Prenylquinones in Human Parasitic Protozoa: Biosynthesis, Physiological Functions, and Potential as Chemotherapeutic Targets
Abstract
1. Introduction
1.1. Public Health Relevance of Parasitic Protozoa
1.2. Endosymbiotic Events of Parasitic Protozoa
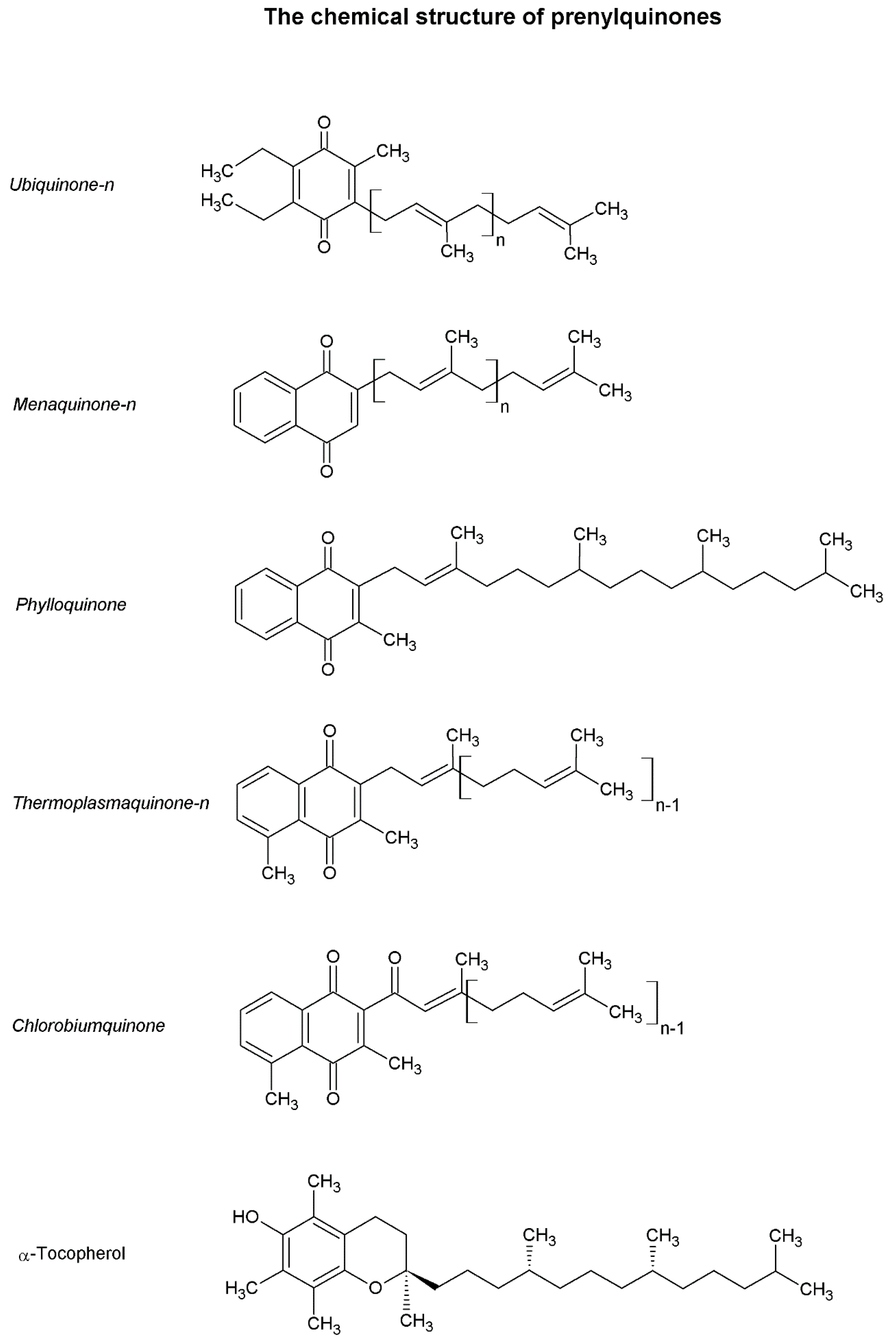
2. Prenylquinones and the Study of These Compounds
3. Biosynthesis of Aromatic and Isoprenic Precursors of Prenylquinones in Parasitic Protozoa
3.1. Aromatic Head Group Biosynthesis
3.1.1. Amino Acid Degradation
Generalities about Amino Acid Degradation
Amino Acid Degradation in Parasitic Protozoa
3.1.2. Shikimate Pathway
Generalities about Shikimate Pathway
Shikimate Pathway in Parasitic Protozoa
3.2. Isoprenic Side Chain Biosynthesis
3.2.1. Mevalonate Pathway
Generalities about the Mevalonate Pathway
The Mevalonate Pathway in Parasitic Protozoa
3.2.2. The Methylerythritol 4-Phosphate Pathway
Generalities about the Methylerythritol 4-Phosphate Pathway
The Methylerythritol 4-Phosphate Pathway in Parasitic Protozoa
3.2.3. Isoprenic Chains Elongation
Generalities about Isoprenic Chains Elongation
Isoprenic Chains Elongation in Parasitic Protozoa
Parasite-Specific Isoprenoids: Phytyl Pyrophosphate
4. Specific Prenylquinones
4.1. Ubiquinone
4.1.1. Ubiquinone Biosynthesis and Distribution
4.1.2. Ubiquinone in Parasitic Protozoa
4.2. Vitamin K
4.2.1. Biosynthesis and Distribution of Vitamin K
4.2.2. Menaquinone in Parasitic Protozoa
4.3. Tocopherol
4.3.1. Biosynthesis and Distribution of Tocopherol
4.3.2. Tocopherol in Parasitic Protozoa
4.4. Thermoplasmaquinone and Chlorobiumquinone
4.4.1. Thermoplasmaquinone and Chlorobiumquinone Distribution
4.4.2. Thermoplasmaquinone and Chlorobiumquinone in Parasitic Protozoa
5. Summary of Drug Targets Related to Prenylquinone Biosynthesis and Functions
6. Conclusions
Supplementary Materials
Author Contributions
Funding
Acknowledgments
Conflicts of Interest
Abbreviations
| 4CL | 4-Coumarate:CoA ligase |
| 4-HPP | 4-Hhydroxyphenylpyruvate |
| ADD | Aminodeoxyfutalosine deaminase |
| ALA | α-Lipoic acid |
| AMP | Adenosine monophosphate |
| ATP | Adenosine triphosphate |
| BCAT/LeuT/LeuDH | Branched-chain amino acid aminotransferase/leucine transaminase/leucine dehydrogenase |
| BCKADH/VOR complex | 2-Oxoisovalerate dehydrogenase E1, E2, E3/3-methyl-2-oxobutanoate dehydrogenase (ferredoxin) |
| CDPK | The calcium-dependent protein kinase |
| CDP-ME | 4-(cytidine-5-diphosphate)-2C-methyl-d-erythritol |
| CDP-MEP | 2-phospho-4 (cytidine 5′-diphosphate)-2-methyl-d-erythritol |
| ChQ | Chlorobiumquinone |
| CL | Chorismate lyase |
| CM | Chorismate mutase |
| CoA | Coenzyme A |
| CoQ | Coenzyme Q or ubiquinone |
| CS | Chorismate synthase |
| CTP | Cytidine triphosphate |
| DAHP | 2-dehydro-3-deoxy-d-arabino-heptonate 7-phosphate |
| DAHPS | 3-deoxy-7-phosphoheptulonate synthase |
| DHFR | Dihydrofolatereductase |
| DHNA-CoA | 1,4-dihydroxy-2-naphthoyl-CoA hydrolase |
| DHQD | 3-dehydroquinate dehydratase |
| DHQS | 3-dehydroquinate synthase |
| DMAPP | Dimethylallyl pyrophosphate |
| DOXP | 1-Deoxy-d-xylulose-5-phosphate |
| DXR | 1-Deoxy-d-xylulose-5-phosphate reductoisomerase |
| EPSPS | 3-phosphoshikimate 1-carboxyvinyltransferase |
| FPP | Farnesyl pyrophosphate |
| FPP/GGPPS | Farnesyl diphosphate/geranylgeranyl diphosphate synthase |
| GcpE | 4-hydroxy-3-methylbut-2-enyl-diphosphate synthase |
| GGPP | Geranylgeranyl pyrophosphate |
| GPP | Geranyl pyrophosphate |
| HBAT | 4-hydroxybenzoyl-CoA thioesterase |
| HMBPP | 1-hydroxy-2-methyl-2-(E)-butenyl 4-diphosphate |
| HMG | 3-hydroxy-3-methyl-glutaryl-coa |
| HMGR | Hydroxymethylglutaryl-CoA reductase |
| HPL | 4-hydroxyphenylactate |
| HPPD | 4-hydroxyphenylpyruvate dehydrogenase |
| HPT/HGGPPT | Homogentisate phytyltransferase/homogentisate geranylgeranyltransferase |
| HRPR | Hydroxyphenylpyruvate reductase |
| HSP70 | 70 kDa Heat Shock Proteins |
| HST | Homogentisate solanesyltransferase |
| IPP | Isopentenyl pyrophosphate |
| IspD | 2-C-methyl-d-erythritol 4-phosphate cytidylyltransferase |
| IspE | 2-C-methyl-d-erythritol 2,4-cyclodiphosphate synthase |
| IspF | 4-Diphosphocytidyl-2-C-methyl-d-erythritol kinase |
| IspG | (e)-4-hydroxy-3-methylbut-2-enyl-diphosphate synthase |
| IspH | 4-Hydroxy-3-methylbut-2-en-1-yl diphosphate reductase |
| IVD/ACADM | Isovaleryl-CoA dehydrogenase/acyl-CoA dehydrogenase |
| LytB | Hydroxymethylbutenyl diphosphate reductase |
| MCCase | 3-Methylcrotonyl-CoA carboxylase |
| MCS | 2C-methyl-d-erythritol-2,4-cyclodiphosphate synthase |
| MCT | 2-C-methyl-d-erythro-4-phosphate cytidine transferase |
| MEcPP | 2C-methyl-d-erythritol-2,4-cyclodiphosphate |
| MenA | 1,4-dihydroxy-2-naphthoate octaprenyltransferase |
| MenB | Naphthoate synthase |
| MenC | O-succinylbenzoate synthase |
| MenD | 2-succinyl-5-enolpyruvyl-6-hydroxy-3-cyclohexene-1-carboxylate synthase |
| MenE | O-succinylbenzoic acid-CoA ligase |
| MenF | Isochorismate synthase |
| MenG/UbiE | Demethylmenaquinone methyltransferase/2-methoxy-6-polyprenyl-1,4-benzoquinol methylase |
| MenH | 2-succinyl-6-hydroxy-2,4-cyclohexadiene-1-carboxylate synthase |
| MEP | Methyl erythritol phosphate |
| MGCH | Methylglutaconyl-CoA hydratase |
| MQ | Menaquinone or vitamin K2 |
| MqnA | Chorismate dehydratase |
| MqnB | Futalosine hydrolase |
| MqnC | Cyclic dehypoxanthinyl futalosine synthase |
| MqnD | Dihydroxy-6-naphthoate synthase |
| MqnE | Aminodeoxyfutalosine synthase |
| MVA | Mevalonate |
| MVD | Diphosphomevalonate decarboxylase |
| MVK | Mevalonate kinase |
| NAD+ | Nicotinamide adenine dinucleotide oxided |
| NADH | Nicotinamide adenine dinucleotide reduced |
| NMR | Nuclear magnetic resonance |
| NQSA | 1,2-Naphthoquinone-4-sulphonic acid |
| pABA | p-aminobenzoic acid |
| PDH | Prephenate dehydrogenase |
| PDS | Phytoene desaturase |
| PDT | Prephenate dehydratase |
| PEP | Phosphoenolpyruvate |
| PK | Phylloquinone or vitamin K1 |
| PMK | Phosphomevalonase kinase |
| PQ | Plastoquinone |
| PS | Photosystem |
| ROS | Reactive oxygen species |
| SAM | S-adenosyl-l-methionine |
| SDH | Shikimate dehydrogenase |
| SK | Shikimate kinase |
| TAT/ASAT | Tyrosine aminotransferase |
| TC | Tocopherol |
| TPMET | Trans-plasma membrane electron transport |
| TpQ | Thermoplasmaquinone |
| UbiA/Coq2 | 4-Hydroxybenzoate polyprenyltransferase |
| UbiC | Chorismate-pyruvate lyase |
| UbiD | 4-Hydroxy-3-polyprenylbenzoate decarboxylase |
| UbiE/Coq5 | 2-Methoxy-6-polyprenyl-1,4-benzoquinol methylase |
| UbiF/Coq7 | 3-Demethoxyubiquinol 3-hydroxylase |
| UbiG/Coq3 | Polyprenyldihydroxybenzoate methyltransferase/3-demethylubiquinol, 3-O-methyltransferase/2-polyprenyl-6-hydroxyphenyl methylase/3-demethylubiquinone-9 3-methyltransferase |
| UbiH/Coq6 | UQ biosynthesis monooxygenase/2-octaprenyl-6-methoxyphenol hydroxylase |
| UbiI/Coq7 | 2-Polyprenylphenol 6-hydroxylase |
| UQ | Ubiquinone or coenzyme Q |
| VKOR | Vitamin K epoxide reductase |
| VTE1/DXD1 | Tocopherol cyclase |
| VTE3/APG1 | 2-methyl-6-phytylquinol methyltransferase |
| VTE4/α-TMT | Tocopherol O-methyltransferase |
| ΔΨ m | Mitochondrial membrane potential |
References
- World Health Organization. WHO World Malaria Report 2018; World Health Organization: Luxembourg, 2018. [Google Scholar]
- Colley, D.G.G. Parasitic diseases: Opportunities and challenges in the 21st century. Mem. Inst. Oswaldo Cruz 2000, 95, 79–87. [Google Scholar] [CrossRef] [PubMed]
- Combes, C. Ethological Aspects of Parasite Transmission. Am. Nat. 1991, 138, 866–880. [Google Scholar] [CrossRef]
- Feasey, N.; Wansbrough-Jones, M.; Mabey, D.C.W.; Solomon, A.W. Neglected tropical diseases. Br. Med. Bull. 2010, 93, 179–200. [Google Scholar] [CrossRef] [PubMed]
- Alvar, J.; Vélez, I.D.; Bern, C.; Herrero, M.; Desjeux, P.; Cano, J.; Jannin, J.; den Boer, M.; WHO Leishmaniasis Control Team. The W.L.C. Leishmaniasis Worldwide and Global Estimates of Its Incidence. PLoS ONE 2012, 7, e35671. [Google Scholar] [CrossRef] [PubMed]
- Torrico, F.; Parrado, R.; Castro, R.; Marquez, C.J.; Torrico, M.C.; Solano, M.; Reithinger, R.; Garcia, A.L. Co-Infection of Leishmania (Viannia) braziliensis and HIV: Report of a Case of Mucosal Leishmaniasis in Cochabamba, Bolivia. Am. J. Trop. Med. Hyg. 2009, 81, 555–558. [Google Scholar] [CrossRef]
- Croft, S.L.; Sundar, S.; Fairlamb, A.H. Drug Resistance in Leishmaniasis. Clin. Microbiol. Rev. 2006, 19, 111–126. [Google Scholar] [CrossRef]
- Bogitsh, B.J.; Burton, J.; Carter, C.E.; Clint, E.; Oeltmann, T.N. Human Parasitology; Academic Press: Cambridge, MA, USA, 2012; ISBN 9780124159846. [Google Scholar]
- Levine, N.D. The Protozoan Phylum Apicomplexa; CRC Press: Boca Raton, FL, USA, 1988; ISBN 0849346533. [Google Scholar]
- Li, Z.-H.; Ramakrishnan, S.; Striepen, B.; Moreno, S.N.J. Toxoplasma gondii Relies on Both Host and Parasite Isoprenoids and Can Be Rendered Sensitive to Atorvastatin. PLoS Pathog. 2013, 9, e1003665. [Google Scholar] [CrossRef]
- Becker, K.; Tilley, L.; Vennerstrom, J.L.; Roberts, D.; Rogerson, S.; Ginsburg, H. Oxidative stress in malaria parasite-infected erythrocytes: Host–parasite interactions. Int. J. Parasitol. 2004, 34, 163–189. [Google Scholar] [CrossRef]
- Alvarez, V.E.; Kosec, G.; Sant’Anna, C.; Turk, V.; Cazzulo, J.J.; Turk, B. Autophagy is involved in nutritional stress response and differentiation in Trypanosoma Cruzi. J. Biol. Chem. 2008, 283, 3454–3464. [Google Scholar] [CrossRef]
- Turrens, J.F. Oxidative stress and antioxidant defenses: A target for the treatment of diseases caused by parasitic protozoa. Mol. Aspects Med. 2004, 25, 211–220. [Google Scholar] [CrossRef]
- Torrentino-Madamet, M.; Desplans, J.; Travaillé, C.; James, Y.; Parzy, D. Microaerophilic respiratory metabolism of Plasmodium falciparum mitochondrion as a drug target. Curr. Mol. Med. 2010, 10, 29–46. [Google Scholar] [CrossRef] [PubMed]
- Chen, M.M.; Shi, L.; Sullivan, D.J. Haemoproteus and Schistosoma synthesize heme polymers similar to Plasmodium hemozoin and beta-hematin. Mol. Biochem. Parasitol. 2001, 113, 1–8. [Google Scholar] [CrossRef]
- Ellis, J.E.; Yarlett, N.; Cole, D.; Humphreys, M.J.; Lloyd, D. Antioxidant defences in the microaerophilic protozoan Trichomonas vaginalis: Comparison of metronidazole-resistant and sensitive strains. Microbiology 1994, 140, 2489–2494. [Google Scholar] [CrossRef] [PubMed]
- Ghosh, S.; Goswami, S.; Adhya, S. Role of superoxide dismutase in survival of Leishmania within the macrophage. Biochem. J. 2003, 369, 447–452. [Google Scholar] [CrossRef]
- Akoda, K.; Van den Bossche, P.; Lyaruu, E.A.; De Deken, R.; Marcotty, T.; Coosemans, M.; Van den Abbeele, J. Maturation of a Trypanosoma brucei infection to the infectious metacyclic stage is enhanced in nutritionally stressed tsetse flies. J. Med. Entomol. 2009, 46, 1446–1449. [Google Scholar] [CrossRef]
- Turner, M.P.; Wadley, R.B.; Biagini, G.A.; Maroulis, S.; Harris, J.C.; Edwards, M.R.; Lloyd, D. The microaerophilic flagellate Giardia intestinalis: Oxygen and its reaction products collapse membrane potential and cause cytotoxicity. Microbiology 2000, 146, 3109–3118. [Google Scholar]
- Seeber, F.; Soldati-Favre, D. Metabolic Pathways in the Apicoplast of Apicomplexa. Int. Rev. Cell Mol. Biol. 2010, 281, 161–228. [Google Scholar]
- Janouskovec, J.; Horak, A.; Obornik, M.; Lukes, J.; Keeling, P.J. A common red algal origin of the apicomplexan, dinoflagellate, and heterokont plastids. Proc. Natl. Acad. Sci. USA 2010, 107, 10949–10954. [Google Scholar] [CrossRef]
- Hannaert, V.; Saavedra, E.; Duffieux, F.; Szikora, J.-P.; Rigden, D.J.; Michels, P.A.M.; Opperdoes, F.R. Plant-like traits associated with metabolism of Trypanosoma parasites. Proc. Natl. Acad. Sci. USA 2003, 100, 1067–1071. [Google Scholar] [CrossRef]
- Imam, T. The complexities in the classification of protozoa: A challenge to parasitologists. Bayero, J. Pure Appl. Sci. 2011, 2, 159–164. [Google Scholar] [CrossRef]
- Cavalier-Smith, T. The phagotrophic origin of eukaryotes and phylogenetic classification of Protozoa. Int. J. Syst. Evol. Microbiol. 2002, 52, 297–354. [Google Scholar] [CrossRef] [PubMed]
- Nelson, A.M. Parasites in Human Tissues. Am. J. Clin. Pathol. 1996, 105, 129. [Google Scholar] [CrossRef][Green Version]
- Archibald, J.M. The Puzzle of Plastid Evolution. Curr. Biol. 2009, 19, R81–R88. [Google Scholar] [CrossRef] [PubMed]
- Waller, R.F.; McFadden, G.I. The apicoplast: A review of the derived plastid of apicomplexan parasites. Curr. Issues Mol. Biol. 2005, 7, 57–79. [Google Scholar] [PubMed]
- Van Dooren, G.G.; Stimmler, L.M.; McFadden, G.I. Metabolic maps and functions of the Plasmodium mitochondrion. FEMS Microbiol. Rev. 2006, 30, 596–630. [Google Scholar] [CrossRef]
- Nagaraj, V.A.; Arumugam, R.; Chandra, N.R.; Prasad, D.; Rangarajan, P.N.; Padmanaban, G. Localisation of Plasmodium falciparum uroporphyrinogen III decarboxylase of the heme-biosynthetic pathway in the apicoplast and characterisation of its catalytic properties. Int. J. Parasitol. 2009, 39, 559–568. [Google Scholar] [CrossRef]
- Ralph, S.A.; D’Ombrain, M.C.; McFadden, G.I. The apicoplast as an antimalarial drug target. Drug Resist. Updat. 2001, 4, 145–151. [Google Scholar] [CrossRef]
- Dzierszinski, F.; Popescu, O.; Toursel, C.; Slomianny, C.; Yahiaoui, B.; Tomavo, S. The protozoan parasite Toxoplasma gondii expresses two functional plant-like glycolytic enzymes. Implications for evolutionary origin of apicomplexans. J. Biol. Chem. 1999, 274, 24888–24895. [Google Scholar] [CrossRef]
- Herrmann, K.M.; Weaver, L.M. The shikimate pathway. Annu. Rev. Plant Physiol. Plant Mol. Biol. 1999, 50, 473–503. [Google Scholar] [CrossRef]
- Färber, P.M.; Graeser, R.; Franklin, R.M.; Kappes, B. Molecular cloning and characterization of a second calcium-dependent protein kinase of Plasmodium falciparum. Mol. Biochem. Parasitol. 1997, 87, 211–216. [Google Scholar] [CrossRef]
- Imlay, L.; Odom, A.R. Isoprenoid Metabolism in Apicomplexan Parasites. Curr. Clin. Microbiol. Reports 2014, 1, 37–50. [Google Scholar] [CrossRef] [PubMed]
- Stokkermans, T.J.W.; Schwartzman, J.D.; Keenan, K.; Morrissette, N.S.; Tilney, L.G.; Roos, D.S. Inhibition of Toxoplasma gondii Replication by Dinitroaniline Herbicides. Exp. Parasitol. 1996, 84, 355–370. [Google Scholar] [CrossRef] [PubMed]
- McLeod, R.; Muench, S.P.; Rafferty, J.B.; Kyle, D.E.; Mui, E.J.; Kirisits, M.J.; Mack, D.G.; Roberts, C.W.; Samuel, B.U.; Lyons, R.E.; et al. Triclosan inhibits the growth of Plasmodium falciparum and Toxoplasma gondii by inhibition of apicomplexan Fab, I. Int. J. Parasitol. 2001, 31, 109–113. [Google Scholar] [CrossRef]
- Leander, B.S. Did trypanosomatid parasites have photosynthetic ancestors? Trends Microbiol. 2004, 12, 251–258. [Google Scholar] [CrossRef]
- Roger, A.J.; Svärd, S.G.; Tovar, J.; Clark, C.G.; Smith, M.W.; Gillin, F.D.; Sogin, M.L. A mitochondrial-like chaperonin 60 gene in Giardia lamblia: Evidence that diplomonads once harbored an endosymbiont related to the progenitor of mitochondria. Proc. Natl. Acad. Sci. USA 1998, 95, 229–234. [Google Scholar] [CrossRef] [PubMed]
- Loftus, B.; Anderson, I.; Davies, R.; Alsmark, U.C.M.; Samuelson, J.; Amedeo, P.; Roncaglia, P.; Berriman, M.; Hirt, R.P.; Mann, B.J.; et al. The genome of the protist parasite Entamoeba histolytica. Nature 2005, 433, 865–868. [Google Scholar] [CrossRef]
- Germot, A.; Philippe, H.; Le Guyader, H. Presence of a mitochondrial-type 70-kDa heat shock protein in Trichomonas vaginalis suggests a very early mitochondrial endosymbiosis in eukaryotes. Proc. Natl. Acad. Sci. USA 1996, 93, 14614–14617. [Google Scholar] [CrossRef]
- Kawamukai, M. Biosynthesis and applications of prenylquinones. Biosci. Biotechnol. Biochem. 2018, 82, 963–977. [Google Scholar] [CrossRef]
- Hiraishi, A. Isoprenoid quinones as biomarkers of microbial populations in the environment. J. Biosci. Bioeng. 1999, 88, 449–460. [Google Scholar] [CrossRef]
- Shearer, M.J.; Fu, X.; Booth, S.L. Vitamin K nutrition, metabolism, and requirements: Current concepts and future research. Adv. Nutr. 2012, 3, 182–195. [Google Scholar] [CrossRef]
- Jiang, Q. Natural forms of vitamin E: Metabolism, antioxidant, and anti-inflammatory activities and their role in disease prevention and therapy. Free Radic. Biol. Med. 2014, 72, 76–90. [Google Scholar] [CrossRef] [PubMed]
- Nowicka, B.; Kruk, J. Occurrence, biosynthesis and function of isoprenoid quinones. Biochim. Biophys. Acta - Bioenerg. 2010, 1797, 1587–1605. [Google Scholar] [CrossRef] [PubMed]
- Futami, A.; Hurt, E.; Hauska, G. Vectorial redox reactions of physiological quinones. I. Requirement of a minimum length of the isoprenoid side chain. Biochim. Biophys. Acta 1979, 547, 583–596. [Google Scholar] [CrossRef]
- Bekker, M.; Kramer, G.; Hartog, A.F.; Wagner, M.J.; de Koster, C.G.; Hellingwerf, K.J.; Teixeira de Mattos, M.J. Changes in the redox state and composition of the quinone pool of Escherichia coli during aerobic batch-culture growth. Microbiology 2007, 153, 1974–1980. [Google Scholar] [CrossRef] [PubMed]
- Hoffmeister, M.; van der Klei, A.; Rotte, C.; van Grinsven, K.W.A.; van Hellemond, J.J.; Henze, K.; Tielens, A.G.M.; Martin, W. Euglena gracilis Rhodoquinone: Ubiquinone Ratio and Mitochondrial Proteome Differ under Aerobic and Anaerobic Conditions. J. Biol. Chem. 2004, 279, 22422–22429. [Google Scholar] [CrossRef] [PubMed]
- Aoki, M.; Katoh, S. Oxidation and reduction of plastoquinone by photosynthetic and respiratory electron transport in a cyanobacterium Synechococcus sp. Biochim. Biophys. Acta - Bioenerg. 1982, 682, 307–314. [Google Scholar] [CrossRef]
- Lenaz, G.; Genova, M.L. Mobility and function of Coenzyme Q (ubiquinone) in the mitochondrial respiratory chain. Biochim. Biophys. Acta - Bioenerg. 2009, 1787, 563–573. [Google Scholar] [CrossRef] [PubMed]
- Schoepp-Cothenet, B.; Lieutaud, C.; Baymann, F.; Vermeglio, A.; Friedrich, T.; Kramer, D.M.; Nitschke, W.; Verméglio, A.; Friedrich, T.; Kramer, D.M.; et al. Menaquinone as pool quinone in a purple bacterium. Proc. Natl. Acad. Sci. USA 2009, 106, 8549–8554. [Google Scholar] [CrossRef]
- Møller, I.M.; Crane, F.L. Redox Processes in the Plasma Membrane. In The Plant Plasma Membrane; Springer: Berlin/Heidelberg, Germany, 1989; pp. 93–126. [Google Scholar]
- Bridge, A.; Barr, R.; Morré, D.J. The plasma membrane NADH oxidase of soybean has vitamin K(1) hydroquinone oxidase activity. Biochim. Biophys. Acta 2000, 1463, 448–458. [Google Scholar] [CrossRef]
- Jordão, F.M.; Kimura, E.A.; Katzin, A.M. Isoprenoid biosynthesis in the erythrocytic stages of Plasmodium falciparum. Mem. Inst. Oswaldo Cruz 2011, 106 (Suppl. 1), 134–141. [Google Scholar]
- Debnath, J.; Siricilla, S.; Wan, B.; Crick, D.C.; Lenaerts, A.J.; Franzblau, S.G.; Kurosu, M. Discovery of Selective Menaquinone Biosynthesis Inhibitors against Mycobacterium tuberculosis. J. Med. Chem. 2012, 55, 3739–3755. [Google Scholar] [CrossRef] [PubMed]
- Omura, S.; Miyadera, H.; Ui, H.; Shiomi, K.; Yamaguchi, Y.; Masuma, R.; Nagamitsu, T.; Takano, D.; Sunazuka, T.; Harder, A.; et al. An anthelmintic compound, nafuredin, shows selective inhibition of complex I in helminth mitochondria. Proc. Natl. Acad. Sci. USA 2001, 98, 60–62. [Google Scholar] [CrossRef] [PubMed]
- Bentinger, M.; Brismar, K.; Dallner, G. The antioxidant role of coenzyme Q. Mitochondrion 2007, 7, S41–S50. [Google Scholar] [CrossRef] [PubMed]
- James, A.M.; Smith, R.A.J.; Murphy, M.P. Antioxidant and prooxidant properties of mitochondrial Coenzyme, Q. Arch. Biochem. Biophys. 2004, 423, 47–56. [Google Scholar] [CrossRef]
- Maroz, A.; Anderson, R.; Smith, R.; Murphy, M. Reactivity of ubiquinone and ubiquinol with superoxide and the hydroperoxyl radical: Implications for in vivo antioxidant activity. Free Radic. Biol. Med. 2009, 46, 105–109. [Google Scholar] [CrossRef]
- Tonhosolo, R.; Gabriel, H.B.; Matsumura, M.Y.; Cabral, F.J.; Yamamoto, M.M.; D’Alexandri, F.L.; Sussmann, R.A.C.; Belmonte, R.; Peres, V.J.; Crick, D.C.; et al. Intraerythrocytic stages of Plasmodium falciparum biosynthesize menaquinone. FEBS Lett. 2010, 584, 4761–4768. [Google Scholar] [CrossRef]
- Dong, C.K.; Patel, V.; Yang, J.C.; Dvorin, J.D.; Duraisingh, M.T.; Clardy, J.; Wirth, D.F. Type II NADH dehydrogenase of the respiratory chain of Plasmodium falciparum and its inhibitors. Bioorg. Med. Chem. Lett. 2009, 19, 972–975. [Google Scholar] [CrossRef]
- Sussmann, R.A.C.; Fotoran, W.L.; Kimura, E.A.; Katzin, A.M. Plasmodium falciparum uses vitamin E to avoid oxidative stress. Parasit. Vectors 2017, 10, 461. [Google Scholar] [CrossRef]
- Nowicki, C.; Cazzulo, J.J. Aromatic amino acid catabolism in trypanosomatids. Comp. Biochem. Physiol. Part A Mol. Integr. Physiol. 2008, 151, 381–390. [Google Scholar] [CrossRef]
- Balanco, J.M.F.; Sussmann, R.A.C.; Verdaguer, I.B.; Gabriel, H.B.; Kimura, E.A.; Katzin, A.M. Tocopherol biosynthesis in Leishmania (L.) amazonensis promastigotes. FEBS Open Bio 2019. [Google Scholar] [CrossRef]
- Biswas, S.; Haque, R.; Bhuyan, N.R.; Bera, T. Participation of chlorobiumquinone in the transplasma membrane electron transport system of Leishmania donovani promastigote: Effect of near-ultraviolet light on the redox reaction of plasma membrane. Biochim. Biophys. Acta - Gen. Subj. 2008, 1780, 116–127. [Google Scholar] [CrossRef] [PubMed]
- Nandi, N.; Bera, T.; Kumar, S.; Purkait, B.; Kumar, A.; Das, P. Involvement of thermoplasmaquinone-7 in transplasma membrane electron transport of Entamoeba histolytica trophozoites: A key molecule for future rational chemotherapeutic drug designing. J. Bioenerg. Biomembr. 2011, 43, 203–215. [Google Scholar] [CrossRef] [PubMed]
- Bera, T.; Nandi, N.; Sudhahar, D.; Akbar, M.A.; Sen, A.; Das, P. Preliminary evidence on existence of transplasma membrane electron transport in Entamoeba histolytica trophozoites: A key mechanism for maintaining optimal redox balance. J. Bioenerg. Biomembr. 2006, 38, 299–308. [Google Scholar] [CrossRef] [PubMed]
- Disch, A.; Schwender, J.; Müller, C.; Lichtenthaler, H.K.; Rohmer, M. Distribution of the mevalonate and glyceraldehyde phosphate/pyruvate pathways for isoprenoid biosynthesis in unicellular algae and the cyanobacterium Synechocystis PCC 6714. Biochem. J. 1998, 333 (Pt 2), 381–388. [Google Scholar] [CrossRef]
- Azami, Y.; Hattori, A.; Nishimura, H.; Kawaide, H.; Yoshimura, T.; Hemmi, H. (R)-Mevalonate 3-Phosphate Is an Intermediate of the Mevalonate Pathway in Thermoplasma acidophilum. J. Biol. Chem. 2014, 289, 15957–15967. [Google Scholar] [CrossRef]
- Ginger, M.L.; Prescott, M.C.; Reynolds, D.G.; Chance, M.L.; Goad, L.J. Utilization of leucine and acetate as carbon sources for sterol and fatty acid biosynthesis by Old and New World Leishmania species, Endotrypanum monterogeii and Trypanosoma Cruzi. Eur. J. Biochem. 2000, 267, 2555–2566. [Google Scholar] [CrossRef]
- Nes, C.R.; Singha, U.K.; Liu, J.; Ganapathy, K.; Villalta, F.; Waterman, M.R.; Lepesheva, G.I.; Chaudhuri, M.; Nes, W.D. Novel sterol metabolic network of Trypanosoma brucei procyclic and bloodstream forms. Biochem. J. 2012, 443, 267–277. [Google Scholar] [CrossRef]
- Löw, P.; Dallner, G.; Mayor, S.; Cohen, S.; Chait, B.T.; Menon, A.K. The mevalonate pathway in the bloodstream form of Trypanosoma brucei. Identification of dolichols containing 11 and 12 isoprene residues. J. Biol. Chem. 1991, 266, 19250–19257. [Google Scholar]
- Roberts, C.W.; Roberts, F.; Lyons, R.E.; Kirisits, M.J.; Mui, E.J.; Finnerty, J.; Johnson, J.J.; Ferguson, D.J.P.; Coggins, J.R.; Krell, T.; et al. The Shikimate Pathway and Its Branches in Apicomplexan Parasites. J. Infect. Dis. 2002, 185, S25–S36. [Google Scholar] [CrossRef]
- Keeling, P.J.; Palmer, J.D.; Donald, R.G.K.; Roos, D.S.; Waller, R.F.; McFadden, G.I. Shikimate pathway in apicomplexan parasites. Nature 1999, 397, 219–220. [Google Scholar] [CrossRef]
- Choudhary, H.H.; Srivastava, P.N.; Singh, S.; Kumar, K.A.; Mishra, S. The shikimate pathway enzyme that generates chorismate is not required for the development of Plasmodium berghei in the mammalian host nor the mosquito vector. Int. J. Parasitol. 2018, 48, 203–209. [Google Scholar] [CrossRef] [PubMed]
- Martín-Navarro, C.M.; López-Arencibia, A.; Sifaoui, I.; Reyes-Batlle, M.; Valladares, B.; Martínez-Carretero, E.; Piñero, J.E.; Maciver, S.K.; Lorenzo-Morales, J. Statins and Voriconazole Induce Programmed Cell Death in Acanthamoeba castellanii. Antimicrob. Agents Chemother. 2015, 59, 2817–2824. [Google Scholar] [CrossRef] [PubMed]
- Pradines, B.; Torrentino-Madamet, M.; Fontaine, A.; Henry, M.; Baret, E.; Mosnier, J.; Briolant, S.; Fusai, T.; Rogier, C. Atorvastatin Is 10-Fold More Active In Vitro than Other Statins against Plasmodium falciparum. Antimicrob. Agents Chemother. 2007, 51, 2654–2655. [Google Scholar] [CrossRef] [PubMed][Green Version]
- Yamauchi, N. The Pathway of Leucine to Mevalonate in Halophilic Archaea: Efficient Incorporation of Leucine into Isoprenoidal Lipid with the Involvement of Isovaleryl-CoA Dehydrogenase in Halobacterium salinarum. Biosci. Biotechnol. Biochem. 2010, 74, 443–446. [Google Scholar] [CrossRef] [PubMed]
- Jomaa, H.; Wiesner, J.; Sanderbrand, S.; Altincicek, B.; Weidemeyer, C.; Hintz, M.; Türbachova, I.; Eberl, M.; Zeidler, J.; Lichtenthaler, H.K.; et al. Inhibitors of the nonmevalonate pathway of isoprenoid biosynthesis as antimalarial drugs. Science. 1999, 285, 1573–1576. [Google Scholar] [CrossRef] [PubMed]
- Lizundia, R.; Werling, D.; Langsley, G.; Ralph, S.A. Theileria Apicoplast as a Target for Chemotherapy. Antimicrob. Agents Chemother. 2009, 53, 1213–1217. [Google Scholar] [CrossRef] [PubMed][Green Version]
- Coppens, I.; Courtoy, P.-J. The Mevalonate Pathway in Parasitic Protozoa and Helminths. Exp. Parasitol. 1996, 82, 76–85. [Google Scholar] [CrossRef]
- Loscher, R.; Heide, L. Biosynthesis of p-Hydroxybenzoate from p-Coumarate and p-Coumaroyl-Coenzyme A in Cell-Free Extracts of Lithospermum erythrorhizon Cell Cultures. Plant Physiol. 1994, 106, 271–279. [Google Scholar] [CrossRef]
- Tzin, V.; Galili, G. New Insights into the Shikimate and Aromatic Amino Acids Biosynthesis Pathways in Plants. Mol. Plant 2010, 3, 956–972. [Google Scholar] [CrossRef]
- Bessoff, K.; Sateriale, A.; Lee, K.K.; Huston, C.D. Drug repurposing screen reveals FDA-approved inhibitors of human HMG-CoA reductase and isoprenoid synthesis that block Cryptosporidium parvum growth. Antimicrob. Agents Chemother. 2013, 57, 1804–1814. [Google Scholar] [CrossRef]
- Mohanty, S.; Srinivasan, N. Identification of “missing” metabolic proteins of Plasmodium falciparum: A bioinformatics approach. Protein Pept. Lett. 2009, 16, 961–968. [Google Scholar] [CrossRef] [PubMed]
- Clastre, M.; Goubard, A.; Prel, A.; Mincheva, Z.; Viaud-Massuart, M.-C.; Bout, D.; Rideau, M.; Velge-Roussel, F.; Laurent, F. The methylerythritol phosphate pathway for isoprenoid biosynthesis in coccidia: Presence and sensitivity to fosmidomycin. Exp. Parasitol. 2007, 116, 375–384. [Google Scholar] [CrossRef] [PubMed]
- Kanehisa, M.; Goto, S. KEGG: Kyoto encyclopedia of genes and genomes. Nucleic Acids Res. 2000, 28, 27–30. [Google Scholar] [CrossRef] [PubMed]
- Cotton, R.G.; Gibson, F. The biosynthesis of phenylalanine and tyrosine; enzymes converting chorismic acid into prephenic acid and their relationships to prephenate dehydratase and prephenate dehydrogenase. Biochim. Biophys. Acta 1965, 100, 76–88. [Google Scholar] [CrossRef]
- Moreno, M.A.; Abramov, A.; Abendroth, J.; Alonso, A.; Zhang, S.; Alcolea, P.J.; Edwards, T.; Lorimer, D.; Myler, P.J.; Larraga, V. Structure of tyrosine aminotransferase from Leishmania infantum. Acta Crystallogr. Sect. F. Struct. Biol. Commun. 2014, 70, 583–587. [Google Scholar] [CrossRef]
- Ponnudurai, G.; Chung, M.C.M.; Tan, N.H. Purification and Properties of the L-Amino Acid Oxidase from Malayan Pit Viper (Calloselasma rhodostoma) Venom. Arch. Biochem. Biophys. 1994, 313, 373–378. [Google Scholar] [CrossRef]
- Karoum, F.; Ruthven, C.R.; Sandler, M. Urinary phenolic acid and alcohol excretion in the newborn. Arch. Dis. Child. 1975, 50, 586–594. [Google Scholar] [CrossRef]
- Kim, K.H.; Janiak, V.; Petersen, M. Purification, cloning and functional expression of hydroxyphenylpyruvate reductase involved in rosmarinic acid biosynthesis in cell cultures of Coleus blumei. Plant Mol. Biol. 2004, 54, 311–323. [Google Scholar] [CrossRef]
- Meganathan, R. Ubiquinone biosynthesis in microorganisms. FEMS Microbiol Lett. 2001, 203, 131–139. [Google Scholar] [CrossRef]
- McRobert, L.; Jiang, S.; Stead, A.; McConkey, G.A. Plasmodium falciparum: Interaction of shikimate analogues with antimalarial drugs. Exp. Parasitol. 2005, 111, 178–181. [Google Scholar] [CrossRef]
- Pérez-Gil, J.; Rodríguez-Concepción, M. Metabolic plasticity for isoprenoid biosynthesis in bacteria: Figure 1. Biochem. J. 2013, 452, 19–25. [Google Scholar] [CrossRef] [PubMed]
- Rohmer, M. The discovery of a mevalonate-independent pathway for isoprenoid biosynthesis in bacteria, algae and higher plants. Nat. Prod. Rep. 1999, 16, 565–574. [Google Scholar] [CrossRef] [PubMed]
- Kuzuyama, T.; Seto, H. Two distinct pathways for essential metabolic precursors for isoprenoid biosynthesis. Proc. Japan Acad. Ser. B 2012, 88, 41–52. [Google Scholar] [CrossRef] [PubMed]
- Lichtenthaler, H.K. The 1-deoxy-D-xylulose-5-phosphate pathway of isoprenoid biosynthesis in plants. Annu. Rev. Plant Physiol. Plant Mol. Biol. 1999, 50, 47–65. [Google Scholar] [CrossRef]
- Coppens, I. Targeting lipid biosynthesis and salvage in apicomplexan parasites for improved chemotherapies. Nat. Rev. Microbiol. 2013, 11, 823–835. [Google Scholar] [CrossRef] [PubMed]
- Athanasakoglou, A.; Grypioti, E.; Michailidou, S.; Ignea, C.; Makris, A.M.; Kalantidis, K.; Massé, G.; Argiriou, A.; Verret, F.; Kampranis, S.C. Isoprenoid biosynthesis in the diatom Haslea ostrearia. New Phytol. 2019, 222, 230–243. [Google Scholar] [CrossRef]
- Lange, B.M.; Rujan, T.; Martin, W.; Croteau, R. Isoprenoid biosynthesis: The evolution of two ancient and distinct pathways across genomes. Proc. Natl. Acad. Sci. USA 2000, 97, 13172–13177. [Google Scholar] [CrossRef]
- Ginger, M.L.; Chance, M.L.; Sadler, I.H.; Goad, L.J. The Biosynthetic Incorporation of the Intact Leucine Skeleton into Sterol by the Trypanosomatid Leishmania mexicana. J. Biol. Chem. 2001, 276, 11674–11682. [Google Scholar] [CrossRef]
- Cassera, M.B.; Gozzo, F.C.; D’Alexandri, F.L.; Merino, E.F.; del Portillo, H.A.; Peres, V.J.; Almeida, I.C.; Eberlin, M.N.; Wunderlich, G.; Wiesner, J.; et al. The methylerythritol phosphate pathway is functionally active in all intraerythrocytic stages of Plasmodium falciparum. J. Biol. Chem. 2004, 279, 51749–51759. [Google Scholar] [CrossRef]
- Ershov, Y.V.; Gantt, R.R.; Cunningham, F.X.; Gantt, E. Isoprenoid biosynthesis in Synechocystis sp. strain PCC6803 is stimulated by compounds of the pentose phosphate cycle but not by pyruvate or deoxyxylulose-5-phosphate. J. Bacteriol. 2002, 184, 5045–5051. [Google Scholar] [CrossRef]
- Goldstein, J.L.; Brown, M.S. Regulation of the mevalonate pathway. Nature 1990, 343, 425–430. [Google Scholar] [CrossRef] [PubMed]
- Luján, H.D.; Mowatt, M.R.; Chen, G.Z.; Nash, T.E. Isoprenylation of proteins in the protozoan Giardia lamblia. Mol. Biochem. Parasitol. 1995, 72, 121–127. [Google Scholar] [CrossRef]
- Sanfelice, R.A.; da Silva, S.S.; Bosqui, L.R.; Miranda-Sapla, M.M.; Barbosa, B.F.; Silva, R.J.; Ferro, E.A.V.; Panagio, L.A.; Navarro, I.T.; Bordignon, J.; et al. Pravastatin and simvastatin inhibit the adhesion, replication and proliferation of Toxoplasma gondii (RH strain) in HeLa cells. Acta Trop. 2017, 167, 208–215. [Google Scholar] [CrossRef] [PubMed]
- Basyoni, M.M.A.; Fouad, S.A.; Amer, M.F.; Amer, A.F.; Ismail, D.I. Atorvastatin: In-Vivo Synergy with Metronidazole as Anti-Blastocystis Therapy. Korean, J. Parasitol. 2018, 56, 105–112. [Google Scholar] [CrossRef]
- Mbaya, B.; Rigomier, D.; Edorh, G.G.; Karst, F.; Schrevel, J. Isoprenoid metabolism in Plasmodium falciparum during the intraerythrocytic phase of malaria. Biochem. Biophys. Res. Commun. 1990, 173, 849–854. [Google Scholar] [CrossRef]
- Armstrong, C.M.; Meyers, D.J.; Imlay, L.S.; Freel Meyers, C.; Odom, A.R. Resistance to the Antimicrobial Agent Fosmidomycin and an FR900098 Prodrug through Mutations in the Deoxyxylulose Phosphate Reductoisomerase Gene ( dxr ). Antimicrob. Agents Chemother. 2015, 59, 5511–5519. [Google Scholar] [CrossRef]
- Putra, S.R.; Disch, A.; Bravo, J.M.; Rohmer, M. Distribution of mevalonate and glyceraldehyde 3-phosphate/pyruvate routes for isoprenoid biosynthesis in some gram-negative bacteria and mycobacteria. FEMS Microbiol. Lett. 1998, 164, 169–175. [Google Scholar] [CrossRef][Green Version]
- Guggisberg, A.M.; Park, J.; Edwards, R.L.; Kelly, M.L.; Hodge, D.M.; Tolia, N.H.; Odom, A.R. A sugar phosphatase regulates the methylerythritol phosphate (MEP) pathway in malaria parasites. Nature Commun. 2014, 5, 4467. [Google Scholar] [CrossRef]
- Sivakumar, T.; Aboulaila, M.; Alhassan, A.; Igarashi, I. In vitro inhibitory effect of fosmidomycin on the asexual growth of Babesia bovis and Babesia bigemina. J. Protozool. Res. 2008, 18, 71–78. [Google Scholar]
- Wiesner, J.; Hintz, M.; Altincicek, B.; Sanderbrand, S.; Weidemeyer, C.; Beck, E.; Jomaa, H. Plasmodium falciparum: Detection of the Deoxyxylulose 5-Phosphate Reductoisomerase Activity. Exp. Parasitol. 2000, 96, 182–186. [Google Scholar] [CrossRef]
- Nair, S.C.; Brooks, C.F.; Goodman, C.D.; Strurm, A.; McFadden, G.I.; Sundriyal, S.; Anglin, J.L.; Song, Y.; Moreno, S.N.J.; Striepen, B.; et al. Apicoplast isoprenoid precursor synthesis and the molecular basis of fosmidomycin resistance in Toxoplasma gondii. J. Exp. Med. 2011, 208, 1547–1559. [Google Scholar] [CrossRef] [PubMed]
- Brown, A.C.; Parish, T. Dxr is essential in Mycobacterium tuberculosis and fosmidomycin resistance is due to a lack of uptake. BMC Microbiol. 2008, 8, 78. [Google Scholar] [CrossRef] [PubMed]
- Sparr, C.; Purkayastha, N.; Kolesinska, B.; Gengenbacher, M.; Amulic, B.; Matuschewski, K.; Seebach, D.; Kamena, F. Improved Efficacy of Fosmidomycin against Plasmodium and Mycobacterium Species by Combination with the Cell-Penetrating Peptide Octaarginine. Antimicrob. Agents Chemother. 2013, 57, 4689–4698. [Google Scholar] [CrossRef] [PubMed]
- Vranová, E.; Coman, D.; Gruissem, W. Structure and Dynamics of the Isoprenoid Pathway Network. Mol. Plant 2012, 5, 318–333. [Google Scholar] [CrossRef] [PubMed]
- Okada, K.; Suzuki, K.; Kamiya, Y.; Zhu, X.; Fujisaki, S.; Nishimura, Y.; Nishino, T.; Nakagawa, T.; Kawamukai, M.; Matsuda, H. Polyprenyl diphosphate synthase essentially defines the length of the side chain of ubiquinone. Biochim. Biophys. Acta 1996, 1302, 217–223. [Google Scholar] [CrossRef]
- Ogura, K.; Koyama, T.; Sagami, H. Polyprenyl diphosphate synthases. Subcell. Biochem. 1997, 28, 57–87. [Google Scholar] [PubMed]
- Wang, K.C.; Ohnuma, S. Isoprenyl diphosphate synthases. Biochim. Biophys. Acta 2000, 1529, 33–48. [Google Scholar] [CrossRef]
- Wang, K.; Ohnuma, S. Chain-length determination mechanism of isoprenyl diphosphate synthases and implications for molecular evolution. Trends Biochem. Sci. 1999, 24, 445–451. [Google Scholar] [CrossRef]
- Ischebeck, T.; Zbierzak, A.M.; Kanwischer, M.; Dörmann, P. A salvage pathway for phytol metabolism in Arabidopsis. J. Biol. Chem. 2006, 281, 2470–2477. [Google Scholar] [CrossRef]
- No, J.H.; de Macedo Dossin, F.; Zhang, Y.; Liu, Y.-L.; Zhu, W.; Feng, X.; Yoo, J.A.; Lee, E.; Wang, K.; Hui, R.; et al. Lipophilic analogs of zoledronate and risedronate inhibit Plasmodium geranylgeranyl diphosphate synthase (GGPPS) and exhibit potent antimalarial activity. Proc. Natl. Acad. Sci. USA 2012, 109, 4058–4063. [Google Scholar] [CrossRef]
- Docampo, R.; Moreno, S.N.J. The acidocalcisome as a target for chemotherapeutic agents in protozoan parasites. Curr. Pharm. Des. 2008, 14, 882–888. [Google Scholar] [CrossRef] [PubMed][Green Version]
- Jordão, F.M.; Saito, A.Y.; Miguel, D.C.; de Jesus Peres, V.; Kimura, E.A.; Katzin, A.M. In vitro and in vivo antiplasmodial activities of risedronate and its interference with protein prenylation in Plasmodium falciparum. Antimicrob. Agents Chemother. 2011, 55, 2026–2031. [Google Scholar] [CrossRef] [PubMed]
- Ortiz-Gomez, A.; Jimenez, C.; Estevez, A.M.; Carrero-Lerida, J.; Ruiz-Perez, L.M.; Gonzalez-Pacanowska, D. Farnesyl Diphosphate Synthase Is a Cytosolic Enzyme in Leishmania major Promastigotes and Its Overexpression Confers Resistance to Risedronate. Eukaryot. Cell 2006, 5, 1057–1064. [Google Scholar] [CrossRef] [PubMed]
- Garzoni, L.R.; Waghabi, M.C.; Baptista, M.M.; de Castro, S.L.; Meirelles, M.N.; Britto, C.C.; Docampo, R.; Oldfield, E.; Urbina, J.A. Antiparasitic activity of risedronate in a murine model of acute Chagas’ disease. Int. J. Antimicrob. Agents 2004, 23, 286–290. [Google Scholar] [CrossRef] [PubMed]
- Rodrigues Goulart, H.; Kimura, E.A.; Peres, V.J.; Couto, A.S.; Aquino Duarte, F.A.; Katzin, A.M. Terpenes Arrest Parasite Development and Inhibit Biosynthesis of Isoprenoids in Plasmodium falciparum. Antimicrob. Agents Chemother. 2004, 48, 2502–2509. [Google Scholar] [CrossRef] [PubMed]
- Mikus, J.; Harkenthal, M.; Steverding, D.; Reichling, J. In vitro Effect of Essential Oils and Isolated Mono- and Sesquiterpenes on Leishmania major and Trypanosoma brucei. Planta Med. 2000, 66, 366–368. [Google Scholar] [CrossRef]
- Gilbert, B.; de Souza, J.P.; Fortes, C.C.; Santos, D.; Seabra, A.; Kitagawa, M.; Pellegrino, J. Chemoprophylactic agents in schistosomiasis: Active and inactive terpenes. J. Parasitol. 1970, 56, 397–398. [Google Scholar] [CrossRef]
- Barbour, E.K.; Bragg, R.R.; Karrouf, G.; Iyer, A.; Azhar, E.; Harakeh, S.; Kumosani, T. Control of eight predominant Eimeria spp. involved in economic coccidiosis of broiler chicken by a chemically characterized essential oil. J. Appl. Microbiol. 2015, 118, 583–591. [Google Scholar] [CrossRef]
- Tonhosolo, R.; D’Alexandri, F.L.; Genta, F.A.; Wunderlich, G.; Gozzo, F.C.; Eberlin, M.N.; Peres, V.J.; Kimura, E.A.; Katzin, A.M. Identification, molecular cloning and functional characterization of an octaprenyl pyrophosphate synthase in intra-erythrocytic stages of Plasmodium falciparum. Biochem. J. 2005, 392, 117–126. [Google Scholar] [CrossRef]
- Kaneko, M.; Togashi, N.; Hamashima, H.; Hirohara, M.; Inoue, Y. Effect of farnesol on mevalonate pathway of Staphylococcus aureus. J. Antibiot. (Tokyo) 2011, 64, 547–549. [Google Scholar] [CrossRef]
- Ellis, J.E.E.; Setchell, K.D.D.; Kaneshiro, E.S.S. Detection of ubiquinone in parasitic and free-living protozoa, including species devoid of mitochondria. Mol. Biochem. Parasitol. 1994, 65, 213–224. [Google Scholar] [CrossRef]
- Clarkson, A.B.B.; Bienen, E.J.J.; Pollakis, G.; Grady, R.W.W. Respiration of bloodstream forms of the parasite Trypanosoma brucei brucei is dependent on a plant-like alternative oxidase. J. Biol. Chem. 1989, 264, 17770–17776. [Google Scholar] [PubMed]
- Ferella, M.; Montalvetti, A.; Rohloff, P.; Miranda, K.; Fang, J.; Reina, S.; Kawamukai, M.; Búa, J.; Nilsson, D.; Pravia, C.; et al. A solanesyl-diphosphate synthase localizes in glycosomes of Trypanosoma cruzi. J. Biol. Chem. 2006, 281, 39339–39348. [Google Scholar] [CrossRef]
- De Macedo, C.S.; Uhrig, M.L.; Kimura, E.A.; Katzin, A.M. Characterization of the isoprenoid chain of coenzyme Q in Plasmodium falciparum. FEMS Microbiol. Lett. 2002, 207, 13–20. [Google Scholar] [CrossRef] [PubMed]
- Skelton, F.S.; Rietz, P.J.; Folkers, K.; Coenzyme, Q. CXXII. Identification of ubiquinone-8 biosynthesized by Plasmodium knowlesi, P. cynomolgi, and P. berghei. J. Med. Chem. 1970, 13, 602–606. [Google Scholar] [CrossRef] [PubMed]
- Skelton, F.S.; Lunan, K.D.; Folkers, K.; Schnell, J.V.; Siddiqui, W.A.; Geiman, Q.M. Biosynthesis of ubiquinones by malarial parasites. I. Isolation of [14C]ubiquinones from cultures of rhesus monkey blood infected with Plasmodium knowlesi. Biochemistry 1969, 8, 1284–1287. [Google Scholar] [CrossRef]
- Porter, T.H.; Folkers, K. Antimetabolites of Coenzyme Q. Their Potential Application as Antimalarials. Angew. Chemie Int. Ed. 1974, 13, 559–569. [Google Scholar] [CrossRef]
- Fritsche, S.; Wang, X.; Jung, C. Recent Advances in our Understanding of Tocopherol Biosynthesis in Plants: An Overview of Key Genes, Functions, and Breeding of Vitamin E Improved Crops. Antioxidants 2017, 6, 99. [Google Scholar] [CrossRef]
- Brajcich, B.C.; Iarocci, A.L.; Johnstone, L.A.G.; Morgan, R.K.; Lonjers, Z.T.; Hotchko, M.J.; Muhs, J.D.; Kieffer, A.; Reynolds, B.J.; Mandel, S.M.; et al. Evidence that Ubiquinone Is a Required Intermediate for Rhodoquinone Biosynthesis in Rhodospirillum rubrum. J. Bacteriol. 2010, 192, 436–445. [Google Scholar] [CrossRef]
- Zhi, X.-Y.; Yao, J.-C.; Tang, S.-K.; Huang, Y.; Li, H.-W.; Li, W.-J. The futalosine pathway played an important role in menaquinone biosynthesis during early prokaryote evolution. Genome Biol. Evol. 2014, 6, 149–160. [Google Scholar] [CrossRef]
- Sadre, R.; Pfaff, C.; Buchkremer, S. Plastoquinone-9 biosynthesis in cyanobacteria differs from that in plants and involves a novel 4-hydroxybenzoate solanesyltransferase. Biochem. J. 2012, 442, 621–629. [Google Scholar] [CrossRef] [PubMed]
- Ellis, J.E. Coenzyme Q homologs in parasitic protozoa as targets for chemotherapeutic attack. Parasitol. Today 1994, 10, 296–301. [Google Scholar] [CrossRef]
- Collins, M.D.; Jones, D. Distribution of isoprenoid quinone structural types in bacteria and their taxonomic implication. Microbiol. Rev. 1981, 45, 316–354. [Google Scholar] [PubMed]
- Marbois, B.; Xie, L.X.; Choi, S.; Hirano, K.; Hyman, K.; Clarke, C.F. para-Aminobenzoic acid is a precursor in coenzyme Q6 biosynthesis in Saccharomyces cerevisiae. J. Biol. Chem. 2010, 285, 27827–27838. [Google Scholar] [CrossRef]
- Hyde, J.E. Exploring the folate pathway in Plasmodium falciparum. Acta Trop. 2005, 94, 191–206. [Google Scholar] [CrossRef]
- Kovacs, J.A.; Allegra, C.J.; Beaver, J.; Boarman, D.; Lewis, M.; Parrillo, J.E.; Chabner, B.; Masur, H. Characterization of de novo folate synthesis in Pneumocystis carinii and Toxoplasma gondii: Potential for screening therapeutic agents. J. Infect. Dis. 1989, 160, 312–320. [Google Scholar] [CrossRef]
- Taylor, A.E. The effect of paraminobenzoic acid, parahydroxybenzoic acid and riboflavin on Plasmodium gallinaceum in chicks. Trans. R. Soc. Trop. Med. Hyg. 1957, 51, 241–247. [Google Scholar] [CrossRef]
- Tran, U.C.; Clarke, C.F. Endogenous synthesis of coenzyme Q in eukaryotes. Mitochondrion 2007, 7 (Suppl.), S62–S71. [Google Scholar] [CrossRef]
- Saito, Y.; Fukuhara, A.; Nishio, K.; Hayakawa, M.; Ogawa, Y.; Sakamoto, H.; Fujii, K.; Yoshida, Y.; Niki, E. Characterization of cellular uptake and distribution of coenzyme Q10 and vitamin E in PC12 cells. J. Nutr. Biochem. 2009, 20, 350–357. [Google Scholar] [CrossRef]
- Padilla-López, S.; Jiménez-Hidalgo, M.; Martín-Montalvo, A.; Clarke, C.F.; Navas, P.; Santos-Ocaña, C. Genetic evidence for the requirement of the endocytic pathway in the uptake of coenzyme Q6 in Saccharomyces cerevisiae. Biochim. Biophys. Acta - Biomembr. 2009, 1788, 1238–1248. [Google Scholar] [CrossRef]
- Martin, E.; Mukkada, A.J.J. Identification of the terminal respiratory chain in kinetoplast: Mitochondrial complexes of Leishmania tropica promastigotes. J. Biol. Chem. 1979, 254, 12192–12198. [Google Scholar] [PubMed]
- Han, J.; Collins, L.J. Reconstruction of Sugar Metabolic Pathways of Giardia lamblia. Int. J. Proteom. 2012, 2012, 1–9. [Google Scholar] [CrossRef] [PubMed]
- Rudzinska, M.A.; D’Alesandro, P.A.; Trager, W. The Fine Structure of Leishmania donovani and the Role of the Kinetoplast in the Leishmania-Leptomonad Transformation*. J. Protozool. 1964, 11, 166–191. [Google Scholar] [CrossRef] [PubMed]
- Kaneshiro, E.S.; Sul, D.; Hazra, B. Effects of atovaquone and diospyrin-based drugs on ubiquinone biosynthesis in Pneumocystis carinii organisms. Antimicrob. Agents Chemother. 2000, 44, 14–18. [Google Scholar] [CrossRef]
- Ellis, J.E.; Wyder, M.A.; Zhou, L.; Gupta, A.; Rudney, H.; Kaneshiro, E.S. Composition of Pneumocystis carinii neutral lipids and identification of coenzyme Q10 as the major ubiquinone homolog. J. Eukaryot. Microbiol. 1996, 43, 165–170. [Google Scholar] [CrossRef]
- Hughes, L.M.; Lanteri, C.A.; O’Neil, M.T.; Johnson, J.D.; Gribble, G.W.; Trumpower, B.L. Design of anti-parasitic and anti-fungal hydroxy-naphthoquinones that are less susceptible to drug resistance. Mol. Biochem. Parasitol. 2011, 177, 12–19. [Google Scholar] [CrossRef]
- Scholer, N.; Krause, K.; Kayser, O.; Muller, R.H.; Borner, K.; Hahn, H.; Liesenfeld, O. Atovaquone Nanosuspensions Show Excellent Therapeutic Effect in a New Murine Model of Reactivated Toxoplasmosis. Antimicrob. Agents Chemother. 2001, 45, 1771–1779. [Google Scholar] [CrossRef]
- Haile, L.G.; Flaherty, J.F. Atovaquone: A Review. Ann. Pharmacother. 1993, 27, 1488–1494. [Google Scholar] [CrossRef]
- Baggish, A.L.; Hill, D.R. Antiparasitic agent atovaquone. Antimicrob. Agents Chemother. 2002, 46, 1163–1173. [Google Scholar] [CrossRef]
- Nixon, G.L.; Moss, D.M.; Shone, A.E.; Lalloo, D.G.; Fisher, N.; O’Neill, P.M.; Ward, S.A.; Biagini, G.A. Antimalarial pharmacology and therapeutics of atovaquone. J. Antimicrob. Chemother. 2013, 68, 977–985. [Google Scholar] [CrossRef]
- Srivastava, I.K.K.; Vaidya, A.B.B. A mechanism for the synergistic antimalarial action of atovaquone and proguanil. Antimicrob. Agents Chemother. 1999, 43, 1334–1339. [Google Scholar] [CrossRef] [PubMed]
- Canfield, C.J.; Pudney, M.; Gutteridge, W.E. Interactions of atovaquone with other antimalarial drugs against Plasmodium falciparum in vitro. Exp. Parasitol. 1995, 80, 373–381. [Google Scholar] [CrossRef] [PubMed]
- Carrington, H.C.; Crowther, A.F.; Davey, D.G.; Levi, A.A.; Rose, F.L. A metabolite of paludrine with high antimalarial activity. Nature 1951, 168, 1080. [Google Scholar] [CrossRef] [PubMed]
- Musset, L.; Bouchaud, O.; Matheron, S.; Massias, L.; Le Bras, J. Clinical atovaquone-proguanil resistance of Plasmodium falciparum associated with cytochrome b codon 268 mutations. Microbes Infect. 2006, 8, 2599–2604. [Google Scholar] [CrossRef] [PubMed]
- McFadden, D.C.; Tomavo, S.; Berry, E.A.; Boothroyd, J.C. Characterization of cytochrome b from Toxoplasma gondii and Q(o) domain mutations as a mechanism of atovaquone-resistance. Mol. Biochem. Parasitol. 2000, 108, 1–12. [Google Scholar] [CrossRef]
- Cauchetier, E.; Loiseau, P.M.M.; Lehman, J.; Rivollet, D.; Fleury, J.; Astier, A.; Deniau, M.; Paul, M. Characterisation of atovaquone resistance in Leishmania infantum promastigotes. Int. J. Parasitol. 2002, 32, 1043–1051. [Google Scholar] [CrossRef]
- Ke, H.; Morrisey, J.M.; Ganesan, S.M.; Painter, H.J.; Mather, M.W.; Vaidya, A.B. Variation among Plasmodium falciparum strains in their reliance on mitochondrial electron transport chain function. Eukaryot. Cell 2011, 10, 1053–1061. [Google Scholar] [CrossRef]
- Shearer, M.J. Vitamin K metabolism and nutriture. Blood Rev. 1992, 6, 92–104. [Google Scholar] [CrossRef]
- Van Winckel, M.; De Bruyne, R.; Van de Velde, S.; Van Biervliet, S. Vitamin K, an update for the paediatrician. Eur. J. Pediatr. 2009, 168, 127–134. [Google Scholar] [CrossRef]
- Mathis, P. Photosynthesis: From Light to Biosphere: Proceedings of the Xth International Photosynthesis Congress, Montpellier, France, 20–25 August 1995; Kluwer Academic Publishers: Tranbjerg, Denmark, 1995; ISBN 9780792338628. [Google Scholar]
- Shimada, H.; Shida, Y.; Nemoto, N.; Oshima, T.; Yamagishi, A. Quinone Profiles of Thermoplasma acidophilum HO-62. J. Bacteriol. 2001, 183, 1462–1465. [Google Scholar] [CrossRef]
- Biel, S.; Simon, J.; Gross, R.; Ruiz, T.; Ruitenberg, M.; Kröger, A. Reconstitution of coupled fumarate respiration in liposomes by incorporating the electron transport enzymes isolated from Wolinella succinogenes. Eur. J. Biochem. 2002, 269, 1974–1983. [Google Scholar] [CrossRef] [PubMed]
- Lübben, M. Cytochromes of archaeal electron transfer chains. Biochim. Biophys. Acta 1995, 1229, 1–22. [Google Scholar] [CrossRef]
- Sakuragi, Y.; Zybailov, B.; Shen, G.; Bryant, D.A.; Golbeck, J.H.; Diner, B.A.; Karygina, I.; Pushkar, Y.; Stehlik, D. Recruitment of a Foreign Quinone into the A1 Site of Photosystem. J. Biol. Chem. 2005, 280, 12371–12381. [Google Scholar] [CrossRef] [PubMed]
- Collins, M.D.; Pirouz, T.; Goodfellow, M.; Minnikin, D.E. Distribution of Menaquinones in Actinomycetes and Corynebacteria. J. Gen. Microbiol. 1977, 100, 221–230. [Google Scholar] [CrossRef] [PubMed]
- Holsclaw, C.M.; Sogi, K.M.; Gilmore, S.A.; Schelle, M.W.; Leavell, M.D.; Bertozzi, C.R.; Leary, J.A. Structural Characterization of a Novel Sulfated Menaquinone produced by stf3 from Mycobacterium tuberculosis. ACS Chem. Biol. 2008, 3, 619–624. [Google Scholar] [CrossRef]
- Lichtenthaler, H.K. Verbreitung und relative Konzentration der lipophilen Plastidenchionone in grünen Pflanzen. Planta 1968, 81, 140–152. [Google Scholar] [CrossRef]
- Kegel, L.P.; Crane, F.L. Vitamin K1 in Chloroplasts. Nature 1962, 194, 1282. [Google Scholar] [CrossRef]
- Lochner, K.; Döring, O.; Böttger, M. Phylloquinone, what can we learn from plants? Biofactors 2003, 18, 73–78. [Google Scholar] [CrossRef]
- Widhalm, J.R.; van Oostende, C.; Furt, F.; Basset, G.J.C. A dedicated thioesterase of the Hotdog-fold family is required for the biosynthesis of the naphthoquinone ring of vitamin K1. Proc. Natl. Acad. Sci. USA 2009, 106, 5599–5603. [Google Scholar] [CrossRef]
- Hiratsuka, T.; Furihata, K.; Ishikawa, J.; Yamashita, H.; Itoh, N.; Seto, H.; Dairi, T. An Alternative Menaquinone Biosynthetic Pathway Operating in Microorganisms. Science 2008, 321, 1670–1673. [Google Scholar] [CrossRef]
- Hiratsuka, T.; Itoh, N.; Seto, H.; Dairi, T. Enzymatic Properties of Futalosine Hydrolase, an Enzyme Essential to a Newly Identified Menaquinone Biosynthetic Pathway. Biosci. Biotechnol. Biochem. 2009, 73, 1137–1141. [Google Scholar] [CrossRef] [PubMed]
- Lohmann, A.; Schöttler, M.A.; Bréhélin, C.; Kessler, F.; Bock, R.; Cahoon, E.B.; Dörmann, P. Deficiency in Phylloquinone (Vitamin K1) Methylation Affects Prenyl Quinone Distribution, Photosystem I Abundance, and Anthocyanin Accumulation in the Arabidopsis AtmenG Mutant. J. Biol. Chem. 2006, 281, 40461–40472. [Google Scholar] [CrossRef] [PubMed]
- Okano, T.; Shimomura, Y.; Yamane, M.; Suhara, Y.; Kamao, M.; Sugiura, M.; Nakagawa, K. Conversion of Phylloquinone (Vitamin K1) into Menaquinone-4 (Vitamin K2) in Mice. J. Biol. Chem. 2008, 283, 11270–11279. [Google Scholar] [CrossRef] [PubMed]
- Lushchak, V.I.; Semchuk, N.M. Tocopherol biosynthesis: Chemistry, regulation and effects of environmental factors. Acta Physiol. Plant. 2012, 34, 1607–1628. [Google Scholar] [CrossRef]
- Sussmann, R.A.C.; Angeli, C.B.; Peres, V.J.; Kimura, E.A.; Katzin, A.M. Intraerythrocytic stages of Plasmodium falciparum biosynthesize vitamin E. FEBS Lett. 2011, 585, 3985–3991. [Google Scholar] [CrossRef]
- Van Dam, B.; van Hinsbergh, V.W.M.; Stehouwer, C.D.A.; Versteilen, A.; Dekker, H.; Buytenhek, R.; Princen, H.M.; Schalkwijk, C.G. Vitamin E inhibits lipid peroxidation-induced adhesion molecule expression in endothelial cells and decreases soluble cell adhesion molecules in healthy subjects. Cardiovasc. Res. 2003, 57, 563–571. [Google Scholar] [CrossRef]
- Meagher, E.A.; Barry, O.P.; Lawson, J.A.; Rokach, J.; FitzGerald, G.A. Effects of vitamin E on lipid peroxidation in healthy persons. JAMA 2001, 285, 1178–1182. [Google Scholar] [CrossRef]
- Huang, H.-Y.; Appel, L.J.; Croft, K.D.; Miller, E.R.; Mori, T.A.; Puddey, I.B. Effects of vitamin C and vitamin E on in vivo lipid peroxidation: Results of a randomized controlled trial. Am. J. Clin. Nutr. 2002, 76, 549–555. [Google Scholar] [CrossRef]
- Kruk, J.; Burda, K.; Radunz, A.; Strzalka, K.; Schmid, G.H. Antagonistic effects of α-tocopherol and α-tocoquinone in the regulation of cyclic electron transport around photosystem II. Zeitschrift fur Naturforsch. Sect. C J. Biosci. 1997, 52, 766–774. [Google Scholar] [CrossRef]
- Kruk, J.; Schmid, G.H.; Strzałka, K. Interaction of α-tocopherol quinone, α-tocopherol and other prenyllipids with photosystem II. Plant Physiol. Biochem. 2000, 38, 271–277. [Google Scholar] [CrossRef]
- Siegel, D.; Bolton, E.M.; Burr, J.A.; Liebler, D.C.; Ross, D. The reduction of alpha-tocopherolquinone by human NAD(P)H: Quinone oxidoreductase: The role of alpha-tocopherolhydroquinone as a cellular antioxidant. Mol. Pharmacol. 1997, 52, 300–305. [Google Scholar] [CrossRef] [PubMed]
- Gille, L.; Gregor, W.; Staniek, K.; Nohl, H. Redox-interaction of α-tocopheryl quinone with isolated mitochondrial cytochrome bc 1 complex. Biochem. Pharmacol. 2004, 68, 373–381. [Google Scholar] [CrossRef] [PubMed]
- Fiedler, E.; Soll, J.; Schultz, G. The formation of homogentisate in the biosynthesis of tocopherol and plastoquinone in spinach chloroplasts. Planta 1982, 155, 511–515. [Google Scholar] [CrossRef] [PubMed]
- Sterkel, M.; Perdomo, H.D.; Guizzo, M.G.; Barletta, A.B.F.; Nunes, R.D.; Dias, F.A.; Sorgine, M.H.F.; Oliveira, P.L. Tyrosine Detoxification Is an Essential Trait in the Life History of Blood-Feeding Arthropods. Curr. Biol. 2016, 26, 2188–2193. [Google Scholar] [CrossRef] [PubMed]
- Han, D.; Matsumaru, K.; Rettori, D.; Kaplowitz, N. Usnic acid-induced necrosis of cultured mouse hepatocytes: Inhibition of mitochondrial function and oxidative stress. Biochem. Pharmacol. 2004, 67, 439–451. [Google Scholar] [CrossRef] [PubMed]
- Stocker, R.; Hunt, N.H.; Weidemann, M.J.; Clark, I.A. Protection of vitamin E from oxidation by increased ascorbic acid content within Plasmodium vinckei-infected erythrocytes. Biochim. Biophys. Acta 1986, 876, 294–299. [Google Scholar] [CrossRef]
- Taylor, D.W.; Levander, O.A.; Krishna, V.R.; Evans, C.B.; Morris, V.C.; Barta, J.R. Vitamin E-deficient diets enriched with fish oil suppress lethal Plasmodium yoelii infections in athymic and scid/bg mice. Infect. Immun. 1997, 65, 197–202. [Google Scholar]
- Pastrana-Mena, R.; Mathias, D.K.; Delves, M.; Rajaram, K.; King, J.G.; Yee, R.; Trucchi, B.; Verotta, L.; Dinglasan, R.R. A Malaria Transmission-Blocking (+)-Usnic Acid Derivative Prevents Plasmodium Zygote-to-Ookinete Maturation in the Mosquito Midgut. ACS Chem. Biol. 2016, 11, 3461–3472. [Google Scholar] [CrossRef]
- Brausemann, A.; Gemmecker, S.; Koschmieder, J.; Ghisla, S.; Beyer, P.; Einsle, O. Structure of Phytoene Desaturase Provides Insights into Herbicide Binding and Reaction Mechanisms Involved in Carotene Desaturation. Structure 2017, 25, 1222–1232.e3. [Google Scholar] [CrossRef]
- Norris, S.R.; Barrette, T.R.; DellaPenna, D. Genetic Dissection of Carotenoid Synthesis in Arabidopsis Defines Plastoquinone as an Essential Component of Phytoene Desaturation. Plant Cell. 1995, 7, 2139–2149. [Google Scholar]
- Meazza, G.; Scheffler, B.E.; Tellez, M.R.; Rimando, A.M.; Romagni, J.G.; Duke, S.O.; Nanayakkara, D.; Khan, I.A.; Abourashed, E.A.; Dayan, F.E. The inhibitory activity of natural products on plant p-hydroxyphenylpyruvate dioxygenase. Phytochemistry 2002, 60, 281–288. [Google Scholar] [CrossRef]
- Tonhosolo, R.; D’Alexandri, F.L.; de Rosso, V.V.; Gazarini, M.L.; Matsumura, M.Y.; Peres, V.J.; Merino, E.F.; Carlton, J.M.; Wunderlich, G.; Mercadante, A.Z.; et al. Carotenoid Biosynthesis in Intraerythrocytic Stages of Plasmodium falciparum. J. Biol. Chem. 2009, 284, 9974–9985. [Google Scholar] [CrossRef] [PubMed]
- Collins, M.D.; Fernandez, F. Menaquinone-6 and thermoplasmaquinone-6 in Wolinella succinogenes. FEMS Microbiol. Lett. 1984, 22, 273–276. [Google Scholar] [CrossRef][Green Version]
- Frydman, B.; Rapoport, H. Non-Chlorophyllous Pigments of Chlorobium Thiosulfatophilum Chlorobiumquinone. J. Am. Chem. Soc. 1963, 85, 823–825. [Google Scholar] [CrossRef]
- Frigaard, N.-U.; Chew, A.G.M.; Li, H.; Maresca, J.A.; Bryant, D.A. Chlorobium Tepidum: Insights into the Structure, Physiology, and Metabolism of a Green Sulfur Bacterium Derived from the Complete Genome Sequence. Photosynth. Res. 2003, 78, 93–117. [Google Scholar] [CrossRef]
- Powls, R.; Redfearn, E.; Trippett, S. The structure of chlorobiumquinone. Biochem. Biophys. Res. Commun. 1968, 33, 408–411. [Google Scholar] [CrossRef]
- Collins, M.D.; Langworthy, T.A. Respiratory Quinone Composition of Some Acidophilic Bacteria. Syst. Appl. Microbiol. 1983, 4, 295–304. [Google Scholar] [CrossRef]
- Collins, M.D. 11 Analysis of Isoprenoid Quinones. Methods Microbiol. 1985, 18, 329–366. [Google Scholar]








| Prenylquinone | Function | ||
|---|---|---|---|
| Antioxidant Defense | Mitochondrial Respiration | Trans-plasma Membrane Electron Transport | |
| Ubiquinone | [45,57,58,59] | [50] | |
| Menaquinone | [60,61] | ||
| Tocopherol | [62,63,64] | ||
| Chlorobiumquinone | [65] | ||
| Thermoplasmaquinone | [66,67] | ||
| Rhodoquinone | [48] | ||
| Organism | Aromatic Head Group Biosynthesis | Isoprenoid Side Chain Biosynthesis | ||
|---|---|---|---|---|
| Via Shikimate Pathway | Via Amino Acid Degradation | Mevalonate Pathway | Methylerythritol 4-Phosphate Pathway | |
| Leishmania spp. | - | Indirect evidence [63] | Experimental evidence at protein level [68,69] | - |
| Trypanosoma cruzi | - | Protein predicted | Experimental evidence at protein level [70] | - |
| Trypanosoma brucei | - | Protein predicted | Experimental evidence at protein level [71,72] | - |
| Plasmodium spp. | Experimental evidence at protein level [73,74,75] | - | Indirect evidence [76,77] | Experimental evidence at protein level [78,79,80] |
| Giardia intestinalis | - | - | Indirect evidence [81] | - |
| Trichomonas vaginalis | - | - | Protein predicted * | - |
| Toxoplasma gondii | Proteins inferred from homology [73,82,83] | - | Indirect evidence [84] | Experimental evidence at protein level [20,85,86] |
| Organism | Parasitic Stage | UQ-8 | UQ-9 | UQ-10 | ChQ | TpQ | MQ-4 | PK | α-TC, γ-TC |
|---|---|---|---|---|---|---|---|---|---|
| L. amazonensis | amastigote | ||||||||
| promastigote | |||||||||
| L. donovani | promastigote | ||||||||
| L. major | promastigote | ||||||||
| L. mexicana | amastigote | ||||||||
| promastigote | |||||||||
| T. cruzi | epimastigote | ||||||||
| T. brucei | procyclic | ||||||||
| P. falciparum | intraerythrocytic | ||||||||
| G. lambia | trophozoite | ||||||||
| E. histolytica | trophozoite | ||||||||
| Trichomonas foetus | - |
© 2019 by the authors. Licensee MDPI, Basel, Switzerland. This article is an open access article distributed under the terms and conditions of the Creative Commons Attribution (CC BY) license (http://creativecommons.org/licenses/by/4.0/).
Share and Cite
Verdaguer, I.B.; Zafra, C.A.; Crispim, M.; Sussmann, R.A.C.; Kimura, E.A.; Katzin, A.M. Prenylquinones in Human Parasitic Protozoa: Biosynthesis, Physiological Functions, and Potential as Chemotherapeutic Targets. Molecules 2019, 24, 3721. https://doi.org/10.3390/molecules24203721
Verdaguer IB, Zafra CA, Crispim M, Sussmann RAC, Kimura EA, Katzin AM. Prenylquinones in Human Parasitic Protozoa: Biosynthesis, Physiological Functions, and Potential as Chemotherapeutic Targets. Molecules. 2019; 24(20):3721. https://doi.org/10.3390/molecules24203721
Chicago/Turabian StyleVerdaguer, Ignasi B., Camila A. Zafra, Marcell Crispim, Rodrigo A.C. Sussmann, Emília A. Kimura, and Alejandro M. Katzin. 2019. "Prenylquinones in Human Parasitic Protozoa: Biosynthesis, Physiological Functions, and Potential as Chemotherapeutic Targets" Molecules 24, no. 20: 3721. https://doi.org/10.3390/molecules24203721
APA StyleVerdaguer, I. B., Zafra, C. A., Crispim, M., Sussmann, R. A. C., Kimura, E. A., & Katzin, A. M. (2019). Prenylquinones in Human Parasitic Protozoa: Biosynthesis, Physiological Functions, and Potential as Chemotherapeutic Targets. Molecules, 24(20), 3721. https://doi.org/10.3390/molecules24203721

