Rapid Determination of 30 Polyphenols in Tongmai Formula, a Combination of Puerariae Lobatae Radix, Salviae Miltiorrhizae Radix et Rhizoma, and Chuanxiong Rhizoma, via Liquid Chromatography-Tandem Mass Spectrometry
Abstract
:1. Introduction
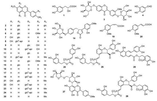
2. Results and Discussion
2.1. Method Development
2.2. Method Validation
2.2.1. Linearity, Lower Limit of Detection, and Lower Limit of Quantification
2.2.2. Precision, Repeatability, and Stability
2.2.3. Recovery
2.3. Content Determination
2.4. Chemical Correlation between TMF and Its Ingredient Herbs
3. Experimental Section
3.1. Chemicals and Materials
3.2. Preparation of Standard Solutions
3.3. Sample Preparation
3.4. HPLC-MS/MS Analysis
3.5. Statistical Analysis
4. Conclusions
Supplementary Materials
Acknowledgments
Author Contributions
Conflicts of Interest
References
- De Gaetano, G.; de Curtis, A.; de Castelnuovo, A.; Donati, M.B.; Iacoviello, L.; Rotondo, S. Antithrombotic effect of polyphenols in experimental models: A mechanism of reduced vascular risk by moderate wine consumption. Ann. N. Y. Acad. Sci. 2002, 957, 174–188. [Google Scholar] [CrossRef] [PubMed]
- D’Archivio, M.; Filesi, C.; Di Benedetto, R.; Gargiulo, R.; Giovannini, C.; Masella, R. Polyphenols, dietary sources and bioavailability. Annali dell Istituto Superiore di Sanita 2007, 43, 348–361. [Google Scholar] [PubMed]
- Mann, G.E.; Rowlands, D.J.; Li, F.Y.; de Winter, P.; Siow, R.C. Activation of endothelial nitric oxide synthase by dietary isoflavones: Role of NO in Nrf2-mediated antioxidant gene expression. Cardiovasc. Res. 2007, 75, 261–274. [Google Scholar] [CrossRef] [PubMed]
- Olas, B.; Wachowicz, B.; Tomczak, A.; Erler, J.; Stochmal, A.; Oleszek, W. Comparative anti-platelet and antioxidant properties of polyphenol-rich extracts from: Berries of Aronia melanocarpa, seeds of grape and bark of Yucca schidigera in vitro. Platelets 2008, 19, 70–77. [Google Scholar] [CrossRef] [PubMed]
- Takano, K.; Nakaima, K.; Nitta, M.; Shibata, F.; Nakagawa, H. Inhibitory effect of (−)-epigallocatechin 3-gallate, a polyphenol of green tea, on neutrophil chemotaxis in vitro and in vivo. J. Agric. Food Chem. 2004, 52, 4571–4576. [Google Scholar] [PubMed]
- Rong, H.; Stevens, J.F.; Deinzer, M.L.; Cooman, L.D.; Keukeleire, D.D. Identification of isoflavones in the roots of Pueraria lobata. Planta Med. 1998, 64, 620–627. [Google Scholar] [CrossRef] [PubMed]
- Sun, X.H.; Ding, J.P.; Li, H.; Pan, N.; Gan, L.; Yang, X.L.; Xu, H.B. Activation of large-conductance calcium-activated potassium channels by puerarin: The underlying mechanism of puerarin-mediated vasodilation. J. Pharmacol. Exp. Ther. 2007, 323, 391–397. [Google Scholar] [CrossRef] [PubMed]
- Yan, L.P.; Zhuang, Y.L.; Chan, S.W.; Chen, S.L.; Shi, G.G. Analysis of the mechanisms underlying the endothelium-dependent antivasoconstriction of puerarin in rat aorta. Naunyn. Schmiedeberg’s Arch. Pharmacol. 2009, 379, 587–597. [Google Scholar] [CrossRef] [PubMed]
- Choo, M.K.; Park, E.K.; Yoon, H.K.; Kim, D.H. Antithrombotic and antiallergic activities of daidzein, a metabolite of puerarin and daidzin produced by human intestinal microflora. Biol. Pharm. Bull. 2002, 25, 1328–1332. [Google Scholar] [CrossRef] [PubMed]
- Jun, M.; Hong, J.; Jeong, W.S.; Ho, C.T. Suppression of arachidonic acid metabolism and nitric oxide formation by kudzu isoflavones in murine macrophages. Mol. Nutr. Food Res. 2005, 49, 1154–1159. [Google Scholar] [PubMed]
- Liu, G.T.; Zhang, T.M.; Wang, B.E.; Wang, Y.W. Protective action of seven natural phenolic compounds against peroxidative damage to biomembranes. Biochem. Pharmacol. 1992, 43, 147–152. [Google Scholar] [CrossRef]
- Jiang, R.W.; Lau, K.M.; Hon, P.M.; Mak, T.C.; Woo, K.S.; Fung, K.P. Chemistry and biological activities of caffeic acid derivatives from Salvia miltiorrhiza. Curr. Med. Chem. 2005, 12, 237–246. [Google Scholar] [CrossRef] [PubMed]
- Kamata, K.; Iizuka, T.; Nagai, M.; Kasuya, Y. Endothelium-dependent vasodilator effects of the extract from Salviae Miltiorrhizae radix. A study on the identification of lithospermic acid B in the extracts. Gen. Pharmacol. 1993, 24, 977–981. [Google Scholar] [CrossRef]
- Wang, B.H.; Ouyang, J.P.; Liu, Y.M.; Yang, J.W.; Wei, L.; Li, K.; Yang, H.L. Sodium ferulate inhibits atherosclerogenesis in hyperlipidemia rabbits. J. Cardiovasc. Pharmacol. 2004, 43, 549–554. [Google Scholar] [CrossRef] [PubMed]
- Suzuki, A.; Kagawa, D.; Fujii, A.; Ochiai, R.; Tokimitsu, I.; Saito, I. Short- and long-term effects of ferulic acid on blood pressure in spontaneously hypertensive rats. Am. J. Hypertens. 2002, 15, 351–357. [Google Scholar] [CrossRef]
- Ardiansyah; Ohsaki, Y.; Shirakawa, H.; Koseki, T.; Komai, M. Novel effects of a single administration of ferulic acid on the regulation of blood pressure and the hepatic lipid metabolic profile in stroke-prone spontaneously hypertensive rats spontaneously hypertensive rats. J. Agric. Food Chem. 2008, 56, 2825–2830. [Google Scholar] [PubMed]
- Li, B.J.; Xiang, C.; Yang, X.W.; Wu, L.J.; Guo, D.A.; Ye, M. Fingerprints of Tongmai Keli by HPLC-DAD-MS. Acta Pharm. Sin. 2010, 45, 1410–1414. [Google Scholar]
- Wang, F.R.; Yang, X.W.; Zhang, Y.; Liu, J.X.; Yang, X.B.; Liu, Y.; Shi, R.B. Three new isoflavone glycosides from Tongmai granules. J. Asian Nat. Prod. Res. 2011, 13, 319–329. [Google Scholar] [CrossRef] [PubMed]
- Wang, F.R.; Ge, X.Z.; Yang, X.W. Chemical constituents of Tongmai Formula. Chin. J. Exp. Tradit. Med. Form. 2011, 17, 61–69. [Google Scholar]
- Chen, S.B.; Liu, H.P.; Tian, R.T.; Yang, D.J.; Chen, S.L.; Xu, H.X.; Chan, A.S.; Xie, P.S. High-performance thin-layer chromatographic fingerprints of isoflavonoids for distinguishing between Radix Puerariae Lobate and Radix Puerariae Thomsonii. J. Chromatogr. A 2006, 1121, 114–119. [Google Scholar] [CrossRef] [PubMed]
- Chang, Q.; Sun, L.; Zhao, R.H.; Chow, M.S.; Zuo, Z. Simultaneous determination of ten active components in traditional Chinese medicinal products containing both Gegen (Pueraria lobata) and Danshen (Salvia miltiorrhiza) by high-performance liquid chromatography. Phytochem. Anal. 2008, 19, 368–375. [Google Scholar] [CrossRef] [PubMed]
- Chen, T.R.; Chen, L.A.; Wei, Q.K. Evaluation of quality of Radix Puerariae herbal medicine by isoflavonoids. J. Pharm. Pharmacol. 2010, 62, 644–650. [Google Scholar] [CrossRef] [PubMed]
- Wang, C.Y.; Huang, H.Y.; Kuo, K.L.; Hsieh, Y.Z. Analysis of Puerariae radix and its medicinal preparations by capillary electrophoresis. J. Chromatogr. A 1998, 802, 225–231. [Google Scholar] [CrossRef]
- Hsieh, Y.; Wang, G.; Wang, Y.; Chackalamannil, S.; Brisson, J.M.; Ng, K.; Korfmacher, W.A. Simultaneous determination of a drug candidate and its metabolite in rat plasma samples using ultrafast monolithic column high-performance liquid chromatography/tandem mass spectrometry. Rapid Commun. Mass Spectrom. 2002, 16, 944–950. [Google Scholar] [CrossRef] [PubMed]
- Ministry of Health of the People’s Republic of China. Ministerial Standard of Drug, Chinese Traditional Patent Medicines; People’s Medical Publishing House: Beijing, China, 1991; Section 4; p. 169.
- Zhang, Y.; Liu, C.X.; Li, L.; Yang, X.W.; Liu, D.C.; Lin, C.R.; Liu, J.X. Pharmacokinetics of Tongmai granule in acute myocardialischemic model beagles. China J. Chin. Mater. Med. 2016, 41, 737–742. [Google Scholar]
- Wu, S.; Xu, W.; Wang, F.R.; Yang, X.W. Study of the biotransformation of Tongmai Formula by human intestinal flora and its intestinal permeability across the Caco-2 cell monolayer. Molecules 2015, 20, 18704–18716. [Google Scholar] [CrossRef] [PubMed]
Sample Availability: Samples of the compounds are not available from the authors. |


| A a | Q1 b | Q3 c | DP (V) | CE (V) | A a | Q1 b | Q3 c | DP (V) | CE (V) |
|---|---|---|---|---|---|---|---|---|---|
| 1 | 197.0 | 178.9 | −43 | −16 | 16 | 255.1 | 199.1 | 102 | 35 |
| 2 | 579.4 | 255.2 | 62 | 38 | 17 | 547.3 | 295.0 | −95 | −40 |
| 3 | 609.3 | 285.2 | 55 | 31 | 18 | 547.3 | 295.0 | −102 | −41 |
| 4 | 137.0 | 108.0 | −60 | −32 | 19 | 192.9 | 133.9 | −50 | −22 |
| 5 | 417.1 | 255.1 | 55 | 23 | 20 | 192.9 | 133.9 | −45 | −23 |
| 6 | 447.3 | 285.2 | 59 | 22 | 21 | 447.2 | 285.2 | 58 | 23 |
| 7 | 433.3 | 271.2 | 49 | 23 | 22 | 563.3 | 311.1 | −96 | −42 |
| 8 | 565.2 | 271.2 | 70 | 34 | 23 | 561.3 | 309.1 | −103 | −40 |
| 9 | 431.1 | 311.0 | −92 | −34 | 24 | 561.3 | 309.1 | −100 | −41 |
| 10 | 563.2 | 311.1 | −93 | −41 | 25 | 359.1 | 161.0 | −53 | −23 |
| 11 | 415.1 | 266.9 | −92 | −48 | 26 | 537.3 | 493.2 | −41 | −13 |
| 12 | 563.3 | 269.2 | 72 | 30 | 27 | 577.3 | 325.1 | −102 | −40 |
| 13 | 445.1 | 325.1 | −90 | −34 | 28 | 717.4 | 519.2 | −73 | −26 |
| 14 | 475.3 | 313.2 | 75 | 15 | 29 | 493.1 | 295.0 | −54 | −24 |
| 15 | 431.3 | 269.2 | 58 | 23 | 30 | 267.0 | 251.9 | −83 | −30 |
| Analyte | Contents/mg·g−1 (RSD%) | Analyte | Contents/mg·g−1 (RSD%) | ||
|---|---|---|---|---|---|
| TMF | PLR | TMF | PLR | ||
| 2 | 0.97 ** (3.00) | 1.17 (1.80) | 14 | 4.41 (3.08) | 4.31 (0.73) |
| 3 | 0.30 ** (3.26) | 0.36 (3.99) | 15 | 0.83 (2.26) | 0.84 (4.03) |
| 5 | 7.18 * (2.74) | 7.66 (2.70) | 16 | 4.48 ** (3.64) | 2.72 (1.06) |
| 6 | 2.22 ** (3.84) | 2.61 (2.99) | 17 | 2.87 (4.41) | 2.88 (4.54) |
| 7 | 0.47 ** (1.56) | 0.56 (1.98) | 18 | 24.12 (4.11) | 23.63 (2.64) |
| 8 | 0.20 ** (2.20) | 0.26 (4.53) | 21 | 0.08 ** (3.92) | 0.09 (2.65) |
| 9 | 15.17 ** (1.78) | 14.01 (1.13) | 22 | 1.96 (2.13) | 1.93 (4.54) |
| 10 | 0.75 (3.17) | 0.74 (4.23) | 23 | 0.09 (1.15) | 0.09 (2.01) |
| 11 | 92.55 * (3.95) | 83.87 (2.25) | 24 | 0.37 * (3.67) | 0.35 (2.70) |
| 12 | 0.02 (1.83) | 0.02 (3.39) | 27 | 0.19 * (3.80) | 0.18 (4.63) |
| 13 | 12.26 * (2.44) | 11.22 (3.51) | 30 | 0.10 ** (1.77) | 0.06 (2.76) |
| Analyte | Contents/mg·g−1 (RSD%) | Analyte | Contents/mg·g−1 (RSD%) | ||
|---|---|---|---|---|---|
| TMF | SM | TMF | SM | ||
| 1 | 15.24 (4.16) | 15.93 (1.46) | 26 | 1.67 * (3.59) | 1.80 (2.97) |
| 4 | 0.08 (2.36) | 0.08 (3.94) | 28 | 20.57 * (3.68) | 22.45 (2.68) |
| 25 | 0.61 * (2.97) | 0.68 (4.58) | 29 | 12.39 (2.18) | 12.40 (2.08) |
| Analyte | Contents/mg·g−1 (RSD%) | Analyte | Contents/mg·g−1 (RSD%) | ||
|---|---|---|---|---|---|
| TMF | CR | TMF | CR | ||
| 19 | 1.07** (1.47) | 0.98 (2.99) | 20 | 0.13** (1.60) | 0.16 (4.26) |
© 2017 by the authors. Licensee MDPI, Basel, Switzerland. This article is an open access article distributed under the terms and conditions of the Creative Commons Attribution (CC BY) license (http://creativecommons.org/licenses/by/4.0/).
Share and Cite
Wang, F.-R.; Zhang, Y.; Yang, X.-B.; Liu, C.-X.; Yang, X.-W.; Xu, W.; Liu, J.-X. Rapid Determination of 30 Polyphenols in Tongmai Formula, a Combination of Puerariae Lobatae Radix, Salviae Miltiorrhizae Radix et Rhizoma, and Chuanxiong Rhizoma, via Liquid Chromatography-Tandem Mass Spectrometry. Molecules 2017, 22, 545. https://doi.org/10.3390/molecules22040545
Wang F-R, Zhang Y, Yang X-B, Liu C-X, Yang X-W, Xu W, Liu J-X. Rapid Determination of 30 Polyphenols in Tongmai Formula, a Combination of Puerariae Lobatae Radix, Salviae Miltiorrhizae Radix et Rhizoma, and Chuanxiong Rhizoma, via Liquid Chromatography-Tandem Mass Spectrometry. Molecules. 2017; 22(4):545. https://doi.org/10.3390/molecules22040545
Chicago/Turabian StyleWang, Fu-Rong, Ying Zhang, Xin-Bao Yang, Chun-Xu Liu, Xiu-Wei Yang, Wei Xu, and Jian-Xun Liu. 2017. "Rapid Determination of 30 Polyphenols in Tongmai Formula, a Combination of Puerariae Lobatae Radix, Salviae Miltiorrhizae Radix et Rhizoma, and Chuanxiong Rhizoma, via Liquid Chromatography-Tandem Mass Spectrometry" Molecules 22, no. 4: 545. https://doi.org/10.3390/molecules22040545
APA StyleWang, F.-R., Zhang, Y., Yang, X.-B., Liu, C.-X., Yang, X.-W., Xu, W., & Liu, J.-X. (2017). Rapid Determination of 30 Polyphenols in Tongmai Formula, a Combination of Puerariae Lobatae Radix, Salviae Miltiorrhizae Radix et Rhizoma, and Chuanxiong Rhizoma, via Liquid Chromatography-Tandem Mass Spectrometry. Molecules, 22(4), 545. https://doi.org/10.3390/molecules22040545
