Facile Syntheses and Molecular-Docking of Novel Substituted 3,4-Dimethyl-1H-pyrrole-2-carboxamide/carbohydrazide Analogues with Antimicrobial and Antifungal Properties
Abstract
:1. Introduction
2. Results and Discussion
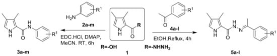
2.1. Chemistry
2.2. Antibacterial Activity
2.3. Antifungal Activity
2.4. Molecular Docking
3. Materials and Methods
3.1. Chemistry: General Information
3.2. General Procedure for Synthesis of 3,4-Dimethyl-1H-pyrrole-2-carboxamides 3a–m
3.3. General Procedure for the Synthesis of 3,4-Dimethyl-1H-pyrrole-2-carbohydrazides 5a–l
3.4. Bioassays
3.4.1. In Vitro Antibacterial Assay
3.4.2. In Vitro Antifungal Assay
3.5. Molecular Docking
4. Conclusions
Supplementary Materials
Acknowledgments
Author Contributions
Conflicts of Interest
References
- Husain, A.; Madhesia, D. Heterocyclic Compounds as Carbonic Anhydrase Inhibitor. J. Enzym. Inhib. Med. Chem. 2012, 27, 773–783. [Google Scholar] [CrossRef] [PubMed]
- Aronov, A.M.; Tang, Q.; Martinez-Botella, G.; Bemis, G.W.; Cao, J.; Chen, G.; Ewing, N.P.; Ford, P.J.; Germann, U.A.; Green, J.; et al. Structure-Guided Design of Potent and Selective Pyrimidylpyrrole Inhibitors of Extracellular Signal-Regulated Kinase (ERK) using Conformational Control. J. Med. Chem. 2009, 52, 6362–6368. [Google Scholar] [CrossRef] [PubMed]
- Hoffmann, H.; Lindel, T. Synthesis of the Pyrrole-ImidazoleAlkaloids. Synthesis 2003, 2003, 1753–1783. [Google Scholar]
- Kennedy, J.P.; Brogan, J.T.; Lindsley, C.W. Total Synthesis and Biological Evaluation of the Marine Bromopyrrole Alkaloid Dispyrin: Elucidation of Discrete Molecular Targets with Therapeutic Potential. J. Nat. Prod. 2008, 71, 1783–1786. [Google Scholar] [CrossRef] [PubMed]
- Cafieri, F.; Carnuccio, R.; Fattorusso, E.; Taglialatela-Scafati, O.; Vallefuoco, T. Anti-Histaminic Activity of Bromopyrrole Alkaloids Isolated from Caribbean Agelas Sponges. Bioorg. Med. Chem. Lett. 1997, 7, 2283–2288. [Google Scholar] [CrossRef]
- Keifer, P.A.; Schwartz, R.E.; Koker, M.E.S.; Hughes, R.G.; Rittschof, D.; Rinehart, K.L. Bioactive Bromopyrrole Metabolites from the Caribbean Sponge Agelas Conifera. J. Org. Chem. 1991, 56, 2965–2975. [Google Scholar] [CrossRef]
- Okano, K.; Tokuyama, H.; Fukuyama, T. Total Synthesis of (+)-Yatakemycin. J. Am. Chem. Soc. 2006, 128, 7136–7137. [Google Scholar] [CrossRef] [PubMed]
- Werner, S.; Iyer, P.S.; Fodor, M.D.; Coleman, C.M.; Twining, L.A.; Mitasev, B.; Brummond, K.M. Solution-Phase Synthesis of a Tricyclic Pyrrole-2-Carboxamide Discovery Library Applying a Stetter−Paal−Knorr Reaction Sequence. J. Comb. Chem. 2006, 8, 368–380. [Google Scholar] [CrossRef] [PubMed]
- D’Ambrosio, M.; Guerriero, A.; Pietra, F.; Ripamonti, M.; Debitus, C.; Waikedre, J. The Active Centres of Agelastatin A, a Strongly Cytotoxic Alkaloid of the Coral Sea Axinellid Sponge Agelas Dendromorpha, as Determined by Comparative Bioassays with Semisynthetic Derivatives. Helv. Chim. Acta 1996, 79, 727–735. [Google Scholar] [CrossRef]
- Palermo, J.A.; Rodríguez Brasco, M.F.; Seldes, A.M. Storniamides A–D: Alkaloids from a Patagonian Sponge Cliona Sp. Tetrahedron 1996, 52, 2727–2734. [Google Scholar] [CrossRef]
- Grokhovsky, S.L.; Nikolaev, V.A.; Gottikh, B.P.; Zhuze, A.L. DNA Sequence-Specific Ligands: XI.* the Synthesis and Binding to DNA of Bis-Netropsins with the C-Ends of their Netropsin Fragments Tethered by Tetra- or Pentamethylene Linkers. Russ. J. Bioorg. Chem. 2002, 28, 455–469. [Google Scholar] [CrossRef]
- Trautwein, A.W.; Süßmuth, R.D.; Jung, G. Hantzsch Pyrrole Synthesis on Solid Support. Bioorg. Med. Chem. Lett. 1998, 8, 2381–2384. [Google Scholar] [CrossRef]
- Attanasi, O.A.; De Crescentini, L.; Filippone, P.; Mantellini, F.; Tietze, L.F. Solid-Phase Synthesis of 4-Triphenylphosphoranylidene-4,5-Dihydropyrazol-5-Ones, 4-Aminocarbonyl-Pyrroles, 4-Methoxy-1H-Pyrazol-5(2H)-Ones and 2-Thiazolin-4-Ones from Polymer-Bound 1,2-Diaza-1,3-Butadienes. Tetrahedron 2001, 57, 5855–5863. [Google Scholar] [CrossRef]
- Marcotte, F.; Rombouts, F.J.R.; Lubell, W.D. Diversity-Oriented Synthesis of Functionalized Pyrrolo[3,2-d]Pyrimidines with Variation of the Pyrimidine Ring Nitrogen Substituents. J. Org. Chem. 2003, 68, 6984–6987. [Google Scholar] [CrossRef] [PubMed]
- Sun, L.; Cui, J.; Liang, C.; Zhou, Y.; Nematalla, A.; Wang, X.; Chen, H.; Tang, C.; Wei, J. Rational Design of 4,5-Disubstituted-5,7-Dihydro-Pyrrolo[2,3-d]Pyrimidin-6-Ones as a Novel Class of Inhibitors of Epidermal Growth Factor Receptor (EGF-R) and Her2(p185erbB) Tyrosine Kinases. Bioorg. Med. Chem. Lett. 2002, 12, 2153–2157. [Google Scholar] [CrossRef]
- Pinna, G.; Pirisi, M.A.; Chelucci, G.; Mussinu, J.M.; Murineddu, G.; Loriga, G.; D’Aquila, P.S.; Serra, G. Synthesis and D2-Like Binding Affinity of New Derivatives of N-(1-Ethyl-2-Pyrrolidinylmethyl)-4,5-Dihydro-1H-Benzo[G]Indole-3-Carboxamide and Related 4H-[1]Benzothiopyrano[4,3-B]Pyrrole and 5,6-Dihydro-4H-Benzo[6,7]Cyclohepta[B]Pyrrole-3-Carboxamide Analogues. Bioorg. Med. Chem. 2002, 10, 2485–2496. [Google Scholar] [PubMed]
- Manley, J.M.; Kalman, M.J.; Conway, B.G.; Ball, C.C.; Havens, J.L.; Vaidyanathan, R. Early Amidation Approach to 3-[(4-Amido)Pyrrol-2-Yl]-2-Indolinones. J. Org. Chem. 2003, 68, 6447–6450. [Google Scholar] [CrossRef] [PubMed]
- Valeur, E.; Bradley, M. Amide Bond Formation: Beyond the Myth of Coupling Reagents. Chem. Soc. Rev. 2009, 38, 606–631. [Google Scholar] [CrossRef] [PubMed]
- Ikeda, D.; Gomi, S.; Hamada, M.; Kondo, S.; Takeuchi, T. Low Toxic Derivatives of Istamycin B: Synthesis and Preliminary Evaluation. Drugs Exp. Clin. Res. 1992, 18, 205–216. [Google Scholar] [PubMed]
- Akira, A.; Sakai, Y.; Ogawa, H.; Yoshinori, Y.; Kakita, S.; Ochiai, K.; Ashizawa, T.; Mihara, A.; Mizukami, T.; Nakano, H. Pyrronamycin A and B, Novel Antitumor Antibiotics Containing Pyrrole-Amide Repeating Unit, Produced by Streptomyces Sp. J. Antibiot. 2000, 56, 66–69. [Google Scholar]
- Dikio, C.W.; Okoli, B.J.; Mtunzi, F.M. Synthesis of New Anti-Bacterial Agents: Hydrazide Schiff Bases of Vanadium Acetylacetonate Complexes. Cogent Chem. 2017, 3. [Google Scholar] [CrossRef]
- Lekshmy, R.K.; Thara, G.S. Synthesis and Characterization of Copper Complexes of Schiff Base Derived from Isatin and Salicylic Hydrazide. AIP Conf. 2014, 1620, 230–234. [Google Scholar]
- El-Faham, A.; Farooq, M.; Khattab, S.N.; Elkayal, A.M.; Ibrahim, M.F.; Abutaha, N.; Wadaan, M.A.; Hamed, E.A. Synthesis and Biological Activity of Schiff Base Series of Valproyl, N-Valproyl Glycinyl, and N-Valproyl-4-Aminobenzoyl Hydrazide Derivatives. Chem. Pharm. Bull. 2014, 62, 591–599. [Google Scholar] [CrossRef] [PubMed]
- Bhosale, J.D.; Shirolkar, A.R.; Pete, U.D.; Zade, C.M.; Mahajan, D.P.; Hadole, C.D.; Pawar, S.D.; Patil, U.D.; Dabur, R.; Bendre, R.S. Synthesis, Characterization and Biological Activities of Novel Substituted Formazans of 3,4-Dimethyl-1H-Pyrrole-2-Carbohydrazide Derivatives. J. Pharm. Res. 2013, 7, 582–587. [Google Scholar] [CrossRef]
- Tsakos, M.; Schaffert, E.S.; Clement, L.L.; Villadsen, N.L.; Poulsen, T.B. Ester Coupling Reactions—An Enduring Challenge in the Chemical Synthesis of Bioactive Natural Products. Nat. Prod. Rep. 2015, 32, 605–632. [Google Scholar] [CrossRef] [PubMed]
- Hargrove, T.Y.; Wawrzak, Z.; Lamb, D.C.; Guengerich, F.P.; Lepesheva, G.I. Structure-Functional Characterization of Cytochrome P450 Sterol 14a-Demethylase (CYP51B) from Aspergillus Fumigatus and Molecular Basis for the Development of Antifungal Drugs. J. Biol. Chem. 2015, 290, 23916–23934. [Google Scholar] [CrossRef] [PubMed]
- Cruickshank, R.; Duguid, J.P.; Marmion, B.P.; Swain, R.H.A. Medicinal Microbiology—Volume 2, 2nd ed.; Churchill Livingstone: London, UK, 1975. [Google Scholar]
- Tiwari, S.V.; Seijas, J.A.; Vazquez-Tato, M.P.; Sarkate, A.P.; Karnik, K.S.; Nikalje, A.P.G. Facile Synthesis of Novel Coumarin Derivatives, Antimicrobial Analysis, Enzyme Assay, Docking Study, ADMET Prediction and Toxicity Study. Molecules 2017, 22. [Google Scholar] [CrossRef] [PubMed]
- Collins, A.H. Microbiological Methods, 2nd ed.; Butterworth: London, UK, 1976. [Google Scholar]
- Khan, Z.K. In Vitro and In Vivo Screening Techniques for Bioactivity Screening and Evaluation. In Proceedings of the International Workshop UNIDO-CDRI, Lucknow, India, 2–5 December 1997; pp. 210–211. [Google Scholar]
- Chapla, V.M.; Zeraik, M.L.; Leptokarydis, I.H.; Silva, G.H.; Bolzani, V.S.; Young, M.C.; Pfenning, L.H.; Araujo, A.R. Antifungal Compounds Produced by Colletotrichum Gloeosporioides, an Endophytic Fungus from Michelia Champaca. Molecules 2014, 19, 19243–19252. [Google Scholar] [CrossRef] [PubMed]
- Jarrahpour, A.; Khalili, D.; De Clercq, E.; Salmi, C.; Brunel, J.M. Synthesis, Antibacterial, Antifungal and Antiviral Activity Evaluation of some New Bis-Schiff Bases of Isatin and their Derivatives. Molecules 2007, 12, 1720–1730. [Google Scholar] [CrossRef] [PubMed]
- Friesner, R.A.; Banks, J.L.; Murphy, R.B.; Halgren, T.A.; Klicic, J.J.; Mainz, D.T.; Repasky, M.P.; Knoll, E.H.; Shelley, M.; Perry, J.K.; et al. Glide: A New Approach for Rapid, Accurate Docking and Scoring. 1. Method and Assessment of Docking Accuracy. J. Med. Chem. 2004, 47, 1739–1749. [Google Scholar] [CrossRef] [PubMed]
- Kontoyianni, M.; Sokol, G.S.; McClellan, L.M. Evaluation of Library Ranking Efficacy in Virtual Screening. J. Comput. Chem. 2005, 26, 11–22. [Google Scholar] [CrossRef] [PubMed]
- Aouad, M.R.; Mayaba, M.M.; Naqvi, A.; Bardaweel, S.K.; Al-Blewi, F.F.; Messali, M.; Rezki, N. Design, Synthesis, in Silico and in Vitro Antimicrobial Screenings of Novel 1,2,4-Triazoles Carrying 1,2,3-Triazole Scaffold with Lipophilic Side Chain Tether. Chem. Cent. J. 2017, 11. [Google Scholar] [CrossRef] [PubMed]
- Hashemi, S.M.; Badali, H.; Faramarzi, M.A.; Samadi, N.; Afsarian, M.H.; Irannejad, H.; Emami, S. Novel Triazole Alcohol Antifungals Derived from Fluconazole: Design, Synthesis, and Biological Activity. Mol. Divers. 2015, 19, 15–27. [Google Scholar] [CrossRef] [PubMed]
- Wu, J.; Ni, T.; Chai, X.; Wang, T.; Wang, H.; Chen, J.; Jin, Y.; Zhang, D.; Yu, S.; Jiang, Y. Molecular Docking, Design, Synthesis and Antifungal Activity Study of Novel Triazole Derivatives. Eur. J. Med. Chem. 2018, 143, 1840–1846. [Google Scholar] [CrossRef] [PubMed]
- Hargrove, T.Y.; Garvey, E.P.; Hoekstra, W.J.; Yates, C.M.; Wawrzak, Z.; Rachakonda, G.; Villalta, F.; Lepesheva, G.I. Crystal Structure of the New Investigational Drug Candidate VT-1598 in Complex with Aspergillus Fumigatus Sterol 14alpha-Demethylase Provides Insights into its Broad-Spectrum Antifungal Activity. Antimicrob. Agents Chemother. 2017, 61. [Google Scholar] [CrossRef] [PubMed]
- Arif, T.; Mandal, T.K.; Kumar, N.; Bhosale, J.D.; Hole, A.; Sharma, G.L.; Padhi, M.M.; Lavekar, G.S.; Dabur, R. In Vitro and in Vivo Antimicrobial Activities of Seeds of Caesalpinia Bonduc (Lin.) Roxb. J. Ethnopharmacol. 2009, 123, 177–180. [Google Scholar] [CrossRef] [PubMed]
- Bhosale, J.D.; Khond, M.; Mandal, T.K.; Bendre, R.S.; Dabur, R. Identification and Characterization of Two Novel Antimicrobial Compounds from Jasminum Grandiflorum L. World Appl. Sci. J. 2011, 66, 47–51. [Google Scholar]
- Coyle, M.B. Manual of Antimicrobial Susceptibility Testing-American Society for Microbiology; Library of Congress Cataloging-in-Publication Dat: Seattle, WA, USA, 2005. [Google Scholar]
- Tenover, F.C. Antibiotic Susceptibility Testing A2—Schaechter, Moselio. In Encyclopedia of Microbiology, 3rd ed.; Academic Press: Oxford, UK, 2009; pp. 67–77. [Google Scholar]
- Pagadala, N.S.; Syed, K.; Tuszynski, J. Software for Molecular Docking: A Review. Biophys. Rev. 2017, 9, 91–102. [Google Scholar] [CrossRef] [PubMed]
Sample Availability: Samples of the compounds are not available from the authors. |


| Compounds (Yield) | R1 | Compounds (Yield) | R1 | ||||||
|---|---|---|---|---|---|---|---|---|---|
| 2a | 3a (87%) | 4a | 5a (88%) | H | 2h | 3h (93%) | 4g | 5g (92%) | 4-Br |
| 2b | 3b (85%) | - | - | 2-Me | 2i | 3i (81%) | - | - | 2-NO2 |
| 2c | 3c (87%) | 4b | 5b (92%) | 4-Me | 2j | 3j (83%) | 4h | 5h (73%) | 3-NO2 |
| - | - | 4c | 5c (92%) | 4-NH2 | - | - | 4i | 5i (76%) | 4-NO2 |
| 2d | 3d (88%) | - | - | 2-F | 2k | 3k (82%) | - | - | 2,6-di-NO2 |
| 2e | 3e (87%) | 4d | 5d (86%) | 4-F | - | - | 4j | 5j (83%) | 3-OH |
| 2f | 3f (86%) | - | - | 2-Cl | 2l | 3l (83%) | - | - | 2-OMe |
| 2g | 3g (87%) | 4e | 5e (87%) | 4-Cl | 2m | 3m (85%) | 4k | 5k (87%) | 4-OMe |
| - | - | 4f | 5f (79%) | 2,6-di-Cl | - | - | 4l | 5l (97%) | 3,4-di-OMe |


| MIC (mg/mL) | |||||||||||
|---|---|---|---|---|---|---|---|---|---|---|---|
| Comp. | PA | EC | KP | ST | BS | Comp. | PA | EC | KP | ST | BS |
| 3a | 0.625 | 0.625 | 1.25 | 1.25 | 1.25 | 5a | 1.25 | 2.5 | 1.25 | 0.312 | 1.25 |
| 3b | 1.25 | 0.625 | 1.25 | 1.25 | 1.25 | 5b | 2.5 | 2.5 | 2.5 | 0.625 | 1.25 |
| 3c | 1.25 | 0.625 | 1.25 | 1.25 | 1.25 | 5c | 0.312 | 0.312 | 1.25 | 0.312 | 0.625 |
| 3d | 0.625 | 0.625 | 1.25 | 1.25 | 0.625 | 5d | 2.5 | 1.25 | 0.625 | 2.5 | 2.5 |
| 3e | 0.625 | 0.625 | 1.25 | 1.25 | 1.25 | 5e | 2.5 | 2.5 | 1.25 | 0.312 | 1.25 |
| 3f | 1.25 | 0.625 | 1.25 | 1.25 | 1.25 | 5f | 0.078 | 5.0 | 0.078 | 0.039 | 1.25 |
| 3g | 0.625 | 0.625 | 1.25 | 0.625 | 1.25 | 5g | 1.25 | 2.5 | 2.5 | 0.156 | 1.25 |
| 3h | 1.25 | 0.625 | 1.25 | 1.25 | 1.25 | 5h | 1.25 | 2.5 | 1.25 | 1.25 | 1.25 |
| 3i | 0.625 | 0.625 | 0.625 | 1.25 | 1.25 | 5i | 0.312 | 0.312 | 0.312 | 0.312 | 1.25 |
| 3j | 0.312 | 0.625 | 0.625 | 0.625 | 0.625 | 5j | 1.25 | 1.25 | 1.25 | 1.25 | 1.25 |
| 3k | 0.312 | 0.078 | 0.625 | 0.625 | 0.625 | 5k | 2.5 | 1.25 | 0.625 | 2.5 | 2.5 |
| 3l | 1.25 | 0.625 | 1.25 | 1.25 | 1.25 | 5l | 2.5 | 1.25 | 2.5 | 2.5 | 2.5 |
| 3m | 1.25 | 0.625 | 1.25 | 1.25 | 1.25 | TC | 0.00125 | 0.01 | 0.000312 | 0.01 | 0.00125 |
| MIC (mg/mL) | |||||||
|---|---|---|---|---|---|---|---|
| Comp | Aspergillus niger | Aspergillus fumigatus | Aspergillus flavus | Comp. | Aspergillus niger | Aspergillus fumigatus | Aspergillus flavus |
| 3a | 0.625 | 0.625 | 0.312 | 5a | 0.625 | 1.25 | 1.25 |
| 3b | 0.625 | 0.625 | 0.312 | 5b | 0.078 | 0.625 | 0.156 |
| 3c | 0.625 | 0.312 | 0.312 | 5c | 0.312 | 0.156 | 0.156 |
| 3d | 0.625 | 0.625 | 0.625 | 5d | 1.25 | 0.156 | 0.625 |
| 3e | 0.312 | 0.156 | 0.312 | 5e | 0.078 | 1.25 | 1.25 |
| 3f | 0.312 | 0.312 | 0.312 | 5f | 1.25 | 0.156 | 0.625 |
| 3g | 0.625 | 0.625 | 0.625 | 5g | 0.078 | 2.5 | 1.25 |
| 3h | 0.625 | 0.156 | 0.625 | 5h | 1.25 | 0.039 | 0.625 |
| 3i | 0.625 | 0.625 | 0.625 | 5i | 1.25 | 0.039 | 1.25 |
| 3j | 0.312 | 0.312 | 0.156 | 5j | 0.312 | 0.039 | 0.312 |
| 3k | 0.312 | 0.156 | 0.312 | 5k | 1.25 | 0.156 | 0.625 |
| 3l | 0.625 | 0.625 | 0.156 | 5l | 1.25 | 0.312 | 1.25 |
| 3m | 0.625 | 0.625 | 0.312 | - | - | - | - |
| AMP * | 0.00125 | 0.000156 | 0.000156 | FCZ * | 0.00061 | 0.0195 | 0.0049 |
© 2018 by the authors. Licensee MDPI, Basel, Switzerland. This article is an open access article distributed under the terms and conditions of the Creative Commons Attribution (CC BY) license (http://creativecommons.org/licenses/by/4.0/).
Share and Cite
Bhosale, J.D.; Dabur, R.; Jadhav, G.P.; Bendre, R.S. Facile Syntheses and Molecular-Docking of Novel Substituted 3,4-Dimethyl-1H-pyrrole-2-carboxamide/carbohydrazide Analogues with Antimicrobial and Antifungal Properties. Molecules 2018, 23, 875. https://doi.org/10.3390/molecules23040875
Bhosale JD, Dabur R, Jadhav GP, Bendre RS. Facile Syntheses and Molecular-Docking of Novel Substituted 3,4-Dimethyl-1H-pyrrole-2-carboxamide/carbohydrazide Analogues with Antimicrobial and Antifungal Properties. Molecules. 2018; 23(4):875. https://doi.org/10.3390/molecules23040875
Chicago/Turabian StyleBhosale, Jitendra D., Rajesh Dabur, Gopal P. Jadhav, and R. S. Bendre. 2018. "Facile Syntheses and Molecular-Docking of Novel Substituted 3,4-Dimethyl-1H-pyrrole-2-carboxamide/carbohydrazide Analogues with Antimicrobial and Antifungal Properties" Molecules 23, no. 4: 875. https://doi.org/10.3390/molecules23040875
APA StyleBhosale, J. D., Dabur, R., Jadhav, G. P., & Bendre, R. S. (2018). Facile Syntheses and Molecular-Docking of Novel Substituted 3,4-Dimethyl-1H-pyrrole-2-carboxamide/carbohydrazide Analogues with Antimicrobial and Antifungal Properties. Molecules, 23(4), 875. https://doi.org/10.3390/molecules23040875

