Expeditious Synthesis of Dianionic-Headed 4-Sulfoalkanoic Acid Surfactants
Abstract
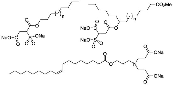
:1. Introduction
2. Results and Discussion
3. Materials and Methods
3.1. Materials and Instruments
3.2. Synthesis of Methyl 2-((Ethoxycarbonothioyl)thio)acetate (1) [16,17]
3.3 General Procedure for the Synthesis of Methyl-2-((ethoxycarbonothioyl)thio)alkanoates 3
3.3.1. Methyl 2-((ethoxycarbonothioyl)thio)octanoate (3a)
3.3.2. Methyl-2-((ethoxycarbonothioyl)thio)decanoate (3b)
3.3.3. Methyl-2-((ethoxycarbonothioyl)thio)dodecanoate (3c)
3.3.4. Methyl-2-((ethoxycarbonothioyl)thio)tetradecanoate (3d)
3.3.5. Methyl-2-((ethoxycarbonothioyl)thio)hexadecanoate (3e)
3.3.6. Methyl-2-((ethoxycarbonothioyl)thio)octadecanoate (3f)
3.4. General procedure for the synthesis of 4-sulfonylalkanoic acids 4
3.4.1. 4-Sulfooctanoic acid (4a)
3.4.2. 4-Sulfodecanoic acid (4b)
3.4.3. 4-Sulfododecanoic acid (4c)
3.4.4. 4-Sulfotetradecanoic acid (4d)
3.4.5. 4-Sulfohexadecanoic acid (4e)
3.4.6. 4-Sulfooctadecanoic acid (4f)
4. Conclusions
Supplementary Material
Acknowledgments
Author Contributions
Conflicts of Interest
References
- Rosen, M.J. Surfactants and Interfacial Phenomenon: Characteristic feature of surfactant, 3rd ed.; Wiley: Hoboken, NJ, USA, 2004; pp. 1–32. [Google Scholar]
- Yoshimura, T.; Bong, M.; Matsuoka, K.; Honda, C.; Endo, K. Surface properties and aggregate morphology of partially fluorinated carboxylate-type anionic gemini surfactants. J. Colloid Interf. Sci. 2009, 339, 230–235. [Google Scholar] [CrossRef] [PubMed]
- Karpichev, Y.; Jahan, N.; Paul, N.; Petropolis, C.P.; Mercer, T.; Grindley, T.B.; Marangoni, D.G. The micellar and surface properties of a unique type of two-headed surfactant–pentaerythritol based dicationic surfactants. J. Colloid Interf. Sci. 2014, 423, 94–100. [Google Scholar] [CrossRef] [PubMed]
- Gong, Q.T.; Wang, L.; Wang, D.X. Synthesis of sodium di-n-alkylbenzenesulfonates and study of their interfacial activities. Fine Chem. 2005, 22, 189–191. [Google Scholar]
- Hou, S.L.; Xu, J.X. Synthesis and properties of double-tail surfactants sodium di-n-alkylphenyl unsaturated carboxylates. Chem. Reagents 2013, 35, 345–348. [Google Scholar]
- Zhu, Y.P.; Masuyama, A.; Kobata, Y.; Nakatsuji, Y.; Okahara, M.; Rosen, M.J. Double-chain surfactants with two carboxylate groups and their relation to similar double-chain compounds. J. Colloid Interf. Sci. 1993, 158, 40–46. [Google Scholar] [CrossRef]
- Kumar, P.P.; Ramesh, P.; Kanjilal, S. Sulfosuccination of methyl ricinoleate and methyl 12-hydroxy stearate derived from renewable castor oil and evaluation of their surface properties. J. Surfact. Deterg. 2016, 19, 447–454. [Google Scholar] [CrossRef]
- Vibhute, B.P.; Khotpal, R.R.; Karadbhajane, V.Y.; Kulkami, A.S. Preparation of maleinized castor oil (MCO) by conventional method and its application in the formulation of liquid detergent. Int. J. Chem. Tech. Res. 2013, 5, 1886–1896. [Google Scholar]
- Li, X.; Hu, Z.; Zhu, H.; Zhjao, S.; Cao, D. Synthesis and properties of novel alkyl sulfonate gemini surfactants. J. Surfact. Deterg. 2010, 13, 353–359. [Google Scholar] [CrossRef]
- Kalhapure, R.S.; Akamanchi, K.G. A novel biocompatible bicephalous dianionic surfactant from oleic acid for solid lipid nanoparticles. Colloid Surface B 2013, 105, 215–222. [Google Scholar] [CrossRef] [PubMed]
- Debien, L.; Quiclet-Sire, B.; Zard, S.Z. Allylic alcohols: Ideal radical allylating agents? Acc. Chem. Res. 2015, 48, 1237–1253. [Google Scholar] [CrossRef] [PubMed]
- Quiclet-Sire, B.; Zard, S.Z. Powerful carbon-carbon bond forming reactions based on a novel radical exchange process. Chemistry 2006, 12, 6002–6016. [Google Scholar] [CrossRef] [PubMed]
- Quiclet-Sire, B.; Zard, S.Z. The xanthate route to amines, anilines, and other nitrogen compounds. A brief account. Synlett 2016, 27, 680–701. [Google Scholar]
- Huang, Z.Y.; Xu, J.X. One-pot synthesis of symmetric 1,7-dicarbonyl compounds via a tandem radical addition-elimination-addition reaction. RSC Adv. 2013, 3, 15114–15120. [Google Scholar] [CrossRef]
- Kakaei, S.; Xu, J.X. Synthesis of (2-alkylthiothiazolin-5-yl)methyl dodecanoates via tandem radical reaction. Org. Biomol. Chem. 2013, 11, 5481–5490. [Google Scholar] [CrossRef] [PubMed]
- Kakaei, S.; Chen, N.; Xu, J.X. Efficient synthesis of protected sulfonopeptides from N-protected 2-aminoalkyl xanthates and thioacetates. Tetrahedron 2013, 69, 9068–9075. [Google Scholar] [CrossRef]
- Kakaei, S.; Xu, J.X. An expeditious synthesis of 1-substituted and cyclic taurines. Tetrahedron 2013, 69, 302–309. [Google Scholar] [CrossRef]
- Xu, C.X.; Xu, J.X. Versatile synthesis of α-substituted taurines from nitroolefins. Amino Acids 2011, 41, 195–203. [Google Scholar] [CrossRef] [PubMed]
- Chen, N.; Jia, W.Y.; Xu, J.X. A versatile synthesis of various substituted taurines from vicinal amino alcohols and aziridines. Eur. J. Org. Chem. 2009, 33, 5841–5846. [Google Scholar] [CrossRef]
- Huang, Z.Y.; Xu, J.X. Efficient synthesis of N-protected 1-substituted homotaurines from a xanthate and olefins. Tetrahedron 2013, 69, 1050–1056. [Google Scholar] [CrossRef]
- Chen, N.; Xu, J.X. Facile synthesis of various substituted taurines, especially syn- and anti-1,2-disubstituted taurines, from nitroolefins. Tetrahedron 2012, 68, 2513–2522. [Google Scholar] [CrossRef]
- Ma, Y.H.; Xu, J.X. Synthesis of homotaurine and 1-substituted homotaurines from α,β-unsaturated nitriles. Synthesis 2012, 44, 2225–2230. [Google Scholar]
- Nai, Y.F.; Xu, J.X. Synthesis of substituted homotaurines from 2-alkenamides. Helv. Chim. Acta. 2013, 96, 1355–1365. [Google Scholar] [CrossRef]
- Xu, J.X.; Xu, S. A general route to synthesis of N-protected 1-substituted and 1,2-disubstituted taurines. Synthesis 2004, 276–282. [Google Scholar] [CrossRef]
- Zheng, Y.P.; Xu, J.X. Synthesis of enantiopure free and N-benzyloxycarbonyl-protected 3-substituted homotaurines from naturally occurring amino acids. Tetrahedron 2014, 70, 5197–5206. [Google Scholar] [CrossRef]
- Douglass, I.B.; Johnson, T.B. The interaction of chlorine with different types of organic sulfur compounds. J. Am. Chem. Soc. 1938, 60, 1486–1489. [Google Scholar] [CrossRef]
- Douglass, I.B.; Osborne, C.E. The anhydrous chlorination of thioesters and related compounds. J. Am. Chem. Soc. 1953, 75, 4582–4583. [Google Scholar] [CrossRef]
- Abdellaoui, H.; Chen, X.P.; Xu, J.X. Efficient synthesis of N-benzyloxycarbonyl-2-aminoalkanesulfonyl chlorides with functionalized side-chains. Synthesis 2017, 49, 1632–1640. [Google Scholar]
Sample Availability: Samples of the compounds 3 and 4 are not available from the authors. |





| Entry | Olefin 2/R | Xanthate 3 | Yield (%) |
|---|---|---|---|
| 1 | nBu | 3a | 79 |
| 2 | nHex | 3b | 86 |
| 3 | nOct | 3c | 88 |
| 4 | nDecyl | 3d | 86 |
| 5 | nDodecyl | 3e | 80 |
| 6 | nTetradecyl | 3f | 87 |
| Entry | Xanthate 3 | R | Acid 4 | Yield (%) |
|---|---|---|---|---|
| 1 | 3a | nBu | 4a | 99 |
| 2 | 3b | nHex | 4b | 98 |
| 3 | 3c | nOct | 4c | 99 |
| 4 | 3d | nDecyl | 4d | 99 |
| 5 | 3e | nDodecy | 4e | 98 |
| 6 | 3f | nTetradecyl | 4f | 99 |
© 2017 by the authors. Licensee MDPI, Basel, Switzerland. This article is an open access article distributed under the terms and conditions of the Creative Commons Attribution (CC BY) license (http://creativecommons.org/licenses/by/4.0/).
Share and Cite
Jiang, J.; Xu, J. Expeditious Synthesis of Dianionic-Headed 4-Sulfoalkanoic Acid Surfactants. Molecules 2017, 22, 640. https://doi.org/10.3390/molecules22040640
Jiang J, Xu J. Expeditious Synthesis of Dianionic-Headed 4-Sulfoalkanoic Acid Surfactants. Molecules. 2017; 22(4):640. https://doi.org/10.3390/molecules22040640
Chicago/Turabian StyleJiang, Jianhui, and Jiaxi Xu. 2017. "Expeditious Synthesis of Dianionic-Headed 4-Sulfoalkanoic Acid Surfactants" Molecules 22, no. 4: 640. https://doi.org/10.3390/molecules22040640
APA StyleJiang, J., & Xu, J. (2017). Expeditious Synthesis of Dianionic-Headed 4-Sulfoalkanoic Acid Surfactants. Molecules, 22(4), 640. https://doi.org/10.3390/molecules22040640
