Synthesis, Characterization, Antimicrobial and Antiproliferative Activity Evaluation of Cu(II), Co(II), Zn(II), Ni(II) and Pt(II) Complexes with Isoniazid-Derived Compound
Abstract
:1. Introduction
2. Results and Discussion
2.1. Chemistry
2.1.1. X-ray Crystallography
2.1.2. Infrared Spectra and Coordination Mode
2.1.3. 1H-NMR and 13C-NMR (Hydrogen and Carbon Nuclear Magnetic Resonance) Spectra
2.1.4. Electronic Spectra and Magnetic Studies
2.1.5. Mass Spectra
2.1.6. Thermal Decomposition
2.1.7. Electron Paramagnetic Resonance (EPR) Spectra
2.2. Solubility Tests
2.3. Daphnia magna Toxicity Assay
2.4. Antibacterial and Antifungal Activity
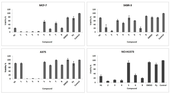
2.5. Antiproliferative Activity
3. Experimental Section
3.1. General Information
3.2. Synthesis
3.2.1. Synthesis of the N-Isonicotinoyl-N′-(3-Metoxy-2 Hydroxybenzaldehyde)-Hydrazone (HL)
3.2.2. General Procedure for the Preparation of the Metal Complexes (1–8).
3.3. Solubility Tests
Materials and Method
3.4. Daphnia magna Toxicity Assay
3.4.1. Materials and Methods
3.4.2. Statistical Analysis
3.5. Antibacterial and Antifungal Activity
3.6. Cytotoxic Activity
3.6.1. Preparation of Tested Substances Solutions
3.6.2. Cell Culture
3.6.3. Cell Viability Assay: Alamar Blue In Vitro Analysis
4. Conclusions
Supplementary Materials
Acknowledgments
Author Contributions
Conflicts of Interest
References
- Zhang, Y.; Young, D.B. Molecular mechanisms of isoniazid: A drug at the front line of tuberculosis control. Trends Microbiol. 1993, 1, 109–113. [Google Scholar] [CrossRef]
- Vikramjeet, J.; Balasubramanian, N.; Munish, A. Isoniazid: The magic molecule. Med. Chem. Res. 2012, 21, 3940–3957. [Google Scholar]
- Misra, A.; Hickey, A.J.; Rossi, C.; Borchard, G.; Terada, H.; Makino, K.; Fourie, P.B.; Colombo, P. Inhaled drug therapy for treatment of tuberculosis. Tuberculosis 2011, 91, 71–81. [Google Scholar] [CrossRef] [PubMed]
- Abdel-Aziz, H.A.; Aboul-Fadl, T.; Al-Obaid, A.R.; Ghazzali, M.; Al-Dhfyan, A.; Contini, A. Design, Synthesis and Pharmacophoric Model Building of Novel Substituted Nicotinic Acid Hydrazones with Potential Antiproliferative Activity. Arch. Pharm. Res. 2012, 35, 1543–1552. [Google Scholar] [CrossRef] [PubMed]
- Zaky, R.R.; Yousef, T.A.; Ibrahim, K.M. Co(II), Cd(II), Hg(II) and U(VI)O2 complexes of o-hydroxyacetophenone [N-(3-hydroxy-2-naphthoyl)] hydrazone: Physicochemical study, thermal studies and antimicrobial activity. Spectrochim. Acta Part A 2012, 97, 683–694. [Google Scholar] [CrossRef] [PubMed]
- Sedaghat, T.; Tahmasbi, L.; Motamedi, H.; Reyes-Martinezc, R.; Morales-Morales, D. Diorganotin(IV) complexes with furan-2-carbohydrazone derivatives: Synthesis, characterization, crystal structure and antibacterial activity. J. Coord. Chem. 2013, 66, 712–724. [Google Scholar] [CrossRef]
- Pulya, A.V.; Seifullina, I.I.; Skorokho, L.S.; Vlasenk, V.G. Synthesis, Structure, and Properties of the Cu(II) Coordination Compounds with the Pyruvic Acid Nicotinoyl and Isonicotinoyl Hydrazones. Russ. J. Gen. Chem. 2013, 83, 1673–1677. [Google Scholar] [CrossRef]
- Arshad, N.; Yunus, U.; Razzque, S.; Khan, M.; Saleem, S.; Mirza, B.; Rashid, N. Electrochemical and spectroscopic investigations of isoniazide and its analogs with ds.DNA at physiological pH: Evaluation of biological activities. Eur. J. Med. Chem. 2012, 47, 452–461. [Google Scholar] [CrossRef] [PubMed]
- Rollas, S.; Kucukguzel, S.G. Biological Activities of Hydrazone Derivatives. Molecules 2007, 12, 1910–1939. [Google Scholar] [CrossRef] [PubMed]
- Socea, L.I.; Şaramet, I.; Socea, B.; Drǎghici, C. Noi compuşi heterociclici cu acţiune antimicrobianǎ obţinuţi prin ciclizarea unei N1-aciltiosemicarbazide. Rev. Chim. 2007, 58, 328–331. [Google Scholar]
- De Souza, A.O.; Galetti, F.C.S.; Silva, C.L.; Bicalho, B.; Parma, M.M.; Fonseca, S.F.; Ruchirawat, S.; Kittakoop, P. Antimycobacterial and cytotoxicity activity of synthetic and natural compounds. Quim. Nova 2007, 30, 1563–1566. [Google Scholar] [CrossRef]
- Despaigne, A.A.R.; Parrilha, G.L.; Izidoro, J.B.; Costa, P.R.; Santos, R.G.; Piro, O.E.; Castellano, E.E.; Rocha, W.R.; Beraldo, H. 2-Acetylpyridine- and 2-benzoylpyridine-derived hydrazones and their gallium(III) complexes are highly cytotoxic to glioma cells. Eur. J. Med. Chem. 2012, 50, 163–172. [Google Scholar] [CrossRef] [PubMed]
- Benítez, J.; Cavalcanti de Queiroz, A.; Correia, I.; Alves, M.A.; Alexandre-Moreira, M.S.; Barreiro, E.J.; Lima, L.M.; Varela, J.; González, M.; Cerecetto, H.; et al. New oxidovanadium(IV) N-acylhydrazone complexes: Promising antileishmanial and antitrypanosomal agents. Eur. J. Med. Chem. 2013, 62, 20–27. [Google Scholar] [CrossRef] [PubMed]
- Raja, D.S.; Bhuvanesh, N.S.P.; Natarajan, K. Structure–activity relationship study of copper(II) complexes with 2-oxo-1,2-dihydroquinoline-3-carbaldehyde(4′-methylbenzoyl) hydrazone: Synthesis, structures, DNA and protein interaction studies, antioxidative and cytotoxic activity. J. Biol. Inorg. Chem. 2012, 17, 223–237. [Google Scholar] [CrossRef] [PubMed]
- Barry, A. Procedures and theoretical considerations for testing antimicrobial agents in agar media. In Antibiotics in Laboratory Medicine, 5th ed.; Williams and Wilkins: Baltimore, MD, USA, 1991; pp. 1–16. [Google Scholar]
- National Committee for Clinical Laboratory Standard. NCCLS: Methods for Anti-Microbial Dilution and Disk Susceptibility Testing of Infrequently Isolated or Fastidious Bacteria, Approved Guideline; Document M45-A 26(19); NCCLS: Villanova, PA, USA, 1999. [Google Scholar]
- Geary, W.J. The use of conductivity measurements in organic solvents for the characterization of coordination compounds. Coord. Chem. Rev. 1971, 7, 81–115. [Google Scholar] [CrossRef]
- Yang, D.S. Syntheses, characterization and crystal structures of two structurally similar Schiff bases isonicotinic acid [1-(3-methoxy-2-hydroxyphenyl)methylidene]hydrazide and isonicotinic acid [1-(4-dimethylaminophenyl)methylidene]hydrazide monohydrate. J. Chem. Crystallogr. 2007, 37, 343–348. [Google Scholar] [CrossRef]
- John, R.P.; Sreekanth, A.; Kurup, M.R.P.; Usman, A.; Razak, I.A.; Fun, H.K. Spectral studies and structure of a 2-hydroxyacetophenone 3-hexamethyleneiminyl thiosemicarbazone copper(II) complex containing 1,10-phenanthroline. Spectrochim. Acta 2003, 59, 1349–1358. [Google Scholar] [CrossRef]
- Abdel-Nasser, M.A.A. Synthesis, spectroscopic characterization, molecular modeling and potentiometric studies of Co(II), Ni(II), Cu(II) and Zn(II) complexes with 1,1-diaminobutane-Schiff base. J. Mol. Struct. 2014, 1072, 103–113. [Google Scholar]
- Mosae Selvakumar, P.; Suresh, E.; Subramanian, P.S. Synthesis, spectral characterization and structural investigation on some 4-aminoantipyrine containing Schiff base Cu(II) complexes and their molecular association. Polyhedron 2007, 26, 749–756. [Google Scholar] [CrossRef]
- Nakamoto, K. Infrared and Raman Spectra of Inorganic and Coordination Compounds, 5th ed.; Wiley-Interscience: New York, NY, USA, 1997; p. 86. [Google Scholar]
- Patel, R.N.; Gundla, V.L.N.; Patel, D.K. Synthesis, structure and properties of some copper(II) complexes containing an ONO donor Schiff base and substituted imidazole ligands. Polyhedron 2008, 27, 1054–1060. [Google Scholar] [CrossRef]
- Raphael, P.F.; Manoj, E.; Prathapachandra Kurup, M.R. Copper(II) complexes of N(4)-substituted thiosemicarbazones derived from pyridine-2-carbaldehyde: Crystal structure of a binuclear complex. Polyhedron 2007, 26, 818–828. [Google Scholar] [CrossRef]
- Ibrahim, K.M.; Bekheit, M.M. Synthesis and characterization of new metal complexes of thiosemicarbazone derived from 4-phenyl-3-thiosemicarbazide and chromone-3-carboxaldehyde. Transit. Met. Chem. 1988, 13, 230–232. [Google Scholar] [CrossRef]
- Kannappan, R.; Tanase, S.; Mutikainen, I.; Turpeinen, U.; Reedijk, J. Low-spin iron(III) Schiff-base complexes with symmetric hexadentate ligands: Synthesis, crystal structure, spectroscopic and magnetic properties. Polyhedron 2006, 25, 1646–1654. [Google Scholar] [CrossRef]
- Ali, A.Q.; Teoh, S.G.; Salhin, A.; Eltayeb, N.E.; Ahamed, M.B.K.; Majid, A.M.S.A. Synthesis of platinum(II) complexes of isatin thiosemicarbazones derivatives: In vitro anti-cancer and deoxyribose nucleic acid binding activities. Inorg. Chim. Acta 2014, 416, 235–244. [Google Scholar] [CrossRef]
- McCleverty, J.A.; Meyer, T.J. Comprehensive Coordination Chemistry: Ligands, Complexes, Synthesis, Purification, and Structure; Pergamon Press: New York, NY, USA, 1987; Volume 1, p. 274. [Google Scholar]
- Carlin, R.L. Transition Metal Chemistry, 2nd ed.; Marcel Decker: New York, NY, USA, 1965. [Google Scholar]
- Lever, A.P.B. Inorganic Electronic Spectroscopy, 2nd ed.; Elsevier Science: New York, NY, USA, 1984. [Google Scholar]
- Kivelson, D.; Neiman, R. ESR Studies on the Bonding in Copper Complexes. J. Chem. Phys. 1961, 35, 149–155. [Google Scholar] [CrossRef]
- Hankare, P.P.; Naravane, S.R.; Bhuse, V.M.; Delekar, S.D.; Jagtap, A.H. Synthesis and characterization of Mn(II), Co(II), Ni(II), Cu(II) and Zn(II) azo coumarin complexes. Indian J. Chem. 2004, 43, 1464–1467. [Google Scholar]
- Pahontu, E.; Julea, F.; Rosu, T.; Purcarea, V.; Chumakov, Y.; Petrenco, P.; Gulea, A. Antibacterial, antifungal and in vitro antileukaemia activity of metal complexes with thiosemicarbazones. J. Cell. Mol. Med. 2015, 19, 865–878. [Google Scholar] [CrossRef] [PubMed]
- Pahontu, E.; Paraschivescu, C.; Ilies, D.C.; Poirier, D.; Oprean, C.; Paunescu, V.; Gulea, A.; Rosu, T.; Bratu, O. Synthesis and Characterization of Novel Cu(II), Pd(II) and Pt(II) Complexes with 8-Ethyl-2-hydroxytricyclo(7.3.1.02,7)tridecan-13-onethiosemicarbazone: Antimicrobial and in Vitro Antiproliferative Activity. Molecules 2016, 21, 674–692. [Google Scholar] [CrossRef] [PubMed]
- Hathaway, B.J.; Billing, D.E. The electronic properties and stereochemistry of mononuclear complexes of the copper(II) ion. Coord. Chem. Rev. 1970, 5, 143–207. [Google Scholar] [CrossRef]
- Pahonțu, E.; Ilieș, D.C.; Shova, S.; Paraschivescu, C.; Badea, M.; Gulea, A.; Roșu, T. Synthesis, Characterization, Crystal Structure and Antimicrobial Activity of Copper(II) Complexes with the Schiff Base Derived from 2-Hydroxy-4-Methoxybenzaldehyde. Molecules 2015, 20, 5771–5792. [Google Scholar] [CrossRef] [PubMed]
- Joseph, M.; Kuriakose, M.; Kurup, M.R.P.; Suresh, E.; Kishore, A.; Bhat, S.G. Structural, antimicrobial and spectral studies of copper(II) complexes of 2-benzoylpyridine N(4)-phenyl thiosemicarbazone. Polyhedron 2006, 25, 61–70. [Google Scholar] [CrossRef]
- Maki, A.H.; McGarvey, B.R. Electron Spin Resonance in Transition Metal Chelates. I. Copper(II) Bis-Acetylacetonate. J. Chem. Phys. 1958, 29, 31–34. [Google Scholar] [CrossRef]
- Hathaway, B.J. Structure and Bondin; Springer: Heidelberg, Germany, 1973; p. 60. [Google Scholar]
- Hathaway, B.J. Comprehensive Coordination Chemistry: Late Transition Elements; Wilkinson, G., Gillard, D.R., McCleverty, A.J., Eds.; Pergamon Press: New York, NY, USA, 1987; Volume 5, p. 53. [Google Scholar]
- Pogni, R.; Bartoo, M.C.; Diaz, A.; Basosi, R. EPR characterization of mono(thiosemicarbazones) copper(II) complexes. Note II. J. Inorg. Biochem. 2000, 79, 333–337. [Google Scholar] [CrossRef]
- De Schamphelaere, K.; Stubblefield, W.; Rodriguez, P.; Vleminckx, K.; Janssen, C. The chronic toxicity of molybdate to freshwater organisms. I. Generating reliable effects data. Sci. Total Environ. 2010, 408, 5362–5371. [Google Scholar] [CrossRef] [PubMed]
- Olaru, O.T.; Anghel, A.I.; Istudor, V.; Ancuceanu, R.V.; Dinu, M. Contributions to the pharmacognostical and phytobiological study of Fallopia aubertii (L. Henry) Holub. (Polygonaceae). Farmacia 2013, 61, 991–999. [Google Scholar]
- Gutu, C.M.; Olaru, O.T.; Purdel, N.C.; Ilie, M.; Diacu, E. Phytotoxicity of inorganic arsenic assessed by Triticum test. Rev. Chim. 2015, 66, 333–335. [Google Scholar]
- Manfra, L.; Canepa, S.; Piazza, V.; Faimali, M. Lethal and sublethal endpoints observed for Artemia exposed to two reference toxicants and an ecotoxicological concern organic compound. Ecotoxcol. Environ. Saf. 2016, 123, 60–64. [Google Scholar] [CrossRef] [PubMed]
- Meyer, B.; Ferrigni, N.; Putnam, J.; Jacobsen, L.; Nichols, D.; McLaughlin, J. Brine Shrimp: A Convenient General Bioassay for Active Plant Constituents. Planta Med. 1982, 45, 31–34. [Google Scholar] [CrossRef] [PubMed]
- Pérez, L.; Pinazo, A.; Teresa García, M.; Lozano, M.; Manresa, A.; Angelet, M.; Pilar Vinardell, M.; Mitjans, M.; Pons, R.; Rosa Infante, M. Cationic surfactants from lysine: Synthesis, micellization and biological evaluation. Eur. J. Med. Chem. 2009, 44, 1884–1892. [Google Scholar] [CrossRef] [PubMed]
- Gutu, C.M.; Olaru, O.T.; Purdel, N.C.; Ilie, M.; Neamțu, M.C.; Dănciulescu Miulescu, R.; Avramescu, E.T.; Margină, D.M. Comparative evaluation of short-term toxicity of inorganic arsenic compounds on Artemia salina. Rom. J. Morphol. Embryol. 2015, 56, 1091–1096. [Google Scholar] [PubMed]
- De Schamphelaere, K.; Heijerick, D.; Janssen, C. Refinement and field validation of a biotic ligand model predicting acute copper toxicity to Daphnia magna. Comp. Biochem. Physiol. 2002, 133, 243–258. [Google Scholar] [CrossRef]
- Khangarot, B.; Ray, P. Investigation of correlation between physicochemical properties of metals and their toxicity to the water flea Daphnia magna Straus. Ecotoxcol. Environ. Saf. 1989, 18, 109–120. [Google Scholar] [CrossRef]
- Perrin, D.D.; Armarego, W.L.; Perrin, D.R. Purification of Laboratory Chemicals, 2nd ed.; Pergamon: New York, NY, USA, 1990. [Google Scholar]
- CrysAlis RED; Version 1.171.36.32; Oxford Diffraction Ltd.: Abingdon, UK, 2003.
- Dolomanov, O.V.; Bourhis, L.J.; Gildea, R.J.; Howard, J.A.K.; Puschmann, H. Olex2: A complete structure solution, refinement and analysis program. J. Appl. Crystallogr. 2009, 42, 339–341. [Google Scholar] [CrossRef]
- Sheldrick, G.M. A short history of SHELXS. Acta Crystallogr. 2008, 64, 112–122. [Google Scholar] [CrossRef] [PubMed]
- Nitulescu, G.M.; Draghici, C.; Olaru, O.T. New Potential Antitumor Pyrazole Derivatives: Synthesis and Cytotoxic Evaluation. Int. J. Mol. Sci. 2013, 14, 21805–21818. [Google Scholar] [CrossRef] [PubMed]
- Olaru, O.T.; Venables, L.; van de Venter, M.; Nitulescu, G.; Margina, D.; Spandidos, D.; Tsatsakis, A.M. Anticancer potential of selected Fallopia Adans species. Oncol. Lett. 2015, 10, 1323–1332. [Google Scholar] [CrossRef] [PubMed]
- Socea, L.I.; Socea, B.; Şaramet, G.; Barbuceanu, S.; Draghici, C.; Constantin, V.D.; Olaru, O.T. Synthesis and cytotoxicity evaluation of new 5H-dibenzo[a,d][7]annulen-5-yl acetylhydrazones. Rev. Chim. 2015, 66, 1122–1127. [Google Scholar]
- Mihalcea, F.; Barbuceanu, S.F.; Socea, L.I.; Saramet, G.; Cristea, C.; Draghici, C.; Enache-Preoteasa, C.; Saramet, I. Synthesis and preliminary antimicrobial screening of new 1,2,4-triazol-5-ones containing 5H-dibenzo[a,d][7] annulene moiety. Rev. Chim. 2013, 64, 127–131. [Google Scholar]
Sample Availability: Not available. |





| Compound | Transitions d–d (cm−1) | µeff (BM) | Geometry | ||
|---|---|---|---|---|---|
| [Cu(L)(Cl)]·2H2O (1) | 2B1g→2B2g | 2B1g→2Eg | 2B1g→2A1g | 1.44 | Square planar |
| 14,810 | 19,160 | - | |||
| [Cu(L)(CH3COO)] (2) | 2B1g→2B2g | 2B1g→2Eg | 2B1g→2A1g | 1.73 | Square pyramidal |
| 14,700 | 21,500 | - | |||
| [Cu(L)(NO3)]·H2O (3) | 2B1g→2B2g | 2B1g→2Eg | 2B1g→2A1g | 1.78 | Square pyramidal |
| 14,810 | 20,400 | - | |||
| [Cu(L)(ClO4)]·H2O (4) | 2B1g→2B2g | 2B1g→2Eg | 2B1g→2A1g | 1.56 | Square planar |
| 14,700 | 19,650 | - | |||
| [Co(L)2] (5) | 4T1g(F)→4T2g(P) | 4T1g(F)→4A2g(F) | 4T1g(F)→4T1g(P) | 4.60 | Octahedral |
| 9660 | - | 17,390 | |||
| [Ni(L)(Cl)] (7) | 3A2g(F)→3T2g(F) | 3A2g(F)→3T1g(F) | 3A2g(F)→3T1g(P) | 3.46 | Square-planar |
| - | 11,420 | 15,620 | |||
| [Pt(L)(Cl)] (8) | 1A1g→1B1g | 1A1g→1A2g | 1A1g→1Eg | * | Square-planar |
| 23,260 | |||||
| 1 | 2 | 3 | 4 | |
|---|---|---|---|---|
| Polycrystalline (298 K) | ||||
| g// | 2.249 | 2.210 | 2.170 | 2.251 |
| g⊥ | 2.061 | 2.046 | 2.045 | 2.058 |
| DMSO (77 K) | ||||
| g// | 2.192 | 2.202 | 2.221 | 2.207 |
| g⊥ | 2.045 | 2.043 | 2.068 | 2.052 |
| A// | 177 | 173 | 178 | 181 |
| α2 | 0.739 | 0.737 | 0.781 | 0.768 |
| β2 | 0.880 | 0.902 | 0.779 | 0.876 |
| δ2 | 0.950 | 0.985 | 0.980 | 0.998 |
| K// | 0.651 | 0.665 | 0.608 | 0.674 |
| K⊥ | 0.702 | 0.726 | 0.766 | 0.767 |
| Media | Hydrochloric Acid 0.1 N (pH = 1.2) | Acetate Buffer (pH = 4.5) | Phosphate Buffer (pH = 6.8) | |
|---|---|---|---|---|
| Compound | ||||
| HL | 2.02 ± 0.02 | 3.49 ± 0.41 | 0.25 ± 0.02 | |
| [Cu(L)(Cl)]·2H2O (1) | 2.34 ± 0.28 | 1.89 ± 0.20 | <0.2 | |
| [Cu(L)(CH3COO)] (2) | 1.75 ± 0.54 | 1.27 ± 0.06 | <0.2 | |
| [Cu(L)(NO3)]·H2O (3) | 0.92 ± 0.11 | 1.69 ± 0.18 | <0.2 | |
| [Cu(L)(ClO4)]·H2O (4) | 0.82 ± 0.6 | 1.67 ± 0.28 | <0.2 | |
| [Co(L)2] (5) | <0.2 | 1.62 ± 0.72 | <0.2 | |
| [Zn(L)2] (6) | 1.65 ± 0.06 | 1.56 ± 0.82 | <0.2 | |
| [Ni(L)(Cl)] (7) | 2.26 ± 0.44 | 1.91 ± 0.26 | <0.2 | |
| [Pt(L)(Cl)] (8) | 1.33 ± 0.05 | 2.49 ± 0.09 | <0.2 | |
| Compound | Incubation Period | |||||
|---|---|---|---|---|---|---|
| 24 h | 48 h | 24 h | 48 h | 24 h | 48 h | |
| LC50 (µM) | CI 95% of LC50 (µM) | Goodness of Fit (r2) | ||||
| HL | 53.09 | 52.60 | ND* | ND* | 0.9918 | 0.9849 |
| [Cu(L)(Cl)]·2H2O (1) | 393.80 | 69.53 | 374.4–414.2 | 33.96–142.4 | 0.9966 | 0.8159 |
| CuCl2 | 4.23 | 0.97 | 3.709–4.815 | ND** | 0.9890 | 0.9302 |
| [Cu(L)(CH3COO)] (2) | 69.59 | 13.09 | 44.11–109.8 | 8.89–19.26 | 0.9021 | 0.9389 |
| Cu(CH3COO)2 | 9.68 | 0.44 | ND** | ND** | 0.9980 | ND* |
| [Cu(L)(NO3)]·H2O (3) | 316.90 | 5.61 | 2.19–2.81 | 0.51–0.98 | 0.7842 | 0.8742 |
| Cu(NO3)2 | 7.43 | 1.39 | 6.04–9.15 | 1.08–1.78 | 0.9586 | 0.9446 |
| [Cu(L)(ClO4)]·H2O (4) | ND* | ND* | ND** | ND* | ND* | ND* |
| Cu(ClO4)2 | 0.39 | 0.31 | 2.34–3.76 | 0.99–1.22 | 0.9777 | 0.9794 |
| [Co(L)2] (5) | 278.20 | 2.38 | 166.4–465.4 | 1.629–3.489 | 0.8655 | 0.9145 |
| CoCl2 | 205.20 | 31.37 | 158.4–265.8 | 17.06–57.70 | 0.9717 | 0.876 |
| [Zn(L)2] (6) | 33.91 | 0.84 | 23.27–49.4 | 0.33–2.12 | 0.9452 | 0.7553 |
| ZnCl2 | 15.39 | 0.89 | 9.42–25.15 | 0.79–1.02 | 0.9190 | 0.9691 |
| [Ni(L)(Cl)] (7) | 350.80 | 209.70 | 320.6–383.8 | 149.6–294.1 | 0.9935 | 0.9315 |
| NiCl2 | 100.00 | 16.25 | 98.31–101.7 | 11.86–22.27 | 0.9827 | 0.9624 |
| [Pt(L)(Cl)] (8) | 468.60 | 78.19 | 400.6–548.3 | 57.44–106.5 | 0.9490 | 0.9546 |
| K2PtCl4 | 27.70 | 5.63 | 21.86–35.11 | 3.953–8.012 | 0.9918 | 0.9364 |
| Compounds | E. coli (G −) | K. pneumoniae (G −) | S. aureus (G +) | C. albicans | ||||
|---|---|---|---|---|---|---|---|---|
| MIC | MBC | MIC | MBC | MIC | MBC | MIC | MBC | |
| [Cu(L)(Cl)]·2H2O (1) | 500 | 500 | 500 | 500 | 0.015 | 0.03 | 7 | 15 |
| [Cu(L)(CH3COO)] (2) | 500 | 500 | 500 | 500 | 0.015 | 0.015 | 125 | 250 |
| [Cu(L)(NO3)]·H2O (3) | 500 | 500 | 500 | 500 | 0.07 | 0.15 | 1.5 | 3 |
| [Cu(L)(ClO4)]·H2O (4) | 250 | 500 | 250 | 500 | 0.7 | 0.7 | 0.7 | 0.7 |
| [Co(L)2] (5) | 250 | 500 | 500 | 500 | 0.7 | 0.7 | 125 | 250 |
| [Zn(L)2] (6) | 125 | 250 | 250 | 250 | 63 | 125 | 125 | 125 |
| [Ni(L)(Cl)] (7) | 500 | 500 | 500 | 500 | 0.7 | 0.7 | 125 | 125 |
| [Pt(L)(Cl)] (8) | 125 | 250 | 250 | 500 | 0.7 | 0.7 | 63 | 63 |
| Furacillinum | 18.7 | 37.5 | >300 | >300 | 9.35 | 9.35 | ||
| Nystatine | 80 | 80 | ||||||
© 2017 by the authors. Licensee MDPI, Basel, Switzerland. This article is an open access article distributed under the terms and conditions of the Creative Commons Attribution (CC BY) license (http://creativecommons.org/licenses/by/4.0/).
Share and Cite
Pahonțu, E.; Ilieș, D.-C.; Shova, S.; Oprean, C.; Păunescu, V.; Olaru, O.T.; Rădulescu, F.Ș.; Gulea, A.; Roșu, T.; Drăgănescu, D. Synthesis, Characterization, Antimicrobial and Antiproliferative Activity Evaluation of Cu(II), Co(II), Zn(II), Ni(II) and Pt(II) Complexes with Isoniazid-Derived Compound. Molecules 2017, 22, 650. https://doi.org/10.3390/molecules22040650
Pahonțu E, Ilieș D-C, Shova S, Oprean C, Păunescu V, Olaru OT, Rădulescu FȘ, Gulea A, Roșu T, Drăgănescu D. Synthesis, Characterization, Antimicrobial and Antiproliferative Activity Evaluation of Cu(II), Co(II), Zn(II), Ni(II) and Pt(II) Complexes with Isoniazid-Derived Compound. Molecules. 2017; 22(4):650. https://doi.org/10.3390/molecules22040650
Chicago/Turabian StylePahonțu, Elena, Diana-Carolina Ilieș, Sergiu Shova, Camelia Oprean, Virgil Păunescu, Octavian Tudorel Olaru, Flavian Ștefan Rădulescu, Aurelian Gulea, Tudor Roșu, and Doina Drăgănescu. 2017. "Synthesis, Characterization, Antimicrobial and Antiproliferative Activity Evaluation of Cu(II), Co(II), Zn(II), Ni(II) and Pt(II) Complexes with Isoniazid-Derived Compound" Molecules 22, no. 4: 650. https://doi.org/10.3390/molecules22040650
APA StylePahonțu, E., Ilieș, D.-C., Shova, S., Oprean, C., Păunescu, V., Olaru, O. T., Rădulescu, F. Ș., Gulea, A., Roșu, T., & Drăgănescu, D. (2017). Synthesis, Characterization, Antimicrobial and Antiproliferative Activity Evaluation of Cu(II), Co(II), Zn(II), Ni(II) and Pt(II) Complexes with Isoniazid-Derived Compound. Molecules, 22(4), 650. https://doi.org/10.3390/molecules22040650

