Three New Cytotoxic Steroidal Alkaloids from Sarcococca hookeriana
Abstract
:1. Introduction
2. Results and Discussion
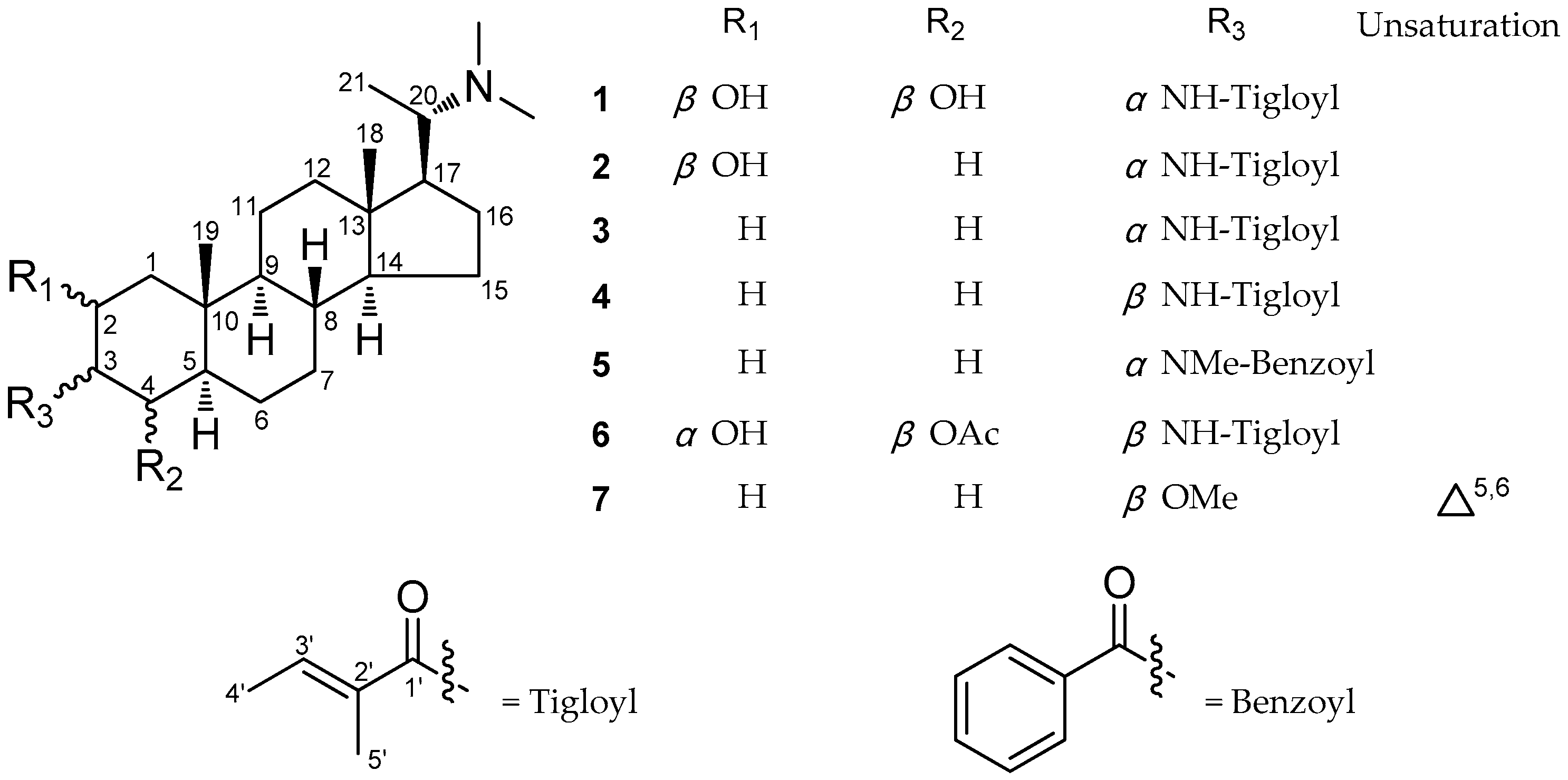
2.1. Structure Elucidation of Compounds
2.2. Results of the Cytotoxicity Test
3. Materials and Methods
3.1. General Experimental Procedures
3.2. Plant Material
3.3. Extraction and Isolation
3.3.1. Sarchookloide A (1)
3.3.2. Sarchookloide B (2)
3.3.3. Sarchookloide C (3)
3.4. Cytotoxicity Assay
4. Conclusions
Supplementary Materials
Author Contributions
Acknowledgments
Conflicts of Interest
References
- Editorial Committee of Flora of China. Flora Reipublicae Popularis Sinicae; Science Press: Beijing, China, 2004; Volume 45, pp. 41–56. [Google Scholar]
- Editorial Committee of Zhong Hua Ben Cao. Zhong Hua Ben Cao; Shanghai Scientific and Technological Press: Shanghai, China, 1999; Volume 13, pp. 224–227. [Google Scholar]
- Zhang, Y.Y.; Li, T.Y.; Tang, F.; Yang, L.N. Parmacodynamics study in Li medicine plants Sarcococca vagans Stapf. Chin. J. Ethnomed. Ethnopharm. 2016, 26, 46–48. [Google Scholar]
- Li, H.C.; Yang, J.; Yuan, D.P.; Liu, Y. Advances in studies on chemical constituents in plants of Sarcococca hookeriana and their biological activities. Lishizhen Med. Mater. Med. Res. 2016, 27, 1711–1713. [Google Scholar]
- Ullah Jan, N.; Ali, A.; Ahmad, B.; Iqbal, N.; Adhikari, A.; Inayat Ur, R.; Musharraf, S.G. Evaluation of antidiabetic potential of steroidal alkaloid of Sarcococca saligna. Biomed. Pharmacoth. 2018, 100, 461–466. [Google Scholar]
- Zhang, P.; Shao, L.; Shi, Z.; Zhang, Y.; Du, J.; Cheng, K.; Yu, P. Pregnane alkaloids from Sarcococca ruscifolia and their cytotoxic activity. Phytochem. Lett. 2015, 14, 31–34. [Google Scholar] [CrossRef]
- Adhikari, A.; Vohra, M.I.; Jabeen, A.; Dastagir, N.; Choudhary, M.I. Antiinflammatory steroidal alkaloids from Sarcococca wallichii of Nepalese origin. Nat. Prod. Commun. 2015, 10, 1533–1536. [Google Scholar]
- Zhang, P.Z.; Wang, F.; Yang, L.J.; Zhang, G.L. Pregnane alkaloids from Sarcococca hookeriana var. digyna. Fitoterapia 2013, 89, 143–148. [Google Scholar] [PubMed]
- Yan, Y.X.; Sun, Y.; Chen, J.C.; Wang, Y.Y.; Li, Y.; Qiu, M.H. Cytotoxic steroids from Sarcococca saligna. Planta Med. 2011, 77, 1725–1729. [Google Scholar] [CrossRef] [PubMed]
- Devkota, K.P.; Wansi, J.D.; Lenta, B.N.; Khan, S.; Choudhary, M.I.; Sewald, N. Bioactive steroidal alkaloids from Sarcococca hookeriana. Planta Med. 2010, 76, 1022–1025. [Google Scholar] [CrossRef] [PubMed]
- Choudhary, M.I.; Adhikari, A.; Samreen; Atta Ur, R. Antileishmanial steroidal alkaloids from roots of Sarcococca coriacea. J. Chem. Soc. Pakistan 2010, 32, 799–802. [Google Scholar]
- Devkota, K.P.; Lento, B.N.; Wansi, J.D.; Choudhary, M.I.; Sewald, N. Cholinesterase inhibiting, antileishmanial and antiplasmodial steroidal alkaloids from Sarcococca hookeriana of Nepalese origin. Planta Med. 2008, 74, 979. [Google Scholar] [CrossRef]
- Devkota, K.P.; Lenta, B.N.; Wansi, J.D.; Choudhary, M.I.; Kisangau, D.P.; Naz, Q.; Sewald, N. Bioactive 5 alpha-pregnane-type steroidal alkaloids from Sarcococca hookeriana. J. Nat. Prod. 2008, 71, 1481–1484. [Google Scholar] [CrossRef] [PubMed]
- Devkota, K.P.; Lenta, B.N.; Choudhary, M.I.; Naz, Q.; Fekam, F.B.; Rosenthal, P.J.; Sewald, N. Cholinesterase inhibiting and antiplasmodial steroidal alkaloids from Sarcococca hookeriana. Chem. Pharm. Bull. 2007, 55, 1397–1401. [Google Scholar] [CrossRef] [PubMed]
- Devkota, K.P.; Choudhary, M.I.; Ranjit, R.; Samreen; Sewald, N. Structure activity relationship studies on antileishmanial steroidal alkaloids from Sarcococca hookeriana. Nat. Prod. Res. 2007, 21, 292–297. [Google Scholar] [CrossRef] [PubMed]
- He, K.; Du, J. Two new steroidal alkaloids from the roots of Sarcococca ruscifolia. J. Asian Nat. Prod. Res. 2010, 12, 233–238. [Google Scholar] [CrossRef] [PubMed]
- Qiu, M.H.; Nie, R.L.; Li, Z.R. Chemical structure and activity screening of pachysandra alkaloids. Acta Bot. Yunnanica 1994, 16, 296–300. [Google Scholar]
- Yu, S.S.; Zou, Z.M.; Zen, J.; Yu, D.Q.; Cong, P.Z. Four new steroidal alkaloids from the roots of Sarcococca vagans. Chin. Chem. Lett. 1997, 8, 511–514. [Google Scholar]
- Qiu, M.H.; Nie, R.L.; Li, Z.R.; Zhou, J. Three new steroidal alkaloids from Pachysandra axillaris. Acta Bot. Sin. 1990, 32, 626–630. [Google Scholar]
- Naeem, I.; Khan, N.; Choudhary, M.I.; Rahman, A. Alkaloids of Sarcococca saligna. Phytochemistry 1996, 43, 903–906. [Google Scholar] [CrossRef]
- Qiu, M.H.; Wang, D.Z.; Nie, R.L. Study on 13C NMR of pachysandra alkaloids. Chin. J. Magn. Reson. 1995, 12, 155–165. [Google Scholar]
- Mosmann, T. Rapid colorimetric assay for cellular growth and survival: Application to proliferation and cytotoxicity assays. J. Immunol. Methods 1983, 65, 55–63. [Google Scholar] [CrossRef]
- Reed, L.J.; Muench, H. A simple method of estimating fifty percent endpoint. Am. J. Hyg. 1938, 27, 493–497. [Google Scholar]
Sample Availability: Samples of the compounds 1–7 are available from the authors. |


| Position | 1 | 2 | 3 | |||
|---|---|---|---|---|---|---|
| δH (J in Hz) | δC | δH (J in Hz) | δC | δH (J in Hz) | δC | |
| 1 | 1.67, 1.69, m | 44.2 | 1.16, 1.87, m | 40.6 | 0.95, 1.56, m | 33.6 |
| 2 | 3.88, ddd (13.4, 6.7, 6.8) | 69.0 | 3.97, brs (W1/2 14.8) | 69.6 | 1.64, 1.71, m | 26.2 |
| 3 | 3.99, ddd (7.8, 6.8, 5.1) | 58.4 | 4.03, m | 50.8 | 4.14, m | 44.8 |
| 4 | 3.78, dd, (7.8, 3.9) | 76.3 | 1.23, 2.04, m | 28.8 | 1.39, 1.55, m | 33.0 |
| 5 | 1.26, m | 45.5 | 1.07, m | 41.8 | 1.11, m | 41.5 |
| 6 | 1.41, 1.79, m | 24.4 | 1.48, 1.85, m | 27.9 | 1.48, 1.87, m | 27.8 |
| 7 | 1.01, 1.77, m | 32.2 | 0.91, 1.68, m | 32.1 | 0.88, 1.68, m | 32.1 |
| 8 | 1.37, m | 35.3 | 1.39, m | 34.9 | 1.36, m | 35.5 |
| 9 | 0.71, m | 57.0 | 1.05, m | 56.8 | 0.68, m | 54.7 |
| 10 | - | 36.0 | - | 35.9 | - | 36.2 |
| 11 | 1.35, 1.44, m | 21.0 | 1.30, 1.50, m | 21.0 | 1.22, 1.51, m | 20.9 |
| 12 | 1.12, 1.90, m | 39.9 | 1.09, 1.90, m | 40.0 | 1.08, 1.88, m | 40.0 |
| 13 | - | 42.1 | - | 41.8 | - | 41.5 |
| 14 | 1.03, m | 56.8 | 0.66, m | 55.6 | 1.04, m | 56.8 |
| 15 | 1.10, 1.60, m | 24.2 | 1.06, 1.58, m | 24.2 | 1.03, 1.57, m | 24.2 |
| 16 | 1.50, 1.84, m | 27.9 | 1.35, 1.44, m | 28.4 | 1.19, m | 28.6 |
| 17 | 1.34, m | 54.8 | 1.32, m | 54.8 | 1.33, m | 54.7 |
| 18 | 0.67, s | 12.6 | 0.64, s | 12.6 | 0.63, s | 12.5 |
| 19 | 1.21, s | 19.3 | 1.02, s | 14.5 | 0.79, s | 11.6 |
| 20 | 2.50, m | 61.6 | 2.45, m | 61.6 | 2.45, m | 61.6 |
| 21 | 0.92, d, (6.4) | 10.2 | 0.89, d, (6.4) | 10.2 | 0.88, d, (6.4) | 10.3 |
| NMe2 | 2.23, s | 39.8 | 2.20, s | 39.9 | 2.20, s | 39.9 |
| C=O | - | 170.6 | - | 169.2 | - | 168.8 |
| 2′ | - | 131.4 | - | 132.2 | - | 132.6 |
| 3′ | 6.45, q, (6.9) | 132.1 | 6.37, q, (6.9) | 130.8 | 6.36, q, (6.9) | 130.2 |
| 4′ | 1.76, d, (6.9) | 14.3 | 1.75, d, (6.9) | 14.2 | 1.73, d, (6.9) | 14.1 |
| 5′ | 1.84, s | 12.6 | 1.84, s | 12.7 | 1.83, s | 12.7 |
| NH | 6.09, d, (5.1) | - | 5.82, d, (7.4) | - | 5.93, d, (6.6) | - |
| 2-OH | 2.84, d, (7.2) | - | - | - | - | - |
| 4-OH | 4.40, d, (3.0) | - | - | - | - | - |
| Compounds | Cell Lines | ||||
|---|---|---|---|---|---|
| Hela | A549 | MCF-7 | SW480 | CEM | |
| 1 | 4.13 ± 0.14 | 2.53 ± 0.15 | 4.47 ± 0.06 | 6.42 ± 0.10 | 4.26 ± 0.11 |
| 2 | 7.93 ± 0.09 | 8.73 ± 0.16 | 28.53 ± 0.17 | 8.97 ± 0.10 | 31.83 ± 0.25 |
| 3 | 1.24 ± 0.10 | 2.87 ± 0.14 | 2.53 ± 0.12 | 3.08 ± 0.14 | 3.43 ± 0.13 |
| 4 | 2.43 ± 0.11 | 2.98 ± 0.17 | 3.70 ± 0.26 | 26.04 ± 0.21 | 3.05 ± 0.13 |
| 5 | 1.06 ± 0.14 | 1.18 ± 0.11 | 2.23 ± 0.15 | 1.49 ± 0.10 | 1.05 ± 0.06 |
| 6 | 1.38 ± 0.09 | 4.96 ± 0.12 | 1.65 ± 0.09 | 3.76 ± 0.14 | 6.06 ± 0.16 |
| 7 | >100 | >100 | >100 | >100 | >100 |
| Adriamycin c | 0.62 ± 0.08 | 0.77 ± 0.06 | 1.26 ± 0.05 | 1.19 ± 0.11 | 0.98 ± 0.08 |
© 2018 by the authors. Licensee MDPI, Basel, Switzerland. This article is an open access article distributed under the terms and conditions of the Creative Commons Attribution (CC BY) license (http://creativecommons.org/licenses/by/4.0/).
Share and Cite
He, K.; Wang, J.; Zou, J.; Wu, J.; Huo, S.; Du, J. Three New Cytotoxic Steroidal Alkaloids from Sarcococca hookeriana. Molecules 2018, 23, 1181. https://doi.org/10.3390/molecules23051181
He K, Wang J, Zou J, Wu J, Huo S, Du J. Three New Cytotoxic Steroidal Alkaloids from Sarcococca hookeriana. Molecules. 2018; 23(5):1181. https://doi.org/10.3390/molecules23051181
Chicago/Turabian StyleHe, Kang, Jinxi Wang, Juan Zou, Jichun Wu, Shaojie Huo, and Jiang Du. 2018. "Three New Cytotoxic Steroidal Alkaloids from Sarcococca hookeriana" Molecules 23, no. 5: 1181. https://doi.org/10.3390/molecules23051181
APA StyleHe, K., Wang, J., Zou, J., Wu, J., Huo, S., & Du, J. (2018). Three New Cytotoxic Steroidal Alkaloids from Sarcococca hookeriana. Molecules, 23(5), 1181. https://doi.org/10.3390/molecules23051181
