Simultaneous Quantification of Nine New Furanocoumarins in Angelicae Dahuricae Radix Using Ultra-Fast Liquid Chromatography with Tandem Mass Spectrometry
Abstract
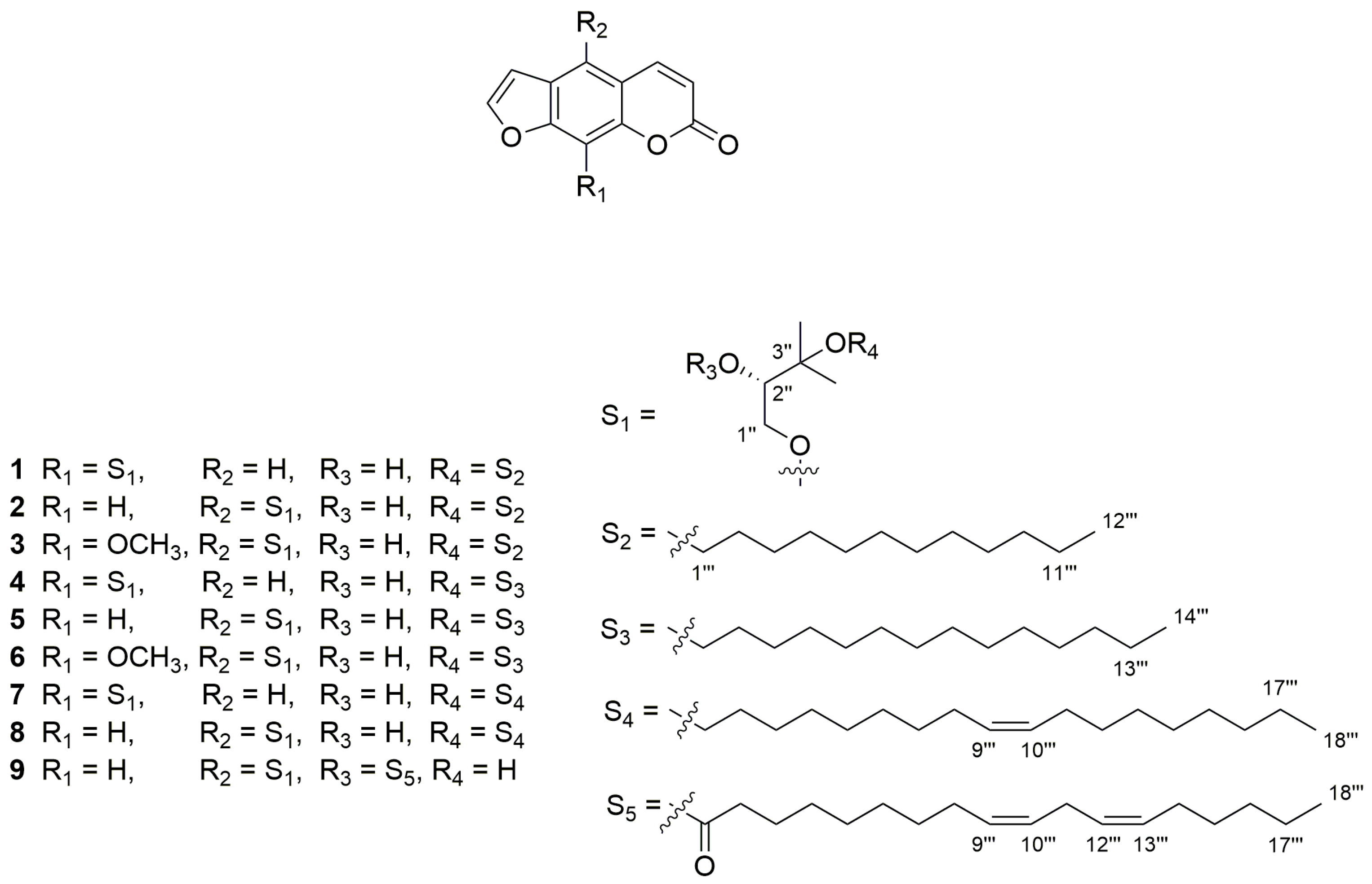
:1. Introduction
2. Results and Discussion
2.1. Optimization of Extraction Conditions
2.2. Optimization of the LC-MS/MS Conditions
2.3. Assay Validation
2.3.1. Injection Precision, Calibration Curves, Lower Limit of Detection and Lower Limit of Quantification
2.3.2. Precision and Stability
2.3.3. Extraction Recovery
2.4. Quantitative Determination of the Nine Analytes in Angelicae Dahuricae Radix
3. Experimental Section
3.1. Plant Materials
3.2. Chemicals, Reagents, and Standards
3.3. Preparation of Angelicae Dahuricae Radix Extracts
3.4. Preparation of Standard Solutions
3.5. LC-MS/MS Analysis
3.6. Assay Validation
3.6.1. Injection Precision, Linearity of Calibration, Lower Limit of Detection, and Lower Limit of Quantification
3.6.2. Precision and Stability
3.6.3. Extraction Recovery
4. Conclusions
Acknowledgments
Author Contributions
Conflicts of Interest
References
- Chinese Pharmacopoeia Commission. Pharmacopoeia of the People’s Republic of China; China Medical Science and Technology Press: Beijing, China, 2015; Volume I, pp. 105–106. [Google Scholar]
- Wu, Y.Y.; Jiang, G.H.; Ma, Y.Y.; Gao, Y. Research advancement on pharmacological effect of Radix Angelicae Dahuricae. Lishizhen Med. Mater. Med. Res. 2009, 20, 625–627. [Google Scholar]
- Yang, W.Q.; Song, Y.L.; Zhu, Z.X.; Su, C.; Zhang, X.; Wang, J.; Shi, S.P.; Tu, P.F. Anti-inflammatory dimeric furanocoumarins from the roots of Angelica dahurica. Fitoterapia 2015, 105, 187–193. [Google Scholar] [CrossRef]
- Yang, W.Q.; Zhu, Z.X.; Song, Y.L.; Qi, B.W.; Wang, J.; Su, C.; Tu, P.F.; Shi, S.P. Dimeric furanocoumarins from the roots of Angelica dahurica. Nat. Prod. Res. 2017, 31, 870–877. [Google Scholar] [CrossRef]
- Marumoto, S.; Miyazawa, M. β-Secretase inhibitory effects of furanocoumarins from the root of Angelica dahurica. Phytother. Res. 2010, 24, 510–513. [Google Scholar] [PubMed]
- Kim, Y.K.; Kim, Y.S.; Shi, Y.R. Antiproliferative effect of furanocoumarins from the root of Angelica dahurica on cultured human tumor cell lines. Phytother. Res. 2007, 21, 288–290. [Google Scholar] [CrossRef] [PubMed]
- Xiang, L.P.; Park, I.H.; Baek, S.H.; Kim, H.Y.; Man, K.P.; Park, J.H. Antioxidative activity of furanocoumarins isolated from Angelicae dahuricae. J. Ethnopharmacol. 2004, 93, 243–246. [Google Scholar]
- Bai, Y.; Li, D.; Zhou, T.; Qin, N.; Li, Z.; Yu, Z.; Hua, H. Coumarins from the roots of Angelica dahurica with antioxidant and antiproliferative activities. J. Funct. Foods 2016, 20, 453–462. [Google Scholar] [CrossRef]
- Xie, Q.; Li, S.X.; Liao, D.F.; Wang, W.; Tekwani, B.; Huang, H.Y.; Ali, A.; Rehman, J.U.; Schrader, K.K.; Duke, S.O. Bio-Pesticidal and Antimicrobial Coumarins from Angelica dahurica (Fisch. Ex Hoffm). Rec. Nat. Prod. 2016, 10, 294–306. [Google Scholar]
- Cao, Y.J.; He, X.; Wang, N.; He, L.C. Effects of imperatorin, the active component from Radix Angelicae (Baizhi), on the blood pressure and oxidative stress in 2K,1C hypertensive rats. Phytomedicine 2013, 20, 1048–1054. [Google Scholar] [CrossRef] [PubMed]
- Luo, K.W.; Sun, J.G.; Chan, J.Y.; Yang, L.; Wu, S.H.; Fung, K.P.; Liu, F.Y. Anticancer effects of imperatorin isolated from Angelica dahurica: Induction of apoptosis in HepG2 cells through both death-receptor- and mitochondria-mediated pathways. Chemotherapy 2011, 57, 449–459. [Google Scholar] [CrossRef] [PubMed]
- Zheng, Y.M.; Shen, J.Z.; Wang, Y.; Lu, A.X.; Ho, W.S. Anti-oxidant and anti-cancer activities of Angelica dahurica extract via induction of apoptosis in colon cancer cells. Phytomedicine 2016, 23, 1267–1274. [Google Scholar] [CrossRef]
- Kim, H.Y.; Lee, K.H.; Dong, G.L. The protective activity of linear furanocoumarins from Angelica dahurica against glucose-mediated protein damage. Appl. Biol. Chem. 2012, 55, 355–358. [Google Scholar] [CrossRef]
- Chen, L.; Jian, Y.; Wei, N.; Yuan, M.; Zhuang, X.M.; Li, H. Separation and simultaneous quantification of nine furanocoumarins from Radix Angelicae dahuricae using liquid chromatography with tandem mass spectrometry for bioavailability determination in rats. J. Sep. Sci. 2015, 38, 4216–4224. [Google Scholar] [CrossRef] [PubMed]
- Zhao, A.H.; Zhang, Y.B.; Yang, X.W. Simultaneous determination and pharmacokinetics of sixteen Angelicae dahuricae coumarins in vivo by LC–ESI-MS/MS following oral delivery in rats. Phytomedicine 2016, 23, 1029–1036. [Google Scholar] [CrossRef] [PubMed]
- Li, B.; Zhang, X.; Wang, J.; Zhang, L.; Gao, B.W.; Shi, S.P.; Wang, X.H.; Li, J.; Tu, P.F. Simultaneous characterisation of fifty coumarins from the roots of Angelica dahurica by off-line two-dimensional high-performance liquid chromatography coupled with electrospray ionisation tandem mass spectrometry. Phytochem. Anal. 2014, 25, 229–240. [Google Scholar] [CrossRef] [PubMed]
- Lin, Y.K.; Sheu, M.T.; Huang, C.H.; Ho, H.O. Development of a Reversed-Phase High-Performance Liquid Chromatographic Method for Analyzing Furanocoumarin Components in Citrus Fruit Juices and Chinese Herbal Medicines. J. Chromatogr. Sci. 2009, 47, 211–215. [Google Scholar] [CrossRef] [PubMed]
- Park, A.Y.; Park, S.Y.; Lee, J.; June, M.; Kim, J.; Kang, S.S.; Youm, J.R.; Han, S.B. Simultaneous determination of five coumarins in Angelicae dahuricae Radix by HPLC/UV and LC-ESI-MS/MS. Biomed. Chromatogr. 2009, 23, 1034–1043. [Google Scholar] [CrossRef] [PubMed]
- Zhang, J.; Yang, G.D.; Zhen, H.; He, L.C.; Li, H. LC-ESI-MS determination of imperatorin in rat plasma after oral administration and total furocoumarins of Radix Angelica dahuricae and its application to a pharmacokinetic study. Chromatographia 2009, 69, 859–864. [Google Scholar] [CrossRef]
- Zheng, X.G.; Zhang, X.W.; Sheng, X.N.; Yuan, Z.F.; Yang, W.; Wang, Q.; Zhang, L.T. Simultaneous characterization and quantitation of 11 coumarins in Radix Angelicae Dahuricae by high performance liquid chromatography with electrospray tandem mass spectrometry. J. Pharm. Biomed. Anal. 2010, 51, 599–605. [Google Scholar] [CrossRef] [PubMed]
- Shi, H.L.; Jia, Y.W.; Peng, S.L.; Liao, X.; Ding, L.S.; Liu, Y.M. Metabolic study of Angelica dahurica extracts using a reusable liver microsomal nanobioreactor by liquid chromatography–mass spectrometry. Biomed. Chromatogr. 2015, 29, 1514–1521. [Google Scholar] [CrossRef] [PubMed]
- Kang, J.; Zhou, L.; Sun, J.; Han, J.; Guo, D.A. Chromatographic fingerprint analysis and characterization of furocoumarins in the roots of Angelica dahurica by HPLC/DAD/ESI-MSn technique. J. Pharm. Biomed. Anal. 2008, 47, 778–785. [Google Scholar] [CrossRef] [PubMed]
- Wei, W.; Wu, X.W.; Deng, G.G.; Yang, X.W. Anti-inflammatory coumarins with short- and long-chain hydrophobic groups from roots of Angelica dahurica cv. Hangbaizhi. Phytochemistry 2016, 123, 58–68. [Google Scholar] [CrossRef] [PubMed]
- Chinese Pharmacopoeia Commission. Pharmacopoeia of the People’s Republic of China; China Medical Science and Technology Press: Beijing, China, 2015; Volume III, pp. 213–216. [Google Scholar]
- Sample Availability: Samples of the compounds are not available from the authors.


| Analyte | Correlation Coefficient (r) | Regression Equation a | Linear Range (µg/mL) | LLOD (ng/mL) | LLOQ (ng/mL) |
|---|---|---|---|---|---|
| 1 | 0.9965 | y = 4,885,175x + 787,567 | 0.04–6 | 0.37 | 1.11 |
| 2 | 0.9980 | y = 10,273,680x − 169,101 | 0.02–3 | 0.19 | 0.56 |
| 3 | 0.9997 | y = 1,607,104x + 2012 | 0.02–3 | 0.56 | 1.67 |
| 4 | 0.9983 | y = 5,978,103x + 845,390 | 0.05–7.5 | 0.46 | 1.39 |
| 5 | 0.9994 | y = 6,547,018x + 339,120 | 0.02–3 | 0.56 | 1.67 |
| 6 | 0.9998 | y = 726,813x − 19,820 | 0.02–3 | 2.78 | 8.33 |
| 7 | 0.9999 | y = 2,943,619x − 82,610 | 0.06–24 | 1.67 | 5.00 |
| 8 | 0.9994 | y = 2,190,557x − 3386 | 0.08–6 | 1.11 | 3.33 |
| 9 | 0.9996 | y = 416,419x + 29,294 | 0.1–15 | 2.78 | 8.33 |
| Precision | Content a (µg/g) | RSD (%) | Content a (µg/g) | RSD (%) | Content a (µg/g) | RSD (%) |
|---|---|---|---|---|---|---|
| Analyte | 1 | 2 | 3 | |||
| Intra-day b | 93.42 ± 1.28 | 1.37 | 29.85 ± 0.86 | 2.87 | 43.74 ± 1.32 | 3.02 |
| Inter-day c | 91.74 ± 3.04 | 3.31 | 28.38 ± 1.39 | 4.91 | 42.22 ± 1.97 | 4.66 |
| Analyte | 4 | 5 | 6 | |||
| Intra-day b | 76.73 ± 1.38 | 1.79 | 26.20 ± 0.64 | 2.45 | 42.61 ± 0.97 | 2.28 |
| Inter-day c | 73.34 ± 3.84 | 5.23 | 24.54 ± 1.43 | 5.82 | 41.28 ± 1.56 | 3.78 |
| Analyte | 7 | 8 | 9 | |||
| Intra-day b | 116.03 ± 2.91 | 2.51 | 59.81 ± 1.19 | 1.98 | 223.74 ± 4.64 | 2.07 |
| Inter-day c | 114.37 ± 3.59 | 3.14 | 56.45 ± 2.80 | 4.96 | 220.01 ± 7.59 | 3.45 |
| Group | Value | 1 | 2 | 3 | 4 | 5 | 6 | 7 | 8 | 9 |
|---|---|---|---|---|---|---|---|---|---|---|
| Standard solution | Mean | 14,116,389 | 5,857,693 | 1,958,105 | 20,460,626 | 4,811,869 | 818,124 | 10,568,888 | 3,003,283 | 2,709,082 |
| RSD (%) | 4.16 | 3.05 | 4.40 | 3.15 | 3.64 | 5.38 | 4.30 | 4.59 | 5.43 | |
| Sample solution | Mean | 15,681,047 | 5,095,101 | 2,220,960 | 16,217,195 | 3,680,829 | 945,093 | 10,855,837 | 2,447,999 | 3,064,152 |
| RSD (%) | 3.19 | 5.34 | 4.32 | 4.23 | 5.81 | 3.83 | 4.21 | 4.90 | 3.76 |
| Analyte | Concentration | Recovery (%) | RSD (%) |
|---|---|---|---|
| 1 | Low | 107.45 ± 5.40 | 5.03 |
| Medium | 101.95 ± 4.48 | 4.40 | |
| High | 95.42 ± 4.52 | 4.73 | |
| 2 | Low | 105.11 ± 3.65 | 3.47 |
| Medium | 88.49 ± 0.59 | 0.67 | |
| High | 100.60 ± 5.48 | 5.45 | |
| 3 | Low | 101.85 ± 5.30 | 5.20 |
| Medium | 103.02 ± 5.58 | 5.42 | |
| High | 100.41 ± 6.58 | 6.56 | |
| 4 | Low | 100.85 ± 1.65 | 1.64 |
| Medium | 96.21 ± 1.54 | 1.60 | |
| High | 96.16 ± 6.09 | 6.34 | |
| 5 | Low | 100.67 ± 2.88 | 2.86 |
| Medium | 86.12 ± 3.69 | 4.29 | |
| High | 90.47 ± 5.19 | 5.74 | |
| 6 | Low | 100.97 ± 3.70 | 3.66 |
| Medium | 107.45 ± 0.37 | 0.35 | |
| High | 104.26 ± 3.07 | 2.95 | |
| 7 | Low | 94.44 ± 3.05 | 3.22 |
| Medium | 99.13 ± 1.71 | 1.73 | |
| High | 102.41 ± 1.87 | 1.83 | |
| 8 | Low | 100.14 ± 2.35 | 2.34 |
| Medium | 92.75 ± 4.34 | 4.67 | |
| High | 102.01 ± 4.46 | 4.38 | |
| 9 | Low | 96.06 ± 6.22 | 6.47 |
| Medium | 95.96 ± 3.62 | 3.77 | |
| High | 92.88 ± 2.99 | 3.22 |
| No. | Amount (μg/g Crude Drug) | |||||||||
|---|---|---|---|---|---|---|---|---|---|---|
| 1 | 2 | 3 | 4 | 5 | 6 | 7 | 8 | 9 | Total | |
| HBZ201208 | 95.42 | 23.34 | 41.49 | 78.35 | 22.51 | 44.22 | 122.18 | 52.30 | 228.74 | 708.56 |
| HBZ201508XY | 101.89 | 23.11 | 22.87 | 56.10 | 17.28 | 11.95 | 34.04 | 12.40 | 169.35 | 449.00 |
| HBZ201508Y | 20.44 | 4.12 | 7.25 | 16.75 | 2.21 | 37.02 | 94.86 | 25.56 | 36.79 | 244.99 |
| HBZ2015S12 | 333.33 | 4.11 | 6.03 | 30.47 | 5.88 | 71.82 | 411.03 | 116.24 | 23.87 | 1002.79 |
| HBZ2015S14 | 78.07 | 2.76 | 1.77 | 15.01 | 5.00 | 10.47 | 109.09 | 51.71 | 7.36 | 281.24 |
| CBZ201107 | 245.82 | 77.48 | 41.74 | 146.84 | 44.51 | 21.92 | 98.50 | 42.19 | 303.58 | 1022.57 |
| CBZ201207 | 78.57 | 27.11 | 11.55 | 46.38 | 25.63 | 8.74 | 41.45 | 21.41 | 79.45 | 340.27 |
| CBZ201307 | 87.32 | 36.41 | 9.59 | 49.80 | 28.92 | 3.68 | 21.83 | 18.32 | 65.47 | 321.33 |
| CBZ201407 | 25.39 | 8.82 | 5.02 | 19.27 | 8.04 | 15.65 | 76.64 | 57.04 | 25.04 | 240.91 |
| CBZ201507 | 28.65 | 8.44 | 3.75 | 27.98 | 9.04 | 11.92 | 98.44 | 59.20 | 14.11 | 261.53 |
| YBZ201107 | 26.47 | 13.64 | 7.33 | 29.03 | 24.44 | 43.64 | 249.30 | 192.26 | 13.49 | 599.60 |
| YBZ201207 | 26.20 | 6.73 | 7.40 | 29.89 | 9.71 | 40.32 | 195.09 | 112.66 | 27.52 | 455.52 |
| YBZ201307 | 25.62 | 5.78 | 7.96 | 26.54 | 7.44 | 37.82 | 177.86 | 102.71 | 33.24 | 424.97 |
| YBZ201407 | 25.48 | 6.60 | 6.85 | 28.17 | 8.62 | 35.48 | 179.40 | 106.75 | 24.85 | 422.20 |
| YBZ201507 | 5.43 | 2.93 | 3.22 | 19.76 | 7.11 | 32.72 | 229.64 | 218.73 | 4.11 | 523.65 |
| QBZ200807 | 23.33 | 9.00 | 4.24 | 17.74 | 9.61 | 7.05 | 39.54 | 31.17 | 17.38 | 159.07 |
| QBZ201207 | 3.60 | 0.86 | 1.20 | 3.35 | 1.38 | 17.61 | 46.69 | 9.28 | 5.44 | 89.41 |
| QBZ201307 | 16.79 | 3.18 | 8.44 | 9.38 | 1.69 | 21.11 | 53.64 | 20.97 | 63.59 | 198.78 |
| QBZ201410 | 14.28 | 4.69 | 7.06 | 14.81 | 4.40 | 22.63 | 66.24 | 21.52 | 27.83 | 183.46 |
| QBZ201507 | 86.23 | 27.21 | 4.84 | 44.84 | 22.38 | 7.30 | 56.83 | 31.29 | 31.29 | 312.20 |
| Code No. | Location | Time |
|---|---|---|
| HBZ201208 | Pan’an City, Zhejiang Province, China | August 2012 |
| HBZ201508XY | Pan’an City, Zhejiang Province, China | August 2015 |
| HBZ201508Y | Yuyao City, Zhejiang Province, China | August 2015 |
| HBZ2015S12 | Pan’an City, Zhejiang Province, China | August 2015 |
| HBZ2015S14 | Pan’an City, Zhejiang Province, China | August 2015 |
| CBZ201107 | Suining City, Sichuan Province, China | July 2011 |
| CBZ201207 | Suining City, Sichuan Province, China | July 2012 |
| CBZ201307 | Suining City, Sichuan Province, China | July 2013 |
| CBZ201407 | Suining City, Sichuan Province, China | July 2014 |
| CBZ201507 | Suining City, Sichuan Province, China | July 2015 |
| YBZ201107 | Yuzhou City, Henan Province, China | July 2011 |
| YBZ201207 | Yuzhou City, Henan Province, China | July 2012 |
| YBZ201307 | Yuzhou City, Henan Province, China | July 2013 |
| YBZ201407 | Yuzhou City, Henan Province, China | July 2014 |
| YBZ201507 | Yuzhou City, Henan Province, China | July 2015 |
| QBZ200807 | An’guo City, Hebei Province, China | July 2008 |
| QBZ201207 | An’guo City, Hebei Province, China | July 2012 |
| QBZ201307 | An’guo City, Hebei Province, China | July 2013 |
| QBZ201410 | An’guo City, Hebei Province, China | October 2014 |
| QBZ201507 | An’guo City, Hebei Province, China | July 2015 |
| Analyte | Retention Time (min) | MRM Transition (m/z) | Dwell Time (ms) | Q1 Pre Bias (V) | Collision Energy (V) | Q3 Pre Bias (V) |
|---|---|---|---|---|---|---|
| Precursor Ion→Product Ion | ||||||
| 1 | 5.29 | 525.2→254.0 | 10 | −40 | −40 | −30 |
| 2 | 5.52 | 473.2→203.05 | 24 | −30 | −30 | −30 |
| 3 | 6.39 | 523.2→309.05 | 24 | −40 | −30 | −21 |
| 4 | 6.70 | 553.2→254.0 | 10 | −40 | −40 | −30 |
| 5 | 7.03 | 501.2→203.0 | 24 | −40 | −25 | −30 |
| 6 | 8.53 | 577.3→308.95 | 24 | −40 | −32 | −22 |
| 7 | 9.06 | 607.3→254.0 | 10 | −40 | −43 | −30 |
| 8 | 9.60 | 555.3→203.5 | 24 | −40 | −34 | −21 |
| 9 | 5.07 | 495.2→309.05 | 24 | −30 | −29 | −21 |
© 2017 by the authors. Licensee MDPI, Basel, Switzerland. This article is an open access article distributed under the terms and conditions of the Creative Commons Attribution (CC BY) license ( http://creativecommons.org/licenses/by/4.0/).
Share and Cite
Zhang, L.; Wei, W.; Yang, X.-W. Simultaneous Quantification of Nine New Furanocoumarins in Angelicae Dahuricae Radix Using Ultra-Fast Liquid Chromatography with Tandem Mass Spectrometry. Molecules 2017, 22, 322. https://doi.org/10.3390/molecules22020322
Zhang L, Wei W, Yang X-W. Simultaneous Quantification of Nine New Furanocoumarins in Angelicae Dahuricae Radix Using Ultra-Fast Liquid Chromatography with Tandem Mass Spectrometry. Molecules. 2017; 22(2):322. https://doi.org/10.3390/molecules22020322
Chicago/Turabian StyleZhang, Lei, Wei Wei, and Xiu-Wei Yang. 2017. "Simultaneous Quantification of Nine New Furanocoumarins in Angelicae Dahuricae Radix Using Ultra-Fast Liquid Chromatography with Tandem Mass Spectrometry" Molecules 22, no. 2: 322. https://doi.org/10.3390/molecules22020322
APA StyleZhang, L., Wei, W., & Yang, X.-W. (2017). Simultaneous Quantification of Nine New Furanocoumarins in Angelicae Dahuricae Radix Using Ultra-Fast Liquid Chromatography with Tandem Mass Spectrometry. Molecules, 22(2), 322. https://doi.org/10.3390/molecules22020322
