Structural Identification and Conversion Analysis of Malonyl Isoflavonoid Glycosides in Astragali Radix by HPLC Coupled with ESI-Q TOF/MS
Abstract
1. Introduction
2. Results and Discussion
2.1. Compound Separation and Structural Identification
2.2. LC-QTOF/MS Analysis of the Extract of Astragali Radix
2.2.1. Identification of Malonyl Isoflavone Glycosides and Related Aglycones
2.2.2. Analysis of Malonyl Isoflavan Glycosides and Related Aglycones
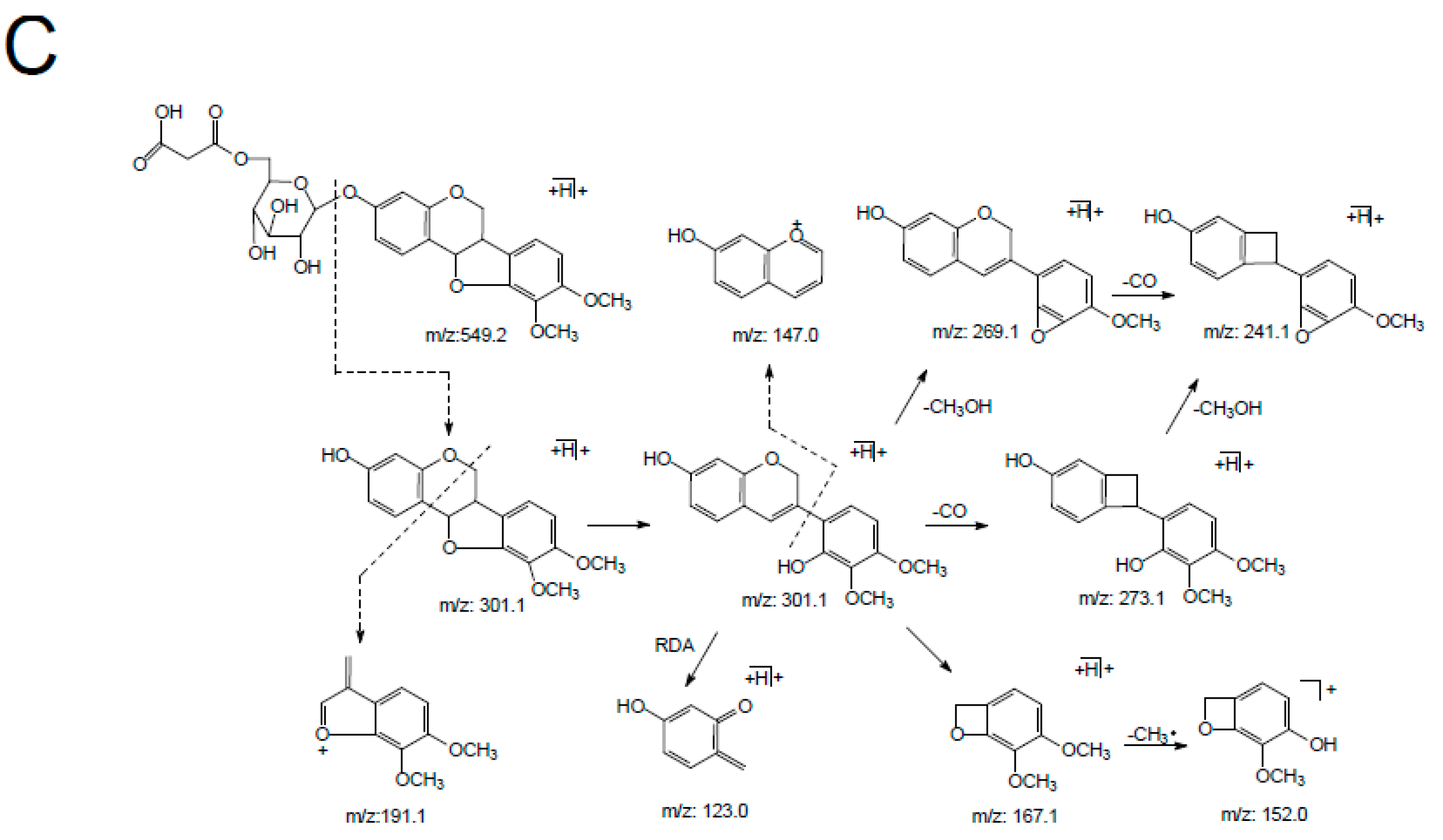
2.2.3. Characterization of Malonyl Pterocarpan Glycosides and Related Aglycones
2.3. Conversion Analysis of MIGs in Astragali Radix under Different Extract Conditions
2.3.1. Calibration Curves, Linearity, Limits of Detection, and Quantification
2.3.2. Content Variation of MIGs, Related Glycosides and Aglycones in Different Extraction Samples of Astragali Radix
3. Materials and Methods
3.1. Samples, Chemicals and Reagents
3.2. Isolation and Identification ofMIGs
3.3. Chromatographic Methods
3.4. LC-TOF/MS Conditions
3.5. Sample Solution Preparation
4. Conclusions
Supplementary Materials
Author Contributions
Funding
Conflicts of Interest
References
- Pharmacopoeia Commission of PRC. Pharmacopoeia of the People’s Republic of China: Volume 1; China Medical Science Press: Beijing, China, 2015; p. 302. [Google Scholar]
- Yu, D.; Duan, Y.; Bao, Y.; Wei, C.; An, L. Isoflavonoids from Astragalus mongholicus protect PC12 cells from toxicity induced by L-glutamate. J. Ethnopharmacol. 2005, 98, 89–94. [Google Scholar] [CrossRef] [PubMed]
- Wang, D.; Shen, W.; Tian, Y.; Liu, G.; Yang, S.; Zhou, S.; Sun, Z. The protective effect of total flavonoids Astragalus on DNA strand break in V_(79) cell caused by hydroxyl radicals. Chin. Pharm. Bull 1995, 11, 311–313. [Google Scholar]
- Xue, B.; Lib, J.; Chaic, Q.; Liuc, Z.; Chen, L. Effect of total flavonoid fraction ofAstragalus complanatus R.Brown on angiotensin II-induced portal-vein contraction in hypertensive rats. Phytomedicine 2008, 15, 759–762. [Google Scholar] [CrossRef]
- Cho, W.C.; Leung, M.N. In vitro and in vivo immunomodulating and immunorestorative effects of Astragalus membranaceus. J. Ethnopharmacol. 2007, 113, 132–141. [Google Scholar] [CrossRef] [PubMed]
- Ryu, M.; Kim, E.H.; Chun, M.; Kang, S.; Shim, B.; Yu, Y.B.; Jeong, G.; Lee, J.S. Astragali Radix elicits anti-inflammation via activation of MKP-1, concomitant with attenuation of p38 and Erk. J. Ethnopharmacol. 2008, 115, 184–193. [Google Scholar] [CrossRef] [PubMed]
- Hoo, R.L.; Wong, J.Y.; Qiao, C.; Xu, A.; Xu, H.; Lam, K.S. The effective fraction isolated from Radix Astragali alleviates glucose intolerance, insulin resistance andhypertriglyceridemia in db/db diabetic mice through its anti-inflammatory activity. Nutr. Metab. 2010, 67. [Google Scholar] [CrossRef]
- Ding, H.L.; He, K.; Zhang, L.; Fu, T. Extraction and Fractional Separation of Polysaccharide from Astragalus membranaceus on the Basis of Molecular Weight. Chin. J. Appl. Environ. Biol. 2010, 16, 719–723. [Google Scholar]
- Zhang, R.P.; Zhang, X.P.; Ruan, Y.F.; Ye, S.Y.; Zhao, H.C.; Cheng, Q.H.; Wu, D.J. Protective effect of Radix Astragali injection on immune organs of rats with obstructive jaundice and its mechanism. World J. Gastroenterol. 2009, 15, 2862–2869. [Google Scholar] [CrossRef]
- Bratkov, V.M.; Shkondrov, A.M.; Zdraveva, P.K.; Krasteva, I.N. Flavonoids from the genus Astragalus: Phytochemistry and biological activity. Pharmacogn. Rev. 2016, 10, 11–32. [Google Scholar]
- Lv, Y.W.; Hu, W.; Wang, Y.L.; Huang, L.F.; He, Y.B.; Xie, X.Z. Identification and Determination of Flavonoids in Astragali Radix by High Performance Liquid Chromatography Coupled with DAD and ESI-MS Detection. Molecules 2011, 16, 2293–2303. [Google Scholar] [CrossRef]
- Lin, L.Z.; He, X.G.; Lindenmaier, M.; Nolan, G.; Yang, J.; Cleary, M.; Qiu, S.X.; Cordell, G.A.; Lindenmaier, M. Liquid chromatography-electrospray ionization mass spectrometry study of the flavonoids of the roots of Astragalus mongholicus and A. J. Chromatogr. A. 2000, 876, 87–95. [Google Scholar] [CrossRef]
- Song, J.Z.; Mo, S.F.; Yip, Y.K.; Qiao, C.F.; Han, Q.B.; Xu, H.X. Development of microwave assisted extraction for the simultaneous determination of isoflavonoids and saponins in Radix Astragali by high performance liquid chromatography. J. Sep. Sci. 2007, 30, 819–824. [Google Scholar] [CrossRef] [PubMed]
- Du, X.G.; Bai, Y.J.; Wang, B.; Zhao, Y.Y.; Zhang, Q.Y.; Huang, L.Q. Analysis of principal isoflavone glycosides and aglycone in Radix Astragali. J. Chin. Pharm. Sci. 2008, 17, 230–235. [Google Scholar]
- Chai, C.; Cui, X.B.; Shan, C.X.; Yu, S.; Wang, X.Z.; Wen, H.M. Simultaneous Characterization and Quantification of Varied Ingredients from Sojae semen praeparatum inFermentation Using UFLC–Triple TOF MS. Molecules 2019, 24, 1864. [Google Scholar] [CrossRef]
- Williamson, L.N.; Zhang, G.; Terry, A.V.; Bartlett, M.G. Comparison of time-of-flight mass spectrometry to triple quadrupole tandem mass spectrometry for quantitative bioanalysis: Application to antipsychotics. J. Liq. Chromatogr. Relat. Technol. 2008, 31, 2737–2751. [Google Scholar] [CrossRef]
- Andrews, G.L.; Simons, B.L.; Young, J.B.; Hawkridge, A.M.; Muddiman, D.C. Performance characteristics of a new hybrid quadrupole time-of-flight tandem mass spectrometer (tripletof 5600). Anal. Chem. 2011, 83, 5442–5446. [Google Scholar] [CrossRef]
- Engels, C.; Knodler, M.; Zhao, Y.Y.; Carle, R.; Ganzle, M.G.; Schieber, A. Antimicrobial activity of gallotannins isolated from mango (mangiferaindica l.) kernels. J. Agric. Food Chem. 2009, 57, 7712–7718. [Google Scholar] [CrossRef]
- Zheng, Y.F.; Wang, H.Y.; Yang, M.; Peng, G.P.; Dong, T.X.; Xu, L.M.; Tsim, K.W. Prenylated flavonoids from roots of glycyrrhiza uralensis induce differentiation of B16-F10 melanoma cells. Int. J. Mol. Sci. 2018, 19, 2422. [Google Scholar] [CrossRef]
- Tang, D.; Shen, Y.B.; Wang, Z.H.; He, B.; Xu, Y.H.; Nie, H.; Zhu, Q. Rapid analysis and guided isolation of Astragalus isoflavonoids by UHPLC-DAD-MSn and their cellular antioxidant defense on high glucose induced mesangial cells dysfunction. J. Agr. Food Chem. 2018, 66, 1105–1113. [Google Scholar] [CrossRef]
- Zhang, J.; Xu, X.J.; Xu, W.; Huang, J.; Zhu, D.Y.; Qiu, X.H. Rapid Characterization and identification of flavonoids in Radix Astragali by ultra-high-pressure liquid chromatography coupled with linear ion Trap-Orbitrap Mass Spectrometry. J. Chromatogr. Sci. 2015, 53, 945–952. [Google Scholar] [CrossRef]
- Huang, X.; Liu, Y.; Song, F.R.; Liu, Z.Q.; Liu, S.Y. Studies on principal components and antioxidant activity of different Radix Astragali samples using high-performance liquid chromatography/electrosprayionization multiple-stage tandem mass spectrometry. Talanta 2009, 78, 1090–1101. [Google Scholar] [CrossRef] [PubMed]
- Fang, S.Q.; Qu, Q.Y.; Zheng, Y.F.; Zhong, H.H.; Shan, C.X.; Wang, F.; Li, C.Y.; Peng, G.P. Structural characterization and identification of flavonoid aglycones in three Glycyrrhiza species by liquid chromatography with photodiode array detection and quadrupole time-of-flight mass spectrometry. J. Sep. Sci. 2015, 39, 2068–2078. [Google Scholar] [CrossRef] [PubMed]
- Zhang, X.; Xiao, H.B.; Xue, X.Y.; Sun, Y.G.; Liang, X.M. Simultaneous characterization of isoflavonoids and astragalosides in two Astragalus species by high-performance liquid chromatography coupled with atmospheric pressure chemical ionization tandem mass spectrometry. J. Sep. Sci. 2015, 39, 2068–2078. [Google Scholar] [CrossRef] [PubMed]
- Bian, Y.Y.; Guan, J.; Bi, Z.M.; Song, Y.; Li, P. Studies on chemical constituents of Astragalus membranaceus (Fisch.) Bge. Var. mongholicus (Bge.) Hsiao. Chin. Pharm. J. 2006, 41, 1217–1221. [Google Scholar]
- Zhang, L.J.; Liu, H.K.; Hsiao, P.C.; Kuo, L.M.Y.; Lee, I.J.; Wu, T.S.; Chiou, W.F.; Kuo, Y.H. New isoflavonoid glycosides and related constituents from Astragali Radix (Astragalus membranaceus) and their inhibitory activity on nitric oxide production. J. Agric. Food Chem. 2011, 59, 1131–1137. [Google Scholar] [CrossRef] [PubMed]
Sample Availability: Samples of the compounds calycosin-7-O-glycoside-6″-O-malonate and formononetin-7-O-glycoside-6″-O-malonate are available from the authors. |







| Position | AR-1 | AR-2 | AR-3 | AR-4 | Position | AR-1 | AR-2 | AR-3 | AR-4 | ||||||||
|---|---|---|---|---|---|---|---|---|---|---|---|---|---|---|---|---|---|
| δC | δH (J, Hz) | δC | δH (J, Hz) | δC | δH (J, Hz) | δC | δH (J, Hz) | δC | δH (J, Hz) | δC | δH (J, Hz) | δC | δH (J, Hz) | δC | δH (J, Hz) | ||
| 2(6) | 153.5 | 8.34(s) | 153.7 | 8.40(s) | 65.8 | 4.28(m); 3.65(m) | 69.6 | 4.19(m); 3.97(m) | 5′(10) | 119.7 | 6.97(brs) | 113.7 | 7.00(d,8.0) | 133.4 | - | 103.2 | 6.46(d,8.5) |
| 3(6a) | 123.6 | - | 123.4 | - | 39.5 | 3.65(m) | 31.3 | 3.36(m) | 6′(10a) | 116.4 | 7.07(brs) | 130.1 | 7.53(d,8.0) | 150.9 | - | 121.4 | 6.79(d,8.5) |
| 4(1b) | 174.7 | - | 174.7 | - | 78.2 | 5.60(d,6.0) | 29.7 | 2.92(m); 2.81(m) | 1″(1′) | 99.8 | 5.13(d,7.5) | 99.7 | 5.15(d,7.5) | 100.1 | 4.86(d,7.5) | 100.8 | 4.79(d,8.0) |
| 5(1) | 127.1 | 8.07(d,8.8) | 127.1 | 8.08(d,8.8) | 132.1 | 7.44(d,8.5) | 130.1 | 7.01(d,8.5) | 2″(2′) | 76.2 | 3.34(m) | 76.2 | 3.34 (m) | 76.3 | 3.27(m) | 76.3 | 3.28(m) |
| 6(2) | 115.4 | 7.15(dd,8.8,2.2) | 115.4 | 7.15(dd,8.8,2.2) | 110.2 | 6.72(dd,8.5,2.5) | 108.6 | 6.53(dd,8.5,2.5) | 3″(3′) | 73.0 | 3.33(m) | 73.0 | 3.32 (m) | 73.1 | 3.25(m) | 73.6 | 3.23(m) |
| 7(3) | 161.2 | - | 161.2 | - | 158.3 | - | 156.4 | - | 4″(4′) | 69.7 | 3.22(m) | 69.7 | 3.20 (m) | 69.8 | 3.16(m) | 70.3 | 3.17(m) |
| 8(4) | 103.6 | 7.21(d, 2.2) | 103.6 | 7.23(d,2.2) | 104.2 | 6.54(d,2.5) | 103.9 | 6.45(d,2.5) | 5″(5′) | 73.9 | 3.76(m) | 73.8 | 3.76(m) | 73.7 | 3.61(m) | 74.2 | 3.59(m) |
| 9(4a) | 156.9 | - | 157.0 | - | 156.1 | - | 154.7 | - | 6″(6′) | 64.1 | 4.41(m); 4.11(m) | 64.1 | 4.41(brs); 4.12(brs) | 64.1 | 4.37(m); 4.08(m) | 64.5 | 4.33(m); 4.10(m) |
| 10(1a) | 118.6 | - | 118.6 | - | 114.0 | - | 115.9 | - | 1‴(1″) | 166.9 | - | 166.9 | - | 166.8 | - | 166.2 | - |
| 1′(6a) | 124.5 | - | 124.0 | - | 121.6 | - | 120.8 | - | 2‴(2″) | 41.5 | 3.38(s) | 41.5 | 3.40(s) | 41.3 | 3.38(s) | 42.3 | 3.33(s) |
| 2′(7) | 112.0 | 6.97(brs) | 130.1 | 7.53(d,8.0) | 118.7 | 6.99(d,8.0) | 148.2 | - | 3‴(3″) | 167.9 | - | 168.0 | - | 167.9 | - | 169.0 | - |
| 3′(8) | 146.1 | - | 113.7 | 7.00(d,8.0) | 105.1 | 6.53(d,8.0) | 136.1 | - | 4′(9)-OCH3 | 55.7 | 3.80(s) | 55.2 | 3.79(s) | 56.0 | 3.74(s) | 56.1 | 3.75(s) |
| 4′(9) | 147.6 | - | 159.0 | - | 152.7 | - | 151.7 | - | 3′(8)-OCH3 | - | - | - | - | 59.9 | 3.72(s) | 60.9 | 3.50(s) |
| Classification | Peak | tR (min) | Molecular Formula | [M + H]+/ [M + NH4]+ | [Aglycone + H]+ | MSn (Characteristic Fragment Ions) | Identification | Reference |
|---|---|---|---|---|---|---|---|---|
| Isoflavones | 1 * | 12.71 | C22H22O10 | 447.1273/- | 285.0749 [M + H-Glc]+ | 270.0506, 269.0432, 253.0484, 242.0570, 225.0534, 214.0618, 213.0537, 197.0591, 137.0234 | Calycosin-7-O-Glc | [12,21] |
| 2 | 13.20 | C23H24O11 | 477.1382/- | 315.0867 [M + H-Glc]+ | 300.0640, 299.0536, 283.0590, 272.0684, 255.0668, 244.0721, 243.0652, 227.0697, 167.0346 | Odoratin-7-O-Glc | [21,24] | |
| 4 | 17.45 | C26H26O14 | 563.1323/- | 315.0867 [M + H-Glc-Mal]+ | 300.0635, 299.0571, 283.0631, 272.0675, 255.0650, 244.0731, 243.0654, 227.0695, 167.0328 | Odoratin-7-O-Glc-6″-O-Mal | [21] | |
| 5 | 17.80 | C25H24O13 | 533.1276/- | 285.0750 [M + H-Glc]+ | 270.0523, 269.0451, 253.0500, 242.0570, 225.0546, 214.0624, 213.0548, 197.0597, 137.0243 | Isomer calycosin-7-O-Glc-6″-O-Mal | [21] | |
| 6 * | 18.31 | C25H24O13 | 533.1273/- | 285.0742 [M + H-Glc-Mal]+ | 270.0506, 269.0434, 253.0477, 242.0567, 225.0530, 214.0615, 213.0534, 197.0588, 137.0229 | Calycosin-7-O-Glc-6″-O-Mal | [12,21] | |
| 8 * | 22.77 | C22H22O9 | 431.1327/- | 269.0809 [M + H-Glc]+ | 254.0575, 253.0502, 237.0547, 226.0624, 213.0917, 197.0602 | Formononetin-7-O-Glc (Ononin) | [21,22] | |
| 9 | 23.05 | C23H24O10 | 461.1426/- | 299.0924 [M + H-Glc]+ | 284.0693, 283.0653, 267.0636, 256.0737, 243.1017, 239.0703, 228.0830, 227.0687, 167.0377 | 6,4′-dimethoxyisoflavone-7-O-Glc | [21] | |
| 13 | 27.84 | C26H26O13 | 547.1421/- | 299.0921 [M + H-Glc-Mal]+ | 284.0692, 283.0639, 267.0613, 256.0748, 243.1021, 239.0709, 228.0754, 227.0689, 167.0340 | Afrormosin -7-O-Glc-6″-O-Mal | [24] | |
| 14 * | 28.14 | C25H24O12 | 517.1321/- | 269.0794 [M + H-Glc-Mal]+ | 254.0564, 253.0486, 237.0538, 226.0620, 213.0904, 197.0595, 137.0232 | Formononetin-7-O-Glc-6″-O-Mal | [12,22] | |
| 15 * | 28.87 | C16H12O5 | 285.0749/- | - | 270.0517, 269.0446, 253.0495, 242.0580, 225.0547, 214.0623, 213.0542, 197.0600, 137.0240 | Calycosin | [12,22] | |
| 22 * | 39.50 | C16H12O4 | 269.0803/- | - | 254.0582, 253.0499, 237.0551, 226.0631, 213.0918, 197.0603, 137.0251 | Formononetin | [12] | |
| 23 | 40.12 | C17H14O5 | 299.091/- | - | 284.0689, 283.0606, 267.0660, 256.0740, 243.1025, 239.0709, 167.0368 | Afrormosin (7-hydroxy-6,4′-dimethoxyisoflavon) | [25] | |
| 26 | 43.20 | C17H16O4 | 285.1117/- | - | 270.0527, 269.0439, 242.0590, 214.0621, 213.0546, 153.0202 | Biochanin A(5,7-dihydroxy-4′-methoxyisoflavon) | [12] | |
| Isoflavans | 3 | 15.98 | C29H38O15 | 627.2366/ 644.2530 | 303.1223 [M + H-2Glc]+ | 465.1755, 193.0871, 181.0860, 167.0701, 165.0550, 161.0605, 152.0466, 147.0443, 133.0659, 123.0455 | Isomucronulatol-7-O-Glc-Glc | - |
| 12 | 26.73 | C23H28O10 | 465.1739/ 482.2003 | 303.1217 [M + H-Glc]+ | 193.0861, 181.0861, 167.0695, 165.0553, 161.0599, 152.0471, 147.0441, 133.0655, 123.0442 | Astraisoflavanglycoside (2′-hydroxy-3′,4′-dimethoxy isoflavone-7-O-Glc) | [12] | |
| 18 * | 30.76 | C26H30O13 | 551.1738/ 568.2004 | 303.1230 [M + H-Glc-Mal]+ | 515.1529, 497.1435, 411.1429, 193.0858, 181.0858, 167.0692, 165.0545, 161.0600, 152.0473, 147.0545, 133.0655, 123.0441 | Astraisoflavanglycoside-6″-O-Mal | [12,22] | |
| 19 | 31.23 | C26H30O13 | 551.1740/ 568.2003 | 303.1231 [M + H-Glc-Mal]+ | 515.1573, 497.1466, 411.1453, 193.0862, 181.0861, 167.0705, 165.0548, 161.0599, 152.0467, 147.0441, 133.0651, 123.0452 | Isomer astraisoflavanglycoside-6″-O-Mal | - | |
| 21 | 34.24 | C25H30O11 | 507.1856/ 524.2102 | 303.1233 [M + H-Glc-Ac]+ | 471.1678, 453.1582, 411.1440, 193.0845, 181.0864, 167.0706, 165.0552, 161.0602, 152.0471, 147.0444, 133.0661, 123.0453 | Isomucronulatol-7-O-Glc-6″-O-Ac | [21] | |
| 25 | 41.46 | C17H18O5 | 303.1224/- | - | 193.0864, 181.0872, 167.0707, 161.0606, 152.0475, 147.0441, 133.0658, 123.0454 | Isomucronulatol | [21] | |
| Pterocarpans | 7 | 18.90 | C22H24O10 | 449.1424/ 466.1697 | 287.0924 [M + H-Glc]+ | 259.0976, 255.0675, 227.0694, 177.0551, 153.0553, 147.0447, 138.0314, 123.0463 | licoagroside D (10-dihydroxy-9- methoxypterocarpan-3-O-Glc) | [26] |
| 10 | 23.64 | C25H26O13 | 535.1428/ 552.1690 | 287.0920 [M + H-Glc-Mal]+ | 499.1230, 481.1145, 395.1155, 259.0989, 255.0655, 227.0695, 177.0555, 153.0553, 147.0441, 138.0316, 123.0464 | 10-dihydroxy-9-methoxypterocarpan-3-O-Glc-6′-O-Mal | - | |
| 11 | 25.61 | C23H26O10 | 463.1579/ 480.1841 | 301.1068 [M + H-Glc]+ | 273.1120, 269.0812, 241.0858, 191.0705, 167.0700, 152.0472, 147.0441, 123.0449 | Astraperocarpan-3-O-Glc (9,10-dimethoxypterocarpan-3-O-Glc) | [12] | |
| 16 * | 29.81 | C26H28O13 | 549.1584/ 566.1846 | 301.1055 [M + H-Glc-Mal]+ | 513.1484, 495.1268, 409.1266, 273.1120, 269.0803, 241.0858, 191.695, 167.0690, 152.0467, 147.0441, 123.0445 | Astraperocarpan-3-O-Glc-6′-O-Mal | [12,22] | |
| 17 | 30.24 | C26H28O13 | 549.1582/ 566.1847 | 301.1067 [M + H-Glc-Mal]+ | 513.1564, 495.1265, 409.1257, 273.1117, 269.0809, 241.0868, 191.0704, 167.696, 152.0466, 147.0445, 123.0452 | Isomer astraperocarpan-3-O-Glc- 6′-O-Mal | - | |
| 20 | 33.58 | C16H14O5 | 287.0911 | - | 259.0975, 255.0656, 227.0677, 177.0552, 153.0554, 147.0448, 138.321, 123.0456 | Vesticarpan (3,10-dihydroxy-9- methoxypterocarpan) | [26] | |
| 24 | 40.91 | C17H16O5 | 301.1064/- | - | 273.1116, 269.0860, 241.0863, 191.0705, 167.0695, 152.0471, 147.0445, 123.0447 | 3-hydroxy-9,10- dimethoxypterocarpan | [12,24] |
| Analyte | Linearity | LOD (ug·mL−1) | LOD (ug·mL−1) | Precision (RSD, %) | |||
|---|---|---|---|---|---|---|---|
| Calibration Curve | R | Range (ug·mL−1) | Inter-Day (n = 3) | Intra-Day (n = 3) | |||
| Calycosin-7-O-Glc (CYG) | Y = 19248X + 18515 | 0.9993 | 1.298~811.4 | 0.038 | 0.226 | 1.96 | 4.75 |
| Calycosin-7-O-Glc-6″-O-Mal (CYM) | Y = 13926X + 3619 | 0.9995 | 0.672~420.0 | 0.047 | 0.280 | 2.21 | 5.63 |
| Calycosin (CY) | Y = 29328X + 4448 | 0.9992 | 0.383~239.1 | 0.026 | 0.085 | 0.83 | 2.38 |
| Formononetin-7-O-Glc (FMG) | Y = 16433X + 3925 | 0.9992 | 0.464~290.1 | 0.037 | 0.220 | 1.88 | 4.82 |
| Formononetin-7-O-Glc-6″-O-Mal (FMM) | Y = 14361X + 4344 | 0.9987 | 0.576~360.0 | 0.039 | 0.235 | 2.04 | 5.35 |
| Formononetin (FM) | Y = 26510X + 8997 | 0.9983 | 0.470~294.0 | 0.028 | 0.092 | 0.85 | 2.62 |
© 2019 by the authors. Licensee MDPI, Basel, Switzerland. This article is an open access article distributed under the terms and conditions of the Creative Commons Attribution (CC BY) license (http://creativecommons.org/licenses/by/4.0/).
Share and Cite
Zheng, Y.; Duan, W.; Sun, J.; Zhao, C.; Cheng, Q.; Li, C.; Peng, G. Structural Identification and Conversion Analysis of Malonyl Isoflavonoid Glycosides in Astragali Radix by HPLC Coupled with ESI-Q TOF/MS. Molecules 2019, 24, 3929. https://doi.org/10.3390/molecules24213929
Zheng Y, Duan W, Sun J, Zhao C, Cheng Q, Li C, Peng G. Structural Identification and Conversion Analysis of Malonyl Isoflavonoid Glycosides in Astragali Radix by HPLC Coupled with ESI-Q TOF/MS. Molecules. 2019; 24(21):3929. https://doi.org/10.3390/molecules24213929
Chicago/Turabian StyleZheng, Yunfeng, Weiping Duan, Jie Sun, Chenguang Zhao, Qizhen Cheng, Cunyu Li, and Guoping Peng. 2019. "Structural Identification and Conversion Analysis of Malonyl Isoflavonoid Glycosides in Astragali Radix by HPLC Coupled with ESI-Q TOF/MS" Molecules 24, no. 21: 3929. https://doi.org/10.3390/molecules24213929
APA StyleZheng, Y., Duan, W., Sun, J., Zhao, C., Cheng, Q., Li, C., & Peng, G. (2019). Structural Identification and Conversion Analysis of Malonyl Isoflavonoid Glycosides in Astragali Radix by HPLC Coupled with ESI-Q TOF/MS. Molecules, 24(21), 3929. https://doi.org/10.3390/molecules24213929

