Next Article in Journal
Molecular Modeling for Structural Insights Concerning the Activation Mechanisms of F1174L and R1275Q Mutations on Anaplastic Lymphoma Kinase
Next Article in Special Issue
AIE/ACQ Effects in Two DR/NIR Emitters: A Structural and DFT Comparative Analysis
Previous Article in Journal
Lime Pretreatment of Miscanthus: Impact on BMP and Batch Dry Co-Digestion with Cattle Manure
Previous Article in Special Issue
Solid-State Highly Efficient DR Mono and Poly-dicyano-phenylenevinylene Fluorophores
 
 
Font Type:
Arial Georgia Verdana
Font Size:
Aa Aa Aa
Line Spacing:
Column Width:
Background:
Communication

A Self-Assembled ZnII-NdIII Heterohexanuclear Dimer Based on a Hexadentate N2O4-Type Ligand and Terephthalic Acid: Synthesis, Structure, and Fluorescence Properties

1
Chemical Engineering Department, Jiuquan Vocational Technical College, Jiuquan 735000, China
2
School of Chemical and Biological Engineering, Lanzhou Jiaotong University, Lanzhou 730070, China
*
Author to whom correspondence should be addressed.
Molecules 2018, 23(7), 1609; https://doi.org/10.3390/molecules23071609
Submission received: 21 May 2018 / Revised: 27 June 2018 / Accepted: 1 July 2018 / Published: 2 July 2018
(This article belongs to the Special Issue Lumino and Fluorophores—Illuminating Science and Technology)

Abstract

:
A self-assembled ZnII-NdIII heterohexanuclear coordination compound [Zn4Nd2(L)4(bdc)2]·2NO3 based on a hexadentate Salamo-like chelating ligand (H2L = 1,2-bis(3-methoxysalicylideneaminooxy)ethane]) and H2bdc (H2bdc = terephthalic acid) has been synthesized and characterized by elemental analyses, IR and UV/Vis spectra, and X-ray crystallography. Two crystallographically equivalent [Zn2Nd(L)2] moieties lie in the inversion center linked by two (bdc)2− ligands leading to a heterohexanuclear dimer in which the carboxylato group bridges the ZnII and NdIII atoms. The heteropolynuclear 3d-4f coordination compound includes four ZnII atoms, two NdIII atoms, four completely deprotonated (L)2− units, two fully deprotonated (bdc)2− units, and two crystalling nitrate ions. All of the ZnII atoms in the ZnII-NdIII coordination compound possess trigonal bipyramidal geometries and the NdIII atoms possess distorted bicapped square antiprism coordination arrangements. In addition, the fluorescence properties of the ligand and the ZnII-NdIII coordination compound were investigated.

Graphical Abstract

1. Introduction

Salen-like and Salamo-like ligands have been extensively investigated in modern coordination chemistry for several decades [1,2], and their transition to metal coordination compounds have been widely investigated in electrochemical fields [3], biological fields [4], magnetic [5] and luminescent materials [6], and supramolecular buildings [7]. It is important to introduce suitable functional groups into the organic moiety of the ligands in order to improve or tune the properties of these metal coordination compounds [8].
Although these Salamo-like coordination compounds have been in the process of development, the heterometallic 3d-4f coordination compounds formed by terephthalic acid auxiliary ligands are still very rare. The multidentate chelating ligands may bring new changes to the structure and simple synthesis methods will play a catalytic role in the development of these coordination compounds [9,10]. The auxiliary ligands also play an important role in the construction of coordination compounds [11]. Some superior research on heterometallic coordination compounds with various functional properties have been reported [12,13,14,15].
In order to supplement and perfect the syntheses and structures of heterometallic 3d-4f coordination compounds in this study, we have synthesized a self-assembled ZnII-NdIII hetero-metallic coordination compound [Zn4Nd2(L)4(bdc)2] by one-pot reaction of the ligand H2L with ZnII acetate, NdIII nitrate, and H2bdc in a 1:1:1:1 molar ratio. Furthermore, the fluorescence properties of the ligand H2L and its ZnII-NdIII coordination compound were also studied.

2. Experimental

2.1. Materials and Physical Measurements

2-Hydroxy-3-methoxybenzaldehyde (>99%) was purchased from Alfa Aesar and used without further purification. The other reagents and solvents were analytical grade reagents from the Tianjin Chemical Reagent Factory.
C, H, and N analyses were obtained using a VarioEL V3.00 automatic elemental analysis instrument. Elemental analyses for ZnII and NdIII were detected by an IRIS ER/ S-WP-1 ICP atomic emission spectrometer. Melting points were obtained by using a microscopic melting point apparatus from the Beijing Taike Instrument Limited Company and the thermometer was uncorrected. IR spectra were recorded on a Vertex70 FT-IR spectrophotometer with samples prepared as KBr (400–4000 cm–1) pellets. UV/Vis absorption spectra were recorded on a Shimadzu UV-3900 spectrometer. Luminescence spectra in the solution were recorded on a Hitachi F-7000 spectrometer.

2.2. Synthesis of the Ligand H2L

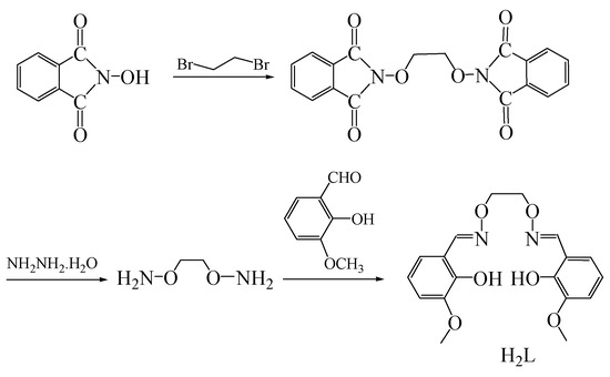
The main reaction steps involved in the synthesis of H2L are given in Scheme 1. H2L was synthesized according to the references reported earlier [16]. Yield: 74.2%. m.p. 131–133 °C. Anal. Calcd, for C18H20N2O6: C 59.99, H 5.59, N 7.77. Found: C 60.11, H 5.63, N 7.59.

2.3. Synthesis of the ZnII-NdIII Coordination Compound

A mixture of H2L (36.0 mg, 0.1 mmol), Zn(OAc)2·2H2O (21.9 mg, 0.1 mmol), and Nd(NO3)3·6H2O (45.6 mg, 0.1 mmol) in chloroform and methanol (1:2 v/v, 3 mL) was stirred for 5 min at room temperature. Afterward, a solution of H2bdc (16.6 mg, 0.1 mmol) in DMF (1 mL) was added and the mixture was stirred for another 5 min at room temperature. The mixture solution was filtered and the filtrate was kept undisturbed in the dark to avoid decomposition of the ZnII-NdIII building blocks. The yellow block-like crystals suitable for X-ray diffraction studies were obtained by vapor diffusion of diethyl ether into the filtrate for three days at room temperature. These were separated over filtration and air-dried before undergoing X-ray diffraction analysis (Scheme 2). The yield was 64.2%. Anal. Calcd. for C88H80N10Nd2Zn4O38 ([Zn4Nd2(L)4(bdc)2]·2NO3): C, 43.39; H, 3.31; N, 5.75; Nd, 11.84; Zn, 10.74. Found: C, 43.47; H, 3.49; N, 5.66; Nd, 11.71; Zn, 10.59.

2.4. X-ray Structure Determination of the ZnII-NdIII Coordination Compound

The diffraction data was collected using graphite-monochromatized Mo Kα radition (λ = 0.71073 Å) at 173(2) K. The structure was solved by using the program SHELXS-2016 and different Fourier techniques. It was refined by using the full-matrix least-squares method on F2 utilizing SHELXL-2016 [17,18]. The ZnII-NdIII coordination compound contained large void and the solvent and the positive or negative ions located in the void could not be identified because it was highly disordered and had a small residual peak. Therefore, the SQUEEZE in PLATON program was performed to remove the highly disordered solvent and ions (Solvent Accessible Volume = 916, Electrons Found in S.A.V. = 136) [19]. All hydrogen atoms were added theoretically. The crystal and experimental data are shown in Table 1.
Crystallographic data have been deposited with the Cambridge Crystallographic Data Center as supplementary publication, No. CCDC 1843972 for the ZnII-NdIII coordination compound. Copies of the data can be obtained free of charge on application to CCDC, 12 Union Road, Cambridge CB21EZ, UK (Telephone: +(44)-01223-762910; Fax: +44-1223-3360-33; E-mail: deposit@ccdc.cam.ac.uk). These data can be also obtained free of charge at www.ccdc.cam. ac.uk/conts/retrieving.htm.

3. Results and Discussion

3.1. Description of Crystal Structure of the ZnII-NdIII Coordination Compound

X-ray crystallographic analysis reveals the crystal structure of the ZnII-NdIII coordination compound. Selected bond lengths and angles are given in Table S1. The molecular structure of the ZnII-NdIII coordination compound is shown in Figure 1. The ZnII-NdIII coordination compound crystallizes in the triclinic space group P-1 and consists of four ZnII atoms, two NdIII atoms, four completely deprotonated (L)2− units, and two fully deprotonated (bdc)2− units. Two crystallographically equivalent [Zn2Nd(L)2] moieties lie near the inversion center and are linked by two bdc2− ligands. Each carboxylato group acts as a bridge between the ZnII and NdIII atoms. Each ZnII atom has a penta-coordinated environment and adopts distorted trigonal bipyramidal geometries. The dihedral angles between the coordination planes and the benzene rings of terephthalic acid are 76.79(3)° and 82.49(3)°, respectively, which is shown in Figure S1. The carboxylato group bridges the ZnII and NdIII atoms in a μ2 fashion and each NdIII atom is deca-coordinated and surrounded by ten oxygen atoms including four from the outer O8 cavity of the deprotonated ligand (L)2− and two from the bdc2− ligands. Therefore, the deca-coordinated NdIII atom adopts a distorted bicapped square antiprism coordination arrangement. Moreover, this novel 4:4:2 ((L)2−:Zn(II):Ln(III)) heterometallic Salamo-type coordination compound possesses a symmetrical structure [12,13,14,15]. This is rarely reported in comparison to the 3d-4f Salamo-type coordination compound, which has the structures of 1:1:1 [20], 2:2:1 [9], and 2:2:2 [21].

3.2. Supramolecular Interaction of the ZnII-NdIII Coordination Compound

As shown in Figure S2 and Table S2, there are abundant hydrogen bonds in the ZnII-NdIII coordination compound including six formed pairs of intramolecular C1-H1B···O8, C9-H9B···O13, C18-H18B···O15, C19-H19B···O2, C27-H27B···O16 and C36-H36B···O14 hydrogen bonds. In addition, as shown in Figure S3, the space skeleton of the ZnII-NdIII coordination compound adopts a 1D supramolecular structure by the action of C8-H8···O17, C8-H8···O19 and C39-H39···O17 hydrogen bonding [22].

3.3. IR Spectra of H2L and Its ZnII-NdIII Coordination Compound

The FT-IR spectra of H2L and its corresponding ZnII-NdIII coordination compound exhibits various bands in the 4000–400 cm−1 region (Figure S4). A typical C=N stretching band of the free ligand H2L appears at 1601 cm−1 and the ZnII-NdIII coordination compound is observed at 1607 cm−1. The changes in the spectrum of the ZnII-NdIII coordination compound show that H2L has coordinated with Zn(II) atoms. In addition, the free ligand H2L exhibits a typical Ar–O stretching frequency at 1258 cm−1 while the Ar–O stretching frequency of the ZnII-NdIII coordination compound appears at 1240 cm−1. The shifts of Ar-O stretching frequencies show the Zn-O or Nd-O bond formation between ZnII or NdIII atoms and oxygen atoms of phenolic groups [23].

3.4. UV/Vis Absorption Spectra of H2L and Its ZnII-NdIII Coordination Compound

The UV/Vis absorption spectra of the ligand H2L and its ZnII-NdIII coordination compound in the dichloromethane solutions (1.0 × 10−5 mol·L−1) at 298 K are shown in Figure S5. Clearly, the absorption spectrum of the free ligand H2L consists of three relatively intense absorption peaks centered at ca. 223 nm, 269 nm, and 317 nm. The absorption peaks at 223 nm and 269 nm can be assigned to the π–π* transition of the benzene rings and the absorption peak at 317 nm can be attributed to the intra-ligand n–π* transition of the C=N bonds [23]. Upon coordination of the ligand H2L, the π–π* transitions of the phenyl rings in the ZnII-NdIII coordination compound is bathochromically shifted to 233 nm and 280 nm, which indicates the coordination of Zn(II) and Nd(III) atoms with the ligand units, respectively [23]. Compared with the free ligand H2L, the absorption peak at 317 nm shifted to 375 nm from the UV/Vis spectrum of the ZnII-NdIII coordination compound, which indicates that the oxime nitrogen atoms are involved in coordination with the Zn(II) atoms.

3.5. Fluorescence Properties of H2L and Its ZnII-NdIII Coordination Compound

The fluorescent properties of H2L and its ZnII-NdIII coordination compound were measured at room temperature (Figure 2). The ZnII-NdIII coordination compound displays enhanced emission intensities compared to the corresponding ligand (H2L) when excited at 392 nm. The enhancement of fluorescence is due to the coordination of metal ions with the ligands. The ligand H2L exhibits a broad emission at 418 nm upon excitation at 392 nm, which should be assigned to the intraligand π–π* transition [24]. The ZnII-NdIII coordination compound shows a higher intense photoluminescence with a maximum emission at 435 nm upon excitation at 392 nm. The emission peak positions of the ZnII-NdIII coordination compound are similar to those of the free ligand H2L. The emission peaks in the spectrum of the ZnII-NdIII coordination compound may also rise from the intra-ligand transition. Compared with the emission spectrum of H2L, enhanced fluorescence intensity of the ZnII-NdIII coordination compound is observed, which indicates that the intra-ligand transition has been influenced due to the introduction of Zn(II) ions in the structure [24]. No emissions originating from metal-centered or metal-to-ligand/ligand-to-metal charge-transfer excited states are expected for the ZnII-NdIII. The emission observed in the ZnII-NdIII coordination compound is tentatively assigned to the (π–π*) intra-ligand fluorescence.

4. Conclusions

In conclusion, we discovered a new ZnII-NdIII heterometallic coordination compound [Zn4Nd2(L)4(bdc)2]·2NO3 with a Salamo-like chelating ligand H2L. The ZnII-NdIII coordination compound contains four ZnII atoms, two NdIII atoms, four completely deprotonated (L)2− units, and two fully deprotonated (bdc)2− units. All of the ZnII atoms in the ZnII-NdIII coordination compound possesses trigonal bipyramidal geometries and the NdIII atoms possesses a distorted bicapped square antiprism coordination arrangement. Furthermore, the fluorescent properties ofH2L and its ZnII-NdIII coordination compound have also been discussed.

Supplementary Materials

Figure S1: View of the dihedral angles between the benzene rings of terephthalic acid and the basal planes (N2O2 planes) of the ZnII-NdIII coordination compound. Figure S2: Intermolecular hydrogen bonding interactions of the ZnII-NdIII coordination compound (hydrogen atoms, except those forming hydrogen bonds, are omitted for clarity). Figure S3: View of the 1D supramolecular structure of the ZnII-NdIII coordination compound showing the C-H···O hydrogen bondings. Figure S4: IR spectra of H2L and its corresponding ZnII-NdIII coordination compound. Figure S5: UV/Vis absorption spectra of H2L and its ZnII-NdIII coordination compound. Table S1: Selected bond lengths (Å) and angles (°) for the ZnII-NdIII coordination compound. Table S2: Hydrogen bonding interactions [Å, deg] for the ZnII-NdIII coordination compound.

Author Contributions

W.-K.D. conceived and designed the experiments; L.-J.R. performed the experiments; J.-C.M. analyzed the data; W.-T.G. contributed reagents/materials/analysis tools; L.G. wrote the paper.

Funding

This work was supported by the Program for Excellent Team of Scientific Research in Lanzhou Jiaotong University, 201706; National Natural Science Foundation of China, 21761018.

Acknowledgments

This work was supported by the National Natural Science Foundation of China (21761018) and the Program for Excellent Team of Scientific Research at the Lanzhou Jiaotong University (201706).

Conflicts of Interest

The authors declare no conflict of interest.

References

  1. Akine, S.; Varadi, Z.; Nabeshima, T. Synthesis of planar metal complexes and the stacking abilities of naphthalenediol-based acyclic and macrocyclic salen-type ligands. Eur. J. Inorg. Chem. 2013, 2013, 5987–5998. [Google Scholar] [CrossRef]
  2. Sun, S.S.; Stern, C.L.; Nguyen, S.T.; Hupp, J.T. Directed assembly of transition-metal-coordinated molecular loops and square from Salen-type components. Examples of metalation controlled structural conversion. J. Am. Chem. Soc. 2004, 126, 6314–6326. [Google Scholar] [CrossRef] [PubMed]
  3. Chai, L.Q.; Huang, J.J.; Zhang, H.S. An unexpected cobalt(III) complex containing a Schiff base ligand: Synthesis, crystal structure, spectroscopic behavior, electrochemical property and SOD-like activity. Spectrochim. Acta Part A 2014, 131, 526–530. [Google Scholar] [CrossRef] [PubMed]
  4. Wu, H.L.; Pan, G.L.; Bai, Y.C.; Wang, H.; Kong, J.; Shi, F.R.; Zhang, Y.H.; Wang, X.L. Synthesis, structure, antioxidation, and DNA-bindingstudies of a binuclear ytterbium(III) complex with bis(N-salicylidene)-3-oxapentane-1,5-diamine. Res. Chem. Intermed. 2015, 41, 3375–3388. [Google Scholar] [CrossRef]
  5. Song, X.Q.; Liu, P.P.; Liu, Y.A.; Zhou, J.J.; Wang, X.L. Two dodecanuclear heterometallic [Zn6Ln6] clusters constructed by a multidentate salicylamide Salen-like ligand: Synthesis, structure, luminescence and magnetic properties. Dalton Trans. 2016, 45, 8154–8163. [Google Scholar] [CrossRef] [PubMed]
  6. Song, X.Q.; Peng, Y.J.; Chen, G.Q.; Wang, X.R.; Liu, P.P.; Xu, W.Y. Substituted group-directed assembly of Zn(II) coordination complexes based on two new structural related pyrazolone based Salen ligands: Syntheses, structures and fluorescence properties. Inorg. Chim. Acta 2015, 427, 13–21. [Google Scholar] [CrossRef]
  7. Chen, L.; Dong, W.K.; Zhang, H.; Zhang, Y.; Sun, Y.X. Structural variation and luminescence properties of tri- and dinuclear CuII and ZnII complexes constructed from a naphthalenediol-based bis(Salamo)-type ligand. Cryst. Growth Des. 2017, 17, 3636–3648. [Google Scholar] [CrossRef]
  8. Di Bella, S.; Fragala, I. Synthesis and second-order nonlinear optical properties of bis(salicylaldiminato)M(II) metalloorganic materials. Synth. Met. 2000, 115, 191–196. [Google Scholar] [CrossRef]
  9. Zheng, S.S.; Dong, W.K.; Zhang, Y.; Chen, L.; Ding, Y.J. Four Salamo-type 3d–4f hetero-bimetallic [ZnIILnIII] complexes: Syntheses, crystal structures, and luminescent and magnetic properties. New J. Chem. 2017, 41, 4966–4973. [Google Scholar] [CrossRef]
  10. Chen, C.Y.; Zhang, J.W.; Zhang, Y.H.; Yang, Z.H.; Wu, H.L. Gadolinium(III) and dysprosium(III) complexes with a Schiff base bis(N-salicylidene)-3-oxapentane-1,5-diamine: Synthesis, characterization, antioxidation, and DNA-binding studies. J. Coord. Chem. 2015, 68, 1054–1071. [Google Scholar] [CrossRef]
  11. Akine, S.; Taniguchi, T.; Nabeshima, T. Novel synthetic approach to trinuclear 3d-4f complexes: Specific exchange of the central metal of a trinuclear zinc(II) complex of a tetraoxime ligand with a lanthanide(III) ion. Angew. Chem. 2002, 41, 4670–4673. [Google Scholar] [CrossRef] [PubMed]
  12. Cahill, C.L.; de Lill, D.T.; Frisch, M. Homo- and heterometallic coordination polymers from the f elements. CrystEngComm 2007, 9, 15–26. [Google Scholar] [CrossRef]
  13. Huang, Y.G.; Jiang, F.L.; Hong, M.C. Magnetic lanthanide–transition-metal organic–inorganic hybrid materials: From discrete clusters to extended frameworks. Coord. Chem. Rev. 2009, 253, 2814–2834. [Google Scholar] [CrossRef]
  14. Gupta, S.; Kirillova, M.V.; Fátima, M.; Guedes da Silva, C.; Pombeiro, A.J.L.; Kirillov, A.M. Alkali metal directed assembly of heterometallic Vv/M (M = Na, K, Cs) coordination polymers: Structures, topological analysis, and oxidation catalytic properties. Inorg. Chem. 2013, 52, 8601–8611. [Google Scholar] [CrossRef] [PubMed]
  15. Sotnik, S.A.; Polunin, R.A.; Kiskin, M.A.; Kirillov, A.M.; Dorofeeva, V.N.; Gavrilenko, K.S.; Eremenko, I.L.; Novotortsev, V.M.; Kolotilov, S.V. Heterometallic coordination polymers assembled from trigonal trinuclear Fe2Ni-pivalate blocks and polypyridine spacers: Topological diversity, sorption, and catalytic properties. Inorg. Chem. 2015, 54, 5169–5181. [Google Scholar] [CrossRef] [PubMed]
  16. Akine, S.; Taniguchi, T.; Nabeshima, T. Synthesis and characterization of novel ligands 1,2-bis(salicylideneaminooxy)ethanes. Chem. Lett. 2001, 30, 682–683. [Google Scholar] [CrossRef]
  17. Sheldrick, G.M. A short history of SHELX. Acta Crystallogr. A 2008, 64, 112–122. [Google Scholar] [CrossRef] [PubMed]
  18. Sheldrick, G.M. Crystal structure refinement with SHELXL. Acta Crystallogr. C 2015, 71, 3–8. [Google Scholar] [CrossRef] [PubMed]
  19. Spek, A.L. PLATON SQUEEZE: A tool for the calculation of the disordered solvent contribution to the calculated structure factors. Acta Crystallogr. C 2015, 71, 9–18. [Google Scholar] [CrossRef] [PubMed]
  20. Dong, W.K.; Ma, J.C.; Zhu, L.C.; Zhang, Y. Nine self-assembled nickel(II)–lanthanide(III) heterometallic complexes constructed from a Salamo-type bisoxime and bearing a N- or O-donor auxiliary ligand: Syntheses, structures and magnetic properties. New J. Chem. 2016, 40, 6998–7010. [Google Scholar] [CrossRef]
  21. Wang, L.; Ma, J.C.; Dong, W.K.; Zhu, L.C.; Zhang, Y. A novel self–assembled nickel(II)–cerium(III) heterotetranuclear dimer constructed from N2O2-type bisoxime and terephthalic acid: Synthesis, structure and photophysical properties. Z. Anorg. Allg. Chem. 2016, 642, 834–839. [Google Scholar] [CrossRef]
  22. Dong, X.Y.; Zhao, Q.; Kang, Q.P.; Li, X.Y.; Dong, W.K. Self-assembly of 3d-4f ZnII-LnIII (Ln = Ho and Er) bis(salamo)-based complexes: Controlled syntheses, structures and fluorescence properties. Crystals 2018, 8, 230. [Google Scholar] [CrossRef]
  23. Dong, W.K.; Zhang, J.; Zhang, Y.; Li, N. Novel multinuclear transition metal(II) complexes based on an asymmetric Salamo-type ligand: Syntheses, structure characterizations and fluorescent properties. Inorg. Chim. Acta 2016, 444, 95–102. [Google Scholar] [CrossRef]
  24. Dong, X.Y.; Zhao, Q.; Wei, Z.L.; Mo, H.R.; Zhang, H.; Dong, W.K. Synthesis and fluorescence properties of structurally characterized heterobimetalic Cu(II)–Na(I) bis(salamo)-based complex bearing square planar, square pyramid and triangular prism geometries of metal centers. Crystals 2018, 23, 1006. [Google Scholar] [CrossRef] [PubMed]
Sample Availability: Samples of the compounds are available from the authors.
Scheme 1. The synthetic route to H2L.
Scheme 1. The synthetic route to H2L.
Molecules 23 01609 sch001
Scheme 2. Assemble route for the ZnII-NdIII coordination compound.
Scheme 2. Assemble route for the ZnII-NdIII coordination compound.
Molecules 23 01609 sch002
Figure 1. (a) Molecular structure and atom numberings of the ZnII-NdIII coordination compound (hydrogen atoms are omitted for clarity); (b) Coordination polyhedra of the ZnII and NdIII atoms.
Figure 1. (a) Molecular structure and atom numberings of the ZnII-NdIII coordination compound (hydrogen atoms are omitted for clarity); (b) Coordination polyhedra of the ZnII and NdIII atoms.
Molecules 23 01609 g001
Figure 2. Fluorescence spectra of H2L and its corresponding ZnII-NdIII coordination compound.
Figure 2. Fluorescence spectra of H2L and its corresponding ZnII-NdIII coordination compound.
Molecules 23 01609 g002
Table 1. Crystal data and structure refinement for the ZnII-NdIII coordination compound.
Table 1. Crystal data and structure refinement for the ZnII-NdIII coordination compound.
Coordination CompoundZnII-NdIII
Empirical FormulaC88H80N10Nd2Zn4O38
Molecular Weight2435.58
Colorcolorless
Crystal Size, mm0.270 × 0.250 × 0.220
HabitBlock-shaped
Crystal SystemTriclinic
Space GroupP-1
Unit Cell Dimension
a, Å12.5088(9)
b, Å16.0858(12)
c, Å16.2996(12)
α, °69.0298(19)
β, °83.1411(18)
γ, °87.649(2)
Volume, Å33040.6(4)
Z1
Calculated Density, mg·m–31.330
Absorption Coefficient, mm–11.688
F(000)1222
θ Range for Data Collection, °1.346 to 27.756
h/k/l (min, max)−16, 16/−14, 21/−20, 21
Reflections Collected25,768
Completeness98.5%
Data/Restraints/Parameters13,926/3/644
Final R Indices [I > 2σ(I)]R1 = 0.0422, wR2 = 0.1254
R Indices (All Data)R1 = 0.0606, wR2 = 0.1294
Largest Diff. Peak and Hole (e·Å–3)1.033, −0.898

Share and Cite

MDPI and ACS Style

Ru, L.-J.; Gao, L.; Guo, W.-T.; Ma, J.-C.; Dong, W.-K. A Self-Assembled ZnII-NdIII Heterohexanuclear Dimer Based on a Hexadentate N2O4-Type Ligand and Terephthalic Acid: Synthesis, Structure, and Fluorescence Properties. Molecules 2018, 23, 1609. https://doi.org/10.3390/molecules23071609

AMA Style

Ru L-J, Gao L, Guo W-T, Ma J-C, Dong W-K. A Self-Assembled ZnII-NdIII Heterohexanuclear Dimer Based on a Hexadentate N2O4-Type Ligand and Terephthalic Acid: Synthesis, Structure, and Fluorescence Properties. Molecules. 2018; 23(7):1609. https://doi.org/10.3390/molecules23071609

Chicago/Turabian Style

Ru, Li-Jun, Lei Gao, Wen-Ting Guo, Jian-Chun Ma, and Wen-Kui Dong. 2018. "A Self-Assembled ZnII-NdIII Heterohexanuclear Dimer Based on a Hexadentate N2O4-Type Ligand and Terephthalic Acid: Synthesis, Structure, and Fluorescence Properties" Molecules 23, no. 7: 1609. https://doi.org/10.3390/molecules23071609

APA Style

Ru, L.-J., Gao, L., Guo, W.-T., Ma, J.-C., & Dong, W.-K. (2018). A Self-Assembled ZnII-NdIII Heterohexanuclear Dimer Based on a Hexadentate N2O4-Type Ligand and Terephthalic Acid: Synthesis, Structure, and Fluorescence Properties. Molecules, 23(7), 1609. https://doi.org/10.3390/molecules23071609

Article Metrics

Back to TopTop