Bioactive Constituents of F. esculentum Bee Pollen and Quantitative Analysis of Samples Collected from Seven Areas by HPLC
Abstract
1. Introduction
2. Materials and Methods
2.1. Chemicals, Regents and Materials
2.2. HPLC Conditions
2.3. Saponification and Methylation for Fatty Acids (FAs)
2.4. GC-MS Analysis
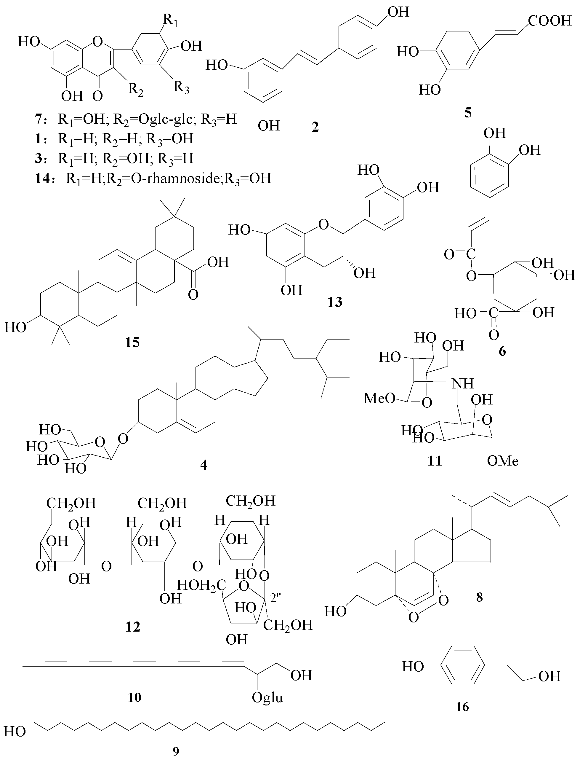
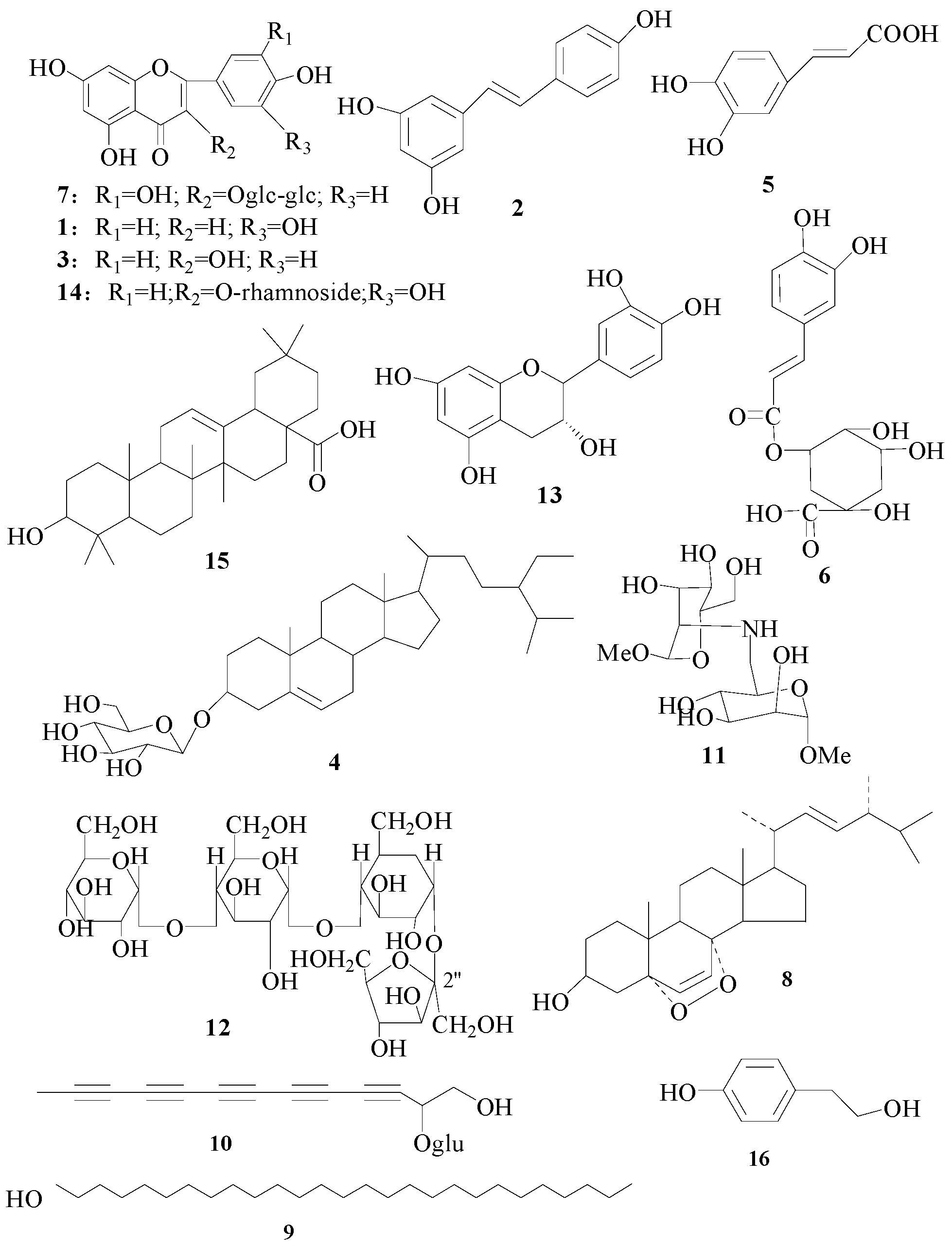
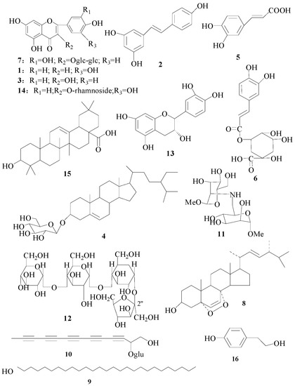
2.5. Extraction and Isolation
2.6. Quantitative Analysis
2.6.1. Preparation of Sample Solutions
2.6.2. Preparation of Standard Solutions
2.6.3. Identification and Quantification
2.7. Bioactivity Assay
2.7.1. α-Glucosidase Inhibitory Activity Experiment
2.7.2. Tyrosinase Inhibitory Activity Experiment
2.7.3. Acetylcholinesterase Inhibitory Activity Experiment
3. Results and Discussion Sections in Wrong Order—Experimental is Last—Renumber Anything Affected
3.1. GC-MS Analysis
3.2. Optimization of Extraction Method
3.3. HPLC Method Validation
3.3.1. Linearity, LODs and LOQs
3.3.2. Precision, Repeatability, and Stability
3.3.3. Recovery
3.4. Quantitative Determination of Nine Compounds
3.5. Activity Analysis
3.5.1. Analysis of α-Glucosidase Inhibitory Activity
3.5.2. Analysis of Tyrosinase Inhibitory Activity
3.5.3. Analysis of Acetylcholinesterase Inhibitory Activity
4. Conclusions
Supplementary Materials
Author Contributions
Funding
Conflicts of Interest
References
- Almeida-Muradian, L.B.; Pamplona, L.C.; Coimbra, S.; Monika, B.O. Chemical composition and botanical evaluation of dried bee pollen pellets. J. Food Comp. Anal. 2005, 18, 105–111. [Google Scholar] [CrossRef]
- Campos, M.G.R.; Frigerio, C.; Lopes, J. What is the future of bee-pollen? J. ApiProd. ApiMed. Sci. 2010, 2, 131–144. [Google Scholar] [CrossRef]
- Arruda, V.A.S.D.; Pereira, A.A.S.; Freitas, A.S.D.; Ortrud, M.B.; Almeida-Muradian, L.B.D. Dried bee pollen: B complex vitamins, physicochemical and botanical composition. J. Food Comp. Anal. 2013, 29, 100–105. [Google Scholar] [CrossRef]
- Melo, I.L.P.D.; Almeidamuradian, L.B.D. Stability of antioxidants vitamins in bee pollen samples. Química Nova 2010, 33, 514–518. [Google Scholar] [CrossRef]
- Campos, M.G.; Markham, K.R.; Mitchell, K.A.; Cunha, A.P.D. An approach to the characterization of bee pollens via their flavonoid/phenolic profiles. Phytochem. Anal. 2015, 8, 181–185. [Google Scholar] [CrossRef]
- Zhou, J.; Qi, Y.; Ritho, J.; Zhang, Y.; Zheng, X.; Wu, L.; Li, Y.; Sun, L. Flavonoid glycosides as floral origin markers to discriminate of unifloral bee pollen by LC–MS/MS. Food Control 2015, 57, 54–61. [Google Scholar] [CrossRef]
- Xu, X.; Gao, Y.; Sun, L. Free and esterified triterpene alcohol composition of bee pollen from different botanical origins. Food Res. Int. 2012, 48, 650–656. [Google Scholar] [CrossRef]
- Nogueira, C.; Iglesias, A.; Feás, X.; Estevinho, L.M. Commercial bee pollen with different geographical origins: A comprehensive approach. Int. J. Mol. Sci. 2012, 13, 11173–11187. [Google Scholar] [CrossRef]
- Pascoal, A.; Rodrigues, S.; Teixeira, A.; Feás, X.; Estevinho, L.M. Biological activities of commercial bee pollens: Antimicrobial, antimutagenic, antioxidant and anti-inflammatory. Food Chem. Toxicol. 2014, 63, 233–239. [Google Scholar] [CrossRef]
- Li, F.; Yuan, Q.; Farzana, R. Isolation, purification and immunobiological activity of a new water-soluble bee pollen polysaccharide from Crataegus pinnatifida Bge. Carbohydr. Polym. 2009, 78, 80–88. [Google Scholar] [CrossRef]
- Leja, M.; Mareczek, A.; Wyżgolik, G.; Klepacz-Baniak, J.; Czkońska, K. Antioxidative properties of bee pollen in selected plant species. Food Chem. 2007, 100, 237–240. [Google Scholar] [CrossRef]
- Medeiros, K.C.; Figueiredo, C.A.; Figueredo, T.B.; Freire, K.R.; Santos, F.A.; Alcantara-Neves, N.M.; Silva, T.M.; Piuvezam, M.R. Anti-allergic effect of bee pollen phenolic extract and myricetin in ovalbumin-sensitized mice. J. Ethnopharmacol. 2008, 119, 41–46. [Google Scholar] [CrossRef] [PubMed]
- Linskens, H.F.; Jorde, W. Pollen as food and medicine: A review. Econ. Botany 1997, 51, 78–86. [Google Scholar] [CrossRef]
- Park, H.K.; Kim, S.K.; Lee, S.W.; Chung, J.H.; Lee, B.C.; Na, S.W.; Park, C.G.; Kim, Y.O. A herbal formula, comprising Panax ginseng and bee-pollen, inhibits development of testosterone-induced benign prostatic hyperplasia in male Wistar rats. Saudi J. Biol. Sci. 2017, 24, 1555–1561. [Google Scholar] [CrossRef] [PubMed]
- Yang, X.P.; Guo, D.Y.; Zhang, J.M.; Wu, M.C. Characterization and antitumor activity of pollen polysaccharide. Int. Immunopharmacol. 2007, 7, 401–408. [Google Scholar] [CrossRef] [PubMed]
- Morais, M.; Moreira, L.; Feás, X.; Estavinho, L.M. Honeybee-collected pollen from five Portuguese Natural Parks: Palynological origin, phenolic content, antioxidant properties and antimicrobial activity. Food Chem. Toxicol. 2011, 49, 1096–1101. [Google Scholar] [CrossRef] [PubMed]
- Murakami, M.; Tsukada, O.; Okihara, K.; Hashimoto, K. Beneficial effect of honeybee-collected pollen lump extract on benign prostatic hyperplasia (BPH)—A double-blind, placebo-controlled clinical trial. Food Sci. Technol. Res. 2008, 14, 306–310. [Google Scholar] [CrossRef]
- Naureen, S.; Chaudhry, F.; Munawar, M.A.; Ashral, M.; Hamid, S.; Khan, M.A. Biological evaluation of new imidazole derivatives tethered with indole moiety as potent α-glucosidase inhibitors. Bioorganic Chem. 2018, 76, 365–369. [Google Scholar] [CrossRef]
- Liu, X.G.; Huang, M.Y.; Gao, P.Y.; Liu, C.F.; Sun, Y.Q.; Lv, M.C.; Yao, G.D.; Zhang, L.X.; Li, D.Q. Bioactive constituents from, Medicago sativa, L. with antioxidant, neuroprotective and acetylcholinesterase inhibitory activities. J. Funct. Foods 2018, 45, 371–380. [Google Scholar] [CrossRef]
- Wu, H.K.; Sun, T.; Zhao, F.; Zhang, L.P.; Li, G.; Zhang, J. New diterpenoids isolated from, Leonurus japonicus, and their acetylcholinesterase inhibitory activity. Chin. J. Nat. Med. 2017, 15, 860–864. [Google Scholar] [CrossRef]
- Thi, N.H.; Thi, D.H.; Viet, H.D.; Thanh, P.K.; Raal, A.; Morita, H. Huperphlegmines A and B, two novel, Lycopodium, alkaloids with an unprecedented skeleton from Huperzia phlegmaria, and their acetylcholinesterase inhibitory activities. Fitoterapia 2018, 129, 267–271. [Google Scholar]
- Hassan, M.; Ashraf, Z.; Abbas, Q.; Raza, H.; Seo, S.Y. Exploration of novel human tyrosinase inhibitors by molecular modeling, docking and simulation studies. Interdiscip. Sci. 2016, 10, 68–80. [Google Scholar] [CrossRef] [PubMed]
- Takashi, M.; Takuya, N.; Takehiro, I.; Ken-ichi, N. Chemical synthesis and tyrosinase-inhibitory activity of isotachioside and its related glycosides. Carbohydr. Res. 2018, 465, 22–28. [Google Scholar]
- Fan, M.; Zhang, G.; Hu, X.; Xu, X.; Gong, D. Quercetin as a tyrosinase inhibitor: Inhibitory activity, conformational change and mechanism. Food Res. Int. 2017, 100, 226–333. [Google Scholar] [CrossRef] [PubMed]
- Lou, L.L.; Liu, S.; Yan, Z.Y.; Lin, B.; Wang, X.B.; Huang, X.X.; Song, S.J. Tetrahydro–β-Carboline alkaloids from, Carthamus tinctorius L. with tyrosinase inhibitory activity. Phytochem. Lett. 2017, 22, 107–112. [Google Scholar] [CrossRef]
- Shimizu, K.; Kondo, R.; Sakai, K. Inhibition of tyrosinase by flavonoids, stilbenes and related 4-substituted resorcinols: Structure-activity investigations. Planta Med. 2000, 66, 11–15. [Google Scholar] [CrossRef] [PubMed]
- Silva, A.P.D.; Silva, N.D.F.; Andrade, E.H.A.; Gratieri, T.; Setzer, W.N.; Maia, J.G.S.; Silva, J.K.R.D. Tyrosinase inhibitory activity, molecular docking studies and antioxidant potential of chemotypes of Lippia origanoides (Verbenaceae) essential oils. PLoS ONE 2017, 12, e0175598. [Google Scholar] [CrossRef]
- Hakme, E.; Lozano, A.; Gómezramos, M.M.; Hernando, M.D.; Fernánde-Alba, A.R. Non-target evaluation of contaminants in honey bees and pollen samples by gas chromatography time-of-flight mass spectrometry. Chemosphere 2017, 184, 1310–1319. [Google Scholar] [CrossRef]
- Ols, M.L.; Cullen, J.L.; Turqueti-Neves, A.; Giles, J.; Shlomchik, M.J. Dendritic cells regulate extrafollicular autoreactive b cells via t cells expressing Fas and Fas ligand. Immunity 2016, 45, 1052–1065. [Google Scholar] [CrossRef]
- Alleva, J.M.; Tylka, T.L.; Am, K.V.D. The functionality appreciation scale (FAS): Development and psychometric evaluation in U.S. community women and men. Body Image 2017, 23, 28–44. [Google Scholar] [CrossRef]
- Liao, C.C.; Chen, S.C.; Huang, H.P.; Wang, C.J. Gallic acid inhibits bladder cancer cell proliferation and migration via regulating fatty acid synthase (FAS). J. Food Drug Anal. 2017, 26, 620–627. [Google Scholar] [CrossRef] [PubMed]
- Noyori, O.; Nakayama, E.; Maruyama, J.; Yoshida, R.; Takada, A. Suppression of Fas-mediated apoptosis via steric shielding by filovirus glycoproteins. Biochem. Biophys. Res. Commun. 2013, 441, 994–998. [Google Scholar] [CrossRef] [PubMed]
- Ganeshpurkar, A.; Saluja, A.K. Protective effect of rutin on humoral and cell mediated immunity in rat model. Chem. Biol. Interact. 2017, 273, 154–159. [Google Scholar] [CrossRef] [PubMed]
- Li, Q.Y.; Zhu, Y.F.; Zhang, M.; Li, C.; Zhang, Z.; Du, Y.L.; Ren, G.Q.; Tang, J.M.; Zhou, M.K.; Shi, X.J. Chlorogenic acid inhibits hypoxia-induced pulmonary artery smooth muscle cells proliferation via, c-Src and Shc/Grb2/ERK2 signaling pathway. Eur. J. Pharmacol. 2015, 751, 81–88. [Google Scholar] [CrossRef] [PubMed]
- Xie, J.; Yang, F.; Zhang, M.; Lam, C.; Qiao, Y.; Jia, X.; D D Zhang, D.; Ge, Y.; Fu, L.; Xie, D. Antiproliferative activity and SARs of caffeic acid esters with mono-substituted phenylethanols moiety. Bioorg. Med. Chem. Lett. 2017, 27, 131–134. [Google Scholar] [CrossRef] [PubMed]
- González-Montoya, M.; Hernández-Ledesma, B.; Mora-Escobedo, R.; Martínez-Villaluenga, C. Bioactive peptides from germinated soybean with anti-diabetic potential by inhibition of dipeptidyl peptidase-IV, α-amylase, and α-glucosidase enzymes. Int. J. Mol. Sci. 2018, 19, 2883. [Google Scholar] [CrossRef] [PubMed]
- Xie, Z.; Wang, G.; Wang, J.; Chen, M.; Peng, Y.; Li, L.; Deng, B.; Chen, S.; Li, W. Synthesis, biological evaluation, and molecular docking studies of novel isatin-thiazole derivactives as α-glucosidase inhibitors. Molecules 2017, 22, 659. [Google Scholar]
- Peng, X.; Zhang, G.; Liao, Y.; Gong, D. Inhibitory kinetics and mechanism of kaempferol on α-glucosidase. Food Chem. 2016, 190, 207–215. [Google Scholar] [CrossRef]
- Sun, L.P.; Yan, G.; Zhang, Y.X.; Zhuang, Y.L. Antioxidant and anti-tyrosinase activities of phenolic extracts from rape bee pollen and inhibitory melanogenesis by cAMP/MITF/TYR pathway in B16 mouse melanoma cells. Front. Pharmacol. 2017, 8, 104. [Google Scholar] [CrossRef]
- Kim, S.B.; Liu, Q.; Ahn, J.H.; Jo, Y.H.; Turk, A.; Hong, I.P.; Han, S.M.; Hwang, B.Y.; Lee, M.K. Polyamine derivatives from the bee pollen of Quercus mongolica with tyrosinase inhibitory activity. Bioorg. Chem. 2018, 81, 127–133. [Google Scholar] [CrossRef]
- Liu, X.; Bian, J.; Li, D.; Liu, C.; Xu, S.; Zhang, G.; Zhang, L.; Gao, P. Structural features, antioxidant and acetylcholinesterase inhibitory activities of polysaccharides from stem of Physalis alkekengi L. Ind. Crops Prod. 2019, 129, 654–661. [Google Scholar] [CrossRef]
- Cheng, N.; Ren, N.; Gao, H.; Lei, X.; Zheng, J.; Cao, W. Antioxidant and hepatoprotective effects of schisandra chinensis pollen extract on CCl4-induced acute liver damage in mice. Food Chem. Toxicol. 2013, 55, 234–240. [Google Scholar] [CrossRef] [PubMed]
- Rebelo, K.S.; Ferreira, A.G.; Carvalho-Zilse, G.A. Physicochemical characteristics of pollen collected by Amazonian stingless bees. Cienc. Rural 2016, 46, 927–932. [Google Scholar] [CrossRef]
- Vanderplanck, M.; Leroy, B.; Wathelet, B.; Wattiez, R.; Michez, D. Standardized protocol to evaluate pollen polypeptides as bee food source. Apidologie 2014, 45, 192–204. [Google Scholar] [CrossRef]
- Ares, A.M.; Valverde, S.; Bernal, J.L.; Nozal, M.J.; Bernal, J. Extraction and determination of bioactive compounds from bee pollen. J. Pharma Biomed. Anal. 2018, 147, 110–124. [Google Scholar] [CrossRef]
- Denisow, B.; Denisow-Pietrzyk, M. Biological and therapeutic properties of bee pollen: A review. J. Sci. Food Agric. 2016, 96, 4303–4309. [Google Scholar] [CrossRef] [PubMed]
- Puerto, N.; Prieto, G.; Castro, R. Chemical composition and antioxidant activity of pollen. Chil. J. Agric. Anim. Sci. 2015, 31, 115–126. [Google Scholar]
- Sattler, J.A.G.; de Melo, A.A.M.; do Nascimento, K.S.; de Melo, I.L.P.; Mancini-Filho, J.; Sattler, A.; de Almeida-Muradian, L.B. Essential minerals and inorganic contaminants (barium, cadmium, lithium, lead and vanadium) in dried bee pollen produced in Rio Grande do Sul State, Brazil. Food Sci. Technol. 2016, 36, 505–509. [Google Scholar] [CrossRef]
- Chen, S.N.; Zhao, H.A.; Cheng, N.; Cao, W. Rape bee pollen alleviates dextran sulfate sodium (DSS)-induced colitis by neutralizing IL-1β and regulating the gut microbiota in mice. Food Res. Int. 2019, 122, 241–251. [Google Scholar] [CrossRef]
Sample Availability: Samples of the compounds are not available from the authors. |




| Group | Reaction System | Absorbance |
|---|---|---|
| A | 20 μL PBS, 20 μL sample, 20 μL α-glucosidase | ODA |
| B | 40 μL PBS, 20 μL sample | ODB |
| C | 40 μL PBS, 20 μL α-glucosidase | ODC |
| Group | Reaction System | Absorbance |
|---|---|---|
| A | 80 μL PBS, 50 μL solvent, 50 μL tyrosinase, 20 μL substrate | ODA |
| B | 130 μL PBS, 50 μL solvent, 20 μL substrate | ODB |
| C | 80 μL PBS, 50 μL tyrosinase, 50 μL sample, 20 μL substrate | ODC |
| D | 130 μL PBS, 50 μL sample, 20 μL substrate | ODD |
| Group | Reaction System | Absorbance |
|---|---|---|
| A | 140 μL PBS, 20 μL sample, 20 μL acetylcholinesterase | ODA |
| B | 160 μL PBS, 20 μL sample | ODB |
| C | 160 μL PBS, 20 μL acetylcholinesterase | ODC |
| No. | Components a | Content (%) b | Molecular Formula |
|---|---|---|---|
| 1 | Tetradecanoic acid, methyl ester | 2.95 | C15H30O2 |
| 2 | Hexadecanoic acid, methyl ester | 7.67 | C17H34O2 |
| 3 | Hexadecanoic acid, 2-methyl-, methyl ester | 25.66 | C18H36O2 |
| 4 | (9Z,12Z)-Octadecadienoic acid, methyl ester | 3.8 | C19H34O2 |
| 5 | (9Z,12Z,15Z)-Octadecatrienoic acid, methyl ester | 36.25 | C19H32O2 |
| 6 | Octadecanoic acid, methyl ester | 9.36 | C19H38O2 |
| 7 | Heptadecanoic acid, methyl ester | 4.57 | C18H36O2 |
| 8 | 18-Methylnonadecanoate, methyl ester | 3.73 | C21H42O2 |
| 9 | cis-13-Eicosenoic acid, methyl ester | 1.39 | C21H40O2 |
| 10 | Eicosanoic acid, methyl ester | 2.04 | C21H42O |
| 11 | Docosanoic acid, methyl ester | 2.58 | C23H46O2 |
| Analytes * | Regression Equation | R2 | Linear Range (μg/mL) | LOD (μg/mL) | LOQ (μg/mL) |
|---|---|---|---|---|---|
| 1 | Y = 83.34X − 446.99 | R2=0.99929 | 4.00–600 | 0.15 | 0.48 |
| 2 | Y = 62.22X − 249.29 | R2 = 0.99973 | 1.19–250 | 0.07 | 0.37 |
| 3 | Y = 19.68X − 105.92 | R2 = 0.99918 | 1.50–250 | 0.09 | 0.52 |
| 5 | Y = 14.77X − 79.30 | R2 = 0.99919 | 2.50–250 | 0.11 | 0.63 |
| 6 | Y = 54.15X − 295.55 | R2 = 0.99915 | 1.00–200 | 0.08 | 0.45 |
| 7 | Y = 9.86X − 52.98 | R2 = 0.99914 | 3.00–250 | 0.14 | 0.39 |
| 13 | Y = 63.91X − 351.28 | R2 = 0.99912 | 1.50–500 | 0.23 | 0.51 |
| 14 | Y = 49.21X − 271.64 | R2 = 0.99916 | 2.01–800 | 0.15 | 0.46 |
| 16 | Y = 64.13X − 352.54 | R2 = 0.99902 | 1.08–500 | 0.18 | 0.64 |
| Analytes | Precision (n = 5) | Repeatability (n = 6) RSD (%) | Stability (n = 6) RSD (%) | Recovery (n = 3) | ||
|---|---|---|---|---|---|---|
| Intra-Day RSD (%) | Inter-Day RSD (%) | Mean (%) | RSD (%) | |||
| 1 | 0.82 | 1.39 | 2.41 | 1.74 | 97.56 | 2.51 |
| 2 | 1.23 | 1.24 | 2.05 | 0.94 | 98.69 | 1.99 |
| 3 | 0.95 | 2.08 | 3.15 | 1.13 | 97.25 | 2.32 |
| 5 | 1.17 | 2.25 | 2.53 | 2.04 | 99.64 | 3.49 |
| 6 | 1.45 | 1.50 | 1.98 | 0.84 | 98.80 | 3.16 |
| 7 | 1.11 | 1.61 | 2.47 | 0.98 | 100.56 | 2.98 |
| 13 | 0.98 | 1.22 | 2.26 | 1.85 | 99.05 | 2.04 |
| 14 | 0.71 | 0.95 | 1.60 | 0.47 | 101.12 | 1.63 |
| 16 | 0.89 | 1.57 | 1.84 | 2.06 | 98.56 | 1.95 |
| Contents a of 9 Compounds (mg/g) | ||||||||||
|---|---|---|---|---|---|---|---|---|---|---|
| 1 | 2 | 3 | 5 | 6 | 7 | 13 | 14 | 16 | Total | |
| BPSX | 9.46 | 5.25 | 3.67 | 3.47 | 1.45 | 1.45 | 2.40 | 2.66 | 2.28 | 32.09 |
| BPAH | 8.43 | 4.23 | 3.32 | 4.19 | ND b | 1.34 | 9.38 | 4.91 | 1.66 | 37.46 |
| BPNM | 10.94 | 4.81 | 3.49 | 5.54 | 1.12 | 1.36 | 10.05 | 2.19 | 6.55 | 46.05 |
| BPHN | 8.68 | 5.03 | 2.59 | 6.00 | ND | ND | 2.47 | 5.19 | 3.27 | 33.23 |
| BPGS | 8.67 | 5.19 | ND | 5.57 | ND | ND | 4.07 | ND | ND | 23.50 |
| BPHB1 | 8.54 | 3.26 | ND | 5.02 | ND | 1.05 | 3.01 | ND | 3.28 | 24.16 |
| BPHB2 | 6.23 | 4.85 | 1.83 | 4.08 | ND | ND | 1.26 | 1.29 | 4.21 | 23.75 |
| No. | IC50 (μg/mL) |
|---|---|
| Acarbose | 515.98 |
| 3 | 80.35 |
| 7 | 188.42 |
| 8 | 452.50 |
| 10 | 492.11 |
| 11 | 318.44 |
| 12 | 444.88 |
| No. | IC50 (μg/mL) |
|---|---|
| Kojic acid | 517.07 |
| 1 | 1643.11 |
| 8 | 202.37 |
| 11 | 302.42 |
| 12 | 1750.08 |
| No. | IC50 (μg/mL) |
|---|---|
| Huperzine A | 502.98 |
| 1 | 476.25 |
| 3 | 504.34 |
| 7 | 491.93 |
| 8 | 500.14 |
| 10 | 521.14 |
| 11 | 516.21 |
| 12 | 507.44 |
© 2019 by the authors. Licensee MDPI, Basel, Switzerland. This article is an open access article distributed under the terms and conditions of the Creative Commons Attribution (CC BY) license (http://creativecommons.org/licenses/by/4.0/).
Share and Cite
Li, F.; Guo, S.; Zhang, S.; Peng, S.; Cao, W.; Ho, C.-T.; Bai, N. Bioactive Constituents of F. esculentum Bee Pollen and Quantitative Analysis of Samples Collected from Seven Areas by HPLC. Molecules 2019, 24, 2705. https://doi.org/10.3390/molecules24152705
Li F, Guo S, Zhang S, Peng S, Cao W, Ho C-T, Bai N. Bioactive Constituents of F. esculentum Bee Pollen and Quantitative Analysis of Samples Collected from Seven Areas by HPLC. Molecules. 2019; 24(15):2705. https://doi.org/10.3390/molecules24152705
Chicago/Turabian StyleLi, Feng, Sen Guo, Shanshan Zhang, Sainan Peng, Wei Cao, Chi-Tang Ho, and Naisheng Bai. 2019. "Bioactive Constituents of F. esculentum Bee Pollen and Quantitative Analysis of Samples Collected from Seven Areas by HPLC" Molecules 24, no. 15: 2705. https://doi.org/10.3390/molecules24152705
APA StyleLi, F., Guo, S., Zhang, S., Peng, S., Cao, W., Ho, C.-T., & Bai, N. (2019). Bioactive Constituents of F. esculentum Bee Pollen and Quantitative Analysis of Samples Collected from Seven Areas by HPLC. Molecules, 24(15), 2705. https://doi.org/10.3390/molecules24152705

