditions of Palladium-Polarized Aza-o-xylylenes. J. Am. Chem. Soc. 2008, 130, 8118–8119. [Google Scholar] [CrossRef]
- Wang, Q.; Li, T.-R.; Lu, L.-Q.; Li, M.-M.; Zhang, K.; Xiao, W.-J. Catalytic Asymmetric [4 + 1] Annulation of Sulfur Ylides with Copper-Allenylidene Intermediates. J. Am. Chem. Soc. 2016, 138, 8360–8363. [Google Scholar] [CrossRef]
- Lu, Y.-N.; Lan, J.-P.; Mao, Y.-J.; Wang, Y.-X.; Mei, G.-J.; Shi, F. Catalytic Asymmetric de novo Construction of Dihydroquinazolinone Scaffolds via Enantioselective Decarboxylative [4 + 2] Cycloadditions. Chem. Commun. 2018, 54, 13527–13530. [Google Scholar] [CrossRef]
- Wang, C.; Li, Y.; Wu, Y.; Wang, Q.; Shi, W.; Yuan, C.; Zhou, L.; Xiao, Y.; Guo, H. Enantioselective Construction of Tetrahydroquinazoline Motifs via Palladium-Catalyzed [4 + 2] Cycloaddition of Vinyl Benzoxazinones with Sulfamate-Derived Cyclic Imines. Org. Lett. 2018, 20, 2880–2883. [Google Scholar] [CrossRef] [PubMed]
- Mun, D.; Kim, E.; Kim, S.-G. Palladium-Catalyzed Decarboxylative [4 + 2] Cycloaddition of Vinyl Benzoxazinanones with Cyclic N-Sulfimines: Stereoselective Synthesis of Benzosulfamidate-Fused Tetrahydroquinazolines. Synthesis 2019, 51, 2359–2370. [Google Scholar] [CrossRef]
- Zhao, H.-W.; Feng, N.-N.; Guo, J.-M.; Du, J.; Ding, W.-Q.; Wang, L.-R.; Song, X.-Q. Diastereoselective and Enantioselective Synthesis of Barbiturate-Fused Spirotetrahydroquinolines via Chiral Palladium (0)/Ligand Complex Catalyzed [4 + 2] Cycloaddition of Vinyl Benzoxazinanones with Barbiturate-Based Olefins. J. Org. Chem. 2018, 83, 9291–9299. [Google Scholar] [CrossRef] [PubMed]
- Wang, Y.-N.; Xiong, Q.; Lu, L.-Q.; Zhang, Q.-L.; Wang, Y.; Lan, Y.; Xiao, W.-J. Inverse-Electron-Demand Palladium-Catalyzed Asymmetric [4 + 2] Cycloadditions Enabled by Chiral P,S-Ligand and Hydrogen Bonding. Angew. Chem. Int. Ed. 2019, 58, 11013–11017. [Google Scholar] [CrossRef] [PubMed]
- Sun, M.; Wan, X.; Zhou, S.-J.; Mei, G.-J.; Shi, F. Iridium and a Brønsted Acid Cooperatively Catalyzed Chemodivergent and Stereoselective Reactions of Vinyl Benzoxazinones with Azlactones. Chem. Commun. 2019, 55, 1283–1286. [Google Scholar] [CrossRef]
- Jiang, X.-L.; Wu, S.-F.; Wang, J.-R.; Lu, H.; Mei, G.-J.; Shi, F. The [4 + 2] Cyclization/Retro-Mannich Reaction Cascade of para-Quinone Methide Derivatives with Pd-Containing 1,4-Dipoles. Org. Biomol. Chem. 2018, 16, 8395–8402. [Google Scholar] [CrossRef]
- Duan, S.; Cheng, B.; Duan, X.; Bao, B.; Li, Y.; Zhai, H. Synthesis of cis-5,5a,6,10b-Tetrahydroindeno [2,1-b]indoles through Palladium-Catalyzed Decarboxylative Coupling of Vinyl Benzoxazinanones with Arynes. Org. Lett. 2018, 20, 1417–1420. [Google Scholar] [CrossRef]
- Punna, N.; Harada, K.; Zhou, J.; Shibata, N. Pd-Catalyzed Decarboxylative Cyclization of Trifluoromethyl Vinyl Benzoxazinanones with Sulfur Ylides: Access to Trifluoromethyl Dihydroquinolines. Org. Lett. 2019, 21, 1515–1520. [Google Scholar] [CrossRef]
- Punna, N.; Das, P.; Gouverneur, V.; Shibata, N. Highly Diastereoselective Synthesis of Trifluoromethyl Indolines by Interceptive Benzylic Decarboxylative Cycloaddition of Nonvinyl, Trifluoromethyl Benzoxazinanones with Sulfur Ylides under Palladium Catalysis. Org. Lett. 2018, 20, 1526–1529. [Google Scholar] [CrossRef]
- Hao, J.; Xu, Y.; Xu, Z.; Zhang, Z.; Yang, W. Pd-Catalyzed Three-Component Domino Reaction of Vinyl Benzoxazinanones for Regioselective and Stereoselective Synthesis of Allylic Sulfone-Containing Amino Acid Derivatives. Org. Lett. 2018, 20, 7888–7892. [Google Scholar] [CrossRef]
- Wang, B.-C.; Wang, Y.-N.; Zhang, M.-M.; Xiao, W.-J.; Lu, L.-Q. Copper-Catalyzed Decarboxylative Cyclization via Tandem C–P and C–N Bond Formation: Access to 2-Phosphorylmethyl Indoles. Chem. Commun. 2018, 54, 3154–3157. [Google Scholar] [CrossRef] [PubMed]
- Li, T.-R.; Zhang, M.-M.; Wang, B.-C.; Lu, L.-Q.; Xiao, W.-J. Synthesis of 3,3′-Biindoles through a Copper-Catalyzed Friedel-Crafts Propargylation/Hydroamination/Aromatization Sequence. Org. Lett. 2018, 20, 3237–3240. [Google Scholar] [CrossRef] [PubMed]
- Zhang, Y.-C.; Zhang, Z.-J.; Fan, L.-F.; Song, J. Enantioselective Decarboxylative Propargylation/Hydroamination Enabled by Organo/Metal Cooperative Catalysis. Org. Lett. 2018, 20, 2792–2795. [Google Scholar] [CrossRef] [PubMed]
- Lu, S.; Ong, J.-Y.; Poh, S.B.; Tsang, T.; Zhao, Y. Transition-Metal-Free Decarboxylative Propargylic Substitution/Cyclization with either Azolium Enolates or Acyl Anions. Angew. Chem. Int. Ed. 2018, 57, 5714–5719. [Google Scholar] [CrossRef]
- Jiang, F.; Feng, X.; Wang, R.; Gao, X.; Jia, H.; Xiao, Y.; Zhang, C.; Guo, H. Asymmetric [3 + 3] Annulation of Copper-Allenylidenes with Pyrazolones: Synthesis of Chiral 1,4-Dihydropyrano[2,3-c]pyrazoles. Org. Lett. 2018, 20, 5278–5281. [Google Scholar] [CrossRef]
- Simlandy, A.K.; Ghosh, B.; Mukherjee, S. Enantioselective [4 + 2]-Annulation of Azlactones with Copper-Allenylidenes under Cooperative Catalysis: Synthesis of α-Quaternary α-Acylaminoamides. Org. Lett. 2019, 21, 3361–3366. [Google Scholar] [CrossRef]
- Ji, D.; Wang, C.; Sun, J. Asymmetric [4 + 2]-Cycloaddition of Copper-Allenylidenes with Hexahydro-1,3,5-triazines: Access to Chiral Tetrahydroquinazolines. Org. Lett. 2018, 20, 3710–3713. [Google Scholar] [CrossRef]
- Wang, Y.; Zhu, L.; Wang, M.; Xiong, J.; Chen, N.; Feng, X.; Xu, Z.; Jiang, X. Catalytic Asymmetric [4 + 3] Annulation of C,N-Cyclic Azomethine Imines with Copper Allenylidenes. Org. Lett. 2018, 20, 6506–6509. [Google Scholar] [CrossRef]
- Chen, H.; Lu, X.; Xia, X.; Zhu, Q.; Song, Y.; Chen, J.; Cao, W.; Wu, X. Asymmetric Catalytic [4 + 2] Cycloaddition via Cu-Allenylidene Intermediate: Stereoselective Synthesis of Tetrahydroquinolines Fused with a γ-Lactone Moiety. Org. Lett. 2018, 20, 1760–1763. [Google Scholar] [CrossRef]
- Liu, K.; Khan, I.; Cheng, J.; Hsueh, Y.J.; Zhang, Y.J. Asymmetric Decarboxylative Cycloaddition of Vinylethylene Carbonates with β-Nitroolefins by Cooperative Catalysis of Palladium Complex and Squaramide. ACS Catal. 2018, 8, 11600–11604. [Google Scholar] [CrossRef]
- Khan, I.; Zhao, C.; Zhang, Y.J. Pd-Catalyzed Asymmetric Decarboxylative Cycloaddition of Vinylethylene Carbonates with 3-Cyanochromones. Chem. Commun. 2018, 54, 4708–4711. [Google Scholar] [CrossRef] [PubMed]
- Gao, X.; Xia, M.; Yuan, C.; Zhou, L.; Sun, W.; Li, C.; Wu, B.; Zhu, D.; Zhang, C.; Zheng, B.; et al. Enantioselective Synthesis of Chiral Medium-Sized Cyclic Compounds via Tandem Cycloaddition/Cope Rearrangement Strategy. ACS Catal. 2019, 9, 1645–1654. [Google Scholar] [CrossRef]
- Yuan, C.; Wu, Y.; Wang, D.; Zhang, Z.; Wang, C.; Zhou, L.; Zhang, C.; Song, B.; Guo, H. Formal [5 + 3] Cycloaddition of Zwitterionic Allylpalladium Intermediates with Azomethine Imines for Construction of N,O-Containing Eight-Membered Heterocycles. Adv. Synth. Catal. 2018, 360, 652–658. [Google Scholar] [CrossRef]
- Zhao, H.-W.; Du, J.; Guo, J.-M.; Feng, N.-N.; Wang, L.-R.; Ding, W.-Q.; Song, X.-Q. Formal [5 + 2] Cycloaddition of Vinylethylene Carbonates to Oxazol-5-(4H)-ones for The Synthesis of 3,4-Dihydrooxepin-2(7H)-ones. Chem. Commun. 2018, 54, 9178–9181. [Google Scholar] [CrossRef]
- Wei, Y.; Liu, S.; Li, M.-M.; Li, Y.; Lan, Y.; Lu, L.-Q.; Xiao, W.-J. Enantioselective Trapping of Pd-Containing 1,5-Dipoles by Photogenerated Ketenes: Access to 7-Membered Lactones Bearing Chiral Quaternary Stereocenters. J. Am. Chem. Soc. 2019, 141, 133–137. [Google Scholar] [CrossRef]
- Yang, Y.; Yang, W. Divergent Synthesis of N-Heterocycles by Pd-Catalyzed Controllable Cyclization of Vinylethylene Carbonates. Chem. Commun. 2018, 54, 12182–12185. [Google Scholar] [CrossRef]
- Das, P.; Gondo, S.; Nagender, P.; Uno, H.; Tokunaga, E.; Shibata, N. Access to Benzo-Fused Nine-Membered Heterocyclic Alkenes with a Trifluoromethyl Carbinol Moiety via a Double Decarboxylative Formal Ring-Expansion Process under Palladium Catalysis. Chem. Sci. 2018, 9, 3276–3281. [Google Scholar] [CrossRef]
- Niu, B.; Wu, X.-Y.; Wei, Y.; Shi, M. Palladium-Catalyzed Diastereoselective Formal [5 + 3] Cycloaddition for the Construction of Spirooxindoles Fused with an Eight-Membered Ring. Org. Lett. 2019, 21, 4859–4863. [Google Scholar] [CrossRef]
- Guo, W.; Kuniyil, R.; Gómez, J.E.; Maseras, F.; Kleij, A.W. A Domino Process toward Functionally Dense Quaternary Carbons through Pd-Catalyzed Decarboxylative C(sp3)−C(sp3) Bond Formation. J. Am. Chem. Soc. 2018, 140, 3981–3987. [Google Scholar] [CrossRef]
- Yang, L.-C.; Tan, Z.Y.; Rong, Z.-Q.; Liu, R.; Wang, Y.-N.; Zhao, Y. Palladium-Titanium Relay Catalysis Enables Switch from Alkoxide-π-Allyl to Dienolate Reactivity for Spiro-Heterocycle Synthesis. Angew. Chem. Int. Ed. 2018, 57, 7860–7864. [Google Scholar] [CrossRef]
- Wang, H.; Qiu, S.; Wang, S.; Zhai, H. Pd-Catalyzed Umpolung of π-Allylpalladium Intermediates: Assembly of All-Carbon α-Vinyl Quaternary Aldehydes through C(sp3)-C(sp3) Coupling. ACS Catal. 2018, 8, 11960–11965. [Google Scholar] [CrossRef]
- Xu, Y.; Chen, L.; Yang, Y.-W.; Zhang, Z.; Yang, W. Vinylethylene Carbonates as α,β-Unsaturated Aldehyde Surrogates for Regioselective [3 + 3] Cycloaddition. Org. Lett. 2019. [Google Scholar] [CrossRef] [PubMed]
- Guo, W.; Martínez-Rodríguez, L.; Kuniyil, R.; Martin, E.; Escudero-Adán, E.C.; Maseras, F.; Kleij, A.W. Stereoselective and Versatile Preparation of Tri- and Tetrasubstituted Allylic Amine Scaffolds under Mild Conditions. J. Am. Chem. Soc. 2016, 138, 11970–11978. [Google Scholar] [CrossRef] [PubMed]
- Deng, L.; Kleij, A.W.; Yang, W. Diversity-Orientated Stereoselective Synthesis through Pd-Catalyzed Switchable Decarboxylative C–N/C–S Bond Formation in Allylic Surrogates. Chem. Eur. J. 2018, 24, 19156–19161. [Google Scholar] [CrossRef]
- Cristòfol, À.; Escudero-Adán, E.C.; Kleij, A.W. Palladium-Catalyzed (Z)-Selective Allylation of Nitroalkanes: Access to Highly Functionalized Homoallylic Scaffolds. J. Org. Chem. 2018, 83, 9978–9990. [Google Scholar] [CrossRef]
- Shi, L.; He, Y.; Gong, J.; Yang, Z. Pd-Catalyzed Decarboxylative Allylation for Stereoselective Syntheses of Allylic Alcohols bearing a Quaternary Carbon Center. Asian J. Org. Chem. 2019, 8, 823–827. [Google Scholar] [CrossRef]
- Ke, M.; Huang, G.; Ding, L.; Fang, J.; Chen, F.-E. Direct Synthesis of Substituted (Z)-Allylic Sulfones by Palladium-Catalyzed Sulfonylation of Vinylethylene Carbonates with Sodium Sulfinates. ChemCatChem 2019. [Google Scholar] [CrossRef]
- Cai, A.; Guo, W.; Martínez-Rodríguez, L.; Kleij, A.W. Palladium-Catalyzed Regio- and Enantioselective Synthesis of Allylic Amines Featuring Tetrasubstituted Tertiary Carbons. J. Am. Chem. Soc. 2016, 138, 14194–14197. [Google Scholar] [CrossRef]
- Khan, A.; Zhang, M.; Khan, S. Regio-and Enantioselective Synthesis of Sulfone-Bearing Quaternary Carbon Stereocenters via Pd-Catalyzed Allylic Substitution. Angew. Chem. Int. Ed. 2019. [Google Scholar] [CrossRef]
- Xia, Y.; Bao, Q.-F.; Li, Y.; Wang, L.-J.; Zhang, B.-S.; Liu, H.-C.; Liang, Y.-M. Ligand-Controlled Regiodivergent π-Allyl Palladium Catalysis Enables a Switch between [3 + 2] and [3 + 3] Cycloadditions. Chem. Commun. 2019, 55, 4675–4678. [Google Scholar] [CrossRef]
- Gómez, J.E.; Cristòfol, À.; Kleij, A.W. Copper-Catalyzed Enantioselective Construction of Tertiary Propargylic Sulfones. Angew. Chem. Int. Ed. 2019, 58, 3903–3907. [Google Scholar] [CrossRef] [PubMed]
- Zhang, Y.-C.; Zhang, B.-W.; Geng, R.-L.; Song, J. Enantioselective [3 + 2] Cycloaddition Reaction of Ethynylethylene Carbonates with Malononitrile Enabled by Organo/Metal Cooperative Catalysis. Org. Lett. 2018, 20, 7907–7911. [Google Scholar] [CrossRef] [PubMed]
- Zhang, Z.-J.; Zhang, L.; Geng, R.-L.; Song, J.; Chen, X.-H.; Gong, L.-Z. N-Heterocyclic Carbene/Copper Cooperative Catalysis for the Asymmetric Synthesis of Spirooxindoles. Angew. Chem. Int. Ed. 2019. [Google Scholar] [CrossRef]
- Hong, S.Y.; Park, Y.; Hwang, Y.; Kim, Y.B.; Baik, M.-H.; Chang, S. Selective Formation of γ-Lactams via C–H Amidation Enabled by Tailored Iridium Catalysts. Science 2018, 359, 1016–1021. [Google Scholar] [CrossRef]
- Park, Y.; Chang, S. Asymmetric Formation of γ-Lactams via C-H Amidation Enabled by Chiral Hydrogen-Bond-Donor Catalysts. Nature Catal. 2019, 2, 219–227. [Google Scholar] [CrossRef]
- Wang, H.; Park, Y.; Bai, Z.; Chang, S.; He, G.; Chen, G. Iridium-Catalyzed Enantioselective C(sp3)-H Amidation Controlled by Attractive Noncovalent Interactions. J. Am. Chem. Soc. 2019, 141, 7194–7201. [Google Scholar] [CrossRef]
- Yu, W.-Y.; Xing, Q.; Chan, C.-M.; Yeung, Y.-W.; Yu, W.-Y. Ruthenium(II)-Catalyzed Enantioselective γ-Lactams Formation by Intramolecular C–H Amidation of 1,4,2-Dioxazol-5-ones. J. Am. Chem. Soc. 2019, 141, 3849–3853. [Google Scholar]
- Tan, T.-D.; Ye, L.-W. Chiral γ-Lactam Synthesis via Asymmetric C–H Amidation. Nature Catal. 2019, 2, 182–183. [Google Scholar] [CrossRef]
- Maity, S.; Potter, T.J.; Ellman, J.A. α-Branched Amines by Catalytic 1,1-Addition of C–H Bonds and Aminating Agents to Terminal Alkenes. Nature Catal. 2019. [Google Scholar] [CrossRef]
- Knecht, T.; Mondal, S.; Ye, J.-H.; Das, M.; Glorius, F. Intermolecular, Branch-Selective, and Redox-Neutral Cp*IrIII-Catalyzed Allylic C–H Amidation. Angew. Chem. Int. Ed. 2019, 58, 7117–7121. [Google Scholar] [CrossRef]
- Burman, J.S.; Harris, R.J.; Farr, C.M.B.; Bacsa, J.; Blakey, S.B. Rh(III) and Ir(III)Cp* Complexes Provide Complementary Regioselectivity Profiles in Intermolecular Allylic C–H Amidation Reactions. ACS Catal. 2019, 9, 5474–5479. [Google Scholar] [CrossRef]
- Lei, H.; Rovis, T. Ir-Catalyzed Intermolecular Branch-Selective Allylic C–H Amidation of Unactivated Terminal Olefins. J. Am. Chem. Soc. 2019, 141, 2268–2273. [Google Scholar] [CrossRef] [PubMed]
- Lee, A.; Zhu, J.L.; Feoktistova, T.; Brueckner, A.C.; Cheong, P.H.-Y.; Scheidt, K.A. Carbene-Catalyzed Enantioselective Decarboxylative Annulations to Access Dihydrobenzoxazinones and Quinolones. Angew. Chem. Int. Ed. 2019, 131, 6002–6006. [Google Scholar] [CrossRef]
- Li, C.; Wang, C.-S.; Li, T.-Z.; Mei, G.-J.; Shi, F. Brønsted Acid-Catalyzed (4 + 3) Cyclization of N,N’-Cyclicazomethine Imines with Isatoic Anhydrides. Org. Lett. 2019, 21, 598–602. [Google Scholar] [CrossRef]
© 2019 by the authors. Licensee MDPI, Basel, Switzerland. This article is an open access article distributed under the terms and conditions of the Creative Commons Attribution (CC BY) license (http://creativecommons.org/licenses/by/4.0/).












