Determination and Visualization of Peimine and Peiminine Content in Fritillaria thunbergii Bulbi Treated by Sulfur Fumigation Using Hyperspectral Imaging with Chemometrics
Abstract
:1. Introduction
2. Results and Discussion
2.1. Spectral Profiles
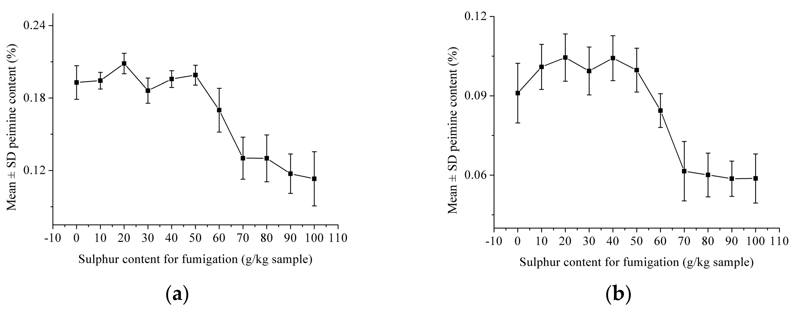
2.2. Analysis of Peimine and Peiminine Content under Different Levels of Sulfur Fumigation
2.3. Sample Set Division
2.4. Optimal Wavelength Selection
2.5. Regression Models Using Full Spectra and Optimal Wavelengths
2.6. Prediction Maps of Peimine and Peimine Content in Fritillaria thunbergii Bulbi
3. Materials and Methods
3.1. Sample Preparation
3.2. Hyperspectral Image Acquisition and Spectra Extraction
3.3. Chemical Analysis of Peimine and Peiminine Content in Fritillaria thunbergii Bulbi
3.4. Data Analysis Methods
3.4.1. Regression Methods
3.4.2. Optimal Wavelength Selection Methods
3.4.3. Model Evaluation and Software
4. Conclusions
Acknowledgments
Author Contributions
Conflicts of Interest
References
- Duan, B.; Huang, L.; Chen, S. Study on the destructive effect to inherent quality of Fritillaria thunbergii Miq. (Zhebeimu) by sulfur-fumigated process using chromatographic fingerprinting analysis. Phytomed. Int. J. Phytother. Phytopharm. 2012, 19, 562–568. [Google Scholar] [CrossRef] [PubMed]
- Jiang, X.; Huang, L.F.; Zheng, S.H.; Chen, S.L. Sulfur fumigation, a better or worse choice in preservation of Traditional Chinese Medicine? Phytomed. Int. J. Phytother. Phytopharm. 2013, 20, 97–105. [Google Scholar] [CrossRef] [PubMed]
- Li, S.L.; Lin, G.; Chan, S.W.; Li, P. Determination of the major isosteroidal alkaloids in bulbs of Fritillaria by high-performance liquid chromatography coupled with evaporative light scattering detection. J. Chromatogr. A 2001, 909, 207–214. [Google Scholar] [CrossRef]
- Li, S.L.; Chan, S.W.; Li, P.; Lin, G.; Zhou, G.H.; Ren, Y.J.; Chiu, F.C. Pre-column derivatization and gas chromatographic determination of alkaloids in bulbs of Fritillaria. J. Chromatogr. A 1999, 859, 183. [Google Scholar] [CrossRef]
- Chan, C.O.; Chu, C.C.; Mok, K.W.; Chau, F.T. Analysis of berberine and total alkaloid content in Cortex Phellodendri by near infrared spectroscopy (NIRS) compared with high-performance liquid chromatography coupled with ultra-visible spectrometric detection. Anal. Chim. Acta 2007, 592, 121–131. [Google Scholar] [CrossRef] [PubMed]
- Nie, L.; Dai, Z.; Ma, S. Enhanced accuracy of near-infrared spectroscopy for traditional Chinese medicine with competitive adaptive reweighted sampling. Anal. Lett. 2016, 49, 2259–2267. [Google Scholar] [CrossRef]
- Wang, X.; Wang, X.; Guo, Y. Rapidly simultaneous determination of six effective components in cistanche tubulosa by near infrared spectroscopy. Molecules 2017, 22, 843. [Google Scholar] [CrossRef] [PubMed]
- Erkinbaev, C.; Henderson, K.; Paliwal, J. Discrimination of gluten-free oats from contaminants using near infrared hyperspectral imaging technique. Food Control 2017, 80, 197–203. [Google Scholar] [CrossRef]
- Zhang, N.; Liu, X.; Jin, X. Determination of total iron-reactive phenolics, anthocyanins and tannins in wine grapes of skins and seeds based on near-infrared hyperspectral imaging. Food Chem. 2017, 237, 811–817. [Google Scholar] [CrossRef] [PubMed]
- Washburn, K.E.; Stormo, S.K.; Skjelvareid, M.H.; Heia, K. Non-invasive assessment of packaged cod freeze-thaw history by hyperspectral imaging. J. Food Eng. 2017, 205, 64–73. [Google Scholar] [CrossRef]
- Munera, S.; Besada, C.; Aleixos, N.; Talens, P.; Salvador, A.; Sun, D-W.; Cubero, S.; Blasco, J. Non-destructive assessment of the internal quality of intact persimmon using colour and VIS/NIR hyperspectral imaging. LWT-Food Sci. Technol. 2017, 77, 241–248. [Google Scholar] [CrossRef]
- Zheng, X.; Peng, Y.; Wang, W. A nondestructive real-time detection method of total viable count in pork by hyperspectral imaging technique. Appl. Sci. 2017, 7, 213. [Google Scholar] [CrossRef]
- Mollazade, K. Non-destructive identifying level of browning development in button mushroom (agaricus bisporus) using hyperspectral imaging associated with chemometrics. Food Anal. Methods 2017, 10, 2743–2754. [Google Scholar] [CrossRef]
- Mo, C.; Kim, M.S.; Kim, G.; Lim, J.; Delwiche, S.R.; Chao, K.; Lee, H.; Cho, B.K. Spatial assessment of soluble solid contents on apple slices using hyperspectral imaging. Biosyst. Eng. 2017, 159, 10–21. [Google Scholar] [CrossRef]
- Shi, J.Y.; Hu, X.T.; Zou, X.B.; Zhao, J.W.; Zhang, W.; Holmes, M.; Huang, X.W.; Zhu, Y.D.; Li, Z.H.; Shen, T.T.; et al. A rapid and nondestructive method to determine the distribution map of protein, carbohydrate and sialic acid on Edible bird’s nest by hyper-spectral imaging and chemometrics. Food Chem. 2017, 229, 235–241. [Google Scholar] [CrossRef] [PubMed]
- Bock, C.H.; Poole, G.H.; Parker, P.E.; Gottwald, T.R. Plant disease severity estimated visually, by digital photography and image analysis, and by hyperspectral imaging. Crit. Rev. Plant Sci. 2010, 29, 59–107. [Google Scholar] [CrossRef]
- Gowen, A.A.; O'Donnell, C.P.; Cullen, P.J.; Downey., G.; Frias, J.M. Hyperspectral imaging—An emerging process analytical tool for food quality and safety control. Trends Food Sci. Technol. 2007, 18, 590–598. [Google Scholar] [CrossRef]
- Manea, D. Hyperspectral imaging in the medical field: Present and future. Appl. Spectrosc. Rev. 2014, 49, 435–447. [Google Scholar]
- Gowen, A.A.; O‘Donnell, C.P.; Cullen, P.J.; Bell, S.E. Recent applications of Chemical Imaging to pharmaceutical process monitoring and quality control. Eur. J. Pharm. Biopharm. 2008, 69, 10. [Google Scholar] [CrossRef] [PubMed]
- Zhang, H.; Wu, T.; Zhang, L.; Zhang, P. Development of a portable field imaging spectrometer: Application for the identification of sun-dried and sulfur-fumigated Chinese herbals. Appl. Spectrosc. 2016, 70, 879. [Google Scholar] [CrossRef] [PubMed]
- Sandasi, M.; Vermaak, I.; Chen, W.; Viljoen, A.M. Hyperspectral imaging and chemometric modeling of echinacea—a novel approach in the quality control of herbal medicines. Molecules 2014, 19, 13104–13121. [Google Scholar] [CrossRef] [PubMed]
- He, J.; Zhang, C.; He, Y. Application of near-infrared hyperspectral imaging to detect sulfur dioxide residual in the Fritillaria thunbergii bulbus treated by sulfur fumigation. Appl. Sci. 2017, 7, 77. [Google Scholar] [CrossRef]
- Geladi, P.; Kowalski, B.R. Partial least-squares regression: A tutorial. Anal. Chim. Acta 1986, 185, 1–17. [Google Scholar] [CrossRef]
- Zhang, C.; Xu, N.; Luo, L.; Liu, F.; Kong, W.; Feng, L.; He, Y. Detection of aspartic acid in fermented cordyceps powder using near infrared spectroscopy based on variable selection algorithms and multivariate calibration methods. Food Bioprocess Technol. 2014, 7, 598–604. [Google Scholar] [CrossRef]
- Huang, G.B.; Zhu, Q.Y.; Siew, C.K. Extreme learning machine: Theory and applications. Neurocomputing 2006, 70, 489–501. [Google Scholar] [CrossRef]
- Zhang, C.; Jiang, H.; Liu, F.; He, Y. Application of near-infrared hyperspectral imaging with variable selection methods to determine and visualize caffeine content of coffee beans. Food Bioprocess Technol. 2016, 10, 1–9. [Google Scholar] [CrossRef]
- Zhang, C.; Liu, F.; Kong, W.; He, Y. Application of visible and near-infrared hyperspectral imaging to determine soluble protein content in oilseed rape leaves. Sensors 2015, 15, 16576–16588. [Google Scholar] [CrossRef] [PubMed]
- Li, H.; Liang, Y.; Xu, Q.; Cao, D. Key wavelengths screening using competitive adaptive reweighted sampling method for multivariate calibration. Anal. Chim. Acta 2009, 648, 77. [Google Scholar] [CrossRef] [PubMed]
- Li, H.D.; Xu, Q.S.; Liang, Y.Z. Random frog: An efficient reversible jump Markov chain Monte Carlo-like approach for variable selection with applications to gene selection and disease classification. Anal. Chim. Acta 2012, 740, 20–26. [Google Scholar] [CrossRef] [PubMed]
Sample Availability: Samples of Fritillaria thunbergii bulbus are available from the authors. |



| Calibration Set | Prediction Set | |||||
|---|---|---|---|---|---|---|
| Range (%) | Mean (%) | SD (%) | Range (%) | Mean (%) | SD (%) | |
| Peimine | 0.0729–0.2261 | 0.1678 | 0.0387 | 0.1025–0.2119 | 0.1647 | 0.0353 |
| Peiminine | 0.0382–0.1203 | 0.0849 | 0.0212 | 0.0422–0.1120 | 0.0811 | 0.0203 |
| Methods a | Number | Wavelength (nm) | |
|---|---|---|---|
| Peimine | SPA | 9 | 1558, 1517, 1416, 1372, 1646, 1035, 999, 1456, 1234 |
| Bw | 13 | 975, 1042, 1123, 1207, 1291, 1338, 1372, 1413, 1456, 1483, 1558, 1609, 1646 | |
| CARS | 26 | 978, 988, 999, 1002, 1009, 1015, 1025, 1035, 1039, 1049, 1066, 1220, 1234, 1241, 1274, 1389, 1396, 1419, 1440, 1477, 1494, 1497, 1514, 1517, 1544, 1639 | |
| RF | 26 | 1521, 1517, 1039, 1544, 1497, 1500, 1558, 1035, 1009, 1015, 1244, 995, 1002, 1234, 1210, 1059, 1241, 1494, 1019, 1561, 1062, 1551, 988, 999, 1207, 1514 | |
| Peiminine | SPA | 8 | 1379, 1348, 999, 1305, 975, 1416, 1646, 1544 |
| Bw | 13 | 975, 1012, 1126, 1164, 1244, 1335, 1375, 1423, 1460, 1490, 1558, 1609, 1646 | |
| CARS | 21 | 1005, 1019, 1042, 1059, 1082, 1210, 1230, 1244, 1332, 1345, 1365, 1369, 1514, 1521, 1534, 1554, 1558, 1575, 1592, 1598, 1619 | |
| RF | 26 | 1019, 1521, 1578, 1595, 1592, 1575, 1554, 1619, 1517, 1005, 1615, 1598, 1558, 1544, 1244, 1588, 1234, 1524, 1015, 1342, 1500, 1247, 995, 1345, 999, 1039 |
| Models | Parameters a | Calibration Set | Prediction Set | |||||
|---|---|---|---|---|---|---|---|---|
| rc | RMSEC (%) | rcv | RMSECV (%) | rp | RMSEP (%) | |||
| Full spectra | PLS | 7 | 0.868 | 0.0192 | 0.843 | 0.0208 | 0.853 | 0.0210 |
| LS–SVM | 2.0059 × 1010 1.8416 × 109 | 0.890 | 0.0176 | 0.849 | 0.0204 | 0.863 | 0.0204 | |
| ELM | 33 | 0.907 | 0.0163 | 0.839 | 0.211 | 0.905 | 0.0200 | |
| SPA b | PLS | 7 | 0.876 | 0.0186 | 0.851 | 0.0202 | 0.875 | 0.0192 |
| LS–SVM | 1.7088 × 109 8.4531 × 106 | 0.880 | 0.0183 | 0.855 | 0.0200 | 0.867 | 0.0196 | |
| ELM | 35 | 0.911 | 0.0159 | 0.835 | 0.0221 | 0.886 | 0.0198 | |
| Bw b | PLS | 7 | 0.871 | 0.0189 | 0.849 | 0.0204 | 0.861 | 0.0201 |
| LS–SVM | 3.113 × 108 6.5634 × 106 | 0.881 | 0.0182 | 0.853 | 0.0201 | 0.856 | 0.0203 | |
| ELM | 34 | 0.907 | 0.0163 | 0.852 | 0.0205 | 0.890 | 0.0196 | |
| CARS b | PLS | 9 | 0.879 | 0.0183 | 0.842 | 0.0208 | 0.860 | 0.0210 |
| LS–SVM | 1.3383 × 1011 2.0197 × 107 | 0.909 | 0.0160 | 0.860 | 0.0197 | 0.883 | 0.0208 | |
| ELM | 36 | 0.918 | 0.0153 | 0.858 | 0.0199 | 0.898 | 0.0224 | |
| RF b | PLS | 12 | 0.802 | 0.0230 | 0.703 | 0.0276 | 0.771 | 0.0270 |
| LS–SVM | 3.0511 × 1010 2.6138 × 106 | 0.826 | 0.0218 | 0.708 | 0.0273 | 0.791 | 0.0260 | |
| ELM | 39 | 0.844 | 0.0206 | 0.720 | 0.0271 | 0.818 | 0.0270 | |
| Models | Parameters a | Calibration Set | Prediction Set | |||||
|---|---|---|---|---|---|---|---|---|
| rc | RMSEC (%) | rcv | RMSECV (%) | rp | RMSEP (%) | |||
| Full spectra | PLS | 8 | 0.867 | 0.0105 | 0.832 | 0.0117 | 0.853 | 0.0115 |
| LS–SVM | 2.2493 × 109 3.1678 × 107 | 0.908 | 0.0089 | 0.848 | 0.0112 | 0.850 | 0.0123 | |
| ELM | 34 | 0.916 | 0.0085 | 0.843 | 0.0114 | 0.872 | 0.0120 | |
| SPA b | PLS | 7 | 0.874 | 0.0102 | 0.855 | 0.0109 | 0.846 | 0.0119 |
| LS–SVM | 9.5254 × 109 7.8625 × 107 | 0.875 | 0.0102 | 0.855 | 0.0109 | 0.846 | 0.0119 | |
| ELM | 35 | 0.901 | 0.0092 | 0.842 | 0.0114 | 0.852 | 0.0127 | |
| Bw b | PLS | 7 | 0.865 | 0.0106 | 0.841 | 0.0114 | 0.865 | 0.0109 |
| LS–SVM | 4.7160 × 1010 9.2121 × 108 | 0.877 | 0.0101 | 0.848 | 0.0112 | 0.855 | 0.0114 | |
| ELM | 15 | 0.878 | 0.0101 | 0.860 | 0.0108 | 0.867 | 0.0111 | |
| CARS b | PLS | 10 | 0.888 | 0.0097 | 0.853 | 0.0110 | 0.824 | 0.0131 |
| LS–SVM | 1.3132 × 1011 2.4395 × 107 | 0.911 | 0.0087 | 0.869 | 0.0104 | 0.807 | 0.0141 | |
| ELM | 25 | 0.907 | 0.0089 | 0.871 | 0.0104 | 0.816 | 0.0174 | |
| RF b | PLS | 8 | 0.853 | 0.0110 | 0.819 | 0.0121 | 0.823 | 0.0125 |
| LS–SVM | 1.9460 × 1010 1.8240 × 107 | 0.868 | 0.0105 | 0.822 | 0.0120 | 0.831 | 0.0124 | |
| ELM | 31 | 0.885 | 0.0098 | 0.823 | 0.0122 | 0.830 | 0.0135 | |
© 2017 by the authors. Licensee MDPI, Basel, Switzerland. This article is an open access article distributed under the terms and conditions of the Creative Commons Attribution (CC BY) license (http://creativecommons.org/licenses/by/4.0/).
Share and Cite
He, J.; He, Y.; Zhang, A.C. Determination and Visualization of Peimine and Peiminine Content in Fritillaria thunbergii Bulbi Treated by Sulfur Fumigation Using Hyperspectral Imaging with Chemometrics. Molecules 2017, 22, 1402. https://doi.org/10.3390/molecules22091402
He J, He Y, Zhang AC. Determination and Visualization of Peimine and Peiminine Content in Fritillaria thunbergii Bulbi Treated by Sulfur Fumigation Using Hyperspectral Imaging with Chemometrics. Molecules. 2017; 22(9):1402. https://doi.org/10.3390/molecules22091402
Chicago/Turabian StyleHe, Juan, Yong He, and And Chu Zhang. 2017. "Determination and Visualization of Peimine and Peiminine Content in Fritillaria thunbergii Bulbi Treated by Sulfur Fumigation Using Hyperspectral Imaging with Chemometrics" Molecules 22, no. 9: 1402. https://doi.org/10.3390/molecules22091402
APA StyleHe, J., He, Y., & Zhang, A. C. (2017). Determination and Visualization of Peimine and Peiminine Content in Fritillaria thunbergii Bulbi Treated by Sulfur Fumigation Using Hyperspectral Imaging with Chemometrics. Molecules, 22(9), 1402. https://doi.org/10.3390/molecules22091402

